Скачать Приказ 1317 Перечень документов в области стандартизации, в результате применения которых на добровольной основе обеспечивается соблюдение требований Федерального закона от 22 июля 2008 г. № 123-ФЗ Технический регламент о требованиях пожарной безопасности

Дата актуализации: 01.01.2021

Приказ 1317

Перечень документов в области стандартизации, в результате применения которых на добровольной основе обеспечивается соблюдение требований Федерального закона от 22 июля 2008 г. № 123-ФЗ "Технический регламент о требованиях пожарной безопасности"

Обозначение: Приказ 1317
Обозначение англ: Directive 1317
Статус:утратил силу
Название рус.:Перечень документов в области стандартизации, в результате применения которых на добровольной основе обеспечивается соблюдение требований Федерального закона от 22 июля 2008 г. № 123-ФЗ "Технический регламент о требованиях пожарной безопасности"
Дата добавления в базу:01.02.2020
Дата актуализации:01.01.2021
Дата введения:03.06.2019
Дата окончания срока действия:14.07.2020
Оглавление:1. Техника пожарная
   1.1. Первичные средства пожаротушения
   1.2. Мобильные средства пожаротушения
   1.3 Установки пожаротушения
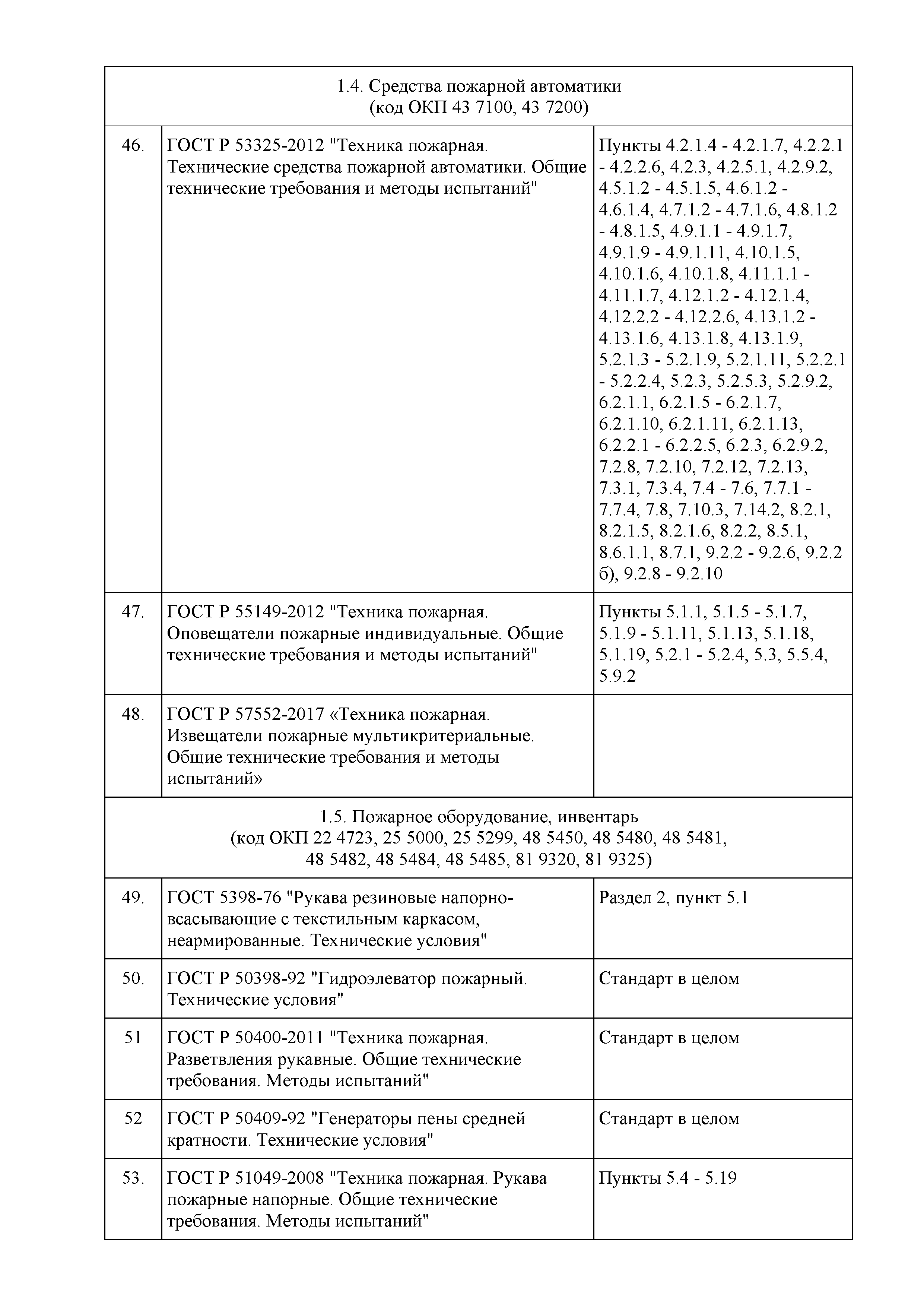
   1.4 Средства пожарной автоматики
   1.5 Пожарное оборудование, инвентарь
   1.6 Средства индивидуальной защиты и спасения людей при пожаре
   1.7 Пожарный инструмент
   1.8 Огнетушащие вещества
2. Строительные конструкции и изделия
3. Огнезащитные вещества и материалы
4. Материалы строительные, ковровые покрытия
5. Ткани декоративные, ткани для специальной защитной одежды
6. Продукция электротехническая
   6.1. Арматура электромонтажная
   6.2. Соединители и установочные изделия
7. Продукция кабельная
8. Общие требования, связанные с противопожарной защитой
Утверждён:03.06.2019 Федеральное агентство по техническому регулированию и метрологии (1317)
Издан: Официальный сайт Федерального агентства по техническому регулированию и метрологии в сети Интернет (www.gost.ru) (2019 г. )
Заменяет собой:
Нормативные ссылки:
Приказ 1317Приказ 1317Приказ 1317Приказ 1317Приказ 1317Приказ 1317Приказ 1317Приказ 1317Приказ 1317Приказ 1317Приказ 1317Приказ 1317Приказ 1317Приказ 1317Приказ 1317Приказ 1317Приказ 1317Приказ 1317Приказ 1317Приказ 1317Приказ 1317