Главная // Актуальные документы // ГОСТ Р (Государственный стандарт)СПРАВКА
Источник публикации
М.: Стандартинформ, 2014
Примечание к документу
Документ
введен в действие с 1 июля 2014 года.
Название документа
"ГОСТ Р 55625-2013. Национальный стандарт Российской Федерации. Льды сладкие пищевые. Технические условия"
(утв. и введен в действие Приказом Росстандарта от 30.09.2013 N 1125-ст)
"ГОСТ Р 55625-2013. Национальный стандарт Российской Федерации. Льды сладкие пищевые. Технические условия"
(утв. и введен в действие Приказом Росстандарта от 30.09.2013 N 1125-ст)
Утвержден и введен в действие
агентства по техническому
регулированию и метрологии
от 30 сентября 2013 г. N 1125-ст
НАЦИОНАЛЬНЫЙ СТАНДАРТ РОССИЙСКОЙ ФЕДЕРАЦИИ
ЛЬДЫ СЛАДКИЕ ПИЩЕВЫЕ
ТЕХНИЧЕСКИЕ УСЛОВИЯ
Sweet edible ice. Specifications
ГОСТ Р 55625-2013
Дата введения
1 июля 2014 года
1. Разработан Государственным научным учреждением Всероссийским научно-исследовательским институтом холодильной промышленности Российской академии сельскохозяйственных наук (ГНУ ВНИХИ Россельхозакадемии) и Союзом мороженщиков России.
2. Внесен Техническим комитетом по стандартизации ТК 93 "Продукты переработки фруктов, овощей и грибов".
3. Утвержден и введен в действие
Приказом Федерального агентства по техническому регулированию и метрологии от 30 сентября 2013 г. N 1125-ст.
4. Введен впервые.
Правила применения настоящего стандарта установлены в ГОСТ Р 1.0-2012
(раздел 8). Информация об изменениях к настоящему стандарту публикуется в ежегодном (по состоянию на 1 января текущего года) информационном указателе "Национальные стандарты", а официальный текст изменений и поправок - в ежемесячном информационном указателе "Национальные стандарты". В случае пересмотра (замены) или отмены настоящего стандарта соответствующее уведомление будет опубликовано в ближайшем выпуске информационного указателя "Национальные стандарты". Соответствующая информация, уведомление и тексты размещаются также в информационной системе общего пользования - на официальном сайте Федерального агентства по техническому регулированию и метрологии в сети Интернет (gost.ru).
Настоящий стандарт распространяется на сладкие пищевые льды (далее - льды), предназначенные для непосредственного употребления в пищу.
В настоящем стандарте использованы нормативные ссылки на следующие стандарты:
ГОСТ Р 50962-96 Посуда и изделия хозяйственного назначения из пластмасс. Общие технические условия
ГОСТ Р 51301-99 Продукты пищевые и продовольственное сырье. Инверсионно-вольтамперометрические методы определения содержания токсичных элементов (кадмия, свинца, меди и цинка)
ГОСТ Р 51474-99 Упаковка. Маркировка, указывающая на способ обращения с грузами
ГОСТ Р 51766-2001 Сырье и продукты пищевые. Атомно-абсорбционный метод определения мышьяка
ГОСТ Р 51921-2002 Продукты пищевые. Методы выявления и определения бактерий Listeria monocytogenes
ГОСТ Р 52184-2003 Консервы. Продукция соковая. Соки фруктовые прямого отжима. Технические условия
ГОСТ Р 52185-2003 Консервы. Продукция соковая. Соки фруктовые концентрированные. Технические условия
ГОСТ Р 52186-2003 Консервы. Продукция соковая. Соки фруктовые и фруктово-овощные восстановленные. Технические условия
ГОСТ Р 52814-2007 (ИСО 6579:2002) Продукты пищевые. Метод выявления бактерий рода Salmonella
ГОСТ Р 53228-2008 Весы неавтоматического действия. Часть 1. Метрологические и технические требования. Испытания
ГОСТ Р 53430-2009 Молоко и продукты переработки молока. Методы микробиологического контроля
ГОСТ Р 53990-2010 Виноград свежий столовый. Технические условия (ЕЭК ООН FFV-19:2007)
ГОСТ Р 54004-2010 Продукты пищевые. Методы отбора проб для микробиологических испытаний
ГОСТ Р 54015-2010 Продукты пищевые. Метод отбора проб для определения стронция Sr-90 и цезия Cs-137
ГОСТ Р 54639-2011 Продукты пищевые и корма для животных. Определение ртути методом атомно-абсорбционной спектрометрии на основе эффекта Зеемана
ГОСТ Р 54681-2011 Консервы. Фрукты протертые или дробленые. Общие технические условия
ГОСТ Р 54682-2011 Полуфабрикаты. Наполнители фруктовые и овощные. Общие технические условия
ГОСТ Р 54697-2011 (ЕЭК ООН FFV-50:2010) Яблоки свежие, реализуемые в розничной торговой сети. Технические условия
ГОСТ Р 54702-2011 (ЕЭК ООН FFV-26:2010) Персики и нектарины свежие. Технические условия
ГОСТ 8.579-2001 Государственная система обеспечения единства измерений. Требования к количеству фасованных товаров в упаковках любого вида при их производстве, расфасовке, продаже и импорте
ГОСТ 12.1.007-76 Система стандартов безопасности труда. Вредные вещества. Классификация и общие требования безопасности
ГОСТ 12.1.018-93 Система стандартов безопасности труда. Пожаровзрывобезопасность статического электричества. Общие требования
ГОСТ 12.1.019-79 Система стандартов безопасности труда. Электробезопасность. Общие требования и номенклатура видов защиты
ГОСТ 61-75 Реактивы. Кислота уксусная. Технические условия
ГОСТ 83-79 Реактивы. Натрий углекислый. Технические условия
ГОСТ 450-77 Кальций хлористый технический. Технические условия
ГОСТ 975-88 Глюкоза кристаллическая гидратная. Технические условия
ГОСТ 1770-74 Посуда мерная лабораторная стеклянная. Цилиндры, мензурки, колбы, пробирки. Общие технические условия
ГОСТ 1937-90 Чай черный байховый нефасованный. Технические условия
ГОСТ 1938-90 Чай черный байховый фасованный. Технические условия
ГОСТ 1939-90 Чай зеленый байховый фасованный. Технические условия
ГОСТ 2874-82 Вода питьевая. Гигиенические требования и контроль за качеством
ГОСТ 29251-91 (ИСО 385-1-84) Посуда лабораторная стеклянная. Бюретки. Часть 1. Общие требования
ГОСТ 3716-90 Чай зеленый байховый нефасованный. Технические условия
ГОСТ 4207-75 Реактивы. Калий железистосинеродистый 3-водный. Технические условия
ГОСТ 4220-75 Реактивы. Калий двухромовокислый. Технические условия
ГОСТ 4457-74 Реактивы. Калий бромноватокислый. Технические условия
ГОСТ 5823-78 Реактивы. Цинк уксуснокислый 2-водный. Технические условия
ГОСТ 5962-2013 Спирт этиловый ректификованный из пищевого сырья. Технические условия
ГОСТ 10444.2-94 Продукты пищевые. Методы выявления и определения количества Staphylococcus aureus
ГОСТ 10444.15-94 Продукты пищевые. Методы определения количества мезофильных и факультативно-анаэробных микроорганизмов
ГОСТ 12026-76 Бумага фильтровальная лабораторная. Технические условия
ГОСТ 15846-2002 Продукция, отправляемая в районы Крайнего Севера и приравненные к ним местности. Упаковка, маркировка, транспортирование и хранение
ГОСТ 16270-70 Яблоки свежие ранних сроков созревания. Технические условия
ГОСТ 18300-87 Спирт этиловый ректификованный технический. Технические условия
ГОСТ 19215-73 Клюква свежая. Требования при заготовках, поставках и реализации
ГОСТ 20450-75 Брусника свежая. Требования при заготовках, поставках и реализации
ГОСТ 21713-76 Груши свежие поздних сроков созревания. Технические условия
ГОСТ 21714-76 Груши свежие ранних сроков созревания. Технические условия
ГОСТ 23452-79 Молоко и молочные продукты. Методы определения остаточных количеств хлорорганических пестицидов
ГОСТ 25336-82 Посуда и оборудование лабораторные стеклянные. Типы, основные параметры и размеры
ГОСТ 25951-83 Пленка полиэтиленовая термоусадочная. Технические условия
ГОСТ 26381-84 Поддоны плоские одноразового пользования. Общие технические условия
ГОСТ 26669-85 Продукты пищевые и вкусовые. Подготовка проб для микробиологических анализов
ГОСТ 26670-91 Продукты пищевые. Методы культивирования микроорганизмов
ГОСТ 26929-94 Сырье и продукты пищевые. Подготовка проб. Минерализация для определения содержания токсичных элементов
ГОСТ 26930-86 Сырье и продукты пищевые. Метод определения мышьяка
ГОСТ 26932-86 Сырье и продукты пищевые. Методы определения свинца
ГОСТ 26933-86 Сырье и продукты пищевые. Методы определения кадмия
ГОСТ 27068-86 Реактивы. Натрий серноватистокислый (натрия тиосульфат) 5-водный. Технические условия
ГОСТ 27572-87 Яблоки свежие для промышленной переработки. Технические условия
ГОСТ 27752-88 Часы электронно-механические кварцевые настольные. Настенные и часы-будильники. Общие технические условия
ГОСТ 28038-89 Продукты переработки плодов и овощей. Метод определения микотоксина патулина
ГОСТ 28498-90 Термометры жидкостные стеклянные. Общие технические требования. Методы испытаний
ГОСТ 29169-91 Посуда лабораторная стеклянная. Пипетки с одной отметкой
ГОСТ 29227-91 Посуда лабораторная стеклянная. Пипетки градуированные. Часть 1. Общие требования
ГОСТ 29251-91 Посуда лабораторная стеклянная. Бюретки. Часть 1. Общие требования
ГОСТ 30178-96 Сырье и продукты пищевые. Атомно-абсорбционный метод определения токсичных элементов
| | ИС МЕГАНОРМ: примечание. В официальном тексте документа, видимо, допущена опечатка: стандарт имеет название ГОСТ 30538-97 "Продукты пищевые. Методика определения токсичных элементов атомно-эмульсионным методом". | |
ГОСТ 30538-97 Продукты пищевые. Методика определения токсичных элементов атомно-эмульсионным методом определения остаточных количеств фосфорорганических пестицидов
ГОСТ 30710-2001 Плоды, овощи и продукты их переработки. Методы определения остаточных количеств фосфорорганических пестицидов
ГОСТ 30711-2001 Продукты пищевые. Методы выявления и определения содержания афлатоксинов

и

ГОСТ 31457-2012 Мороженое молочное, сливочное и пломбир. Технические условия
ГОСТ 31628-2012 Продукты пищевые и продовольственное сырье. Инверсионно-вольтамперометрический метод определения массовой концентрации мышьяка
ГОСТ 31688-2012 Консервы молочные. Молоко и сливки сгущенные с сахаром. Технические условия
| | ИС МЕГАНОРМ: примечание. В официальном тексте документа, видимо, допущена опечатка: стандарт имеет название ГОСТ 31746-2012 "Продукты пищевые. Методы выявления и определения количества коагулазоположительных стафилококков и Staphylococcus aureus". | |
ГОСТ 31746-2012 Продукты пищевые. Методы выявления и определения количества бактерий группы кишечных палочек (колиформных бактерий)
ГОСТ 31782-2012 Виноград свежий машинной и ручной уборки для промышленной переработки. Технические условия
ГОСТ 32031-2012 Продукты пищевые. Методы выявления бактерий Listeria monocytogenes
ГОСТ 32101-2013 Консервы. Продукция соковая. Соки фруктовые прямого отжима. Общие технические условия
ГОСТ 32102-2013 Консервы. Продукция соковая. Соки фруктовые концентрированные. Общие технические условия
ГОСТ 32103-2013 Консервы. Продукция соковая. Соки фруктовые и фруктово-овощные восстановленные. Общие технические условия
РСТ РСФСР 19-75 Малина свежая. Технические условия
Примечание. При пользовании настоящим стандартом целесообразно проверить действие ссылочных стандартов в информационной системе общего пользования - на официальном сайте Федерального агентства по техническому регулированию и метрологии в сети Интернет или по ежегодно издаваемому информационному указателю "Национальные стандарты", который опубликован по состоянию на 1 января текущего года, и по выпускам ежемесячно издаваемого информационного указателя "Национальные стандарты" за текущий год. Если заменен ссылочный стандарт, на который дана недатированная ссылка, то рекомендуется использовать действующую версию стандарта с учетом всех внесенных в данную версию изменений. Если заменен ссылочный стандарт, на который дана датированная ссылка, то рекомендуется использовать версию этого стандарта с указанным выше годом утверждения (принятия). Если после утверждения настоящего стандарта в ссылочный стандарт, на который дана датированная ссылка, внесено изменение, затрагивающее положение, на которое дана ссылка, то это положение рекомендуется применять без учета данного изменения. Если ссылочный стандарт отменен без замены, то положение, в котором дана ссылка на него, рекомендуется применять в части, не затрагивающей эту ссылку.
В настоящем стандарте применены термины по
ГОСТ Р 52175 (в части глазури и взбитости) и
ГОСТ 31457, а также следующие термины с соответствующими определениями:
3.1. Сладкие пищевые льды: пищевые продукты сладкие, не взбитые или со взбитостью не более 30%, замороженные и потребляемые в замороженном виде, изготовленные из раствора сахаров, с использованием или без использования стабилизаторов, пищевых и пищевкусовых продуктов, ароматизаторов, красителей и других пищевых добавок.
3.2. Фруктовый лед: лед с массовой долей сухих веществ фруктов не менее 1,0%.
3.3. Фруктовый лед с ароматом: фруктовый лед с использованием ароматизаторов, несвойственных используемому фруктовому сырью.
3.4. Лед с ароматом: лед с использованием ароматизаторов.
3.5. Молочный лед: лед с массовой долей сухих веществ молока не менее 3,0%.
3.6. Кофейный лед: лед с использованием растворимого кофе или водной вытяжки из кофе.
3.7. Чайный лед: лед с использованием водной вытяжки из чая.
3.8. Пищевкусовые продукты для сладких пищевых льдов: пищевые продукты в натуральном или переработанном виде, в том числе кофе, чай, орехи, арахис, фрукты, цукаты, изюм, курага, чернослив, мармелад, шоколад, шоколадная крошка, шоколадная стружка, кокосовая стружка, мягкая карамель, топинг, фруктовый наполнитель, джем, повидло, варенье и другие, специально вводимые в процессе их изготовления для придания им специфического вкуса.
4.1. В зависимости от технологии производства и используемых компонентов льды классифицируются:
- фруктовый лед;
- лед с ароматом;
- молочный лед;
- кофейный лед;
- чайный лед.
4.2. Льды по 4.1 (за исключением льда с ароматом) в зависимости от применения ароматизаторов:
- без аромата;
- с ароматом.
4.3. Льды по
4.1 - 4.2 в зависимости от применения пищевкусовых продуктов для льдов:
- без пищевкусовых продуктов;
- с пищевкусовыми продуктами.
5. Технические требования
5.1. Льды изготавливают в соответствии с требованиями настоящего стандарта по технологическим инструкциям и рецептурам, с соблюдением требований
[1].
5.2. Характеристики
5.2.1. Требования к органолептическим показателям льдов приведены в таблице 1.
Наименование показателя | Характеристика |
Внешний вид | Порции однослойного или многослойного льда различной формы, обусловленной геометрией формующего устройства |
Вкус и запах | Чистые, характерные для льда соответствующего вида, без посторонних привкусов и запахов |
Структура | Однородная, с ощутимыми или неощутимыми кристаллами льда |
| Во льдах с использованием пищевкусовых продуктов в целом виде, в виде кусочков или "прослоек" и "прожилок" - с наличием их включений |
Консистенция | Плотная (твердая) |
5.2.2. Требования к физико-химическим показателям льдов приведены в таблице 2.
Таблица 2
Вид льда | Массовая доля, % | Температура, °C, не выше |
Сахаров (включая сахарозу) | Общих сухих веществ |
Фруктовый, фруктовый с ароматом | 12,0 - 27,0 | 13,0 - 28,0 | Минус 18 в центре продукта |
С ароматом | 12,0 - 27,0 | 12,0 - 27,0 |
Молочный, молочный с ароматом | 12,0 - 27,0 | 15,0 - 30,0 |
Кофейный, кофейный с ароматом, чайный, чайный с ароматом | 12,0 - 27,0 | 12,0 - 27,0 |
5.2.3. Взбитость льдов в процессе их изготовления должна быть не более 30%.
5.2.4. Содержание токсичных элементов, микотоксинов, пестицидов, радионуклидов, антибиотиков (в молочных льдах с ароматом) не должно превышать норм, установленных в
[1].
5.2.5. Микробиологические показатели льдов не должны превышать норм, установленных в
[1].
5.3. Требования к сырью
5.3.1. Для изготовления льдов используют следующие виды сырья:
- виноград сушеный без семян по
ГОСТ 6882, после заводской обработки;
- груши свежие ранних сроков созревания по
ГОСТ 21714;
- груши свежие поздних сроков созревания по
ГОСТ 21713;
- крыжовник свежий;
- смородину черную свежую;
- яблоки свежие ранних сроков созревания по
ГОСТ 16270;
- яблоки свежие поздних сроков созревания;
- фрукты косточковые и семечковые сушеные по
ГОСТ 28501 и
ГОСТ 28502, не обработанные серой, сернистым ангидридом, раствором сернистой кислоты и бисульфита натрия;
- соки фруктовые прямого отжима, в том числе консервированные способом "горячего розлива" или асептическим способом, или быстрозамороженные по
[2] и по
ГОСТ Р 52184,
ГОСТ 32101;
- соки фруктовые концентрированные, консервированные асептическим способом или быстрозамороженные по
[2] и
ГОСТ Р 52185,
ГОСТ 32102;
- пюре фруктовые;
- пюре фруктовые, консервированные асептическим способом или методом "горячего розлива", быстрозамороженные;
- пюре фруктовые концентрированные стерилизованные, асептического консервирования или замороженные;
- наполнители фруктовые и фруктовые с ароматом с массовой долей сухих веществ фруктов не менее 5,0%;
- чай зеленый байховый фасованный по
ГОСТ 1939;
- чай зеленый байховый нефасованный по
ГОСТ 3716;
- чай черный байховый нефасованный по
ГОСТ 1937;
- чай черный байховый фасованный по
ГОСТ 1938;
- сахар белый кристаллический первой категории по
ГОСТ 31895;
- сиропы глюкозные сухие импортные;
- соусы (топинги) декоративные;
- шоколадную крошку, стружку;
- кокосовую стружку;
- мягкую карамель;
- ароматизаторы и добавки вкусоароматические натуральные, идентичные натуральным или искусственные по
[4];
- красители пищевые натуральные по
[4];
- кислоту лимонную моногидрат пищевую (Е 330) по
[4] и
ГОСТ 908;
- эмульгаторы: моно- и диглицериды жирных кислот (Е 471) по
[4];
- стабилизаторы-эмульгаторы и стабилизаторы комплексные по
[4];
- воду питьевую, не содержащую спор мезофильных клостридий в 100 см3, в соответствии с требованиями
[5].
5.3.2. Допускается использование других видов сырья, предназначенных для применения в пищевой промышленности.
Сырье, используемое для изготовления льдов, по показателям безопасности должно соответствовать требованиям
[1] -
[5].
5.3.3. При производстве льдов с фруктовыми наполнителями в виде "прослойки", "прожилок" и т.п. применяют также фруктовые наполнители с массовой долей сухих веществ фруктов не менее 3,0%.
5.4. Упаковка
5.4.1. Потребительская упаковка, укупорочные средства и транспортная упаковка должны быть предназначены для применения в пищевой промышленности и должны соответствовать требованиям
[6].
5.4.2. Льды фасуют в потребительскую упаковку или непосредственно в транспортную упаковку.
Масса нетто порции льда в потребительской упаковке от 35 г до 2 кг включительно. Масса нетто льда, фасованного непосредственно в транспортную упаковку свыше 2 кг до 5 кг включительно.
Примечание. По договоренности с потребителем допускается фасовать лед непосредственно в транспортную упаковку массой нетто до 10 кг включительно.
5.4.3. Потребительская и транспортная упаковка должна обеспечивать сохранность льдов и их соответствие требованиям настоящего стандарта в течение срока годности при соблюдении условий транспортирования и хранения.
5.4.4. Предел допускаемых отрицательных отклонений содержимого потребительской упаковки от номинального количества должен соответствовать
ГОСТ 8.579.
5.4.5. Упаковывание льдов, отправляемых в районы Крайнего Севера и приравненные к ним местности - по
ГОСТ 15846.
Маркировка потребительской и транспортной упаковки - в соответствии с требованиями
[7] и
Приложения Б.
6. Требования безопасности
При выполнении работ необходимо соблюдать требования безопасности при работе с химическими реактивами по
ГОСТ 12.1.007, пожаробезопасности по
ГОСТ 12.1.018, электробезопасности по
ГОСТ 12.1.019, а также требования, изложенные в технических документах на применяемые средства измерений и вспомогательное оборудование.
7.1. Лед принимают партиями.
Партией считают определенное количество пищевой продукции одного наименования, одинаково упакованной, произведенной (изготовленной) одним изготовителем по одному стандарту в определенный промежуток времени, сопровождаемое товаросопроводительной документацией, обеспечивающей прослеживаемость пищевой продукции.
7.2. Контроль органолептических показателей, массовой доли общих сухих веществ, сухих веществ фруктов, молока, сахаров (включая сахарозу), кислотности, температуры, массы нетто, качества упаковки и маркировки проводят для каждой партии льда.
7.3. Периодичность контроля массовой доли сахарозы устанавливает изготовитель в программе производственного контроля.
7.4. Периодичность контроля содержания во льдах токсичных элементов, пестицидов, микотоксинов, антибиотиков (для молочных льдов) и радионуклидов устанавливает изготовитель в программе производственного контроля.
7.5. Контроль микробиологических показателей качества льдов проводят в соответствии с утвержденным изготовителем планом производственного контроля.
7.6. Выборку упаковочных единиц осуществляют методом случайного отбора:
- объем выборки от партии льдов в потребительской упаковке составляет 0,1% единиц транспортной упаковки с продукцией, но не менее пяти единиц транспортной упаковки;
- объем выборки от партии льдов в транспортной упаковке составляет 0,5% единиц транспортной упаковки с продукцией, но не менее двух единиц транспортной упаковки.
7.7. Контроль качества упаковки и правильности маркировки проводят внешним осмотром всех упаковочных единиц, попавших в выборку.
7.8. Контроль массы нетто льда в каждой упаковочной единице, попавшей в выборку, проводят по разности массы брутто и массы упаковочной единицы, освобожденной от содержимого.
8.1. Отбор проб для проведения испытаний проводят по
7.6.
8.2. Подготовка проб к анализу
К выполнению измерений и обработке результатов допускается специалист, имеющий опыт работы в химической лаборатории, освоивший методы и прошедший инструктаж по технике безопасности при работе с вредными веществами и пожарной безопасности.
8.2.1. Подготовка проб для определения физико-химических показателей
Продукт максимально полно освобождают от упаковки, помещают в стакан вместимостью 500 см3, нагревают на водяной бане до температуры (32 +/- 2) °C. При наличии кусочков фруктов или других пищевкусовых продуктов, не отделяемых от массы льда, нагретый образец гомогенизируют в течение 1 - 3 мин при частоте вращения ножей от 2000 до

до получения однородной массы. Полученный образец переносят в колбу с притертой пробкой и охлаждают до температуры (20 +/- 2) °C.
Во избежание расслоения льда пробу отбирают сразу после гомогенизации.
8.2.2. Подготовка проб для определения токсичных элементов - по
ГОСТ 26929.
8.2.3. Подготовка проб для определения радионуклидов - по
ГОСТ Р 54015.
8.2.4. Подготовка проб для определения микотоксинов - по
ГОСТ 28038.
8.2.5. Подготовка проб для определения пестицидов - по
ГОСТ 23452.
8.2.6. Подготовка проб для определения антибиотиков (только для молочных льдов) - по
ГОСТ 31903.
| | ИС МЕГАНОРМ: примечание. Нумерация пунктов дана в соответствии с официальным текстом документа. | |
8.2.8. Подготовка проб для определения микробиологических показателей - по
ГОСТ 26669.
8.2.9. Методы отбора проб для микробиологических анализов - по
ГОСТ Р 54004.
8.3. Определение органолептических показателей
Внешний вид и цвет льдов определяют визуально, консистенцию, структуру и вкус - органолептически на соответствие требованиям, приведенным в
таблице 1.
8.4. Определение массовой доли сахарозы во льдах
(5.2.2) поляриметрическим методом в диапазоне измерений от 12,0% до 27,0%
8.4.1. Сущность метода
Метод основан на разрушении всех сахаров, за исключением сахарозы, под воздействием температуры в щелочной среде и последующем поляриметрическом определении массовой доли сахарозы.
8.4.2. Средства измерений, вспомогательное оборудование, реактивы
Сахариметр универсальный с диапазоном измерений в международных сахарных градусах при длине волны 589,3 нм от минус 40 °S до плюс 120 °S, ценой деления отсчетного устройства не более 0,05 °S, с пределом абсолютной допускаемой погрешности +/- 0,05 °S, с кюветой длиной 400 мм.
Весы со значением среднего квадратического отклонения (СКО), не превышающим 0,03 мг, и с погрешностью от нелинейности не более +/- 0,06 мг по документации изготовителя.
Весы неавтоматического действия по
ГОСТ Р 53228 с пределами допускаемой абсолютной погрешности не более +/- 0,01 г.
Термометр жидкостный с диапазоном измерений от 0 °C до 100 °C, с ценой деления шкалы 1 °C по
ГОСТ 28498.
Баня водяная термостатируемая, обеспечивающая поддержание температуры в интервале от 0 °C до 100 °C с абсолютной погрешностью +/- 2 °C.
Шкаф сушильный, обеспечивающий поддержание заданного температурного режима в диапазоне измерений от 100 °C до 200 °C с абсолютной погрешностью +/- 2 °C.
Стаканы В-1-100 ТС, Н1-100 ТС, В-1-500 ТС, Н-1-500 ТС по
ГОСТ 25336.
Колбы Кн-1-250 ТС, Кн-2-250 ТС, Кн-1-500 ТС, Кн-2-500 ТС по
ГОСТ 25336.
Колбы мерные исполнения 1 и 2, 2-го класса точности, номинальной вместимостью 100, 200, 500, 1000 см3 по
ГОСТ 1770.
Пипетки 2-го типа, исполнения 1 или 2, 2-го класса точности, вместимостью 5 и 25 см3 по
ГОСТ 29227.
Цилиндры 1-100-1, 1-100-2, 3-100-1, 3-100-2 по
ГОСТ 1770.
Воронки В-36-50 ХС, В-75-110 ХС, ВС-100-150 ХС по
ГОСТ 25336.
Эксикатор исполнения 2 по
ГОСТ 25336 с кальцием хлористым обезвоженным.
Палочки стеклянные оплавленные.
Калий бромноватокислый, х.ч., по
ГОСТ 4457, стандарт-титр молярной концентрации 0,1 моль/дм3.
Калий железистосинеродистый 3-водный, х.ч. или ч.д.а., по
ГОСТ 4207, раствор массовой концентрации 150 г/дм3.
Кальция окись, ч.д.а., по
ГОСТ 8677, свежепрокаленная.
Кальций хлористый прокаленный по
ГОСТ 450.
Кислота соляная, х.ч., по
ГОСТ 3118, водный раствор молярной концентрации 4,0 моль/дм3.
Кислота уксусная, х.ч., по
ГОСТ 61.
Крахмал растворимый по
ГОСТ 10163, раствор массовой долей 1%.
Натрий серноватистокислый (тиосульфат натрия) 5-водный, х.ч., по
ГОСТ 27068, стандарт-титр молярной концентрации 0,1 моль/дм3.
Натрий углекислый безводный по
ГОСТ 83, х.ч.
Цинк уксуснокислый, ч.д.а., по
ГОСТ 5823, раствор массовой концентрации 300 г/дм3.
Вода бидистиллированная.
Допускается применение других средств измерений с метрологическими характеристиками и оборудования с техническими характеристиками, а также реактивов по качеству не ниже вышеуказанных.
8.4.3. Подготовка к анализу
8.4.3.1. Приготовление водного раствора уксуснокислого цинка массовой концентрации 300 г/дм3
В мерную колбу вместимостью 1000 см3 помещают (300,0 +/- 0,1) г уксуснокислого цинка, растворяют в небольшом количестве дистиллированной воды. Объем раствора доводят дистиллированной водой до метки.
Срок хранения раствора при температуре (20 +/- 5) °C - не более 3 мес.
8.4.3.2. Приготовление водного раствора железистосинеродистого калия массовой концентрации 150 г/дм3
В мерную колбу вместимостью 1000 см3 помещают (150,0 +/- 0,1) г железистосинеродистого калия, растворяют в небольшом количестве дистиллированной воды. Объем раствора доводят дистиллированной водой до метки.
Срок хранения раствора в темном месте в бутыли из темного стекла при температуре (20 +/- 5) °C - не более 3 мес.
8.4.3.3. Приготовление раствора бромноватокислого калия молярной концентрации 0,2 моль/дм3
а) Приготовление раствора бромноватокислого калия молярной концентрации 0,2 моль/дм3 из стандарт-титра молярной концентрации 0,1 моль/дм3
Содержимое одной ампулы количественно переносят в мерную колбу вместимостью 500 см3. Объем раствора доводят дистиллированной водой до метки. Раствор хранят в плотно закрытой бутыли, не допуская резких колебаний температуры. Проверяют титр по раствору тиосульфата натрия молярной концентрации 0,1 моль/дм3 по
8.4.3.3 в).
Срок хранения раствора в темном месте в бутыли из темного стекла при температуре (20 +/- 5) °C - не более 1 мес.
б) Приготовление раствора бромноватокислого калия молярной концентрации 0,2 моль/дм3 из реактива
Бромноватокислый калий высушивают при температуре (150 +/- 2) °C до постоянной массы и охлаждают в эксикаторе. В мерную колбу вместимостью 1000 см3 помещают (5,57 +/- 0,01) г бромноватокислого калия, растворяют в небольшом количестве дистиллированной воды. Объем раствора доводят дистиллированной водой до метки. Проверяют титр по раствору тиосульфата натрия молярной концентрации 0,1 моль/дм3 по 8.4.3.3 в).
Срок хранения раствора в темном месте в бутыли из темного стекла при температуре (20 +/- 5) °C - не более 1 мес.
в) Установление титра бромноватокислого калия
В коническую колбу вместимостью 250 - 300 см3 с притертой пробкой отмеряют 25 см3 приготовленного раствора бромноватокислого калия, прибавляют 2,0 г йодистого калия и 5 см3 концентрированной соляной кислоты, тщательно перемешивают и титруют раствором серноватистокислого натрия молярной концентрации 0,1 моль/дм3.
После перехода окраски титруемого раствора из бурой в желтоватую добавляют 1 см3 раствора крахмала массовой долей 1% и продолжают титрование до исчезновения синей окраски раствора.
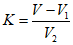
Проводят контрольный опыт, используя 25 см3 дистиллированной воды вместо раствора бромноватокислого калия. Если после добавления 1 см3 раствора крахмала массовой долей 1% раствор окрашивается в синий цвет, его титруют раствором тиосульфата натрия молярной концентрации 0,2 моль/дм3 до обесцвечивания. Коэффициент поправки K на исходную концентрацию бромноватокислого калия рассчитывают по формуле:

, (1)
где V - объем раствора серноватистокислого натрия, израсходованный на титрование, см3;

- объем раствора серноватистокислого натрия, израсходованный на контрольный опыт, см3;

- объем раствора бромноватокислого калия, взятый для титрования, см3.
8.4.3.4. Приготовление раствора соляной кислоты молярной концентрации 4 моль/дм3
64 см3 концентрированной соляной кислоты (плотностью 1190 кг/м3) помещают в мерную колбу вместимостью 200 см3, добавляют дистиллированной воды, охлаждают до температуры (20 +/- 2) °C и доводят объем раствора дистиллированной водой до метки.
Срок хранения раствора в темном месте в бутыли из темного стекла при температуре (20 +/- 5) °C - не более 1 мес.
8.4.3.5. Приготовление раствора калия двухромовокислого молярной концентрации 0,017 моль/дм3
4,9038 г калия двухромовокислого, перекристаллизованного и высушенного при 100 °C, количественно переносят в мерную колбу вместимостью 1000 см3 и растворяют в небольшом количестве дистиллированной воды. Объем раствора доводят дистиллированной водой до метки. Допускается приготовление раствора с использованием стандартного раствора калия двухромовокислого молярной концентрации 0,1 моль/дм3.
Срок хранения раствора в темном месте в бутыли из темного стекла при температуре (20 +/- 5) °C - не более 1 мес.
8.4.3.6. Приготовление раствора серноватистокислого натрия (тиосульфата натрия) молярной концентрации 0,1 моль/дм3
а) Для приготовления раствора тиосульфата натрия используют дистиллированную свежепрокипяченную воду. Охлаждают воду в колбе с закрытой пробкой, через которую проходит хлоркальциевая трубка, наполненная кусочками прокаленного или гранулированного хлористого кальция.
В мерную колбу вместимостью 1000 см3 помещают (24,8 +/- 0,1) г тиосульфата натрия, растворяют в небольшом количестве дистиллированной воды и прибавляют (0,20 +/- 0,01) г безводного углекислого натрия. Объем раствора доводят дистиллированной водой до метки.
Срок хранения раствора в темном месте в бутыли из темного стекла при температуре (20 +/- 5) °C - не более 1 мес.
б) Установление титра раствора тиосульфата натрия
В коническую колбу вместимостью 500 см3 вносят 1 - 2 г калия йодистого, растворяют его в 2 - 3 см3 воды, прибавляют 5 см3 соляной кислоты, разбавленной дистиллированной водой в соотношении 1:5 по объему, и 20 см3 раствора двухромовокислого калия
(8.4.3.5). Закрыв колбу пробкой, содержимое тщательно перемешивают, дают раствору постоять 5 мин, затем титруют раствором тиосульфата натрия, приливая его из бюретки постепенно, все время перемешивая жидкость. Когда коричневый цвет раствора перейдет в желтовато-зеленый, добавляют в колбу 1 см3 1%-ного раствора крахмала и, для более четкого определения окончания титрования, 250 - 300 см3 дистиллированной воды. Титрование продолжают, приливая тиосульфат натрия по каплям до резкого перехода цвета раствора от синего до светло-зеленого.
Коэффициент поправки

на исходную концентрацию натрия тиосульфата рассчитывают по формуле:

, (2)
где

- объем раствора двухромовокислого калия, см3;

- объем раствора серноватистокислого натрия, израсходованного на титрование, см3.
8.4.3.7. Приготовление раствора крахмала массовой долей 1%
(1,0 +/- 0,1) г крахмала размешивают в 10 см3 холодной бидистиллированной воды. Полученную смесь приливают тонкой струей при непрерывном помешивании в 90 см3 кипящей дистиллированной воды и кипятят 2 мин. Горячий готовый раствор крахмала отфильтровывают в бутылку, охлаждают и закрывают пробкой.
Приготовленный водный раствор крахмала можно пропастеризовать при температуре (85 +/- 2) °C. В таком виде раствор крахмала сохраняется в течение 1 мес при температуре (6 +/- 2) °C.
8.4.4. Проведение анализа
8.4.4.1. Приготовление фильтрата анализируемой пробы
В стакан вместимостью 100 см3 взвешивают (26,00 +/- 0,01) г продукта, подготовленного по
8.2.1. Навеску растирают стеклянной палочкой с небольшим количеством дистиллированной воды температурой (45 +/- 2) °C, количественно переносят в мерную колбу вместимостью 200 см3, смывая стакан несколько раз водой. Воду для смыва нужно брать в количестве, равном приблизительно половине объема колбы.
Содержимое колбы охлаждают до температуры (20 +/- 2) °C и прибавляют 3 см3 раствора уксуснокислого цинка и 3 см3 раствора железистосинеродистого калия.
После добавления каждого раствора содержимое колбы осторожно перемешивают во избежание образования пузырьков. Добавляют 50 см3 раствора бромноватокислого калия молярной концентрации 0,2 моль/дм3 и перемешивают. Содержимое колбы доводят дистиллированной водой до метки, тщательно перемешивают. Через 10 мин раствор фильтруют через сухой складчатый фильтр в сухую колбу.
8.4.4.2. 50 см3 фильтрата пипеткой вносят в мерную колбу вместимостью 100 см3, добавляют в колбу 0,4 г оксида кальция и, помешивая, выдерживают колбу в кипящей водяной бане 4 - 5 мин. После этого содержимое колбы быстро охлаждают до температуры (20 +/- 2) °C и прибавляют 1 - 2 см3 концентрированной уксусной кислоты до полного растворения осадка. Объем раствора доводят дистиллированной водой до метки, тщательно перемешивают и фильтруют раствор через сухой складчатый фильтр.
8.4.4.3. Фильтрат поляризуют без светофильтра в поляриметрической кювете длиной 400 мм.
Кювету заполняют раствором дважды и каждый раз делают по четыре - пять отсчетов по шкале сахариметра. Среднеарифметическое значение результатов показаний шкалы сахариметра (P) находят из восьми - десяти отсчетов.
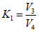
8.4.4.4. Определение поправки на объем осадка
Для определения поправки на объем осадка 25 см3 фильтрата пипеткой переносят в коническую колбу с притертой пробкой вместимостью 250 см3. Добавляют 0,6 г калия йодистого и 5 см3 раствора соляной кислоты молярной концентрации 4 моль/дм3.
Раствор перемешивают и титруют раствором серноватистокислого натрия молярной концентрации 0,1 моль/дм3. После перехода окраски титруемого раствора из бурой в желтоватую прибавляют в колбу 1 см3 свежеприготовленного раствора крахмала массовой долей 1% и продолжают титрование до исчезновения синей окраски.
Поправку

на объем осадка для данного вида продукта рассчитывают по формуле:

, (3)
где 12,5 - теоретический объем раствора серноватистокислого натрия молярной концентрации 0,1 моль/дм3 (0,1 н), необходимый для титрования бромноватокислого калия, оставшегося в фильтрате, см3;
V - объем раствора серноватистокислого натрия, пошедшего на титрование, см3.
Для определения поправки

проводят три - пять параллельных измерений с расчетом до четвертого десятичного знака и вычисляют среднеарифметическое значение, округляя его до третьего десятичного знака. При этом расхождение между наибольшим и наименьшим значениями результатов параллельных измерений не должно быть более 0,001.
8.4.4.5. Обработка результатов
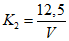
Массовую долю сахарозы S, %, рассчитывают по формуле:

, (4)
где P - среднеарифметическое значение показаний шкалы сахариметра, градус сахара, принятое за результат единичного анализа;

- поправка на объем осадка для данного вида продукта, определенная по
8.4.4.4;
2 - коэффициент для пересчета показаний сахариметра в массовую долю сахарозы.
Расчет проводят до первого десятичного знака.
За окончательный результат измерений принимают среднеарифметическое значение результатов двух параллельных определений, выполненных в условиях повторяемости, округленное до первого десятичного знака, если выполняется условие приемлемости:

, (5)
где

и

- результаты двух измерений, выполненных в условиях повторяемости, %;
r - предел повторяемости (сходимости), равный 0,5% при P = 0,95.
Предел воспроизводимости R двух результатов определений, выполненных в условиях воспроизводимости, не должен превышать 1,0% при P = 0,95.
Границы абсолютной погрешности результатов измерений массовой доли сахарозы при P = 0,95 составляют +/- 0,6%.
Окончательный результат измерения представляют в виде:

, (6)
где

- среднеарифметическое результатов двух параллельных определений массовой доли сахарозы, выполненных в условиях повторяемости, %;

- границы абсолютной погрешности измерений массовой доли сахарозы поляриметрическим методом, %.
8.5. Определение массовой доли сахаров (включая сахарозу) - по фактической закладке в диапазоне измерений от 12,0% до 27,0%.
8.6. Определение массовой доли сухих веществ фруктов (для льдов фруктовых и фруктовых с ароматом) - по фактической закладке сухих веществ фруктов и продуктов их переработки.
8.7. Определение массовой доли сухих веществ молока (для молочных льдов) - по фактической закладке молочных продуктов и продуктов их переработки.
8.8. Определение массовой доли общих сухих веществ во льдах в диапазоне измерений от 12,0% до 30,0%
8.8.1. Сущность метода
Термогравиметрический метод основан на изменении массы исследуемого продукта под воздействием температуры.
8.8.2. Средства измерений, вспомогательное оборудование, реактивы
Весы со значением среднего квадратического отклонения (СКО), не превышающим 0,03 мг, и с погрешностью от нелинейности не более +/- 0,06 мг по документации изготовителя.
Анализатор потенциометрический диапазоном измерения от 0 до 14 ед. pH, ценой деления шкалы 0,05 ед. pH.
Шкаф сушильный лабораторный типа СЭШ, обеспечивающий поддержание температуры (102 +/- 2) °C.
Термометр жидкостный диапазоном измерения от 0 °C до 200 °C ценой деления шкалы 1 °C по
ГОСТ 28498.
Баня водяная термостатируемая, обеспечивающая поддержание температуры в интервале от 0 °C до 100 °C с погрешностью +/- 2 °C.
Блендер для гомогенизации лабораторного образца, включающий емкость вместимостью 1,0 дм3 с крышкой.
Стаканчики СН-60/14 для взвешивания по
ГОСТ 25336 или бюксы металлические того же размера.
Бумага индикаторная, обеспечивающая контроль активной кислотности в интервале значений pH от 5,0 до 8,0.
Сито лабораторное диаметром отверстий 1,0 - 1,5 мм.
Палочки стеклянные оплавленные, не выступающие за края стаканчика для взвешивания (бюксы).
Песок речной.
Кальций хлорид обезвоженный (для эксикатора).
Кислота соляная концентрированная, х.ч., по
ГОСТ 3118.
Допускается применение других средств измерений с метрологическими характеристиками и оборудования с техническими характеристиками, а также реактивов по качеству не ниже вышеуказанных.
8.8.3. Подготовка к анализу
8.8.3.1. Подготовка песка
Песок просеивают через сито и отмывают питьевой водой от взвешенных частиц. Затем заливают раствором соляной кислоты объемной долей 50% так, чтобы песок был полностью покрыт кислотой. Периодически песок помешивают стеклянной палочкой и отстаивают в течение 10 ч. Соляную кислоту сливают, песок промывают питьевой водой до достижения значения pH = 7,0 (контроль pH ведут по индикаторной бумаге или потенциометрическим анализатором), затем дистиллированной водой, после чего высушивают и прокаливают. Хранят песок в банке, плотно закрытой пробкой.
8.8.4. Проведение анализа
8.8.4.1. Стаканчик (или бюксу) с 20 - 30 г песка, подготовленного по 8.8.3.1, со стеклянной палочкой, не выступающей за его края, и отдельно крышку высушивают в сушильном шкафу при (102 +/- 2) °C в течение 60 мин. Стаканчик (бюксу) закрывают крышкой, охлаждают в эксикаторе в течение 45 мин и взвешивают с записью результата взвешивания в граммах до третьего десятичного знака.
Песок в стаканчике сдвигают к одной стенке, а на свободное место помещают (2,5000 +/- 0,0001) г льда, подготовленного по
8.2.1, закрывают крышкой и взвешивают с палочкой, с записью результата взвешивания в граммах до третьего десятичного знака.
8.8.4.2. К исследуемой пробе льда добавляют 5 см3 дистиллированной воды и тщательно перемешивают разбавленную пробу с песком с помощью стеклянной палочки. Смесь равномерно распределяют по дну стаканчика (бюксы). Стеклянную палочку оставляют погруженной одним концом в смесь.
8.8.4.3. Открытый стаканчик (или бюксу) нагревают на кипящей водяной бане в течение приблизительно 30 мин, постоянно перемешивая палочкой до получения рассыпающейся массы.
Стаканчик (бюксу) вынимают из водяной бани и тщательно вытирают дно стаканчика. Затем открытый стаканчик (или бюксу) с палочкой и крышку помещают в сушильный шкаф и термостатируют в течение 3 ч при температуре (102 +/- 2) °C.
8.8.4.4. Через 3 ч стаканчик вынимают из сушильного шкафа, закрывают крышкой, охлаждают в эксикаторе до комнатной температуры (примерно 45 мин) и взвешивают с записью результата взвешивания в граммах до третьего десятичного знака.
8.8.4.5. Открытый стаканчик (бюксу) с палочкой и крышкой опять помещают в термостат и нагревают в течение 1 ч, далее - в соответствии с 8.8.4.4.
8.8.4.6. Процесс нагревания и взвешивания, описанный в 8.8.4.4, повторяют до получения разницы между двумя последовательными взвешиваниями не превышающей 0,005 г.
Если при одном из взвешиваний будет обнаружено увеличение массы стаканчика, то для расчетов используют результаты предыдущего взвешивания.
8.8.5. Обработка и расчет результатов измерений
8.8.5.1. Массовую долю общих сухих веществ X, %, рассчитывают по формуле:

, (7)
где

- масса стаканчика (или бюксы) с песком, крышкой и стеклянной палочкой, г;

- масса стаканчика (или бюксы) с песком, крышкой, стеклянной палочкой и анализируемой пробой до высушивания, г;

- масса стаканчика (или бюксы) с песком, крышкой, стеклянной палочкой и анализируемой пробой после высушивания, г.
Расчет проводят до первого десятичного знака.
8.8.5.2. За окончательный результат измерения массовой доли общих сухих веществ в продукте принимают среднеарифметическое значение результатов двух параллельных определений, округленное до первого десятичного знака, если выполняется условие приемлемости:

, (8)
где

и

- результаты двух измерений, выполненных в условиях повторяемости, %;
r - предел повторяемости (сходимости), равный 0,3% при P = 0,95.
Предел воспроизводимости R двух результатов определений, выполненных в условиях воспроизводимости, не должен превышать 0,5% при P = 0,95.
Границы абсолютной погрешности результатов измерений массовой доли общих сухих веществ во льдах при P = 0,95 составляют +/- 0,4%.
Окончательный результат измерений представляют в виде:

, (9)
где

- среднеарифметическое результатов двух параллельных определений массовой доли общих сухих веществ, выполненных в условиях повторяемости, %;

- границы абсолютной погрешности измерений массовой доли общих сухих веществ термогравиметрическим методом, %.
Кислотность продукта, °Т (градус Тернера) - объем в кубических сантиметрах раствора гидроокиси натрия (NaOH) молярной концентрации 0,1 моль/дм3, необходимый для нейтрализации свободных кислот, кислых солей и свободных кислотных групп, содержащихся в 100 г продукта.
8.9.1. Определение кислотности льда с применением индикатора фенолфталеина в диапазоне измерений от 50 °Т до 140 °Т
8.9.1.1. Сущность метода
Метод с применением индикатора фенолфталеина основан на нейтрализации кислот, содержащихся в продукте, раствором гидроокиси натрия в присутствии индикатора фенолфталеина.
8.9.1.2. Средства измерений, вспомогательное оборудование и реактивы
Весы неавтоматического действия по
ГОСТ Р 53228 с пределами допускаемой абсолютной погрешности не более +/- 0,001 г.
Шкаф сушильный с терморегулятором, обеспечивающий поддержание температуры (50 +/- 2) °C.
Баня водяная.
Термометр ртутный стеклянный с диапазоном измерения от 0 °C до 100 °C, с ценой деления 0,1 °C по
ГОСТ 28498.
Колбы Кн-2-250, Кн-2-100, П-2-250-34 ТС, П-2-250-50 ТС, П-2-100-34 ТС по
ГОСТ 25336.
Бюретки 6-1-10-0,02, 6-2-10-0,02, 7-1-10-0,02, 7-2-10-0,02 по
ГОСТ 29251.
Гомогенизатор роторный с четырехлопастным ножом, угловой скоростью вращения ножей от 1000 до

и вместимостью стакана 1000 см3.
Палочки стеклянные.
Натрия гидроокись стандарт-титр, раствор молярной концентрации 0,1 моль/дм3.
Фенолфталеин, 70%-ный спиртовой раствор массовой концентрации фенолфталеина 10 г/дм3.
Спирт этиловый ректификованный по
ГОСТ 5962 или спирт этиловый технический (гидролизный) по
ГОСТ 17299, или спирт этиловый ректификованный технический по
ГОСТ 18300.
Допускается применение других средств измерений с метрологическими характеристиками и оборудования с техническими характеристиками, а также реактивов по качеству не ниже вышеуказанных.
8.9.1.3. Подготовка к анализу
Приготовление раствора фенолфталеина
В мерную колбу вместимостью 100 см3 помещают (1,000 +/- 0,001) г фенолфталеина, приливают 73 см3 этилового спирта и перемешивают. Объем раствора доводят дистиллированной водой до метки.
Срок хранения раствора в темном месте в бутыли из темного стекла при температуре (20 +/- 5) °C не более 3 мес.
8.9.1.4. Проведение анализа
В колбу вместимостью 250 см3 взвешивают (5,000 +/- 0,001) г льда, подготовленного по
8.2.1, добавляют 30 см3 дистиллированной воды и три капли фенолфталеина. Смесь тщательно перемешивают и титруют раствором гидроокиси натрия до появления слабо-розового окрашивания, не исчезающего в течение 1 мин.
8.9.1.5. Обработка результатов
Кислотность, в градусах Тернера (°Т), находят умножением объема, см3, раствора гидроокиси натрия, затраченного на нейтрализацию кислот, содержащихся в продукте, на коэффициент 20.
За окончательный результат измерений принимают среднеарифметическое значение результатов двух параллельных определений, округленное до целого числа, если выполняется условие приемлемости:

, (10)
где

и

- результаты двух измерений, выполненных в условиях повторяемости, °Т;
r - предел повторяемости (сходимости), равный 2,6 °Т при P = 0,95.
Предел воспроизводимости R двух результатов определений, выполненных в условиях воспроизводимости, не должен превышать 3,8 °Т при P = 0,95.
Границы абсолютной погрешности результатов измерений кислотности во льде с применением индикатора фенолфталеина при P = 0,95 составляют +/- 2,7 °Т.
Окончательный результат представляют в виде:

, (11)
где

- среднеарифметическое результатов двух параллельных определений кислотности, выполненных в условиях повторяемости, °Т;

- границы абсолютной погрешности измерений кислотности, Т.
8.9.2. Определение кислотности льда потенциометрическим методом в диапазоне измерений от 50 °Т до 100 °Т.
Метод применяется при возникновении разногласий при оценке качества.
8.9.2.1. Сущность метода
Потенциометрический метод основан на нейтрализации свободных кислот, кислых солей и свободных кислотных групп раствором гидроокиси натрия до значения pH 8,80.
8.9.2.2. Средства измерений, вспомогательное оборудование, реактивы
Весы неавтоматического действия по
ГОСТ Р 53228 с пределами допускаемой абсолютной погрешности не более +/- 0,001 г.
Анализатор потенциометрический, обеспечивающий измерения в диапазоне от 4,5 до 9,0 ед. pH, с пределами абсолютной погрешности +/- 0,01 ед. pH.
Палочки стеклянные.
Натрия гидроокись стандарт-титр раствор молярной концентрации 0,1 моль/дм3.
Допускается применение других средств измерений с метрологическими характеристиками и оборудования с техническими характеристиками, а также реактивов по качеству не ниже вышеуказанных.
8.9.2.3. Проведение анализа
В стакан вместимостью 50 см3 взвешивают (10,00 +/- 0,01) г льда, подготовленного по
8.2.1. Добавляют 20 см3 дистиллированной воды и тщательно перемешивают.
Электроды потенциометрического анализатора погружают в стакан со смесью.
Содержимое стакана титруют раствором гидроокиси натрия, постоянно перемешивая, до значения активной кислотности 8,80 ед. pH.
Определяют объем раствора гидроокиси натрия в кубических сантиметрах, израсходованный на титрование смеси, с отсчетом результата измерений до 0,05 см3.
8.9.2.4. Обработка результатов
Титруемая кислотность льда в градусах Тернера равна объему раствора гидроокиси натрия молярной концентрации 0,1 моль/дм3, израсходованному на нейтрализацию 10,00 г анализируемой пробы, умноженному на 10.
За окончательный результат измерения принимают среднеарифметическое значение результатов двух параллельных определений, округленное до первого десятичного знака, если выполняется условие приемлемости:

, (12)
где

и

- результаты двух измерений, выполненных в условиях повторяемости, °Т;
r - предел повторяемости (сходимости), равный 1,2 °Т при P = 0,95.
Предел воспроизводимости R двух результатов определений, выполненных в условиях воспроизводимости, не должен превышать 2,2 °Т при P = 0,95.
Границы абсолютной погрешности результатов измерений кислотности льда потенциометрическим методом при P = 0,95 составляют +/- 1,5 °Т.
Окончательный результат представляют в виде:

, (13)
где

- среднеарифметическое результатов двух параллельных определений кислотности, выполненных в условиях повторяемости, °Т;

- границы абсолютной погрешности измерений кислотности потенциометрическим методом, °Т.
8.10. Определение температуры
Термометры электронные контактные, обеспечивающие измерение температуры продукта в диапазоне от минус 40 °C до 0 °C с погрешностью измерения +/- 2,0 °C.
За окончательный результат измерений принимают среднее арифметическое значение результатов трех параллельных определений, округленное до целого числа.
Температуру льдов измеряют в центре порции.
8.11. Определение массовой доли пищевкусовых продуктов, ароматизаторов, стабилизаторов, эмульгаторов и красителей во льдах проводят расчетным путем в соответствии с рецептурой изготовителя.
8.12. Метод контроля взбитости льда в процессе его изготовления (после фризерования) в диапазоне измерений от 0% до 30%
8.12.1. Сущность метода
Метод основан на измерении масс фиксированного объема смеси, поступающей во фризер, и того же объема насыщенной воздухом смеси для льда, выходящей из фризера, и расчете взбитости льда.
8.12.2. Средства измерений и вспомогательное оборудование
Весы неавтоматического действия по
ГОСТ Р 53228 с пределами допускаемой абсолютной погрешности не более +/- 1 г.
Стаканы из нержавеющей стали номинальной вместимостью 50, 100, 150 и 200 см3.
Нож или шпатель из нержавеющей стали, или шпатель пластиковый.
Шкаф сушильный электрический.
8.12.3. Проведение анализа
Стакан заполняют вровень с краем стакана смесью для льда и взвешивают с записью результата до 1 г.
Стакан освобождают от смеси, моют питьевой водой, сушат в сушильном шкафу, охлаждают при комнатной температуре и взвешивают с записью результата до 1 г.
Подготовленный стакан заполняют выходящим из фризера льдом, не допуская образования пустот, вровень с краем стакана. Выступающий за край стакана лед осторожно снимают ножом или шпателем. Стакан со льдом взвешивают с записью результата с точностью до 1 г.
8.12.4. Обработка результатов
Взбитость льда B, %, рассчитывают по формуле:

, (14)
где

- масса стакана, заполненного смесью, г;

- масса стакана, заполненного льдом, г;

- масса стакана, г;
100 - коэффициент пересчета отношения в проценты.
Предел относительной погрешности измерений при доверительной вероятности P = 0,95 +/- 10%.
За окончательный результат измерений принимают среднее арифметическое значение результатов трех параллельных определений, округленное до целого числа.
8.19. Определение антибиотиков (для молочных льдов) - по
ГОСТ 31903.
8.21. Определение количества мезофильных аэробных и факультативно-анаэробных микроорганизмов - по
ГОСТ Р 53430,
ГОСТ 10444.15.
8.22. Выявление и определение бактерий группы кишечных палочек (колиформных бактерий) - по
ГОСТ Р 53430,
ГОСТ 31746.
8.23. Выявление бактерий рода Salmonella (для молочных льдов) - по
ГОСТ Р 52814.
8.24. Выявление и определение количества Staphylococcus aureus (для молочных льдов) - по
ГОСТ 10444.2.
8.25. Выявление и определение бактерий Listeria monocytogenes (для молочных льдов) - по
ГОСТ Р 51921,
ГОСТ 32031.
9. Транспортирование и хранение
9.1. Льды транспортируют специализированными транспортными средствами, обеспечивающими сохранность продукта в течение всего срока транспортирования.
9.2. Транспортирование льдов проводят в условиях, обеспечивающих поддержание температуры продукта не выше минус 18 °C.
9.3. Срок годности льдов устанавливает изготовитель.
9.4. Рекомендуемый срок годности льдов - не более 12 мес с даты изготовления в невскрытой потребительской упаковке.
9.5. Льды хранят при температуре не выше минус 18 °C.
(обязательное)
МАССОВЫЕ ДОЛИ ПИЩЕВКУСОВЫХ ПРОДУКТОВ ВО ЛЬДАХ
Массовые доли пищевкусовых продуктов во льдах приведены в таблице А.1.
Таблица А.1
Подвид льда | Наименование пищевкусовых продуктов | Массовая доля пищевкусового продукта, %, не менее |
С фруктами | Фрукты (целые, кусочки), за исключением черной смородины, вишни, клюквы | 1,4 (сухих веществ фруктов) |
Продукты переработки черной смородины, вишни и клюквы (сок, пюре и др.) | 1,2 (сухих веществ фруктов) |
Черная смородина, вишня, клюква (целые, кусочки) |
С орехами (с арахисом) | Ядра орехов (арахиса) обжаренные целые или дробленые | 6,0 |
С мармеладом | Мармелад (кусочки, крошка) | 6,0 |
С цукатами, изюмом, курагой, с черносливом | Цукаты, изюм, курага, чернослив | 8,0 |
С шоколадом, шоколадной стружкой, шоколадной крошкой, кокосовой стружкой | Шоколад, шоколадная стружка, шоколадная крошка, кокосовая стружка | 5,0 |
С мягкой карамелью, джемом, повидлом, вареньем, топингом, фруктовым наполнителем | Мягкая карамель, джем, повидло, варенье, топинг, фруктовый наполнитель (с массовой долей сухих веществ фруктов не менее 3,0%) | 8,0 |
С корицей | Корица | 0,01 |
Чайный | Водная вытяжка из чая | Из 1,0% (от массы льда) сухого чая |
Кофейный | Кофе быстрорастворимый | 0,3 |
Водная вытяжка из кофе | Из 2,0% (от массы льда) сухого кофе |
Примечание. Массовая доля пищевкусовых продуктов нормирована для массы льда без декоративных пищевых продуктов и глазури (шоколада). |
(обязательное)
ФОРМИРОВАНИЯ НАИМЕНОВАНИЯ СЛАДКОГО ПИЩЕВОГО ЛЬДА
(ДЛЯ ЭТИКЕТИРОВАНИЯ)
Б.1. В наименовании сладкого пищевого льда не указывают слова "сладкий пищевой".
Б.2. Наименование сладкого пищевого льда должно состоять из нескольких слов, являющихся терминами, и может быть дополнено придуманным названием.
Б.3. За основу берется термин "лед фруктовый" ("лед фруктовый с ароматом", "лед с ароматом", "лед молочный", "лед чайный", "лед кофейный").
Б.4. В наименовании льда фруктового слово "фруктовый" заменяют на наименование конкретного фрукта или их смеси. Порядок указания наименования фруктов при использовании их смеси определяется по убыванию их массовых долей.
Примеры записи - Лед персиковый, лед клубничный, лед яблочно-клубничный.
Б.5. В наименовании сладкого пищевого льда с использованием пищевкусовых продуктов указывают также их наименование.
Примеры записи - Лед яблочный с корицей, лед молочный с мягкой карамелью, лед чайный с малиновым джемом, лед кофейный с шоколадным топингом.
Б.6. В наименование льда с ароматом и с использованием ароматизаторов включают термин "с ароматом" с указанием конкретного аромата.
Примеры записи - Лед с ароматом клубники, лед яблочный с ароматом персика, лед молочный с ароматом крем-брюле, лед чайный с ароматом лимона, лед кофейный с ароматом сливок.
Б.7. В наименование льда с использованием ароматизатора натуральной ванили или других ароматизаторов, идентичных натуральной ванили, в том числе ванилина, включают термин "ванильный".
Пример записи - Лед молочный ванильный.
Б.8. В наименовании льда с использованием искусственных ароматизаторов ванили указывают слова: "с ароматом ванили".
Пример записи - Лед молочный с ароматом ванили.
Б.9. В наименовании многослойного льда указывают слова: "двухслойный" или "трехслойный".
Примеры записи - Лед двухслойный кофейный и молочный, лед двухслойный клубничный и с ароматом сливок.
(рекомендуемое)
ПОКАЗАТЕЛИ КИСЛОТНОСТИ СЛАДКИХ ПИЩЕВЫХ ЛЬДОВ
В ЗАВИСИМОСТИ ОТ МАССОВОЙ ДОЛИ ОБЩИХ СУХИХ ВЕЩЕСТВ
Показатели кислотности сладких пищевых льдов в зависимости от массовой доли общих сухих веществ приведены в таблице В.1.
Таблица В.1
Вид льда | Наименование и значение показателя |
Массовая доля общих сухих веществ, %, не менее | Кислотность, °Т, не более | Массовая доля общих сухих веществ, %, не менее | Кислотность, °Т, не более |
Фруктовый, фруктовый с ароматом | 13,0; | 65; | 21,0; | 105; |
14,0; | 70; | 22,0; | 110; |
15,0; | 75; | 23,0; | 115; |
16,0; | 80; | 24,0; | 120; |
17,0; | 85; | 25,0; | 125; |
18,0; | 90; | 26,0; | 130; |
19,0; | 95; | 27,0; | 135; |
20,0 | 100 | 28,0 | 140 |
С ароматом | 12,0; | 60; | 20,0; | 100; |
13,0; | 60; | 21,0; | 110; |
14,0; | 60; | 22,0; | 110; |
15,0; | 80; | 23,0; | 110; |
16,0; | 80; | 24,0; | 110; |
17,0; | 90; | 25,0; | 110; |
18,0; | 90; | 26,0; | 110; |
19,0 | 100 | 27,0 | 110 |
Молочный, молочный с ароматом | 15,0 - 22,0 | 50 | 23,0 - 30,0 | 50 |
Кофейный, кофейный с ароматом, чайный с ароматом | 12,0 - 22,0 | 50 | 23,0 - 27,0 | 50 |
| | Технический регламент Таможенного союза "О безопасности пищевой продукции" |
| | Технический регламент Таможенного союза "Технический регламент на соковую продукцию из фруктов и овощей" |
| | "Технический регламент на молоко и молочную продукцию" |
| | Технический регламент Таможенного союза "Требования безопасности пищевых добавок, ароматизаторов и технологических вспомогательных средств |
| | Питьевая вода. Гигиенические требования к качеству воды централизованных систем питьевого водоснабжения. Контроль качества |
| | Технический регламент Таможенного союза "О безопасности упаковки" |
| | Технический регламент Таможенного союза "Пищевая продукция в части ее маркировки". |