Главная // Актуальные документы // ГОСТ (Государственный стандарт)СПРАВКА
Источник публикации
В данном виде документ опубликован не был.
Первоначальный текст документа опубликован в издании
М.: ИПК Издательство стандартов, 2001.
Информацию о публикации документов, создающих данную редакцию, см. в справке к этим документам.
Примечание к документу
Документ утратил силу с 01.01.2021 в связи с изданием
Приказа Росстандарта от 03.11.2020 N 1030-ст. Взамен введен в действие
ГОСТ 11293-2017.
Документ включен в
Перечень международных и региональных (межгосударственных) стандартов, а в случае их отсутствия - национальных (государственных) стандартов, в результате применения которых на добровольной основе обеспечивается соблюдение требований технического
регламента Таможенного союза "О безопасности мяса и мясной продукции" (ТР ТС 34/2013) (
Решение Коллегии Евразийской экономической комиссии от 19.11.2019 N 198).
Документ включен в
Перечень стандартов, в результате применения которых на добровольной основе обеспечивается соблюдение требований технического
регламента Таможенного союза "Требования безопасности пищевых добавок, ароматизаторов и технологических вспомогательных средств" (ТР ТС 029/2012) (
Решение Коллегии Евразийской экономической комиссии от 02.10.2012 N 258).
Документ включен в
Перечень стандартов, в результате применения которых на добровольной основе обеспечивается соблюдение требований технического
регламента Таможенного союза "О безопасности пищевой продукции" (ТР ТС 021/2011) (
Решение Комиссии Таможенного союза от 09.12.2011 N 880).
С 1 июля 2003 года до вступления в силу технических регламентов акты федеральных органов исполнительной власти в сфере технического регулирования носят рекомендательный характер и подлежат обязательному исполнению только в части, соответствующей целям, указанным в
пункте 1 статьи 46 Федерального закона от 27.12.2002 N 184-ФЗ.
Документ включен в
Перечень национальных стандартов, содержащих правила и методы исследований (испытаний) и измерений, в том числе правила отбора образцов, необходимые для применения и исполнения Федерального
закона от 27.10.2008 N 178-ФЗ и осуществления оценки соответствия (
распоряжение Правительства РФ от 19.05.2009 N 690-р).
Документ включен в
Перечень национальных стандартов, в результате применения которых на добровольной основе обеспечивается соблюдение требований Федерального
закона от 27.10.2008 N 178-ФЗ "Технический регламент на соковую продукцию из фруктов и овощей" (
Приказ Ростехрегулирования от 28.04.2009 N 1540).
Ограничение срока действия снято по решению Межгосударственного Совета по стандартизации, метрологии и сертификации ("ИУС", N 11 - 12, 1994).
Изменение N 1, утв. Приказом Росстандарта от 27.12.2007 N 468-ст, введено в действие с 1 июля 2008 года.
Взамен ГОСТ 11293-78, ГОСТ 4821-77, ГОСТ ЭД 1 4821-87, ТУ 10-02-01-21-86.
Название документа
"ГОСТ 11293-89. Межгосударственный стандарт. Желатин. Технические условия"
(утв. и введен в действие Постановлением Госстандарта СССР от 26.12.1989 N 4152)
(ред. от 27.12.2007)
"ГОСТ 11293-89. Межгосударственный стандарт. Желатин. Технические условия"
(утв. и введен в действие Постановлением Госстандарта СССР от 26.12.1989 N 4152)
(ред. от 27.12.2007)
Утвержден и введен в действие
Постановлением Государственного
комитета по управлению
качеством продукции и стандартам
от 26 декабря 1989 г. N 4152
МЕЖГОСУДАРСТВЕННЫЙ СТАНДАРТ
ЖЕЛАТИН
ТЕХНИЧЕСКИЕ УСЛОВИЯ
Gelatin. Specifications
ГОСТ 11293-89
| | Список изменяющих документов Росстандарта от 27.12.2007 N 468-ст) | |
Группа Н98
ОКП 92 1931
92 1932
Дата введения
1 июля 1991 года
1. Разработан и внесен Государственным агропромышленным комитетом СССР.
Разработчики: Л.Н. Силаева (руководитель темы); С.И. Хорева; З.П. Прохорцева; Н.А. Строкова; О.В. Толстова.
2. Утвержден и введен в действие Постановлением Государственного комитета по управлению качеством продукции и стандартам от 26.12.89 N 4152.
3. Взамен ГОСТ 11293-78, ГОСТ 4821-77, ГОСТ ЭД 1 4821-87, ТУ 10-02-01-21-86.
4. Ссылочные нормативно-технические документы
Обозначение НТД, на который дана ссылка | Номер пункта |
| |
| |
| |
| |
| |
| |
| |
| |
| |
| |
| |
| |
| |
| |
| |
| |
| |
| |
| |
| |
| |
| |
| |
| |
| |
| |
| |
| |
| |
| |
| | ИС МЕГАНОРМ: примечание. ГОСТ 13502-86 утратил силу с 1 мая 2017 года в связи с введением в действие ГОСТ 33772-2016 (Приказ Росстандарта от 19.10.2016 N 1431-ст). | |
|
ГОСТ 13502-86 | |
| | ИС МЕГАНОРМ: примечание. ГОСТ 13513-86 утратил силу на территории Российской Федерации с 1 марта 2012 года в связи с введением в действие ГОСТ Р 54463-2011 (Приказ Росстандарта от 30.09.2011 N 433-ст). | |
|
ГОСТ 13513-86 | |
| |
| |
| |
(в ред. Изменения N 1, утв. Приказом Росстандарта от 27.12.2007 N 468-ст) |
| |
| |
(в ред. Изменения N 1, утв. Приказом Росстандарта от 27.12.2007 N 468-ст) |
| |
| |
ГОСТ 17206-84 | |
| |
| |
| |
| |
| |
| |
(в ред. Изменения N 1, утв. Приказом Росстандарта от 27.12.2007 N 468-ст) |
| |
Ссылка исключена с 1 июля 2008 года. - Изменение N 1, утв. Приказом Росстандарта от 27.12.2007 N 468-ст. |
| |
| |
| |
| |
| |
| |
| |
| |
| |
| |
| |
| |
| | ИС МЕГАНОРМ: примечание. В официальном тексте документа, видимо, допущена опечатка: имеется в виду ГОСТ 26931-86, а не ГОСТ 26831-86. | |
|
| |
| |
| |
| |
| |
ТУ 49 767-80 | |
ОСТ 17 442-74 | |
5. Ограничение срока действия снято по решению Межгосударственного Совета по стандартизации, метрологии и сертификации (ИУС 11-12-94).
6. Переиздание. Ноябрь 2001 г.
Настоящий стандарт распространяется на пищевой и технический желатин и устанавливает требования к продукции, изготовляемой для нужд народного хозяйства и экспорта.
1.1. В зависимости от свойств и назначения желатин подразделяют на следующие виды:
пищевой марок: К-13, К-11, К-10, П-19, П-17, П-15, П-13, П-11, П-9, П-7;
(в ред.
Изменения N 1, утв. Приказом Росстандарта от 27.12.2007 N 468-ст)
технический марок: Т-11, Т-9, Т-7, Т-4 и Т-2,5.
1.2. Пищевой желатин предназначен для розничной торговли и для применения в пищевой, в том числе в кондитерской, промышленности для производства мясных и рыбных консервов, желе, вин, мороженого, для приготовления заливных блюд, муссов, кремов, тортов, кондитерских и других изделий.
1.3. Технический желатин предназначен для применения в полиграфической и легкой промышленности для изготовления ценных бумаг, фотобумаги, для обработки тканей и для других нужд народного хозяйства.
2. ТЕХНИЧЕСКИЕ ТРЕБОВАНИЯ
2.1. Желатин должен быть изготовлен в соответствии с требованиями настоящего стандарта по технологической инструкции с соблюдением санитарных правил для предприятий желатиновой промышленности, утвержденных в установленном порядке.
2.2. Характеристики
2.2.1. По органолептическим и физико-химическим показателям желатин должен соответствовать требованиям, указанным в табл. 1.
Таблица 1
| | ИС МЕГАНОРМ: примечание. В официальном тексте Изменения N 1, утв. Приказом Росстандарта от 27.12.2007 N 468-ст, видимо, допущена опечатка: возможно имеется в виду марка П-15, а не П-16. | |
Наименование показателя | Характеристика и норма для желатина марок |
пищевого | технического |
| К-13 | К-11 | К-10 | П-19 | П-17 | П-16 | П-13 | П-11 | П-9 | П-7 | Т-11 | Т-9 | Т-7 | Т-4 | Т-2,5 |
Внешний вид | Гранулы, крупинки, пластинки, порошок | Гранулы, крупинки, пластинки, порошок, хлопья, чешуйки |
Цвет | От светло-желтого до желтого | От светло-желтого до светло-коричневого |
Запах | Без постороннего | Не нормируется |
Вкус | Пресный | Не нормируется |
Размер частиц, мм, не более | 5 | 10 | 10 |
Массовая доля мелких частиц <*>, %, не более | 30 | 48 |
Продолжительность растворения, мин, не более | 25 | Не нормируется |
Показатель активности водородных ионов водного раствора желатина с массовой долей 1%, ед. pH | От 5 до 7 |
Массовая доля влаги, %, не более | 16 |
Массовая доля золы, %, не более | 2,0 | 1,5 | 2,5 | 3,0 |
Прочность студня с массовой долей желатина 10%, Н, не менее | | 11 (1100) | 10 (1000) | 19 (1900) | 17 (1700) | 15 (1500) | 13 (1300) | 11 (1100) | 9 (900) | 7 (700) | 11 (1100) | 9 (900) | 7 (700) | 4 (400) | 2,5 (250) |
Динамическая вязкость раствора с массовой долей желатина 10%, мПа·с, не менее | 21,5 | 20,5 | 18,5 | 26,0 | 24,0 | 22,5 | 21,5 | 20,0 | 17,4 | 14,4 | 15,4 | 13,3 | 12,3 | 9,2 | 8,2 |
Температура плавления студня с массовой долей желатина 10%, °C, не менее | 32 | 32 | 30 | 32 | 32 | 30 | 27 | 31 | 30 | 29 | 26 | 23 |
Прозрачность раствора с массовой долей желатина 5%, %, не менее | 50 | 60 | 55 | 50 | 50 | 45 | 35 | 25 | 40 | 30 | 20 | Не нормируется |
Посторонние примеси, %, не более | Не допускаются | 0,1 |
(в ред.
Изменения N 1, утв. Приказом Росстандарта от 27.12.2007 N 468-ст)
--------------------------------
<*> Под мелкими частицами понимают частицы желатина размером 0,5 мм и менее.
<**> В скобках приведены нормы, выраженные в грамм-секундах.
Примечания.
1. Размер частиц желатина, выпускаемого в виде чешуек и хлопьев, не нормируется.
2. Для желатина марок К-13, К-11 и П-11, изготовленного кислотным способом из свиного сырья, норма температуры плавления допускается не менее 31 °C.
3. Нормы золы, прочности студня, динамической вязкости и температуры плавления указаны в пересчете на абсолютно сухой желатин.
2.2.2. Пищевой желатин по санитарно-гигиеническим показателям должен соответствовать требованиям, указанным в табл. 2.
Таблица 2
Наименование показателя | Норма для пищевого желатина | Метод анализа |
Сернистая кислота в пересчете на SO2, %, не более | 0,075 | |
Мезофильные аэробные и факультативно-анаэробные микроорганизмы, КОЕ, в 1 г желатина, не более | 1 · 105 | |
Бактерии группы кишечных палочек (колиформные) в 0,01 г желатина | Не допускаются | |
Патогенные микроорганизмы, в том числе сальмонеллы, в 25 г | Не допускаются | |
Желатинразжижающие бактерии, КОЕ, в 1 г желатина, не более | 2 · 102 | |
2.2.3. Требования к продукции, предназначенной для экспорта, определяются внешнеэкономической организацией.
Содержание тяжелых металлов и мышьяка в пищевом желатине не должно превышать норм, утвержденных Министерством здравоохранения.
(в ред.
Изменения N 1, утв. Приказом Росстандарта от 27.12.2007 N 468-ст)
Для выработки желатина используют:
мягкое коллагенсодержащее сырье от переработки шкур крупного рогатого скота (краевые участки от контурирования шкур, обезволошенные лобаши, спилок, спилковая обрезь, гольевая смесь) по ОСТ 17-442;
мягкое коллагенсодержащее сырье от переработки шкур свиней (краевые участки свиных шкур по ТУ 49767, спилковая обрезь по ОСТ 17-442).
Сырье должно поставляться из местности, благополучной по особо опасным и карантинным болезням животных, и быть допущено к переработке госветслужбой.
(абзац введен
Изменением N 1, утв. Приказом Росстандарта от 27.12.2007 N 468-ст)
2.4. Требования безопасности
2.4.1. Желатин относится к трудногорючим веществам. Температура воспламенения желатина 235 °C, температура самовоспламенения - 310 °C (тлеет). При действии открытого огня желатин обугливается.
Желатин не взрывоопасен. Нижний предел взрываемости аэровзвеси желатина - 162,5 г/м3.
2.4.2. Производственные помещения, где проводятся работы, связанные с измельчением и пересыпанием желатина, должны быть снабжены местной вытяжной вентиляцией. При работе в этих помещениях необходимо применять индивидуальные средства защиты (респираторы).
2.4.3. При пожаре для тушения следует использовать асбестовую ткань, воду, песок, воздушно-пенные, химические, порошковые и газовые огнетушители.
2.5. Маркировка
2.5.1. Потребительская маркировка должна быть оформлена красочно. Надписи наносят непосредственно на потребительскую тару с указанием следующих данных:
наименования предприятия-изготовителя и товарного знака;
наименования и марки желатина;
массы нетто;
срока хранения;
способа применения и пищевой ценности продукта (см.
Приложение 2);
даты выработки и номера смены;
обозначения настоящего стандарта.
2.5.2. Транспортная маркировка - по
ГОСТ 14192 с указанием следующих дополнительных данных:
наименования предприятия-изготовителя и товарного знака;
наименования и марки желатина;
номера партии;
массы нетто и брутто;
количества упаковочных единиц (пакетов, пачек);
даты выработки;
срока хранения (для пищевого желатина);
манипуляционного знака "Беречь от влаги";
(в ред.
Изменения N 1, утв. Приказом Росстандарта от 27.12.2007 N 468-ст)
обозначения настоящего стандарта.
Маркировку наносят на ярлык типографским способом.
Применяемые краски должны быть стойкими, без запаха и разрешены Министерством здравоохранения.
(в ред.
Изменения N 1, утв. Приказом Росстандарта от 27.12.2007 N 468-ст)
Клей для приклеивания ярлыка на транспортную тару должен быть нейтральным к таре и продукту.
2.6. Упаковка
2.6.1. Пищевой желатин должен быть упакован массой нетто не более 20 кг (допускается по согласованию с заказчиком упаковывать пищевой желатин массой нетто не более 25 кг):
(в ред.
Изменения N 1, утв. Приказом Росстандарта от 27.12.2007 N 468-ст)
в мешки продуктовые из пленочных полипропиленовых нитей по
ГОСТ 30090 или в мешки, изготовленные из других материалов, обеспечивающих качество, безопасность и сохранность пищевого желатина и разрешенных к применению Министерством здравоохранения для контакта с пищевыми продуктами;
(абзац введен
Изменением N 1, утв. Приказом Росстандарта от 27.12.2007 N 468-ст)
в фанерно-штампованные бочки по НТД с вложением пленочного или бумажного непропитанного трех- или четырехслойного мешка;
в картонно-навивные барабаны по
ГОСТ 17065 с вложением бумажного непропитанного трех- или четырехслойного или пленочного мешка.
2.6.2. Пищевой желатин, предназначенный для розничной торговли, фасуют по 10, 15, 25 и 50 г:
(в ред.
Изменения N 1, утв. Приказом Росстандарта от 27.12.2007 N 468-ст)
в пакеты по
ГОСТ 12302 из полимерных или комбинированных материалов;
| | ИС МЕГАНОРМ: примечание. ГОСТ 13502-86 утратил силу с 1 мая 2017 года в связи с введением в действие ГОСТ 33772-2016 (Приказ Росстандарта от 19.10.2016 N 1431-ст). | |
в пакеты из ламинированной бумаги по ГОСТ 13502.
Отрицательные отклонения массы нетто одной упаковочной единицы от номинального количества не должны превышать 9%. Отклонение массы нетто в сторону увеличения не ограничивается.
(в ред.
Изменения N 1, утв. Приказом Росстандарта от 27.12.2007 N 468-ст)
| | ИС МЕГАНОРМ: примечание. ГОСТ 13513-86 утратил силу на территории Российской Федерации с 1 марта 2012 года в связи с введением в действие ГОСТ Р 54463-2011 (Приказ Росстандарта от 30.09.2011 N 433-ст). | |
Пакеты с пищевым желатином укладывают в ящики из гофрированного картона по ГОСТ 13513 или в фанерные ящики по
ГОСТ 10131. Предельная масса продукции в ящиках по ГОСТ 13513: N 11 - 20 кг, N 22 - 15 кг.
Все материалы, используемые при фасовании и упаковывании пищевого желатина, должны быть разрешены для пищевых целей Министерством здравоохранени.
(в ред.
Изменения N 1, утв. Приказом Росстандарта от 27.12.2007 N 468-ст)
2.6.3. Упаковка, а также маркировка, транспортирование и хранение продукции, предназначенной для отгрузки в районы Крайнего Севера и приравненные к ним местности, - по
ГОСТ 15846.
(в ред.
Изменения N 1, утв. Приказом Росстандарта от 27.12.2007 N 468-ст)
2.6.4. Технический желатин должен быть упакован массой нетто не более 20 кг (допускается по согласованию с заказчиком упаковывать технический желатин массой нетто не более 25 кг):
(в ред.
Изменения N 1, утв. Приказом Росстандарта от 27.12.2007 N 468-ст)
в бумажные непропитанные трех- или четырехслойные мешки по
ГОСТ 2226;
в мешки из пленочных полипропиленовых нитей по
ГОСТ 30090 или в мешки, изготовленные из других материалов, обеспечивающих качество, безопасность и сохранность технического желатина;
(абзац введен
Изменением N 1, утв. Приказом Росстандарта от 27.12.2007 N 468-ст)
в фанерно-штампованные бочки по НТД с вложением пленочного или однослойного бумажного мешка по
ГОСТ 2226;
в картонно-навивные барабаны по
ГОСТ 17065 с вложением пленочного или бумажного непропитанного трех- или четырехслойного мешка.
2.6.5. Пленочные мешки с желатином должны быть заварены, бумажные мешки - зашиты машинным способом.
3.1. Желатин принимают партиями. Под партией понимают любое количество желатина одной марки, однородного по своим качественным показателям, оформленного одним документом о качестве.
3.2. В документе о качестве должно быть указано:
наименование предприятия-изготовителя и (или) товарный знак;
наименование и марка желатина;
номер партии и дата выработки;
количество упаковочных единиц;
масса нетто;
результаты анализа;
обозначение настоящего стандарта.
3.3. При массовой доле влаги в желатине менее 16% партию принимают по расчетной массе (mр), которую вычисляют по формуле

,
где mф - фактическая масса нетто партии желатина, кг;
16 - нормированная массовая доля влаги в желатине, %;
Wф - фактическая массовая доля влаги в желатине, %.
Результаты вычисляют до второго и округляют до первого знака после запятой.
Желатин, предназначенный для розничной торговли (марок П-11, П-9), поставляют по фактической массе без пересчета на нормированную влагу.
3.4. Выборку для контроля качества желатина формируют методом случайного отбора упаковочных единиц. Объем выборки в зависимости от размера партии указан в табл. 3.
Таблица 3
Объем партии, упаковочные единицы | Объем выборки, упаковочные единицы |
От 1 до 5 | Каждая единица |
" 5 " 50 | 5 |
" 50 " 100 | 10 |
" 100 " 500 | 15 |
" 500 " 1000 | 20 |
3.5. Определение тяжелых металлов, мышьяка и продолжительности растворения изготовитель проводит периодически, но не реже одного раза в квартал и по требованию потребителя.
Патогенные микроорганизмы, в том числе сальмонеллы, определяют не реже одного раза в месяц и по требованию органов санитарного надзора.
При получении неудовлетворительных результатов испытания переводят в приемосдаточные до получения положительных результатов на трех партиях.
3.6. При получении неудовлетворительного результата анализа хотя бы по одному показателю проводят повторный анализ на удвоенной выборке, взятой от той же партии. Результаты повторного анализа распространяют на всю партию.
4.1. Отбор проб
4.1.1. Для контроля качества желатина, упакованного в бочки, барабаны, мешки, из разных мест и слоев каждой отобранной по
п. 3.4 упаковочной единицы отбирают пробоотборников не менее трех точечных проб, две из которых должны быть отобраны из нижней трети упаковочной единицы.
Масса точечных проб от одной упаковочной единицы должна быть 0,15 - 0,20 кг.
Пробоотборник должен быть чистым, без ржавчины.
При загрузке желатина в бочки, барабаны, мешки изготовителем допускается механизированный или автоматизированный отбор проб непосредственно из трубопровода с периодом, обеспечивающим представительность объединенной пробы.
4.1.2. Для контроля качества желатина, упакованного в потребительскую тару, из разных мест и слоев отобранного в выборку ящика отбирают по 20 пакетов (пачек), из которых 10 используют для определения массы нетто.
4.1.3. Для составления объединенной пробы точечные пробы соединяют, тщательно перемешивают и сокращают квартованием до массы не менее 1 кг.
Для пищевого желатина подготовка проб - по
ГОСТ 26669.
Объединенную пробу желатина делят на два образца: один - для лабораторного анализа, другой - для хранения в течение 3 мес.
4.1.4. Образец, предназначенный для хранения, помещают в плотно закрывающуюся тару, на которую наклеивают этикетку с указанием наименования продукта, номера партии, даты отбора пробы и фамилии лица, отбиравшего пробу.
4.1.5. Из образца, предназначенного для лабораторного анализа, отбирают от 40 до 50 г желатина для определения бактериологических показателей, остальную часть образца используют для определения органолептических и физико-химических показателей.
Образец, предназначенный для анализа вне завода, снабжают этикеткой и актом отбора проб с указанием:
наименования предприятия-изготовителя;
наименования и марки желатина;
номера и массы партии;
даты выработки партии;
даты и места отбора пробы;
должности и подписи лица, отбиравшего пробу;
перечня показателей, которые должны быть определены;
наименований сдатчика и приемщика;
номера и даты транспортного документа;
обозначения настоящего стандарта.
4.2. Определение массы нетто желатина, фасованного в пачки, пакеты
Весы лабораторные по
ГОСТ 24104 высокого класса точности.
(п. 4.2.1 в ред.
Изменения N 1, утв. Приказом Росстандарта от 27.12.2007 N 468-ст)
4.2.2. Проведение испытания
Массу нетто определяют расчетным путем по разности массы брутто и тары. Массу брутто и тары определяют взвешиванием. Результаты взвешивания записывают с точностью до второго знака после запятой.
4.2.3. Обработка результатов
За результат анализа принимают среднее арифметическое значение от взвешивания десяти упаковочных единиц. Вычисления проводят с точностью до 0,01 и округляют до 0,1 г.
4.3. Определение внешнего вида и цвета
4.3.1. Аппаратура и материалы
Весы лабораторные по
ГОСТ 24104 высокого класса точности.
(в ред.
Изменения N 1, утв. Приказом Росстандарта от 27.12.2007 N 468-ст)
Сита с проволочными ткаными сетками с квадратными ячейками N 050 и 055 с поддоном.
4.3.2. Проведение испытания
(250 +/- 1) г желатина насыпают на верхнее сито N 55 и просеивают. Желатин, прошедший на сито N 50, используют для определения цвета, а оставшийся на сите N 55 используют для определения внешнего вида желатина.
(5,0 +/- 0,1) г желатина с сита N 50 рассыпают слоем одинаковой толщины на листе белой бумаги площадью 100 см2 и визуально определяют цвет желатина.
4.4. Определение размера частиц и массовой доли мелких частиц
Метод основан на ситовом анализе.
Весы лабораторные по
ГОСТ 24104 высокого класса точности.
(в ред.
Изменения N 1, утв. Приказом Росстандарта от 27.12.2007 N 468-ст)
Секундомер по НТД или часы песочные.
Сита лабораторные диаметром 16 - 20 см с сеткой N 10 и 0,5.
4.4.2. Проведение испытания
(100 +/- 1) г желатина, отобранного из пробы по
п. 4.1.5, взвешивают с погрешностью +/- 0,075 г и просеивают в течение 3 мин на двух параллельных ситах N 10 и 0,5 с донышком со скоростью 1 удар в секунду. Желатин, прошедший через сита на донышко, взвешивают. Результаты взвешивания записывают до второго знака после запятой.
4.4.3. Обработка результатов
Критерием соответствия желатина требованиям настоящего стандарта по максимальному размеру частиц является отсутствие частиц на сите N 5 или N 10 после окончания просеивания.
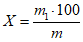
Массовую долю мелких частиц (X) в процентах вычисляют по формуле

,
где m1 - масса желатина, прошедшего через сито с сеткой N 0,5, г;
m - масса навески желатина, г;
100 - коэффициент пересчета, %.
Вычисления проводят до 0,01 и округляют до 0,1.
За результат анализа принимают среднее арифметическое значение двух параллельных определений, допускаемые расхождения между которыми не должны превышать 0,5%.
4.5. Приготовление растворов желатина с заданной массовой долей (5 или 10% желатина в растворе)
4.5.1. Аппаратура, материалы, реактивы
Весы лабораторные по
ГОСТ 24104 высокого класса точности.
(в ред.
Изменения N 1, утв. Приказом Росстандарта от 27.12.2007 N 468-ст)
Колба К
н(в)-2-100(200,250)-22(34) ТС по
ГОСТ 25336.
Цилиндр мерный 1(2)-50(100, 250) по
ГОСТ 1770 с допустимой погрешностью измерения объема +/- 1 см
3.
Стекло часовое.
Термометр прямого исполнения N 3 (4) с ценой деления 1 °C по
ГОСТ 28498.
Термостат водяной или водяная баня с регулятором температуры.
Рефрактометр лабораторный.
(в ред.
Изменения N 1, утв. Приказом Росстандарта от 27.12.2007 N 468-ст)
Часы механические с сигнальным устройством по
ГОСТ 3145.
4.5.2. Расчет массы навески и массы воды
Массу желатина для приготовления раствора с заданной массовой долей в пересчете на сухое вещество (X1) в граммах вычисляют по формуле

.
Массу воды для приготовления раствора (z) в граммах вычисляют по формуле
z = V - X1,
где c - требуемая массовая доля желатина в растворе, %;
V - масса раствора, необходимая для проведения анализа, г;
W - массовая доля влаги в желатине, %;
100 - коэффициент пересчета, %.
4.5.3. Растворение навески
Массу желатина, взвешенную с погрешностью +/- 0,01 г, помещают в колбу, заливают расчетным количеством воды, аккуратно перемешивают, накрывают и оставляют для набухания при комнатной температуре в течение (1,5 +/- 0,5) ч, а для желатина, выработанного кислотным способом, - (2 +/- 0,5) ч. Во время набухания желатин периодически перемешивают.
Колбу с набухшим желатином помещают в термостат, нагретый до (55 +/- 5) °C, и при осторожном перемешивании желатин растворяют 30 - 40 мин. Затем колбу вынимают из термостата, раствор фильтруют через 3 - 4 слоя марли и охлаждают до 41 - 43 °C. Концентрацию раствора проверяют по рефрактометру и при необходимости разбавляют водой. При этом массу желатина для приготовления раствора берут на 2,5 - 3,0% больше расчетной.
4.6. Определение продолжительности растворения - по
ГОСТ 25183.3 (способ Б) со следующим дополнением: время набухания желатина (1,5 +/- 0,5) ч, время набухания желатина, выработанного кислотным способом, - (2,0 +/- 0,5) ч.
4.7. Определение показателя активности водородных ионов - по
ГОСТ 25183.9.
4.8. Определение запаха и вкуса
Метод основан на органолептической оценке раствора и студня желатина при определенной температуре.
4.8.1. Аппаратура, материалы
Весы лабораторные по
ГОСТ 24104 высокого класса точности.
(в ред.
Изменения N 1, утв. Приказом Росстандарта от 27.12.2007 N 468-ст)
Термометр прямого исполнения N 4 по
ГОСТ 28498 с ценой деления 1 °C.
Термостат водяной.
Раствор желатина с массовой долей 10%, свежеприготовленный по
п. 4.5, 100 см
3.
4.8.2. Подготовка к испытанию
Посуда, используемая при анализе, должна быть тщательно вымыта, стерилизована и не иметь постороннего запаха.
4.8.3. Проведение испытания
10 г желатина, взвешенного с погрешностью +/- 0,075 г, заливают 90 см
3 дистиллированной воды и далее приготовление раствора проводят, как указано в
п. 4.5.3. Готовый раствор используют в течение 1 ч после приготовления. Запах раствора желатина определяют при (45 +/- 5) °C органолептически при открывании колбы.
После определения запаха раствор из колбы переносят в стакан и охлаждают в термостате при (18 +/- 1) °C в течение 1 ч. Вкус студня определяют органолептически.
4.9. Определение массовой доли влаги (арбитражный метод) - по
ГОСТ 25183.10 со следующим дополнением к п. 4: допускаемые расхождения между параллельными определениями не должны превышать 0,5%.
4.10. Определение массовой доли влаги (экспресс-метод)
4.10.1. Аппаратура, материалы, реактивы - по
ГОСТ 25183.10 со следующим дополнением: бюксы металлические.
4.10.2. Проведение анализа
2,5 - 3,0 г желатина, взвешенного с погрешностью +/- 0,0002 г в бюксе, предварительно высушенной в течение 5 мин при температуре (190 +/- 10) °C, помещают в сушильный шкаф, нагретый до 215 °C. Затем регулятор температуры устанавливают на 200 °C и высушивают навеску в течение 15 мин без учета времени на выравнивание температуры. По окончании сушки бюксу с навеской охлаждают в эксикаторе и взвешивают с той же погрешностью. Результаты взвешивания записывают до четвертого знака после запятой.
4.10.3. Обработка результатов - по
ГОСТ 25183.10 со следующим дополнением. За результат испытания принимают среднее арифметическое значение двух параллельных определений, расхождение между которыми не должно превышать +/- 1,0%.
4.11. Определение массовой доли золы
Метод основан на сжигании органической части продукта и прокаливании минерального остатка в муфельной печи при температуре от 600 до 650 °C.
4.11.1. Аппаратура, материалы, реактивы
Весы лабораторные по
ГОСТ 24104 специального класса точности.
(в ред.
Изменения N 1, утв. Приказом Росстандарта от 27.12.2007 N 468-ст)
Печь муфельная.
Кальций хлористый по ГОСТ 450.
4.11.2. Проведение испытания
2 - 3 г желатина, взятого после определения влаги, взвешивают с погрешностью +/- 0,00075 г в доведенном до постоянной массы тигле и помещают в холодную муфельную печь, постепенно нагревая ее до 200 - 250 °C, не допуская потерь от вспучивания. После обугливания желатина температуру печи повышают до 600 - 650 °C и прокаливают тигель в течение 6 ч. Затем тигель с остатком охлаждают в эксикаторе до комнатной температуры и взвешивают, после чего его снова помещают в муфельную печь для доведения до постоянной массы. Результаты взвешивания записывают до четвертого знака после запятой.
4.11.3. Обработка результатов
Массовую долю золы (X2) в процентах вычисляют по формуле
| | ИС МЕГАНОРМ: примечание. Формула дана в соответствии с официальным текстом документа. | |

,
где m - масса тигля, г;
m1 - масса тигля с навеской до прокаливания, г;
m2 - масса тигля с навеской после прокаливания, г;
100 - коэффициент пересчета, %.
Вычисления проводят до 0,01 и округляют до 0,1.
За результат анализа принимают среднее арифметическое значение двух параллельных определений, расхождение между которыми не должно превышать 0,2%.
4.12. Определение прочности студня
Метод основан на определении предельной нагрузки, необходимой для разрушения поверхности желатинового студня.
4.12.1. Аппаратура, материалы
Прибор Валента (черт. 1) с массой подвижной системы (грибовидной насадки, стержня, стакана для нагрузки) 100 - 150 г. Насадка должна быть изготовлена из антикоррозийного материала, шаровая поверхность которой должна быть полированной.
Прибор для определения прочности студня
1 - основание прибора; 2 и 7 - штатив;
3 - емкость для груза; 4 - задвижка;
5 - стакан для нагрузки; 6 - направляющая стержня;
8 - стержень с грибовидной насадкой
Черт. 1
Установка холодильная с погрешностью регулирования температуры +/- 1 °C.
Дробь N 10.
Весы лабораторные по
ГОСТ 24104 высокого класса точности.
(в ред.
Изменения N 1, утв. Приказом Росстандарта от 27.12.2007 N 468-ст)
Бюкса металлическая.
Баня водяная.
Термометр прямого исполнения N 1 с ценой деления 1 °C по
ГОСТ 28498 и термометр с ценой деления 0,1 °C по
ГОСТ 28498.
Раствор желатина с массовой долей 10% (в пересчете на сухое вещество), приготовленный по
п. 4.5, 150 см
3.
4.12.2. Проведение анализа
50 см3 раствора желатина наливают в металлическую бюксу, накрывают и охлаждают при комнатной температуре до застудневания, после чего выдерживают в камере холодильной установки при температуре (8 +/- 1) °C в течение 18 ч. Затем бюксу со студнем помещают на 2 ч в водяную баню при температуре воды (15,0 +/- 0,5) °C (при необходимости с добавлением льда) и сразу проводят определение на приборе.
Бюксу со студнем устанавливают на основание прибора и на поверхность студня визуально по центру опускают грибовидную насадку. Нагрузку следует подавать в стакан равномерно со скоростью 10 - 12 г в секунду до момента разрыва студня.
Затем стакан с нагрузкой взвешивают с допустимой погрешностью +/- 0,15 г. Результат взвешивания записывают до первого знака после запятой.
4.12.3. Обработка результатов
За результат испытаний принимают среднее арифметическое значение результатов двух параллельных определений, расхождение между которыми не должно превышать 5%. Для пересчета в ньютоны используют коэффициент перевода 9,81·10-3. Вычисления проводят до 0,1 и округляют до целого числа.
4.13. Определение динамической вязкости - по
ГОСТ 25183.4 со следующим дополнением: динамическую вязкость желатина

выражают в миллипаскаль-секундах (мПа·с) и вычисляют по формуле

,
где k - постоянная вискозиметра, мм2/с2;

- время истечения раствора, с;

- плотность раствора с массовой долей желатина 10% при (40,0 +/- 0,1) °C, принимаемая равной 1,025 г/см
3.
4.14. Определение температуры плавления
Метод основан на определении температуры, при которой студень желатина переходит в текучее состояние.
4.14.1. Аппаратура, материалы
Фузиометр Камбона (черт. 2), состоящий из латунного тигля массой (7,0 +/- 0,5) г и латунного стержня с отверстием для подвески.
Фузиометр Камбона
1 - стержень; 2 - тигель
Черт. 2
Установка холодильная с погрешностью регулирования температуры +/- 1 °C.
Термометр ртутный стеклянный с ценой деления 0,1 °C по
ГОСТ 28498.
Стакан В-1-800(1000) ТС или В-2-800(1000) ТС по
ГОСТ 25336.
Баня водяная.
Раствор желатина с массовой долей 10% (в пересчете на сухое вещество), приготовленный по
п. 4.5, 20 см
3.
4.14.2. Проведение испытания
Стержень 1 ставят визуально по центру на дно тигля и наполняют тигель доверху раствором желатина.
Заполненный тигель выдерживают сначала 30 мин при комнатной температуре, а затем в течение 1 ч при температуре (11 +/- 1) °C для застудневания, после чего его помещают в стакан с водой температурой (20 +/- 1) °C, подвешивая стержень таким образом, чтобы во время испытания верхний край тигля находился на уровне поверхности воды в стакане.
Одновременно рядом с тиглем на расстоянии 0,5 см от него прикрепляют термометр, углубляя его шарик до уровня дна тигля. Стакан с установленной системой помещают в водяную баню и начинают равномерно нагревать, повышая температуру бани на (1 +/- 0,1) °C в течение 3 мин, следя за моментом отрыва тигля от стержня.
4.14.3. Обработка результатов
За температуру плавления студня желатина принимают температуру воды, при которой тигель отрывается от стержня и падает на дно стакана. Показания термометра записывают до первого знака после запятой.
За результат анализа принимают среднее арифметическое значение результатов двух параллельных определений, расхождение между которыми не должно превышать +/- 0,5 °C.
Вычисления проводят до 0,1 °C.
4.15. Определение прозрачности раствора желатина
Метод основан на фотоколориметрическом определении прозрачности раствора желатина с массовой долей 5%.
4.15.1. Аппаратура, материалы
Фотоэлектроколориметр по НТД.
Синий светофильтр с длиной волны

.
Кювета с толщиной поглощающего слоя 1 см.
Весы лабораторные по
ГОСТ 24104 высокого класса точности.
(в ред.
Изменения N 1, утв. Приказом Росстандарта от 27.12.2007 N 468-ст)
4.15.2. Подготовка к анализу
5 г желатина, взвешенного с погрешностью +/- 0,075 г, заливают 95 см
3 дистиллированной воды и далее готовят раствор, как указано в
п. 4.5.3, устанавливая температуру раствора (40 +/- 1) °C.
4.15.3. Проведение анализа
Раствор желатина, приготовленный по
п. 4.5.3, наливают в кювету и проводят измерение по отношению к дистиллированной воде при синем светофильтре в течение 1 мин после заполнения кюветы.
4.15.4. Оценка результатов
Значение прозрачности измеряют по шкале прибора и записывают целым числом в процентах. За результат анализа принимают среднее арифметическое значение результатов двух параллельных определений. Допускаемое значение погрешности измерения не должно превышать 1%.
4.16. Определение наличия посторонних примесей
Метод основан на выделении примесей при фильтрации раствора желатина.
4.16.1. Аппаратура, материалы
Весы лабораторные по
ГОСТ 24104 высокого класса точности.
(в ред.
Изменения N 1, утв. Приказом Росстандарта от 27.12.2007 N 468-ст)
Сито с металлической сеткой N 063 или N 050.
4.16.2. Подготовка к анализу
100 г желатина, взвешенного с погрешностью +/- 0,04 г, заливают 900 см
3 дистиллированной воды и далее приготовление раствора проводят, как указано в
п. 4.5.3.
4.16.3. Проведение испытания
Раствор желатина фильтруют через сито и затем сито в течение 5 мин промывают горячей водой температурой (65 +/- 5) °C.
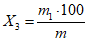
При наличии посторонних примесей массовую долю их (X3) в процентах вычисляют по формуле

,
где m1 - масса посторонних примесей, г;
m - масса навески желатина, г;
100 - коэффициент пересчета, %.
Вычисления проводят до 0,001 и округляют до 0,1.
За результат анализа принимают среднее арифметическое значение двух параллельных определений.
4.17. Определение массовой доли сернистой кислоты в пересчете на SO
2
Метод основан на окислении сульфогидрильных групп желатина до сернистого ангидрида и определении его концентрации способом йодометрического титрования.
4.17.1. Аппаратура, материалы, реактивы
Прибор для определения сернистой кислоты
(черт. 3), состоящий из:
электроплитки по
ГОСТ 14919 с номинальной потребляемой мощностью 1,8 - 2,0 кВт;
холодильника шарикового ХШ-1-200, 400-19/26 ХС по
ГОСТ 25336;
муфты МИО.
Прибор для определения сернистой кислоты
1 - колба-парообразователь с электроплиткой; 2 - перегонная
колба; 3 - пробка с двумя отверстиями; 4 - электроплитка
с асбестовой сеткой; 5 - стеклянный холодильник с аллонжем;
6 - приемная колба
Весы лабораторные по
ГОСТ 24104 высокого класса точности.
(в ред.
Изменения N 1, утв. Приказом Росстандарта от 27.12.2007 N 468-ст)
Пипетки 4(5)-2-1; 6-2-5 по НТД.
Бюретка 1-2-2-0,1 по НТД.
Йод по
ГОСТ 4159, раствор концентрацией йода 0,1 моль/дм
3.
Крахмал растворимый по
ГОСТ 10163, свежеприготовленный раствор с массовой долей крахмала 1%.
4.17.2. Проведение анализа
5 г желатина, взвешенного с погрешностью +/- 0,075 г, помещают в перегонную колбу, прибавляют 25 см3 дистиллированной воды и оставляют набухать в течение 15 мин. Затем добавляют 2,5 см3 ортофосфорной кислоты и еще 25 см3 дистиллированной воды.
После этого перегонную колбу закрывают пробкой с двумя отверстиями и устанавливают на электроплитку с асбестовой прокладкой для нагревания в течение всего процесса отгонки. Через 5 - 10 мин прогревания в перегонную колбу из колбы-парообразователя пускают пар.
Перегонку ведут в течение 30 мин, отрегулировав струю водяного пара так, чтобы к концу перегонки получить (190 +/- 10) см3 отгона, который через стеклянный холодильник собирают в приемную колбу, содержащую 15 см3 дистиллированной воды.
По окончании перегонки в приемную колбу к отгону прибавляют 1 см3 раствора с массовой долей крахмала 1% и титруют его раствором йода до синей окраски, не исчезающей в течение 1 - 2 мин. Результат титрования записывают до второго знака после запятой.
4.17.3. Обработка результатов
Массовую долю сернистой кислоты в пересчете на сернистый ангидрид (X4) в процентах вычисляют по формуле

,
где V - объем раствора йода концентрации точно 0,1 моль/дм3, израсходованный на титрование, см3;
0,003203 - количество сернистого ангидрида, эквивалентное титру раствора йода концентрации точно 0,1 моль/дм3, г/см3;
100 - коэффициент пересчета, %;
m - масса навески желатина, г.
Вычисления проводят до 0,000001 и округляют до 0,001.
За результат анализа принимают среднее арифметическое значение результатов двух параллельных определений, допускаемое расхождение между которыми не должно превышать 0,003%.
4.18. Определение содержания мышьяка - по
ГОСТ 26930.
4.19. Определение содержания меди - по
ГОСТ 26931.
4.20. Определение содержания свинца - по
ГОСТ 26932.
4.21. Определение содержания кадмия - по
ГОСТ 26933.
4.22. Определение содержания цинка - по
ГОСТ 26934.
4.23. Определение содержания ртути - по
ГОСТ 26927.
Минерализация образца для определения тяжелых металлов - по
ГОСТ 26929.
4.24. Методы микробиологического анализа
4.24.1. Аппаратура, материалы, реактивы и питательные среды
Автоклав вертикальный по НТД или горизонтальный.
Аппарат Коха.
Мешалка магнитная.
Баня водяная.
Котлы с паровой рубашкой.
Дистиллятор типа Д-25 или других типов, имеющих аналогичные метрологические характеристики.
Дуршлаг.
Весы лабораторные по
ГОСТ 24104 высокого класса точности.
(в ред.
Изменения N 1, утв. Приказом Росстандарта от 27.12.2007 N 468-ст)
Колбы Кн-1(2)-100, 250, 500, 750, 1000-29/32(34/35) ТС по
ГОСТ 25336.
Микроскоп типа 1 по НТД.
Ножницы прямые или изогнутые длиной 14 см.
Осветитель ОМ-19.
Пинцеты.
Прибор для подсчета колоний бактерий типа ПСБ или других типов, имеющих аналогичные метрологические характеристики.
Пластинка с сеткой для счета колоний.
Петля для бактериологического анализа.
Петледержатели.
Пеналы металлические для пипеток.
Проволока из никелевых сплавов диаметром 0,3 - 0,5 мм по
ГОСТ 1791.
Поплавки для пробирок длиной 20 мм и диаметром 5 мм.
Пробирки типа П-4 бактериологические по
ГОСТ 25336.
Пипетки 1-2-1(2); 4-2-5(10) по НТД.
Пипетки пастеровские.
Стаканы В-1(2)-100, 250, 600, 1000 ТХС по
ГОСТ 25336.
Универсальный ионометр типа ЭВ-74 или других типов, имеющих аналогичные метрологические характеристики.
Термостат с водяной рубашкой электрический типа ЗЦ-1125 МУ 42 или другого типа, имеющего аналогичные метрологические характеристики.
Флаконы стеклянные вместимостью 100 - 250 см3.
Холодильник бытовой электрический с температурой в камере 4 - 6 °C.
Цилиндры мерные 1(2)-10, 100, 500, 1000 по
ГОСТ 1770.
Часы песочные на 1, 2 и 3 мин.
Чашки бактериологические по
ГОСТ 25336 (чашки Петри).
Шкаф сушильный электрический круглый типа 2В-151 или других типов, имеющих аналогичные метрологические характеристики.
Штативы для пробирок.
Шпатели металлические.
Шпатели стеклянные.
Вата медицинская гигроскопическая по
ГОСТ 5556.
Ткань для фильтрования.
Генциан фиолетовый.
Калия гидрат окиси.
Кристаллический фиолетовый.
Кислота карболовая.
Маннит.
Кислота розоловая.
Лактоза, х.ч.
Метиленовый синий (индикатор).
Спирт этиловый ректификованный по
ГОСТ 5962 с объемной долей 96%.
Феноловый красный (индикатор).
Фенолфталеин (индикатор) по НТД.
Фуксин основной.
Фуксин кислый.
Эфир этиловый.
Агар микробиологический по ГОСТ 17206.
Материалы для приготовления сред Кода и Кесслера - по
ГОСТ 23058.
Пептон сухой ферментативный для бактериологических целей по
ГОСТ 13805.
Пептон чешской фирмы "Спофа" или венгерской фирмы "Рихтер".
4.24.2. Подготовка к анализу
4.24.2.1. Подготовка и стерилизация посуды и материалов
Вся посуда для бактериологического анализа перед стерилизацией должна быть тщательно вымыта и высушена. Пробирки должны быть закрыты ватными пробками и завернуты в бумагу; горлышки колб и флаконов закрывают ватной пробкой, а сверху - бумажным колпачком, который обвязывают ниткой.
Пробки для пробирок и колб готовят из ваты, обертывают слоем марли и завязывают ниткой на свободном конце.
Чашки Петри укладывают в металлические пеналы или завертывают в бумагу.
В конец пипетки, который берется в рот, вкладывают кусочек ваты. Пипетки помещают в металлические пеналы от 6 до 10 шт. в каждый или завертывают в бумагу.
Подготовленную посуду стерилизуют сухим паром в течение 2 ч в сушильном шкафу при (160 +/- 5) °C. При отсутствии сушильного шкафа посуду стерилизуют в течение 30 мин в автоклаве при (126 +/- 2) °C.
Стерильную посуду вынимают из сушильного шкафа после его охлаждения ниже 60 °C и хранят в плотно закрытых шкафах или ящиках лабораторных столов.
4.24.2.2. Приготовление мясной воды
Говяжье или конское мясо освобождают от костей, жира и сухожилий, измельчают на мясорубке и заливают холодной водой из расчета 1000 см3 воды на 500 г мяса. Смесь воды с измельченным мясом медленно нагревают до кипения и кипятят в течение 1,5 ч. Небольшое количество смеси (до 5 дм3) допускается кипятить на открытом огне при частом помешивании во избежание пригорания частичек мяса. Большое количество смеси следует кипятить в котлах с паровой рубашкой. Для определения готовности мясной воды сначала фильтруют небольшое количество смеси в пробирку через бумажный фильтр. Если жидкость прозрачная - вода готова.
Затем жидкость и весь сок из вареного мяса отжимают через ткань, доводят кипяченой водой до объема 1000 см3, разливают в чистую посуду (колбы, бутыли) и стерилизуют в течение 20 мин в автоклаве при (120,0 +/- 0,5) °C.
4.24.2.3. Приготовление мясо-пептонного агара
К 1000 см
3 мясной воды, приготовленной по
п. 4.24.2.2, добавляют 10 г сухого пептона и 5 г хлористого натрия, кипятят в течение 30 мин, после этого уровень доводят кипяченой водой до первоначального объема и фильтруют через бумажный фильтр. Затем среду нейтрализуют насыщенным раствором двууглекислого натрия или раствором с массовой долей гидроокиси натрия 10%, устанавливая 7,0 - 7,2 ед. pH и стерилизуют при (120,0 +/- 0,5) °C в течение 15 - 20 мин. Если после стерилизации в мясо-пептонном бульоне выпадает осадок, его фильтруют вторично и снова стерилизуют при том же режиме стерилизации.
К 1000 см3 приготовленного мясо-пептонного бульона перед стерилизацией добавляют 20 г агара и кипятят на слабом огне при постоянном помешивании до полного растворения.
4.24.2.4. Приготовление мясо-пептонного агара
К 1000 см
3 мясо-пептонного бульона, приготовленного по
п. 4.24.2.3, перед стерилизацией добавляют 20 г агара и кипятят на слабом огне при постоянном помешивании до полного растворения. Мясо-пептонный агар, охлажденный до 50 - 55 °C, осветляют яичным белком (из расчета один белок на 1000 см
3 мясо-пептонного агара), помещают в автоклав, не завинчивая крышку автоклава, или в аппарат Коха на 1 ч, чтобы белок свернулся и, оседая, увлек за собой взвешенные частицы.
Горячий мясо-пептонный агар фильтруют через ватно-марлевый фильтр и устанавливают 7,0 - 7,4 ед. pH. Разливают во флаконы и пробирки и в течение 20 мин стерилизуют в автоклаве при (120,0 +/- 0,5) °C.
4.24.2.5. Приготовление плотного питательного агара
К 100 см3 дистиллированной воды добавляют 5 г порошка агара, тщательно размешивают и кипятят на слабом огне до полного расплавления агара в закрытой посуде при периодическом помешивании во избежание пригорания, фильтруют, разливают в пробирки или флаконы и в течение 20 мин стерилизуют при (120,0 +/- 0,5) °C.
4.24.2.6. Приготовление карболового раствора генциана фиолетового и кристаллического фиолетового
1 г генциана фиолетового или кристаллвиолета растирают в ступке с 5 г кристаллической карболовой кислоты до кашицы, прибавляют небольшими порциями 10 см3 этилового спирта. После того, как краска полностью разотрется, прибавляют при постоянном помешивании 100 см3 дистиллированной воды. Сливают в колбу, оставляют на сутки, затем фильтруют.
4.24.2.7. Приготовление раствора Люголя
2 г йодистого калия растворяют в 10 см3 дистиллированной воды. Затем 1 г кристаллического йода растирают в мелкий порошок, при помешивании добавляют раствор йодистого калия. Когда полностью растворится йод, добавляют дистиллированной воды до 300 см3.
4.24.2.8. Приготовление фуксин-насыщенного спиртового раствора
8 - 9 г основного фуксина высыпают во флакон, заливают 100 см3 этилового спирта и ставят на 18 - 24 ч в термостат с температурой (37 +/- 1) °C, флакон периодически взбалтывают. В течение указанного времени значительная часть красителя растворяется, и на дне флакона остается осадок, свидетельствующий о насыщении раствора.
Насыщенный раствор хранят во флаконах из темного стекла.
Из насыщенного спиртового раствора готовят фуксинспиртоводный раствор. Для этого к 1 см3 насыщенного спиртового раствора прибавляют 9 см3 дистиллированной воды.
4.24.2.9. Приготовление физиологического раствора
8,5 г хлористого натрия растворяют в 1000 см3 питьевой воды. Стерилизуют при (120,0 +/- 0,5) °C в течение 20 мин.
4.24.2.10. Приготовление среды Хейфеца (модифицированная)
Среду готовят непосредственно в лаборатории следующим образом. В колбу вместимостью 1000 см3 вносят 10 г пептона, 5 г лактозы, 5 г хлористого натрия, 1 см3 спиртового раствора с массовой долей розоловой кислоты 5% и 2,5 см3 раствора с массовой долей метиленового синего 0,1%, заливают 1000 см3 питьевой воды и нагревают до кипения.
Среду разливают в пробирки с поплавками по 10 см3 и стерилизуют в течение 15 мин в автоклаве при (110 +/- 2) °C или в течение 20 мин в аппарате Коха или в кипящей водяной бане.
Среда должна быть нейтральной в пределах 7,4 - 7,6 ед. pH. При использовании новой партии пептона в первом приготовлении среды до добавления красителя устанавливают объем щелочи, который необходимо добавить для достижения 7,4 - 7,6 ед. pH, используя раствор гидроокиси натрия концентрации 0,1 моль/дм3. При последующих приготовлениях ориентируются лишь на цвет среды, для чего рекомендуется при первом приготовлении отбирать и хранить образец-эталон цвета.
Примечание. Для нейтрализации 1 г семипалатинского пептона требуется от 0,5 до 0,8 см3 раствора гидроокиси натрия с концентрацией 0,1 моль/дм3.
4.24.2.11. Растворы красителей готовят следующим образом.
Порошок розоловой кислоты массой 0,5 г насыпают в маленький флакончик с притертой пробкой или резиновой пробкой и заливают 10 см3 этилового спирта. Раствором можно пользоваться на следующие сутки в течение месяца.
0,1 г метиленовой сини заливают 100 см3 дистиллированной воды, затем выдерживают сутки в термостате при температуре 37 - 40 °C. Срок пользования раствором не ограничен.
Для каждого из индикаторов нужно иметь отдельную пипетку, продетую через пробку, которой закрыт пустой флакон. После отмеривания раствора пипетку не моют и выставляют обратно в пустой флакон.
4.24.2.12. Приготовление основного раствора желатина
20 г желатина, взятого из средней пробы, помещают в колбу и заливают 180 см3 стерильной питьевой воды или физиологического раствора, затем оставляют набухать при 5 - 10 °C в течение 1,0 - 1,5 ч. Колбу с набухшим желатином помещают в водяную баню, нагретую до (40 +/- 2) °C, выдерживают в ней до полного растворения желатина. Затем в колбу помещают стерильный магнит и ставят на магнитную мешалку, нагретую до (38 +/- 2) °C, и перемешивают в течение 5 - 10 мин. Магнит стерилизуют кипячением в колбе в течение 15 - 20 мин.
10 см3 приготовленного раствора содержат 1 г желатина (разведение 10-1).
4.24.2.13. Приготовление десятикратных разведений
Для проведения бактериологических анализов готовят следующие разведения.
Разведение 1:100 или 10
-2. Стерильной пипеткой набирают 1 см
3 основного раствора, приготовленного по
п. 4.24.2.12 (разведение 10
-1), и вносят в пробирку с 9 см
3 стерильной питьевой воды или физиологического раствора.
Разведение 1:1000 или 10-3. Второй стерильной пипеткой тщательно перемешивают содержимое пробирки с разведением 10-2, набирая в пипетку раствор и выдувая его, повторяя эту процедуру 8 - 10 раз. Затем 1 см3 полученного раствора отбирают этой же пипеткой и переносят в следующую пробирку с 9 см3 воды.
Воду или физиологический раствор, используемые для разведений, подогревают до 36 - 40 °C.
4.24.3. Методы анализа
4.24.3.1. Определение количества мезофильных аэробных и факультативно-анаэробных микроорганизмов
Метод основан на способности определяемых микроорганизмов размножаться на плотном питательном агаре при (30 +/- 1) °C в течение (72 +/- 3) ч.
4.24.3.1.1. Проведение анализа
По 1 см3 раствора желатина вносят параллельно в две стерильные чашки Петри из каждого приготовленного разведения. Если анализируемый материал начинают засевать с первого разведения, то для каждого разведения используют новую пипетку, а если начинают засевать с последнего разведения, то используют одну пипетку. Затем в чашки Петри с анализируемым материалом заливают по 15 см3 расплавленного и охлажденного до 45 - 50 °C мясо-пептонного агара. Содержимое чашек тщательно перемешивают вращательными движениями, после застывания агара их помещают (вверх дном) в термостат при (30 +/- 1) °C в течение (72 +/- 3) ч.
4.24.3.1.2. Обработка результатов
Для подсчета колоний выбирают чашки Петри с изолированными колониями.
Подсчет общего количества КОЕ в 1 г желатина производят в одной чашке Петри (X5) по формуле
X5 = n · 10n1,
где n - количество колоний, подсчитанное в чашке Петри;
n1 - степень разведения.
За окончательный результат анализа принимают среднее арифметическое значение двух результатов подсчета одного разведения.
4.24.3.2. Определение наличия бактерий группы кишечных палочек (колиформных)
Метод основан на способности бактерий группы кишечных палочек (колиформных) в среде Хейфеца расщеплять лактозу, вследствие чего выделяются газы и образуются кислые продукты, изменяющие цвет индикатора.
4.24.3.2.1. Проведение анализа
Из приготовленных выше разведений берут по 1 см3 раствора и засевают в две пробирки, содержащие по 5 см3 среды Хейфеца. Посевы термостатируют при (37,0 +/- 0,5) °C в течение 13 - 16 ч.
Колиформные бактерии вызывают помутнение среды, изменение ее окраски из красно-фиолетовой на желтую и образование газа в поплавках. При остывании среда приобретает зеленоватый оттенок.
Когда цвет недостаточно яркий или мутность слабая, или газообразование слабо выражено, из пробирки рекомендуется отлить 1 - 2 см3 среды в белую фарфоровую чашку и добавить одну-две капли индикатора метилового красного (0,1 г метилового красного, 62 см3 спирта и 38 см3 дистиллированной воды).
Появление устойчивой малиновой или кирпично-красной окраски через 1 - 2 мин указывает на наличие колиформных бактерий.
4.24.3.2.2. Обработка результатов
При отсутствии колиформных бактерий в разведении 10-2 желатин соответствует требованиям стандарта.
4.24.3.3. Определение наличия бактерий группы кишечных палочек (колиформных) на средах Кода и Кесслера - по
ГОСТ 23058.
4.24.3.4. Определение наличия патогенных микроорганизмов
Определение наличия патогенных микроорганизмов проводят по методам, утвержденным Министерством здравоохранения.
(в ред.
Изменения N 1, утв. Приказом Росстандарта от 27.12.2007 N 468-ст)
Определение бактерий рода Salmonella проводят по
ГОСТ 30519.
(абзац введен
Изменением N 1, утв. Приказом Росстандарта от 27.12.2007 N 468-ст)
4.24.3.5. Определение количества желатинразжижающих бактерий в 1 г желатина
Сущность метода заключается в специфическом росте желатинразжижающих бактерий на желатине, которые продуцируют и выделяют в среду протеолитический фермент - желатиназу, расщепляющий белок желатина, вследствие чего отмечается его разжижение.
4.24.3.5.1. Проведение анализа
По 10 см
3 раствора желатина, приготовленного по
п. 4.24.2.12, вносят в две чашки Петри. Желатин распределяют по дну чашки легкими вращательными движениями и выдерживают в термостате при (24 +/- 1) °C в течение 48 ч. Колонии желатинразжижающих бактерий имеют вид маленьких прозрачных пузырьков за счет разжижения желатина. При выдерживании чашек с желатином более четырех суток колонии увеличиваются. При наклоне чашки на месте колонии желатин сползает.
4.24.3.5.2. Обработка результатов
Обнаруженные на желатине колонии желатинразжижающих бактерий подсчитывают в каждой чашке Петри.
За окончательный результат анализа принимают среднее арифметическое значение двух результатов подсчета.
4.25. При проведении испытаний допускается применение реактивов, аппаратуры и лабораторной посуды, с характеристиками не ниже указанных.
5. ТРАНСПОРТИРОВАНИЕ И ХРАНЕНИЕ
Желатин транспортируют всеми видами транспорта в крытых транспортных средствах в соответствии с правилами перевозок грузов, действующими на данном виде транспорта.
Железнодорожные перевозки осуществляют повагонными отправками и в контейнерах по
ГОСТ 18477.
Пакетирование - по
ГОСТ 26663 и другой НТД на способы и средства пакетирования. Средства скрепления груза в транспортные пакеты - по
ГОСТ 21650 с основными параметрами и размерами по
ГОСТ 24597.
5.2. Хранение
Желатин должен храниться в сухом закрытом помещении при температуре не выше 25 °C и относительной влажности воздуха не более 70%. Желатин не допускается хранить вместе с веществами, обладающими высокой гигроскопичностью и сильным запахом.
6.1. Изготовитель гарантирует соответствие желатина требованиям настоящего стандарта при соблюдении условий транспортирования и хранения.
6.2. Гарантийный срок хранения желатина - один год с даты изготовления.
Обязательное
ТАБЛИЦА КОДОВ ОКП ДЛЯ ЖЕЛАТИНА
Росстандарта от 27.12.2007 N 468-ст)
Наименование вида желатина | |
Желатин пищевой | 92 1931 |
Желатин технический | 92 1932 |
Обязательное
ИНФОРМАЦИОННЫЕ СВЕДЕНИЯ О ПИЩЕВОЙ
ЦЕННОСТИ 100 г ПИЩЕВОГО ЖЕЛАТИНА
Жир | - 0,4 г. |
Белок | - 87,2 г. |
Углеводы | - 0,7 г. |
Калорийность | - 300 ккал. |
СПОСОБ ПРИМЕНЕНИЯ
Столовую ложку желатина заливают стаканом холодной кипяченой волы, выдерживают 40 - 60 мин для набухания, затем нагревают, не доводя до кипения, при непрерывном помешивании до растворения и процеживают. На стакан раствора желатина добавляют 2 - 3 стакана бульона или сиропа и охлаждают.
Абзац исключен с 1 июля 2008 года. -
Изменение N 1, утв. Приказом Росстандарта от 27.12.2007 N 468-ст.
СПОСОБ ПРИМЕНЕНИЯ
(для желатина с продолжительностью растворения
не более 10 мин)
Росстандарта от 27.12.2007 N 468-ст)
10 г желатина (1 столовая ложка) заливают 1 - 1,5 стаканом горячего (70 °C - 80 °C) сиропа или бульона, перемешивают до полного растворения и процеживают. Разливают по формам и ставят в холодное место для застывания.