Главная // Актуальные документы // ГОСТ (Государственный стандарт)СПРАВКА
Источник публикации
В данном виде документ опубликован не был.
Первоначальный текст документа также опубликован не был.
Информацию о публикации документов, создающих данную редакцию, см. в справке к этим документам.
Примечание к документу
Документ включен в
Перечень стандартов, содержащих правила и методы исследований (испытаний) и измерений, в том числе правила отбора образцов, необходимые для применения и исполнения требований технического
регламента Таможенного союза "О безопасности молока и молочной продукции" (ТР ТС 033/2013) и осуществления оценки и осуществления оценки соответствия объектов технического регулирования (
Решение Коллегии Евразийской экономической комиссии от 26.05.2014 N 80).
Документ включен в
Перечень стандартов, содержащих правила и методы исследований (испытаний) и измерений, в том числе правила отбора образцов, необходимые для применения и исполнения требований технического
регламента Таможенного союза "Требования безопасности пищевых добавок, ароматизаторов и технологических вспомогательных средств" (ТР ТС 029/2012) и осуществления оценки (подтверждения) соответствия продукции (
Решение Коллегии Евразийской экономической комиссии от 02.10.2012 N 258).
Документ включен в
Перечень стандартов, содержащих правила и методы исследований (испытаний) и измерений, в том числе правила отбора образцов, необходимые для применения и исполнения требований технического
регламента "О безопасности пищевой продукции" (ТР ТС 021/2011) и осуществления оценки (подтверждения) соответствия продукции (
Решение Комиссии Таможенного союза от 09.12.2011 N 880).
Документ включен в
Перечень стандартов, содержащих правила и методы исследований (испытаний) и измерений, в том числе правила отбора образцов, необходимые для применения и исполнения требований технического
регламента Таможенного союза "О безопасности зерна" (ТР ТС 015/2011) и осуществления оценки (подтверждения) соответствия продукции (
Решение Комиссии Таможенного союза от 09.12.2011 N 874).
Документ включен в
Перечень нормативной документации, разрешенной для использования в государственных ветеринарных лабораториях при диагностике болезней животных, рыб, пчел, а также контроля безопасности сырья животного и растительного происхождения (утв. Россельхознадзором 30.07.2009 N 02-03-48/563).
Документ включен в
Перечень национальных стандартов, содержащих правила и методы исследований (испытаний) и измерений, в том числе правила отбора образцов, необходимые для применения и исполнения Федерального
закона "Технический регламент на масложировую продукцию" и осуществления оценки соответствия (
Распоряжение Правительства РФ от 27.12.2008 N 2008-р).
Документ включен в
Перечень национальных стандартов, содержащих правила и методы исследований (испытаний) и измерений, в том числе правила отбора образцов, необходимых для применения и исполнения Федерального
закона "Технический регламент на молоко и молочную продукцию" и осуществления оценки соответствия (
Распоряжение Правительства РФ от 15.12.2008 N 1866-р).
С 01.07.2003 до вступления в силу технических регламентов акты федеральных органов исполнительной власти в сфере технического регулирования носят рекомендательный характер и подлежат обязательному исполнению только в части, соответствующей целям, указанным в
п. 1 ст. 46 Федерального закона от 27.12.2002 N 184-ФЗ.
Изменение N 1, утв. Постановлением Госстандарта СССР от 30.05.1990 N 1356, введено в действие с 01.10.1990.
Взамен ГОСТ 14353-74 и ГОСТ 5370-58 в части метода определения меди.
Название документа
"ГОСТ 26931-86. Государственный стандарт Союза ССР. Сырье и продукты пищевые. Методы определения меди"
(введен в действие Постановлением Госстандарта СССР от 25.06.1986 N 1733)
(ред. от 30.05.1990)
"ГОСТ 26931-86. Государственный стандарт Союза ССР. Сырье и продукты пищевые. Методы определения меди"
(введен в действие Постановлением Госстандарта СССР от 25.06.1986 N 1733)
(ред. от 30.05.1990)
Введен в действие
Постановлением Государственного
комитета СССР по стандартам
от 25 июня 1986 г. N 1733
ГОСУДАРСТВЕННЫЙ СТАНДАРТ СОЮЗА ССР
СЫРЬЕ И ПРОДУКТЫ ПИЩЕВЫЕ
МЕТОДЫ ОПРЕДЕЛЕНИЯ МЕДИ
Raw material and food-stuffs.
Methods for determination of copper
ГОСТ 26931-86
| | Список изменяющих документов Госстандарта СССР от 30.05.1990 N 1356) | |
Взамен ГОСТ 14353-74
и ГОСТ 5370-58
в части метода
определения меди
Постановлением Государственного комитета СССР по стандартам от 25 июня 1986 г. N 1733 срок действия установлен
с 1 декабря 1986 года
до 1 января 1992 года
для продуктов детского питания и сырья для их производства
с 1 декабря 1986 года
для консервов и винодельческой продукции и сырья для их производства
с 1 июля 1988 года
для других пищевых продуктов и сырья
с 1 июля 1989 года
Настоящий стандарт распространяется на пищевые сырье и продукты и устанавливает полярографический и колориметрические методы определения меди.
Колориметрический метод с дибензилдитиокарбаматом цинка распространяется только на винодельческую продукцию и пиво.
1. МЕТОД ОТБОРА И ПОДГОТОВКИ ПРОБ
1.1. Метод отбора и подготовки проб к испытанию должен быть указан в нормативно-технической документации на конкретную продукцию.
2. ПОЛЯРОГРАФИЧЕСКИЙ МЕТОД
2.1. Сущность метода
Метод основан на сухой минерализации (озолении) пробы с использованием в качестве вспомогательного средства азотной кислоты и количественном определении меди полярографированием в режиме переменного тока.
При анализе поваренной соли используют метод, основанный на растворении поваренной соли в воде, разрушении органических соединений и определении меди полярографированием в режиме переменного тока.
(абзац введен
Изменением N 1, утв. Постановлением Госстандарта СССР от 30.05.1990 N 1356)
2.2. Аппаратура, материалы и реактивы
Полярограф марки ПУ-1 или других марок, обеспечивающих возможность работы в режиме переменного тока.
Баня водяная.
Редуктор для газопламенной обработки по
ГОСТ 13861-80 с кислородным манометром по
ГОСТ 2405-88.
(в ред.
Изменения N 1, утв. Постановлением Госстандарта СССР от 30.05.1990 N 1356)
Весы лабораторные общего назначения с наибольшим пределом взвешивания 200 г, 2-го класса точности по ГОСТ 24104-88.
Весы лабораторные общего назначения с наибольшим пределом взвешивания 1 кг, 3-го класса точности, по ГОСТ 24104-88.
(в ред.
Изменения N 1, утв. Постановлением Госстандарта СССР от 30.05.1990 N 1356)
Шкаф лабораторный сушильный.
Колбы мерные 2-25-2; 2-50-2; 2-100-2; 2-500-2 и 2-1000-2 по
ГОСТ 1770-74.
Колбы конические Кн-2-150-18 и Кн-2-250-18, Кн-2-10-18 и Кн-2-25-18 по
ГОСТ 25336-82.
(в ред.
Изменения N 1, утв. Постановлением Госстандарта СССР от 30.05.1990 N 1356)
Пипетки 4-25-1 или 5-25-1; 4-2-1 или 5-2-1; 4-2-2 или 5-2-2; 6-2-5 или 7-2-5; 6-2-10 или 7-2-10 по
ГОСТ 20292-74.
(в ред.
Изменения N 1, утв. Постановлением Госстандарта СССР от 30.05.1990 N 1356)
Цилиндры 1-25 или 3-25; 1-50 или 3-50; 1-100 или 3-100 по
ГОСТ 1770-74.
Ареометры без шара А1-1, набор с пределами измерений от 700 до 1840 кг/м
3, по
ГОСТ 18481-81.
Универсальная индикаторная бумага.
Фильтры обеззоленные диаметром 5,5 и 9 см, синяя лента.
(абзац введен
Изменением N 1, утв. Постановлением Госстандарта СССР от 30.05.1990 N 1356)
Натрий хлористый для спектрального анализа, х.ч.
(абзац введен
Изменением N 1, утв. Постановлением Госстандарта СССР от 30.05.1990 N 1356)
Калия гидроокись по
ГОСТ 24363-80, ч.д.а., гранулированная и раствор концентрации 600 г/дм
3.
(в ред.
Изменения N 1, утв. Постановлением Госстандарта СССР от 30.05.1990 N 1356)
Пирогаллол А, ч.д.а раствор концентрации 250 г/дм3.
(в ред.
Изменения N 1, утв. Постановлением Госстандарта СССР от 30.05.1990 N 1356)
Азот газообразный по
ГОСТ 9293-74, ос.ч. или "о" или другой инертный газ с массовой долей кислорода не более 0,001%.
Аммиак водный по
ГОСТ 3760-79, ч.д.а., плотностью 0,91 г/см
3.
Аммоний лимоннокислый двузамещенный по ГОСТ 3653-78, ч.д.а. или аммоний лимоннокислый, ч.д.а., раствор концентрации 200 г/дм3.
(в ред.
Изменения N 1, утв. Постановлением Госстандарта СССР от 30.05.1990 N 1356)
Кальций хлористый 2-водный по ТУ 6-09-50-77-87, ч., прокаленный.
(в ред.
Изменения N 1, утв. Постановлением Госстандарта СССР от 30.05.1990 N 1356)
Кислота азотная особой чистоты по
ГОСТ 11125-84 или кислота азотная по
ГОСТ 4461-77, х.ч., плотностью 1,40 г/см
3 и разбавленная водой (1:1) и (1:2).
Кислота ортофосфорная по
ГОСТ 6552-80, х.ч., плотностью 1,72 г/см
3, разбавленная водой (1:3).
Кислота соляная особой чистоты по
ГОСТ 14261-77 или кислота соляная по
ГОСТ 3118-77, х.ч., плотностью 1,19 г/см
3, разбавленная водой (1:1) и раствор концентрации c (HCl) = 1 моль/дм
3.
(в ред.
Изменения N 1, утв. Постановлением Госстандарта СССР от 30.05.1990 N 1356)
Кислота серная по
ГОСТ 4204-77, х.ч., плотностью 1,84 г/см
3.
Кислота хлорная, х.ч., плотностью 1,25 г/см3, раствор с массовой долей 57% или кислота хлорная, ч.д.а., плотностью 1,32 г/см3, раствор с массовой долей 42%; раствор, разбавленный водой при использовании кислоты квалификации х.ч. (10:9) или ч.д.а. (10:4).
(в ред.
Изменения N 1, утв. Постановлением Госстандарта СССР от 30.05.1990 N 1356)
Натрий сернистокислый (сульфит) безводный по
ГОСТ 195-77, ч.д.а., раствор концентрации 201,6 г/дм
3, свежеприготовленный.
(в ред.
Изменения N 1, утв. Постановлением Госстандарта СССР от 30.05.1990 N 1356)
(абзац введен
Изменением N 1, утв. Постановлением Госстандарта СССР от 30.05.1990 N 1356)
Допускается применять импортное оборудование, посуду и реактивы с техническими характеристиками не ниже отечественных аналогов.
2.3. Подготовка к испытанию.
2.3.1. Очистка инертного газа от кислорода
При наличии примеси кислорода более 0,001% газ пропускают через поглотительную смесь, состоящую из раствора пирогаллола и гидроокиси калия в соотношении 1:5.
2.3.2. Приготовление фоновых электролитов
2.3.2.1. Фоновый электролит А - смешанный раствор ортофосфорной кислоты концентрации c (1/3H3PO4) = 1,3 моль/дм3 и хлорной кислоты концентрации c (HClO4) = 0,7 моль/дм3; смешивают разбавленные ортофосфорную, хлорную кислоты и воду в соотношении 3:2:5.
(в ред.
Изменения N 1, утв. Постановлением Госстандарта СССР от 30.05.1990 N 1356)
Используют при анализе мяса, мясопродуктов; мяса птицы, яиц и продуктов их переработки; желатина; мясных, мясорастительных и плодоовощных консервов; кондитерских изделий.
2.3.2.2. Фоновый электролит Б - раствор соляной кислоты концентрации c (HCl) = 0,1 моль/дм3: отмеривают пипеткой 8,2 см3 соляной кислоты плотностью 1,19 г/см3 в мерную колбу вместимостью 1000 см3 и доводят водой до метки.
(в ред.
Изменения N 1, утв. Постановлением Госстандарта СССР от 30.05.1990 N 1356)
Используют при анализе виноматериалов, хлеба и хлебобулочных продуктов.
2.3.2.3. Фоновый электролит В - раствор соляной кислоты концентрации c (HCl) = 0,4 моль/дм3: отмеривают цилиндром 33 см3 кислоты плотностью 1,19 г/см3 в мерную колбу вместимостью 1000 см3 и доводят до метки водой.
(в ред.
Изменения N 1, утв. Постановлением Госстандарта СССР от 30.05.1990 N 1356)
Используют при анализе зерна и продуктов его переработки; хлеба, хлебобулочных и кондитерских изделий.
2.3.2.4. Фоновый электролит Г - раствор хлористого аммония концентрации c (NH4Cl) = 1 моль/дм3 и аммиака концентрации c (NH3) = 1 моль/дм3: 53,49 г хлористого аммония растворяют в небольшом количестве воды, переносят в мерную колбу вместимостью 1000 см3. В колбу добавляют водный раствор аммиака в таком объеме, который содержит 17 г аммиака. Необходимый объем раствора аммиака рассчитывают на основе измеренных ареометром показателей плотности (около 75 см3). Объем в колбе доводят водой до метки.
(в ред.
Изменения N 1, утв. Постановлением Госстандарта СССР от 30.05.1990 N 1356)
Используют при анализе мяса, мясопродуктов; мяса птицы, яиц и продуктов их переработки; молока и молочных продуктов; желатина; мясных, мясорастительных и плодоовощных консервов; пива, винодельческих продуктов.
2.3.2.5. Фоновый электролит Д-раствор хлористого натрия концентрации 50 г/дм3, содержащий серную кислоту и надсернокислый аммоний, готовят следующим образом: 50,00 г хлористого натрия количественно переносят в коническую колбу вместимостью 2 дм3, растворяют в 1 дм3 дистиллированной воды, приливают 10 см3 раствора серной кислоты и вносят около 10 г надсернокислого аммония. Кипятят раствор в течение 30 мин, охлаждают до комнатной температуры, количественно переносят в мерную колбу вместимостью 1 дм3 и разбавляют дистиллированной водой до метки.
(п. 2.3.2.5 введен
Изменением N 1, утв. Постановлением Госстандарта СССР от 30.05.1990 N 1356)
2.3.2.6. Фоновый электролит Е - раствор хлористого натрия концентрации 50 г/дм3 - готовят следующим образом: 50,00 г хлористого натрия количественно переносят в мерную колбу вместимостью 1 дм3, растворяют в бидистиллированной воде и доводят до метки. Используют при анализе вакуум-выварочной и чренной соли.
(п. 2.3.2.6 введен
Изменением N 1, утв. Постановлением Госстандарта СССР от 30.05.1990 N 1356)
2.3.3. Приготовление основного раствора меди
Сернокислую медь дважды перекристаллизовывают и высушивают в эксикаторе до постоянной массы.
3,929 г сернокислой меди растворяют в воде, переносят в мерную колбу вместимостью 1000 см3, добавляют 1 см3 серной кислоты плотностью 1,84 г/см3 и доводят объем водой до метки.
Основной раствор хранят не более 1 года. Концентрация меди в основном растворе равна 1 мг/см3.
Стандартные растворы необходимой концентрации готовят последовательным разбавлением в 10, 100 и 1000 раз основного раствора меди. При измерении концентрации меди в испытуемом растворе с использованием фонового электролита А разбавление проводят водой, в остальных случаях - соответствующим фоновым электролитом.
| | ИС МЕГАНОРМ: примечание. Взамен ГОСТ 26929-86 Постановлением Госстандарта России от 21.02.1995 N 78 с 1 января 1996 года введен в действие ГОСТ 26929-94. | |
Минерализацию проб проводят сухим способом по ГОСТ 26929-86.
При анализе поваренной соли минерализацию пробы не проводят.
(абзац введен
Изменением N 1, утв. Постановлением Госстандарта СССР от 30.05.1990 N 1356)
2.3.5. Приготовление контрольного раствора
Проверяют каждую новую партию реактивов.
Готовят, используя все реактивы и растворы, аналогично приготовлению испытуемого раствора.
Если контрольный раствор содержит измеримое количество меди, его готовят ежедневно при каждой серии измерений.
2.3.6. Приготовление испытуемого раствора
2.3.6.1. При использовании фонового электролита А золу, приготовленную по
п. 2.3.4, растворяют в тигле при нагревании на водяной бане в 5 см
3 разбавленной (1:2) азотной кислоты. Раствор выпаривают до влажных солей. К осадку в тигле добавляют 2 см
3 разбавленной хлорной кислоты и нагревают на водяной бане в течение 5 мин. Раствор охлаждают, добавляют 3 см
3 ортофосфорной кислоты, 3 см
3 воды, тщательно перемешивают и дают отстояться осадку. Раствор фильтруют в мерную пробирку через обеззоленный фильтр, предварительно промытый фоновым электролитом. Тигель и фильтр смывают водой, доводя объем до 10 см
3.
Концентрация меди в испытуемом растворе должна быть от 0,2 до 3 мкг/см3. В случае более высокой концентрации проводят его дополнительное разведение фоновым электролитом.
2.3.6.2. При использовании фонового электролита Б золу, приготовленную по
п. 2.3.4, растворяют в тигле при нагревании на электроплитке в 5 см
3 разбавленной (1:1) соляной кислоты. Раствор выпаривают на электроплитке до объема около 1 см
3 и затем досуха на водяной бане. Осадок растворяют при нагревании на водяной бане в 5 см
3 фонового электролита, охлаждают и фильтруют в мерную пробирку через обеззоленный фильтр, предварительно промытый фоновым электролитом. Смывают тигель и фильтр фоновым электролитом и доводят объем раствора до 10 см
3.
Концентрация меди в испытуемом растворе должна быть от 2 до 8 мкг/см
3. В случае более высокой концентрации поступают так же, как в
п. 2.3.6.1.
2.3.6.3. При использовании фонового электролита В золу, приготовленную по
п. 2.3.4, растворяют в 8 см
3 фонового электролита, внося его порциями по 2 см
3 и перемешивая стеклянной палочкой. После полного растворения золы раствор фильтруют через обеззоленный фильтр, предварительно промытый фоновым электролитом в мерную пробирку, смывают тигель и фильтр тем же раствором и доводят объем до 10 см
3.
Концентрация меди в испытуемом растворе должна быть от 2 до 8 мкг/см
3. В случае более высокой концентрации поступают так же, как в
п. 2.3.6.1.
2.3.6.4. При использовании фонового электролита Г при анализе всех продуктов, кроме молока и молочных продуктов, золу, приготовленную по
п. 2.3.4, растворяют в тигле при нагревании на водяной бане в 5 см
3 разбавленной соляной кислоты. Раствор нейтрализуют водным раствором аммиака по универсальной индикаторной бумаге и количественно переносят в мерную колбу вместимостью 25 см
3, смывая тигель несколько раз водой. К раствору в колбе добавляют водный раствор аммиака в таком объеме, который содержит 0,43 г аммиака. Необходимый объем этого раствора рассчитывают по его плотности, измеренной ареометром. Объем раствора в колбе доводят водой до метки, перемешивают и фильтруют через обеззоленный фильтр, предварительно промытый фоновым электролитом.
Концентрация меди в испытуемом растворе должна быть от 0,1 до 4 мкг/см
3. В случае более высокой концентрации поступают так же, как в
п. 2.3.6.1.
2.3.6.5. При использовании фонового электролита Г при анализе молока и молочных продуктов золу, приготовленную по
п. 2.3.4, растворяют в тигле при нагревании на электроплитке в 5 см
3 разбавленной (1:1) соляной кислоты. Раствор выпаривают на электроплитке до объема 1 см
3 и затем досуха на водяной бане. Осадок растворяют в 4 см
3 раствора соляной кислоты концентрации
c (HCl) = 1 моль/дм
3, добавляют 4 см
3 раствора лимоннокислого аммония и нейтрализуют водным раствором аммиака по универсальной индикаторной бумаге. Содержимое тигля переносят в мерную колбу вместимостью 25 см
3, смывая его несколько раз фоновым электролитом. Если появляется помутнение раствора, объем добавляемого лимоннокислого аммония следует увеличить до 5 см
3. Объем раствора в колбе доводят до метки фоновым электролитом, перемешивают и фильтруют через обеззоленный фильтр, предварительно промытый фоновым электролитом.
(в ред.
Изменения N 1, утв. Постановлением Госстандарта СССР от 30.05.1990 N 1356)
Концентрация меди в испытуемом растворе должна быть от 0,1 до 4 мкг/см
3. В случае более высокой концентрации поступают так же, как в
п. 2.3.6.1.
2.3.6.6. При анализе поваренной соли 5,00 г соли растворяют в 200 см3 дистиллированной воды в конической колбе вместимостью 250 см3, приливают 1 см3 раствора серной кислоты и вносят около 1 г надсернокислого аммония. Присоединяют обратный холодильник и кипятят раствор в течение 30 мин. Охлажденный раствор фильтруют через промытый соляной кислотой (1:1) и дистиллированной водой фильтр в мерную колбу вместимостью 100 см3, смывают колбу и фильтр дистиллированной водой и объем доводят до метки. Концентрация меди в растворе должна быть 0,1 - 4,0 мкг/см3. В случае более высокой концентрации проводят его дополнительное разведение фоновым электролитом Д.
При анализе вакуум-выварочной и чренной соли обработку раствора соли кипячением с серной кислотой и надсернокислым аммонием не проводят, а разбавление проводят фоновым электролитом Е.
(п. 2.3.6.6 введен
Изменением N 1, утв. Постановлением Госстандарта СССР от 30.05.1990 N 1356)
2.4. Проведение испытания
Измерение проводят на полярографе в режиме переменного тока с ртутно-капельным электродом в электролизере вместимостью 5 см3.
Полярограмму записывают при напряжении от минус 0,1 до минус 0,5 В относительно донной ртути, выбирая режим работы в соответствии с инструкцией к полярографу.
При анализе поваренной соли используют электролизер вместимостью 25 см3, полярограмму записывают при напряжении от минус 0,1 до минус 0,4 В.
(абзац введен
Изменением N 1, утв. Постановлением Госстандарта СССР от 30.05.1990 N 1356)
2.4.1. Полярографирование при использовании фоновых электролитов А, Б и В.
В две конические колбы вместимостью 10 или 25 см
3 помещают по 4 см
3 контрольного или испытуемого раствора по
пп. 2.4.2.1 -
2.4.2.3. В первую колбу добавляют 1 см
3 соответствующего фонового электролита или воды при работе с фоновым электролитом А и пропускают через раствор азот или любой другой инертный газ в течение 10 мин.
Раствор немедленно переносят в электролизер, предварительно промытый водой, фоновым электролитом и полярографируемым раствором, полярографируют и измеряют высоту пика меди.
Во вторую колбу вносят добавку - стандартный раствор меди в таком количестве, чтобы высота пика меди на полярограмме удвоилась по сравнению с первоначальной. Добавку следует вносить в малом объеме (не более 1 см3), чтобы предотвратить изменение концентрации фонового электролита и зольных элементов. Затем в колбу добавляют фоновый электролит или воду (при работе с фоновым электролитом А) в объеме, необходимом для доведения его до 5 см3. Пропускают инертный газ, полярографируют в тех же условиях и измеряют высоту пика меди.
2.4.2. Полярографирование при использовании фонового электролита Г
В две конические колбы вместимостью 10 или 25 см
3 помещают по 8 см
3 контрольного или испытуемого раствора по
пп. 2.3.6.4 или
2.3.6.5 и 1 см
3 раствора сульфита натрия. В первую колбу добавляют 1 см
3 воды.
Раствор переносят в электролизер, предварительно промытый как в
п. 2.4.1, полярографируют и измеряют высоту пика меди.
Во вторую колбу вносят добавку так же, как в
п. 2.4.1. Далее поступают как с раствором без добавки. При работе по
пп. 2.3.6.1 -
2.3.6.5 и
п. 2.4 необходимые объемы жидкости отбирают только пипетками.
2.4.3. Полярографирование при использовании фоновых электролитов Д и Е.
25 см3 испытуемого раствора с помощью пипетки вносят в электролизер, предварительно промытый водой и полярографируемым раствором. Пропускают инертный газ в течение 10 мин, полярографируют и измеряют высоту пика меди.
Далее в электролизер вносят добавку - стандартный раствор меди в таком объеме, чтобы высота пика меди на полярограмме примерно удвоилась по сравнению с первоначальной. Добавку следует вносить в малом объеме (не более 0,5 см3), чтобы предотвратить изменение концентрации фонового электролита.
Пропускают инертный газ, полярографируют в тех же условиях и измеряют высоту пика меди.
Аналогично проводят полярографирование контрольного раствора.
(п. 2.4.3 введен
Изменением N 1, утв. Постановлением Госстандарта СССР от 30.05.1990 N 1356)
2.5. Обработка результатов
2.5.1. Массовую долю меди (X) в млн-1 /мг/кг/ или массовую концентрацию (X) в мг/дм3 вычисляют по высоте пиков, измеренных на полярограммах с помощью линейки с точностью до 1 мм, соответственно по формулам

,

,
где m1 - масса меди, добавляемая перед вторым полярографированием, мкг;
m - масса навески продукта, взятая для озоления, г;
mк - масса меди в контрольном растворе, мкг;
H1 - высота пика меди, полученная при первом полярографировании, мм;
H2 - высота пика меди, полученная при втором полярографировании, мм;
V0 - общий объем раствора, приготовленного из озоленной навески, см3;
V1 - объем испытуемого раствора, взятого для полярографирования, см3;
V - объем продукта, взятый для озоления, см3;
B - кратность дополнительного разведения при большой массовой доле меди в испытуемом растворе.
Примечание. При анализе соли m - масса навески в пересчете на сухое вещество, г.
(примечание введено
Изменением N 1, утв. Постановлением Госстандарта СССР от 30.05.1990 N 1356)
3. КОЛОРИМЕТРИЧЕСКИЙ МЕТОД С ДИЭТИЛДИТИОКАРБАМАТОМ НАТРИЯ
3.1. Сущность метода
Метод основан на минерализации пробы и последующем измерении интенсивности окраски раствора комплексного соединения меди с диэтилдитиокарбаматом натрия желтого цвета.
3.2. Аппаратура, материалы, реактивы
Баня водяная.
Весы лабораторные общего назначения с наибольшим пределом взвешивания 200 г, 2-го класса точности, по ГОСТ 24104-88.
(в ред.
Изменения N 1, утв. Постановлением Госстандарта СССР от 30.05.1990 N 1356)
Весы лабораторные общего назначения с наибольшим пределом взвешивания 1 кг, 3-го класса точности, по ГОСТ 24104-88.
(в ред.
Изменения N 1, утв. Постановлением Госстандарта СССР от 30.05.1990 N 1356)
Колориметр фотоэлектрический лабораторный с устройством для отсчитывания значения оптической плотности и светофильтром с

или спектрофотометр для измерения в видимой области спектра, по ГОСТ 12083-78.
Часы песочные на 1 мин.
Штатив химический.
Воронки В-25-38 ХС, В-36-50 ХС, В-100-150 ХС, ВД-1-250 ХС, или ВД-3-250 ХС, ВД-1-1000 ХС или ВД-3-1000 ХС, по
ГОСТ 25336-82.
Колбы мерные 2-25-2, 2-50-2, 2-100-2, 2-500-2, 2-1000-2, по
ГОСТ 1770-74.
Пипетки 4-2-1 или 5-2-1, 4-2-2 или 5-2-2, 6-2-5 или 7-2-5, 2-2-5, 2-2-10, 7-2-10 или 6-2-10, по
ГОСТ 20292-74.
Стаканы В-1-50 ТХС, В-1-100 ТХС, В-1-250 ТХС, В-1-1000 ТХС, по
ГОСТ 25336-82.
Аммиак водный по
ГОСТ 3760-79, ч.д.а., разбавленный водой (2:3).
Аммоний лимоннокислый двузамещенный по ГОСТ 3653-78, ч.д.а.
Натрия диэтилдитиокарбамат по
ГОСТ 8864-71, ч.д.а., раствор концентрации 10 г/дм
3. Хранят в посуде из темного стекла не более 7 сут.
(в ред.
Изменения N 1, утв. Постановлением Госстандарта СССР от 30.05.1990 N 1356)
Медь сернокислая пятиводная по
ГОСТ 4165-78, х.ч., дважды перекристаллизованная и высушенная в эксикаторе до постоянной массы.
(в ред.
Изменения N 1, утв. Постановлением Госстандарта СССР от 30.05.1990 N 1356)
Фенолфталеин по ТУ 6-09-53-60-87, раствор в этиловом спирте концентрации 10 г/дм3.
(в ред.
Изменения N 1, утв. Постановлением Госстандарта СССР от 30.05.1990 N 1356)
Фильтры обеззоленные диаметром 7 см, синяя лента.
Допускается применять импортные оборудование, посуду и реактивы с техническими характеристиками не ниже отечественных аналогов.
3.3. Подготовка к испытанию
3.3.1. Приготовление основного раствора меди с концентрацией меди 1 мг/см3
3.3.2. Приготовление смешанного раствора трилона Б и лимоннокислого аммония
В мерную колбу вместимостью 500 см3 помещают 100 г лимоннокислого аммония и 25 г трилона Б, взвешенных с погрешностью не более +/- 0,1 г, растворяют и доводят объем раствора до метки дистиллированной водой. Содержимое колбы перемешивают. Раствор переносят в делительную воронку вместимостью 1000 см3, добавляют 0,5 см3 раствора диэтилдитиокарбамата натрия и 50 см3 растворителя (хлороформа или четыреххлористого углерода). Воронку интенсивно встряхивают в течение 1 мин и оставляют стоять до разделения слоев. Нижний слой сливают и отбрасывают. В делительную воронку вносят 50 см3 растворителя, встряхивают в течение 1 мин и после разделения слоев нижний слой сливают и отбрасывают. Последнюю операцию повторяют до получения бесцветного нижнего слоя. Раствор хранят не более 2-х месяцев.
| | ИС МЕГАНОРМ: примечание. Взамен ГОСТ 26929-86 Постановлением Госстандарта России от 21.02.1995 N 78 с 1 января 1996 года введен в действие ГОСТ 26929-94. | |
3.3.3.1. Минерализацию проводят по ГОСТ 26929-86.
3.3.3.2. Аналогично готовят контрольную пробу, используя применяемые для минерализации реактивы, прибавляя их в тех же объемах и последовательности, что и при минерализации пробы.
3.3.4. Подготовка испытуемых растворов
Золу, приготовленную сухой минерализацией по
п. 3.3.3, растворяют в 5 см
3 раствора соляной кислоты, нагревая на кипящей водяной бане.
При ожидаемом содержании меди в растворе золы, большем 40 мкг, раствор золы количественно переносят в мерную колбу вместимостью 50 см3 и доводят объем раствора до метки с помощью дистиллированной воды.
При ожидаемом содержании меди в растворе золы, меньшем 40 мкг, раствор золы используют для последующего испытания целиком без дополнительного разведения.
Раствор, полученный в результате мокрой минерализации или кислотной экстракции, используют для проведения испытания без дополнительной обработки.
3.3.5. Приготовление растворов сравнения, контрольного раствора и построение градуировочного графика
3.3.5.1. 1 см
3 основного раствора меди, приготовленного по
п. 2.3.3, помещают в мерную колбу вместимостью 100 см
3, объем раствора в колбе доводят до метки дистиллированной водой. Раствор готовят перед использованием.
3.3.5.2. В делительные воронки вместимостью 250 см
3 помещают 0,5; 1; 2; 3 и 4 см
3 раствора, приготовленного по
п. 3.3.5.1, т.е. соответственно 5, 10, 20, 30 и 40 мкг меди.
3.3.5.3. В каждую делительную воронку помещают 10 см
3 смешанного раствора лимоннокислого аммония и трилона Б, две капли раствора фенолфталеина, раствор перемешивают, нейтрализуют, добавляя по каплям раствор аммиака до появления окраски, охлаждают и добавляют дистиллированную воду до объема около 100 см
3. Затем в делительные воронки вводят 2 см
3 раствора диэтилдитиокарбамата натрия и 15 см
3 растворителя (хлороформа или четыреххлористого углерода). Воронки интенсивно встряхивают в течение 1 мин и оставляют стоять до разделения слоев. Нижний слой сливают в мерную колбу вместимостью 25 см
3. В делительные воронки помещают 10 см
3 растворителя, встряхивают в течение 1 мин и после разделения слоев нижний слой сливают в ту же мерную колбу. В случае необходимости объем раствора в колбе доводят до метки с помощью растворителя и перемешивают.
3.3.5.4. Контрольный раствор готовят аналогично без введения раствора меди.
3.3.5.5. Содержимое колб с растворами сравнения и контрольным раствором фильтруют через сухой бумажный фильтр в кюветы. Оптическую плотность растворов сравнения измеряют по отношению к контрольному раствору на фотоэлектрическом колориметре с применением светофильтра с

в кювете с расстоянием между рабочими гранями 20 мм или на спектрофотометре при длине волны 440 нм в кювете с расстоянием между рабочими гранями 10 мм.
Примечание. Для жировых продуктов используют кюветы с расстоянием между рабочими гранями 50 и 20 мм при измерении на колориметре и спектрофотометре соответственно.
3.3.5.6. Градуировочный график строят, откладывая на оси абсцисс массы меди в мкг, введенные в растворы сравнения, на оси ординат - соответствующие им значения оптической плотности.
Примечание. При подготовке растворов по
пп. 3.3.5.1 -
3.3.5.3 необходимые объемы жидкостей отбирают только пипетками. Приготовление растворов сравнения, контрольного раствора и построение градуировочного графика повторяют при смене партии диэтилдитиокарбамата натрия, лимоннокислого аммония или трилона Б.
3.4. Проведение испытаний
3.4.1. Для испытания растворов по
п. 3.3.4 с ожидаемым содержанием в них меди, большим 40 мкг, в делительную воронку вместимостью 250 см
3 помещают аликвотный объем испытуемого раствора, содержащий от 10 до 40 мкг меди.
Для испытания растворов по
п. 3.3.4 с ожидаемым содержанием в них меди, меньшим 40 мкг, содержимое колбы Кьельдаля или чашки с раствором золы количественно переносят в делительную воронку вместимостью 250 см
3 с помощью дистиллированной воды.
3.4.2. Контрольный раствор готовят аналогично из контрольной пробы по
п. 3.3.3.2.
3.4.3. Оптическую плотность испытуемого раствора измеряют по отношению к контрольному раствору, как указано в
п. 3.3.5.5.
3.4.4. По полученному значению оптической плотности с помощью градуировочного графика находят массу меди.
3.5. Обработка результатов
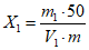
3.5.1. Массовую долю меди (
X1) в млн
-1 (мг/кг) или массовую концентрацию (
X2) в мг/дм
3 при испытании растворов по
п. 3.3.4 с использованием аликвотного объема вычисляют по формулам

,

,
где m1 - масса меди, найденная по градуировочному графику, мкг;
50 - общий объем минерализата, см3;
V1 - аликвотный объем минерализата, см3;
m - масса навески продукта, взятой для минерализации, г;
V - объем продукта, взятый для минерализации, см3.
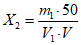
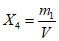
Массовую долю меди (X3) в млн-1 (мг/кг) или массовую концентрацию (X4) в мг/дм3 при испытании с использованием всей минерализованной пробы вычисляют по формулам

,

,
где m1 - масса меди, найденная по градуировочному графику, мкг;
m - масса навески продукта, взятой для минерализации, г;
V - объем продукта, взятый для минерализации, см3.
4. КОЛОРИМЕТРИЧЕСКИЙ МЕТОД С ДИБЕНЗИЛДИТИОКАРБАМАТОМ ЦИНКА
4.1. Сущность метода
Метод основан на измерении интенсивности окраски раствора комплексного соединения меди с дибензилдитиокарбаматом цинка желтого цвета.
4.2. Аппаратура, материалы, реактивы
Колориметр фотоэлектрический со светофильтром с

, по ГОСТ 12083-78.
Весы лабораторные общего назначения с наибольшим пределом взвешивания 200 г, 2-го класса точности, по ГОСТ 24104-88.
(в ред.
Изменения N 1, утв. Постановлением Госстандарта СССР от 30.05.1990 N 1356)
Баня водяная.
Колбы 1-100-2 или 2-100-2, 1-1000-2 или 2-1000-2 по
ГОСТ 1770-74.
Пипетки 4-2-1 или 5-2-1, 4-2-2 или 5-2-2, 2-2-5 или 3-2-5, 6-2-5 или 7-2-5, 2-2-10 или 3-2-10 по
ГОСТ 20292-74.
Воронки ВД-1-100 ХС или ВД-3-100 ХС, ВД-1-250 ХС или ВД-3-250 ХС по
ГОСТ 25336-82.
Пробирки центрифужные с притертыми пробками вместимостью 100 см3, диаметром 44 мм.
| | ИС МЕГАНОРМ: примечание. ГОСТ 5072-79 утратил силу с 1 января 1991 года (ИУС "Государственные стандарты", N 11, 1991). | |
Часы песочные на 2 мин или секундомер по ГОСТ 5072-79.
Центрифуга лабораторная.
Фильтры обеззоленные.
Кислота серная по
ГОСТ 4204-77, х.ч. и растворы концентраций 100 г/дм
3 и
c (1/2H
2SO
4) = 0,001 моль/дм
3.
(в ред.
Изменения N 1, утв. Постановлением Госстандарта СССР от 30.05.1990 N 1356)
(в ред.
Изменения N 1, утв. Постановлением Госстандарта СССР от 30.05.1990 N 1356)
Дибензилдитиокарбамат цинка, раствор в четыреххлористом углероде 0,5 г/дм3.
Спирт гексиловый (гексанол 1).
Допускается применять импортные оборудование, посуду и реактивы с техническими характеристиками не ниже отечественных аналогов.
4.3. Подготовка к испытанию
4.3.1. Приготовление основного раствора меди с концентрацией 1 мг/см3
4.3.2. Подготовка напитков
Винодельческую продукцию фильтруют и далее проводят анализ без минерализации. При испытании бутылку с пивом охлаждают в холодильнике до (3 +/- 2) °C. Энергично взбалтывают и после прекращения выделения пузырьков газа открывают бутылку.
4.3.3. Приготовление растворов сравнения, контрольного раствора и построение градуировочного графика
4.3.3.1. 10 см
3 основного раствора переносят в мерную колбу вместимостью 1000 см
3 и объем доводят до метки раствором серной кислоты 0,001 моль/дм
3.
4.3.3.2. 0,5; 1,0; 1,5; 2,0; 2,5; 3,0 и 3,5 см
3 раствора, полученного по
п. 4.3.3.1, что соответствует 5, 10, 15, 20, 25, 30 и 35 мкг меди переносят в делительные воронки вместимостью 100 см
3, в каждую воронку вносят 5 см
3 раствора серной кислоты концентрации 100 г/дм
3, 10 см
3 раствора дибензилдитиокарбамата цинка, взбалтывают 2 мин и оставляют стоять до разделения слоев. Затем фильтруют нижний слой через сухую воронку, в которую вложен небольшой сухой ватный тампон, в сухую пробирку. Оптическую плотность полученных растворов сравнения измеряют по отношению к контрольному раствору с применением светофильтра с

в кювете с расстоянием между рабочими гранями 10 мм. Контрольный раствор готовят точно так, как растворы сравнения, но только вместо растворов сернокислой меди берут такой же объем раствора серной кислоты концентрации
c (1/2H
2SO
4) = 0,001 моль/дм
3.
(в ред.
Изменения N 1, утв. Постановлением Госстандарта СССР от 30.05.1990 N 1356)
4.3.3.3. Градуировочный график строят, откладывая по оси абсцисс массу меди в мкг, введенную в растворы сравнения, по оси ординат соответствующие им значения оптической плотности.
4.4. Проведение испытания
4.4.1. При испытании винодельческой продукции в делительную воронку вместимостью 250 см3 отмеривают 5 см3 предварительно отфильтрованного напитка, при массовой концентрации меди более 6 мг/дм3 - 2,5 см3, вносят 40 - 50 см3 воды, 5 см3 раствора серной кислоты концентрации 100 г/дм3, 10 см3 раствора дибензилдитиокарбамата цинка. Взбалтывают 2 мин, добавляют 5 см3 этилового спирта (для красных вин 10 см3) и оставляют для расслаивания. Затем фильтруют нижний слой через сухую воронку с небольшим ватным тампоном в сухую пробирку.
(в ред.
Изменения N 1, утв. Постановлением Госстандарта СССР от 30.05.1990 N 1356)
Оптическую плотность испытуемого раствора измеряют по отношению к контрольному раствору, который готовят из 50 см3 воды и тех же растворов, которые применялись для приготовления испытуемого раствора.
По полученному значению оптической плотности с помощью градуировочного графика находят массу меди.
Примечание. Оставшаяся после расслаивания в делительной воронке в нижнем слое незначительная эмульсия не будет мешать определению. Частички водной фазы в слое четыреххлористого углерода при фильтрации останутся на ватном тампоне.
4.4.2. При испытании пива в центрифужную пробирку с притертой пробкой вносят 5 см
3 пива, подготовленного по
п. 4.3.2, 5 см
3 раствора серной кислоты концентрации 100 г/дм
3, 0,5 см
3 перекиси водорода и одну каплю гексанола.
(в ред.
Изменения N 1, утв. Постановлением Госстандарта СССР от 30.05.1990 N 1356)
Пробирку выдерживают 30 мин в кипящей водяной бане, охлаждают в проточной воде 5 мин, добавляют около 50 см
3 воды, 5 см
3 раствора серной кислоты концентрации 100 г/дм
3 и 10 см
3 раствора дибензилдитиокарбамата цинка. Пробирку встряхивают 4 раза по 1 мин, периодически приоткрывая пробку и оставляют для разделения слоев. Затем центрифугируют 2 мин при 2500 мин
-1, отбирают пипеткой нижний слой, который переносят через воронку с бумажным фильтром в пробирку. Оптическую плотность испытуемого раствора измеряют по отношению к контрольному раствору, как указано в
п. 4.3.3.2, и находят массу меди по градуировочному графику.
(в ред.
Изменения N 1, утв. Постановлением Госстандарта СССР от 30.05.1990 N 1356)
Контрольный раствор готовят из 50 см3 воды и всех реактивов, которые применялись для приготовления испытуемого раствора.
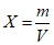
4.5. Массовую концентрацию меди (X) в мг/дм3 вычисляют по формуле

,
где m - масса меди, найденная по градуировочному графику, мкг;
V - объем напитка, взятый для определения, см3.
5.1. Вычисление производят до второго десятичного знака.
5.2. За окончательный результат испытания принимают среднее арифметическое результатов

двух параллельных определений, допускаемое расхождение между которыми не должно превышать 20% по отношению к среднему арифметическому при
P = 0,95.
Окончательный результат округляют до первого десятичного знака.
5.3. Пределы возможных значений систематической составляющей погрешности измерений массовой доли меди любой пробы при допускаемых методиками изменениях влияющих факторов составляет

.
5.4. Минимальная масса меди, определяемая колориметрическими методами, составляет 5 мкг в колориметрируемом объеме.
Минимальная концентрация меди, определяемая полярографическим методом, составляет 0,1 мкг/см3 полярографируемого раствора, приготовленного на фоновом электролите Г, 0,2 мкг/см3 - на фоновом электролите А и 2,0 мкг/см3 - на фоновых электролитах Б и В.
При анализе поваренной соли минимальная концентрация меди составляет 0,4 мкг/см3 полярографируемого раствора, приготовленного на фоновых электролитах Д и Е.
(абзац введен
Изменением N 1, утв. Постановлением Госстандарта СССР от 30.05.1990 N 1356)
5.5. Значение среднеквадратичного отклонения случайной составляющей погрешности измерений массовой доли меди одной и той же пробы в разных лабораториях при допускаемых методикой изменениях влияющих факторов составляет

.
5.6. Допускаемое расхождение между результатами испытаний, выполненных в двух разных лабораториях, не должны превышать 40% по отношению к среднему арифметическому при P = 0,95.
5.7. Полярографический метод, изложенный в
п. 2, и колориметрические методы, изложенные в
п.п. 3 и
4, не имеют между собой систематических различий.
6. АТОМНО-АБСОРБЦИОННЫЙ МЕТОД
ОПРЕДЕЛЕНИЯ МЕДИ В ПОВАРЕННОЙ СОЛИ
Госстандарта СССР от 30.05.1990 N 1356)
Метод основан на предварительном концентрировании меди и последующем ее определении на атомно-абсорбционном спектрофотометре в пламени ацетилен-воздух. Метод используют при арбитражных анализах.
6.1. Аппаратура, реактивы и растворы
Атомно-абсорбционный спектрофотометр.
Весы лабораторные общего назначения 2-го и 3-го классов точности с наибольшим пределом взвешивания 200 г по ГОСТ 24104-88.
Шкаф сушильный любого типа, обеспечивающий температуру нагрева 100 - 200 °C.
Центрифуга лабораторная любого типа, обеспечивающая частоту вращения 6000 мин-1.
Воронки делительные ВД-1-50 ХС, ВД-1-200 ХС, ВД 1-500 ХС или ВД 3-50 ХС, ВД 3-200 ХС, ВД 3-500 ХС по
ГОСТ 25336-82.
Пипетки стеклянные 4-2-1 или 5-2-1, 4-2-2 или 5-2-2, 4-2-5 или 5-2-5, 4-2-10 или 5-2-10, 4-2-50 или 5-2-50, 4-2-100 или 5-2-100 по
ГОСТ 20292-74.
Аммонии хлористый по
ГОСТ 3773-72, х.ч., раствор с массовой долей 25%.
Бутиловый эфир уксусной кислоты по
ГОСТ 22300-76, х.ч. или метилизобутилкетон по ТУ 6-09-14-32-76.
Кислота серная по
ГОСТ 4204-77, х.ч., плотностью 1,84 г/см
3.
Натрия гидроокись по
ГОСТ 4328-77, х.ч., растворы концентраций
c (NaOH) = 1 и 3 моль/дм
3.
Натрий лимоннокислый по
ГОСТ 22280-76, раствор с массовой долей 50%.
Натрий хлористый для спектрального анализа, х.ч.
Натрия диэтилдитиокарбамат по
ГОСТ 8864-71, х.ч., раствор с массовой долей вещества 1%. Хранят в посуде из темного стекла.
Углерод четыреххлористый по
ГОСТ 20288-74. Стандартные растворы меди:
Раствор 1, содержащий 1 мг меди в 1 см3 раствора, готовят следующим образом: растворяют 3,929 г сернокислой меди в воде в мерной колбе вместимостью 1 дм3, добавляют 1 см3 серной кислоты и доводят объем раствора водой до метки.
Раствор 2, содержащий 10 мкг меди в 1 см3 раствора, готовят путем отбора 10 см3 раствора 1 в мерную колбу вместимостью 1 дм3 и доведения объема раствора до метки дистиллированной водой.
Раствор 3, содержащий 1 мкг меди в 1 см3 раствора, готовят путем отбора 10 см3 раствора 2 в мерную колбу вместимостью 100 см3 и доведения объема раствора до метки дистиллированной водой.
6.2. Подготовка к испытанию
6.2.1. Подготовка лабораторной посуды
Вымытую стеклянную посуду дополнительно промывают хромовой смесью, раствором азотной кислоты, ополаскивают дистиллированной водой, а затем высушивают.
6.2.2. Приготовление растворов сравнения
При массовой доле меди в поваренной соли более 0,1 мг/кг (1-й вариант) в делительные воронки вместимостью 250 см3 помещают по 9,50 г хлористого натрия, растворяют примерно в 100 см3 воды, приливают раствор 2 или 3, объем которых указан в таблице, 5 см3 раствора лимоннокислого натрия, 3 см3 раствора хлористого аммония, 3 см3 раствора гидроокиси натрия концентрации c (NaOH) = 1 моль/дм3 и тщательно перемешивают. Приливают 2 см3 раствора диэтилдитиокарбамата натрия, 10 см3 бутилового эфира уксусной кислоты и встряхивают полученную смесь в течение 5 мин. После разделения фаз органический слой отделяют.
При массовой доле меди в поваренной соли менее 0,1, мг/кг (2-й вариант) в делительные воронки вместимостью 500 см3 помещают по 12,00 г хлористого натрия, растворяют примерно в 400 см3 воды, приливают раствор 2 или 3, объем которых указан в таблице, 12 см3 раствора хлористого аммония, 10 см3 раствора лимоннокислого натрия, 6 см3 раствора гидроокиси натрия концентрации c (NaOH) = 1 моль/дм3 и тщательно перемешивают. Приливают 5 см3 раствора диэтилдитиокарбамата натрия, 5 см3 четыреххлористого углерода и встряхивают полученную смесь в течение 5 мин. После разделения слоев органическую фазу (нижний слой) переносят в другую делительную воронку вместимостью 50 см3. Водный слой промывают 2 см3 четыреххлористого углерода, который объединяют с экстрактом. Из полученного экстракта реэкстрагируют медь 1,5 см3 соляной кислоты (1:1) в течение 1 мин, реэкстракцию повторяют, реэкстракты объединяют.
Раствор сравнения | Объем приливаемых растворов меди, см3 |
Раствор 2 | Раствор 3 |
1-й вариант | 2-й вариант | 1-й вариант | 2-й вариант |
1 | - | - | 1 | 0,5 |
2 | - | - | 4 | 3,5 |
3 | 1,3 | 0,6 | - | - |
4 | 1,6 | 0,8 | - | - |
5 | - | 1,0 | - | - |
6.2.3. Приготовление контрольных растворов
Контрольный раствор 1 служит для учета загрязнений, вносимых с реактивами в раствор пробы. Готовят растворы, используя все реактивы, применяемые при приготовлении испытуемых растворов в последовательности, указанной в
п. 6.2.4.
Контрольный раствор 2 служит для учета загрязнений, вносимых с реактивами в раствор сравнения. Готовят, используя все реактивы (кроме стандартных растворов меди), применяемые при приготовлении растворов сравнения в последовательности, указанной в
п. 6.2.2.
6.2.4. Приготовление испытуемых растворов
При массовой доле меди в поваренной соли более 0,1 мг/кг (1-й вариант) навеску поваренной соли массой 9,50 г растворяют в 200 см3 воды, приливают 1,0 см3 серной кислоты, вносят около 1 г надсернокислого аммония. Кипятят раствор в течение 30 мин. Охлажденный до комнатной температуры раствор переносят в делительную воронку вместимостью 250 см3 и разбавляют объем полученного раствора примерно до 100 см3 дистиллированной водой. Приливают 5 см3 раствора гидроокиси натрия концентрации c (NaOH) = 3 моль/дм3, 6 см3 раствора хлористого аммония, 5 см3 раствора лимоннокислого натрия и тщательно перемешивают. Приливают 2 см3 раствора диэтилдитиокарбамата натрия, 10 см3 бутилового эфира уксусной кислоты. Встряхивают полученную смесь в течение 5 мин. После разделения фаз органический слой отделяют.
При анализе чренной и вакуум-выварочной соли навеску продукта массой 2,50 г помещают в делительную воронку вместимостью 250 см
3, растворяют примерно в 100 см
3 воды, приливают 5 см
3 раствора лимоннокислого натрия и далее анализ проводят так же, как указано в
п. 6.2.2 (1-й вариант).
При массовой доле меди в поваренной соли менее 0,1 мг/кг (2-й вариант) навеску поваренной соли массой 12,00 г растворяют в 200 см3 дистиллированной воды, приливают 1 см3 серной кислоты, вносят около 1 г надсернокислого аммония. Кипятят раствор в течение 30 мин. Охлажденный до комнатной температуры раствор фильтруют через промытый соляной кислотой (1:1) и дистиллированной водой фильтр в делительную воронку вместимостью 500 см3, доводят объем раствора дистиллированной водой примерно до 400 см3.
Приливают 12 см3 раствора хлористого аммония, 10 см3 раствора гидроокиси натрия концентрации c (NaOH) = 3 моль/дм3, 10 см3 раствора лимоннокислого натрия и тщательно перемешивают. Приливают 5 см3 раствора диэтилдитиокарбамата натрия, 5 см3 четыреххлористого углерода и встряхивают полученную смесь в течение 5 мин. После разделения слоев органическую фазу (нижний слой) переносят в делительную воронку вместимостью 50 см3. Водный слой промывают 2 см3 четыреххлористого углерода, который объединяют с экстрактом. Из полученного экстракта реэкстрагируют медь 1,5 см3 соляной кислоты (1:1) в течение 1 мин, реэкстракцию повторяют, а реэкстракты объединяют.
При анализе чренной и вакуум-выварочной соли навеску продукта массой 12,00 г помещают в делительную воронку вместимостью 500 см
3, растворяют примерно в 400 см
3 воды, приливают 12 см
3 раствора хлористого аммония и далее анализ проводят, так же как указано в
п. 6.2.2 (2-й вариант).
Допускается использование физических методов разрушения органических соединений (ультрафиолетовое облучение, обработка ультразвуком), обеспечивающих полноту разрушения примерно 98%; в этом случае анализ ведется так же, как при определении массовой доли меди в вакуум-выварочной и чренной соли по соответствующему варианту.
6.3. Проведение испытания
Атомно-абсорбционный спектрофотометр настраивают в соответствии с инструкцией по эксплуатации на резонансную линию 324,7 нм.
Фотометрируя воду, устанавливают нуль абсорбции (для 1-го варианта - фотометрируют бутиловый эфир уксусной кислоты). Далее фотометрируют растворы сравнения, распыляя их последовательно в пламени горелки в порядке возрастания концентрации меди, затем контрольные и испытуемые растворы.
Между измерениями горелку спектрофотометра необходимо промыть небольшим объемом воды (для 1-го варианта - этиловым спиртом).
Допускается использовать вместо бутилового эфира уксусной кислоты метилизобутилкетон.
6.4. Обработка результатов
По полученным данным строят градуировочный график, откладывая по оси абсцисс массовую долю меди в микрограммах (мкг), а по оси ординат соответствующие значения абсорбции с учетом результатов контрольного опыта.
Массовую долю меди в испытуемом растворе поваренной соли в микрограммах (мкг) находят по градуировочному графику.
Массовую долю меди (X5) в млн-1 (мг/кг) вычисляют по формуле

,
где m1 - массовая доля меди в исследуемой пробе, определенная по градуировочному графику, мкг;
m - навеска соли в пересчете на сухое вещество, г.
Вычисления проводят до третьего десятичного знака.
За окончательный результат испытания принимают среднее арифметическое

результатов двух параллельных определений, допускаемое расхождение между которыми не должно превышать при доверительной вероятности
P = 0,95 20% по отношению к среднему арифметическому. Окончательный результат испытания округляют до второго десятичного знака. Минимальная концентрация меди, определяемая данным методом, составляет по 1-му варианту 0,95 мкг в исследуемом объеме пробы массой 9,5 г (0,1 млн
-1 (мг/кг)) и по 2-му варианту - 4,8 мкг в исследуемом объеме пробы массой 12 г [0,04 млн
-1 (мг/кг)].
Допускаемые расхождения между результатами испытаний, выполненных в двух разных лабораториях, не должны превышать 40% по отношению к среднему арифметическому при доверительной вероятности P = 0,95".