Главная // Актуальные документы // ГОСТ (Государственный стандарт)СПРАВКА
Источник публикации
В данном виде документ опубликован не был.
Первоначальный текст документа опубликован в издании
М.: Издательство стандартов, 1981.
Информацию о публикации документов, создающих данную редакцию, см. в справке к этим документам.
Примечание к документу
С 1 июля 2003 года до вступления в силу технических регламентов акты федеральных органов исполнительной власти в сфере технического регулирования носят рекомендательный характер и подлежат обязательному исполнению только в части, соответствующей целям, указанным в
пункте 1 статьи 46 Федерального закона от 27.12.2002 N 184-ФЗ.
Ограничение срока действия снято Постановлением Госстандарта СССР от 29.12.1991 N 2396 ("ИУС", N 5, 1992).
Изменение N 2 введено в действие Постановлением Госстандарта СССР от 04.11.1986 N 3382 с 1 января 1987 года.
Взамен ГОСТ 13805-68.
Название документа
"ГОСТ 13805-76. Государственный стандарт Союза ССР. Пептон сухой ферментативный для бактериологических целей. Технические условия"
(введен Постановлением Госстандарта СССР от 29.04.1976 N 1002)
(ред. от 04.11.1986)
"ГОСТ 13805-76. Государственный стандарт Союза ССР. Пептон сухой ферментативный для бактериологических целей. Технические условия"
(введен Постановлением Госстандарта СССР от 29.04.1976 N 1002)
(ред. от 04.11.1986)
Введен Постановлением
Государственного комитета стандартов
Совета Министров СССР
от 29 апреля 1976 г. N 1002
ГОСУДАРСТВЕННЫЙ СТАНДАРТ СОЮЗА ССР
ПЕПТОН СУХОЙ ФЕРМЕНТАТИВНЫЙ ДЛЯ БАКТЕРИОЛОГИЧЕСКИХ ЦЕЛЕЙ
ТЕХНИЧЕСКИЕ УСЛОВИЯ
Dry fermentation pepton for bacteriological objects.
Technical conditions
ГОСТ 13805-76
| | Список изменяющих документов Постановлением Госстандарта СССР от 31.12.1981 N 5930, Постановлением Госстандарта СССР от 04.11.1986 N 3382) | |
(код введен
Изменением N 1, введенным в действие Постановлением Госстандарта СССР от 31.12.1981 N 5930)
Взамен
ГОСТ 13805-68
Постановлением Государственного комитета стандартов Совета Министров СССР от 29 апреля 1976 г. N 1002 срок действия установлен
с 1 января 1977 года
до 1 января 1982 года
Переиздание. Апрель 1980 г.
Настоящий стандарт распространяется на ферментативный пептон для бактериологических целей, получаемый из рубцов и летошки крупного рогатого скота, овец и коз, а также из желудков свиней с использованием слизистой оболочки желудков и поджелудочной железы.
1. ТЕХНИЧЕСКИЕ ТРЕБОВАНИЯ
1.1. Ферментативный пептон для бактериологических целей должен изготавливаться в соответствии с требованиями настоящего стандарта по технологическим правилам, утвержденным в установленном порядке.
1.2. Ферментативный пептон для бактериологических целей по физико-химическим и биологическим показателям должен соответствовать требованиям и нормам, указанным в табл. 1.
Таблица 1
Наименование показателя | Характеристика и норма |
Внешний вид | Аморфный однородный порошок |
Цвет | От белого до желтого |
Запах | Характерный, без гнилостного |
Концентрация водородных ионов (pH) | 6,5 - 7,0 |
Массовая доля нерастворимых примесей, %, не более | 1,0 |
(в ред. Изменения N 2, введенного в действие Постановлением Госстандарта СССР от 04.11.1986 N 3382) |
Массовая доля влаги, %, не более | 7,0 |
(в ред. Изменения N 2, введенного в действие Постановлением Госстандарта СССР от 04.11.1986 N 3382) |
Массовая доля сульфированной золы, %, не более | 5,0 |
(в ред. Изменения N 2, введенного в действие Постановлением Госстандарта СССР от 04.11.1986 N 3382) |
Массовая доля истинного пептона, %, не менее | 70,0 |
(в ред. Изменения N 2, введенного в действие Постановлением Госстандарта СССР от 04.11.1986 N 3382) |
Массовая доля общего азота, %, не менее | 14,0 |
(в ред. Изменения N 2, введенного в действие Постановлением Госстандарта СССР от 04.11.1986 N 3382) |
Массовая доля азота аминогрупп аминокислот и низших пептидов, %, не менее | 3,0 |
(в ред. Изменения N 2, введенного в действие Постановлением Госстандарта СССР от 04.11.1986 N 3382) |
Наличие свободного белка, оптическая плотность, не более | 0,25 |
(в ред. Изменения N 2, введенного в действие Постановлением Госстандарта СССР от 04.11.1986 N 3382) |
Массовая доля хлоридов в пересчете на хлор-ион, %, не более | 1,0 |
(в ред. Изменения N 2, введенного в действие Постановлением Госстандарта СССР от 04.11.1986 N 3382) |
Наличие солей тяжелых металлов | Не допускается |
(в ред. Изменения N 2, введенного в действие Постановлением Госстандарта СССР от 04.11.1986 N 3382) |
Наличие свободного индола | То же |
Способность поддерживать рост микробов, оптическая плотность, не менее | Рост типичный |
Staphylococcus aereus "Лассманов" | 0,40 |
Escherichia coli штамм 675 | 0,50 |
Streptococcus faecalis штамм 6783 | 0,30 |
2.1. Ферментативный пептон для бактериологических целей принимают сериями. Под серией следует понимать количество пептона, изготовленное из одноименного вида сырья за один технологический цикл, получившее свой номер и оформленное одним документом о качестве.
2.2. Для контроля качества ферментативного пептона от каждой серии препарата отбирают выборку в размере:
от серии до 100 банок - 3%;
(в ред.
Изменения N 1, введенного в действие Постановлением Госстандарта СССР от 31.12.1981 N 5930)
от серии свыше 100 банок - 1%;
(в ред.
Изменения N 1, введенного в действие Постановлением Госстандарта СССР от 31.12.1981 N 5930)
от серии в бочках - каждую бочку.
(абзац введен
Изменением N 1, введенным в действие Постановлением Госстандарта СССР от 31.12.1981 N 5930)
2.3. Выборку составляют из банок, взятых из разных мест серии.
(в ред.
Изменения N 1, введенного в действие Постановлением Госстандарта СССР от 31.12.1981 N 5930)
2.4. При неудовлетворительных результатах испытаний хотя бы по одному показателю по нему проводят повторные испытания на удвоенном количестве проб, отобранных от той же выборки.
(в ред.
Изменения N 1, введенного в действие Постановлением Госстандарта СССР от 31.12.1981 N 5930)
Результаты испытаний распространяются на всю серию.
3.1. Метод отбора проб
3.1.1. Содержимое отобранных банок тщательно перемешивают и отбирают общую пробу массой не более 500 г.
(в ред.
Изменения N 1, введенного в действие Постановлением Госстандарта СССР от 31.12.1981 N 5930)
Из общей пробы ферментативного пептона выделяют четыре пробы для анализа массой не менее 100 г каждая. Отобранные пробы помещают в чистые сухие банки с притертыми пробками. Пробки заливают парафином или смолой. При отборе проб из бочек отбирают пептон массой не менее 500 г. Выделение пробы для анализа производят, как описано выше.
(в ред.
Изменения N 1, введенного в действие Постановлением Госстандарта СССР от 31.12.1981 N 5930)
3.1.2. На банки с пробами ферментативного пептона наклеивают этикетки с указанием:
наименования предприятия-изготовителя;
наименования препарата;
даты изготовления;
номера серии;
даты взятия пробы;
обозначения настоящего стандарта.
Две пробы используют для анализа, а две - оставляют в архиве государственного контролера в течение 4 лет.
3.2. Внешний вид, цвет и запах пептона определяют органолептически.
3.3. Определение концентрации водородных ионов (pH)
3.3.1. Аппаратура и реактивы
Для проведения испытания применяют:
pH-метр;
весы лабораторные;
цилиндр стеклянный мерный вместимостью 100 см
3 по
ГОСТ 1770-74;
(в ред.
Изменения N 1, введенного в действие Постановлением Госстандарта СССР от 31.12.1981 N 5930)
фильтры бумажные;
3.3.2. Проведение испытания
Навеску пептона массой 1 г, взвешенную с погрешностью не более 0,02 г, помещают в колбу и растворяют в 99 см3 прокипяченной и охлажденной дистиллированной воды. В растворе допускается незначительный осадок, который отфильтровывают через бумажный фильтр. В прозрачном фильтрате 1%-ного раствора пептона определяют концентрацию водородных ионов (pH) в соответствии с правилами, прилагаемыми к pH-метру.
(в ред.
Изменения N 1, введенного в действие Постановлением Госстандарта СССР от 31.12.1981 N 5930)
3.4. Определение массовой доли нерастворимых примесей
(в ред.
Изменения N 2, введенного в действие Постановлением Госстандарта СССР от 04.11.1986 N 3382)
3.4.1. Аппаратура, материалы и реактивы
Для проведения испытания применяют:
весы аналитические;
шкаф сушильный на 105 °C;
стаканчики для взвешивания (бюксы) по ГОСТ 7148-70;
эксикатор по ГОСТ 6371-73;
цилиндр стеклянный мерный вместимостью 100 см
3 по
ГОСТ 1770-74;
(в ред.
Изменения N 1, введенного в действие Постановлением Госстандарта СССР от 31.12.1981 N 5930)
пробки ватно-марлевые;
фильтры бумажные;
3.4.2. Проведение испытания
Навеску пептона массой 5 г, взвешенную с погрешностью не более 0,0002 г, помещают в колбу, добавляют 95 см3 дистиллированной воды и тщательно перемешивают, добиваясь максимального растворения пептона. Приготовленный 5%-ный раствор пептона фильтруют через бумажный фильтр, предварительно высушенный в бюксе до постоянной массы и взвешенный с погрешностью не более 0,0002 г. По окончании фильтрования раствора пептона фильтр промывают 50 см3 дистиллированной воды, помещают в бюксу и высушивают до постоянной массы при 105 °C. Первое взвешивание производят после высушивания фильтра в течение 3 ч, последующие взвешивания - после 30 мин высушивания. Высушивание считают законченным, если уменьшение массы при двух последующих взвешиваниях не превышает 0,0002 г.
(в ред.
Изменения N 1, введенного в действие Постановлением Госстандарта СССР от 31.12.1981 N 5930)
Профильтрованный раствор 5%-ного пептона разбавляют в 5 раз дистиллированной водой. Полученный 1%-ный раствор пептона доводят 0,1 н. раствором гидрата окиси натрия до pH 7,7 и кипятят в течение 5 мин. Раствор должен остаться прозрачным, без образования осадка.
После кипячения 1%-ный раствор пептона разливают в пробирки по 7 - 8 см3, закрывают ватными пробками и выдерживают в автоклаве в течение 30 мин при 0,15 МПа. Раствор должен остаться прозрачным, без образования осадка.
(в ред.
Изменения N 1, введенного в действие Постановлением Госстандарта СССР от 31.12.1981 N 5930)
3.4.3. Обработка результатов
Массовую долю нерастворимых примесей (X) в процентах вычисляют по формуле
(в ред.
Изменения N 2, введенного в действие Постановлением Госстандарта СССР от 04.11.1986 N 3382)

,
где m - масса пептона, взятая для приготовления 100 г 5%-ного раствора пептона, г;
m1 - масса бюксы с фильтром до фильтрования, г;
m2 - масса бюксы и фильтра с осадком после высушивания, г.
За окончательный результат испытания принимают среднее арифметическое результатов двух параллельных определений. Допускаемые расхождения между результатами параллельных определений не должны превышать 0,1%.
3.5. Определение массовой доли влаги
(в ред.
Изменения N 2, введенного в действие Постановлением Госстандарта СССР от 04.11.1986 N 3382)
3.5.1. Аппаратура
Для проведения испытания применяют:
весы аналитические;
шкаф сушильный лабораторный на 105 °C;
стаканчики для взвешивания (бюксы) по ГОСТ 7148-70;
эксикатор по ГОСТ 6371-73.
3.5.2. Проведение испытания
Навеску пептона массой 1,5 - 2,0 г, взвешенную с погрешностью не более 0,0002 г, помещают в бюксу, предварительно высушенную до постоянной массы. Бюксу с навеской помещают в сушильный шкаф и сушат до постоянной массы при 105 °C.
Первое взвешивание производят через 1 ч, последующие - через 30 мин высушивания. Высушивание считают законченным, если уменьшение массы при двух последующих взвешиваниях не превышает 0,0002 г.
3.5.3. Обработка результатов
Массовую долю влаги (X1) в процентах вычисляют по формуле
(в ред.
Изменения N 2, введенного в действие Постановлением Госстандарта СССР от 04.11.1986 N 3382)

,
где m - масса навески пептона до высушивания, г;
m1 - масса навески пептона после высушивания, г.
За окончательный результат испытания принимают среднее арифметическое результатов двух параллельных определений. Допускаемые расхождения между результатами параллельных определений не должны превышать 0,2%.
3.6. Определение массовой доли сульфированной золы
(в ред.
Изменения N 2, введенного в действие Постановлением Госстандарта СССР от 04.11.1986 N 3382)
3.6.1. Аппаратура и реактивы
Для проведения испытания применяют:
весы аналитические;
элемент нагрева (плитку, горелку);
печь муфельную;
| | ИС МЕГАНОРМ: примечание. Взамен ГОСТ 9147-73 Постановлением Госстандарта СССР от 28.10.1980 N 5174 с 1 января 1982 года введен в действие ГОСТ 9147-80. | |
тигли фарфоровые по ГОСТ 9147-73;
3.6.2. Проведение испытания
Навеску пептона массой 1,0 - 1,5 г, взвешенную с погрешностью не более 0,0002 г, помещают в тигель, предварительно прокаленный до постоянной массы. В тигель с навеской пептона добавляют 1 см3 концентрированной серной кислоты и осторожно нагревают смесь на плитке до удаления избытка серной кислоты, после чего тигель переносят в муфельную печь и продолжают озоление при температуре 500 - 600 °C до постоянной массы золы.
(в ред.
Изменения N 1, введенного в действие Постановлением Госстандарта СССР от 31.12.1981 N 5930)
3.6.3. Обработка результатов
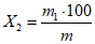
Массовая доля сульфированной золы (X2) в процентах вычисляется по формуле
(в ред.
Изменения N 2, введенного в действие Постановлением Госстандарта СССР от 04.11.1986 N 3382)

,
где m - масса пептона до прокаливания, г;
m1 - масса золы после прокаливания, г.
За окончательный результат испытания принимают среднее арифметическое результатов двух параллельных определений. Допускаемые расхождения между результатами параллельных определений не должны превышать 0,2%.
3.7. Определение массовой доли истинного пептона
(в ред.
Изменения N 2, введенного в действие Постановлением Госстандарта СССР от 04.11.1986 N 3382)
3.7.1. Аппаратура и реактивы
Для проведения испытания применяют:
фотоэлектроколориметр или спектрофотометр;
центрифуги настольные типа ОПн-8-У4,2;
(п. 3.7.1 в ред.
Изменения N 2, введенного в действие Постановлением Госстандарта СССР от 04.11.1986 N 3382)
3.7.2. Подготовка к испытанию
Построение градуировочного графика
По оси абсцисс откладывают концентрацию истинного пептона в растворе, по оси ординат - величину оптической плотности (E) этого раствора согласно данным, приведенным в табл. 2. Приведенные в табл. 2 величины оптической плотности (E) получены измерением на фотоэлектроколориметре при длине волны 540 нм растворов специально приготовленной серии пептона, содержащей минимум свободного белка и аминокислот и максимум пептидов.
Таблица 2
Концентрация истинного пептона в растворе, % | Оптическая плотность (E) раствора |
0,50 | 0,550 |
0,25 | 0,280 |
0,17 | 0,190 |
3.7.3. Проведение испытания
Истинный пептон определяют в 0,5%-ном растворе испытуемого пептона. Для этого 5%-ный раствор пептона, приготовленный в соответствии с
п. 3.4.2, разбавляют водой в 10 раз (0,5 см
3 5%-ного раствора пептона и 4,5 см
3 дистиллированной воды).
(в ред.
Изменения N 1, введенного в действие Постановлением Госстандарта СССР от 31.12.1981 N 5930)
В пробирку, содержащую 5 см3 0,5%-ного раствора испытуемого пептона, добавляют 0,5 см3 10%-ного раствора гидрата окиси натрия и 0,5 см3 2%-ного раствора сернокислой меди. Одновременно ставят контроль, для чего в пробирку наливают 5 см3 воды, 0,5 см3 10%-ного раствора гидрата окиси натрия и 0,5 см3 2%-ного раствора сернокислой меди.
(в ред.
Изменения N 1, введенного в действие Постановлением Госстандарта СССР от 31.12.1981 N 5930)
Смесь в пробирках хорошо перемешивают и центрифугируют в течение 10 мин при частоте вращения 5000 - 6000 мин-1. Интенсивность окраски измеряют на фотоэлектроколориметре при длине волн 540 - 560 нм или на спектрофотометре при длине волны 540 нм в кюветах с рабочей длиной 10 мм. Концентрацию истинного пептона в пробе определяют по градуировочному графику.
(в ред.
Изменения N 2, введенного в действие Постановлением Госстандарта СССР от 04.11.1986 N 3382)
3.7.4. Обработка результатов
Массовую долю истинного пептона (X3) в процентах вычисляют по формуле
(в ред.
Изменения N 2, введенного в действие Постановлением Госстандарта СССР от 04.11.1986 N 3382)

,
где A - массовая доля истинного пептона в испытуемом растворе, определенное по градуировочному графику, %;
(в ред.
Изменения N 2, введенного в действие Постановлением Госстандарта СССР от 04.11.1986 N 3382)
0,5 - масса пептона (препарата), содержащаяся в 100 г 0,5%-ного раствора, г.
За окончательный результат испытания принимают среднее арифметическое результатов двух параллельных определений. Допускаемые расхождения между результатами параллельных определений не должны превышать 5%.
3.8. Определение массовой доли общего азота
(в ред.
Изменения N 2, введенного в действие Постановлением Госстандарта СССР от 04.11.1986 N 3382)
Массовую долю азота определяют методом Къельдаля или методом Къельдаля в сочетании с изотермической отгонкой в чашках Конвея.
(в ред.
Изменения N 2, введенного в действие Постановлением Госстандарта СССР от 04.11.1986 N 3382)
3.8.1. Определение массовой доли общего азота методом Къельдаля
(в ред.
Изменения N 2, введенного в действие Постановлением Госстандарта СССР от 04.11.1986 N 3382)
3.8.1.1. Аппаратура и реактивы
Для проведения испытания применяют:
весы аналитические;
| | ИС МЕГАНОРМ: примечание. Взамен ГОСТ 10394-72 Постановлением Госстандарта СССР от 15.07.1982 N 2670 с 1 января 1984 года введен в действие ГОСТ 25336-82. | |
колбы Къельдаля вместимостью 50 - 100 см3 по ГОСТ 10394-72;
(в ред.
Изменения N 1, введенного в действие Постановлением Госстандарта СССР от 31.12.1981 N 5930)
аппарат для отгонки аммиака;
(в ред.
Изменения N 1, введенного в действие Постановлением Госстандарта СССР от 31.12.1981 N 5930)
бюретки вместимостью 25 или 50 см
3 с ценой деления 0,05 см
3 по
ГОСТ 20292-74;
(в ред.
Изменения N 1, введенного в действие Постановлением Госстандарта СССР от 31.12.1981 N 5930)
кислоту серную по
ГОСТ 4204-77, концентрированную и 0,1 н. раствор;
натрия гидрат окиси по
ГОСТ 4328-77, 30 - 33%-ный и 0,1 н. растворы, приготовленные на предварительно прокипяченной дистиллированной воде;
метиловый красный по ГОСТ 5853-51;
метиловую синь;
| | ИС МЕГАНОРМ: примечание. ГОСТ 10816-64 утратил силу с 1 января 1985 года (ИУС "Государственные стандарты", N 5, 1988). | |
метиловый оранжевый по ГОСТ 10816-64, 0,1%-ный раствор.
3.8.1.2. Проведение испытания
В колбу Къельдаля помещают 1 см3 5%-ного раствора пептона и прибавляют 2 см3 концентрированной серной кислоты. В горлышко колбы вставляют стеклянный грушевидный баллончик или небольшую воронку с запаянным кончиком и минерализуют пробу сначала на слабом огне, затем степень нагрева усиливают, не допуская выбрасывания кипящей смеси в узкую часть колбы. Минерализацию проводят в присутствии катализатора перекиси водорода. Катализатор добавляют после начала кипения по 0,5 см3 через каждые 15 - 20 мин до полного обесцвечивания раствора.
(в ред.
Изменения N 1, введенного в действие Постановлением Госстандарта СССР от 31.12.1981 N 5930)
После охлаждения содержимое колбы переносят с 10 - 12 см3 дистиллированной воды в колбу для отгона. Полноту переноса проверяют по индикатору метиловому оранжевому. Последняя порция смывных вод должна остаться желтой.
(в ред.
Изменения N 1, введенного в действие Постановлением Госстандарта СССР от 31.12.1981 N 5930)
В приемную колбу аппарата Къельдаля наливают 20 см3 0,1 н. раствора серной кислоты и 2 капли индикатора Таширо. Индикатор Таширо готовят путем растворения 0,4 г метилового красного и 0,2 г метиловой сини в 200 см3 96%-ного этилового спирта.
(в ред.
Изменения N 1, введенного в действие Постановлением Госстандарта СССР от 31.12.1981 N 5930)
Отгонную колбу подсоединяют к холодильнику и парообразователю. Содержимое отгонной колбы нейтрализуют по индикатору метиловому оранжевому 30 - 33%-ным раствором гидрата окиси натрия. Отгон проводят до тех пор, пока в приемной колбе соберется около 70 см3 раствора.
(в ред.
Изменения N 1, введенного в действие Постановлением Госстандарта СССР от 31.12.1981 N 5930)
Содержимое приемной колбы титруют 0,1 н. раствором гидрата окиси натрия до перехода окраски раствора от фиолетовой к зеленой. Одновременно ставят контрольный опыт на реактивы, для чего вместо раствора пептона в колбу для минерализации берут 1 см3 дистиллированной воды.
(в ред.
Изменения N 1, введенного в действие Постановлением Госстандарта СССР от 31.12.1981 N 5930)
3.8.1.3. Обработка результатов
Массовую долю общего азота (X4) в процентах вычисляют по формуле
(в ред.
Изменения N 2, введенного в действие Постановлением Госстандарта СССР от 04.11.1986 N 3382)

,
где V - количество 0,1 н. раствора серной кислоты, налитое в приемную колбу, см3;
(в ред.
Изменения N 1, введенного в действие Постановлением Госстандарта СССР от 31.12.1981 N 5930)
K - поправочный коэффициент к титру 0,1 н. серной кислоты;
V1 - количество 0,1 н. раствора гидрата окиси натрия, израсходованное на титрование испытуемой или контрольной пробы, см3;
(в ред.
Изменения N 1, введенного в действие Постановлением Госстандарта СССР от 31.12.1981 N 5930)
K1 - поправочный коэффициент к титру 0,1 н. раствора гидрата окиси натрия;
0,05 - масса пептона, содержащаяся в 1 см3 5%-ного раствора, взятого на анализ, г;
(в ред.
Изменения N 1, введенного в действие Постановлением Госстандарта СССР от 31.12.1981 N 5930)
0,0014 - количество азота, эквивалентное 1 см3 0,1 н. раствора серной кислоты, г.
(в ред.
Изменения N 1, введенного в действие Постановлением Госстандарта СССР от 31.12.1981 N 5930)
За окончательный результат испытания принимают разность между средними арифметическими результатов двух параллельных определений в опытных и контрольных пробах. Допускаемые расхождения между результатами двух параллельных определений не должны превышать 0,2%.
3.8.2. Определение массвой доли общего азота методом Къельдаля в сочетании с изотермической отгонкой в чашках Конвея
(в ред.
Изменения N 2, введенного в действие Постановлением Госстандарта СССР от 04.11.1986 N 3382)
3.8.2.1. Аппаратура и реактивы
Для проведения испытания применяют:
микробюретки;
(в ред.
Изменения N 1, введенного в действие Постановлением Госстандарта СССР от 31.12.1981 N 5930)
чашки Конвея;
| | ИС МЕГАНОРМ: примечание. Взамен ГОСТ 10394-72 Постановлением Госстандарта СССР от 15.07.1982 N 2670 с 1 января 1984 года введен в действие ГОСТ 25336-82. | |
колбы Къельдаля вместимостью 50 - 100 см3 по ГОСТ 10394-72;
(в ред.
Изменения N 1, введенного в действие Постановлением Госстандарта СССР от 31.12.1981 N 5930)
(в ред.
Изменения N 1, введенного в действие Постановлением Госстандарта СССР от 31.12.1981 N 5930)
вазелин по ГОСТ 5774-76;
метиловый красный по ГОСТ 5853-51;
метиленовую синь;
кислоту серную
ГОСТ 4204-77, концентрированную и 0,025 н. раствор;
натрия гидрат окиси (натр едкий) по
ГОСТ 4328-77, 40%-ный и 0,025 н. растворы;
3.8.2.2. Подготовка к испытанию
3.8.2.3. Проведение испытания
5 см3 5%-ного раствора пептона минерализуют с подогревом в колбе Къельдаля с 10 см3 серной кислоты (концентрированной) до получения бесцветного раствора. В качестве катализатора используют 0,5 см3 пергидроля. После минерализации образец переносят количественно в мерную колбу на 100 см3 и доводят до метки дистиллированной водой. Во внутреннюю часть чашки Конвея наливают точно 2 см3 0,025 н. раствора серной кислоты. Чтобы используемая жидкость не растекалась, чашку устанавливают наклонно. Затем закрывают крышкой, смазанной вазелином, оставляя небольшую щель, через которую пипеткой вносят в наружную часть чашки 1 см3 испытуемого раствора после минерализации. Передвигают чашку так, чтобы осталась щель шириной 5 - 6 мм с противоположной стороны и через нее быстро вливают 4 см3 раствора 40%-ной щелочи. Чашку плотно закрывают крышкой, осторожно перемешивают круговыми движениями содержимое и оставляют на 15 - 18 ч. Несвязанный с аммиаком избыток кислоты оттитровывают 0,025 н. раствором едкого натра по индикатору Таширо. Параллельно ставят контрольную пробу, для чего во внешнюю часть чашки Конвея помещают вместо испытуемого раствора дистиллированную воду.
(в ред.
Изменения N 1, введенного в действие Постановлением Госстандарта СССР от 31.12.1981 N 5930)
3.8.2.4. Обработка результатов
Массовую долю общего азота (X5) в процентах вычисляют по формуле
(в ред.
Изменения N 2, введенного в действие Постановлением Госстандарта СССР от 04.11.1986 N 3382)

,
где V - количество 0,025 н. раствора едкого натра, израсходованное на титрование контрольной пробы, см3;
(в ред.
Изменения N 1, введенного в действие Постановлением Госстандарта СССР от 31.12.1981 N 5930)
V1 - количество 0,025 н. раствора едкого натра, израсходованное на титрование испытуемой пробы, см3;
(в ред.
Изменения N 1, введенного в действие Постановлением Госстандарта СССР от 31.12.1981 N 5930)
K - поправочный коэффициент к титру 0,025 н. раствора едкого натра;
0,00035 - количество азота, эквивалентное 1 см3 0,025 н. раствора едкого натра, г;
(в ред.
Изменения N 1, введенного в действие Постановлением Госстандарта СССР от 31.12.1981 N 5930)
5 - масса пептона, взятая для получения 5%-ного раствора, г;
5 - количество препарата, взятое для минерализации, см3;
(в ред.
Изменения N 1, введенного в действие Постановлением Госстандарта СССР от 31.12.1981 N 5930)
1 - количество испытуемого раствора, см3.
(в ред.
Изменения N 1, введенного в действие Постановлением Госстандарта СССР от 31.12.1981 N 5930)
За окончательный результат испытания принимают среднее арифметическое результатов двух параллельных определений. Допускаемые расхождения между результатами параллельных определений не должны превышать 0,2%.
3.9. Определение массовой доли азота аминогрупп аминокислот и низших пептидов
(в ред.
Изменения N 2, введенного в действие Постановлением Госстандарта СССР от 04.11.1986 N 3382)
3.9.1. Аппаратура и реактивы
Для проведения испытания применяют:
pH-метр;
| | ИС МЕГАНОРМ: примечание. Взамен ГОСТ 10394-72 Постановлением Госстандарта СССР от 15.07.1982 N 2670 с 1 января 1984 года введен в действие ГОСТ 25336-82. | |
стаканы лабораторные по ГОСТ 10394-72;
(в ред.
Изменения N 1, введенного в действие Постановлением Госстандарта СССР от 31.12.1981 N 5930)
бюретки вместимостью 5 и 10 см
3 с ценой деления 0,05 см
3 по
ГОСТ 20292-74;
(в ред.
Изменения N 1, введенного в действие Постановлением Госстандарта СССР от 31.12.1981 N 5930)
| | ИС МЕГАНОРМ: примечание. Взамен ГОСТ 1625-75 Постановлением Госстандарта СССР от 13.12.1989 N 3704 с 1 января 1991 года введен в действие ГОСТ 1625-89. | |
формалин технический по ГОСТ 1625-75;
| | ИС МЕГАНОРМ: примечание. ГОСТ 5850-72 утратил силу с 1 января 1989 года (ИУС "Государственные стандарты", N 8, 1988). | |
фенолфталеин по ГОСТ 5850-72, 1%-ный спиртовый раствор;
3.9.2. Подготовка к испытанию
Непосредственно перед работой готовят формольную смесь. Для этого к 50 см3 формалина добавляют 1 см3 1%-ного раствора фенолфталеина и 0,1 н. раствором гидрата окиси натрия доводят окраску смеси до слабо-розовой.
(в ред.
Изменения N 1, введенного в действие Постановлением Госстандарта СССР от 31.12.1981 N 5930)
3.9.3. Проведение испытания
К 2 см
3 прозрачного 5%-ного раствора пептона, приготовленного в соответствии с
п. 3.4.2, приливают 18 см
3 дистиллированной воды и доводят pH смеси до 7,0 потенциометрически 0,1 н. раствором гидрата окиси натрия или серной кислоты. Затем приливают 2 см
3 формольной смеси и при постоянном перемешивании потенциометрически титруют 0,1 н. раствором гидрата окиси натрия до pH 9,2.
(в ред.
Изменения N 1, введенного в действие Постановлением Госстандарта СССР от 31.12.1981 N 5930)
Одновременно ставят контроль на реактивы, для чего вместо 2 см3 5%-ного пептона берут 2 см3 дистиллированной воды.
(в ред.
Изменения N 1, введенного в действие Постановлением Госстандарта СССР от 31.12.1981 N 5930)
3.9.4. Обработка результатов
Массовую долю азота аминогрупп аминокислот и низших пептидов в пептоне (X6) в процентах вычисляют по формуле
(в ред.
Изменения N 2, введенного в действие Постановлением Госстандарта СССР от 04.11.1986 N 3382)

,
где V - количество 0,1 н. раствора гидрата окиси натрия, израсходованное на титрование испытуемой пробы, см3;
(в ред.
Изменения N 1, введенного в действие Постановлением Госстандарта СССР от 31.12.1981 N 5930)
V1 - количество 0,1 н. раствора гидрата окиси натрия, израсходованное на титрование контрольной пробы, см3;
(в ред.
Изменения N 1, введенного в действие Постановлением Госстандарта СССР от 31.12.1981 N 5930)
K - поправочный коэффициент к титру 0,1 н. раствора гидрата окиси натрия;
0,0014 - количество азота, эквивалентное 1 см3 0,1 н. раствора гидрата окиси натрия, г;
(в ред.
Изменения N 1, введенного в действие Постановлением Госстандарта СССР от 31.12.1981 N 5930)
0,1 - масса пептона, содержащаяся в 2 см3 5%-ного пептона, г.
(в ред.
Изменения N 1, введенного в действие Постановлением Госстандарта СССР от 31.12.1981 N 5930)
За окончательный результат испытания принимают среднее арифметическое результатов двух параллельных определений. Допускаемые расхождения между результатами параллельных определений не должны превышать 0,2%.
3.10. Определение свободного белка
(в ред.
Изменения N 2, введенного в действие Постановлением Госстандарта СССР от 04.11.1986 N 3382)
3.10.1. Аппаратура и реактивы
Для проведения испытания применяют:
фотоэлектроколориметр;
(в ред.
Изменения N 1, введенного в действие Постановлением Госстандарта СССР от 31.12.1981 N 5930)
| | ИС МЕГАНОРМ: примечание. Взамен ГОСТ 10515-75 Постановлением Госстандарта СССР от 15.07.1982 N 2670 с 1 января 1984 года введен в действие ГОСТ 25336-82. | |
пробирки стеклянные по ГОСТ 10515-75;
кислоту трихлоруксусную 20%-ный раствор.
3.10.2. Проведение испытания
К 5 см
3 фильтрата 5%-ного раствора пептона, приготовленного в соответствии с
п. 3.4.2, добавляют 5 см
3 20%-ного раствора трихлоруксусной кислоты и хорошо перемешивают. Через 5 мин определяют оптическую плотность смеси на фотоэлектроколориметре при длине волны 630 нм (красный светофильтр) в кюветах с рабочей длиной 10 мм против того же раствора пептона, разведенного 1:1 дистиллированной водой.
(в ред.
Изменения N 1, введенного в действие Постановлением Госстандарта СССР от 31.12.1981 N 5930)
3.10.3. Обработка результатов
За окончательный результат испытания принимают среднее арифметическое результатов двух параллельных определений. Допускаемые расхождения между результатами параллельных определений не должны превышать 0,05%.
3.11. Определение массовой доли хлоридов
(в ред.
Изменения N 2, введенного в действие Постановлением Госстандарта СССР от 04.11.1986 N 3382)
3.11.1. Аппаратура и реактивы
Для проведения испытания применяют:
весы технические с погрешностью взвешивания не более 0,01 г;
элемент нагрева (горелку, плитку);
(в ред.
Изменения N 1, введенного в действие Постановлением Госстандарта СССР от 31.12.1981 N 5930)
бюретки вместимостью 25 см
3 с ценой деления 0,05 см
3 по
ГОСТ 20292-74;
(в ред.
Изменения N 1, введенного в действие Постановлением Госстандарта СССР от 31.12.1981 N 5930)
| | ИС МЕГАНОРМ: примечание. Взамен ГОСТ 10394-72 Постановлением Госстандарта СССР от 15.07.1982 N 2670 с 1 января 1984 года введен в действие ГОСТ 25336-82. | |
стаканы лабораторные по ГОСТ 10394-72;
| | ИС МЕГАНОРМ: примечание. ГОСТ 4205-77 утратил силу с 1 января 1989 года (ИУС "Государственные стандарты", N 8, 1988). | |
квасцы железоаммониевые по ГОСТ 4205-77, насыщенный раствор;
| | ИС МЕГАНОРМ: примечание. В официальном тексте документа, видимо, допущена опечатка: имеется в виду стандарт ГОСТ 4139-75, а не ГОСТ 4239-77. | |
калий роданистый по
ГОСТ 4239-77 или аммоний роданистый, 0,1 н. раствор;
(в ред.
Изменения N 2, введенного в действие Постановлением Госстандарта СССР от 04.11.1986 N 3382)
3.11.2. Проведение испытания
К 20 см
3 1%-ного раствора пептона, приготовленного в соответствии с
п. 3.4.2, добавляют 30 см
3 дистиллированной воды, 1 см
3 концентрированной азотной кислоты и 10 см
3 0,1 н. раствора азотнокислого серебра. Раствор нагревают до начала кипения и быстро охлаждают путем погружения стакана с раствором в сосуд с водой комнатной температуры. После охлаждения смеси добавляют 2 см
3 насыщенного раствора железоаммониевых квасцов (индикатор) и титруют 0,1 н. раствором роданистого калия (или роданистого аммония) до появления кирпично-красного окрашивания.
(в ред.
Изменения N 1, введенного в действие Постановлением Госстандарта СССР от 31.12.1981 N 5930)
3.11.3. Обработка результатов
Массовую долю хлоридов (X7) в процентах вычисляют по формуле
(в ред.
Изменения N 2, введенного в действие Постановлением Госстандарта СССР от 04.11.1986 N 3382)

,
где V - количество 0,1 н. раствора азотнокислого серебра, взятое в стакан с пробой, см3;
(в ред.
Изменения N 1, введенного в действие Постановлением Госстандарта СССР от 31.12.1981 N 5930)
K - поправочный коэффициент к титру 0,1 н. раствора азотнокислого серебра;
V1 - количество 0,1 н. раствора роданистого калия или роданистого аммония, израсходованное на титрование пробы, см3;
(в ред.
Изменения N 1, введенного в действие Постановлением Госстандарта СССР от 31.12.1981 N 5930)
K1 - поправочный коэффициент к титру 0,1 н. раствора роданистого калия или роданистого аммония;
0,003545 - количество хлоридов (хлор-иона), эквивалентное 1 см3 0,1 н. раствора азотнокислого серебра, г;
(в ред.
Изменения N 1, введенного в действие Постановлением Госстандарта СССР от 31.12.1981 N 5930)
0,2 - масса пептона, содержащаяся в 20 см3 1%-ного раствора, г.
(в ред.
Изменения N 1, введенного в действие Постановлением Госстандарта СССР от 31.12.1981 N 5930)
За окончательный результат испытания принимают среднее арифметическое результатов двух параллельных определений. Допускаемые расхождения между результатами параллельных определений не должны превышать 0,1%.
3.12. Определение солей тяжелых металлов
3.12.1. Аппаратура и реактивы
Для проведения испытания применяют:
весы технические с погрешностью взвешивания не более 0,01 г;
элемент нагрева (плитку, горелку);
печь муфельную;
| | ИС МЕГАНОРМ: примечание. Взамен ГОСТ 9147-73 Постановлением Госстандарта СССР от 28.10.1980 N 5174 с 1 января 1982 года введен в действие ГОСТ 9147-80. | |
тигли фарфоровые по ГОСТ 9147-73;
(в ред.
Изменения N 1, введенного в действие Постановлением Госстандарта СССР от 31.12.1981 N 5930)
лакмус или универсальный индикатор.
3.12.2. Проведение испытания
Навеску пептона массой 1 г, взвешенную с погрешностью не более 0,02 г, помещают в тигель, смачивают 2 см3 концентрированной серной кислоты и осторожно озоляют сначала на плитке или горелке, а затем в муфельной печи при 500 - 600 °C до получения однородной золы светло-серого цвета.
(в ред.
Изменения N 1, введенного в действие Постановлением Госстандарта СССР от 31.12.1981 N 5930)
После охлаждения тигля золу заливают 1 см3 насыщенного раствора уксуснокислого аммония и разводят 5 см3 дистиллированной воды. Содержимое тигля фильтруют в цилиндр через бумажный фильтр. Тигель и фильтр промывают дистиллированной водой, доводя объем раствора в цилиндре до 10 см3.
(в ред.
Изменения N 1, введенного в действие Постановлением Госстандарта СССР от 31.12.1981 N 5930)
Реакцию фильтрата в цилиндре доводят по лакмусу до нейтральной или слабокислой, добавляя по каплям 10%-ную уксусную кислоту или 10%-ный раствор гидрата окиси натрия. Затем прибавляют 1 см3 10%-ной уксусной кислоты, 5 капель насыщенного раствора сернистого натрия и перемешивают. Через 5 мин в растворе не должно быть осадка и желтого окрашивания раствора.
(в ред.
Изменения N 1, введенного в действие Постановлением Госстандарта СССР от 31.12.1981 N 5930)
3.13. Определение наличия свободного индола
3.13.1. Аппаратура и реактивы
Для проведения испытания применяют:
| | ИС МЕГАНОРМ: примечание. Взамен ГОСТ 10515-75 Постановлением Госстандарта СССР от 15.07.1982 N 2670 с 1 января 1984 года введен в действие ГОСТ 25336-82. | |
пробирки стеклянные по ГОСТ 10515-75;
(в ред.
Изменения N 1, введенного в действие Постановлением Госстандарта СССР от 31.12.1981 N 5930)
| | ИС МЕГАНОРМ: примечание. ГОСТ 7852-76 утратил силу с 1 января 1989 года (ИУС "Государственные стандарты", N 9, 1988). | |
пробки резиновые конусные по ГОСТ 7852-76;
спирт амиловый;
калий азотистокислый по ГОСТ 4144-79, 0,1%-ный раствор;
| | ИС МЕГАНОРМ: примечание. В официальном тексте документа, видимо, допущена опечатка: имеется в виду стандарт ГОСТ 4204-77, а не ГОСТ 4202-75. | |
3.13.2. Проведение испытания
В пробирку с 10 см3 1%-ного раствора пептона прибавляют 2 см3 амилового спирта, закрывают пробирку пробкой, хорошо взбалтывают и прибавляют 1 см3 0,1%-ного раствора азотистокислого калия и 1 см3 концентрированной серной кислоты. Смесь осторожно перемешивают и дают отстояться.
(в ред.
Изменения N 1, введенного в действие Постановлением Госстандарта СССР от 31.12.1981 N 5930)
В спиртовом слое не должно появляться розового окрашивания. Появление розового окрашивания спиртового слоя указывает на наличие в пептоне свободного индола.
3.14. Определение способности поддерживать рост микробов
3.14.1. Аппаратура, материалы и реактивы
Для проведения испытания применяют:
весы технические с погрешностью взвешивания не более 0,01 г;
pH-метр;
термостат на 37 °C;
автоклав;
фотоэлектроколориметр;
пробирки по ГОСТ 10515-75;
пробки ватно-марлевые;
микропипетки вместимостью 0,2 см3;
(в ред.
Изменения N 1, введенного в действие Постановлением Госстандарта СССР от 31.12.1981 N 5930)
(в ред.
Изменения N 1, введенного в действие Постановлением Госстандарта СССР от 31.12.1981 N 5930)
(в ред.
Изменения N 1, введенного в действие Постановлением Госстандарта СССР от 31.12.1981 N 5930)
фильтры бумажные;
питательные среды (мясную воду по ГОСТ 20729-75);
агар микробиологический по ГОСТ 17206-71 или другой микробиологический агар;
3.14.2. Подготовка к испытанию
Готовят мясопептонный бульон (МПБ) в соответствии с требованиями
ГОСТ 20730-75 и мясопептонный агар (МПА). Для приготовления МПБ к мясной воде добавляют 1% испытуемого пептона, 0,5% хлористого натрия и устанавливают pH среды 7,4.
Для приготовления МПА к мясной воде добавляют 1% испытуемого пептона 0,5% хлористого натрия, 2% микробиологического агара и устанавливают pH среды 7,4.
МПБ и МПА фильтруют, разливают по 8 см3 в пробирки, закрывают ватномарлевыми пробками и пергаментными колпачками и стерилизуют в автоклаве в течение 30 мин при 0,15 МПа.
(в ред.
Изменения N 1, введенного в действие Постановлением Госстандарта СССР от 31.12.1981 N 5930)
3.14.3. Проведение испытания
Пробирки со стерильными МПБ и косым МПА засевают суточными контрольными культурами. Посев каждой культуры производят микропипеткой по 0,2 см3 в три пробирки с МПБ и МПА. Инкубацию проводят 24 ч при 37 - 38 °C.
(в ред.
Изменения N 1, введенного в действие Постановлением Госстандарта СССР от 31.12.1981 N 5930)
Типичность роста суточных культур определяют на МПА визуально и под микроскопом. Рост должен быть типичным для каждого штампа микроорганизмов. Интенсивность роста оценивают в МПБ на фотоэлектроколориметре при длине волны 620 - 640 нм в кювете с рабочей длиной 5 мм.
4. ФАСОВКА, УПАКОВКА, МАРКИРОВКА,
ТРАНСПОРТИРОВАНИЕ И ХРАНЕНИЕ
| | ИС МЕГАНОРМ: примечание. Постановлением Госстандарта СССР от 25.11.1988 N 3828 с 1 января 1990 года введен в действие ГОСТ 5981-88. | |
| | ИС МЕГАНОРМ: примечание. Взамен ГОСТ 10354-73 Постановлением Госстандарта СССР от 02.06.1982 N 2253 с 1 июля 1983 года введен в действие ГОСТ 10354-82. | |
4.1. Пептон фасуют массой нетто от 250 до 1000 г в жестяные банки по ГОСТ 5981-71 или, по соглашению с потребителем, массой нетто 30 кг в фанерные бочки типа II по ГОСТ 5958-79 с прокладкой полиэтиленовой пленки по ГОСТ 10354-73. Жестяные банки герметически укупоривают.
(в ред.
Изменения N 1, введенного в действие Постановлением Госстандарта СССР от 31.12.1981 N 5930)
4.2. На банку наклеивают этикетку с указанием:
наименования предприятия-изготовителя;
наименования препарата;
номера серии;
массы нетто;
условий хранения;
срока годности;
обозначения настоящего стандарта.
| | ИС МЕГАНОРМ: примечание. Взамен ГОСТ 13516-72 Постановлением Госстандарта СССР от 19.12.1986 N 4173 с 1 января 1988 года введен в действие ГОСТ 13516-86. | |
| | ИС МЕГАНОРМ: примечание. Взамен ГОСТ 13358-72 Постановлением Госстандарта СССР от 27.03.1984 N 1027 с 1 января 1986 года введен в действие ГОСТ 13358-84. | |
4.3. Банки с пептоном упаковывают в дощатые неразборные ящики для консервов по ГОСТ 13358-72 или в ящики из гофрированного картона для консервов и пищевых жидкостей по ГОСТ 13516-72.
4.4. Транспортная маркировка по
ГОСТ 14192-77 с указанием дополнительных данных:
(в ред.
Изменения N 1, введенного в действие Постановлением Госстандарта СССР от 31.12.1981 N 5930)
наименования предприятия-изготовителя и его товарного знака;
(в ред.
Изменения N 1, введенного в действие Постановлением Госстандарта СССР от 31.12.1981 N 5930)
наименования препарата;
номера серии;
даты изготовления;
массы брутто и нетто;
условий хранения;
срока годности;
обозначения настоящего стандарта.
На каждый ящик или бочку наносится манипуляционный знак "Боится сырости".
(в ред.
Изменения N 1, введенного в действие Постановлением Госстандарта СССР от 31.12.1981 N 5930)
4.5. Пептон хранят в сухом помещении при температуре не выше 30 °C. Срок годности пептона в герметически закрытых банках 3 года, в фанерных бочках - 1 год со дня изготовления.
4.6. Пептон транспортируют всеми видами транспорта с соблюдением правил перевозки грузов, действующих на данном виде транспорта.
(в ред.
Изменения N 1, введенного в действие Постановлением Госстандарта СССР от 31.12.1981 N 5930)
Укрепление грузовых мест в транспортные пакеты при перевозке грузов железнодорожным транспортом по
ГОСТ 21929-76 и ГОСТ 15901-70.
(абзац введен
Изменением N 1, введенным в действие Постановлением Госстандарта СССР от 31.12.1981 N 5930)
4.7. При нарушении герметизации тары пептон хранят в плотно закрытом сосуде или полиэтиленовом мешочке в сухом помещении при температуре от 0 до 8 °C не более 1 месяца.