Главная // Актуальные документы // ГОСТ (Государственный стандарт)СПРАВКА
Источник публикации
Документ опубликован не был
Примечание к документу
Документ утратил силу с 1 июля 2016 года в связи с изданием
Приказа Росстандарта от 30.11.2015 N 2082-ст. Взамен введен в действие
ГОСТ 23452-2015.
Документ включен в
Перечень стандартов, содержащих правила и методы исследований (испытаний) и измерений, в том числе правила отбора образцов, необходимые для применения и исполнения требований технического
регламента "О безопасности пищевой продукции" (ТР ТС 021/2011) и осуществления оценки (подтверждения) соответствия продукции (
Решение Комиссии Таможенного союза от 09.12.2011 N 880).
Документ включен в
Перечень национальных стандартов, содержащих правила и методы исследований (испытаний) и измерений, в том числе правила отбора образцов, необходимых для применения и исполнения Федерального
закона "Технический регламент на молоко и молочную продукцию" и осуществления оценки соответствия (
Распоряжение Правительства РФ от 15.12.2008 N 1866-р).
С 1 июля 2003 года до вступления в силу технических регламентов акты федеральных органов исполнительной власти в сфере технического регулирования носят рекомендательный характер и подлежат обязательному исполнению только в части, соответствующей целям, указанным в
пункте 1 статьи 46 Федерального закона от 27.12.2002 N 184-ФЗ.
Документ
введен в действие с 1 января 1980 года.
Название документа
"ГОСТ 23452-79. Межгосударственный стандарт. Молоко и молочные продукты. Методы определения остаточных количеств хлорорганических пестицидов"
(введен Постановлением Госстандарта СССР от 30.01.1974)
(ред. от 01.06.1986)
"ГОСТ 23452-79. Межгосударственный стандарт. Молоко и молочные продукты. Методы определения остаточных количеств хлорорганических пестицидов"
(введен Постановлением Госстандарта СССР от 30.01.1974)
(ред. от 01.06.1986)
Введен
Постановлением Государственного
комитета СССР по стандартам
от 30 января 1974 г. N 332
МЕЖГОСУДАРСТВЕННЫЙ СТАНДАРТ
МОЛОКО И МОЛОЧНЫЕ ПРОДУКТЫ
МЕТОДЫ ОПРЕДЕЛЕНИЯ ОСТАТОЧНЫХ КОЛИЧЕСТВ ХЛОРОРГАНИЧЕСКИХ
ПЕСТИЦИДОВ
Milk and milk products. Methods for determination
of the chloreorganike pesticides esidues
ГОСТ 23452-79
| | Список изменяющих документов (в ред. Изменения N 1, утв. в июне 1986 г.) | |
Группа Н19
ОКСТУ 9209
Дата введения
1 января 1980 года
Постановлением Государственного комитета СССР по стандартам от 30 января 1974 г. N 332 срок действия установлен с 01.01.80.
Проверен в 1991 г. Постановлением Госстандарта от 29.12.91 N 2396 снято ограничение срока действия.
Настоящий стандарт распространяется на молоко и молочные продукты и устанавливает методы определения остаточных количеств хлорорганических пестицидов (4,4'-ДДТ; 4,4'-ДДЭ; 4,4'-ДДД,

и

-изомеры ГХЦГ и ГЕПТАХЛОР) методами тонкослойной и газожидкостной хроматографии.
2. МЕТОД ТОНКОСЛОЙНОЙ ХРОМАТОГРАФИИ
2.1. Сущность метода
Метод основан на выделении хлорорганических пестицидов из молока и молочных продуктов, очистке экстрактов и определении их на стеклянных пластинках, покрытых слоем адсорбента, разгонке хроматограммы в подвижном растворителе и проявлении хроматограммы азотнокислым серебром.
Минимальная концентрация остаточных количеств хлорорганических пестицидов, определяемая указанным методом, составляет 0,05 мг/кг (мг/дм3) с абсолютной суммарной погрешностью 0,017 мг/кг (мг/дм3) при доверительной вероятности P = 0,95.
2.2. Аппаратура и реактивы
Пластинки стеклянные для хроматографии размером 90 · 120, 130 · 180 мм или фотопластинки.
Пульверизаторы стеклянные.
Камера для хроматографирования - стеклянный сосуд с притертой крышкой.
Лампа ртутно-кварцевая ПРК.
Баня водяная с терморегулятором, позволяющая поддерживать температуру (45 +/- 2) °C.
Часы.
Весы лабораторные 2-го класса точности с наибольшим пределом взвешивания 200 г по ГОСТ 24104-88.
Сушильный шкаф с терморегулятором, позволяющий поддерживать температуру (130 +/- 5) °C, (160 +/- 5) °C.
Прибор для отгонки растворителей (ИР-1, ИР-10, УОР-М).
Термометр стеклянный жидкостный (не ртутный) с пределом измерения от 0 до 100 °C с ценой деления шкалы 1 °C по
ГОСТ 28498-90.
Груша резиновая.
Колбы мерные исполнения 2, номинальной вместимостью 100 см3, 2-го класса точности по
ГОСТ 1770-74.
Стаканы типа В или Н исполнения 1 или 2, номинальной вместимостью 50 см3 по
ГОСТ 25336-82.
Цилиндры мерные исполнения 1, номинальной вместимостью 50, 100, 250 и 1000 см3.
Воронки типа ВД, исполнения 1 или 2, номинальной вместимостью 250 и 500 см3 по
ГОСТ 25336-82.
Пробирки исполнения 2, номинальной вместимостью 5 и 10 см3, с ценой деления 0,1 см3 по
ГОСТ 1770-74.
Колбы типа К исполнения 1 со взаимозаменяемыми конусами, номинальной вместимостью 250 и 500 см3 по
ГОСТ 25336-82.
Колонки хроматографические размером 18 · 390 см3.
Пипетки исполнения 6 или 7, 1-го класса точности, номинальной вместимостью 5 и 10 см3 по
ГОСТ 29169-91.
н-Гексан, ч.д.а. по нормативно-технической документации.
Калий щавелевокислый по ГОСТ 5868-78, ч.д.а., раствор с массовой долей щавелевокислого калия 50 г/дм3.
Натрий хлористый по
ГОСТ 4233-77, насыщенный водный раствор.
Насыщенный раствор безводного сульфата натрия в серной кислоте плотностью 1,84 г/см3 (100 г безводного сульфата натрия растворяют в 1 дм3 серной кислоты).
Эфир диэтиловый для наркоза по Госфармакопее, том IX.
Окись алюминия для хроматографии по нормативно-технической документации.

и

-изомеры ГХЦГ.
4,4'-ДДТ, 4,4'-ДДЭ, 4,4'-ДДД - и ГЕПТАХЛОР по нормативно-технической документации.
--------------------------------
--------------------------------
Кальций сернокислый 2-водный

по НТД ч.д.а. (гипс).
Эфир петролейный с температурой кипения (50 +/- 10) °C по нормативно-технической документации.
2.1; 2.2. (Измененная редакция, Изм. N 1).
2.3. Подготовка к анализу
2.3.1. Приготовление проявляющего реактива
В стакан вместимостью 150 см3 отвешивают 0,5 г азотнокислого серебра, растворяют в 5 см3 дистиллированной воды, приливают 7 см3 водного аммиака и доводят объем раствора ацетоном до 100 см3. Готовят проявляющий реактив в день употребления. На пластинку размером 90 · 120 мм расходуется 8 - 10 см3 реактива, а на пластинку 130 · 180 мм - 12 - 15 см3 реактива.
2.3.2. Подготовка стеклянных пластинок
Стеклянную пластинку тщательно промывают водой, хромовой смесью, дистиллированной водой, высушивают, протирают этиловым спиртом или эфиром и покрывают сорбционной массой.
2.3.3. Подготовка силикагеля
Силикагель заливают соляной кислотой, разведенной водой 1:1, и оставляют на 18 - 20 ч. Кислоту сливают, силикагель промывают водой и кипятят в течение 2 - 3 ч с разбавленной азотной кислотой (1:1). Обработанный силикагель промывают проточной водопроводной водой, а затем дистиллированной до нейтральной реакции промывных вод и сушат в сушильном шкафу при температуре (130 +/- 5) °C в течение 4 - 5 ч. Дробят и просеивают через сито 100 меш (1600 отверстий на 1 см2). Подготовленный силикагель хранят в склянке с притертой пробкой.
(Измененная редакция, Изм. N 1).
2.3.4. Подготовка гипса
Гипс

прокаливают в сушильном шкафу при температуре (160 +/- 5) °C в течение 6 ч. Растирают в фарфоровой ступке и просеивают через сито 100 меш.
2.3.5. Приготовление сорбционной массы на 10 пластинок размером 130 · 180 мм.
2.3.5.1. Силикагель с гипсом
40 г силикагеля и 2 г гипса растирают в фарфоровой ступке, прибавляют 90 см3 дистиллированной воды порциями по 8 - 10 см3 и размешивают до образования однородной массы.
2.3.5.2. Окись алюминия с гипсом
50 г окиси алюминия, просеянной через сито 100 меш, 5 г кальция сернокислого (гипса) тщательно смешивают в фарфоровой ступке, переносят в колбу, прибавляют 75 см3 дистиллированной воды и встряхивают до образования однородной массы.
2.3.6. На подготовленную по
п. 2.3.2 стеклянную пластинку наносят 20 г сорбционной массы, приготовленной по
п. 2.3.5, и равномерно распределяют по поверхности. Сушат на ровном столе 10 - 12 ч и хранят в эксикаторе без доступа света.
2.3.7. Подготовка стандартных растворов пестицидов (4,4'-ДДТ, 4,4'-ДДД, 4,4'-ДДЭ

и

-изомеры ГХЦГ и ГЕПТАХЛОРА).
Стандартный раствор пестицидов в гексане готовят следующей массовой концентрации: 0,2 мкг/см3 ГХЦГ, 0,5 мкг/см3 гептахлора, 0,4 мкг/см3 4,4'-ДДЭ, 0,5 мкг/см3 4,4'-ДДД, и 0,5 мкг/см3 4,4'-ДДТ. Растворы хранят в сосуде с притертой пробкой при температуре (10 +/- 3) °C, не более 1 мес со дня приготовления.
2.3.6; 2.3.7. (Измененная редакция, Изм. N 1).
2.3.8. Приготовление насыщенного раствора хлористого натрия
К 1 дм3 дистиллированной воды добавляют хлористый натрий до тех пор, пока кристаллы хлористого натрия при комнатной температуре не перестанут растворяться. Хранят насыщенный раствор в склянке с пробкой при комнатной температуре.
2.3.9. Приготовление раствора щавелевокислого калия
50 г щавелевокислого калия растворяют в 950 см3 дистиллированной воды. Хранят в склянке с пробкой при комнатной температуре.
2.3.10. Экстракция хлорорганических пестицидов (4,4'-ДДТ, 4,4'-ДДД, 4,4'-ДДЭ,

и

-ГХЦГ и ГЕПТАХЛОР)
2.3.10.1. Молоко, кефир, кумыс, простокваша и другие кисломолочные напитки
Первый способ: 25 см3 продукта помещают в делительную воронку вместимостью 250 или 300 см3. Приливают 5 см3 водного раствора щавелевокислого калия и 5 см3 насыщенного раствора хлористого натрия, перемешивают, приливают 100 см3 ацетона и энергично встряхивают в течение 2 мин. Приливают 100 см3 хлороформа и вновь встряхивают 2 мин, после чего воронку оставляют на 5 мин до полного разделения слоев. Нижнюю фазу выливают в круглодонную колбу со шлифом вместимостью 500 см3 и испаряют на приборе для отгонки растворителей досуха, а верхнюю фазу отбрасывают. Экстракт смывают со стенок колбы 30 см3 н-гексана.
Второй способ: к 50 см3 продукта прибавляют концентрированную серную кислоту 30 - 40 см3 до полного почернения пробы. Охлажденный до (13 +/- 2) °C раствор переносят в делительную воронку и экстрагируют н-гексаном два раза порциями по 25 см3. Для полного извлечения воронку встряхивают 2 мин, затем оставляют ее на несколько минут до полного разделения слоев. Если образуется эмульсия, прибавляют 1 - 2 см3 этилового спирта. К объединенным экстрактам в делительной воронке прибавляют 10 см3 концентрированной серной кислоты, насыщенной сульфатом натрия, и осторожно встряхивают несколько раз. Очистку повторяют до получения бесцветной кислоты.
(Измененная редакция, Изм. N 1).
2.3.10.2. Сгущенное молоко, сливки 10 - 20%-ной жирности
10 г продукта перемешивают с 10 см3 насыщенного раствора хлористого натрия в химическом стакане вместимостью 50 см3 и выливают в делительную воронку вместимостью 150 см3. К смеси приливают 40 см3 ацетона и энергично встряхивают в течение 2 мин, затем приливают 50 см3 хлороформа, встряхивают и оставляют до разделения слоев. Далее - по
п. 2.3.10.1.
2.3.10.3. Сливки 30 - 40%-ной жирности, сметана, сухое молоко
5 г продукта помещают в делительную воронку вместимостью 150 см3, приливают 10 см3 насыщенного раствора хлористого натрия, 40 см3 ацетона и энергично встряхивают 2 мин. Добавляют 70 см3 хлороформа, смесь встряхивают и оставляют до разделения слоев. Далее - по
п. 2.3.10.1.
2.3.10.4. Масло, молочный жир
Первый способ: 20 г продукта при определении методом тонкослойной хроматографии или 5 г - при определении методом газожидкостной хроматографии помещают в стакан вместимостью 50 см3, подогревают до температуры (40 +/- 2) °C и растворяют в 30 см3 н-гексана.
Второй способ: навеску масла 20 г растапливают на водяной бане в круглодонной колбе, прибавляют 50 см3 ацетона, тщательно перемешивают до растворения жира, прибавляют 10 см3 дистиллированной воды и охлаждают на льду до затвердения жира (примерно 30 мин), сливают ацетоновый экстракт и процедуру повторяют три раза. Из объединенных экстрактов в круглодонной колбе ацетон отгоняют на водяной бане. Пестициды экстрагируют из оставшегося водного экстракта н-гексаном тремя порциями по 10 см3 в течение 5 мин. Объединенные экстракты в делительной воронке обрабатывают серной кислотой с сернокислым натрием. Очищенный экстракт сушат и упаривают досуха.
(Измененная редакция, Изм. N 1).
2.3.10.5. Творог, сыр
10 г творога или измельченного сыра растирают с 10 см3 насыщенного раствора хлористого натрия и переносят в делительную воронку вместимостью 250 см3. Приливают 80 см3 ацетона, встряхивают 2 мин, прибавляют 100 см3 хлороформа и вновь встряхивают. После разделения слоев поступают согласно
п. 2.3.10.1.
2.3.11. Очистка экстрактов
2.3.11.1. Очистка на хроматографической колонке с силикагелем АСК
Для подготовки колонки в нижнюю часть бюретки помещают стекловату, насыпают 70 см3 силикагеля АСК, уплотняют его постукиванием и промывают 50 см3 н-гексана. На подготовленную колонку наносят 30 см3 экстракта, полученного в соответствии с
п. 2.3.10. После того, как экстракт впитается в сорбент, пестициды вымывают 110 см3 смеси бензол-н-гексан (в соотношении 3:8) порциями по 25 - 30 см3. Прошедший через колонку растворитель собирают в круглодонную колбу со шлифом вместимостью 250 - 300 см3. После впитывания последней порции растворителя сорбент отжимают с помощью резиновой груши.
Содержимое колбы упаривают досуха на приборе для отгонки растворителей (температура водяной бани 40 - 45 °C) и очищенный экстракт смывают со стенок колбы 5 см3 н-гексана.
2.3.11.2. Очистка серной кислотой
Экстракт, полученный в соответствии с
п. 2.3.10, переносят в делительную воронку вместимостью 250 см3, приливают 20 см3 серной кислоты, насыщенной безводным сернокислым натрием, и осторожно встряхивают. Отделяют нижний слой и повторяют обработку до тех пор, пока кислота не станет бесцветной.
Гексановый экстракт промывают дистиллированной водой до нейтральной реакции промывных вод, а затем сушат безводным сульфатом натрия. Растворитель отгоняют до объема 0,1 - 0,2 см3.
(Измененная редакция, Изм. N 1).
2.4. Проведение анализа
2.4.1. 5 см3 очищенного экстракта, полученного по
п. 2.3.11, из колбы переносят в градуированную пробирку и выпаривают на водяной бане при температуре (50 +/- 2) °C до объема 0,2 см3. Этот объем при помощи микропипетки наносят на стеклянную пластинку со слоем сорбента, подготовленную по
п. 2.3.6, на расстоянии 15 мм от края в одну точку так, чтобы диаметр пятна (след от нанесения раствора) не превышал 10 мм. Колбу ополаскивают 5 см3 диэтилового эфира, который переносят в ту же градуированную пробирку, упаривают до объема 0,2 см3 на водяной бане при температуре 35 - 40 °C и наносят его в центр первого пятна. Справа и слева от места нанесения пробы на расстоянии 20 мм наносят стандартные растворы смеси пестицидов, приготовленные по
п. 2.3.7, содержащие 1,0 или 10,0 мкг препарата. Для этого стандартный раствор разбавляют в 10 - 100 раз.
2.4.2. Пластинку с нанесенными растворами помещают в камеру для хроматографирования, на дно которой за 30 мин до начала хроматографирования наливают подвижный растворитель - н-гексан. Край пластинки с нанесенными растворами может быть погружен в подвижный растворитель не более чем на 5 мм. После того, как фронт растворителя поднимается на 100 мм, пластинку вынимают из камеры и оставляют на 2 - 3 мин для испарения растворителя. Пластинку опрыскивают из пульверизатора проявляющим реактивом, приготовленным по
п. 2.3.1, и облучают 10 - 15 мин ультрафиолетовым светом, держа пластинки на расстоянии 200 мм от ртутно-кварцевой лампы ПРК-4. При наличии хлорорганических пестицидов на пластинке появляются пятна серо-черного цвета.
2.5. Обработка результатов
Количественное определение пестицидов производят сравнением размера пятна пробы с размером пятна стандартного раствора. Сравнение размеров пятен производят визуально или измерением их площадей. При расчете содержания пестицида в пробе предполагают, что между количеством препарата в пробе и площадью его пятна на пластинках существует прямая зависимость. Эта зависимость соблюдается лишь при содержании пестицидов до 10 мкг в пробе.
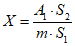
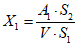
Массовую долю (X) в мг/кг или массовую концентрацию

в мг/дм3 пестицидов в пробе вычисляют по формулам:
X = A/m или

;

или

;
где A - масса пестицидов, определенная визуальным сравнением со стандартным раствором, мкг;

- масса пестицидов в стандартном растворе, мг;

- площадь пятна исследуемой пробы, мм2;
m - масса исследуемой пробы, г;
V - объем исследуемой пробы, дм3;

- площадь пятна стандартного раствора, мм2.
Вычисление производят до третьего десятичного знака.
За окончательный результат принимают среднеарифметическое двух параллельных определений, допускаемые расхождения между которыми по абсолютной величине не должны превышать 20% по отношению к среднеарифметическому. Окончательный результат округляют до второго десятичного знака.
(Измененная редакция, Изм. N 1).
3. МЕТОД ГАЗОЖИДКОСТНОЙ ХРОМАТОГРАФИИ
3.1. Сущность метода
Сущность метода заключается в выделении хлорорганических пестицидов, очистке их и определении на газожидкостном хроматографе, снабженном детектором по захвату электронов, с использованием неполярной силиконовой фазы и газа-носителя - азота, аргона.
Метод предназначен для количественного определения хлорорганических пестицидов и применяется при разногласиях в оценке качества молока и молочных продуктов.
Минимальная концентрация остаточных количеств хлорорганических пестицидов, определяемая указанным методом, для 4,4'-ДДТ, 4,4'-ДДД, 4,4'-ДДЭ составляет 0,005 мг/кг (мг/дм3) с абсолютной суммарной погрешностью 0,0025 мг/кг (мг/дм3) при доверительной вероятности P = 0,95, для

и

-изомеров ГХЦГ - 0,008 мг/кг (мг/дм3) с абсолютной суммарной погрешностью 0,004 мг/кг (мг/дм3), для ГЕПТАХЛОРА - 0,005 мг/кг (мг/дм3) с абсолютной суммарной погрешностью 0,0025 мг/кг (мг/дм3).
3.2. Аппаратура и реактивы
Хроматограф газожидкостный, оборудованный детектором по захвату электронов.
Колонки газохроматографические по НТД, длиной 1800 мм, внутренним диаметром 3 мм.
Микрошприц на 10 мм3 марки МШ-1 или другой модификации.
Баня водяная с термообогревом, обеспечивающая нагрев до температуры 45 °C.
Фаза неподвижная - жидкость кремнийорганическая ПФМС-4 по
ГОСТ 15866-70 SE-30, SE-301, ДС-550, СКТФТ-50, ОУ-17, СЕ-ХЕ-60 или другие аналогичные фазы.
Твердый носитель - хроматон NaW. Целит-545, хромосорб W.
Прибор для отгонки растворителей (ИР-1, ИР-10, УОР-М и т.п.).
Термометр технический стеклянный с пределом измерения 0 - 150 °C по ТУ 3-3.2123-88.
Груша резиновая.
Колбы мерные исполнения 2, номинальной вместимостью 100 см3, 2-го класса точности по
ГОСТ 1770-74.
Стаканы стеклянные лабораторные типа B или H, исполнения 1 или 2, номинальной вместимостью 50 см3 по
ГОСТ 25336-82.
Цилиндры мерные исполнения 1, номинальной вместимостью 50, 100 и 250 см3 по
ГОСТ 1770-74.
Воронки делительные по
ГОСТ 1770-74 номинальной вместимостью 150, 200 и 500 см3.
Колбы типа К, исполнения 1, со взаимозаменяемыми конусами, номинальной вместимостью 250 или 500 см3 по
ГОСТ 25336-82.
Пипетки исполнения 2, 1-го класса точности, номинальной вместимостью 5 и 10 см3 по
ГОСТ 29169-91.
Колонки хроматографические размером 18 · 390 мм.
Стекловата.
3.1, 3.2. (Измененная редакция, Изм. N 1).
3.3. Подготовка к анализу
3.3.1. Подготовка стандартных растворов пестицидов (4,4'-ДДТ, 4,4'-ДДЭ, 4,4'-ДДД,

и

-ГХЦГ и ГЕПТАХЛОР) - по
п. 2.3.7.
3.3.2. Приготовление насыщенного раствора хлористого натрия - по
п. 2.3.8.
3.3.3. Приготовление раствора щавелевокислого калия - по
п. 2.3.9.
3.3.4. Подготовка газохроматографической колонки
Газохроматографическую колонку заполняют сорбентом и присоединяют к прибору, не присоединяя к детектору. Кондиционирование колонки проводят в течение четырех дней, постепенно (в течение 6 ч) повышая температуру от 50 до 220 °C (5% ПФМС-4, нанесенного на хроматон NAW) и присоединяют к прибору.
3.3.5. Температурные режимы хроматографа
Температура испарителя (220 +/- 10) °C, колонок - (190 +/- 5) °C, детектора - (210 +/- 20) °C.
3.3.6. Скорость подачи газа-носителя - (60 - 75) мм3/мин.
3.3.4 - 3.3.6. (Измененная редакция, Изм. N 1).
3.3.7. Рабочая шкала электрометра

а/шкалу.
3.6. Проведение анализа
После подготовки хроматографа к работе - по
п. п. 3.3.4 -
3.3.7 в испаритель вводят микрошприцем 2 - 5 мм3 стандартного раствора пестицидов, приготовленного по
п. 2.3.7 или очищенного экстракта, приготовленного по
п. 2.3.11, в зависимости от концентрации пестицидов в исследуемой пробе. Высота пиков в пробе должна быть в пределах высоты пиков пестицидов, содержащихся в 2 и 5 мм стандартных растворов.
3.7. Обработка результатов
Наличие пестицидов регистрируется самописцем прибора в виде ряда пиков с различным временем удерживания. Идентификацию пиков, полученных из очищенных экстрактов, проводят сравнением времен их удерживания с временами удерживания пиков, полученных из стандартного раствора пестицидов.
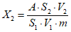
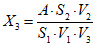
Массовую долю

, мг/кг, или массовую концентрацию

, мг/дм3, пестицидов в пробе вычисляют по формулам:

или

;

или

;
где A - масса пестицидов в стандартном растворе, введенном в хроматограф;

или

- площадь или высота пика в исследуемой пробе, мм2 или мм;

- общий объем экстракта после упаривания, см3;

или

- площадь или высота пика стандартного раствора пестицидов, введенных в хроматограф, мм2 или мм;

- объем пробы, введенной в хроматограф, см3;
m - масса исследуемой пробы, г;

- объем исследуемой пробы, дм3.
Вычисление производят до четвертого десятичного знака.
За окончательный результат принимают среднеарифметическое двух параллельных определений, допускаемые расхождения между которыми по абсолютной величине не должны превышать 10% по отношению к среднеарифметическому. Окончательный результат округляют до третьего десятичного знака.
(Измененная редакция, Изм. N 1).