Главная // Актуальные документы // ГОСТ (Государственный стандарт)СПРАВКА
Источник публикации
М.: ИПК Издательство стандартов, 2004
Примечание к документу
Отдельные положения данного документа включены в
Перечень международных и региональных (межгосударственных) стандартов, а в случае их отсутствия - национальных (государственных) стандартов, в результате применения которых на добровольной основе обеспечивается соблюдение требований технического
регламента Таможенного союза "Требования безопасности пищевых добавок, ароматизаторов и технологических вспомогательных средств" (ТР ТС 029/2012) (
Решение Коллегии Евразийской экономической комиссии от 07.02.2018 N 21).
Документ был включен в
Перечень стандартов, в результате применения которых на добровольной основе обеспечивается соблюдение требований технического
регламента Таможенного союза "Требования безопасности пищевых добавок, ароматизаторов и технологических вспомогательных средств" (ТР ТС 029/2012) (
Решение Коллегии Евразийской экономической комиссии от 02.10.2012 N 258).
Документ включен в
Перечень стандартов, в результате применения которых на добровольной основе обеспечивается соблюдение требований технического
регламента Таможенного союза "О безопасности пищевой продукции" (ТР ТС 021/2011) (
Решение Комиссии Таможенного союза от 09.12.2011 N 880).
Документ был включен в
Перечень используемых в Республике Казахстан документов в области стандартизации, а также документов, содержащих правила и методы исследований (испытаний) и измерений, в том числе правила отбора образцов, необходимых для применения и исполнения обязательных требований, предусмотренных
перечнем, утвержденным Постановлением Правительства Российской Федерации от 9 марта 2010 г. N 132, и осуществления оценки соответствия в отношении отдельных видов продукции и связанных с требованиями к ней процессов (
Приказ Ростехрегулирования от 26.03.2010 N 867).
Документ включен в
Перечень национальных стандартов и (или) сводов правил, в результате применения которых на добровольной основе обеспечивается соблюдение требований Федерального
закона от 27 октября 2008 г. N 178-ФЗ "Технический регламент на соковую продукцию из фруктов и овощей" (
Приказ Ростехрегулирования от 28.04.2009 N 1540).
С 1 июля 2003 года до вступления в силу технических регламентов акты федеральных органов исполнительной власти в сфере технического регулирования носят рекомендательный характер и подлежат обязательному исполнению только в части, соответствующей целям, указанным в
пункте 1 статьи 46 Федерального закона от 27.12.2002 N 184-ФЗ.
Документ
введен в действие с 1 января 1993 года.
Взамен ОСТ III-3-82.
Название документа
"ГОСТ 29186-91. Межгосударственный стандарт. Пектин. Технические условия"
(утв. и введен в действие Постановлением Госстандарта СССР от 23.12.1991 N 2053)
"ГОСТ 29186-91. Межгосударственный стандарт. Пектин. Технические условия"
(утв. и введен в действие Постановлением Госстандарта СССР от 23.12.1991 N 2053)
Утвержден и введен в действие
Постановлением
Комитета стандартизации
и метрологии СССР
от 23 декабря 1991 г. N 2053
МЕЖГОСУДАРСТВЕННЫЙ СТАНДАРТ
ПЕКТИН
ТЕХНИЧЕСКИЕ УСЛОВИЯ
Pectin. Specifications
ГОСТ 29186-91
Дата введения
1 января 1993 года
1. РАЗРАБОТАН И ВНЕСЕН Всесоюзным научно-исследовательским и конструкторско-технологическим институтом по переработке фруктов и винограда (ВНИКТИплодпром), Техническим комитетом "Продукты переработки плодов и овощей"
РАЗРАБОТЧИКИ
Л.А. Бантыш, канд. техн. наук; В.В. Андреев; Л.П. Паршакова; М.И. Киселева; С.Н. Стасюк
2. УТВЕРЖДЕН И ВВЕДЕН В ДЕЙСТВИЕ Постановлением Комитета стандартизации и метрологии СССР от 23.12.91 N 2053
3. ВВЕДЕН ВЗАМЕН ОСТ III-3-82
4. ССЫЛОЧНЫЕ НОРМАТИВНО-ТЕХНИЧЕСКИЕ ДОКУМЕНТЫ
Обозначение НТД, на который дана ссылка | Номер пункта |
| |
| |
| |
| |
| |
| |
| |
| |
| |
| |
| |
| |
| |
| |
| |
| |
| |
| |
| |
| |
ГОСТ 10014-73 | |
| |
| |
| |
| | ИС МЕГАНОРМ: примечание. В официальном тексте документа, видимо, допущена опечатка: стандарт имеет номер ГОСТ 10678-76, а не ГОСТ 10678-77. | |
|
| |
| |
| |
| |
| |
| |
| |
| |
| |
|
|
ГОСТ 24104-88 | |
| |
| |
| |
| |
| |
| |
| |
ГОСТ 26930-86 - ГОСТ 26934-86 | |
| |
| | ИС МЕГАНОРМ: примечание. В официальном тексте документа, видимо, допущена опечатка: стандарт имеет номер ГОСТ 29227-91, а не ГОСТ 29227-90. | |
|
| |
| | ИС МЕГАНОРМ: примечание. В официальном тексте документа, видимо, допущена опечатка: стандарт имеет номер ГОСТ 29251-91, а не ГОСТ 29251-90. | |
|
| |
ОСТ 10.157-88 | |
ОСТ 6-03-270-76 | |
ОСТ 18-169-74 | |
ТУ 21-31-44-82 | |
ТУ 6-09-3569-86 | |
ТУ ОП 13-0234-30-90 | |
ТУ 6-09-5446-89 | |
ТУ 10.10.739-88 | |
ТУ 10.963.2.27-91 | |
5. ПЕРЕИЗДАНИЕ. Июль 2004 г.
Настоящий стандарт распространяется на пектин, полученный из яблочных или цитрусовых выжимок, применяемый для изготовления пищевых продуктов.
Требования стандарта являются обязательными, кроме
пункта 1.8, требования которого являются рекомендуемыми.
Термины, применяемые в стандарте, и их пояснения приведены в
приложении 1.
1. ТЕХНИЧЕСКИЕ ТРЕБОВАНИЯ
1.1. Пектин изготовляют в соответствии с требованиями настоящего стандарта по технологическому регламенту с соблюдением санитарных правил, утвержденных в установленном порядке.
1.2. Характеристики
1.2.1. Пектин изготовляют двух видов:
яблочный и цитрусовый.
1.2.2. В зависимости от студнеобразующей способности пектин изготовляют 1-го и 2-го сортов.
1.2.3. В зависимости от степени этерификации и, соответственно, скорости студнеобразования пектин выпускают трех типов:
А - быстрой садки;
Б - средней садки;
В - медленной садки.
Примеры условного обозначения:
Пектин АЯ-1 - пектин яблочный быстрой садки 1-го сорта;
Пектин ВЦ-2 - пектин цитрусовый медленной садки 2-го сорта.
1.3. При изготовлении пектина применяют следующие сырье и материалы:
выжимки яблочные сушеные по ТУ 10.963.2.27 или цитрусовые сушеные по техническим требованиям на поставку по импорту;
кислоту азотную неконцентрированную по ОСТ 6-03-270;
кислоту ортофосфорную термическую по
ГОСТ 10678 марки А;
перлит фильтровальный по ТУ 21-31-44;
кизельгур по ОСТ 18-169;
--------------------------------
уголь активный осветляющий древесный порошкообразный по
ГОСТ 4453;
массу древесную беленую и белую по ГОСТ 10014 марки Г или К или волокнистый полуфабрикат из древесины смешанных пород по ТУ ОП 13-0234-30.
1.4. По органолептическим показателям пектин должен соответствовать требованиям, указанным в
табл. 1.
Наименование показателя | Характеристика |
1. Внешний вид | Порошок тонкого помола без посторонних примесей. Допускается наличие волокнистой фракции пектина в виде хлопьев |
2. Вкус | Слабокислый |
3. Запах | Отсутствует |
4. Цвет | От светло-серого до кремового |
1.5. По физико-химическим показателям пектин должен соответствовать нормам, указанным в
табл. 2.
Наименование показателя | Норма для сорта | Метод испытания |
1-го | 2-го |
| | ИС МЕГАНОРМ: примечание. В официальном тексте документа, видимо, допущена опечатка: имеется в виду пункт 3.4, а не 3.3. | |
|
1. Массовая доля влаги, %, не более | 10 | |
| | ИС МЕГАНОРМ: примечание. В официальном тексте документа, видимо, допущена опечатка: имеется в виду пункт 3.5, а не 3.4. | |
|
2. Степень этерификации, % | | |
типа А, не менее | 70 |
типа Б | 67 - 69 |
типа В | 60 - 66 |
| | ИС МЕГАНОРМ: примечание. В официальном тексте документа, видимо, допущена опечатка: имеется в виду пункт 3.6, а не 3.5. | |
|
3. Студнеобразующая способность, градусы Тарр-Бейкера, не менее | 200 | 170 | |
| | ИС МЕГАНОРМ: примечание. В официальном тексте документа, видимо, допущена опечатка: имеется в виду пункт 3.7, а не 3.6. | |
|
4. Массовая доля нитратов в расчете на ион NO3, %, не более | 0,18 | |
| | ИС МЕГАНОРМ: примечание. В официальном тексте документа, видимо, допущена опечатка: имеется в виду пункт 3.3, а не 3.2. | |
|
5. Посторонние примеси, видимые невооруженным глазом | Не допускаются | |
| | ИС МЕГАНОРМ: примечание. В официальном тексте документа, видимо, допущена опечатка: имеется в виду пункт 3.8, а не 3.7. | |
|
6. Массовая доля частиц волокнистой фракции размером более 0,5 мм, %, не более | 20 | |
1.6. Содержание токсичных элементов не должно превышать допустимые уровни, установленные в медико-биологических требованиях и санитарных нормах качества продовольственного сырья и пищевых продуктов
<1>, утвержденных Минздравом СССР.
--------------------------------
1.7. По микробиологическим показателям пектин должен соответствовать нормам, указанным в
табл. 3.
Наименование показателя | | Метод испытания |
Мезофильные аэробные и факультативно-анаэробные микроорганизмы в 1 г, не более | 5,0·102 | |
Плесневые грибы в 1 г, не более | 5,0·101 | |
Колиформные бактерии в 0,1 г | Не допускаются | По ОСТ 10.157, разд. 3 |
Патогенная и условно-патогенная микрофлора, в том числе сальмонелла, в 25 г | Не допускается | |
--------------------------------
<2> Колониеобразующих единиц.
Пектин упаковывают с применением вкладышей в виде сварных мешков из полиэтилена нестабилизированного, неокрашенного, марки А по
ГОСТ 10354 в следующие виды тары:
бочки фанерно-штампованные по ТУ 10.10.739;
барабаны картонно-навивные по
ГОСТ 17065, типа 3, массой нетто до 30,0 кг, с мешками-вкладышами шириной 60 см и длиной 95 см из полиэтилена толщиной 0,131 - 0,200 мм;
ящики из гофрированного картона по
ГОСТ 13516 N 11, массой нетто до 10,0 кг, с вкладышем шириной 64 см и длиной 69 см из полиэтилена толщиной 0,101 - 0,130 мм.
Для всех видов тары допускаемое отклонение массы нетто от указанной в маркировке +/- 0,2%.
Маркировка - по
ГОСТ 14192 с указанием следующих дополнительных данных:
наименования предприятия-изготовителя;
наименования продукта;
вида, типа и сорта продукта;
номера партии;
массы нетто;
даты изготовления (число, месяц, год);
срока хранения;
обозначения настоящего стандарта;
предупредительного знака "Беречь от влаги".
2.1. Пектин принимают партиями. Партией считают совокупность однородных упаковочных единиц с продукцией одного вида, типа и сорта, выработанной в одинаковых условиях и имеющей одну дату выработки.
2.2. Каждую партию пектина оформляют документом о качестве с указанием:
наименования предприятия-изготовителя;
наименования предприятия-потребителя;
наименования продукции, ее вида, типа и сорта;
номера партии и даты изготовления (число, месяц, год);
обозначения настоящего стандарта;
результатов испытаний по показателям качества, предусмотренным стандартом;
количества упаковочных единиц, массы нетто в кг;
даты отгрузки;
номера вагона, автомашины;
фамилии начальника лаборатории.
2.3. Контроль партии пектина проводят по следующим показателям:
качество упаковки и маркировки;
масса нетто пектина;
органолептические, физико-химические, микробиологические.
Эти показатели определяют в выборке из партии, отобранной методом случайного отбора по
ГОСТ 18321.
2.4. Для контроля качества упаковки, маркировки, массы нетто транспортной тары отбирают выборку (бочки, барабаны, ящики из гофрированного картона), объем которой указан в
табл. 4.
Объем партии (количество транспортной тары), шт. | Объем выборки, шт. | Приемочное число | Браковочное число | Объем выборки, шт. | Приемочное число | Браковочное число |
| Нормальный контроль | Усиленный контроль |
До 15 включ. | 2 | 0 | 1 | 3 | 0 | 1 |
От 16 " 25 " | 3 | 0 | 1 | 5 | 0 | 1 |
" 26 " 90 " | 5 | 0 | 1 | 13 | 0 | 1 |
" 91 " 150 " | 8 | 0 | 1 | 20 | 0 | 1 |
Контроль массы нетто проводят после контроля качества упаковки, маркировки транспортной тары.
Если количество дефектной транспортной тары в выборке меньше или равно приемочному числу, партию принимают. Если количество дефектной транспортной тары в выборке равно или больше браковочного числа, партию бракуют.
2.5. Для контроля качества пектина вскрывают 5% общего числа упаковочных единиц, но не менее трех от партии.
Если результаты контроля органолептических, физико-химических, микробиологических показателей в объединенной пробе удовлетворительны (соответствуют нормам не ниже 2-го сорта), партию принимают.
2.6. Контроль содержания токсичных элементов в пектине устанавливают в соответствии с порядком санитарно-технического контроля консервов на производственных предприятиях, оптовых базах, в розничной торговле и на предприятиях общественного питания, утвержденных Минздравом СССР.
3.1. Отбор проб
3.1.1. Отбор проб для определения органолептических и физико-химических показателей
3.1.1.1. Из каждой упаковочной единицы, отобранной по
п. 2.5, отбирают щупом точечные пробы пектина из верхнего, среднего и нижнего слоев, каждая массой нетто не менее 200 г. Отобранный пектин тщательно перемешивают и получают объединенную пробу.
3.1.1.2. Квартованием объединенной пробы выделяют аналитическую пробу массой 300 г, которую равными долями помещают в две сухие банки и герметически укупоривают. Содержимое одной банки используют для анализа, вторую хранят на случай возникновения разногласий о качестве.
Банку с пробой, предназначенной для хранения на случай возникновения разногласий о качестве, опечатывают или пломбируют и снабжают документом установленной формы с указанием:
наименования предприятия-изготовителя;
наименования продукции, ее вида, типа и сорта;
номера партии;
даты изготовления;
даты отбора пробы;
общего количества упаковочных единиц и массы нетто партии;
фамилии лиц, отбиравших пробу.
3.1.2. Отбор проб для контроля по микробиологическим показателям - по
ГОСТ 26668.
3.2. Метод определения органолептических показателей
3.2.1. Сущность метода
Сущность метода состоит в органолептической оценке внешнего вида, вкуса, запаха и цвета.
3.2.2. Проведение испытаний
Для определения органолептических показателей пектина часть пробы продукта помещают на лист белой бумаги и при рассеянном дневном свете или люминесцентном освещении визуально устанавливают форму частиц, а затем последовательно определяют цвет, запах и вкус на соответствие их требованиям стандарта.
3.3. Посторонние примеси, видимые невооруженным глазом, определяют визуально.
3.4. Метод определения влаги
3.4.1. Сущность метода
Метод основан на определении массовой доли влаги высушиванием образца при температуре 103 °C.
3.4.2. Аппаратура, реактивы, материалы
Шкаф сушильный с максимальной температурой нагрева не менее 150 °C, обеспечивающий заданную температуру с погрешностью не более +/- 2 °C.
Весы лабораторные общего назначения по ГОСТ 24104
<*> с пределом взвешивания 200 г и допускаемой погрешностью не более +/- 2,00 мг.
--------------------------------
Термометры стеклянные по
ГОСТ 28498 с пределом измерения 0 - 150 °C и ценой деления шкал 1 °C.
Стаканчики для взвешивания по
ГОСТ 25336 типа СН 45/13 или СН 60/14.
3.4.3. Подготовка к испытанию
Бюксу с крышкой высушивают в открытом виде при температуре 103 °C в сушильном шкафу до постоянной массы, охлаждают в эксикаторе в течение 20 - 30 мин и взвешивают.
3.4.4. Проведение испытания
Навеску пектина массой около 3,000 г взвешивают в бюксе с закрытой крышкой, затем открытую бюксу с навеской помещают в нагретый сушильный шкаф и сушат при температуре 103 °C в течение 1,5 ч. После сушки бюксу закрывают крышкой, помещают в эксикатор на 30 мин для охлаждения и взвешивают.
3.4.5. Обработка результатов
Массовую долю влаги (W) в процентах вычисляют по формуле

,
где m - масса бюксы с навеской до высушивания, г;
m1 - масса бюксы с навеской после высушивания, г;
m2 - масса пустой бюксы, г.
За результат испытаний принимают среднеарифметическое значение результатов двух параллельных измерений, допускаемое абсолютное расхождение между которыми не должно превышать 0,5% (P = 0,95).
3.5. Определение степени этерификации пектина
3.5.1. Сущность метода
Метод основан на титриметрическом определении свободных и, после омыления, этерифицированных карбоксильных групп полигалактуроновой кислоты в очищенной от растворимых балластных примесей и катионов навеске препарата пектина.
3.5.2. Аппаратура, реактивы, материалы
Весы лабораторные общего назначения по ГОСТ 24104 с пределом взвешивания 200 г и допускаемой погрешностью не более +/- 2,00 мг.
Вакуум-насос механический или водоструйный.
Колбы с тубусом по
ГОСТ 25336, вместимостью 500 или 1000 см
3.
Тигли фильтрующие по
ГОСТ 25336, типов ТФ 40-ПОР40 или ТФ 40-ПОР16.
Колбы стеклянные лабораторные конические по
ГОСТ 25336, вместимостью 300 см
3.
Бюретки по
ГОСТ 29251, вместимостью 50 см
3, 2-го класса точности.
Пипетки мерные по
ГОСТ 29227, вместимостью 50 см
3, 2-го класса точности.
Кислота соляная, х.ч., по
ГОСТ 3118, концентрированная и раствор 0,100 моль/дм
3, приготовленный по
ГОСТ 25794.1.
Спирт этиловый ректификованный технический по
ГОСТ 18300 или спирт этиловый ректификованный по
ГОСТ 5962 с объемной долей 96% и его водные растворы:
с объемной долей 75%;
с объемной долей 70%, подкисленный соляной кислотой (5 см3 концентрированной соляной кислоты добавляют к 100 см3 раствора спирта).
Серебро азотнокислое по
ГОСТ 1277, раствор 0,05 моль/дм
3, приготовленный на растворе азотной кислоты 1 моль/дм
3, х.ч. по
ГОСТ 4461.
Индикатор ализарин, спиртовой раствор с массовой долей 0,1%.
Аммиак водный, ч.д.а., по
ГОСТ 3760, концентрированный.
Смешанный индикатор (Хинтона) - водные растворы с массовой долей 0,4% индикаторов: бромтимолового синего, крезолового красного, фенолового красного смешивают в соотношении 1:1:3.
(Поправка).
3.5.3. Подготовка к испытанию
В сухом фильтрующем тигле взвешивают около 0,500 г пектина и заливают его таким количеством спирта, подкисленного соляной кислотой, чтобы получить редкую кашицу. Тигель присоединяют к колбе с тубусом с помощью мягкой резиновой пластины с отверстием. Колбу соединяют с источником разрежения. Пектин промывают той же спиртовой смесью (по 20 см3), перемешивая палочкой и периодически отсасывая фильтрат, до отрицательной реакции на ион алюминия с раствором ализарина.
Для качественного определения алюминия каплю фильтрата помещают на фильтровальную бумагу и обрабатывают ее парами аммиака над бюксой с концентрированным раствором аммиака. Образовавшееся водянистое пятно смачивают спиртовым раствором ализарина и снова обрабатывают парами аммиака.
В присутствии ионов алюминия появляется красноватое пятно алюминиевого лака. Более отчетливо красный цвет виден при подсушивании бумаги.
Затем пектин промывают 75%-ным спиртом (по 20 см3) до отрицательной реакции на ион хлора (к нескольким каплям фильтрата на часовом стекле прибавляют раствор азотнокислого серебра). Промывку считают законченной по прекращении выделения белой мути хлористого серебра. После этого промывают три раза (по 20 см3) 96%-ным спиртом.
3.5.4. Проведение испытания
Промытую пробу количественно переносят в коническую колбу, смывают остатки ее из тигля дистиллированной водой, нагретой до 40 °C, доводя общий ее объем примерно до 100 см3. Колбу плотно закрывают и тщательно взбалтывают содержимое до полного растворения пектина.
Пробу титруют раствором гидроксида натрия в присутствии шести капель смешанного индикатора до розового окрашивания, не исчезающего в течение 30 с. Учитывают объем израсходованного раствора гидроксида натрия (V1). Затем приливают 50 см3 того же раствора гидроксида натрия, плотно закрывают колбу и оставляют на 1 ч для омыления этерифицированных карбоксильных групп. После этого к раствору прибавляют пипеткой 50 см3 раствора соляной кислоты, а ее избыток вновь оттитровывают раствором гидроксида натрия (V2).
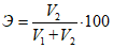
3.5.5. Обработка результатов
Степень этерификации (Э) в процентах вычисляют по формуле

,
где V1 - объем раствора гидроксида натрия 0,1 моль/дм3, используемого на первое титрование, см3;
V2 - объем раствора гидроксида натрия 0,1 моль/дм3, используемого на второе титрование, см3.
За результат испытаний принимают среднеарифметическое значение результатов двух параллельных определений, допускаемое абсолютное расхождение между которыми не должно превышать 1% (P = 0,95).
3.6. Определение студнеобразующей способности пектина
3.6.1. Сущность метода
Метод основан на определении максимальной прочности студня на разрыв в серии проб, приготовленных с различным содержанием кислоты.
3.6.2. Аппаратура, материалы, реактивы
Прибор Тарр-Бейкера (
черт. 1,
2) состоящий из стеклянного поршня массой (11,0 +/- 0,5) г, притертого к стеклянному цилиндру (используют шприц инъекционный медицинский многоразового применения со стеклянными взаимозаменяемыми поршнями, вместимостью 5 см
3), манометра со шкалой длиной не менее 75 см, градуированной через 1 см, заполненного четыреххлористым углеродом (подкрашивают несколькими кристаллами йода).
1 - стеклянный поршень с цилиндром; 2 - склянка
с тубусом 1 - 5 по
ГОСТ 25336;
3 - склянка с тубусом 1 - 2
по
ГОСТ 25336;
4 - манометр: внутренний диаметр трубки
(8 +/- 1) мм, диаметр шарообразной части (70 +/- 2) мм;
Черт. 1
Поршень с цилиндром (стеклянный)
1 - поршень; 2 - цилиндр
Черт. 2
Весы лабораторные общего назначения по ГОСТ 24104 с пределом взвешивания 200 г и допускаемой погрешностью +/- 2,00 мг, с пределом взвешивания 1000 г и допускаемой погрешностью +/- 10,00 мг.
pH-метр со стеклянным и хлорсеребряным или стеклянным и каломельным электродами с допускаемой погрешностью измерений +/- 0,05 pH.
Мельница лабораторная электрическая.
Кастрюля медная луженая или алюминиевая, или из нержавеющей стали с дном диаметром 140 мм, верхом диаметром 160 мм и высотой не более 85 мм.
Стаканы стеклянные для проб студня
(черт. 3).
Черт. 3
Плитки электрические или газовые горелки.
Секундомер механический.
Колбы мерные по
ГОСТ 1770, вместимостью 500 см
3.
Пипетки по
ГОСТ 29227, без делений, вместимостью 50 см
3, 2-го класса точности.
Пипетки по
ГОСТ 29227, с делениями, вместимостью 5 см
3, 2-го класса точности.
Спирт этиловый ректификованный технический по
ГОСТ 18300 или спирт этиловый ректификованный по
ГОСТ 5962.
Кислота винная по
ГОСТ 5817, ч.д.а., раствор 50 г/дм
3.
Сахар-песок рафинированный по
ГОСТ 22.
Глицерин дистиллированный по
ГОСТ 6824, раствор 2:1.
(Поправка).
3.6.3. Подготовка к испытанию
3.6.3.1. Приготовление стандартного студня по Тарр-Бейкеру
Стандартным студнем по Тарр-Бейкеру считают студень, содержащий 65% сахара, оптимальное количество винной кислоты и такое количество пектина, чтобы прочность его на разрыв по прибору Тарр-Бейкера соответствовала 50 см столба четыреххлористого углерода. Число градусов Тарр-Бейкера показывает, какое количество сахара в граммах связывает 1 г данного пектина с образованием стандартного студня.
Для нахождения максимальной студнеобразующей способности готовят пять-шесть проб, сваренных с различным количеством раствора винной кислоты с интервалом pH 3,4 - 2,9 для пектина типа А и 3,0 - 2,6 для пектина типов Б и В.
Ориентировочное количество кислоты от 0,2 до 1,0 см3 для пектина типа А и от 0,6 до 2,0 см3 для пектина типов Б и В с интервалом 0,2 см3.
Навеску пектина массой 3,600 г переносят в сухую или ополоснутую спиртом мерную колбу на 500 см3, увлажняют 3 - 4 см3 спирта и растворяют в теплой (30 - 40 °C) воде при интенсивном перемешивании. Затем колбу с содержимым охлаждают до 20 °C, доливают водой до метки и встряхивают. Отбирают пипеткой 50 см3 пектинового раствора и переносят в предварительно взвешенную вместе со стеклянной палочкой-мешалкой кастрюлю для варки студня.
Пипетку ополаскивают 25 см3 воды, собирая ее в кастрюлю, вносят 108,0 г сахара, который взвешивают заранее. Смесь нагревают до кипения, вносят требуемое количество раствора винной кислоты и продолжают варить при постоянном перемешивании до получения массы нетто 167,0 - 167,5 г. Продолжительность варки не должна превышать 5 мин с момента закипания смеси, что достигается регулированием нагрева.
Массу пробы периодически проверяют взвешиванием. При достижении требуемой массы смесь выливают в стандартный стеклянный стакан, придерживая образовавшуюся на поверхности пленку мешалкой. Стакан заполняют на высоту 65 мм, отмеченную чертой. Через 1 мин ложкой осторожно снимают с поверхности студня образовавшуюся тонкую пленку, а еще через 10 мин поверхность студня покрывают тонким слоем жидкого вазелинового масла, нанося его пипеткой (8 - 10 капель).
Пробу охлаждают, помещая стакан в ванну с водой температурой 20 - 25 °C, и оставляют при этой температуре не менее чем на 20 ч.
В зоне предполагаемого максимума готовят по две пробы студня с одинаковым количеством кислоты.
3.6.3.2. Подготовка прибора Тарр-Бейкера к испытанию
Для проведения испытания регулируют скорость истечения воды из напорного резервуара краном 8 так, чтобы при полностью открытом кране 7 подъем столба четыреххлористого углерода составлял (40 +/- 1) см в минуту. Найденное положение крана 8 в дальнейшем не изменяют. Поршень обильно смазывают раствором глицерина.
3.6.4. Проведение испытания
Стакан со студнем устанавливают так, чтобы его ось совпала с осью поршня, который осторожно опускают на поверхность студня. Закрывают кран 5, открывают последовательно краны 6 и 7. В момент, когда поршень прорвет поверхность студня, кран 6 закрывают и отсчитывают высоту столба четыреххлористого углерода в сантиметрах, по разности уровней в обоих коленах манометра. Кран 7 закрывают, а кран 5 открывают и восстанавливают положение поршня для следующего определения. Краном 9 пользуются для слива воды.
После каждого измерения сливают воду из склянки 3 до уровня, при котором устанавливали скорость подъема столба четыреххлористого углерода. Разность уровней воды в склянках 2 и 3 должна быть не менее 1200 мм.
3.6.5. Обработка результатов
Из серии определений учитывают максимальный результат и находят студнеобразующую способность в градусах Тарр-Бейкера
(табл. 5). При этом используют высоту столба четыреххлористого углерода от 20 до 59 см, лежащую в пределах наибольшей точности. Если высота столба четыреххлористого углерода, определенная в опыте, выходит за указанные пределы, необходимо приготовить новую серию проб студня с увеличенным или уменьшенным количеством пектина. Если пробы приготовлены с количеством пектина, отличным от 0,36 г, истинную студнеобразующую способность
X вычисляют в °ТБ по формуле

,
где
X1 - студнеобразующая способность пектина, найденная по
табл. 5;
m3 - масса пектина в стандартной пробе, г.
Таблица 5
Градусы студнеобразующей способности пектина
Высота столба, см | °ТБ |
- | - |
0 | - |
1 | - |
2 | - |
3 | 83 |
4 | 96 |
5 | 107 |
6 | 117 |
7 | 125 |
8 | 133 |
9 | 142 |
10 | 149 |
11 | 156 |
12 | 162 |
13 | 168 |
14 | 175 |
15 | 180 |
16 | 186 |
17 | 192 |
18 | 197 |
19 | 202 |
20 | 207 |
21 | 212 |
22 | 217 |
23 | 221 |
24 | 225 |
25 | 229 |
26 | 233 |
27 | 237 |
28 | 241 |
29 | 246 |
30 | 250 |
31 | 254 |
32 | 258 |
33 | 262 |
34 | 265 |
35 | 268 |
36 | 272 |
37 | 276 |
38 | 280 |
39 | 284 |
40 | 287 |
41 | 290 |
42 | 293 |
43 | 296 |
44 | 299 |
45 | 302 |
46 | 305 |
47 | 308 |
48 | 311 |
49 | 314 |
50 | 318 |
51 | 321 |
52 | 324 |
53 | 327 |
54 | 329 |
55 | 332 |
56 | 335 |
57 | 338 |
58 | 341 |
59 | 344 |
60 | 347 |
61 | 350 |
62 | 352 |
63 | 354 |
64 | 357 |
65 | 360 |
66 | 363 |
67 | 365 |
68 | 368 |
69 | 370 |
70 | 372 |
71 | 375 |
72 | 378 |
73 | 381 |
74 | 383 |
75 | 386 |
За результат испытаний принимают среднеарифметическое значение двух значений студнеобразующей способности для студней с одинаковым количеством кислоты, допускаемое расхождение между которыми не должно превышать 9 °ТБ (P = 0,95).
3.7. Определение нитратов в пектине
3.7.1. Сущность метода
Метод основан на восстановлении нитратов в нитриты и измерении интенсивности окраски азокрасителя, образующегося при взаимодействии нитрита с сульфаниловой кислотой и

в уксуснокислой среде по реакции Грисса.
3.7.2. Аппаратура, реактивы, материалы
Колориметр фотоэлектрический лабораторный со светофильтром с

или спектрофотометр для измерений в видимой области спектра.
Весы лабораторные общего назначения по ГОСТ 24104 с пределом взвешивания 200 г и допускаемой погрешностью не более +/- 75 мг.
Колбы конические по
ГОСТ 25336, вместимостью 300 см
3.
Колбы мерные по
ГОСТ 1770, вместимостью 1000, 500, 100 и 50 см
3.
Пипетки по
ГОСТ 29227, без делений, вместимостью 100, 25, 20, 10, 5 и 1 см
3, 2-го класса точности.
Пипетки по
ГОСТ 29227, с делениями, вместимостью 25, 10, 5 и 2 см
3, 2-го класса точности.
Фильтры обеззоленные.
Кадмий уксуснокислый 2-водный по ТУ 6.09-5446, раствор 4,5 г/дм3.
Натрия гидроокись, ч.д.а., по
ГОСТ 4328, раствор 0,1 моль/дм
3.
Цинк сернокислый, ч.д.а., по
ГОСТ 4174, раствор 4,5 г/дм
3.
Аммиак водный, ч.д.а., по
ГОСТ 3760, концентрированный.
Кислота уксусная, ч.д.а., по
ГОСТ 61, раствор с массовой долей 20%.
Спирт этиловый ректификованный технический по
ГОСТ 18300 или спирт этиловый ректификованный по
ГОСТ 5962, раствор с объемной долей 45%.
Реактив Грисса по ТУ 6-09-3569.
3.7.3. Подготовка к испытанию
3.7.3.1. Построение калибровочной кривой
0,1370 г азотнокислого натрия (предварительно перекристаллизованного и высушенного до постоянной массы при 105 °C) переносят водой в мерную колбу вместимостью 1000 см3, объем доводят до метки и тщательно перемешивают (раствор 1). 25 см3 раствора 1 переносят пипеткой в мерную колбу вместимостью 250 см3, доводят до метки дистиллированной водой и перемешивают (раствор 2). 1 см3 раствора 2 содержит 0,01 мг (10 мкг) нитрат-иона. В девять мерных колб вместимостью 50 см3 отбирают последовательно 1,5; 3; 4,5; 6; 7,5; 9; 10,5; 12,0; 13,5 см3 раствора 2.
В каждую колбу добавляют 1 см3 концентрированного раствора аммиака, (500 +/- 25) мг цинковой пыли, перемешивают и добавляют 1 см3 раствора уксуснокислого кадмия. В десятую колбу добавляют в той же последовательности все реактивы, за исключением раствора азотнокислого натрия. Приготовленный в ней раствор служит контролем на реактивы.
Содержимое всех колб через 5 мин доводят до метки дистиллированной водой, перемешивают и фильтруют. 10 см3 фильтрата переносят в коническую колбу вместимостью 100 см3, добавляют 0,20 г реактива Грисса и 20 см3 раствора уксусной кислоты.
Через 30 мин измеряют интенсивность окраски на фотоколориметре с зеленым светофильтром в кювете с расстоянием между рабочими гранями 2 см. В качестве раствора сравнения используют контрольный раствор на реактивы. Затем вычерчивают график, откладывая по оси ординат оптическую плотность, а по оси абсцисс концентрацию (X2) нитрат-иона, выраженную в мкг/см3 колориметрируемого раствора, рассчитанную по формуле

,
где V3 - объем стандартного раствора 2, см3.
3.7.3.2. Подготовка пробы
5,00 г пектина помещают в колбу на 300 см3 и заливают 100 см3 раствора спирта, отмеряя его пипеткой. Встряхивают в течение 30 мин, затем фильтруют через бумажный обеззоленный фильтр. 20 см3 фильтрата, отобранные пипеткой, помещают в мерную колбу вместимостью 100 см3, добавляют 10 см3 раствора гидроксида натрия и 40 см3 раствора сернокислого цинка. Колбу выдерживают в кипящей водяной бане в течение 7 мин, затем быстро охлаждают, доводят водой до метки и фильтруют. 5 см3 прозрачного фильтрата с помощью пипетки помещают в мерную колбу вместимостью 50 см3, добавляют 1 см3 концентрированного раствора аммиака, (500 +/- 25) мг цинковой пыли, перемешивают, добавляют 1 см3 раствора уксуснокислого кадмия.
Через 5 мин доводят до метки, перемешивают и фильтруют.
3.7.4. Проведение испытания
К 10 см
3 фильтрата, отобранным пипеткой, добавляют 0,20 г реактива Грисса, 20 см
3 раствора уксусной кислоты и через 30 мин колориметрируют, как указано в
п. 3.6.3.1.
3.7.5. Обработка результатов
Массовую долю нитратов в расчете на ион

в процентах вычисляют по формуле

,
где C - концентрация нитрат-иона в 1 см3 испытуемого раствора, найденная по калибровочной кривой, мкг/см3;
30 - объем колориметрируемой пробы, см3;
m3 - масса навески пектина, г;
0,05 - коэффициент, учитывающий разбавление, пересчет в граммы и проценты.
За результат принимают среднеарифметическое значение результатов двух параллельных определений, допускаемое абсолютное расхождение между которыми не должно превышать 0,035% (P = 0,95).
3.8. Определение массовой доли волокнистой фракции
Сито почвенное с тканой проволочной сеткой 0,5 по
ГОСТ 6613.
Весы лабораторные общего назначения по ГОСТ 24104 с пределом взвешивания 500 г и пределом допускаемой погрешности не более +/- 5 мг.
3.8.2. Проведение испытания
100 г исследуемого пектина помещают на сито, закрывают крышками и встряхивают в течение 5 мин.
Остаток на сите взвешивают. Полученное значение соответствует содержанию волокнистой фракции в процентах.
За результат испытаний принимают среднеарифметическое значение результатов двух параллельных определений, допускаемое абсолютное расхождение между которыми не должно превышать 1,5% (P = 0,95).
3.9. Методы определения токсичных элементов
3.10. Методы определения микробиологических показателей
3.10.1. Подготовка проб - по
ГОСТ 26669, культивирование посевов - по
ГОСТ 26670, методы испытаний по
п. 1.7 настоящего стандарта.
3.10.2. Наличие патогенной и условно-патогенной микрофлоры определяют при текущем санитарном надзоре и по эпидемиологическим показаниям по методам, утвержденным Минздравом СССР.
4. ТРАНСПОРТИРОВАНИЕ И ХРАНЕНИЕ
4.1. Транспортирование и хранение - по
ГОСТ 12003.
4.2. Срок хранения пектина - не более 12 мес со дня изготовления.
5.1. Изготовитель гарантирует соответствие продукта требованиям настоящего стандарта при условии соблюдения правил транспортирования и хранения, установленных стандартом.
5.2. Гарантийный срок хранения - 12 мес со дня изготовления.
Справочное
ТЕРМИНЫ, ПРИМЕНЯЕМЫЕ В НАСТОЯЩЕМ СТАНДАРТЕ, И ИХ ПОЯСНЕНИЯ
Термин | Пояснение |
Студнеобразующая способность | Мера, характеризующая качество пектина, связывая его концентрацию в студне с сопротивлением деформации (разрушению) |
Степень этерификации | Отношение количества этерифицированных карбоксильных групп полигалактуроновой кислоты к общему их количеству в препарате пектина |
Садка | Процесс образования студня по мере остывания сахаро-пектинового раствора |
Пектин быстрой садки, средней садки, медленной садки | Типы пектина, определяемые степенью его этерификации и отличающиеся скоростью образования студня. Выбор типа пектина зависит от вида изготовляемого продукта, особенностей производственного процесса и применяемого оборудования |
Обязательное
Наименование продукта | Код ОКП |
Пектин яблочный быстрой садки типа А 1-го сорта | 91 6911 5005 |
Пектин цитрусовый быстрой садки типа А 1-го сорта | 91 6911 5027 |
Пектин яблочный средней садки типа Б 1-го сорта | 91 6911 5011 |
Пектин цитрусовый средней садки типа Б 1-го сорта | 91 6911 5037 |
Пектин яблочный медленной садки типа В 1-го сорта | 91 6911 5017 |
Пектин цитрусовый медленной садки типа В 1-го сорта | 91 6911 5047 |
Пектин яблочный быстрой садки типа А 2-го сорта | 91 6911 6023 |
Пектин цитрусовый быстрой садки типа А 2-го сорта | 91 6911 6045 |
Пектин яблочный средней садки типа Б 2-го сорта | 91 6911 6029 |
Пектин цитрусовый средней садки типа Б 2-го сорта | 91 6911 6055 |
Пектин яблочный медленной садки типа В 2-го сорта | 91 6911 6035 |
Пектин цитрусовый медленной садки типа В 2-го сорта | 91 6911 6065 |