Главная // Актуальные документы // ГОСТ (Государственный стандарт)СПРАВКА
Источник публикации
М.: Стандартинформ, 2014
Примечание к документу
Текст данного документа приведен с учетом
поправки, опубликованной в "ИУС", N 10, 2019.
Документ
введен в действие с 1 июля 2014 года.
Название документа
"ГОСТ 32124-2013. Межгосударственный стандарт. Изделия хлебобулочные бараночные. Общие технические условия"
(введен в действие Приказом Росстандарта от 27.06.2013 N 246-ст)
"ГОСТ 32124-2013. Межгосударственный стандарт. Изделия хлебобулочные бараночные. Общие технические условия"
(введен в действие Приказом Росстандарта от 27.06.2013 N 246-ст)
агентства по техническому
регулированию и метрологии
от 27 июня 2013 г. N 246-ст
МЕЖГОСУДАРСТВЕННЫЙ СТАНДАРТ
ИЗДЕЛИЯ ХЛЕБОБУЛОЧНЫЕ БАРАНОЧНЫЕ
ОБЩИЕ ТЕХНИЧЕСКИЕ УСЛОВИЯ
Ring-shaped rolls. General specifications
ГОСТ 32124-2013
Дата введения
1 июля 2014 года
Цели, основные принципы и основной порядок проведения работ по межгосударственной стандартизации установлены
ГОСТ 1.0-92 "Межгосударственная система стандартизации. Основные положения" и
ГОСТ 1.2-2009 "Межгосударственная система стандартизации. Стандарты межгосударственные, правила и рекомендации по межгосударственной стандартизации. Правила разработки, принятия, применения, обновления и отмены".
1. Подготовлен Государственным научным учреждением "Государственный научно-исследовательский институт хлебопекарной промышленности" Российской академии сельскохозяйственных наук (ГНУ "ГОСНИИХП" Россельхозакадемии).
2. Внесен Федеральным агентством по техническому регулированию и метрологии (Росстандарт).
3. Принят Межгосударственным советом по стандартизации, метрологии и сертификации (Протокол от 7 июня 2013 г. N 43).
За принятие проголосовали:
Краткое наименование страны по МК (ИСО 3166) 004-97 | Код страны по МК (ИСО 3166) 004-97 | Сокращенное наименование национального органа по стандартизации |
Армения | AM | Минэкономики Республики Армения |
Казахстан | KZ | Госстандарт Республики Казахстан |
Киргизия | KG | Кыргызстандарт |
Россия | RU | Росстандарт |
Таджикистан | TJ | Таджикстандарт |
Узбекистан | UZ | Узстандарт |
4.
Приказом Федерального агентства по техническому регулированию и метрологии от 27 июня 2013 г. N 246-ст межгосударственный стандарт ГОСТ 32124-2013 введен в действие в качестве национального стандарта Российской Федерации с 1 июля 2014 г.
6. Введен впервые.
Информация об изменениях к настоящему стандарту публикуется в ежегодном информационном указателе "Национальные стандарты", а текст изменений и поправок - в ежемесячном информационном указателе "Национальные стандарты". В случае пересмотра (замены) или отмены настоящего стандарта соответствующее уведомление будет опубликовано в ежемесячном информационном указателе "Национальные стандарты". Соответствующая информация, уведомление и тексты размещаются также в информационной системе общего пользования - на официальном сайте Федерального агентства по техническому регулированию и метрологии в сети Интернет.
Настоящий стандарт распространяется на бараночные хлебобулочные изделия, предназначенные для непосредственного употребления в пищу.
Бараночные хлебобулочные изделия конкретных наименований должны соответствовать требованиям настоящего стандарта и вырабатываться:
- по вновь разрабатываемым документам.
Требования к продукции, направленные на обеспечение безопасности для жизни и здоровья населения, изложены в
разделе 6, требования к маркировке - в
5.4.
Стандарт не распространяется на вновь разрабатываемые диетические бараночные хлебобулочные изделия и бараночные хлебобулочные изделия для детского питания.
В настоящем стандарте использованы нормативные ссылки на следующие стандарты:
ГОСТ 8.579-2002. Государственная система обеспечения единства измерений. Требования к количеству фасованных товаров в упаковках любого вида при их производстве, расфасовке, продаже и импорте
ГОСТ 171-81. Дрожжи хлебопекарные прессованные. Технические условия
| | ИС МЕГАНОРМ: примечание. ГОСТ 240-85 утратил силу на территории Российской Федерации с 1 января 2005 года в связи с введением в действие ГОСТ Р 52178-2003 (Постановление Госстандарта России от 29.12.2003 N 408-ст). | |
ГОСТ 240-85. Маргарин. Общие технические условия
| | ИС МЕГАНОРМ: примечание. ГОСТ 1349-85 утратил силу на территории Российской Федерации с 1 января 2013 года в связи с введением в действие ГОСТ Р 54661-2011 (Приказ Росстандарта от 13.12.2011 N 818-ст). | |
ГОСТ 1349-85. Консервы молочные. Сливки сухие. Технические условия
ГОСТ 1923-78. Консервы молочные. Молоко сгущенное стерилизованное в банках. Технические условия
ГОСТ 2903-78. Молоко цельное сгущенное с сахаром. Технические условия
ГОСТ 3145-84. Часы механические с сигнальным устройством. Общие технические условия
ГОСТ 3898-56. Мука соевая дезодорированная. Технические условия
ГОСТ 4771-60. Консервы молочные. Молоко нежирное сгущенное с сахаром. Технические условия
| | ИС МЕГАНОРМ: примечание. ГОСТ 4937-85 утратил силу на территории Российской Федерации с 1 января 2011 года в связи с введением в действие ГОСТ Р 53436-2009 (Приказ Ростехрегулирования от 03.12.2009 N 546-ст). | |
ГОСТ 4937-85. Консервы молочные. Сливки сгущенные с сахаром. Технические условия
| | ИС МЕГАНОРМ: примечание. ГОСТ 5194-91 утратил силу на территории Российской Федерации с 1 января 2004 года в связи с введением в действие ГОСТ Р 52060-2003 (Постановление Госстандарта России от 28.05.2003 N 163-ст). | |
ГОСТ 5194-91. Патока крахмальная. Технические условия
ГОСТ 5667-65. Хлеб и хлебобулочные изделия. Правила приемки, методы отбора образцов, методы определения органолептических показателей и массы изделий
ГОСТ 5668-68. Хлеб и хлебобулочные изделия. Методы определения массовой доли жира
ГОСТ 5670-96. Хлебобулочные изделия. Методы определения кислотности
ГОСТ 5672-68. Хлеб и хлебобулочные изделия. Методы определения массовой доли сахара
| | ИС МЕГАНОРМ: примечание. ГОСТ 6929-88 утратил силу на территории Российской Федерации с 1 июля 2003 года в связи с введением в действие ГОСТ Р 51934-2002 (Постановление Госстандарта России от 06.09.2002 N 326-ст). | |
ГОСТ 6929-88. Повидло. Общие технические условия
ГОСТ 7128-91. Изделия хлебобулочные бараночные. Технические условия
ГОСТ 7247-2006. Бумага и комбинированные материалы на основе бумаги для упаковывания на автоматах пищевых продуктов, промышленной продукции и непродовольственных товаров. Общие технические условия
ГОСТ 10131-93. Ящики из древесины и древесных материалов для продукции пищевых отраслей промышленности, сельского хозяйства и спичек. Технические условия
ГОСТ 11354-93. Ящики из древесины и древесных материалов многооборотные для продукции пищевых отраслей промышленности и сельского хозяйства. Технические условия
| | ИС МЕГАНОРМ: примечание. ГОСТ 12094-76 утратил силу на территории Российской Федерации с 1 января 2007 года в связи с введением в действие ГОСТ Р 52533-2006 (Приказ Ростехрегулирования от 28.03.2006 N 44-ст). | |
ГОСТ 12094-76. Мак масличный для переработки. Технические условия
ГОСТ 12302-83. Пакеты из полимерных и комбинированных материалов. Общие технические условия
ГОСТ 12303-80. Пачки из картона, бумаги и комбинированных материалов. Общие технические условия
ГОСТ 13511-2006. Ящики из гофрированного картона для пищевых продуктов, спичек, табачных изделий и моющих средств. Технические условия
| | ИС МЕГАНОРМ: примечание. ГОСТ 13512-91 утратил силу на территории Российской Федерации с 1 марта 2012 года в связи с введением в действие ГОСТ Р 54463-2011 (Приказ Росстандарта от 30.09.2011 N 433-ст). | |
ГОСТ 13512-91. Ящики из гофрированного картона для кондитерских изделий. Технические условия
| | ИС МЕГАНОРМ: примечание. ГОСТ 13830-97 утратил силу на территории Российской Федерации с 1 июля 2001 года в связи с введением в действие ГОСТ Р 51574-2000 (Постановление Госстандарта России от 23.03.2000 N 61-ст). | |
ГОСТ 13830-97. Соль поваренная пищевая. Общие технические условия
ГОСТ 14919-83. Электроплиты, электроплитки и жарочные электрошкафы бытовые. Общие технические условия
ГОСТ 15846-2002. Продукция, отправляемая в районы Крайнего Севера и приравненные к ним местности. Упаковка, маркировка, транспортирование и хранение
ГОСТ 16814-88. Хлебопекарное производство. Термины и определения
ГОСТ 21094-75. Хлеб и хлебобулочные изделия. Метод определения влажности
ГОСТ 26927-86. Сырье и продукты пищевые. Методы определения ртути
ГОСТ 26929-94. Сырье и продукты пищевые. Подготовка проб. Минерализация для определения содержания токсичных элементов
ГОСТ 26930-86. Сырье и продукты пищевые. Метод определения мышьяка
ГОСТ 26932-86. Сырье и продукты пищевые. Методы определения свинца
ГОСТ 26933-86. Сырье и продукты пищевые. Методы определения кадмия
ГОСТ 28414-89. Жиры для кулинарии, кондитерской и хлебопекарной промышленности. Общие технические условия
ГОСТ 28498-90. Термометры жидкостные стеклянные. Общие технические требования. Методы испытаний
ГОСТ 29138-91. Мука, хлеб и хлебобулочные изделия пшеничные витаминизированные. Метод определения витамина

(тиамина)
ГОСТ 29139-91. Мука, хлеб и хлебобулочные изделия пшеничные витаминизированные. Метод определения витамина

(рибофлавина)
ГОСТ 29140-91. Мука, хлеб и хлебобулочные изделия пшеничные витаминизированные. Метод определения витамина PP (никотиновой кислоты)
| | ИС МЕГАНОРМ: примечание. ГОСТ 29272-92 утратил силу на территории Российской Федерации с 1 июля 2004 года в связи с введением в действие ГОСТ Р 52061-2003 (Постановление Госстандарта России от 28.05.2003 N 165-ст). | |
ГОСТ 29272-92. Солод ржаной сухой. Технические условия
ГОСТ 30178-96. Сырье и продукты пищевые. Атомно-абсорбционный метод определения токсичных элементов
ГОСТ 30538-97. Продукты пищевые. Методика определения токсичных элементов атомно-эмиссионным методом
ГОСТ 30711-2001. Продукты пищевые. Методы выявления и определения содержания афлатоксинов

и

ГОСТ 31262-2004. Продукты пищевые и продовольственное сырье. Инверсионно-вольтамперометрические методы определения содержания токсичных элементов (кадмия, свинца, меди и цинка)
ГОСТ 31266-2004. Сырье и продукты пищевые. Атомно-абсорбционный метод определения мышьяка
ГОСТ 31628-2012. Продукты пищевые и продовольственное сырье. Инверсионно-вольтамперометрический метод определения массовой концентрации мышьяка
ГОСТ 31647-2012. Масло пальмовое рафинированное дезодорированное для пищевой промышленности
ГОСТ 31688-2012. Консервы молочные. Молоко и сливки сгущенные с сахаром. Технические условия
Примечание. При пользовании настоящим стандартом целесообразно проверить действие ссылочных стандартов в информационной системе общего пользования - на официальном сайте Федерального агентства по техническому регулированию и метрологии в сети Интернет или по ежегодно издаваемому информационному указателю "Национальные стандарты", который опубликован по состоянию на 1 января текущего года, и по соответствующим ежемесячно издаваемым информационным указателям, опубликованным в текущем году. Если ссылочный стандарт заменен (изменен), то при пользовании настоящим стандартом следует руководствоваться заменяющим (измененным) стандартом. Если ссылочный стандарт отменен без замены, то положение, в котором дана ссылка на него, применяется в части, не затрагивающей эту ссылку.
В настоящем стандарте применены термины по ГОСТ 16814, а также следующие термины с соответствующими определениями:
3.1. Бублик: бараночное хлебобулочное изделие с влажностью не более 27,0%.
3.2. Зерновые продукты: основное сырье для хлебобулочного изделия.
Примечание. К зерновым продуктам относят целые зерна пшеницы и продукты его переработки (кроме муки).
3.3. Ломкость баранки: характеристика баранки, отражающая способность изделия разрушаться при малой деформации без хруста.
4.1. Бараночные хлебобулочные изделия подразделяют:
- на баранки;
- сушки;
- бублики.
4.2. Бараночные хлебобулочные изделия вырабатывают из пшеничной хлебопекарной муки (одного сорта или смеси различных сортов)
<*>.
Примечание. Допускается включать в рецептуру бараночных хлебобулочных изделий зерновые продукты. Масса зерновых продуктов в смеси с мукой не должна превышать 10% массы этой смеси.
--------------------------------
<*> На территории Российской Федерации допускается вырабатывать бараночные хлебобулочные изделия из смеси пшеничной хлебопекарной муки (одного сорта или смеси различных сортов) и пшеничной муки общего назначения (одного типа или смеси различных типов). Масса пшеничной муки общего назначения в смеси не должна превышать 50% массы этой смеси.
5. Технические требования
5.1. Бараночные хлебобулочные изделия вырабатывают в соответствии с требованиями настоящего стандарта и документов, по которым изготовлено бараночное хлебобулочное изделие конкретного наименования.
5.2. Основные показатели и характеристики
5.2.1. По органолептическим показателям бараночные хлебобулочные изделия должны соответствовать требованиям, указанным в таблице 1.
Таблица 1
Наименование показателя | Характеристика |
Внешний вид: форма | В виде овального или округлого кольца. В изделиях ручной разделки допускается заметное место соединения концов жгута и изменение толщины изделий в местах соединения концов жгута. Допускается не более двух небольших притисков, наличие плоской поверхности на стороне, лежавшей на листе, сетке или поду |
поверхность | Глянцевитая, без вздутий и загрязнений. Без отделки или с отделкой отделочным полуфабрикатом или дополнительным сырьем в соответствии с рецептурой. На одной стороне допускаются отпечатки сетки, наличие небольших трещин длиной не более 1/3 поверхности кольца. Для упакованных бубликов допускается незначительная морщинистость |
цвет | От светло-желтого до темно-коричневого, без подгорелости. Допускается более темный цвет на стороне, лежавшей на листе, сетке или поду |
Внутреннее состояние | Разрыхленные, пропеченные, без признаков непромеса. Для бараночных хлебобулочных изделий, в рецептуру теста которых входят зерновые продукты, мак, орехи и т.п., - с включениями зерновых продуктов, мака, орехов и т.п. |
Вкус, запах | Свойственный данному виду бараночного хлебобулочного изделия, без постороннего привкуса и запаха |
Хрупкость | Баранки должны быть хрупкими или ломкими, сушки - хрупкими |
Примечание. Уточненную характеристику органолептических показателей, включая количество лома и количество изделий в 1 кг, для бараночного хлебобулочного изделия конкретного наименования приводят в документе, в соответствии с которым оно изготовлено. |
5.2.2. По физико-химическим показателям бараночные хлебобулочные изделия должны соответствовать требованиям, указанным в таблице 2.
Таблица 2
Наименование показателя | Норма для |
сушек | баранок | бубликов |
Влажность, %, не более | 13,0 | 19,0 | 27,0 |
Кислотность <1>, град, не более | 3,0 | 3,0 | 3,5 |
Массовая доля сахара в пересчете на сухое вещество, % | В соответствии с рецептурами с учетом допускаемых отклонений <2> |
Массовая доля жира в пересчете на сухое вещество, % | В соответствии с рецептурами с учетом допускаемых отклонений <2> |
Массовая доля витаминов, мг/100 г, не менее | Нормируется в изделиях, в рецептуру которых включен витаминный или витаминно-минеральный комплекс |
Массовая доля минеральных веществ, мг/100 г, не менее | Нормируется в изделиях, в рецептуру которых включен минеральный или витаминно-минеральный комплекс |
<1> Допускается увеличение кислотности на 0,5 град для бараночных хлебобулочных изделий, в рецептуру которых включены зерновые продукты. |
<2> Допускаемые отклонения по массовой доле сахара - +/- 1,0%, по массовой доле жира - +/- 0,5%. |
Примечания 1. Уточненный перечень и нормы физико-химических показателей приводят в документе на изделие конкретного наименования. 2. Массовая доля сахара и жира нормируется при содержании каждого из них по рецептуре более 2 кг на 100 кг муки или на 100 кг смеси муки и зерновых продуктов. Допускается превышение верхнего предела по массовой доле сахара и жира. |
5.2.3. Конкретные нормы физико-химических показателей, пищевая ценность для каждого наименования бараночного хлебобулочного изделия должны быть установлены в документе, в соответствии с которым оно изготовлено.
5.2.4. Коэффициент набухаемости для баранок и сушек конкретных наименований приводят в документе, в соответствии с которым они изготовлены. Рекомендуемые коэффициенты набухаемости баранок и сушек приведены в
Приложении А.
5.3. Требования к сырью
5.3.1. При производстве бараночных хлебобулочных изделий используемое сырье должно соответствовать требованиям
[1] или нормативным правовым актам, действующим на территории государства, принявшего стандарт.
5.3.2. Сырье, используемое для производства бараночных хлебобулочных изделий, должно соответствовать требованиям документов, в соответствии с которыми оно изготовлено, и обеспечивать качество и безопасность бараночных хлебобулочных изделий.
5.3.3. Конкретный перечень и соотношение компонентов сырья для бараночного хлебобулочного изделия конкретного наименования устанавливается рецептурой.
5.3.4. Для производства бараночных хлебобулочных изделий применяют следующие виды основного сырья:
- пшеничную муку по нормативному документу, действующему на территории государства, принявшего стандарт;
- соевую дезодорированную полуобезжиренную муку по
ГОСТ 3898;
- гречневую муку по нормативному документу, действующему на территории государства, принявшего стандарт;
- овсяную муку по нормативному документу, действующему на территории государства, принявшего стандарт;
- пшенную муку по нормативному документу, действующему на территории государства, принявшего стандарт;
- рисовую муку по нормативному документу, действующему на территории государства, принявшего стандарт;
- ячменную муку по нормативному документу, действующему на территории государства, принявшего стандарт;
- пшеничные пищевые отруби по нормативному документу, действующему на территории государства, принявшего стандарт;
- пшеничные диетические отруби по нормативному документу, действующему на территории государства, принявшего стандарт;
- зерновые продукты по нормативному документу, действующему на территории государства, принявшего стандарт;
- хлебопекарные прессованные дрожжи по
ГОСТ 171;
- двууглекислый натрий, разрешенный для применения в пищевой промышленности в установленном порядке;
- углекислый кислый аммоний, разрешенный для применения в пищевой промышленности;
| | ИС МЕГАНОРМ: примечание. ГОСТ 13830-97 утратил силу на территории Российской Федерации с 1 июля 2001 года в связи с введением в действие ГОСТ Р 51574-2000 (Постановление Госстандарта России от 23.03.2000 N 61-ст). | |
- поваренную пищевую соль по ГОСТ 13830;
- питьевую воду в соответствии с гигиеническими требованиями к качеству воды централизованных систем питьевого водоснабжения, действующими на территории государства, принявшего стандарт.
Допускается использование основного сырья отечественного или импортного производства аналогичного назначения, не уступающего по качественным характеристикам перечисленному основному сырью и соответствующего по показателям безопасности нормам, установленным
[1] или нормативными правовыми актами, действующими на территории государства, принявшего стандарт.
5.3.5. Для производства бараночных хлебобулочных изделий применяют следующие виды дополнительного сырья:
- сухую пшеничную клейковину по нормативному документу, действующему на территории государства, принявшего стандарт;
- масло и масляную пасту из коровьего молока по нормативному документу, действующему на территории государства, принявшего стандарт;
- молочную сыворотку по нормативному документу, действующему на территории государства, принявшего стандарт;
- молочную сгущенную сыворотку по нормативному документу, действующему на территории государства, принявшего стандарт;
| | ИС МЕГАНОРМ: примечание. ГОСТ 240-85 утратил силу на территории Российской Федерации с 1 января 2005 года в связи с введением в действие ГОСТ Р 52178-2003 (Постановление Госстандарта России от 29.12.2003 N 408-ст). | |
- маргарины по ГОСТ 240;
- жиры для кулинарии, кондитерской и хлебопекарной промышленности по
ГОСТ 28414;
- спреды и топленые смеси по нормативному документу, действующему на территории государства, принявшего стандарт;
- жидкие и сухие яичные продукты по нормативному документу, действующему на территории государства, принявшего стандарт;
- питьевое молоко по нормативному документу, действующему на территории государства, принявшего стандарт;
- молочный напиток по нормативному документу, действующему на территории государства, принявшего стандарт;
| | ИС МЕГАНОРМ: примечание. ГОСТ 1349-85 утратил силу на территории Российской Федерации с 1 января 2013 года в связи с введением в действие ГОСТ Р 54661-2011 (Приказ Росстандарта от 13.12.2011 N 818-ст). | |
- сухие сливки по ГОСТ 1349;
| | ИС МЕГАНОРМ: примечание. ГОСТ 4937-85 утратил силу на территории Российской Федерации с 1 января 2011 года в связи с введением в действие ГОСТ Р 53436-2009 (Приказ Ростехрегулирования от 03.12.2009 N 546-ст). | |
- сгущенные с сахаром сливки по ГОСТ 4937,
ГОСТ 31688;
| | ИС МЕГАНОРМ: примечание. ГОСТ 29272-92 утратил силу на территории Российской Федерации с 1 июля 2004 года в связи с введением в действие ГОСТ Р 52061-2003 (Постановление Госстандарта России от 28.05.2003 N 165-ст). | |
- ржаной сухой солод по ГОСТ 29272;
- солодовые экстракты по нормативному документу, действующему на территории государства, принявшего стандарт;
| | ИС МЕГАНОРМ: примечание. ГОСТ 5194-91 утратил силу на территории Российской Федерации с 1 января 2004 года в связи с введением в действие ГОСТ Р 52060-2003 (Постановление Госстандарта России от 28.05.2003 N 163-ст). | |
- крахмальную патоку по ГОСТ 5194;
| | ИС МЕГАНОРМ: примечание. ГОСТ 6929-88 утратил силу на территории Российской Федерации с 1 июля 2003 года в связи с введением в действие ГОСТ Р 51934-2002 (Постановление Госстандарта России от 06.09.2002 N 326-ст). | |
- повидло по ГОСТ 6929;
- фруктовые порошки по нормативному документу, действующему на территории государства, принявшего стандарт;
- очищенные кедровые орехи по нормативному документу, действующему на территории государства, принявшего стандарт;
- ядро кешью по нормативному документу, действующему на территории государства, принявшего стандарт;
- арахис по нормативному документу, действующему на территории государства, принявшего стандарт;
| | ИС МЕГАНОРМ: примечание. ГОСТ 12094-76 утратил силу на территории Российской Федерации с 1 января 2007 года в связи с введением в действие ГОСТ Р 52533-2006 (Приказ Ростехрегулирования от 28.03.2006 N 44-ст). | |
- пищевой мак по ГОСТ 12094;
- кунжут по нормативному документу, действующему на территории государства, принявшего стандарт;
- пищевой анис по нормативному документу, действующему на территории государства, принявшего стандарт;
- обрушенные семена масличных культур по нормативному документу, действующему на территории государства, принявшего стандарт;
- лимонную эссенцию по нормативному документу, действующему на территории государства, принявшего стандарт;
- витаминные комплексы по нормативному документу, действующему на территории государства, принявшего стандарт;
- минеральные комплексы по нормативному документу, действующему на территории государства, принявшего стандарт;
- витаминно-минеральные комплексы по нормативному документу, действующему на территории государства, принявшего стандарт;
- пищевые добавки по нормативному документу, действующему на территории государства, принявшего стандарт.
Допускается использование дополнительного сырья отечественного или импортного производства аналогичного назначения, не уступающего по качественным характеристикам перечисленному дополнительному сырью, и другого дополнительного сырья, соответствующего по показателям безопасности нормам, установленным нормативными правовыми актами, действующими на территории государства, принявшего стандарт.
5.3.6. Применение пищевых добавок - в соответствии с нормативными правовыми актами, действующими на территории государства, принявшего стандарт.
5.3.7. Каждая партия сырья, поступающая для производства бараночных хлебобулочных изделий, должна сопровождаться документом, удостоверяющим его качество и безопасность.
5.4.1. Маркировка бараночных хлебобулочных изделий, упакованных в потребительскую тару в соответствии с
[2] или нормативным документом, действующим на территории государства, принявшего стандарт, должна содержать следующую информацию:
- наименование продукта;
- наименование и местонахождение изготовителя [юридический адрес, включая страну, и, при несовпадении с юридическим адресом, адрес(а) производств(а)];
- наименование организации на территории государства, принявшего стандарт, уполномоченной изготовителем на принятие претензий от потребителя на ее территории (при наличии);
- товарный знак изготовителя (при наличии);
- масса нетто упаковочной единицы или масса нетто изделия и количество штук в упаковке;
- состав продукта;
- пищевая ценность, в том числе содержание витаминов (для хлебобулочных изделий, в рецептуру которых включен витаминный или витаминно-минеральный комплекс), минеральные вещества (для хлебобулочных изделий, в рецептуру которых включен минеральный или витаминно-минеральный комплекс);
- содержание витаминов макро- и микроэлементов (для витаминизированных продуктов);
- дата изготовления и дата упаковывания;
- срок хранения (на усмотрение изготовителя);
- срок годности;
- обозначение документа, в соответствии с которым изготовлен и может быть идентифицирован продукт;
- условия хранения;
- информация о наличии ГМО (при содержании генетически модифицированного компонента в количестве, превышающем установленную норму);
- информация о подтверждении соответствия.
Примечание. В информации о составе изделия приводят сведения о муке, соответствующие ее наименованию. Например:
"пшеничная хлебопекарная мука первого сорта";
"пшеничная хлебопекарная мука высшего сорта, пшеничная мука общего назначения типа М 75-23" и т.д.
5.4.2. Сведения о не упакованных в потребительскую тару бараночных хлебобулочных изделиях представляют в информационном листке, расположенном в торговом зале. Информационный листок должен содержать информацию:
- наименование продукта;
- наименование и местонахождение изготовителя [юридический адрес, включая страну, и, при несовпадении с юридическим адресом, адрес(а) производств(а)];
- наименование организации на территории государства, принявшего стандарт, уполномоченной изготовителем на принятие претензий от потребителя на ее территории (при наличии);
- состав продукта;
- пищевая ценность, в том числе содержание витаминов (для хлебобулочных изделий, в рецептуру которых включен витаминный или витаминно-минеральный комплекс), минеральные вещества (для хлебобулочных изделий, в рецептуру которых включен минеральный или витаминно-минеральный комплекс);
- содержание витаминов макро- и микроэлементов (для витаминизированных продуктов);
- дата изготовления и дата упаковывания;
- срок хранения (на усмотрение изготовителя);
- срок годности;
- обозначение документа, в соответствии с которым изготовлен и может быть идентифицирован продукт;
- условия хранения;
- информация о наличии ГМО (при содержании генетически модифицированного компонента в количестве, превышающем установленную норму);
- информация о подтверждении соответствия.
Примечание. В информации о составе изделия приводят сведения о муке, соответствующие ее наименованию. Например:
"пшеничная хлебопекарная мука первого сорта";
"пшеничная хлебопекарная мука высшего сорта, пшеничная мука общего назначения типа М 75-23" и т.д.
5.4.3. Транспортная маркировка бараночных хлебобулочных изделий - по
ГОСТ 14192 с нанесением манипуляционных знаков: "Хрупкое. Осторожно", "Беречь от влаги". На каждую единицу транспортной тары штампом или наклеиванием ярлыка наносят маркировку, содержащую:
- наименование и местонахождение (юридический адрес) изготовителя;
- товарный знак изготовителя (при наличии);
- наименование изделия;
- массу нетто единицы транспортной тары, кг;
- число упаковочных единиц в транспортной таре и массу нетто упаковочной единицы в граммах или килограммах (для бараночных хлебобулочных изделий, упакованных в потребительскую тару);
- число изделий в транспортной таре и массу единицы изделия в граммах (для бубликов, не упакованных в потребительскую тару);
- номер партии и/или номер упаковочной единицы;
- дату изготовления и дату упаковывания (для баранок и сушек);
- час, дату изготовления и дату упаковывания (для бубликов, упакованных в потребительскую тару);
- час и дату изготовления (для бубликов, не упакованных в потребительскую тару);
- срок годности;
- условия хранения;
- обозначение настоящего стандарта и документа, в соответствии с которым изготовлено и может быть идентифицировано изделие;
- информацию о подтверждении соответствия.
Примечание. На открытую транспортную тару с уложенными в нее бубликами в потребительской таре маркировку не наносят.
5.4.4. Бараночные хлебобулочные изделия, предназначенные к отгрузке в районы Крайнего Севера и приравненные к ним местности, маркируют по
ГОСТ 15846.
5.5. Упаковка
5.5.1. Потребительская и транспортная тара, упаковочные материалы, используемые для упаковывания бараночных хлебобулочных изделий, должны соответствовать требованиям
[3] и документов, в соответствии с которыми они изготовлены, и быть допущены к применению.
5.5.2. Потребительскую и транспортную тару, упаковочные материалы изготавливают из материалов, использование которых в контакте с бараночными хлебобулочными изделиями обеспечивает сохранность качества и безопасности бараночных хлебобулочных изделий при их перевозке, хранении и реализации.
5.5.3. Тара и упаковочные материалы должны быть неповрежденными, чистыми, сухими, без постороннего запаха.
5.5.4. Бараночные хлебобулочные изделия упаковывают в потребительскую тару с последующей упаковкой в транспортную тару или непосредственно в транспортную тару.
Примечание. Бублики, не упакованные в потребительскую тару, вырабатывают с различной номинальной массой (весовыми) или с одинаковой номинальной массой (штучными).
| | ИС МЕГАНОРМ: примечание. ГОСТ 13512-91 утратил силу на территории Российской Федерации с 1 марта 2012 года в связи с введением в действие ГОСТ Р 54463-2011 (Приказ Росстандарта от 30.09.2011 N 433-ст). | |
5.5.6. Бараночные хлебобулочные изделия, не упакованные в потребительскую тару и упакованные в потребительскую тару, упаковывают в дощатые или фанерные ящики по
ГОСТ 11354,
ГОСТ 10131, или ящики из гофрированного картона по
ГОСТ 13511, ГОСТ 13512, или в контейнеры открытого или закрытого типа, а также в чистую отремонтированную возвратную тару.
При использовании возвратной тары для упаковывания бараночных хлебобулочных изделий, не упакованных в потребительскую тару, тару выстилают чистой оберточной бумагой по
ГОСТ 8273.
Примечания
1. Бараночные хлебобулочные изделия, не упакованные в потребительскую тару и предназначенные для непосредственного упаковывания в транспортную тару, рекомендуется предварительно нанизывать на шпагат.
2. Бараночные хлебобулочные изделия, не упакованные в потребительскую тару, допускается по согласованию с потребителем упаковывать россыпью (без нанизывания на шпагат) в бумажные мешки или тканевые мешки по
ГОСТ 30090.
3. Допускается укладывать в лотки по
ГОСТ 11354 бублики, не нанизанные на шпагат, - рядами на нижнюю или боковую поверхность; баранки и сушки, нанизанные на шпагат, - связками.
5.5.7. Допускается использование других видов потребительской тары, транспортной тары и упаковочных материалов, использование которых в контакте с бараночными хлебобулочными изделиями обеспечивает сохранность качества и безопасности бараночных хлебобулочных изделий при их перевозке, хранении и реализации.
5.5.8. Конкретные способы упаковывания с указанием применяемых потребительской и транспортной тары, упаковочных материалов приводят в документе, в соответствии с которым изготовлено бараночное хлебобулочное изделие конкретного наименования.
5.5.9. Пределы допускаемых отрицательных отклонений содержимого нетто от номинального количества - по
ГОСТ 8.579.
5.5.10. Бараночные хлебобулочные изделия, предназначенные к отгрузке в районы Крайнего Севера и приравненные к ним местности, упаковывают по
ГОСТ 15846.
6. Требования безопасности
6.1. Содержание токсичных элементов, микотоксинов, пестицидов и радионуклидов в бараночных хлебобулочных изделиях не должно превышать норм, установленных нормативными правовыми актами, действующими на территории государства, принявшего стандарт.
6.2. В бараночных хлебобулочных изделиях не допускаются посторонние включения и хруст от минеральных примесей.
7.1. Бараночные хлебобулочные изделия принимают партиями.
Партией считают бараночные хлебобулочные изделия одного наименования в однородной упаковке, выработанные предприятием за одну смену и оформленные документом, удостоверяющим качество и безопасность продукции.
7.2. Документ, удостоверяющий качество и безопасность продукции, должен содержать следующую информацию:
- номер и дату его выдачи;
- наименование бараночного хлебобулочного изделия;
- наименование и местонахождение изготовителя (юридический адрес и, при несовпадении с юридическим адресом, адрес производства);
- товарный знак изготовителя (при наличии);
- номер партии;
- массу нетто;
- количество упаковочных единиц;
- дату изготовления и дату отгрузки (для баранок и сушек);
- час, дату изготовления и дату отгрузки (для бубликов);
- подтверждение соответствия качества и безопасности партии бараночных хлебобулочных изделий требованиям документа, в соответствии с которым изготовлено бараночное хлебобулочное изделие конкретного наименования;
- условия хранения;
- срок годности;
- обозначение документа, в соответствии с которым изготовлено бараночное хлебобулочное изделие конкретного наименования.
7.3. Для проверки соответствия бараночных хлебобулочных изделий требованиям документа, в соответствии с которым изготовлено изделие конкретного наименования, проводят приемо-сдаточные и периодические испытания.
7.4. Приемо-сдаточные испытания на соответствие документу, в соответствии с которым изготовлено бараночное хлебобулочное изделие конкретного наименования, проводят методом выборочного контроля для каждой партии бараночных хлебобулочных изделий по качеству упаковки, правильности нанесения маркировки, массы нетто упаковочной единицы или массы штучного бублика, органолептическим показателям.
Органолептические показатели и коэффициент набухаемости баранок и сушек контролируют в каждой партии.
Физико-химические показатели бараночных хлебобулочных изделий контролируют периодически в соответствии с программой производственного контроля.
7.5. Приемка партии бараночных хлебобулочных изделий по массе и массе нетто упаковочной единицы, качеству упаковки и правильности нанесения маркировки
7.5.1. Для контроля качества упаковки и правильности маркировки транспортной тары из партии должна быть отобрана случайная выборка, объем которой указан в таблице 3.
Число единиц транспортной тары в партии, шт. | Число единиц транспортной тары, подвергаемых контролю, шт. | Приемочное число | Браковочное число |
До 15 включ. | Все единицы | 0 | 1 |
От 16 " 200 " | 15 | 0 | 1 |
Св. 200 | 25 | 1 | 2 |
7.5.2. Для контроля качества упаковки, правильности маркировки потребительской тары, массы нетто упаковочных единиц и массы штучных бубликов, не упакованных в потребительскую тару, из отобранных по
7.5.1 единиц транспортной тары берут случайную выборку упаковочных единиц или штучных бубликов, не упакованных в потребительскую тару, в соответствии с таблицей 4.
Масса нетто упаковочной единицы или масса штучного бублика, не упакованного в потребительскую тару, г | Объем выборки, шт. | Приемочное число | Браковочное число |
До 50 включ. | 75 | 8 | 9 |
От 51 " 100 " | 50 | 6 | 7 |
" 101 " 150 " | 40 | 5 | 6 |
" 151 " 300 " | 30 | 4 | 5 |
" 301 " 500 " | 22 | 3 | 4 |
" 501 " 1000 " | 13 | 2 | 3 |
7.5.3. Партию принимают, если число единиц изделий (транспортной тары, упаковочных единиц или штучных бубликов, не упакованных в потребительскую тару) в выборке, не отвечающее требованию документа, в соответствии с которым изготовлено бараночное хлебобулочное изделие конкретного наименования, по контролируемому показателю менее или равно приемочному числу, указанному в
таблице 3 или
4, и бракуют, если оно более или равно браковочному числу.
7.6. Приемка партии бараночных хлебобулочных изделий по органолептическим, физико-химическим показателям и коэффициенту набухаемости
7.6.1. Для контроля органолептических, физико-химических показателей и коэффициента набухаемости составляют суммарную пробу.
Суммарную пробу бараночных хлебобулочных изделий, упакованных в потребительскую тару, и штучных бубликов, не упакованных в потребительскую тару, составляют из изделий, попавших в случайную выборку (см.
7.5.2). Бараночные хлебобулочные изделия отбирают в соответствии с массой нетто упаковочных единиц или массой штучных бубликов, не упакованных в потребительскую тару, в количестве, шт., не менее:
35 - для массы до 50 г включительно;
25 - " " от 51 до 100 г включительно;
15 - " " от 101 до 150 г ";
10 - " " от 151 до 300 г ";
6 - " " от 301 до 500 г ";
4 - " " свыше 500 г.
Для составления суммарной пробы баранок и сушек, упакованных непосредственно в транспортную тару, и весовых бубликов, не упакованных в потребительскую тару, из каждой единицы транспортной тары, попавшей в случайную выборку (см.
7.5.1), отбирают разовые пробы в виде отдельных целых изделий.
Масса суммарной пробы должна быть не менее 1,8 кг.
7.6.2. При получении неудовлетворительного результата хотя бы по одному показателю проводят повторный контроль по этому показателю на удвоенном объеме выборки, отобранной от той же партии. Результаты повторного контроля распространяют на всю партию.
При получении неудовлетворительного результата при повторном контроле партию бараночных хлебобулочных изделий бракуют.
7.6.3. Качество бараночных хлебобулочных изделий в немаркированной, нечетко маркированной или дефектной упаковке проверяют отдельно, результаты распространяют на бараночные хлебобулочные изделия только в этой упаковке.
7.7. Периодические испытания проводят по показателям безопасности (содержание токсичных элементов, микотоксинов, пестицидов, радионуклидов; наличие посторонних включений и хруста от минеральных примесей) в соответствии с программой производственного контроля.
8.1. Отбор проб для контроля органолептических и физико-химических показателей, коэффициента набухаемости, содержания токсичных элементов, микотоксинов, пестицидов, наличия посторонних включений и хруста от минеральных примесей
8.1.1. Суммарную пробу, составленную в соответствии с
7.6.1, делят на две равные части, помещают в сухую, чистую и крепкую тару, снабжают их этикетками с указанием наименования предприятия-изготовителя, наименования бараночного хлебобулочного изделия, номера партии, часа и даты изготовления (для бубликов), даты изготовления (для баранок и сушек), срока годности, массы пробы, даты и подписи лица, отобравшего пробу, обозначения документа, в соответствии с которым изготовлено бараночное хлебобулочное изделие конкретного наименования.
8.1.2. Одну часть упакованной суммарной пробы с актом отбора пробы направляют в лабораторию для проведения анализа, другую пломбируют и хранят на случай возникновения разногласий при определении качества бараночных хлебобулочных изделий.
8.2. Отбор проб для радиационного контроля - по нормативному документу, действующему на территории государства, принявшего стандарт.
8.3. Хранение и транспортирование проб
8.3.1. Пробы хранят при условиях, указанных в документе, в соответствии с которым изготовлено бараночное хлебобулочное изделие конкретного наименования.
8.3.2. Отбор проб должен быть проведен в течение срока годности бараночного хлебобулочного изделия, указанного в документе, в соответствии с которым оно изготовлено.
8.3.3. Время транспортирования включают в срок годности. В процессе транспортирования должны быть обеспечены условия, предусмотренные для хранения бараночного хлебобулочного изделия.
8.4. Качество упаковки и правильность маркировки транспортной и потребительской тары определяют путем осмотра выборок, отобранных по
7.5.1 и
7.5.2.
8.5. Определение массы и массы нетто - по
ГОСТ 5667.
8.6. Органолептические показатели бараночных хлебобулочных изделий контролируют путем осмотра суммарной пробы, отобранной по
7.6.1.
8.7. Определение физико-химических показателей и коэффициента набухаемости
8.7.1. Определение физико-химических показателей бараночных хлебобулочных изделий и коэффициента набухаемости баранок и сушек проводят:
- бубликов - не ранее чем через 3 ч после выемки из печи;
- баранок и сушек - не ранее чем через 6 ч после выемки из печи.
8.7.2. Определение влажности
8.7.2.1. Аппаратура
Терка, ступка или механический измельчитель.
8.7.2.2. Подготовка к проведению анализа
В бараночных хлебобулочных изделиях, отобранных по
8.1.2, удаляют включения и отделку (кроме мака, плодов масличных культур, орехов и зерновых продуктов) и измельчают на терке, в ступке или на механическом измельчителе до получения крошки. Крошку перемешивают и тотчас же берут пробы.
8.7.2.3. Проведение анализа, правила оформления результатов, допустимая погрешность - по ГОСТ 21094 (
пункты 4.1.2 -
4.1.4,
раздел 5).
8.7.3. Определение кислотности - по
ГОСТ 5670.
8.7.4. Определение массовой доли сахара - по
ГОСТ 5672.
8.7.5. Определение массовой доли жира - по
ГОСТ 5668.
8.7.6. Определение массовой доли витаминов (для бараночных хлебобулочных изделий, в рецептуру которых включен витаминный или витаминно-минеральный комплекс) - по
ГОСТ 29138, ГОСТ 29139,
29140 или методам, действующим на территории государства, принявшего стандарт.
8.7.7. Определение массовой доли минеральных веществ (для бараночных хлебобулочных изделий, в рецептуру которых включен минеральный или витаминно-минеральный комплекс) - по нормативному документу, действующему на территории государства, принявшего стандарт.
8.7.8. Определение коэффициента набухаемости
8.7.8.1. Аппаратура
Весы лабораторные среднего класса точности с наибольшим пределом взвешивания не более 1,0 кг, с пределом допускаемой погрешности +/- 75 мг - по
ГОСТ 24104.
Термометр жидкостной стеклянный с пределами измерения 0 °C - 100 °C с погрешностью +/- 1 °C по
ГОСТ 28498.
Баня водяная.
Устройство для вырезания пробы, представляющее собой укрепленную на столе планку, на одной стороне которой находится неподвижный зажим с полукруглой выемкой, на другой стороне - подвижной зажим.
Нож специальный, состоящий из рамы со вставленными в нее двумя ножами или пилками; пилки (ножевые полотна) или ножи (обычные ножевые лезвия) располагаются параллельно на расстоянии 2 см друг от друга.
Ковш алюминиевый, состоящий из чашки диаметром 90 мм и высотой 45 мм, крышки и съемной ручки с двумя крючками, расположенными на расстоянии 10 см друг от друга. В чашке и крышке сделаны отверстия диаметром 2 мм; расстояние между отверстиями 5 - 6 мм. Дно чашки и крышка имеют незначительную выпуклость, обращенную наружу.
Часы механические с сигнальным устройством по
ГОСТ 3145 или секундомер.
Допускается применение другой аналогичной аппаратуры, технические и метрологические характеристики которой не уступают указанным выше.
8.7.8.2. Подготовка к проведению анализа
Водяную баню нагревают до температуры 60 °C. Взвешивают чашку.
8.7.8.3. Проведение анализа
Из суммарной пробы, отобранной по
8.1.2, берут три баранки или четыре сушки, от каждого изделия вырезают два кусочка длиной 2 см. Проба для определения коэффициента набухаемости должна состоять:
для баранок - из шести кусочков;
для сушек - из восьми кусочков.
Баранку или сушку закладывают в устройство, вплотную придвигают подвижной зажим и вырезают или выпиливают кусочки специальным ножом.
Кусочки из сушек вырезают пилками, из баранок - пилками или ножами.
Пробу изделий в виде кусочков в количестве, указанном выше, помещают в заранее взвешенную чашку и взвешивают. Чашку закрывают крышкой, укрепляют на ручке и погружают в водяную баню, предварительно нагретую до температуры 60 °C, точно на 5 мин, подвешивая чашку на бортик бани за верхний крючок. Чашка должна находиться в водяной бане на расстоянии не менее 1 см от дна и должна быть полностью покрыта водой.
По истечении 5 мин чашку вынимают из воды, укрепляют над поверхностью воды на бортике бани на нижнем крючке и выдерживают 2 мин. Затем чашку слегка встряхивают для удаления оставшейся воды, снимают ручку и крышку, вытирают снаружи и вторично взвешивают.
8.7.8.4. Обработка результатов
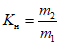
Коэффициент набухаемости

вычисляют по формуле

, (1)
где

- масса пробы баранок или сушек после набухания, г (без массы чашки);

- масса пробы баранок или сушек до набухания, г (без массы чашки).
Коэффициент набухаемости вычисляют с точностью до первого десятичного знака.
8.8. Определение токсичных элементов
8.8.1. Подготовка проб для определения токсичных элементов - по
ГОСТ 26929.
8.8.2. Определение содержания токсичных элементов:
- ртути - по
ГОСТ 26927 или по нормативному документу, действующему на территории государства, принявшего стандарт;
- мышьяка - по
ГОСТ 26930,
ГОСТ 30538,
ГОСТ 31266,
ГОСТ 31628 или по нормативному документу, действующему на территории государства, принявшего стандарт;
- свинца - по
ГОСТ 26932,
ГОСТ 30178,
ГОСТ 30538, ГОСТ 31262 или по нормативному документу, действующему на территории государства, принявшего стандарт;
- кадмия - по
ГОСТ 26933,
ГОСТ 30178,
ГОСТ 30538, ГОСТ 31262 или по нормативному документу, действующему на территории государства, принявшего стандарт.
8.9. Определение содержания микотоксинов - по
ГОСТ 30711 или по нормативному документу, действующему на территории государства, принявшего стандарт.
8.10. Определение содержания пестицидов - по нормативному документу, действующему на территории государства, принявшего стандарт.
8.11. Определение радионуклидов - по нормативному документу, действующему на территории государства, принявшего стандарт.
8.12. Наличие посторонних включений и хруста от минеральных примесей в бараночных хлебобулочных изделиях определяют органолептически в суммарной пробе, отобранной по
7.6.1.
9. Транспортирование и хранение
9.1. Бараночные хлебобулочные изделия транспортируют всеми видами транспорта в крытых транспортных средствах в соответствии с правилами перевозок пищевых грузов, действующими на соответствующем виде транспорта.
9.2. Транспортирование и хранение бараночных хлебобулочных изделий, предназначенных для отправки в районы Крайнего Севера и приравненные к ним местности, - по
ГОСТ 15846.
9.3. Бараночные хлебобулочные изделия следует хранить в хорошо проветриваемых складских помещениях, не зараженных вредителями хлебных запасов, при температуре не выше 25 °C и относительной влажности воздуха 65% - 75%.
9.4. Срок годности устанавливает и согласовывает в установленном порядке предприятие-изготовитель для бараночного хлебобулочного изделия конкретного наименования в зависимости от его рецептурного состава, вида упаковочного материала, способа упаковывания и др.
9.5. Рекомендуемые сроки годности бараночных хлебобулочных изделий приведены в
Приложении Б.
(справочное)
РЕКОМЕНДУЕМЫЕ КОЭФФИЦИЕНТЫ НАБУХАЕМОСТИ
БАРАНОК И СУШЕК
А.1. Рекомендуемые коэффициенты набухаемости баранок и сушек приведены в таблице А.1.
Таблица А.1
Наименование изделия | Рекомендуемый коэффициент набухаемости, не менее |
Баранки | 2,5 |
Сушки | 3,0 |
(справочное)
РЕКОМЕНДУЕМЫЕ СРОКИ ГОДНОСТИ БАРАНОЧНЫХ
ХЛЕБОБУЛОЧНЫХ ИЗДЕЛИЙ
Б.1. Рекомендуемые сроки годности бараночных хлебобулочных изделий приведены в таблице Б.1.
Таблица Б.1
Наименование изделия | Рекомендуемый срок годности |
Баранки, не упакованные в потребительскую тару | 25 сут |
Сушки, не упакованные в потребительскую тару | 45 сут |
Баранки и сушки, фасованные в полиэтиленовые или целлофановые пакеты | 15 сут |
Бублики, не упакованные в потребительскую тару | 36 ч |
Бублики, упакованные в потребительскую тару | 96 ч |
[1] Технический
регламент Таможенного союза ТР ТС 021/2011 "О безопасности
пищевой продукции", утвержденный Комиссией Таможенного союза
[2] Технический
регламент Таможенного союза ТР ТС 022/2011 "Пищевая
продукция в части ее маркировки", утвержденный Комиссией Таможенного
союза от 09.12.2011 N 881 <*>
[3] Технический
регламент Таможенного союза ТР ТС 005/2011 "О безопасности
упаковки", утвержденный Комиссией Таможенного союза от 16.08.2011
N 769 <*>.
--------------------------------
<*> Действует на территории Таможенного союза.