Главная // Актуальные документы // ГОСТ (Государственный стандарт)СПРАВКА
Источник публикации
М.: Стандартинформ, 2017
Примечание к документу
Текст данного документа приведен с учетом поправок, опубликованных в "ИУС",
N 2, 2019;
N 1, 2020;
поправки, введенной в действие с 22.03.2023, опубликованной в "ИУС", N 6, 2023.
Документ
введен в действие с 01.02.2019.
Название документа
"ГОСТ 34178-2017. Межгосударственный стандарт. Спреды и смеси топленые. Общие технические условия"
(введен в действие Приказом Росстандарта от 12.10.2017 N 1407-ст)
"ГОСТ 34178-2017. Межгосударственный стандарт. Спреды и смеси топленые. Общие технические условия"
(введен в действие Приказом Росстандарта от 12.10.2017 N 1407-ст)
по техническому регулированию
и метрологии
от 12 октября 2017 г. N 1407-ст
МЕЖГОСУДАРСТВЕННЫЙ СТАНДАРТ
СПРЕДЫ И СМЕСИ ТОПЛЕНЫЕ
ОБЩИЕ ТЕХНИЧЕСКИЕ УСЛОВИЯ
Spreads and melted blends. General specifications
ГОСТ 34178-2017
Дата введения
1 февраля 2019 года
Цели, основные принципы и основной порядок проведения работ по межгосударственной стандартизации установлены в
ГОСТ 1.0-2015 "Межгосударственная система стандартизации. Основные положения" и
ГОСТ 1.2-2015 "Межгосударственная система стандартизации. Стандарты межгосударственные, правила и рекомендации по межгосударственной стандартизации. Правила разработки, принятия, обновления и отмены"
1 РАЗРАБОТАН Федеральным государственным бюджетным научным учреждением "Всероссийский научно-исследовательский институт жиров" (ВНИИЖиров)
2 ВНЕСЕН Федеральным агентством по техническому регулированию и метрологии
3 ПРИНЯТ Межгосударственным советом по стандартизации, метрологии и сертификации (протокол от 30 августа 2017 г. N 102-П)
За принятие проголосовали:
Краткое наименование страны по МК (ИСО 3166) 004-97 | Код страны по МК (ИСО 3166) 004-97 | Сокращенное наименование национального органа по стандартизации |
Армения | AM | Минэкономики Республики Армения |
Беларусь | BY | Госстандарт Республики Беларусь |
Казахстан | KZ | Госстандарт Республики Казахстан |
Киргизия | KG | Кыргызстандарт |
Россия | RU | Росстандарт |
Узбекистан | UZ | Узстандарт |
Украина | UA | Минэкономразвития Украины |
4
Приказом Федерального агентства по техническому регулированию и метрологии от 12 октября 2017 г. N 1407-ст межгосударственный стандарт ГОСТ 34178-2017 введен в действие в качестве национального стандарта Российской Федерации с 1 февраля 2019 г.
5 ВВЕДЕН ВПЕРВЫЕ
Информация об изменениях к настоящему стандарту публикуется в ежегодном информационном указателе "Национальные стандарты", а текст изменений и поправок - в ежемесячном информационном указателе "Национальные стандарты". В случае пересмотра (замены) или отмены настоящего стандарта соответствующее уведомление будет опубликовано в ежемесячном информационном указателе "Национальные стандарты". Соответствующая информация, уведомление и тексты размещаются также в информационной системе общего пользования - на официальном сайте Федерального агентства по техническому регулированию и метрологии в сети Интернет (www.gost.ru)
Настоящий стандарт распространяется на спреды и топленые смеси - продукты со смешанным жировым составом, изготавливаемые из молочного жира и (или) немодифицированных, и (или) модифицированных растительных масел и жиров, и (или) заменителей молочного жира в различных сочетаниях и соотношениях.
Спреды и топленые смеси предназначаются для непосредственного употребления в пищу, для диетического и профилактического питания, использования в кулинарии, в общественном питании и других отраслях пищевой промышленности.
В настоящем стандарте использованы ссылки на следующие стандарты:
ГОСТ 8.579-2002 Государственная система обеспечения единства измерений. Требования к количеству фасованных товаров в упаковках любого вида при их производстве, расфасовке, продаже и импорте
ГОСТ 12.2.007.0-75 Система стандартов безопасности труда. Изделия электротехнические. Общие требования безопасности
ГОСТ 12.4.021-75 Система стандартов безопасности труда. Системы вентиляционные. Общие требования
ГОСТ OIML R 76-1-2011 Государственная система обеспечения единства измерений. Весы неавтоматического действия. Часть 1. Метрологические и технические требования. Испытания
ГОСТ 908-2004 Кислота лимонная моногидрат пищевая. Технические условия
ГОСТ 1770-74 (ИСО 1042-83, ИСО 4788-80) Посуда мерная лабораторная стеклянная. Цилиндры, мензурки, колбы, пробирки. Общие технические условия
ГОСТ 3273-75 Натрий металлический технический. Технические условия
ГОСТ 3622-68 Молоко и молочные продукты. Отбор проб и подготовка их к испытанию
ГОСТ 3624-92 <*> Молоко и молочные продукты. Титриметрические методы определения кислотности
ГОСТ 3626-73 <*> Молоко и молочные продукты. Методы определения влаги и сухого вещества
--------------------------------
ГОСТ ISO 3960-2013 Жиры и масла животные и растительные. Определение перекисного числа. Йодометрическое (визуальное) определение по конечной точке
ГОСТ 4212-2016 Реактивы. Методы приготовления растворов для колориметрического и нефелометрического анализа
ГОСТ 4328-77 Реактивы. Натрия гидроокись. Технические условия
ГОСТ 5867-90 Молоко и молочные продукты. Методы определения жира
ГОСТ 5962-2013 Спирт этиловый ректификованный из пищевого сырья. Технические условия
ГОСТ 9293-74 (ИСО 2435-73) Азот газообразный и жидкий. Технические условия
ГОСТ 10444.12-2013 Микробиология пищевых продуктов и кормов для животных. Методы выявления и подсчета количества дрожжей и плесневых грибов
ГОСТ 10444.15-94 Продукты пищевые. Методы определения количества мезофильных аэробных и факультативно-анаэробных микроорганизмов
ГОСТ 12026-76 Бумага фильтровальная лабораторная. Технические условия
ГОСТ 13830-97 <*> Соль поваренная пищевая. Общие технические условия
--------------------------------
ГОСТ 15846-2002 Продукция, отправляемая в районы Крайнего Севера и приравненные к ним местности. Упаковка, маркировка, транспортирование и хранение
ГОСТ 17433-80 Промышленная чистота. Сжатый воздух. Классы загрязненности
ГОСТ 21650-76 Средства скрепления тарно-штучных грузов в транспортных пакетах. Общие требования
ГОСТ 22477-77 Средства крепления транспортных пакетов в крытых вагонах. Общие технические требования
ГОСТ 23285-78 Пакеты транспортные для пищевых продуктов и стеклянной тары. Технические условия
ГОСТ 23452-2015 Молоко и молочные продукты. Методы определения остаточных количеств хлорорганических пестицидов
ГОСТ 24597-81 Пакеты тарно-штучных грузов. Основные параметры и размеры
ГОСТ 25336-82 Посуда и оборудование лабораторные стеклянные. Типы, основные параметры и размеры
ГОСТ 25794.1-83 Реактивы. Методы приготовления титрованных растворов для кислотно-основного титрования
ГОСТ 26593-85 Масла растительные. Метод измерения перекисного числа
ГОСТ 26663-85 Пакеты транспортные. Формирование с применением средств пакетирования. Общие технические требования
ГОСТ 26669-85 Продукты пищевые и вкусовые. Подготовка проб для микробиологических анализов
ГОСТ 26809.2-2014 Молоко и молочная продукция. Правила приемки, методы отбора и подготовка проб к анализу. Часть 2. Масло из коровьего молока, спреды, сыры и сырные продукты, плавленые сыры и плавленые сырные продукты
ГОСТ 26929-94 Сырье и продукты пищевые. Подготовка проб. Минерализация для определения содержания токсичных элементов
ГОСТ 26930-86 Сырье и продукты пищевые. Метод определения мышьяка
ГОСТ 26932-86 Сырье и продукты пищевые. Методы определения свинца
ГОСТ 26933-86 Сырье и продукты пищевые. Методы определения кадмия
ГОСТ 28414-89 Жиры для кулинарии, кондитерской и хлебопекарной промышленности. Общие технические условия
ГОСТ 28498-90 Термометры жидкостные стеклянные. Общие технические требования. Методы испытаний
ГОСТ 29227-91 (ИСО 385-1-84) Посуда лабораторная стеклянная. Пипетки градуированные. Часть 1. Общие требования
ГОСТ 29228-91 (ИСО 385-2-84) Посуда лабораторная стеклянная. Пипетки градуированные. Часть 2. Пипетки, градуированные без установленного времени ожидания
ГОСТ 29251-91 (ИСО 385-1-84) Посуда лабораторная стеклянная. Бюретки. Часть 1. Общие требования
ГОСТ 30178-96 Сырье и продукты пищевые. Атомно-абсорбционный метод определения токсичных элементов
ГОСТ 30417-96 Масла растительные. Методы определения массовых долей витаминов A и E
ГОСТ 30711-2001 Продукты пищевые. Методы выявления и определения содержания афлатоксинов B1 и M1
ГОСТ 31506-2012 Молоко и молочные продукты. Определение наличия жиров немолочного происхождения
ГОСТ 31647-2012 Масло пальмовое рафинированное дезодорированное для пищевой промышленности. Технические условия
ГОСТ 31659-2012 (ISO 6579:2002) Продукты пищевые. Метод выявления бактерий рода Salmonella
ГОСТ 31663-2012 Масла растительные и жиры животные. Определение методом газовой хроматографии массовой доли метиловых эфиров жирных кислот
ГОСТ 31665-2012 Масла растительные и жиры животные. Получение метиловых эфиров жирных кислот
ГОСТ 31694-2012 Продукты пищевые, продовольственное сырье. Метод определения остаточного содержания антибиотиков тетрациклиновой группы с помощью высокоэффективной жидкостной хроматографии с масс-спектрометрическим детектором
ГОСТ 31747-2012 Продукты пищевые. Методы выявления и определения количества бактерий группы кишечных палочек (колиформных бактерий)
ГОСТ 31754-2012 Масла растительные, жиры животные и продукты их переработки. Методы определения массовой доли трансизомеров жирных кислот
ГОСТ 31904-2012 Продукты пищевые. Методы отбора проб для микробиологических испытаний
ГОСТ 32161-2013 Продукты пищевые. Метод определения содержания цезия Cs-137
ГОСТ 32163-2013 Продукты пищевые. Метод определения содержания стронция Sr-90
ГОСТ 32189-2013 Маргарины, жиры для кулинарии, кондитерской, хлебопекарной и молочной промышленности. Правила приемки и методы контроля
ГОСТ 32901-2014 Молоко и молочная продукция. Методы микробиологического анализа
ГОСТ 32915-2014 Молоко и молочная продукция. Определение жирнокислотного состава жировой фазы методом газовой хроматографии
ГОСТ 33526-2015 Молоко и продукты переработки молока. Методика определения содержания антибиотиков методом высокоэффективной жидкостной хроматографии
ГОСТ 33566-2015 Молоко и молочная продукция. Определение дрожжей и плесневых грибов
Примечание - При пользовании настоящим стандартом целесообразно проверить действие ссылочных стандартов в информационной системе общего пользования - на официальном сайте Федерального агентства по техническому регулированию и метрологии в сети Интернет или ежегодному информационному указателю "Национальные стандарты", который опубликован по состоянию на 1 января текущего года, и по выпускам ежемесячного информационного указателя "Национальные стандарты" за текущий год. Если ссылочный стандарт заменен (изменен), то при пользовании настоящим стандартом следует руководствоваться заменяющим (измененным) стандартом. Если ссылочный стандарт отменен без замены, то положение, в котором дана ссылка на него, применяется в части, не затрагивающей эту ссылку.
В настоящем стандарте применяют следующие термины с соответствующими определениями:
3.1
спред: Эмульсионный жировой продукт с массовой долей общего жира не менее 39%, имеющий пластичную консистенцию, с температурой плавления жировой фазы не выше 36 °C, изготавливаемый из молочного жира, и (или) сливок, и (или) сливочного масла и немодифицированных, и (или) модифицированных растительных масел или только из немодифицированных и (или) модифицированных растительных масел, и (или) заменителей молочного жира, с добавлением или без добавления пищевых добавок и других пищевых ингредиентов. |
3.1.1
спред сливочно-растительный: Молокосодержащий продукт на эмульсионной жировой основе, в котором массовая доля общего жира составляет от 39 до 95% и массовая доля молочного жира в жировой фазе - от 50 до 95%. |
3.1.2
спред растительно-сливочный: Спред с массовой долей молочного жира в составе жировой фазы от 15 до 50%. |
3.1.3
спред растительно-жировой: Спред, жировая фаза которого состоит из немодифицированных и (или) модифицированных растительных масел с добавлением или без добавления молочного жира (менее 15%). |
3.2
смеси топленые: Продукты с массовой долей жира не менее 99%, изготавливаемые путем смешивания нагретых до температуры полного расплавления молочного жира, и (или) сливок, и (или) сливочного масла и немодифицированных, и (или) модифицированных растительных масел или только из немодифицированных и (или) модифицированных растительных масел, и (или) заменителей молочного жира либо путем применения других технологических приемов. |
Примечания
1 Сливки и (или) сливочное масло для изготовления топленой смеси путем смешивания используются в виде выделенной из них жировой фазы.
2 В топленые смеси допускается введение пищевых добавок и других пищевых ингредиентов.
3.2.1
смесь топленая сливочно-растительная: Молокосодержащий продукт, в котором массовая доля общего жира составляет не менее 99%, а массовая доля молочного жира в жировой фазе - от 50 до 95% и который произведен из сливочно-растительного спреда путем вытапливания жировой фазы или с использованием других технологических приемов. |
3.2.2
смесь топленая растительно-сливочная: Смесь топленая с массовой долей молочного жира в составе жировой фазы от 15 до 50%. |
3.2.3
смесь топленая растительно-жировая: Смесь топленая, жировая фаза которой состоит из немодифицированных и (или) модифицированных растительных масел с добавлением или без добавления молочного жира (менее 15%). |
В зависимости от состава сырья спреды и топленые смеси подразделяют на следующие подгруппы:
- спред (топленая смесь) сливочно-растительный(ая);
- спред (топленая смесь) растительно-сливочный(ая);
- спред (топленая смесь) растительно-жировой(ая).
5. Технические требования
5.1 Спреды и топленые смеси изготавливают в соответствии с требованиями настоящего стандарта с соблюдением требований
[1],
[2],
[3], при использовании для диетического и профилактического питания также с соблюдением требований
[4] или нормативных документов, действующих на территории государства, принявшего стандарт.
Требования к продукту конкретного наименования устанавливают в нормативных и технических документах (рецептурах, технологических инструкциях, стандартах организаций, технических условиях).
5.2 Характеристики
5.2.1 По органолептическим показателям спреды и топленые смеси должны соответствовать требованиям, указанным в таблице 1.
Таблица 1
Наименование показателя | Характеристика |
спреда | топленой смеси |
Вкус и запах | Сливочный, сладкосливочный или кислосливочный <*>. При использовании пищевкусовых и ароматических добавок - привкус и запах, свойственный внесенным добавкам | Нейтральный, характерный для молочного жира, или с выраженным привкусом вытопленного молочного жира <*>. При использовании пищевкусовых и ароматических добавок - привкус и запах, свойственный внесенным добавкам |
Консистенция при (12 +/- 2) °C и внешний вид | Пластичная, однородная, плотная или мягкая. Поверхность среза блестящая, слабоблестящая или матовая, сухая на вид | Зернистая или однородная (плотная или мягкая) |
Цвет | От белого до светло-желтого, однородный по всей массе, или обусловленный внесенными добавками. Допускается наличие вкраплений внесенных вкусоароматических добавок | От белого до желтого, однородный по всей массе, или обусловленный внесенными добавками |
<*> По требованию потребителя в растительно-жировых спредах и топленых смесях допускается обезличенный вкус и запах. |
5.2.2 По физико-химическим показателям спреды и топленые смеси должны соответствовать требованиям, указанным в таблице 2.
Таблица 2
Наименование показателя | Значение показателя для |
спреда | топленой смеси |
Массовая доля общего жира <*>, %, не менее | 39,0 | 99,0 |
Массовая доля влаги и летучих веществ, %, не более | В соответствии с техническим документом на продукт конкретного наименования | 1,0 |
Массовая доля молочного жира в жировой фазе <*>, %: | |
- для сливочно-растительных | Не менее 50,0 |
- для растительно-сливочных | От 15,0 до 50,0 |
- для растительно-жировых | При вводе молочного жира - в соответствии с техническим документом на продукт конкретного наименования |
Температура плавления жира, выделенного из продукта, °C, не более | 36,0 |
Кислотность продукта, °K, не более | 3,5 | - |
Кислотность жировой фазы, °K, не более | 2,5 |
Массовая доля трансизомеров жирных кислот в жире, выделенном из продукта, %, не более | |
Массовая доля полиненасыщенных жирных кислот в жире, выделенном из продукта, %, не менее: | |
- для сливочно-растительных | 10,0 |
- для растительно-сливочных | 10,0 |
- для растительно-жировых | 15,0 |
<*> Конкретное значение массовых долей общего и молочного жира указывают в техническом документе на продукт конкретного наименования. <**> С 01.01.2018 г. - 2,0%, за исключением сливочно-растительных. |
5.2.3 Содержание токсичных элементов, афлатоксинов, пестицидов, антибиотиков, радионуклидов, показатели окислительной порчи спредов и топленых смесей не должны превышать допустимые уровни, установленные
[3], а также
[1] (для растительно-сливочных и растительно-жировых спредов и топленых смесей) и
[2] (для сливочно-растительных спредов и топленых смесей) или требованиями нормативных документов, действующих на территории государства, принявшего стандарт.
5.2.4 Микробиологические показатели спредов и топленых смесей не должны превышать допустимые уровни, установленные
[3], а также
[1] (для растительно-сливочных и растительно-жировых) и
[2] (для сливочно-растительных) или требованиями нормативных документов, действующих на территории государства, принявшего стандарт.
5.2.5 Содержание пищевых добавок для спредов и топленых смесей не должно превышать допустимые уровни, установленные
[5] или требованиями нормативных документов, действующих на территории государства, принявшего стандарт.
5.2.6 Спреды допускается изготавливать с витаминами A, D, E, а также другими в соответствии с требованиями
[4] или нормативных правовых актов государств, принявших стандарт, в количествах, учитывающих значения физиологической потребности.
5.3 Требования к сырью
5.3.1 Сырье для производства спредов и топленых смесей должно соответствовать требованиям
[1],
[2],
[3],
[5] или нормативных документов, действующих на территории государства, принявшего стандарт, а также приведенным в 5.3.2.
5.3.2 Для изготовления спредов и топленых смесей применяют следующее сырье:
- сливки - сырье;
- масло оливковое;
- масло пальмоядровое;
- масло пальмовое по
ГОСТ 31647 и по нормативным и техническим документам, действующим на территории государств, принявших стандарт;
- фракции растительных масел, в том числе пальмового, пальмоядрового, кокосового;
- масло (жир) гидрогенизированное рафинированное дезодорированное;
- масло (жир) переэтерифицированное рафинированное дезодорированное;
- заменители молочного жира по
ГОСТ 31648 и по нормативным и техническим документам, действующим на территории государств, принявших стандарт;
- сливки сухие;
- пахта;
- молочно-белковые или сывороточно-белковые концентраты;
- закваска бактериальная;
- соль поваренная пищевая по ГОСТ 13830, сорт "экстра" и "высший";
- заменители сахара и подсластители;
- эмульгаторы пищевые (моно- и диглицериды пищевых жирных кислот дистиллированные, лецитин, а также другие);
- загустители и стабилизаторы консистенции;
- красители пищевые;
- ароматизаторы пищевые;
- витамины, поливитаминные премиксы;
- консерванты: кислота сорбиновая и ее соли (натриевая, калиевая и кальциевая), кислота бензойная и ее соли (натриевая, калиевая и кальциевая) и другие;
- антиокислители;
- цикорий растворимый;
- пасты натуральные фруктово-ягодные;
- соки плодовые и ягодные концентрированные;
- экстракты плодовые и ягодные натуральные;
- сиропы плодовые и ягодные натуральные по
ГОСТ 28499;
- вода питьевая.
5.3.3 Все жировое сырье допускается использовать для производства спредов и топленых смесей как в виде индивидуальных компонентов, так и в виде заменителей молочного жира.
5.3.4 Все жировое растительное сырье следует использовать в рафинированном дезодорированном виде, за исключением масел, вводимых в качестве вкусовых добавок, при условии их соответствия требованиям документа на соответствующие пищевые масла.
5.3.5 Конкретный перечень и соотношение компонентов сырья определяется рецептурами, утвержденными в установленном порядке.
5.3.6 Допускается использовать другое пищевое сырье, соответствующее требованиям, установленным
[1],
[2],
[3],
[5] или нормативными документами, действующими на территории государства, принявшего стандарт, и обеспечивающее получение спреда или топленой смеси в соответствии с требованиями настоящего стандарта.
5.3.7 Содержание токсичных элементов, микотоксинов, пестицидов, радионуклидов, антибиотиков в сырье, показатели окислительной порчи, а также микробиологические показатели сырья не должны превышать допустимые уровни, установленные требованиями
[1],
[2],
[3] или нормативных документов, действующих на территории государства, принявшего стандарт.
5.3.8 Требования к сырью могут быть установлены в договорах купли-продажи в виде ссылки на настоящий стандарт или указания конкретных показателей.
Не допускается использовать в качестве сырья молоко и сливки сырые, не прошедшие ветеринарно-санитарную экспертизу и без наличия ветеринарных сопроводительных документов.
6.1 Спреды и топленые смеси упаковывают в потребительскую упаковку с последующей укладкой в транспортную упаковку или производят нефасованными, упакованными монолитом <*>, непосредственно в транспортную упаковку.
--------------------------------
<*> По требованию потребителя монолит может быть разделен на части: пласты, бруски.
6.2 Фасование в потребительскую упаковку осуществляют:
- в виде брусков в алюминиевую кэшированную фольгу, или ее заменители, или в пергамент по
ГОСТ 1341, или его заменители, или полимерные материалы;
- в стаканчики (коробочки), изготовленные из полимерных материалов, со съемными крышками без укупоривающего материала, герметично укупоренные слоем термосвариваемого материала и имеющие съемную крышку, или герметично укупоренные слоем термосвариваемой фольги (термосвариваемого комбинированного материала, заменяющего ее) без съемной крышки;
- батончиками, упакованными в пленку в виде рукавной оболочки из полимерных материалов;
- в другие виды потребительской упаковки, разрешенные для упаковывания жировых продуктов.
6.3 Спреды и топленые смеси в потребительской упаковке могут быть объединены в групповую упаковку с укладкой на подложку (лотки, поддоны) с использованием термоусадочной пленки.
6.4 Пределы допустимых отрицательных отклонений массы нетто от номинальной массы нетто и требования к партии фасованных спредов и топленых смесей - по
ГОСТ 8.579.
6.5 Потребительская и транспортная упаковка, укупорочные средства должны быть изготовлены из материалов, использование которых в контакте с данной продукцией обеспечивает ее качество, безопасность и неизменность идентификационных признаков в течение всего срока годности в соответствии с требованиями, установленными
[1],
[2],
[6] или нормативных документов, действующих на территории государства, принявшего стандарт.
6.6 Спреды и топленые смеси, предназначенные к отгрузке в районы Крайнего Севера и приравненные к ним местности, упаковывают по
ГОСТ 15846.
7.1 Маркировка каждой единицы потребительской упаковки спреда или топленой смеси следует осуществлять в соответствии с требованиями, установленными
[7], а также
[1] (для растительно-сливочных и растительно-жировых спредов и топленых смесей) и
[2] (для сливочно-растительных спредов и топленых смесей) или нормативными документами, действующими на территории государства, принявшего стандарт.
7.1.1 Маркировка потребительской упаковки спреда и топленой смеси должна содержать следующую информацию:
- наименование продукта;
- наименование и местонахождение изготовителя пищевой продукции или фамилия, имя, отчество и местонахождение индивидуального предпринимателя - изготовителя пищевой продукции, а также наименование и местонахождение уполномоченного изготовителем лица, наименование и местонахождение организации-импортера или фамилия, имя, отчество и местонахождение индивидуального предпринимателя - импортера;
- массовая доля общего жира;
- массовая доля молочного жира в процентах от общего жира (для сливочно-растительных и растительно-сливочных спредов и топленых смесей);
- максимальное содержание в жировой фазе продукта насыщенных жирных кислот и трансизомеров жирных кислот, в процентах от общего жира;
- масса нетто;
- состав продукта (в порядке уменьшения массовых долей ингредиентов с обязательным указанием пищевых добавок, биологически активных добавок к пище, витаминов, микронутриентов, ароматизаторов, компонентов из генно-инженерно-модифицированных организмов при наличии);
- пищевая ценность (энергетическая ценность, содержание белков, жиров, углеводов, витаминов, макро- и микроэлементов в 100 г продукта);
- срок годности;
- температура хранения;
- дата изготовления;
- обозначение настоящего стандарта.
Сведения о содержании белков и углеводов следует приводить в случаях, если их содержание в 100 г пищевого продукта составляет не менее 2%, а для минеральных веществ и витаминов, не менее 5% от рекомендуемого суточного потребления.
7.1.2 Не допускается в маркировке жировых продуктов со смешанным жировым составом использование слова "масло" в любых словосочетаниях (например, "масло сливочно-растительное", "масло растительно-сливочное", "комбинированное масло", "мягкое масло", "топленое масло"), включая фирменные наименования.
7.1.3 Пример маркировки потребительской упаковки продукта приведен в
приложении А.
7.2 Маркировку транспортной упаковки спреда или топленой смеси следует осуществлять в соответствии с требованиями, установленными
[7], а также
[1] (для растительно-сливочных и растительно-жировых спредов и топленых смесей) и
[2] (для сливочно-растительных спредов и топленых смесей) или нормативными документами, действующими на территории государства, принявшего стандарт.
7.3 На транспортной или групповой упаковке спредов и топленых смесей должна быть приведена следующая информация:
- наименование продукта;
- наименование и местонахождение изготовителя пищевой продукции или фамилия, имя, отчество и местонахождение индивидуального предпринимателя - изготовителя пищевой продукции, а также наименование и местонахождение уполномоченного изготовителем лица, наименование и местонахождение организации-импортера или фамилия, имя, отчество и местонахождение индивидуального предпринимателя - импортера;
- массовая доля общего жира (для нефасованных продуктов);
- массовая доля молочного жира в процентах от общего жира (для нефасованных сливочно-растительных и растительно-сливочных спредов и топленых смесей);
- максимальное содержание в жировой фазе продукта насыщенных жирных кислот и трансизомеров жирных кислот, в процентах от общего жира (для нефасованных растительно-сливочных и растительно-жировых продуктов);
- общая масса нетто транспортной упаковки и количество единиц продукта в потребительской упаковке;
- масса нетто продукта, упакованного в потребительскую упаковку;
- масса нетто (для нефасованного продукта);
- состав (для нефасованного продукта);
- пищевая ценность (энергетическая ценность, содержание белков, жиров, углеводов, витаминов, макро- и микроэлементов в 100 г продукта) (для нефасованного продукта);
- дата изготовления;
- срок годности;
- температура хранения;
- номер партии и номер упаковочной единицы;
- обозначение настоящего стандарта (для нефасованного продукта).
7.3.1 Манипуляционные знаки: "Беречь от солнечных лучей", "Беречь от влаги", "Хрупкое, осторожно" (для продукции в упаковке из полимерных материалов) наносят в соответствии с
ГОСТ 14192 или нормативным документом, действующим на территории государства, принявшего стандарт.
7.3.2 Дополнительные требования к транспортной маркировке должны соответствовать условиям договора на поставку продукции.
7.3.3 Допускается размещать дополнительные и (или) исправленные информационные данные на отдельных листках-вкладышах или дополнительных приклеиваемых этикетках (стикерах).
8.1 Правила приемки для сливочно-растительных спредов и топленых смесей - по
ГОСТ 26809.2 (применительно к сливочному и топленому маслу), для растительно-сливочных и растительно-жировых спредов и топленых смесей - по
ГОСТ 32189.
8.2 Контроль спредов и топленых смесей по органолептическим и физико-химическим показателям (массовая доля общего жира, массовая доля влаги и летучих веществ, температура плавления жира, выделенного из продукта, кислотность продукта), массу нетто потребительской упаковочной единицы, качество упаковки и маркировки осуществляют в каждой партии.
8.3 Соблюдение норм показателей "массовая доля молочного жира", "массовая доля трансизомеров", "массовая доля полиненасыщенных жирных кислот" изготовитель гарантирует на основании периодических анализов, выполняемых в соответствии с программой производственного контроля.
8.4 Порядок и периодичность контроля содержания пестицидов, радионуклидов, токсичных элементов, микотоксинов, антибиотиков и микробиологических показателей устанавливает изготовитель продукции в программе производственного контроля.
8.5 Порядок и периодичность контроля показателей "кислотность жировой фазы", "перекисное число", "массовая доля консервантов", "содержание витаминов" устанавливает изготовитель продукции в программе производственного контроля.
8.6 При получении неудовлетворительных результатов анализов хотя бы по одному из показателей по нему проводят повторный анализ удвоенного объема пробы, взятой из той же партии спреда или топленой смеси. Результаты повторного анализа распространяют на всю партию.
9.1 Отбор проб растительно-жировых продуктов - по
ГОСТ 32189, растительно-сливочных и сливочно-растительных - по
ГОСТ 26809.2.
| | ИС МЕГАНОРМ: примечание. В официальном тексте документа, видимо, допущена опечатка: имеется в виду пункт 2.23 ГОСТ 3622-68, а не 2.2.3. | |
9.3 Определение органолептических показателей - по
ГОСТ 32189.
9.4 Определение массовой доли общего жира - по
ГОСТ 32189; для сливочно-растительных спредов и топленых смесей - по ГОСТ 5867
(пункт 2.2.4).
9.5 Определение массовой доли влаги и летучих веществ - по
ГОСТ 32189; для сливочно-растительных спредов и топленых смесей - по
ГОСТ 3626.
9.6 Определение кислотности жировой фазы спредов и топленых смесей - по
ГОСТ 3624.
9.7 Определение кислотности продукта - по
ГОСТ 32189; для сливочно-растительных спредов - по
ГОСТ 3624.
9.8 Определение массовой доли молочного жира в жире, выделенном из продукта, - в соответствии с
приложением Б.
9.9 Определение массовой доли молочного жира в жировой фазе спредов и топленых смесей методом Рейхерта-Мейссля - в соответствии с
приложением В.
9.10 Определение массовой доли трансизомеров жирных кислот в жире, выделенном из продукта, - по
ГОСТ 31754.
9.11 Определение массовых долей полиненасыщенных и насыщенных жирных кислот в жире, выделенном из продукта, - по
ГОСТ 31663 и
ГОСТ 31665.
9.12 Определение содержания консервантов - по
ГОСТ 32189.
9.13 Определение перекисного числа
9.13.2 Определение перекисного числа жира, выделенного из спреда, - по
ГОСТ ISO 3960 и
ГОСТ 26593 со следующим дополнением:
Подготовка пробы - выделение жировой фазы из спреда (два варианта).
Первый вариант.
Пробу спреда массой от 40 до 50 г расплавляют в химическом стакане на водяной бане или в сушильном шкафу при (60 +/- 5) °C, выдерживают при этой температуре до полного расслоения. Жировой слой фильтруют через складчатый фильтр. Если отфильтрованный жир будет прозрачен, то приступают к измерению. При наличии в жире мути его повторно фильтруют. Из выделенного жира берут пробу для выполнения измерений.
Второй вариант.
Пробу спреда массой от 40 до 50 г расплавляют в химическом стакане на водяной бане или в сушильном шкафу при (60 +/- 5) °C или в микроволновой печи с выдержкой до полного расслоения. Ориентировочный режим работы микроволновой печи: мощность - 270 - 300 Вт, время - 1 - 2 мин. Для ускорения разрушения эмульсии допускается добавлять к пробе немного поваренной соли. Затем стакан с пробой помещают в холодильник до полного застывания жира. Застывший жир вынимают, подсушивают между двумя слоями фильтровальной бумаги и берут из него пробы для выполнения измерений.
9.13.3 Определение перекисного числа жировой фазы трудно расслаивающихся спредов
9.13.3.1 Выделение жировой фазы из спреда
Пробу спреда массой от 10 до 20 г помещают в коническую колбу со шлифом вместимостью 100 см3 и нагревают на водяной бане до расплавления [температура расплавленного спреда не должна превышать (60 +/- 5) °C]. В колбу с пробой спреда добавляют (30 +/- 5) см3 хлороформа, аккуратно перемешивают круговыми движениями и приливают 15 см3 этилового спирта. После перемешивания в течение (1,5 +/- 0,5) мин содержимое колбы переносят в стакан для центрифугирования и центрифугируют до полного расслоения на две фазы. После разделения содержимого верхний прозрачный слой декантируют с помощью пипетки и отбрасывают; экстракт фильтруют через воронку с бумажным фильтром в колбу.
Фильтрат перемешивают и отбирают пипеткой две пробы экстракта:
- для определения массы жира одну аликвотную часть объемом 10 см3 помещают в стаканчик с крышкой, предварительно высушенный до постоянной массы и взвешенный с регистрацией результата в граммах до третьего десятичного знака;
- для определения перекисного числа одну или несколько аликвотных частей (n) объемом 10 см3 помещают в колбу для титрования вместимостью 250 см3. Колбу с экстрактом до начала титрования закрывают пробкой и убирают в темное место.
9.13.3.2 Для определения массы жира (
m) в одной аликвотной части стаканчик с пробой помещают на песочную баню, предварительно нагретую до температуры (120 +/- 10) °C, и выдерживают до выпаривания растворителя.
Затем открытый стаканчик и крышку помещают в сушильный шкаф и сушат в течение 30 мин при температуре (105 +/- 10) °C, после чего стаканчик закрывают крышкой, охлаждают в эксикаторе в течение 40 мин и взвешивают. Последующие взвешивания проводят через каждые 30 мин с регистрацией результата в граммах до третьего десятичного знака. Массу считают постоянной, если расхождение между последующими взвешиваниями не будет превышать 0,001 г.
Для контрольного определения используют смесь растворителей спирт - хлороформ в том же соотношении, что и для экстракции жира. Объем смеси должен соответствовать объему титруемого экстракта.
Если на контрольное определение требуется более 0,05 см3 раствора тиосульфата натрия молярной концентрации c (Na2S2O3) = 0,002 моль/дм3, проверяют соответствие реактивов требованиям стандарта и в случае несоответствия готовят новые реактивы и повторяют определение.
9.13.3.4 Обработка результатов
Перекисное число жировой фазы, выделенной из продукта, X, мэкв активного кислорода/кг, вычисляют по формуле

, (1)
где V - объем раствора тиосульфата натрия, использованный при определении, см3;
V0 - объем раствора тиосульфата натрия, использованный при контрольном определении, см3;
c - фактическая концентрация использованного раствора тиосульфата натрия, вычисленная с учетом поправки к номинальной молярной концентрации <*>, моль/дм3;
--------------------------------
<*> Молярная масса Na2S2O3·5H2O равна массе его грамм-эквивалента и составляет 248,17 г.
m - масса жира в одной аликвотной части, определенная по
9.13.3.2;
n - число аликвотных частей, взятых для анализа.
За окончательный результат измерения принимают среднеарифметическое значение результатов двух параллельных измерений.
Вычисление выполняют с точностью до второго десятичного знака с последующим округлением до первого десятичного знака.
9.13.4 Значение показателя окислительной порчи спреда (перекисное число) П, мэкв активного кислорода/кг, вычисляют по формуле

, (2)
где X - перекисное число жира, выделенного из спреда, мэкв активного кислорода/кг;
M - массовая доля жира в спреде, %.
9.14 Определение токсичных элементов
9.14.1 Подготовка проб для определения токсичных элементов - по
ГОСТ 26929.
9.14.3 Определение массовой доли никеля
9.14.3.1 Определение массовой доли никеля - по ГОСТ 28414,
приложение 3.
9.14.3.2 Определение массовой доли никеля методом пламенной атомной абсорбции
Метод предназначен для измерения массовой доли никеля в диапазоне от 0,2 до 3,0 млн-1 (мг/кг).
Границы абсолютной погрешности измерений массовой доли никеля +/- 0,09 млн-1 (мг/кг) (абс.) (P = 0,95).
а) Метод отбора и подготовки проб, аппаратура, материалы, реактивы, подготовка к испытанию - по
ГОСТ 30178.
б) Основной стандартный раствор никеля готовят по
ГОСТ 4212.
в) Измерения проводят при длине волны линии поглощения никеля 440 нм (допускается проводить измерения при 540 нм).
г) Проведение измерений и обработка результатов - по
ГОСТ 30178.
9.15 Определение микробиологических показателей
9.15.1 Отбор проб и подготовка их к микробиологическому анализу - по
ГОСТ 31904,
ГОСТ 26669 и нормативным документам, действующим на территории государства, принявшего стандарт.
9.16 Определение пестицидов - по
ГОСТ 23452, микотоксинов - по
ГОСТ 30711, а также по нормативным документам, действующим на территории государства, принявшего стандарт <**>.
--------------------------------
<**> В Российской Федерации действует
[8].
9.17 Определение радионуклидов:
9.18 Определение содержания витаминов - по
ГОСТ 30417.
9.19 Определение антибиотиков - по
ГОСТ 31694,
33526 и нормативным документам, действующим на территории государства, принявшего стандарт.
9.20 Определение ГМО - по нормативным документам, действующим на территории государства, принявшего стандарт.
9.21 Допускается осуществлять отбор проб и проводить испытания согласно нормативным документам, действующим на территории государства, принявшего стандарт.
10. Транспортирование и хранение
10.1 Спреды и топленые смеси транспортируют всеми видами транспорта в соответствии с правилами перевозок грузов, действующими на соответствующем виде транспорта на территории государства, принявшего стандарт.
При перевозках для местной реализации допускается использовать автотранспорт без специального оборудования для охлаждения.
10.3 Транспортирование и хранение спредов и топленых смесей, предназначенных для отправки в районы Крайнего Севера и приравненные к ним регионы, - по
ГОСТ 15846.
10.4 Температура спредов и топленых смесей при реализации с предприятий должна быть:
- для нефасованных сливочно-растительных спредов и топленых смесей - не выше 10 °C, упакованных в потребительскую упаковку - не выше 5 °C;
- для растительно-сливочных и растительно-жировых спредов и топленых смесей - не выше 10 °C.
10.5 Спреды и топленые смеси следует хранить при температуре:
- не выше 6 °C - сливочно-растительные спреды и топленые смеси;
- не выше 15 °C - растительно-сливочные, растительно-жировые спреды и топленые смеси.
Нижний допустимый предел отрицательных температур хранения устанавливает изготовитель в зависимости от состава продукта.
Не допускается хранение спредов и топленых смесей вместе с продуктами, обладающими резким специфическим запахом.
10.6 Ящики со спредами и топлеными смесями при хранении должны быть уложены: при механизированном укладывании - на поддоны, при немеханизированном - на решетки (подтоварники) штабелями с просветами между штабелями для свободной циркуляции воздуха, на расстоянии 0,5 м от стен.
10.7 Изготовитель гарантирует соответствие спредов и топленых смесей требованиям настоящего стандарта при соблюдении условий транспортирования и хранения.
10.8 Сроки годности спредов и топленых смесей устанавливает изготовитель согласно нормативным правовым актам, действующим на территории государства, принявшего стандарт.
Сроки годности указывают в технических документах на продукты конкретного наименования.
(справочное)
ПРИМЕР МАРКИРОВКИ ПОТРЕБИТЕЛЬСКОЙ УПАКОВКИ СПРЕДА
СПРЕД
растительно-сливочный
"С добрым утром"
Массовая доля общего жира - 72,5%, молочного жира - 15% от общего жира
Состав: масла и жиры растительные, в том числе модифицированные, вода, масло сливочное, сухое обезжиренное молоко, эмульгаторы E 471, E 322, соль, сахар, краситель бета-каротин, ароматизатор "Сливочное масло"
Пищевая ценность 100 г продукта:
жиры - 72,5 г, в том числе молочного жира 10,9 г;
белки - 1,0 г;
углеводы - 1,5 г.
Энергетическая ценность (калорийность) - 2730 кДж/660 ккал
Насыщенных жирных кислот в общем жире - не более 65%
Трансизомеров жирных кислот в общем жире - не более 8%
Масса нетто
Дата изготовления
Температура хранения
Сроки годности
Наименование и местонахождение изготовителя
Наименование и местонахождение организации, уполномоченной на принятие и удовлетворение претензий приобретателей в отношении продукции
ГОСТ ...
Знак соответствия требованиям Технических регламентов Таможенного союза
(обязательное)
ОПРЕДЕЛЕНИЕ МАССОВОЙ ДОЛИ МОЛОЧНОГО ЖИРА
Б.1 Область применения
Метод предназначен для газохроматографического определения массовой доли молочного жира в жировой фазе спреда, топленой смеси, молока и молочных продуктов в диапазоне значений от 3,0 до 85,0% включ.
Б.2 Требования к условиям проведения измерений
При подготовке и выполнении измерений в помещении лаборатории должны быть соблюдены следующие условия:
- температура окружающей среды, °C ....................................... | от 15 до 30; |
- относительная влажность воздуха, % ..................................... | не более 80; |
- напряжение питающей сети, В ............................................... | 220 +/- 15; |
- частота переменного тока, Гц ................................................. | 50 +/- 2. |
Б.3 Средства измерений, вспомогательное оборудование и реактивы
Хроматограф газовый лабораторный, включающий следующие элементы.
Инжектор для капиллярных колонок с делителем потока или вводом пробы непосредственно в колонку.
Термостат с программированием температуры, обеспечивающий нагрев колонки до температуры не менее 260 °C, поддерживающий температуру с погрешностью +/- 0,1 °C.
Колонка капиллярная из стекла или плавленого кварца длиной не менее 60 м, внутренним диаметром 0,25 мм с высоко полярной неподвижной фазой, обеспечивающей разделение различных геометрических изомеров ненасыщенных жирных кислот (например, SP-2560).
Детектор пламенно-ионизационный с пределом детектирования 2·10-12 г/с, обеспечивающий нагрев до температуры выше температуры колонки.
Программное обеспечение для обработки данных.
Микрошприц вместимостью 1 и 10 мм3 по документу, в соответствии с которым он изготовлен.
Газы-носители:
- гелий сжатый, тщательно просушенный, с содержанием кислорода менее 10 млн-1 (мг/кг);
Вспомогательные газы:
- водород технический по
ГОСТ 3022, марки А, или водород электролизный от генератора водорода;
- воздух по
ГОСТ 17433 класса 0 или воздух, полученный с помощью компрессора, обеспечивающего необходимые давление и чистоту воздуха согласно инструкции по эксплуатации хроматографа.
Весы неавтоматического действия с пределами допускаемой абсолютной погрешности не более +/- 0,02 г по
ГОСТ OIML R 76-1 или по нормативному документу, действующему на территории государства, принявшего стандарт.
Цилиндр 1-250-1(2) или 3-250-1(2) по
ГОСТ 1770.
Воронка лабораторная В-25-38 или В-36-50 ХС по
ГОСТ 25336.
Перегонный аппарат, состоящий из:
- аллонжа АИО-29/32-14/23-60 или АПК-29/32 по
ГОСТ 25336.
Термометр жидкостный стеклянный по
ГОСТ 28498 с интервалом температур от 0 до 100 °C и ценой деления 0,5 °C.
Баня водяная.
Шпатель.
Натрий металлический по ГОСТ 3273 или метилат натрия.
Гексан для хроматографии по документу, в соответствии с которым он изготовлен.
Допускается применять другие средства измерений и оборудование, не уступающие вышеуказанным по метрологическим и техническим характеристикам и обеспечивающие необходимую точность измерения, а также реактивы по качеству не ниже указанных.
Б.4 Отбор и подготовка проб к анализу (получение метиловых эфиров жирных кислот) - по ГОСТ 31665,
раздел 5 или
6 (кроме
6.1.3 и
6.2.4), со следующим дополнением:
Выделение жира из спреда (два варианта).
Первый вариант.
Пробу спреда массой от 40 до 50 г расплавляют в химическом стакане на водяной бане или в сушильном шкафу при (60 +/- 5) °C, выдерживают при этой температуре до полного расслоения. Жировой слой фильтруют через складчатый фильтр. Если отфильтрованный жир будет прозрачен, то приступают к измерению. При наличии в жире мути его повторно фильтруют. Из выделенного жира берут пробу для выполнения измерений.
Второй вариант.
Пробу спреда массой от 40 до 50 г расплавляют в химическом стакане на водяной бане или в сушильном шкафу при (60 +/- 5) °C или в микроволновой печи с выдержкой до полного расслоения. Ориентировочный режим работы микроволновой печи: мощность - 270 - 300 Вт, время - 1 - 2 мин. Для ускорения разрушения эмульсии допускается добавлять к пробе немного поваренной соли. Затем стакан с пробой помещают в холодильник до полного застывания жира. Застывший жир вынимают, подсушивают между двумя слоями фильтровальной бумаги и берут из него пробы для выполнения измерений.
Учитывая, что в триглицеридах жировой фазы спреда, топленой смеси, молока и молочных продуктов содержатся низкомолекулярные кислоты (начиная с масляной - C4:0), при получении метиловых эфиров фильтрацию заменяют центрифугированием. Полученный раствор метиловых эфиров жирных кислот должен быть использован для анализа непосредственно после приготовления.
Б.5 Выполнение определения (анализ метиловых эфиров жирных кислот) - по
ГОСТ 31663.
Примечание - Следует обратить внимание на то, что метиловые эфиры жирных кислот содержат метиловые эфиры низкомолекулярных кислот (начиная с масляной - C4:0), поэтому газохроматографический анализ следует проводить с обязательным программированием температуры, начиная с температуры от 60 до 100 °C (в зависимости от используемой неподвижной фазы), обеспечивающей удовлетворительное отделение метилового эфира масляной кислоты от растворителя.
Рекомендуемая температура инжектора - на 20 - 30 °C выше конечной температуры программирования.
Рекомендуемая температура детектора - на 20 °C выше конечной температуры программирования.
Б.6 Обработка результатов
Б.6.1 Обработку результатов анализа метиловых эфиров жирных кислот проводят методом внутренней нормализации по площадям пиков компонентов, используя программное обеспечение хроматографа или по ГОСТ 31663
(пункт 7.2.2).
При расчете массовой доли молочного жира вычисление массовой доли метилового эфира масляной кислоты проводят с точностью до третьего десятичного знака с последующим округлением до второго десятичного знака.
Б.6.2 Расчет массовой доли молочного жира в жировой фазе исследуемого продукта
Б.6.2.1 В случае, если полученное значение массовой доли метилового эфира масляной кислоты равно или более 3,10%, считают, что массовая доля молочного жира в продукте превышает 85%, то есть превышает верхний предел диапазона измерений по данной методике.
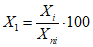
Б.6.2.2 Массовую долю молочного жира в анализируемой пробе X1, %, вычисляют по формуле

, (Б.1)
где Xi - массовая доля метилового эфира масляной кислоты, %;
Xni - среднее значение массовой доли метилового эфира масляной кислоты в молочном жире, %, равное 3,1.
Б.6.2.3 Вычисления проводят с точностью до второго десятичного знака с последующим округлением до первого десятичного знака.
Б.6.3 Метрологические характеристики метода
Таблица Б.1
Наименование показателя | Диапазон измерений, % | Предел повторяемости rотн, % (n = 2), P = 0,95 | Предел воспроизводимости Rотн, % (m = 2), P = 0,95 | Границы относительной погрешности измерений  , %, P = 0,95 |
Массовая доля молочного жира в жировой фазе продукта | От 3,0 до 15,0 включ. | 16 | 32 | 20 |
Св. 15,0 до 40,0 включ. | 10 | 20 | 15 |
Св. 40,0 до 85,0 включ. | 7 | 14 | 10 |
Б.7 Требования безопасности
При выполнении измерений необходимо выполнять требования безопасности работы с легковоспламеняющимися жидкостями, сжатыми газами и токсичными веществами.
Лаборатория, в которой проводят измерения, должна иметь приточно-вытяжную вентиляцию в соответствии с
ГОСТ 12.4.021.
Б.8 Требования к квалификации оператора
К проведению измерений допускаются лица, прошедшие специальное обучение работе на газовых хроматографах, освоившие настоящий метод и прошедшие инструктаж по технике безопасности при работе со сжатыми газами, легковоспламеняющимися жидкостями и токсичными веществами.
Б.9 Оформление результатов измерений
Полученные результаты измерений оформляют протоколами по форме, принятой в испытательной лаборатории, в виде самостоятельного документа или в сводном журнале (на бумаге или магнитном носителе).
(обязательное)
МЕТОДИКА ВЫПОЛНЕНИЯ ИЗМЕРЕНИЙ МАССОВОЙ ДОЛИ МОЛОЧНОГО ЖИРА
В ЖИРОВОЙ ФАЗЕ СПРЕДОВ И ТОПЛЕНЫХ СМЕСЕЙ
В.1 Сущность метода
Метод основан на титровании водорастворимых летучих жирных кислот, выделенных из омыленного жира перегонкой с водяным паром, и позволяет определить число Рейхерта-Мейссля, то есть объем раствора гидроокиси натрия концентрацией 0,1 моль/дм3, выраженный в см3, который требуется для нейтрализации водорастворимых летучих жирных кислот, выделенных из 5 г жира, с последующим вычислением массовой доли молочного жира в жировой фазе спреда или топленой смеси.
В.2 Средства измерений, вспомогательное оборудование и реактивы
Баня водяная с терморегулятором, обеспечивающим поддержание температуры от 25 до 100 °C с точностью +/- 5 °C.
Весы лабораторные по
ГОСТ OIML R 76-1 с пределом допускаемой абсолютной погрешности не более +/- 0,02 г.
Холодильник электрической бытовой.
Термометр жидкостный стеклянный по
ГОСТ 28498 с диапазоном измерения от 0 до 100 °C, ценой деления 1 °C.
Плитка электрическая с регулятором мощности нагрева.
Колбы 1(3)-100(110)-2 и 1(2)-1000-2 по
ГОСТ 1770.
Секундомер.
Натрия гидроокись по
ГОСТ 4328, ч.д.а. или х.ч.
Натрия гидроокись, стандарт-титр.
Кислота серная концентрированная по
ГОСТ 4204, плотностью 1,83 - 1,84 г/см
3, ч.д.а. или х.ч.
Кислота соляная по
ГОСТ 3118, ч.д.а. или х.ч.
Кислота соляная, стандарт-титр.
Фенолфталеин.
Спирт этиловый ректификованный технический по
ГОСТ 5962.
Кусочки фарфора или стеклянные трубки длиной 2 - 3 см, диаметром 0,5 см.
Допускается применение других средств измерений и оборудования, не уступающих вышеуказанным по метрологическим и техническим характеристикам и обеспечивающих необходимую точность измерения, а также реактивы по качеству не ниже указанных выше.
В.3 Подготовка к выполнению измерений
В.3.2 Приготовление раствора гидроокиси натрия массовой долей 25%
В мерной колбе вместимостью 100 см3 взвешивают 31,8 г гидроокиси натрия, приливают около 50 см3 дистиллированной воды и перемешивают до растворения. Объем раствора доводят до метки дистиллированной водой и перемешивают.
Раствор хранят в холодильнике не более 3 мес.
В.3.3 Приготовление раствора гидроокиси натрия
c = 0,1 моль/дм
3 - по ГОСТ 25794.1
(подпункт 2.2.3.3) или из стандарт-титра гидроокиси натрия согласно инструкции, прилагаемой к стандарт-титру.
Раствор гидроокиси натрия для титрования хранят в холодильнике не более 2 мес.
В.3.4 Приготовление раствора серной кислоты массовой долей 5%
В мерную колбу вместимостью 1000 см3 помещают 28 см3 концентрированной серной кислоты и доводят дистиллированной водой объем раствора до метки.
Раствор хранят в холодильнике не более 12 мес.
В.3.5 Приготовление раствора фенолфталеина
В мерную колбу вместимостью 100 см3 помещают 1,0 г фенолфталеина, приливают 70 см3 этилового спирта и перемешивают до растворения. Объем раствора доводят до метки дистиллированной водой и перемешивают.
Раствор хранят в холодильнике не более 6 мес.
В.3.6 Подготовка контрольного образца молочного жира
Образец сливочного масла, не содержащий растительных жиров, массой (60 +/- 10) г помещают в стакан вместимостью 150 см3 и ставят на водяную баню температурой (55 +/- 5) °C. После разделения жира и молочной плазмы слой жира отделяют фильтрованием при той же температуре.
В.3.7 Подготовка исследуемого образца спреда или топленой смеси
Выделение жира из исследуемого образца спреда или топленой смеси проводят по
В.3.6.
В.4 Выполнение измерений
В.4.1 В конической колбе вместимостью 250 см
3 взвешивают (5,5 +/- 0,5) г контрольного образца молочного жира по
В.3.6. Добавляют 5 см
3 раствора гидроокиси натрия по
В.3.2 и 18 см
3 глицерина. Колбу нагревают на электроплитке до кипения. Кипение сопровождается сильным пенообразованием, при этом колбу периодически снимают с электроплитки. Нагревание ведут до тех пор, пока смесь в колбе не станет прозрачной, что свидетельствует об окончании процесса омыления жира. Омыление обычно заканчивается в течение 15 - 20 мин.
В.4.2 После омыления контрольного образца молочного жира в колбу приливают 90 см
3 дистиллированной воды температурой (85 +/- 5) °C и перемешивают, затем добавляют 50 см
3 раствора серной кислоты по
В.3.4 и несколько кусочков фарфора или стеклянных трубок. Колбу присоединяют к холодильнику при помощи каплеуловителя и помещают на электрическую плитку (рисунок В.1). В качестве приемника дистиллята используют колбу вместимостью 110 см
3. Интенсивность нагрева регулируют так, чтобы получить 110 см
3 дистиллята в течение 20 - 30 мин. Когда будет отогнано точно 110 см
3 дистиллята, перегонку прекращают. Мерную колбу с дистиллятом охлаждают до комнатной температуры, и дистиллят фильтруют через сухой, гладкий, плотно прилегающий к воронке бумажный фильтр в коническую колбу вместимостью 250 см
3, дважды промывая фильтр дистиллированной водой порциями по 10 - 15 см
3.
1 - колба с омыленным жиром; 2 - прямоточный холодильник;
3 - электроплитка с регулятором нагрева; 4 - штатив;
5 - колба для дистиллята; 6 - каплеуловитель
Рисунок В.1 - Схема лабораторной установки для перегонки
с водяным паром водорастворимых летучих
низкомолекулярных кислот
В.4.3 К полученному по
В.4.2 фильтрату добавляют 3 - 4 капли раствора фенолфталеина по
В.3.5 и титруют раствором гидроокиси натрия, приготовленным по
В.3.3, до появления розовой окраски, не исчезающей в течение 30 с.
В.4.4 Число Рейхерта-Мейссля для контрольного образца молочного жира
RMс, см
3, рассчитывают по формуле

, (В.1)
где V - объем гидроокиси натрия, пошедший на титрование 100 см3 дистиллята, см3;
K - поправочный коэффициент концентрации раствора гидроокиси натрия по ГОСТ 25794.1
(подпункт 2.2.3.3). При приготовлении раствора из стандарт-титра
K = 1;
1,1 - коэффициент, учитывающий изменение объема дистиллята;
5 - коэффициент пересчета результата измерения на 5 г жира;
m - масса образца жира, г.
Вычисления проводят до второго десятичного знака с последующим округлением до первого знака.
| | ИС МЕГАНОРМ: примечание. В официальном тексте документа, видимо, допущена опечатка: имеется в виду пункт В.4.4, а не В.5.4. | |
В.4.5 Из растительного жира, используемого при выработке сливочно-растительного спреда или топленой смеси, отбирают пробу массой (5,0 +/- 0,5) г и проводят операции в соответствии с
В.4.1 -
В.4.3. В соответствии с
В.5.4 вычисляют число Рейхерта-Мейссля (
RMн) для образца растительного жира.
| | ИС МЕГАНОРМ: примечание. В официальном тексте документа, видимо, допущена опечатка: имеется в виду пункт В.3.7, а не В.4.7. | |
В.4.6 Проводят операции по
В.4.1 -
В.4.3 с образцом спреда или топленой смеси, подготовленным по
В.4.7.
В соответствии с
В.4.4 вычисляют число Рейхерта-Мейссля для образца спреда или топленой смеси (
RMис).
В.5 Обработка результатов измерений
В.5.1 Массовую долю растительного жира в спреде или топленой смеси X4, %, вычисляют по формуле

, (В.2)
где RMс - число Рейхерта-Мейссля в контрольном образце молочного жира, см3;
RMис - число Рейхерта-Мейссля в образце спреда или топленой смеси, см3;
RMн - число Рейхерта-Мейссля в образце растительного жира, см3.
Вычисление проводят до второго десятичного знака с последующим округлением до первого знака.
В.5.2 Предел повторяемости
Расхождение между результатами двух независимых единичных определений, выполненных при использовании одного метода, на идентичном материале, в одной лаборатории, одним аналитиком, на одном оборудовании, за короткий промежуток времени, не должно превышать 1,0% (абс.) при доверительной вероятности P = 0,95.
В.5.3 Предел воспроизводимости
Расхождение между результатами двух единичных определений, выполненных одним методом, на идентичном материале, в разных лабораториях, разными аналитиками, на различном оборудовании, не должно превышать 1,8% абс. при доверительной вероятности P = 0,95.
В.5.4 Границы абсолютной погрешности результатов измерений при доверительной вероятности P = 0,95:
+/- 2,0% для продуктов с массовой долей растительного жира от 5 до 85% включ;
+/- 3% для продуктов с массовой долей растительного жира более 85%.
В.6 Вычисление массовой доли растительного и молочного жира в жировой фазе спреда и топленой смеси
В.6.1 Массовую долю растительного жира в жировой фазе X5, %, вычисляют по формуле

, (В.3)
где Xо.ж - массовая доля общего жира спреда или топленой смеси, %.
В.6.2 Массовую долю молочного жира в жировой фазе спреда или топленой смеси X6, %, вычисляют по формуле
X6 = 100 - X5, (В.4)
где 100 - жировая фаза спреда или топленой смеси, %.
В.7 Требования безопасности
В.7.1 Лаборатория, в которой проводят измерения массовой доли растительных жиров в сливочно-растительных спреде и смеси, должна иметь приточно-вытяжную вентиляцию в соответствии с
ГОСТ 12.4.021.
В.7.2 Работу с реактивами проводят в вытяжном шкафу с использованием индивидуальных защитных средств.
В.7.3 Защитное заземление электроприборов должно соответствовать требованиям
ГОСТ 12.2.007.0.
| Технический регламент Таможенного союза ТР ТС 024/2011 "Технический регламент на масложировую продукцию" |
| Технический регламент Таможенного союза ТР ТС 033/2013 "О безопасности молока и молочной продукции" |
| Технический регламент Таможенного союза ТР ТС 021/2011 "О безопасности пищевой продукции" |
| Технический регламент Таможенного союза ТР ТС 027/2012 "О безопасности отдельных видов специализированной пищевой продукции, в том числе диетического лечебного и диетического профилактического питания" |
| Технический регламент Таможенного союза ТР ТС 029/2012 "О безопасности пищевых добавок, ароматизаторов и технологических вспомогательных средств" |
| Технический регламент Таможенного союза ТР ТС 005/2011 "О безопасности упаковки" |
| Технический регламент Таможенного союза ТР ТС 022/2011 "Пищевая продукция в части ее маркировки" |
| | Унифицированный метод определения остатков пестицидов при их совместном присутствии в пищевых рационах |