Главная // Актуальные документы // ГОСТ (Государственный стандарт)СПРАВКА
Источник публикации
М.: Издательство стандартов, 1990
Примечание к документу
С 1 июля 2003 года до вступления в силу технических регламентов акты федеральных органов исполнительной власти в сфере технического регулирования носят рекомендательный характер и подлежат обязательному исполнению только в части, соответствующей целям, указанным в
пункте 1 статьи 46 Федерального закона от 27.12.2002 N 184-ФЗ.
Ограничение срока действия снято по Протоколу N 5-94 Межгосударственного совета по стандартизации, метрологии и сертификации ("ИУС", N 11-12, 1994).
Срок действия продлен до 1 января 1996 года Постановлением Госстандарта СССР от 18.12.1989 N 3803.
Документ
введен в действие с 1 января 1981 года.
Взамен ГОСТ 3022-70.
Название документа
"ГОСТ 3022-80. Государственный стандарт Союза ССР. Водород технический. Технические условия"
(утв. и введен в действие Постановлением Госстандарта СССР от 24.01.1980 N 324)
(ред. от 01.12.1989)
"ГОСТ 3022-80. Государственный стандарт Союза ССР. Водород технический. Технические условия"
(утв. и введен в действие Постановлением Госстандарта СССР от 24.01.1980 N 324)
(ред. от 01.12.1989)
Утвержден и введен в действие
Постановлением
Государственного комитета СССР
по стандартам
от 24 января 1980 г. N 324
ГОСУДАРСТВЕННЫЙ СТАНДАРТ СОЮЗА ССР
ВОДОРОД ТЕХНИЧЕСКИЙ
ТЕХНИЧЕСКИЕ УСЛОВИЯ
Hydrogen for industrial use. Specifications
ГОСТ 3022-80
| | Список изменяющих документов (в ред. Изменения N 1, утв. в декабре 1984 г., Изменения N 2, утв. в декабре 1989 г.) | |
Срок действия
с 1 января 1981 года
до 1 января 1996 года
1. РАЗРАБОТАН И ВНЕСЕН Министерством по производству минеральных удобрений СССР
РАЗРАБОТЧИКИ: В.П. Семенов; О.А. Добровольский, канд. техн. наук; З.П. Тимохина; Н.И. Киселева
2. УТВЕРЖДЕН И ВВЕДЕН В ДЕЙСТВИЕ Постановлением Государственного комитета СССР по стандартам от 24.01.80 N 324
3. Периодичность проверки - 5 лет
4. ВЗАМЕН ГОСТ 3022-70
5. ССЫЛОЧНЫЕ НОРМАТИВНО-ТЕХНИЧЕСКИЕ ДОКУМЕНТЫ
Обозначение НТД, на который дана ссылка | Номер пункта, подпункта |
| |
| |
| |
| |
| |
ГОСТ 2112-79 | |
| |
| |
| |
| |
ГОСТ 4164-79 | |
| |
| |
| |
| |
| | ИС МЕГАНОРМ: примечание. ГОСТ 5072-79 утратил силу с 1 января 1991 года (ИУС "Государственные стандарты", N 11, 1991). | |
|
ГОСТ 5072-79 | |
| |
| |
| |
| | ИС МЕГАНОРМ: примечание. ГОСТ 6521-72 утратил силу с 1 июля 1991 года (ИУС "Государственные стандарты", N 4, 1991). | |
|
ГОСТ 6521-72 | |
| |
| |
|
|
ГОСТ 7328-82 | |
| |
| |
| |
| |
| |
| | ИС МЕГАНОРМ: примечание. Взамен ГОСТ 10727-73 Постановлением Госстандарта СССР от 27.12.1991 N 2199 с 1 января 1993 года введен в действие ГОСТ 10727-91. | |
|
ГОСТ 10727-73 | |
| |
| |
| |
| |
| |
| |
|
|
ГОСТ 24104-88 | |
| |
| |
ГОСТ 25663-83 | |
| |
| |
| |
| | ИС МЕГАНОРМ: примечание. Взамен ГОСТ 27544-87 Постановлением Госстандарта СССР от 30.03.1990 N 691 с 1 января 1991 года введен в действие ГОСТ 28498-90. | |
|
ГОСТ 27544-87 | |
6. ПЕРЕИЗДАНИЕ (февраль 1990 г.) с Изменениями N 1, 2, утвержденными в декабре 1984 г., декабре 1989 г. (ИУС 3-85, ИУС 3-90)
7. Срок действия продлен до 01.01.96 Постановлением Госстандарта СССР от 18.12.89 N 3803
Настоящий стандарт распространяется на технический водород, получаемый из азотоводородной смеси и электролизом воды, и применяемый в химической, нефтехимической, металлургической, фармацевтической, электронной и других отраслях промышленности.
Формула H2.
Молекулярная масса (по международным атомным массам 1985 г.) - 2,016.
(Измененная редакция, Изм. N 1, 2).
1. ТЕХНИЧЕСКИЕ ТРЕБОВАНИЯ
1.1. Технический водород должен быть изготовлен в соответствии с требованиями настоящего стандарта по технологическому регламенту, утвержденному в установленном порядке.
1.2. В зависимости от назначения технический водород выпускается в сжатом и несжатом виде двух марок:
А - используется в электронной, фармацевтической, химической промышленностях, в порошковой металлургии: для осаждения тугоплавких соединений из окислов металлов; при спекании изделий из порошковых материалов, содержащих хром и нержавеющие стали;
Б - используется в электронной, химической, цветной металлургии, фармацевтической промышленностях, промышленности средств связи и в энергетике.
(Измененная редакция, Изм. N 2).
1.3. Технический водород по физико-химическим показателям должен соответствовать нормам, указанным в табл. 1.
Таблица 1
Наименование показателя | Норма для марки |
А | Б |
1. Объемная доля водорода в пересчете на сухой газ, %, не менее | 99,99 | 99,95 |
2. Суммарная объемная доля кислорода и азота, %, не более | 0,01 | 0,05 |
3. Массовая концентрация водяных паров при 20 °C и 101,3 кПа (760 мм рт. ст.), г/м3, не более: | | |
| 0,5 | 0,5 |
б) в баллонах под давлением | 0,2 | 0,2 |
Примечание.
Показатель 3а определяется у изготовителя на момент закачки технического водорода в трубопровод.
1.4. Коды ОКП на несжатый и сжатый водород приведены в табл. 2.
Таблица 2
Код ОКП | Наименование продукта |
21 1420 | Водород технический |
21 1421 | Водород технический сжатый |
21 1422 | Водород технический несжатый |
21 1421 0100 03 | Водород технический сжатый, марка А |
21 1421 0200 00 | Водород технический сжатый, марка Б |
21 1422 0100 09 | Водород технический несжатый, марка А |
21 1422 0200 06 | Водород технический несжатый, марка Б |
1.3, 1.4. (Измененная редакция, Изм. N 1, 2).
2. ТРЕБОВАНИЯ БЕЗОПАСНОСТИ
2.1. Водород - бесцветный горючий газ без запаха. Плотность водорода при нормальных условиях равна 0,09 кг/м
3; плотность по воздуху - 0,07 кг/м
3; теплота сгорания - 28670 ккал/кг; минимальная энергия зажигания - 0,017 мДж. С воздухом и кислородом образует взрывоопасную смесь. Смесь с хлором (1:1) на свету взрывается; с фтором водород соединяется со взрывом в темноте; смесь с кислородом (2:1) - гремучий газ. Пределы взрываемости: с воздухом 4 - 75 об. %, с кислородом 4,1 - 96 об. %.
Взрывоопасные смеси водорода с воздухом относятся к категории II C, группе Т1 по
ГОСТ 12.1.011-78.
(Измененная редакция, Изм. N 1, 2).
2.2. Температура самовоспламенения водорода 510 °C.
2.3. Водород физиологически инертен; при высоких концентрациях вызывает удушье. Наркотическое действие проявляется при высоких давлениях.
2.4. При работе в среде водорода необходимо пользоваться изолирующим противогазом (кислородным или шланговым).
2.5. Эксплуатация баллонов, наполненных газообразным водородом, а также контейнеров-реципиентов с водородом должна проводиться в соответствии с
правилами устройства и безопасной эксплуатации сосудов, работающих под давлением, утвержденными Госгортехнадзором СССР.
(Введен дополнительно, Изм. N 2).
3.1. Технический водород принимают партиями. Партией считают любое количество продукта, однородного по показателям качества и оформленного одним документом о качестве, но не более сменной выработки; при транспортировании по трубопроводу - любое количество водорода, направленное потребителю за 24 ч.
3.2. Каждая партия технического водорода должна сопровождаться документом, удостоверяющим качество продукта.
Документ должен содержать:
наименование предприятия или товарный знак;
наименование, марку продукта;
номер партии;
дату изготовления;
объем газообразного водорода в м3;
результаты анализов или подтверждение о соответствии продукта требованиям настоящего стандарта;
обозначение настоящего стандарта.
Потребитель не менее одного раза за каждые 24 ч получает от поставщика документ, удостоверяющий качество водорода, транспортируемого по трубопроводу, и соответствие его требованиям настоящего стандарта.
(Измененная редакция, Изм. N 2).
3.3. Для проверки качества технического водорода, транспортируемого в баллонах, отбирают 2% баллонов, но не менее трех.
3.4. Для проверки качества технического водорода, транспортируемого по трубопроводу, пробу отбирают не менее одного раза за 24 ч.
3.5. Предприятию-изготовителю при наличии автоматических средств контроля готового продукта допускается проводить контрольную проверку водорода на соответствие техническим требованиям стандарта один раз за 24 ч.
3.6. (Исключен, Изм. N 2).
3.7. При получении неудовлетворительных результатов анализа хотя бы по одному показателю проводят по нему повторный анализ на удвоенной выборке. Результаты повторного анализа распространяются на всю партию.
4.1. Отбор проб
4.1.1. Пробу газа для анализа из трубопровода отбирают газоотборной трубкой внутренним диаметром не менее 5 мм из нержавеющей стали или другого коррозионно-стойкого материала, вводимой в трубопровод на глубину 1/3 его диаметра.
Пробы отбирают непосредственно в аппаратуру для определений.
При определении массовой концентрации водяных паров пробы отбирают только непосредственно в аппаратуру для определения по схеме подачи газа от заводского трубопровода к месту анализа (черт. 1), при этом трубопровод для подачи газа к месту анализа должен иметь длину 1 - 5 м и быть изготовлен из коррозионно-стойкого материала, в зависимости от расположенной точки при обязательной постоянной продувке газом.
1 - заводской трубопровод; 2, 5, 7 - вентили; 3 -
трубопровод для подачи газа к месту анализа; 4 - манометр;
6 - ротаметр, реометр или другой газовый счетчик
Для предотвращения конденсации и потери влаги газоподводящую трубку необходимо снабжать тепловой изоляцией или подогревать до 80 - 100 °C при помощи параллельно идущего трубопровода с паром.
При определении примесей кислорода, азота к хроматографу при постоянной продувке анализируемым газом подводится линия из нержавеющей стали длиной не более 50 - 70 м и внутренним диаметром 5 - 6 мм.
4.1.2. Пробу водорода из баллона отбирают непосредственно в прибор для анализа с помощью редуктора, вентиля тонкой регулировки и соединительной трубки от точки отбора пробы до прибора, продутой не менее чем десятикратным объемом анализируемого газа. При отборе пробы для определения концентрации водяных паров должна использоваться предварительно высушенная соединительная трубка из коррозионно-стойкой стали, внутренним диаметром не более 4 мм.
4.1.1, 4.1.2. (Измененная редакция, Изм. N 2).
4.1.3. Допускается применение других метрологически аттестованных методик, при условии, что суммарная погрешность результата анализа и значение расхождения между параллельными определениями не превышают установленные настоящим стандартом.
При разногласиях в оценке показателя качества анализ проводят методами по настоящему стандарту.
(Введен дополнительно, Изм. N 2).
4.2. Определение объемной доли водорода
Объемную долю водорода (X) в процентах вычисляют по разности между 100 и суммой объемных долей примесей по формуле

,
где

- объемная доля кислорода, %;

- объемная доля азота, %.
Пределы допускаемого значения суммарной погрешности результата измерения

при доверительной вероятности 0,95 приведены в табл. 2а.
Таблица 2а
Объемная доля сухого водорода, % | |
Погрешность градуировочной смеси |
10% | 19% |
99,9900 | 8·10-4 | 1,6·10-3 |
99,950 | 4·10-3 | 8·10-3 |
4.3. Определение объемных долей кислорода и азота
Хроматографический метод
4.3.1. Сущность метода
Метод основан на разделении примесей кислорода и азота, содержащихся в водороде, на колонке, наполненной молекулярными ситами NaX или CaA, фиксирование компонентов осуществляется детектором по теплопроводности.
4.3.2. Аппаратура, реактивы, материалы и растворы
Хроматограф лабораторный универсальный ЛХМ-80, модель 2 или любой другой хроматограф, укомплектованный:
детектором по теплопроводности (ДТП) второй категории, с пределом обнаружения объемной доли пропана, не превышающим 1·10-3%, при использовании гелия в качестве газа-носителя;
термостатом детектора, обеспечивающим температуру не ниже 50 °C; погрешность термостатирования не превышает 0,2 °C;
блоком питания катарометра, обеспечивающим регулировку тока питания измерительного моста детектора от 60 до 300 мА;
термостатом колонок с автоматическим регулятором температуры, обеспечивающим установку температуры до 400 °C с погрешностью, не превышающей 5 °C. Режим работы - изотермический. Время выхода на режим не превышает 2 ч;
электронным автоматическим потенциометром типа КСП-4, класса 0,5, диапазон измерения от 0,1 до 0,9 мВ;
бессмазочным газовым краном поворотного типа с калиброванными сменными дозами вместимостью 2 и 5 см3;
блоком подготовки газов для очистки, регулирования и стабилизации двух потоков газа-носителя с помощью регуляторов давления и регуляторов расхода, обеспечивающим возможность установки расходов не менее 6 дм3/ч в каждой линии при входном давлении не ниже 2026 ГПа (2 кгс/см2);
колонкой разделительной стальной длиной 2 м, внутренним диаметром 3 мм.
Установка для приготовления бинарных смесей
(черт. 1).
| | ИС МЕГАНОРМ: примечание. ГОСТ 6521-72 утратил силу с 1 июля 1991 года (ИУС "Государственные стандарты", N 4, 1991). | |
Манометр образцовый по ГОСТ 6521-72.
| | ИС МЕГАНОРМ: примечание. ГОСТ 5072-79 утратил силу с 1 января 1991 года (ИУС "Государственные стандарты", N 11, 1991). | |
Секундомер СОППр-3б-1-000 по ГОСТ 5072-79 или аналогичного типа.
Градуировочные бинарные газовые смеси кислорода и азота в гелии или водороде марки А, с объемной долей каждого компонента 0,02 - 0,10% и погрешностью +/- 10%, или приготовленные по
пп. 4.3.4.3 и
4.3.4.4 с погрешностями +/- 10 и +/- 19% соответственно.
Набор сит "Физприбор" по
ГОСТ 6613-86 или сита аналогичного типа.
Шкаф сушильный электрический типа 2В-151 или любого другого типа с диапазоном регулирования температуры от 40 до 200 °C.
Трубчатая универсальная электропечь типа МА-СиН/11 или другого типа с регулируемой температурой до 500 °C.
| | ИС МЕГАНОРМ: примечание. Взамен ГОСТ 10727-73 Постановлением Госстандарта СССР от 27.12.1991 N 2199 с 1 января 1993 года введен в действие ГОСТ 10727-91. | |
Стеклоткань по ГОСТ 10727-73.
Баллоны стальные вместимостью 2, 5 и 10 дм
3 по
ГОСТ 949-73.
Насос вакуумный по ГОСТ 25663-83.
Азот газообразный и жидкий по
ГОСТ 9293-74 высшего или 1-го сорта.
Кислород газообразный технический по
ГОСТ 5583-78 1-го или 2-го сорта.
Гелий газообразный высокой чистоты или водород с характеристиками не хуже, чем у гелия.
Молекулярные сита CaA или NaX.
Водород технический по настоящему стандарту.
Спирт этиловый ректификованный технический по
ГОСТ 18300-87, первого сорта.
4.3.3. Условия выполнения анализа
Условия работы прибора должны обеспечивать суммарную погрешность методики на уровне заданной.
Рабочие условия применения хроматографа:
температура окружающего воздуха должна быть в диапазоне от 10 до 35 °C;
относительная влажность окружающего воздуха от 30 до 80%;
атмосферное давление от 84 до 106,7 кПа (от 630 до 800 мм рт. ст.);
напряжение переменного тока, питающего хроматограф, должно быть (220 +/- 3) В.
4.3.4. Подготовка к выполнению измерений
4.3.4.1. Подготовка насадочной колонки
Перед заполнением колонку тщательно промывают последовательно ацетоном, водой и спиртом и сушат в сушильном шкафу при 150 °C в течение 1 ч.
4.3.4.2. Подготовка адсорбента
Молекулярные сита осторожно измельчают в ступке и отсеивают фракцию с размером частиц 0,25 - 0,50 мм. Выделенную фракцию подвергают термической обработке в течение 5 - 6 ч при температуре до 400 °C в кварцевой трубке, помещенной в трубчатую электропечь в потоке сухого инертного газа, пропускаемого со скоростью от 25 до 50 см3/мин.
Термическую обработку сорбента можно проводить непосредственно в колонке в потоке гелия в термостате хроматографа при 350 °C в течение 5 - 6 ч, отсоединив детектор на время продувки.
Подготовленный адсорбент быстро загружают, насыпая через воронку, в чистую высушенную колонку и уплотняют его постукиванием деревянной палочкой до тех пор, пока адсорбент не перестанет поступать в колонку.
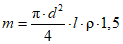
Массу адсорбента (m) в граммах заданного гранулометрического состава, требуемую для приготовления одной порции насадки, вычисляют по формуле

,
где d - внутренний диаметр колонки, см;
l - длина колонки, см;

- насыпная плотность адсорбента, г/см
3.
Вход и выход колонки закрывают металлическими сетками или тампонами из стеклоткани.
Колонку, заполненную адсорбентом, устанавливают в термостат хроматографа, проверяют на герметичность все газовые коммуникации и затем кондиционируют ее при 120 °C в течение 2 - 3 ч в потоке газа-носителя.
4.3.4.3. Приготовление градуировочных смесей
Бинарные градуировочные смеси кислорода и азота (газов-примесей) в гелии (газ-разбавитель) готовят методом парциальных давлений со следующей объемной долей газов-примесей:
кислород - 0,05 - 0,30%;
азот - 0,05 - 1,0%.
Установка для приготовления газовых смесей приведена на черт. 2.
1, 9, 12 - баллоны; 3, 5 - манометры;
2, 4, 6, 7, 8, 10, 11, 14 - вентили; 13 - вакуумметр
Черт. 2
Стальной баллон 1 (из нержавеющей стали) соединен линиями из нержавеющей стали с баллоном 9, содержащим один из перечисленных выше газов-примесей, и баллоном 12, содержащим газ-разбавитель. На газовой линии находятся игольчатые вентили 2, 4, 6, 7, 8, 10, 11, 14 и образцовые манометры - один на высокое давление (5), другой на низкое (3).
Установку проверяют на герметичность следующим образом: закрывают вентили 2, 8, 11, 14, открывают вентили 4, 6, 7 и по манометру 3 доводят давление в системе до 405·103 Па (3 ат) газом-разбавителем из баллона 12, открыв вентиль 10, затем вентиль 10 закрывают, если в течение 30 мин не наблюдается изменения давления, установка считается герметичной.
Баллон 1 при закрытых вентилях 4, 6, 8, 10, 11, открытых 2, 14, 7 откачивают до остаточного давления 4·102 - 6,6·102 Па (3 - 5 мм рт. ст.). Затем вентиль 14 закрывают, открывают вентили 6, 10 и заполняют баллон 1 газом-разбавителем до давления 1,10·106 - 1,6·106 Па (10 - 15 ат). Операцию вакуумирования и заполнения повторяют 4 - 5 раз.
После промывания баллон 1 заполняют газом-разбавителем (гелием) до давления 101,3·103 - 202,6·103 Па (1 - 2 ат) по манометру 3 при закрытых вентилях 6, 8, 11, 14 и открытых 2, 4, 7, 10. Затем закрывают вентиль 7, открывают вентили 8, 11 и проводят продувку газовой линии примесным газом из баллона 9, после чего закрывают вентиль 11, открывают вентиль 7 и по манометру 3 в баллоне 1 доводят до нужного давления примесный газ (в соответствии с составом приготовляемой смеси). Затем при закрытых вентилях 4, 8, 11, 14 и открытых 2, 6, 7, 10 давление в баллоне 1 доводят до требуемого значения по манометру 5 газом-разбавителем (гелием). После заполнения обязательно перемешивают газ в течение 5 - 7 сут периодическим переворачиванием баллона на установке типа "качели".
Затем измеряют давление смеси образцовым манометром 5.
Объемную долю газа-примеси в бинарной смеси, приготовленной в баллоне 1 (X0) в процентах вычисляют по формуле

,
где p1 - давление газа-примеси, кПа;
pсм - давление смеси, кПа.
В отсутствии газовых смесей с погрешностью +/- 10% или установки для приготовления газовых смесей градуировочную газовую смесь кислорода в водороде (гелии) готовят по п. 4.3.4.4.
4.3.4.4. Приготовление градуировочных газовых смесей кислорода в водороде с объемными долями кислорода 0,01 и 0,05%
Тщательно обезжиренный, освобожденный от механических примесей, сухой баллон откачивают до остаточного давления 4·10
2 - 6,6·10
2 Па (3 - 5 мм рт. ст.) и промывают воздухом. Операцию вакуумирования и заполнения повторяют 4 - 5 раз, после чего заполняют баллон воздухом до атмосферного давления. Затем заполняют баллон водородом марки А или гелием высокой чистоты до давления 202,6·10
4 Па (20 ат). После перемешивания газов (для этого выдерживают баллон в течение 5 сут, периодически переворачивая его на установке типа "качели") доводят давление газа в баллоне до 101,3·10
3 Па и снова заполняют баллон водородом (гелием) до давления 101,3·10
5 - 202,6·10
4 Па (100 - 20 ат). Через 5 сут определяют объемную долю кислорода в газе, содержащемся в баллоне, колориметрическим методом по
п. 4.4. Объем пробы, отбираемой в сосуд для анализа, должен быть не менее 3 дм
3, число параллельных определений - не менее трех. Полученную смесь используют для определения градуировочного коэффициента кислорода. Вследствие близости коэффициентов чувствительности кислорода и азота при определении азота можно пользоваться градуировочным коэффициентом, полученным для кислорода.
Примечание. Для определения объемных долей кислорода и азота в водороде марки А и объемной доли азота в водороде марки Б допускается в качестве градуировочной смеси использовать водород марки Б, определив предварительно в нем объемную долю кислорода по
п. 4.4.
4.3.4.5. Подготовка прибора
Включают прибор в соответствии с инструкцией, прилагаемой к хроматографу и устанавливают рабочий режим:
температура термостатов колонок и детектора равна температуре окружающего воздуха;
расход газа-носителя - 1,5 - 2,5 дм3/ч;
ток моста детектора - максимально допустимый для данного типа хроматографа;
скорость диаграммной ленты - 200 - 360 мм/ч.
При заданном режиме колонку кондиционируют до тех пор, пока не исчезнет дрейф нулевой линии, регистрируемый при максимальной чувствительности детектора для данного анализа.
4.3.4.6. Определение градуировочных коэффициентов
Для определения градуировочных коэффициентов используют бинарные газовые смеси кислорода и азота в гелии или водороде, указанные в
п. 4.3.2.
Градуировочной смесью продувают кран-дозатор и дозу в течение 30 - 40 с, после чего поворотом крана-дозатора вводят смесь в колонку хроматографа.
Записывают хроматограмму градуировочной смеси и измеряют площадь (высоту) пика.
Градуировочный коэффициент (K) для газа-примеси в процентах на квадратный миллиметр (процентах на миллиметр) вычисляют по формуле

,
где X0 - объемная доля газа-примеси в бинарной газовой смеси, %;
S0(h0) - площадь (высота) пика газа-примеси в бинарной газовой смеси, мм2 (мм).
Режим работы хроматографа при градуировке и анализе должен быть одинаковым и строго постоянным. Градуировочный коэффициент необходимо проверять не реже раза в день.
4.3.4.7. Отбор пробы
Пробу водорода из баллона отбирают в хроматограф с помощью редуктора и вентиля тонкой регулировки.
4.3.5. Проведение измерений
Кран-дозатор ставят в положение "Отбор пробы", присоединяют к нему баллон с анализируемым водородом, открывают вентиль тонкой регулировки и продувают дозу в течение 30 - 40 с. Отключают поток водорода и, переключив кран-дозатор в положение "Анализ", подают пробу на колонку, записывают хроматограмму и измеряют площади (высоты) пиков компонентов, выходящих в следующей последовательности: водород, кислород, азот (черт. 3).
Черт. 3
4.3.6. Обработка результатов
Объемную долю компонента (X1) в процентах вычисляют по формуле
X1 = K·Sк(hк),
где K - градуировочный коэффициент;
Sк(hк) - площадь (высота) пика измеряемого компонента, мм2 (мм).
Допускаемая относительная суммарная погрешность результата измерения +/- 12 или +/- 22% (в зависимости от метода приготовления градуировочной смеси) при доверительной вероятности 0,95 (для интервала объемных долей кислорода и азота 0,002 - 0,05%).
За результат измерения принимают среднее арифметическое результатов трех параллельных наблюдений, расхождение между наиболее отличающимися значениями которых не превышает допускаемое расхождение, равное 15% среднего значения измеряемой величины при доверительной вероятности 0,95.
При разногласиях в оценке объемной доли кислорода для водорода марки А анализ проводят колориметрическим методом по п. 4.4.
4.4. Определение объемной доли кислорода
Колориметрический метод
4.4.1. Сущность метода
Метод основан на окислении бесцветного медноаммиачного комплекса одновалентной меди кислородом, содержащимся в водороде, при этом раствор окрашивается в синий цвет, характерный для медноаммиачного комплекса двухвалентной меди
Интенсивность окраски раствора сравнивают визуально с интенсивностью окраски растворов шкалы сравнения, содержащих аммиак и ионы меди.
4.4.2. Аппаратура, реактивы, материалы и растворы
Весы лабораторные общего назначения по ГОСТ 24104-88 не ниже 2-го класса точности с наибольшим пределом взвешивания 200 г, ценой наименьшего деления не более 1·10-4 г.
Набор гирь Г-2-210 по ГОСТ 7328-82.
| | ИС МЕГАНОРМ: примечание. Взамен ГОСТ 27544-87 Постановлением Госстандарта СССР от 30.03.1990 N 691 с 1 января 1991 года введен в действие ГОСТ 28498-90. | |
Термометр 4-Б-2 по ГОСТ 27544-87.
Барометр-анероид метрологический БАММ-1.
Часы любого типа.
Сосуд для анализа типа СВ 7636-М
(черт. 5) или типа сосуда 5 (черт. 4) с серповидным краном.
I - промывка поглотительным раствором крана и коммуникаций;
II - ввод раствора в колбу 2;
III - кран закрыт.
1 - кран серповидный; 2, 4 - колбы; 3, 7, 9 - краны;
5 - сосуд для анализа; 6 - метка круглая; 8 - сифон;
10 - камера резиновая; 11 - бутыль с поглотительным
раствором
I - соединение сосуда 4 с атмосферой;
II - кран закрыт;
III - соединение колбы 4 с колбой 2.
1 - одноходовой кран; 3 - двухходовой кран
Пробирки колориметрические для шкалы сравнения (черт. 7).
Черт. 7 <*>
--------------------------------
<*> Черт. 6. (Исключен, Изм. N 2).
Бутыль вместимостью 2 - 5 дм3.
Баня водяная лабораторная.
Аммиак водный по
ГОСТ 3760-79, ч.д.а., водные растворы с массовой долей 25 и 4%.
Медь однохлористая по ГОСТ 4164-79, ч.д.а.
Медь (II) сернокислая 5-водная по
ГОСТ 4165-78, ч.д.а., свежеперекристаллизованная, водный раствор молярной концентрации
c (CuSO
4·5H
2O) = 0,05 моль/дм
3.
Натрий серноватистокислый (натрия тиосульфат) 5-водный по
ГОСТ 27068-86, ч.д.а., раствор молярной концентрации
c (Na
2S
2O
3·5H
2O) = 0,05 моль/дм
3.
Калий йодистый по
ГОСТ 4232-74, ч.д.а., водный раствор с массовой долей 10%.
Крахмал по
ГОСТ 10163-76, ч., водный раствор с массовой долей 1%.
Кислота азотная по
ГОСТ 4461-77, х.ч., водный раствор с массовой долей 4 - 6%.
Пирогаллол "А", ч.д.а., раствор с массовой долей 5% в растворе гидроокиси натрия (калия) с массовой долей 33%.
Спирт этиловый ректификованный, технический по
ГОСТ 18300-87, первого сорта.
Проволока медная по ГОСТ 2112-79.
Смазка УН (вазелин технический) или ланолин.
4.4.3. Подготовка к анализу
Установка для определения кислорода
Установка для определения кислорода
(черт. 4) состоит из сосуда для анализа и бутыли со стеклянным сифоном для аммиачного раствора однохлористой меди. Используют два типа сосудов для анализа.
Сосуд для анализа типа СВ 7636-М
(черт. 5) состоит из колб
2 и
4, разделенных двухходовым краном
3, снабженным отростком для присоединения к месту отбора пробы, и одноходового крана
1 для введения в сосуд поглотительного раствора. Вместимость колбы
2 равна 25 см
3.
Для анализа может быть также использован сосуд типа
5 (черт. 4) с серповидным краном
1 для введения поглотительного раствора в колбу
2 и краном
3 для присоединения к месту отбора пробы. Колбы
2 и
4 соединены трубкой небольшого диаметра с круглой меткой
6, ограничивающей вместимость колбы
2.
В зависимости от объемной доли кислорода используют колбу 4 определенной вместимости (табл. 3а).
Таблица 3а <*>
--------------------------------
<*> Табл. 3. (Исключена, Изм. N 2).
Объемная доля кислорода, % | 0,001 - 0,01 | 0,01 - 0,05 |
Вместимость колбы 4, см3 | 5000 - 3000 | 2000 - 1000 |
Рекомендуемая вместимость колбы 4 в зависимости от объемной доли кислорода в водороде.
Колбу 2 и пробирки для шкалы сравнения изготавливают из стекла одного состава одинакового диаметра и вместимости.
Сосуд для анализа должен быть чистым и сухим. Краны смазывают смазкой, после чего вставляют пробку в муфту и тщательно притирают.
4.4.4. Приготовление растворов
4.4.4.1. Аммиачный раствор однохлористой меди
1 дм3 аммиачного раствора однохлористой меди должен содержать 12 г однохлористой меди, 36 г хлористого аммония, 145 см3 водного раствора аммиака с массовой долей 25%. Раствор готовят в бутыли вместимостью 2 - 5 дм3, заполненной спиралями из медной проволоки. Спирали из медной проволоки обезжиривают органическими растворителями, промывают водой, обрабатывают раствором азотной кислоты и вновь промывают дистиллированной водой.
В бутыль с промытыми спиралями наливают дистиллированную воду, продувают бутыль инертным газом, не содержащим кислород, затем вносят навески хлористого аммония и однохлористой меди. Бутыль закрывают пробкой, в которую вставлены сифон и отводная трубка. Чтобы ускорить растворение, бутыль нагревают на водяной бане до 60 - 70 °C, пропуская через раствор слабый поток газа, не содержащего кислород, и периодически встряхивая. После растворения солей в бутыль добавляют раствор аммиака с массовой долей 25%.
Если раствор слегка окрашен, необходимо его снова нагреть как описано выше, до исчезновения окраски. Во избежание соприкосновения раствора с воздухом отводную трубку бутыли присоединяют к склянке Тищенко, заполненной щелочным раствором пирогаллола или к резиновой камере, заполненной инертным газом.
4.4.4.2. Приготовление и стандартизация раствора сернокислой меди молярной концентрации c (CuSO4·5H2O) = 0,05 моль/дм3
Навеску сернокислой меди массой 12,48 г (результат взвешивания записывают с точностью до третьего десятичного знака), помещают в мерную колбу вместимостью 1 дм3, растворяют в дистиллированной воде, доводят объем раствора дистиллированной водой до метки и перемешивают.
Для стандартизации раствора сернокислой меди в коническую колбу помещают 20 см3 приготовленного раствора, прибавляют 2 - 3 см3 уксусной кислоты и 10 см3 раствора йодистого калия. Выделившийся йод оттитровывают раствором серноватистокислого натрия, в конце титрования (бледно-желтая окраска раствора) прибавляют 2 - 3 см3 раствора крахмала и титруют до исчезновения синей окраски.
Поправочный коэффициент (K1) к молярной концентрации раствора сернокислой меди вычисляют по формуле

,
где V - объем раствора тиосульфата натрия молярной концентрации c (Na2S2O3·5H2O) = 0,05 моль/дм3, израсходованный на титрование, см3;
K - поправочный коэффициент к молярной концентрации раствора тиосульфата натрия.
4.4.5. Приготовление растворов шкалы сравнения
Колориметрическая шкала сравнения
Номер пробирки | Объем раствора сернокислой меди молярной концентрации c(CuSO4·5H2O) = 0,05 моль/дм3, см3 | Объем кислорода, соответствующий окраске раствора, см3 |
1 | 0,05 | 0,015 |
2 | 0,10 | 0,030 |
3 | 0,15 | 0,045 |
4 | 0,20 | 0,060 |
5 | 0,25 | 0,075 |
6 | 0,35 | 0,105 |
7 | 0,45 | 0,135 |
8 | 0,65 | 0,195 |
9 | 0,85 | 0,255 |
10 | 1,00 | 0,300 |
11 | 1,20 | 0,360 |
12 | 1,40 | 0,420 |
13 | 1,60 | 0,480 |
14 | 1,80 | 0,540 |
15 | 2,00 | 0,600 |
16 | 2,40 | 0,720 |
17 | 2,80 | 0,840 |
18 | 3,20 | 0,950 |
Примечание. Объем кислорода, эквивалентный 1 см
3 раствора сернокислой меди молярной концентрации
c(CuSO
4·5H
2O) = 0,05 моль/дм
3, равен

при 20 °C и 101,3 кПа (760 мм рт. ст.).
Растворы колориметрической шкалы сравнения готовят в пробирках. В каждую пробирку наливают из микробюретки раствор сернокислой меди в объемах, указанных в
табл. 3б, затем доводят объем раствора в пробирках до 25 см
3 водным раствором аммиака с массовой долей 4%. Пробирки устанавливают в штатив на фоне молочно-белого стекла в порядке повышения концентрации сернокислой меди в пробирке.
Срок годности растворов шкалы сравнения - 12 мес.
Если молярная концентрация раствора сернокислой меди не соответствует номинальной - 0,05 моль/дм
3, то значения объемов, кислорода, приведенные в
табл. 3б, умножают на коэффициент
K1.
4.4.6. Отбор проб
Открывают краны 1 и 3 и присоединяют сосуд для анализа к месту отбора пробы.
Продувают сосуд пятнадцатикратным объемом водорода (3 - 10 мин), затем уменьшают поток водорода, закрывают краны 1 и 3 и отсоединяют сосуд от места отбора пробы.
Пробу после ее отбора выдерживают 20 мин с целью выравнивания температуры газа с температурой помещения. Затем давление в сосуде выравнивают с атмосферным быстрым поворотом крана 3, кончик которого предварительно погружают в воду. Отмечают атмосферное давление и температуру окружающего воздуха.
4.4.7. Проведение анализа
Заполняют колбу 2 сосуда для анализа через кран 1 раствором однохлористой меди, предварительно сливая из сифона первую порцию раствора и закрывают кран 1.
Сравнивают окраску раствора с окраской растворов шкалы сравнения на фоне молочно-белого стекла. Отмечают номер пробирки шкалы сравнения, окраска раствора в которой соответствует окраске раствора в колбе 2.
Раствор однохлористой меди переливают в колбу 4.
Энергично встряхивают сосуд до полного поглощения раствором кислорода из водорода, т.е. до прекращения изменения окраски раствора.
Возвращают раствор в колбу 2 и вновь сравнивают окраску раствора с окраской растворов шкалы сравнения, отмечают номер пробирки, окраска раствора в которой соответствует окраске раствора в колбе 2.
При использовании для анализа сосуда с серповидным краном окраску раствора однохлористой меди до поглощения кислорода не определяют, т.к. в этом случае поглотительный раствор необходимо сливать до тех пор, пока он не станет бесцветным.
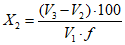
4.4.8. Обработка результатов
Объемную долю кислорода (X2) в процентах вычисляют по формуле

,
где V2, V3 - объемы кислорода, соответствующие подобранной окраске растворов шкалы сравнения до и после поглощения кислорода из пробы газа поглотительным раствором однохлористой меди соответственно, см3;
V1 - объем пробы газа, равный вместимости колбы 4, см3;
f - фактор приведения объема газа к 20 °C и 101,3 кПа (760 мм рт. ст.), (табл. 4).
Таблица 4
Зависимость f от давления и температуры
Давление, кПа (мм рт. ст.) |
Температура, °C | 93,3 (700) | 94,6 (710) | 95,98 (720) | 97,3 (730) | 98,6 (740) | 99,97 (750) | 101,3 (760) | 102,6 (770) |
| | ИС МЕГАНОРМ: примечание. При публикации данного документа допущен типографский брак. Текст, не пропечатанный в официальном тексте документа, в электронной версии данного документа выделен треугольными скобками. | |
|
10 | 0,953 | 0,967 | 0,980 | 0,9<...> | 1,007 | 1,0021 | 1,035 | 1,049 |
12 | 0,946 | 0,960 | 0,974 | 0,985 | 1,000 | 1,0014 | 1,028 | 1,042 |
14 | 0,940 | 0,954 | 0,967 | 0,979 | 0,993 | 1,007 | 1,021 | 1,035 |
16 | 0,934 | 0,947 | 0,960 | 0,972 | 0,986 | 1,000 | 1,014 | 1,028 |
18 | 0,927 | 0,940 | 0,954 | 0,966 | 0,979 | 0,993 | 1,007 | 1,021 |
20 | 0,921 | 0,934 | 0,947 | 0,959 | 0,973 | 0,987 | 1,000 | 1,014 |
22 | 0,915 | 0,928 | 0,941 | 0,952 | 0,966 | 0,980 | 0,993 | 1,007 |
24 | 0,908 | 0,921 | 0,934 | 0,946 | 0,960 | 0,973 | 0,986 | 1,000 |
26 | 0,903 | 0,915 | 0,928 | 0,940 | 0,953 | 0,966 | 0,979 | 0,993 |
28 | 0,896 | 0,909 | 0,922 | 0,933 | 0,947 | 0,960 | 0,973 | 0,987 |
30 | 0,790 | 0,903 | 0,916 | 0,927 | 0,941 | 0,954 | 0,967 | 0,980 |
32 | 0,885 | 0,897 | 0,910 | 0,921 | 0,934 | 0,947 | 0,961 | 0,974 |
34 | 0,879 | 0,891 | 0,904 | 0,915 | 0,928 | 0,941 | 0,954 | 0,967 |
36 | 0,876 | 0,879 | 0,901 | 0,912 | 0,925 | 0,938 | 0,951 | 0,964 |
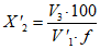
Примечание. При использовании для анализа сосуда с серповидным краном объемную долю кислорода в процентах (X'2) вычисляют по формуле

,
где V'1 - объем пробы газа, равный общей вместимости сосуда для анализа, включающий объемы 2 и 4, см3;
V3 - объем кислорода, соответствующий подобранной окраске раствора шкалы сравнения после поглощения кислорода из пробы газа поглотительным раствором однохлористой меди, см3.
Допускаемая относительная суммарная погрешность результата измерения +/- 22% при доверительной вероятности 0,95 (для интервала объемных долей кислорода от 0,002 до 0,05%).
За результат анализа принимают среднее арифметическое результатов двух параллельных определений, расхождение между которыми не превышает допускаемое расхождение, равное 10% среднего значения определяемой величины при доверительной вероятности 0,95.
4.5. Определение массовой концентрации водяных паров
Гравиметрический метод
4.5.1. Сущность метода
Анализ основан на поглощении водяных паров, содержащихся в водороде, хлорнокислым магнием (ангидроном) с последующим взвешиванием поглотителя.
4.5.2. Аппаратура, реактивы, материалы и растворы
Весы лабораторные общего назначения по ГОСТ 24104-88 не ниже 2-го класса точности с наибольшим пределом взвешивания 200 г, ценой наименьшего деления не более 1·10-4 г.
Набор гирь Г-2-210 по ГОСТ 7328-82.
Часы любого типа.
| | ИС МЕГАНОРМ: примечание. Взамен ГОСТ 27544-87 Постановлением Госстандарта СССР от 30.03.1990 N 691 с 1 января 1991 года введен в действие ГОСТ 28498-90. | |
Термометр 4-Б-2 по ГОСТ 27544-87.
Барометр-анероид метеорологический БАММ-Т.
Счетчик газовый барабанного типа ГСБ-400, первого класса точности.
Шкаф сушильный электрический типа 2В-151 или любого другого типа с диапазоном регулирования температуры от 40 до 200 °C.
Магний хлорнокислый безводный (ангидрон).
Вакуумная смазка.
Спирт этиловый ректификованный технический по
ГОСТ 18300-87 первого сорта.
Стекловата.
4.5.3. Подготовка к анализу
Поглотительный сосуд промывают последовательно водопроводной, дистиллированной водой и этиловым спиртом.
Затем поглотительный сосуд помещают в сушильный шкаф, высушивают при 100 - 105 °C в течение 1 ч, охлаждают в эксикаторе до температуры окружающего воздуха, заполняют хлорнокислым магнием, закрывают оба конца тампонами из стекловаты и подсоединяют на шлифах краны, смазанные вакуумной смазкой.
После этого поглотительный сосуд продувают водородом в течение 15 мин и взвешивают; эту процедуру повторяют до получения расхождения между двумя последовательными взвешиваниями поглотительного сосуда не более 0,0002 г.
Примечание. Вследствие гигроскопичности хлорнокислого магния его хранят в закрытой притертой пробкой и запарафинированной посуде.
4.5.4. Проведение анализа
Устанавливают поглотительный сосуд на максимально близком расстоянии от баллона. Подсоединяют поглотительный сосуд к баллону, предварительно открыв краны сосуда. Открывают баллон и устанавливают необходимый расход газа по газовому счетчику типа ГСБ-400. Пропускают 10 - 20 дм3 водорода со скоростью 100 - 120 см3/мин. Отсоединяют поглотительный сосуд, предварительно закрыв краны, и взвешивают (результат взвешивания записывают с точностью до четвертого десятичного знака). Одновременно регистрируют показания термометра, барометра и газового счетчика.
4.5.5. Обработка результатов
Массовую концентрацию водяных паров (X3) в граммах на кубический метр вычисляют по формуле

,
где m1 - масса поглотительного сосуда до пропускания водорода, г;
m2 - масса поглотительного сосуда после пропускания водорода, г;
V - объем пробы анализируемого газа, приведенный к нормальным условиям (20 °C и 101,3 кПа), дм3.
Допускаемая относительная суммарная погрешность результата измерений +/- 85% для массовой концентрации водяных паров 0,06 г/м3 и +/- 29% для массовой концентрации водяных паров 0,17 г/м3 при доверительной вероятности 0,95.
За результат анализа принимают среднее арифметическое результатов двух параллельных определений, расхождение между которыми не превышает допускаемое расхождение, равное 0,05 г/м3 (для массовых концентраций водяных паров 0,06 - 0,17 г/м3) при доверительной вероятности 0,95.
Допускается определение массовой доли водяных паров влагомером типа "Байкал".
При разногласиях в оценке массовой концентрации водяных паров анализ проводят гравиметрическим методом.
4.2 - 4.5. (Измененная редакция, Изм. N 2).
4.6 - 4.9. (Исключены, Изм. N 2).
4.10. Результаты анализа округляют по ГОСТ 27025-86,
п. 9.7.2.
(Введен дополнительно, Изм. N 1).
5. УПАКОВКА, МАРКИРОВКА, ТРАНСПОРТИРОВАНИЕ И ХРАНЕНИЕ
5.1. Техническим водородом наполняют стальные баллоны вместимостью 40 и 50 дм
3 по
ГОСТ 949-73 под давлением (14,7 +/- 0,5) МПа [(150 +/- 5) кгс/см
2] или баллоны стальные бесшовные большого объема по
ГОСТ 9731-79 под давлением (24,5 +/- 1,0) МПа [(250 +/- 10) кгс/см
2] при 20 °C.
Технический водород транспортируется также по трубопроводу. Давление водорода, транспортируемого по трубопроводу, должно быть согласовано между изготовителем и потребителем.
Давление газа в баллоне и в трубопроводе измеряют манометром по
ГОСТ 2405-88 класса не ниже 2,5.
(Измененная редакция, Изм. N 1, 2).
5.2. Баллоны должны возвращаться потребителем с остаточным давлением водорода не ниже 0,05 МПа (0,5 кгс/см2).
5.3. Баллоны и газгольдеры, их окраска, эксплуатация, маркировка и хранение должны соответствовать правилам устройства и безопасной эксплуатации сосудов, работающих под давлением, утвержденным Госгортехнадзором СССР. Окраска трубопроводов - по
ГОСТ 14202-69.
5.4. Транспортная маркировка по
ГОСТ 14192-77 с нанесением на маркировочный ярлык манипуляционного знака "Боится нагрева", а также знаков опасности по ГОСТ 19433-88, класс опасности 2, подкласс - 2.3, категория - 2.3.1, классификационный шифр -
2311, шифр ООН - 1049.
(Измененная редакция, Изм. N 2).
5.5. Баллоны, наполненные водородом, транспортируют транспортом всех видов, кроме авиации, в соответствии с правилами перевозки опасных грузов, действующими на транспорте соответствующего вида, и
правилами устройства и безопасной эксплуатации сосудов, работающих под давлением, утвержденными Госгортехнадзором СССР. Допускается перевозка в пакетированном виде в специальных контейнерах.
Совместная перевозка баллонов с водородом и кислородом не допускается.
Баллоны в специальных контейнерах перевозят автотранспортом.
По железным дорогам водород в баллонах транспортируется в крытых вагонах.
Транспортирование баллонов должно производиться в горизонтальном положении с прокладками между баллонами или в вертикальном положении обязательно с ограждением от возможного падения.
(Измененная редакция, Изм. N 1, 2).
5.6. Баллоны, наполненные водородом, хранят в специальных складских помещениях или на открытых площадках под навесом, защищающим баллоны от атмосферных осадков и прямых солнечных лучей.
Складское хранение баллонов с водородом и баллонов с другими газами допускается только в помещениях, изолированных друг от друга.
5.7. При отклонении содержания кислорода в водороде от нормы стандарта (в сторону увеличения) газгольдеры немедленно опоражнивают по инструкции, утвержденной в установленном порядке.
(Измененная редакция, Изм. N 2).
6.1. Изготовитель должен гарантировать соответствие технического водорода требованиям настоящего стандарта при соблюдении условий транспортирования и хранения.
6.2. Гарантийный срок хранения продукта в баллонах - 3 года, в резинотканевых газгольдерах - 24 ч со дня изготовления.
6.1, 6.2. (Измененная редакция, Изм. N 1).
Справочное
НОМОГРАММА ДЛЯ ПРИВЕДЕНИЯ ОБЪЕМОВ ГАЗА К НОРМАЛЬНЫМ УСЛОВИЯМ
Примечание. 760 мм рт. ст. соответствуют 101,3 кПа.
Для пользования номограммой линейкой соединяют точки, соответствующие данным давлениям и температурам, и в точке пересечения их со шкалой, находящейся справа, находят искомый переводный коэффициент (K1).
Пример: при давлении (показаний барометра) 97,3 кПа (730 мм рт. ст.) и температуре 20 °C получают для влажного газа коэффициент 0,8735. Для сухого газа коэффициент равен 0,8948.