Главная // Актуальные документы // ГОСТ (Государственный стандарт)СПРАВКА
Источник публикации
М.: Стандартинформ, 2017
Примечание к документу
Текст данного документа приведен с учетом
поправки, опубликованной в "ИУС", N 5, 2019;
поправки, введенной в действие с 23.08.2021, опубликованной в "ИУС", N 1, 2022.
Документ
введен в действие с 01.07.2017.
Название документа
"ГОСТ 10157-2016. Межгосударственный стандарт. Аргон газообразный и жидкий. Технические условия"
(введен в действие Приказом Росстандарта от 26.10.2016 N 1520-ст)
"ГОСТ 10157-2016. Межгосударственный стандарт. Аргон газообразный и жидкий. Технические условия"
(введен в действие Приказом Росстандарта от 26.10.2016 N 1520-ст)
по техническому регулированию
и метрологии
от 26 октября 2016 г. N 1520-ст
МЕЖГОСУДАРСТВЕННЫЙ СТАНДАРТ
АРГОН ГАЗООБРАЗНЫЙ И ЖИДКИЙ
ТЕХНИЧЕСКИЕ УСЛОВИЯ
Gaseous and liquid argon. Specifications
ГОСТ 10157-2016
Дата введения
1 июля 2017 года
Цели, основные принципы и основной порядок проведения работ по межгосударственной стандартизации установлены в
ГОСТ 1.0-2015 "Межгосударственная система стандартизации. Основные положения" и
ГОСТ 1.2-2015 "Межгосударственная система стандартизации. Стандарты межгосударственные, правила и рекомендации по межгосударственной стандартизации. Правила разработки, принятия, обновления и отмены"
1 РАЗРАБОТАН Федеральным государственным унитарным предприятием "Всероссийский научно-исследовательский институт стандартизации материалов и технологий" (ФГУП "ВНИИ СМТ")
2 ВНЕСЕН Межгосударственным техническим комитетом по стандартизации МТК 527 "Химия"
3 ПРИНЯТ Межгосударственным советом по стандартизации, метрологии и сертификации (протокол от 28 июня 2016 г. N 49)
За принятие проголосовали:
Краткое наименование страны по МК (ИСО 3166) 004-97 | Код страны по МК (ИСО 3166) 004-97 | Сокращенное наименование национального органа по стандартизации |
Азербайджан | AZ | Азстандарт |
Армения | AM | Минэкономики Республики Армения |
Беларусь | BY | Госстандарт Республики Беларусь |
Киргизия | KG | Кыргызстандарт |
Россия | RU | Росстандарт |
Украина | UA | Минэкономразвития Украины |
Узбекистан | UZ | Узстандарт |
4
Приказом Федерального агентства по техническому регулированию и метрологии от 26 октября 2016 г. N 1520-ст межгосударственный стандарт ГОСТ 10157-2016 введен в действие в качестве национального стандарта Российской Федерации с 1 июля 2017 г.
6 ПЕРЕИЗДАНИЕ. Апрель 2017 г.
Информация об изменениях к настоящему стандарту публикуется в ежегодном информационном указателе "Национальные стандарты", а текст изменений и поправок - в ежемесячном информационном указателе "Национальные стандарты". В случае пересмотра (замены) или отмены настоящего стандарта соответствующее уведомление будет опубликовано в ежемесячном информационном указателе "Национальные стандарты". Соответствующая информация, уведомление и тексты размещаются также в информационной системе общего пользования - на официальном сайте Федерального агентства по техническому регулированию и метрологии в сети Интернет (www.gost.ru)
Настоящий стандарт распространяется на газообразный и жидкий аргон, получаемый из воздуха и остаточных газов аммиачных производств и предназначаемый для использования в качестве защитной среды при сварке, резке и плавке активных и редких металлов и сплавов на их основе, алюминия, алюминиевых и магниевых сплавов, нержавеющих хромоникелевых жаропрочных сплавов и легированных сталей различных марок, а также при рафинировании металлов в металлургии. В соответствии с Техническим
регламентом Таможенного союза 029/2012
[1] аргон является пищевой добавкой. Используется в пищевой промышленности в качестве пропеллента и упаковочного газа.
Формула Ar.
Атомная масса (по международным атомным массам 2016 г.) - 39,95.
В настоящем стандарте использованы нормативные ссылки на следующие межгосударственные стандарты:
ГОСТ 61-75 Реактивы. Кислота уксусная. Технические условия
ГОСТ 427-75 Линейки измерительные металлические. Технические условия
ГОСТ 617-2006 Трубы медные и латунные круглого сечения общего назначения. Технические условия
ГОСТ 949-73 Баллоны стальные малого и среднего объема для газов на
Pp <= 19,6 МПа (200 кгс/см
2). Технические условия
ГОСТ 1770-74 (ИСО 1042-83, ИСО 4788-80) Посуда мерная лабораторная стеклянная. Цилиндры, мензурки, колбы, пробирки. Общие технические условия
ГОСТ 3773-72 Реактивы. Аммоний хлористый. Технические условия
ГОСТ 4055-78 Реактивы. Никель (II) азотнокислый 6-водный. Технические условия
ГОСТ 4107-78 Реактивы. Бария гидроокись 8-водная. Технические условия
ГОСТ 4108-72 Реактивы. Барий хлорид 2-водный. Технические условия
ГОСТ 4164-79 Реактивы. Медь (I) хлорид. Технические условия
ГОСТ 4165-78 Реактивы. Медь (II) сернокислая 5-водная. Технические условия
ГОСТ 6331-78 Кислород жидкий технический и медицинский. Технические условия
| | ИС МЕГАНОРМ: примечание. Наименование стандарта дано в соответствии с официальным текстом документа. | |
ГОСТ 6613-86 Сита проволочные тканые с квадратными ячейками. Технические условия
ГОСТ 9293-74 (ИСО 2435-73) Азот газообразный и жидкий. Технические условия
ГОСТ 13320-81 Газоанализаторы промышленные автоматические. Общие технические условия
ГОСТ 17433-80 Промышленная чистота. Сжатый воздух. Классы загрязненности
ГОСТ 18300-87 Спирт этиловый ректификованный технический. Технические условия <*>
--------------------------------
<*> Утратил силу на территории Российской Федерации с 01.09.2014 г. Действует
ГОСТ Р 55878-2013.
ГОСТ 22967-90 Шприцы медицинские инъекционные многократного применения. Общие технические требования и методы испытаний
ГОСТ 25336-82 Посуда и оборудование лабораторные стеклянные. Типы, основные параметры и размеры
ГОСТ 25706-83 Лупы. Типы, основные параметры. Общие технические требования
ГОСТ 26460-85 Продукты разделения воздуха. Газы. Криопродукты. Упаковка, маркировка, транспортирование и хранение
ГОСТ 27068-86 Реактивы. Натрий серноватистокислый (натрия тиосульфат) 5-водный. Технические условия
ГОСТ 29227-91 (ИСО 835-1-81) Посуда лабораторная стеклянная. Пипетки градуированные. Часть 1. Общие требования
ГОСТ 29251-91 (ИСО 385-1-84) Посуда лабораторная стеклянная. Бюретки. Часть 1. Общие требования
Примечание - При пользовании настоящим стандартом целесообразно проверить действие ссылочных стандартов в информационной системе общего пользования - на официальном сайте Федерального агентства по техническому регулированию и метрологии в сети Интернет или по ежегодному информационному указателю "Национальные стандарты", который опубликован по состоянию на 1 января текущего года, и по выпускам ежемесячного информационного указателя "Национальные стандарты" за текущий год. Если ссылочный стандарт заменен (изменен), то при пользовании настоящим стандартом следует руководствоваться замещающим (измененным) стандартом. Если ссылочный стандарт отменен без замены, то положение, в котором дана ссылка на него, применяется в части, не затрагивающей эту ссылку.
3. Технические требования
3.1 Газообразный и жидкий аргон должен быть изготовлен в соответствии с требованиями настоящего стандарта по технологическим регламентам, утвержденным в установленном порядке.
3.2 Характеристики
3.2.1 По физико-химическим показателям газообразный и жидкий аргон должен соответствовать нормам, указанным в таблице 1.
Наименование показателя | Норма |
Высший сорт | Первый сорт |
1 Объемная доля аргона, %, не менее | 99,993 | 99,987 |
2 Объемная доля кислорода, %, не более | 0,0007 | 0,002 |
3 Объемная доля азота, %, не более | 0,005 | 0,01 |
4 Объемная доля водяных паров, %, не более, что соответствует температуре насыщения аргона водяными парами при давлении 101,3 кПа (760 мм. рт. ст.), °C, не выше | 0,0009 | 0,001 |
Минус 61 | Минус 58 |
5 Объемная доля суммы углеродсодержащих соединений в пересчете на CO2, %, не более | 0,0005 | 0,001 |
3.2.2 Объемная доля суммы углеродсодержащих соединений не нормируется в газообразном и жидком аргоне, вырабатываемом из воздуха, если для очистки сырого аргона используют электронный водород, не содержащий примесей углеродсодержащих соединений и щелочи, а также водород коксового газа и синтез-газа, специально доочищаемый на аммиачных производствах.
3.2.3 Нормы для жидкого аргона, указанные в
таблице 1, соответствуют показателям газообразного аргона, полученного при полном испарении пробы жидкого аргона.
3.2.4 Допускается уменьшение количества жидкого аргона вследствие его испарения при транспортировании и хранении не более чем на 10%.
3.3 Маркировка
3.3.1 Маркировка газообразного и жидкого аргона - по
ГОСТ 26460.
3.3.2 Маркировка, характеризующая опасность газообразного аргона: наименование груза "АРГОН СЖАТЫЙ", класс опасности 2, классификационный шифр 2211, номер знака опасности - 2.2, номер ООН 1006, аварийная карточка 201, классификационный код 1А, код опасности 20.
3.3.3 Маркировка, характеризующая опасность жидкого аргона: наименование груза "АРГОН ОХЛАЖДЕННЫЙ ЖИДКИЙ", класс опасности 2, классификационный шифр 2213, номер знака опасности - 2.2, номер ООН 1951, аварийная карточка 201, классификационный код 3А, код опасности 22.
3.4 Упаковка
Упаковка газообразного и жидкого аргона - по
ГОСТ 26460.
4. Требования безопасности
4.1 Аргон нетоксичен и невзрывоопасен, однако представляет опасность для жизни: при его вдыхании человек мгновенно теряет сознание, и через несколько минут наступает смерть. Наркотический эффект от вдыхания аргона проявляется только при барометрическом давлении свыше 0,2 МПа. Содержание аргона в высоких концентрациях во вдыхаемом воздухе может вызвать головокружение, тошноту, рвоту, потерю сознания и смерть от асфиксии (в результате кислородного голодания). В смеси аргона с другими газами или в смеси аргона с кислородом при объемной доле кислорода в смеси менее 19% развивается кислородная недостаточность, при значительном понижении содержания кислорода - удушье.
4.2 Газообразный аргон тяжелее воздуха и может накапливаться в слабопроветриваемых помещениях у пола и в приямках, а также во внутренних объемах оборудования, предназначенного для получения, хранения и транспортирования газообразного и жидкого аргона. При этом снижается содержание кислорода в воздухе, что приводит к кислородной недостаточности, а при значительном понижении содержания кислорода - к удушью, потере сознания и смерти человека.
4.3 В местах возможного накопления газообразного аргона необходимо контролировать содержание кислорода в воздухе приборами автоматического или ручного действия с устройством для дистанционного отбора проб воздуха. Объемная доля кислорода в воздухе должна быть не менее 19%.
4.4 Жидкий аргон - низкокипящая жидкость, которая может вызвать обмораживание кожи и поражение слизистой оболочки глаз. При отборе проб и анализе жидкого аргона необходимо работать в защитных очках.
4.5 Перед проведением ремонтных работ или освидетельствованием бывшей в эксплуатации транспортной или стационарной емкости жидкого аргона, ее необходимо отогреть до температуры окружающей среды и продуть воздухом. Разрешается начинать работы при объемной доле кислорода внутри емкости не менее 19%.
4.6 При работе в атмосфере аргона необходимо использовать изолирующие кислородные приборы или шланговый противогаз.
4.7 Эксплуатация баллонов, наполненных газообразным аргоном, должна проводиться в соответствии с нормативно-правовыми актами, устанавливающими правила устройства и безопасной эксплуатации сосудов, работающих под давлением <*>.
--------------------------------
<*> На территории Российской Федерации действует
приказ Ростехнадзора от 25.03.2014 N 116 "Об утверждении Федеральных норм и правил в области промышленной безопасности "Правила промышленной безопасности опасных производственных объектов, на которых используется оборудование, работающее под избыточным давлением" (зарегистрировано в Минюсте России 19.05.2014 г. N 32326).
5.1 Газообразный и жидкий аргон принимают партиями. Партией считают любое количество продукта, однородного по показателям качества и оформленного одним документом о качестве.
При поставке аргона в автореципиентах или транспортных цистернах партией считается каждая цистерна или каждый автореципиент.
Каждая партия жидкого и газообразного аргона должна сопровождаться документом о качестве, содержащим следующие данные:
- наименование предприятия-изготовителя и его товарный знак;
- наименование продукта, его сорт;
- дату изготовления;
- номер партии;
- объем газообразного аргона в кубических метрах и массу жидкого аргона в тоннах или килограммах (см.
приложение А);
- результаты проведенных анализов или подтверждение о соответствии продукта требованиям настоящего стандарта;
- обозначение настоящего стандарта;
- вид водорода, используемого для очистки сырого аргона.
5.2 Для определения объемной доли кислорода и объемной доли водяных паров отбирают один баллон от общего количества баллонов, одновременно заполненных аргоном из общего трубопровода на одном или нескольких наполнительных коллекторах, для определения объемной доли азота отбирают два баллона от одновременно заполненных на каждом наполнительном коллекторе.
При получении неудовлетворительных результатов анализа хотя бы по одному показателю проводят по нему повторный анализ на удвоенной выборке. Результаты повторного анализа распространяются на все одновременно наполненные баллоны.
Объемную долю суммы углеродсодержащих соединений определяют в пробах, отбираемых каждые 8 ч из общего трубопровода газообразного аргона, поступающего к коллекторам. При получении неудовлетворительных результатов анализа проводят повторные анализы, отбираемые от 2% баллонов, наполненных за 8 ч. Результаты повторных анализов распространяются на все баллоны, наполненные за указанный промежуток времени.
Для контроля давления аргона в наполненных баллонах отбирают 10% баллонов сменной выработки.
5.3 Для контроля потребителем качества газообразного аргона отбирают 10% баллонов партии, но не менее двух баллонов при партии менее 20 баллонов. В отобранных баллонах проверяют давление.
5.4 Для контроля качества газообразного аргона, транспортируемого в автореципиентах, пробу отбирают от каждого автореципиента.
5.5 Для контроля качества жидкого аргона пробу отбирают от каждой транспортной цистерны. Допускается изготовителю пробу жидкого аргона отбирать из стационарной емкости перед наполнением автоцистерн.
При получении неудовлетворительных результатов анализа по
5.3 - 5.5 хотя бы по одному из показателей проводят по нему повторный анализ на удвоенной выборке. Результаты повторного анализа распространяются на всю партию.
6.1 Общие указания
Общие указания по проведению анализа - по
ГОСТ 27025.
Допускается применение других средств измерения с метрологическими характеристиками и оборудования с техническими характеристиками не хуже, а также реактивов по качеству не ниже указанных в настоящем стандарте.
Допускается применять другие методы анализа, обеспечивающие требуемую точность и достоверность результатов определения. Применяемые методики должны быть аттестованы в установленном порядке.
При разногласиях в оценке качества продукта анализ проводят методами, указанными в настоящем стандарте.
Результаты определения округляют до того количества значащих цифр, которому соответствует норма по данному показателю.
По согласованию с потребителем допускается округлять результаты определения до количества значащих цифр, установленных требованиями договора (контракта).
Все применяемые средства измерений должны быть поверены, испытательное оборудование - аттестовано.
6.2 Отбор проб
6.2.1 Пробу газообразного аргона отбирают из наполненного баллона при давлении не ниже (14,7 +/- 0,5) МПа [(150 +/- 5) кгс/см2] или (19,6 +/- 1,0) МПа [(200 +/- 10) кгс/см2] и температуре от 15 °C до 30 °C, непосредственно в прибор для анализа с помощью редуктора или вентиля тонкой регулировки и стальной или медной соединительной трубки от места отбора пробы до прибора. Редуктор или вентиль промывают анализируемым газом двукратным подъемом давления до 0,98 МПа (10 кгс/см2) и сбросом давления; соединительную трубку продувают не менее чем десятикратным объемом анализируемого газа. При определении объемной доли водяных паров пробу отбирают через трубку из нержавеющей стали.
6.2.2 Пробу жидкого аргона отбирают в установку (рисунок 1), основными частями которой являются: криогенный сосуд СК-6, рассчитанный на давление 0,03 МПа (0,3 кгс/см
2), с крышкой, снабженной двумя трубками, одна из которых доходит до дна сосуда, вторая короткая, закрыта зажимом и змеевиковый испаритель из трубы ДКРНМ 3 x 0,5 НД М3 по
ГОСТ 617, длиной 500 мм.
1 - резиновая трубка с зажимом; 2 - медная трубка 6 x 1;
3 - крышка; 4 - резиновая трубка; 5 - змеевиковый
испаритель; 6 - сосуд с водой; 7 - криогенный сосуд;
8 - трубка из нержавеющей стали 3 x 0,7; 9 - прокладка
Рисунок 1 - Установка по отбору жидкого аргона
Перед отбором пробы жидкого аргона криогенный сосуд охлаждают, наливая 50 - 100 см3 анализируемого жидкого аргона. Неиспарившийся остаток жидкости выливают из сосуда и сразу наливают в него пробу жидкого аргона, заполняя сосуд примерно на 1/2 объема.
При открытом зажиме 1 закрывают криогенный сосуд крышкой и присоединяют к нему змеевиковый испаритель, погруженный в сосуд с водой, нагретой до температуры 50 °C - 60 °C. Короткую трубку присоединяют к баллону с газообразным аргоном высшего сорта через редукционный вентиль, которым регулируют скорость поступления жидкого аргона в испаритель.
Допускается отбирать пробу жидкого аргона непосредственно в прибор для анализа через змеевиковый испаритель. При этом змеевиковый испаритель, погруженный в сосуд с водой, присоединяют к вентилю емкости с жидким аргоном с помощью трубки из нержавеющей стали внутренним диаметром 1,5 - 2,5 мм.
6.3 Определение объемной доли аргона
6.3.1 Объемную долю аргона X, %, вычисляют по формуле
X = 100 - (X1 + X2 + X3 + X4), (1)
где X1 - объемная доля кислорода, %;
X2 - объемная доля азота, %;
X3 - объемная доля водяных паров, %;
X4 - объемная доля суммы углеродсодержащих соединений в пересчете на CO2, %.
6.4 Определение объемной доли кислорода
6.4.1 Аппаратура, реактивы и растворы
Пипетки вместимостью 2, 10 и 25 см
3 по
ГОСТ 29227.
Весы неавтоматического действия с наибольшим пределом взвешивания 200 г и погрешностью +/- 0,2 мг.
Установка для определения кислорода состоит из сосуда для анализа
(рисунок 2), бутыли для поглотительного раствора вместимостью 5 - 10 дм
3 со сливной трубкой (сифоном) и пробирок для колориметрирования
(рисунок 3).
Сосуд для анализа типа СВ-7631 М3 имеет два объема - А и Б, разделенные двухходовым краном 2, снабженным отростком для присоединения к месту отбора пробы, и краном 1 для введения в сосуд поглотительного раствора. Вместимость объема А около 5 дм3, объема Б около 25 см3.
I - соединение сосуда А с атмосферой; II - кран закрыт;
III - соединение сосуда А с сосудом Б; 1 - одноходовой кран;
2 - двухходовой кран
Рисунок 2 - Сосуд для анализа типа СВ-7631 М3
Рисунок 3 - Пробирка для колориметрирования
Аргон газообразный по настоящему стандарту.
Азот газообразный по
ГОСТ 9293, технический, 1 сорт.
Аммиак водный по
ГОСТ 3760, растворы с массовой долей 25% и 4%.
Калий йодистый по
ГОСТ 4232, раствор с массовой долей 10%.
Кислота уксусная по
ГОСТ 61, х.ч., ледяная.
Крахмал растворимый по
ГОСТ 10163, раствор с массовой долей 1%.
Натрий серноватистокислый (тиосульфат натрия) 5-водный по
ГОСТ 27068, раствор молярной концентрации
c (Na
2S
2O
3) = 0,05 моль/дм
3.
Медь (II) сернокислая 5-водная по
ГОСТ 4165, раствор молярной концентрации
c (1/2CuSO
4) = 0,05 моль/дм
3.
Хлорид меди (I) по ГОСТ 4164.
Проволока медная круглая электротехническая типа ММ, диаметром 0,8 - 2,5 мм, в виде спирали.
Смазка для кранов.
Раствор однохлористой меди аммиачный (поглотительный раствор); готовят из расчета 12 г однохлористой меди, 36 г хлористого аммония, 145 см3 раствора аммиака с массовой долей 25% на 1 дм3 воды. Раствор готовят в бутыли, заполненной спиралями из медной проволоки. В бутыль наливают воду и раствор аммиака, затем вносят навески хлористого аммония и хлорида меди. Раствор продувают аргоном до полного растворения солей и обесцвечивания раствора, после чего защищают от доступа воздуха.
Раствор сернокислой меди молярной концентрации c (1/2 CuSO4) = 0,05 моль/дм3 готовят следующим образом: 12,484 г свежеперекристаллизованной сернокислой меди растворяют в воде в колбе вместимостью 1 дм3. Титр раствора определяют йодометрическим методом.
Йод, выделившийся при добавлении к 25 см3 анализируемого раствора 10 см3 раствора йодистого калия и 2 - 3 см3 уксусной кислоты, титруют раствором тиосульфата натрия в присутствии крахмала до обесцвечивания раствора. Поправочный коэффициент (K1) для раствора сернокислой меди вычисляют как частное от деления на 25 объема раствора серноватистокислого натрия, израсходованного на титрование.
Образцовые растворы готовят в пробирках для колориметрирования, в каждую из которых наливают раствор сернокислой меди в количествах, указанных в таблице 2, и затем доводят объем раствора до 25 см3 раствором аммиака с массовой долей 4%.
Срок годности образцовых растворов - 6 мес.
Таблица 2
Номер образцового раствора | Объем раствора сернокислой меди молярной концентрации точно 0,05 моль/дм3, см3 | Объем кислорода в пробе, соответствующий окраске раствора, см 3 |
1 | 0,05 | 0,015 |
2 | 0,10 | 0,030 |
3 | 0,15 | 0,045 |
4 | 0,20 | 0,060 |
5 | 0,25 | 0,075 |
6 | 0,30 | 0,090 |
7 | 0,35 | 0,105 |
8 | 0,40 | 0,120 |
9 | 0,45 | 0,135 |
10 | 0,50 | 0,150 |
Примечание - Объем кислорода, эквивалентный 1 см 3 раствора сернокислой меди молярной концентрации 0,05 моль/дм 3, равен  при 20 °C и 101,3 кПа (760 мм рт. ст.). Если концентрация раствора сернокислой меди не точно 0,05 моль/дм 3, то значения, приведенные в графе 3, умножают на коэффициент K1. |
Перед проведением анализа сосуд промывают хромовой смесью, затем водой и высушивают в токе азота.
Открывают краны
1 и
2 (см.
рисунок 2) и присоединяют сосуд для анализа к месту отбора пробы. Продувают сосуд не менее чем десятикратным объемом анализируемого газа. Уменьшив поток газа, закрывают кран
1, затем кран
2 и отсоединяют прибор от места отбора пробы. Давление газа в приборе выравнивают с атмосферным быстрым поворотом крана
2, кончик которого предварительно погружают в воду. Отмечают барометрическое давление и температуру окружающей среды.
Заполняют объем Б через кран 1 поглотительным раствором, предварительно сливая из сифона первую порцию раствора.
Кран 1 закрывают и подбирают образцовый раствор, совпадающий по окраске с раствором в объеме Б.
Открыв кран 2 (при закрытом кране 1), переливают поглотительный раствор в объеме А и энергично встряхивают сосуд до полного поглощения раствором кислорода из анализируемого газа.
Возвращают раствор в объем Б и подбирают образцовый раствор, совпадающий по окраске с раствором в объеме Б.
6.4.3 Обработка результатов
Объемную долю кислорода X1, %, вычисляют по формуле

, (2)
где V - объем пробы газа, равный вместимости объема А, см3;
V1 - объем кислорода, соответствующий выбранному образцовому раствору до поглощения кислорода, см3;
V2 - объем кислорода, соответствующий выбранному образцовому раствору после поглощения кислорода, см3;
K2 - коэффициент для приведения объема сухого газа к температуре 20 °C и 101,3 кПа (760 мм рт. ст.) определяют по
таблице, приведенной в приложении Б.
За результат анализа принимают среднеарифметическое значение результатов двух параллельных определений, относительное расхождение между которыми не превышает допускаемое расхождение, равное 15%.
Допускаемая относительная суммарная погрешность результата анализа +/- 30% при доверительной вероятности P = 0,95.
Объемную долю кислорода допускается определять многошкальными приборами с гальванической ячейкой с твердым электролитом (при этом объемная доля водорода и горючих примесей не должна превышать 1% измеряемой объемной доли кислорода), а также из наполнительного трубопровода промышленными автоматическими газоанализаторами непрерывного действия по
ГОСТ 13320 с относительной точностью не менее 10%, например, типа ГЛ.
При разногласиях в оценке объемной доли кислорода анализ проводят колориметрическим методом с применением раствора хлористой меди по
6.4.2.
6.5 Определение объемной доли азота
6.5.1 Аппаратура
Спектральные газоанализаторы различных типов с относительной погрешностью не более 15%.
Смеси газовые поверочные с объемной долей азота в аргоне 5 ppm - ГСО N 3992-87, 10 ppm - ГСО N 3994-87, 20 ppm - ГСО N 3995-87, 50 ppm - ГСО N 3997-87, 90 ppm - ГСО N 3994-87 по Госреестру.
6.5.2 Проведение анализа
Принцип работы газоанализатора основан на измерении интенсивности излучения молекулярной полосы азота, возбуждаемого электрическим разрядом в анализируемом газе.
Подготовка к анализу и его проведение выполняются согласно инструкции по эксплуатации прибора.
6.5.3 Обработка результатов
Объемную долю азота X2, %, определяют в соответствии с установившимися показаниями прибора.
Объемную долю азота допускается определять газоадсорбционным хроматографическим методом с применением хроматографа с высокочувствительным детектором по теплопроводности с пороговой чувствительностью по азоту не более 5 ppm.
Объемную долю азота в аргоне допускается определять и другими приборами с относительной погрешностью не более 15%.
При разногласиях в оценке объемной доли азота анализ проводят спектральным методом.
6.6 Определение объемной доли водяных паров
6.6.1 Аппаратура
Влагомеры газов кулонометрические, рассчитанные на измерение микроконцентраций водяных паров, с относительной погрешностью измерения не более 10% при концентрациях от 0 до 20 ppm и не более 5% при более высоких концентрациях.
6.6.2 Проведение анализа
Кулонометрический метод основан на непрерывном количественном извлечении водяных паров из испытуемого газа гигроскопичным веществом и одновременном электролитическом разложении извлекаемой воды на водород и кислород, при этом ток электролиза является мерой концентрации водяных паров.
Прибор соединяют с местом отбора пробы трубкой из нержавеющей стали. Расход газа устанавливают (50 +/- 1) см3/мин. Переключатель диапазонов измерения устанавливают так, чтобы показания прибора были в пределах второй трети измерительной шкалы, градуированной в миллионных долях (ppm). Ток электролиза измеряют микроамперметром.
Температура баллона с анализируемым газом должна быть не ниже 15 °C. Анализ проводят по инструкции, прилагаемой к прибору.
6.6.3 Обработка результатов
Объемную долю водяных паров X3, ppm, определяют в соответствии с установившимися показаниями прибора.
Допускается определять объемную долю водяных паров конденсационным методом, приведенным в
приложении В.
При разногласиях в оценке объемной доли водяных паров анализ проводят кулонометрическим методом.
6.7 Определение объемной доли суммы углесодержащих соединений в пересчете на CO2
6.7.1 Аппаратура, реактивы и растворы
Установка для анализа (рисунок 4), состоит из электрической печи, рассчитанной для нагревания до температуры 900 °C, кварцевой трубки внутренним диаметром от 25 до 30 мм, заполненной окисью меди, абсорбера
(рисунок 5) и газового барабанного счетчика с жидкостным затвором типа РГ-700.
1 - электрическая печь; 2 - кварцевая трубка; 3 - окись
меди; 4 - абсорбер; 5 - счетчик барабанный газовый
Рисунок 4 - Установка для анализа
1 - пять полных витков трубки диаметром (6 +/- 1) мм;
2 - стеклянная перемычка; 3 - место впая
газопроводящей линии
Бюретки вместимостью 25 и 50 см
3 с ценой деления 0,1 см
3 по
ГОСТ 29251.
Весы неавтоматического действия с наибольшим пределом взвешивания 200 г и погрешностью +/- 0,2 мг.
Секундомер механический.
Аргон газообразный, очищенный дополнительно от двуокиси углерода, с помощью щелочного поглотителя любого типа или низкотемпературной адсорбцией до остаточной объемной доли не более 5·10-5%.
Вода дистиллированная по
ГОСТ 6709, свежепрокипяченная.
Кислота соляная, раствор молярной концентрации c (HCl) = 0,01 моль/дм3 (0,01 н); готовят из фиксанала соляной кислоты.
Спирт этиловый ректификованный технический, высший сорт, по
ГОСТ 18300, раствор с массовой долей 60%.
Фенолфталеин, спиртовой раствор с массовой долей 0,1%.
Бария гидроокись 8-водная по
ГОСТ 4107, раствор молярной концентрации
c (1/2 Ba(OH)
2) = 0,01 моль/дм
3; готовят следующим образом: 1,8 г Ba(OH)
2·8H
2O и 0,35 г BaCl
2·2H
2O растворяют в 200 - 300 см
3 горячей воды в мерной колбе вместимостью 1000 см
3, охлажденный раствор доводят водой до метки и фильтруют в токе аргона. Раствор при хранении и использовании должен быть защищен от атмосферного воздуха.
6.7.2 Проведение анализа
Определяют концентрацию раствора гидроокиси бария (контрольная проба). Для этого отбирают в абсорбер 20 см3 раствора и титруют в токе аргона, очищенного от диоксида углерода, раствором соляной кислоты в присутствии 2 - 3 капель раствора фенолфталеина.
Анализируемый аргон пропускают через трубку с окисью меди, нагретую до температуры 800 °C - 850 °C, в течение 10 мин со скоростью около 5 дм3/ч и выбрасывают в атмосферу. Затем присоединяют к трубке абсорбер, в который вливают 20 см3 раствора гидроокиси бария и пропускают через установку 20 дм3 анализируемого аргона, поддерживая скорость газа около 10 дм3/ч. После этого раствор в абсорбере титруют в токе аргона, очищенного от диоксида углерода, соляной кислотой в присутствии 2 - 3 капель раствора фенолфталеина, до обесцвечивания раствора.
6.7.3 Обработка результатов
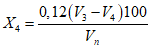
Объемную долю суммы углеродсодержащих соединений в пересчете на CO2 X4, %, вычисляют по формуле

, (3)
где V3 - объем раствора соляной кислоты, израсходованный на титрование контрольной пробы, см3;
V4 - объем раствора соляной кислоты, израсходованный на титрование раствора после поглощения диоксида углерода, см3;
0,12 - коэффициент, учитывающий эквивалентные соотношения раствора гидроокиси бария молярной концентрации c (1/2 Ba(OH)2) = 0,01 моль/дм3 и диоксида углерода;
Vn - объем газа, взятый для анализа, приведенный к нормальным условиям, см3.
За результат анализа принимают среднеарифметическое значение результатов двух параллельных определений, относительное расхождение между которыми не превышает допускаемое расхождение, равное 10%.
Допускаемая относительная суммарная погрешность результата анализа +/- 25% при доверительной вероятности P = 0,95.
Допускается определять объемную долю суммы углеродсодержащих соединений в пересчете на CO
2 газохроматографическими методами, приведенными в
приложении Г.
При разногласиях в оценке объемной доли суммы углеродсодержащих соединений в пересчете на CO2 анализ проводят титрометрическим методом.
6.8 Объемные доли кислорода и суммы углеродсодержащих соединений в пересчете на CO2 допускается определять газоадсорбционным хроматографическим методом с применением хроматографа с высокочувствительным аргоновым разрядным детектором с пороговой чувствительностью не выше 0,5 ppm по каждой определяемой примеси.
7. Транспортирование и хранение
Транспортирование и хранение газообразного и жидкого аргона - по
ГОСТ 26460.
Номинальное давление аргона при температуре 20 °C при наполнении, хранении и транспортировании баллонов и автореципиентов должно составлять (14,7 +/- 0,5) МПа [(150 +/- 5) кгс/см2] или (19,6 +/- 1,0) МПа [(200 +/- 10) кгс/см2].
Возвратные баллоны и автореципиенты должны иметь остаточное давление аргона не ниже 0,05 МПа (0,5 кгс/см2).
8.1 Изготовитель гарантирует соответствие качества газообразного и жидкого аргона требованиям настоящего стандарта при соблюдении потребителем условий хранения и транспортирования.
8.2 Гарантийный срок хранения газообразного аргона - 18 мес со дня изготовления.
(справочное)
ВЫЧИСЛЕНИЕ КОЛИЧЕСТВА ГАЗООБРАЗНОГО И ЖИДКОГО АРГОНА
А.1 Объем газообразного аргона в баллоне Vn, м3, при нормальных условиях вычисляют по формуле
Vn = KVб, (А.1)
где
K - коэффициент для вычисления объема газа в баллоне, приведенный в
таблице А.1, учитывающий сжимаемость аргона, давление и температуру газа в баллоне;
Vб - среднестатистическая вместимость баллона, дм3.
Таблица А.1
Коэффициент
K для вычисления объема газа в баллоне в м
3
при нормальных условиях 20 °C и 101,3 кПА (760 мм рт. ст.)
Температура газа в баллоне, °C | Избыточное давление газа в баллоне, МПа (кгс/см2) |
9,8 (100) | 11,8 (120) | 13,7 (140) | 14,2 (145) | 14,7 (150) | 15,2 (155) | 15,7 (160) | 16,2 (165) | 16,7 (170) | 17,7 (180) | 19,6 (200) | 21,6 (220) |
Минус 50 | 0,157 | 0,193 | 0,231 | 0,240 | 0,249 | 0,258 | 0,267 | 0,276 | 0,284 | 0,300 | 0,331 | 0,363 |
Минус 40 | 0,145 | 0,178 | 0,211 | 0,219 | 0,227 | 0,236 | 0,243 | 0,251 | 0,259 | 0,274 | 0,303 | 0,333 |
Минус 35 | 0,140 | 0,171 | 0,203 | 0,211 | 0,218 | 0,226 | 0,234 | 0,241 | 0,248 | 0,263 | 0,291 | 0,319 |
Минус 30 | 0,135 | 0,165 | 0,195 | 0,203 | 0,210 | 0,217 | 0,224 | 0,232 | 0,239 | 0,253 | 0,280 | 0,307 |
Минус 25 | 0,131 | 0,159 | 0,188 | 0,195 | 0,202 | 0,209 | 0,216 | 0,223 | 0,230 | 0,243 | 0,269 | 0,296 |
Минус 20 | 0,127 | 0,154 | 0,181 | 0,188 | 0,195 | 0,202 | 0,209 | 0,215 | 0,222 | 0,235 | 0,259 | 0,285 |
Минус 15 | 0,123 | 0,149 | 0,175 | 0,182 | 0,189 | 0,195 | 0,202 | 0,208 | 0,215 | 0,227 | 0,252 | 0,276 |
Минус 10 | 0,120 | 0,145 | 0,170 | 0,177 | 0,183 | 0,189 | 0,195 | 0,202 | 0,208 | 0,220 | 0,243 | 0,267 |
Минус 5 | 0,116 | 0,141 | 0,165 | 0,171 | 0,178 | 0,184 | 0,190 | 0,196 | 0,202 | 0,213 | 0,236 | 0,260 |
0 | 0,113 | 0,137 | 0,161 | 0,167 | 0,173 | 0,178 | 0,184 | 0,190 | 0,196 | 0,207 | 0,229 | 0,252 |
5 | 0,110 | 0,134 | 0,157 | 0,162 | 0,168 | 0,174 | 0,179 | 0,185 | 0,190 | 0,201 | 0,223 | 0,245 |
10 | 0,108 | 0,132 | 0,153 | 0,158 | 0,164 | 0,169 | 0,175 | 0,180 | 0,185 | 0,196 | 0,217 | 0,238 |
15 | 0,105 | 0,128 | 0,149 | 0,154 | 0,159 | 0,165 | 0,170 | 0,175 | 0,181 | 0,191 | 0,212 | 0,232 |
20 | 0,103 | 0,124 | 0,145 | 0,150 | 0,155 | 0,161 | 0,166 | 0,171 | 0,176 | 0,186 | 0,206 | 0,227 |
25 | 0,101 | 0,121 | 0,142 | 0,147 | 0,152 | 0,157 | 0,162 | 0,167 | 0,172 | 0,182 | 0,201 | 0,221 |
30 | 0,099 | 0,119 | 0,139 | 0,144 | 0,149 | 0,154 | 0,158 | 0,163 | 0,168 | 0,178 | 0,196 | 0,216 |
35 | 0,097 | 0,116 | 0,136 | 0,140 | 0,145 | 0,150 | 0,155 | 0,160 | 0,164 | 0,174 | 0,192 | 0,211 |
40 | 0,095 | 0,114 | 0,133 | 0,137 | 0,142 | 0,147 | 0,152 | 0,156 | 0,161 | 0,170 | 0,188 | 0,206 |
50 | 0,091 | 0,109 | 0,128 | 0,132 | 0,137 | 0,141 | 0,146 | 0,150 | 0,154 | 0,163 | 0,180 | 0,198 |
За среднестатистическую принимают среднеарифметическое значение вместимостей не менее 100 баллонов.

, (А.2)
где P - давление газа в баллоне, измеренное манометром, кгс/см2;
0,968 - коэффициент пересчета технических атмосфер (кгс/см2) в физические атмосферы;
t - температура газа в баллоне при измерении давления, °C;
Z - коэффициент сжимаемости аргона при температуре t.
Например, при поставке газообразного аргона в баллонах по
ГОСТ 949 вместимостью 40 дм
3 объем газа в баллоне составляет:
при давлении 150 кгс/см2 при температуре 20 °C
0,155·40 = 6,20 м3;
при давлении 200 кгс/см2 при температуре 20 °C
0,206·40 = 8,24 м3.
А.2 Количество жидкого аргона в цистернах измеряют в тоннах или килограммах.
При переводе массы или объема жидкого аргона в м3 газообразного аргона при нормальных условиях пользуются формулами, указанными ниже.

или

, (А.3)
где m - масса жидкого аргона, т;
Vж - объем жидкого аргона, дм3;
1,662 - плотность газообразного аргона при нормальных условиях, кг/м3;
1,392 - плотность жидкого аргона при нормальном давлении, кг/дм3.
(справочное)
ЗНАЧЕНИЕ КОЭФФИЦИЕНТА K2 ДЛЯ ПРИВЕДЕНИЯ ОБЪЕМА ГАЗА
К НОРМАЛЬНЫМ УСЛОВИЯМ
Таблица Б.1
Значение коэффициента
K2 для приведения объема газа
к нормальным условиям
Температура, °C | Показания барометра, кПа (мм рт. ст.) |
93,3 | 94,6 | 96,0 | 97,2 | 98,6 | 100,0 | 101,3 | 102,6 |
(700) | (710) | (720) | (730) | (740) | (750) | (760) | (770) |
K2 |
10 | 0,953 | 0,967 | 0,980 | 0,993 | 1,007 | 1,021 | 1,035 | 1,049 |
12 | 0,946 | 0,960 | 0,974 | 0,985 | 1,000 | 1,014 | 1,028 | 1,042 |
14 | 0,940 | 0,954 | 0,967 | 0,979 | 0,993 | 1,007 | 1,021 | 1,035 |
16 | 0,934 | 0,947 | 0,960 | 0,972 | 0,986 | 1,000 | 1,014 | 1,028 |
18 | 0,927 | 0,940 | 0,954 | 0,966 | 0,979 | 0,993 | 1,007 | 1,021 |
20 | 0,921 | 0,934 | 0,947 | 0,959 | 0,973 | 0,987 | 1,000 | 1,014 |
22 | 0,915 | 0,928 | 0,941 | 0,952 | 0,966 | 0,980 | 0,993 | 1,007 |
24 | 0,908 | 0,921 | 0,934 | 0,946 | 0,960 | 0,973 | 0,986 | 1,000 |
26 | 0,903 | 0,915 | 0,928 | 0,940 | 0,953 | 0,966 | 0,979 | 0,993 |
28 | 0,896 | 0,909 | 0,922 | 0,933 | 0,947 | 0,960 | 0,973 | 0,987 |
30 | 0,890 | 0,903 | 0,916 | 0,927 | 0,941 | 0,954 | 0,967 | 0,980 |
32 | 0,885 | 0,897 | 0,910 | 0,921 | 0,934 | 0,947 | 0,961 | 0,974 |
34 | 0,879 | 0,891 | 0,904 | 0,915 | 0,928 | 0,941 | 0,954 | 0,967 |
35 | 0,876 | 0,889 | 0,901 | 0,912 | 0,925 | 0,938 | 0,951 | 0,964 |
(рекомендуемое)
ОБЪЕМНОЙ ДОЛИ ВОДЯНЫХ ПАРОВ КОНДЕНСАЦИОННЫМ МЕТОДОМ
Объемную долю водяных паров определяют приборами конденсационного типа с пороговой чувствительностью не выше 1,5 ppm.
Относительная погрешность прибора не должна превышать 10%.
Метод основан на измерении температуры насыщения газа водяными парами при появлении росы на охлажденной зеркальной поверхности.
Анализ проводят по инструкции, приложенной к прибору.
Объемную долю водяных паров в соответствии с найденной температурой насыщения определяют по таблице В.1.
Таблица В.1
Объемная доля водяных паров, ppm | Температура насыщения, °C |
2,55 | минус 70 |
3,44 | минус 68 |
4,60 | минус 66 |
6,10 | минус 64 |
8,07 | минус 62 |
10,6 | минус 60 |
14,0 | минус 58 |
18,3 | минус 56 |
23,4 | минус 54 |
31,1 | минус 52 |
39,4 | минус 50 |
49,7 | минус 48 |
63,2 | минус 46 |
80 | минус 44 |
101 | минус 42 |
127 | минус 40 |
Примечание - Объемная доля, равная 1 ppm, соответствует 1·10-4%. |
За результат анализа принимают среднеарифметическое значение результатов двух параллельных определений, относительное расхождение между которыми не превышает допускаемое расхождение, равное 10%.
Допускаемая относительная суммарная погрешность результата анализа +/- 25% при доверительной вероятности P = 0,95.
(рекомендуемое)
ОПРЕДЕЛЕНИЕ ОБЪЕМНОЙ ДОЛИ СУММЫ УГЛЕРОДСОДЕРЖАЩИХ
СОЕДИНЕНИЙ ГАЗОХРОМАТОГРАФИЧЕСКИМИ МЕТОДАМИ
Г.1 Определение объемной доли диоксида углерода, получаемой при окислении углеродсодержащих соединений окисью меди
Г.1.1 Аппаратура, материалы и реактивы
Хроматограф с детектором по теплопроводности с порогом чувствительности по пропану при газе-носителе гелии не выше 2·10-5 мг/см3 и газохроматографической колонкой длиной 1,4 м, внутренним диаметром 4 мм, наполненной активным углем.
Концентратор - U-образный. Для изготовления берется трубка из нержавеющей стали размером 6 x 1 мм, длиной 500 мм. Концентратор наполняется измельченным лабораторным стеклом. К концентрату присоединяют стеклянный переходник (рисунок Г.1) с отростком и пробкой для ввода пробы.
Рисунок Г.1 - Стеклянный переходник с пробкой
Сосуд Дьюара стеклянный, вместимостью около 0,5 дм3.
Счетчик газовый барабанный (с жидкостным затвором) типа РГ-700.
Оборудование вспомогательное для хроматографического анализа:
лупа измерительная по
ГОСТ 25706 16
x увеличением с ценой деления 0,1 мм;
набор сит с сетками по
ГОСТ 6613 или сита аналогичного типа;
шприцы медицинские инъекционные типа Рекорд по
ГОСТ 22967, вместимостью 2, 5, 10 см
3;
секундомер механический; расходомер пенный.
Гелий газообразный очищенный с объемной долей диоксида углерода не более 0,0001%.
Смесь поверочная газовая с объемной долей диоксида углерода в азоте 0,50% - ГСО N 3765-87 по Госреестру.
Уголь активный марки СКТ, фракция с частицами размером 0,2 - 0,5 мм высушенный при температуре 150 °C в течение 4 ч.
Стекло лабораторное, измельченное в фарфоровой ступке. Фракцию с частицами размером 0,2 - 0,5 мм промывают горячей дистиллированной водой и высушивают при температуре 150 °C в течение 4 ч.
Сетка медная с размером ячейки 0,1 - 0,15 мм или волокно стеклянное по
ГОСТ 10727.
Г.1.2 Подготовка к анализу
Газохроматографическую колонку наполняют активным углем; поверх слоя угля укладывают слой стеклянного волокна толщиной 8 - 12 мм. Затем колонку укрепляют в термостате хроматографа и, не присоединяя к детектору, дополнительно высушивают при температуре 150 °C в течение 8 ч в токе газа-носителя при расходе 30 см3/мин.
Концентратор наполняют измельченным стеклом; поверх слоя стекла укладывают медную сетку. Наполненный концентратор продувают газом-носителем в течение 3 ч.
Объемную долю двуокиси углерода определяют методом абсолютной градуировки, используя для этого поверочную газовую смесь (далее - ПГС).
От 3 до 5 доз ПГС объемом от 2 до 10 см3 вводят в хроматограф через концентратор, который присоединяют к хроматографу вместо сменной дозы короткими вакуумными трубками.
Перед введением каждой дозы продувают концентратор газом-носителем (гелием) в течение 1 мин. Затем, прекратив подачу гелия, помещают концентратор в сосуд Дьюара с жидким кислородом. Через 3 мин включают подачу газа-носителя и вводят в его поток через переходник дозу ПГС. Через 1 мин заменяют сосуд Дьюара с жидким кислородом сосудом с водой, нагретой до 25 °C - 30 °C, и записывают хроматограмму десорбированного диоксида углерода.
По хроматограммам ПГС строят градуировочный график зависимости высоты пика диоксида углерода в миллиметрах, приведенной к чувствительности регистратора (масштабу) М1, от объема диоксида углерода в каждой дозе V1 по формуле

(Г.1)
где Cст - объемная доля диоксида углерода в ПГС, %;
Dст - доза ПГС, см3.
Условия градуировки:
температура газохроматографической колонки - 150 °C;
расход газа-носителя (гелия) - 30 см3/мин.
Ток питания детектора и чувствительность регистратора устанавливают опытным путем в зависимости от типа хроматографа.
Градуировку проверяют один раз в месяц, используя газовую смесь диоксида углерода с азотом с установленной объемной долей двуокиси углерода около 0,5%.
Г.1.3 Проведение анализа
Хроматограф подключают к сети и выводят на нормальный режим.
Концентратор присоединяют к переключающему крану хроматографа и продувают не менее чем десятикратным объемом гелия. Одновременно устанавливают расход анализируемого газа около 300 см3/мин по показаниям пенного расходомера.
Помещают концентратор в сосуд Дьюара с жидким кислородом. Через 3 мин направляют в концентрат анализируемый газ и пропускают от 3 до 5 дм3 газа в зависимости от измеряемой объемной доли диоксида углерода. Объем пробы измеряют по показаниям газового счетчика.
Закончив отбор пробы, продувают охлажденный концентратор гелием в течение 1 - 2 мин, затем заменяют сосуд Дьюара с жидким кислородом сосудом с водой, нагретой до температуры 25 °C - 30 °C, и записывают хроматограмму десорбированной двуокиси углерода. Температура газохроматографической колонки, расход газа-носителя (гелия) и ток питания детектора должны быть идентичны принятым при градуировке прибора. Диапазон шкалы регистратора выбирают таким, чтобы пик диоксида углерода был максимальным в пределах диаграммной ленты регистратора.
Г.1.4 Обработка результатов
По высоте пика диоксида углерода, приведенной к чувствительности регистратора М1, определяют по градуировочному графику объем диоксида углерода в пробе аргона и вычисляют объемную долю диоксида углерода X, %, по формуле

, (Г.2)
где V1 - объем диоксида углерода в пробе аргона по градуировочному графику, см3;
V - объем пробы аргона, см3.
За результат анализа принимают среднеарифметическое значение двух параллельных определений, допускаемые расхождения между которыми не должны превышать 15% относительно среднего результата определенного значения при доверительной вероятности, равной 0,95.
Г.2 Определение объемной доли суммы углеродсодержащих соединений с предварительным гидрированием оксида и диоксида углерода
Г.2.1 Аппаратура, материалы и реактивы
Хроматограф с пламенно-ионизационным детектором, с порогом чувствительности по пропану не выше 2,5·10-8 мг/с.
Реактор-трубка из нержавеющей стали диаметром от 3 до 5 мм, длиной 100 - 300 мм, наполненная катализатором, помещенная в печь, рассчитанную на нагрев до температуры 500 °C.
Вспомогательное оборудование для хроматографического анализа по
Г.1.1.
Аргон газообразный по настоящему стандарту, дополнительно очищенный от углеродсодержащих соединений до объемной доли не более 0,0001%.
Водород технический по
ГОСТ 3022 марки А или Б, дополнительно очищенный от углеродсодержащих соединений до объемной доли не более 0,0001%.
Воздух сжатый по
ГОСТ 17433, класс загрязненности не выше 2.
Метан газообразный чистый с объемной долей основного вещества не менее 99,6%.
Никель (II) азотнокислый 6-водный по ГОСТ 4055.
Силикагель технический мелкопористый по
ГОСТ 3956, фракция с размером частиц 0,5 - 1 мм.
Смеси поверочные газовые с объемной долей метана в воздухе 2,5 ppm и 7,5 ppm - ГСО N 3896-87; 10 ppm - ГСО N 3897-87 по Госреестру.
Смесь поверочная газовая с объемной долей диоксида углерода в азоте 50 ppm - ГСО N 3746-87 по Госреестру.
Г.2.2 Подготовка к анализу
Г.2.2.1 Устанавливают в хроматографе газохроматографическую колонку (длиной не более 1 м), не заполненную адсорбентом.
Катализатор для наполнения реактора готовят следующим образом. Высушивают силикагель при температуре 150 °C - 180 °C в течение 4 ч в сушильном шкафу, помещают в фарфоровую чашку и заливают раствором азотнокислого никеля из расчета: на 20 г силикагеля около 10 г Ni(NO3)2·6H2O, растворенного в воде. Силикагель должен быть полностью погружен в раствор. Избыток растворителя выпаривают. Массу прокаливают при температуре 600 °C - 800 °C до прекращения выделения оксидов азота, затем охлаждают, наполняют реактор, присоединяют его к хроматографу и восстанавливают оксид никеля до металлического никеля в токе водорода (расход 60 см3/мин) при температуре 400 °C - 500 °C в течение 4 ч.
Активность катализатора проверяют с помощью поверочной газовой смеси диоксида углерода в аргоне.
В реакторе, присоединенном с помощью тройника к газохроматографической колонке (на выходе газа), двуокись углерода гидрируется водородом при температуре 450 °C - 500 °C до метана. Пик метана фиксируется пламенно-ионизационным детектором. По высоте пика метана определяют объемную долю двуокиси углерода и сравнивают ее с номинальным содержанием диоксида углерода в смеси. Допускаемое расхождение результатов - не более 5%.
Дополнительная очистка водорода в двух колонках, первая из которых наполнена ангидроном, вторая - высушенным и прокаленным синтетическим цеолитом. Вторая колонка охлаждается жидким азотом.
Дополнительная очистка аргона оксидом меди при температуре 700 °C - 750 °C с последующим удалением влаги и двуокиси углерода в двух колонках, первая из которых наполнена ангидроном, вторая - синтетическим цеолитом.
Г.2.2.2 Градуировка хроматографа
| | ИС МЕГАНОРМ: примечание. В официальном тексте документа, видимо, допущена опечатка: имеется в виду рисунок Г.2, а не Г.3. | |
Градуировку хроматографической установки (рисунок Г.3) проводят методом абсолютной градуировки, используя для этого градуировочные смеси. По хроматограммам градуировочных смесей строят градуировочный график зависимости высоты пика метана, приведенной к чувствительности регистратора М1, в миллиметрах, от объемной доли метана в процентах.
1 - баллон с анализируемым газом; 2 - баллон
с газом-носителем (азотом, аргоном или водородом);
3 - редуктор баллона; 4 - вентиль тонкой регулировки;
5 - дозатор; 6 - реактор; 7 - детектор
пламенно-ионизационный; 8 - измерительный прибор
Рисунок Г.2 - Хроматографическая установка
Градуировку проверяют один раз в 3 мес.
Условия градуировки. Расход газа-носителя аргона 60 - 70 см3/мин, водорода 30 - 40 см3/мин, воздуха 150 - 200 см3/мин, доза градуировочной смеси 1 - 2 см3. Чувствительность регистратора устанавливают опытным путем в зависимости от состава градуировочной смеси и типа хроматографа.
Г.2.2.3 Проведение анализа
Пробу анализируемого газа вводят в хроматограф с помощью дозатора. Температура реактора, расход газа-носителя, водорода и воздуха, доза анализируемого газа должны быть идентичны принятым при градуировке прибора.
Чувствительность регистратора выбирают такой, чтобы пик определяемой примеси был максимальным в пределах диаграммной ленты регистратора.
Г.2.2.4 Обработка результатов
Объемная доля суммы углеродсодержащих соединений в пересчете на CO2 X, %, равна объемной доле метана, присутствующего в анализируемом газе и образующегося при гидрировании оксида и диоксида углерода, которую определяют по градуировочному графику по высоте пика метана, приведенной к чувствительности регистратора М1.
За результат анализа принимают среднеарифметическое значение двух параллельных определений, допускаемые расхождения между которыми не должны превышать 15% относительно среднего результата определяемого значения при доверительной вероятности 0,95.
| Технический регламент Таможенного союза "Требования безопасности пищевых добавок, ароматизаторов и технологических вспомогательных средств" (ТР ТС-029-2012) (Принят решением Совета Евразийской экономической комиссии от 20.07.2012 N 58) |