Главная // Актуальные документы // ГОСТ Р (Государственный стандарт)СПРАВКА
Источник публикации
М.: Стандартинформ, 2014
Примечание к документу
Документ
введен в действие с 1 сентября 2014 года.
Название документа
"ГОСТ Р 55878-2013. Национальный стандарт Российской Федерации. Спирт этиловый технический гидролизный ректификованный. Технические условия"
(утв. и введен в действие Приказом Росстандарта от 22.11.2013 N 2057-ст)
"ГОСТ Р 55878-2013. Национальный стандарт Российской Федерации. Спирт этиловый технический гидролизный ректификованный. Технические условия"
(утв. и введен в действие Приказом Росстандарта от 22.11.2013 N 2057-ст)
Утвержден и введен в действие
агентства по техническому
регулированию и метрологии
от 22 ноября 2013 г. N 2057-ст
НАЦИОНАЛЬНЫЙ СТАНДАРТ РОССИЙСКОЙ ФЕДЕРАЦИИ
СПИРТ ЭТИЛОВЫЙ ТЕХНИЧЕСКИЙ ГИДРОЛИЗНЫЙ РЕКТИФИКОВАННЫЙ
ТЕХНИЧЕСКИЕ УСЛОВИЯ
Rectified hydrolytic technical ethyl alcohol.
Specifications
ГОСТ Р 55878-2013
Дата введения
1 сентября 2014 года
1. Разработан Открытым акционерным обществом "Государственный научно-исследовательский институт биосинтеза белковых веществ" (ОАО "ГОСНИИСИНТЕЗБЕЛОК").
2. Внесен Техническим комитетом по стандартизации ТК 326 "Биотехнологическая продукция немедицинского назначения".
3. Утвержден и введен в действие
Приказом Федерального агентства по техническому регулированию и метрологии от 22 ноября 2013 г. N 2057-ст.
4. Введен впервые.
Правила применения настоящего стандарта установлены в ГОСТ Р 1.0-2012
(раздел 8). Информация об изменениях к настоящему стандарту публикуется в ежегодном (по состоянию на 1 января текущего года) информационном указателе "Национальные стандарты", а официальный текст изменений и поправок - в ежемесячном информационном указателе "Национальные стандарты". В случае пересмотра (замены) или отмены настоящего стандарта соответствующее уведомление будет опубликовано в ближайшем выпуске ежемесячного информационного указателя "Национальные стандарты". Соответствующая информация, уведомление и тексты размещаются также в информационной системе общего пользования - на официальном сайте Федерального агентства по техническому регулированию и метрологии в сети Интернет (gost.ru).
Настоящий стандарт распространяется на ректификованный гидролизный технический этиловый спирт (далее - спирт), вырабатываемый из непищевого растительного сырья. Спирт предназначен для использования в качестве растворителя в различных отраслях промышленности, для изготовления различной химической продукции, в качестве оксигенатной добавки к автомобильным топливам, а также для поставки на экспорт.
Формула:

.
Относительная молекулярная масса (по международным атомным массам 2011 г.) - 46,07.
В настоящем стандарте использованы нормативные ссылки на следующие стандарты:
ГОСТ 12.1.004-91. Система стандартов безопасности труда. Пожарная безопасность. Общие требования
ГОСТ 12.1.007-76. Система стандартов безопасности труда. Вредные вещества. Классификация и общие требования безопасности
ГОСТ 12.1.010-76. Система стандартов безопасности труда. Взрывобезопасность. Общие требования
ГОСТ 12.1.018-93. Система стандартов безопасности труда. Пожаровзрывобезопасность статического электричества. Общие требования
ГОСТ 12.1.044-89 (ИСО 4589-84). Система стандартов безопасности труда. Пожаровзрывоопасность веществ и материалов. Номенклатура показателей и методы их определения
ГОСТ 12.4.011-89. Система стандартов безопасности труда. Средства защиты работающих. Общие требования и классификация
ГОСТ 12.4.021-75. Система стандартов безопасности труда. Системы вентиляционные. Общие требования
ГОСТ 12.4.121-83. Система стандартов безопасности труда. Противогазы промышленные фильтрующие. Технические условия
ГОСТ 17.2.3.02-78. Охрана природы. Атмосфера. Правила установления допустимых выбросов вредных веществ промышленными предприятиями
ГОСТ 1770-74 (ИСО 1042-83, ИСО 4788-80). Посуда мерная лабораторная стеклянная. Цилиндры, мензурки, колбы, пробирки. Общие технические условия
ГОСТ 3639-79. Растворы водно-спиртовые. Методы определения концентрации этилового спирта
ГОСТ 5830-79. Реактивы. Спирт изоамиловый. Технические условия
ГОСТ 6016-77. Реактивы. Спирт изобутиловый. Технические условия
ГОСТ 6247-79. Бочки стальные сварные с обручами катания на корпусе. Технические условия
ГОСТ 6563-75. Изделия технические из благородных металлов и сплавов. Технические условия
ГОСТ 9147-80. Посуда и оборудование лабораторные фарфоровые. Технические условия
ГОСТ 9293-74 (ИСО 2435-73). Азот газообразный и жидкий. Технические условия
| | ИС МЕГАНОРМ: примечание. ГОСТ 10749.9-80 утратил силу на территории Российской Федерации с 1 мая 2017 года в связи с введением в действие ГОСТ Р 57251-2016 (Приказ Росстандарта от 09.11.2016 N 1652-ст). | |
ГОСТ 10749.9-80. Спирт этиловый технический. Метод определения сухого остатка
ГОСТ 13950-91. Бочки стальные сварные и закатные с гофрами на корпусе. Технические условия
| | ИС МЕГАНОРМ: примечание. ГОСТ 17269-71 утратил силу с 1 марта 2016 года в связи с введением в действие ГОСТ 12.4.296-2015 (Приказ Росстандарта от 24.06.2015 N 788-ст). | |
ГОСТ 17269-71. Респираторы фильтрующие газопылезащитные РУ-60м и РУ-60му. Технические условия
ГОСТ 17366-80. Бочки стальные сварные толстостенные для химических продуктов. Технические условия
ГОСТ 19908-90. Тигли, чаши, стаканы, колбы, воронки, пробирки и наконечники из прозрачного кварцевого стекла. Общие технические условия
ГОСТ 22235-2010. Вагоны грузовые магистральных железных дорог колеи 1520 мм. Общие требования по обеспечению сохранности при производстве погрузочно-разгрузочных и маневровых работ
ГОСТ 26663-85. Пакеты транспортные. Формирование с применением средств пакетирования. Общие технические требования
ГОСТ 28498-90. Термометры жидкостные стеклянные. Общие технические требования. Методы испытаний
ГОСТ 29169-91 (ИСО 648-77). Посуда лабораторная стеклянная. Пипетки с одной отметкой
ГОСТ 29227-91 (ИСО 835-1-81). Посуда лабораторная стеклянная. Пипетки градуированные. Часть 1. Общие требования
ГОСТ 31340-2013. Предупредительная маркировка химической продукции. Общие требования
ГОСТ 32036-2013. Спирт этиловый из пищевого сырья. Правила приемки и методы анализа
ГОСТ Р 12.4.026-2001. Система стандартов безопасности труда. Цвета сигнальные, знаки безопасности и разметка сигнальная. Назначение и правила применения. Общие технические требования и характеристики. Методы испытаний
ГОСТ Р 51330.5-99 (МЭК 60079-4-75). Электрооборудование взрывозащищенное. Часть 4. Метод определения температуры самовоспламенения
ГОСТ Р 51330.11-99 (МЭК 60079-12-78). Электрооборудование взрывозащищенное. Часть 12. Классификация смесей газов и паров с воздухом по безопасным экспериментальным максимальным зазорам и минимальным воспламеняющим токам.
Примечание. При пользовании настоящим стандартом целесообразно проверить действие ссылочных стандартов в информационной системе общего пользования - на официальном сайте Федерального агентства по техническому регулированию и метрологии в сети Интернет или по ежегодному информационному указателю "Национальные стандарты", который опубликован по состоянию на 1 января текущего года, и по выпускам ежемесячного информационного указателя "Национальные стандарты" за текущий год. Если заменен ссылочный стандарт, на который дана недатированная ссылка, то рекомендуется использовать действующую версию этого стандарта с учетом всех внесенных в данную версию изменений. Если заменен ссылочный стандарт, на который дана датированная ссылка, то рекомендуется использовать версию этого стандарта с указанным выше годом утверждения (принятия). Если после утверждения настоящего стандарта в ссылочный стандарт, на который дана датированная ссылка, внесено изменение, затрагивающее положение, на которое дана ссылка, то это положение рекомендуется применять без учета данного изменения. Если ссылочный стандарт отменен без замены, то положение, в котором дана ссылка на него, рекомендуется применять в части, не затрагивающей эту ссылку.
3. Технические требования
3.1. Спирт должен быть изготовлен в соответствии с требованиями настоящего стандарта по технологическому регламенту, утвержденному в установленном порядке.
3.2. Характеристики
По физико-химическим показателям спирт должен соответствовать требованиям и нормам, указанным в таблице 1.
Таблица 1
Наименование показателя | Значение для сорта | Метод анализа |
"Экстра" | высший | первый |
1. Внешний вид, цвет | Бесцветная прозрачная жидкость, не содержащая механических примесей | По 7.3 настоящего стандарта |
2. Запах | Характерный запах ректификованного спирта без запаха посторонних веществ | По 7.3 настоящего стандарта |
3. Объемная доля этилового спирта, %, не менее | 96,2 | 96,2 | 96,0 | |
4. Проба на чистоту | Должен выдерживать испытания | |
5. Проба на окисляемость при 20 °C, мин, не менее | 15 | 15 | 10 | |
6. Массовая концентрация уксусного альдегида в пересчете на безводный спирт, мг/дм3, не более | 4 | 4 | 10 | По 7.4 настоящего стандарта |
7. Массовая концентрация сивушного масла (пропанол-1, пропанол-2, изобутанол, бутанол-1, изопентанол) в пересчете на безводный спирт, мг/дм3, не более | 4 | 4 | 10 | По 7.4 настоящего стандарта |
8. Массовая концентрация кислот в пересчете на уксусную кислоту в безводном спирте, мг/дм3, не более | 10 | 15 | 20 | |
9. Массовая концентрация сложных эфиров (метилацетат, этилацетат) в пересчете на безводный спирт, мг/дм3, не более | 25 | 30 | 40 | По 7.4 настоящего стандарта |
10. Объемная доля метилового спирта в пересчете на безводный спирт, %, не более | 0,03 | 0,05 | 0,05 | По 7.4 настоящего стандарта |
11. Проба на фурфурол | Отсутствие | |
| | ИС МЕГАНОРМ: примечание. ГОСТ 10749.9-80 утратил силу на территории Российской Федерации с 1 мая 2017 года в связи с введением в действие ГОСТ Р 57251-2016 (Приказ Росстандарта от 09.11.2016 N 1652-ст). | |
|
12. Массовая концентрация сухого остатка в пересчете на безводный спирт, мг/дм3, не более | 2 | 4 | 15 | По ГОСТ 10749.9 и по 7.5 настоящего стандарта |
13. Удельное электрическое сопротивление при 25 °C, МОм·см, не менее | 1,3 | Не нормируется | По 7.6 настоящего стандарта |
3.3. Маркировка
3.3.1. Транспортная маркировка - по
ГОСТ 14192 с нанесением манипуляционного знака "Беречь от солнечных лучей", а также в соответствии с правилами перевозки грузов, действующими на соответствующем виде транспорта.
3.3.2. Каждая грузовая единица должна иметь маркировку, характеризующую степень опасности груза по
правилам [1]:
- класс опасности - 3;
- классификационный шифр - 3012;
- знак опасности - 3;
- номер ООН - 1170;
- транспортное наименование - спирт этиловый технический;
- номер аварийной карточки - 308 (при транспортировании по железной дороге).
3.3.3. Маркировка, характеризующая упакованную продукцию, должна содержать:
- наименование предприятия-изготовителя, его товарный знак и юридический адрес;
- наименование продукта, сорт;
- номер партии;
- объем в декалитрах;
- дату изготовления;
- обозначение настоящего стандарта;
3.3.4. Маркировка продукта, поставляемого на экспорт, должна соответствовать требованиям договора поставки или условиям внешнеэкономического контракта с учетом требований настоящего стандарта и правил перевозок опасных грузов, действующих в международном железнодорожном грузовом сообщении.
3.4. Упаковка
Вместимость бочек - 85 - 275 дм3.
Допускается при транспортировании автомобильным транспортом упаковывать спирт в транспортную тару потребителя. Ответственность за сохранность и качество упакованного в нее продукта несет потребитель.
3.4.2. Упаковка продукта, поставляемого на экспорт, должна соответствовать требованиям договора поставки или условиям внешнеэкономического контракта с учетом требований настоящего стандарта.
3.4.3. Коэффициент заполнения транспортной тары - 0,9.
Транспортная тара с продуктом должна быть герметично закупорена, опломбирована или опечатана.
3.4.4. Упаковка должна соответствовать требованиям
ГОСТ 26319.
4. Требования безопасности
4.1. Предельно допустимая концентрация (ПДК) паров этилового спирта в воздухе рабочей зоны: максимальная разовая - 2000 мг/м3, среднесменная - 1000 мг/м3 по гигиеническим
нормативам [3].
Спирт по степени воздействия на организм человека в соответствии с
ГОСТ 12.1.007 относится к 4-му классу опасности (малоопасным веществам).
4.2. Контроль концентрации паров спирта в воздухе рабочей зоны проводят по методическим указаниям
[4].
4.3. Спирт обладает наркотическим действием, вызывает сухость кожи, пары спирта раздражают слизистые оболочки глаз и верхних дыхательных путей. Кумулятивными и кожно-резорбтивными свойствами спирт не обладает.
4.4. Спирт в воздушной среде, сточных водах и в присутствии других веществ или факторов, а также при высоких температурах (в условиях пожара) токсичных соединений не образует, в химическое взаимодействие с кислородом воздуха при обычных условиях не вступает.
| | ИС МЕГАНОРМ: примечание. ГОСТ 17269-71 утратил силу с 1 марта 2016 года в связи с введением в действие ГОСТ 12.4.296-2015 (Приказ Росстандарта от 24.06.2015 N 788-ст). | |
4.5. Индивидуальные средства защиты: защитные очки, перчатки, спецодежда в соответствии с типовыми отраслевыми нормами, утвержденными в установленном порядке, и требованиями
ГОСТ 12.4.011; респираторы по ГОСТ 17269 с фильтрующими патронами марки А; в замкнутых пространствах - изолирующий шланговый противогаз ПШ-1 или ПШ-2; в аварийных ситуациях - фильтрующий промышленный противогаз типа I марки А или БКФ по
ГОСТ 12.4.121.
4.6. Этиловый спирт - легковоспламеняющаяся жидкость.
Температура вспышки спирта в закрытом тигле - 13 °C, температура самовоспламенения - 400 °C. Концентрационные пределы распространения пламени (воспламенения), % об.: нижний - 3,6; верхний - 17,7.
Температурные пределы распространения пламени (воспламенения), °C: нижний - 11; верхний - 41.
4.7. При пожаре для тушения применяют следующие вещества и материалы: пену, порошок ПСБ, двуокись углерода, распыленную воду, песок; в помещениях - объемное тушение.
4.8. При работе с продуктом, отборе проб, сливоналивных операциях следует соблюдать требования электростатической искробезопасности по
ГОСТ 12.1.018.
4.9. В производственных помещениях должны быть предусмотрены следующие меры предосторожности: герметизация оборудования и аппаратов, общеобменная приточно-вытяжная и местная вентиляции в соответствии с требованиями
ГОСТ 12.4.021.
Электрооборудование и освещение должны быть во взрывозащищенном исполнении, оборудование и трубопроводы - заземлены.
Следует использовать следующие знаки безопасности по
ГОСТ Р 12.4.026: запрещающий знак - P02 "Запрещается пользоваться открытым огнем и курить"; предупредительный знак - W01 "Пожароопасно. Легковоспламеняющиеся вещества".
4.10. Пожаровзрывобезопасность при производстве спирта следует обеспечивать в соответствии с требованиями
ГОСТ 12.1.004 и
ГОСТ 12.1.010.
Довзрывоопасную концентрацию в помещениях определяют с помощью автоматических стационарных сигнализаторов.
В соответствии с требованиями пожарной безопасности по совместному хранению материалов и веществ (см. ГОСТ 12.1.004,
приложение 7) спирт относится к разряду опасных веществ категории 321.
4.11. При производстве спирта и работе с ним следует соблюдать санитарные правила и правила по технике безопасности, принятые при работе с легковоспламеняющимися химическими веществами, а также требования, предусмотренные
ГОСТ 12.1.007.
5. Требования охраны окружающей среды
5.1. Во избежание попадания спирта в окружающую среду необходимо использовать в технологическом процессе производства герметичное оборудование и трубопроводы.
5.2. ПДК паров этилового спирта в атмосферном воздухе населенных мест - 5 мг/м3 (4-й класс опасности) по гигиеническим
нормативам [6].
Предельно допустимые значения выбросов вредных веществ в атмосферу устанавливают по
ГОСТ 17.2.3.02.
Контроль воздушной среды проводят по методикам, утвержденным в установленном порядке или согласованным с органами санитарного надзора.
5.3. Спирт полностью используют, утилизация не требуется.
6.1. Спирт принимают партиями. Партией считают любое количество однородного по своим показателям качества спирта, сопровождаемое одним документом о качестве.
При отгрузке продукта в железнодорожных цистернах и автоцистернах партией считают каждую цистерну.
6.2. Документ о качестве должен содержать:
- наименование предприятия-изготовителя, его товарный знак и юридический адрес;
- наименование продукта, сорт;
- номер партии, количество мест в партии, их номера;
- объем спирта в декалитрах или массы брутто и нетто;
- дату изготовления;
- результаты проведенного анализа или подтверждение о соответствии качества продукта требованиям настоящего стандарта;
- обозначение настоящего стандарта.
6.3. При поставке продукта на экспорт документ о качестве оформляют в соответствии с требованиями договора поставки или условиями внешнеэкономического контракта.
6.4. Объем выборки продукта, упакованного в транспортную тару, - 10% партии, но не менее трех упаковочных единиц.
При отгрузке спирта в железнодорожных цистернах и автоцистернах проверке подвергают каждую цистерну.
Допускается изготовителю отбирать пробу из товарного резервуара.
6.5. Показатели "Массовая концентрация сухого остатка" и "Удельное электрическое сопротивление" изготовитель определяет по требованию потребителя.
6.6. При получении неудовлетворительных результатов анализа спирта хотя бы по одному из показателей по нему проводят повторный анализ на удвоенной выборке или вновь отобранной пробе из цистерны или товарного резервуара той же партии. Результаты повторного анализа распространяют на всю партию.
Точечные пробы из цистерны или резервуара-хранилища отбирают переносным пробоотборником равными частями с трех уровней: сверху, из середины и снизу.
Допускается использовать пробоотборник другой конструкции.
Из отпускного мерника точечные пробы отбирают с помощью пробоотборных кранов. При отсутствии кранов пробы отбирают так же, как из цистерны. Из бочек точечную пробу отбирают чистой стеклянной трубкой, погружая ее до дна.
Объем точечной пробы - не менее 200 см3. Отобранные точечные пробы соединяют вместе и тщательно перемешивают. Объем объединенной пробы должен быть не менее 2 дм3.
7.2. Общие указания
Допускается применение других средств измерений с метрологическими характеристиками и оборудования с техническими характеристиками не хуже, а также реактивов по качеству не ниже, чем в предусмотренных настоящим стандартом методах анализа.
7.3. Определение внешнего вида, цвета и запаха
Сущность метода определения заключается в оценке цвета, прозрачности и запаха спирта, выполняемой органолептически. Органолептическую оценку спирта проводят в светлом, хорошо проветриваемом помещении без посторонних запахов.
7.3.1. Определение цвета и прозрачности
Метод основан на визуальном сравнении анализируемого спирта и дистиллированной воды.
7.3.1.1. Аппаратура, реактивы, посуда
Штатив для пробирок.
Пробирки 10 или 20 по
ГОСТ 19908 из бесцветного стекла.
7.3.1.2. Проведение анализа
В две одинаковые по размеру пробирки наливают по 10 см3: в одну - анализируемого спирта, в другую - дистиллированной воды.
Сравнивают содержимое пробирок в проходящем рассеянном свете, устанавливают отклонения по цвету и определяют наличие механических примесей в спирте.
7.3.2. Определение запаха
7.3.2.1. Аппаратура, реактивы, посуда
Термометры жидкостные стеклянные с диапазоном измерения от 0° до 100 °C и с ценой деления 0,1 °C или 0,5 °C по
ГОСТ 28498.
Бокалы дегустационные.
Склянка с пришлифованной пробкой.
7.3.2.2. Проведение анализа
Готовят водно-спиртовой раствор с объемной долей спирта 40% при температуре (20 +/- 2) °C. Полученный водно-спиртовой раствор помещают в склянку с пришлифованной пробкой, тщательно перемешивают, наливают в дегустационный бокал и сразу же определяют запах.
Анализируемый спирт должен иметь характерный запах ректификованного спирта без запаха посторонних веществ.
7.4. Определение массовой концентрации уксусного альдегида, сивушного масла (пропанол-1, пропанол-2, изобутанол, бутанол-1, изопентанол), сложных эфиров (метилацетат, этилацетат), объемной доли метанола
Определение проводят методом газовой хроматографии на хроматографе, оснащенном капиллярной колонкой с применением абсолютной градуировки.
7.4.1. Аппаратура, материалы, реактивы, посуда
Газовый хроматограф с пламенно-ионизационным детектором с уровнем флуктуации шумов нулевого сигнала не более

, с дрейфом нулевого сигнала детектора не более

, с пределом детектирования

.
Колонка газохроматографическая капиллярная HP-FFAP (США) 50 м x 0,32 мм x 0,52 мкм или Innowax 60 м x 0,53 мм x 1 мкм.
Микрошприц вместимостью 10 мм3 фирмы Agilent Technologies (N 5181-1267 по каталогу 2002/2003 г.) или аналогичный.
Микрошприц вместимостью 100 мм3 фирмы Agilent Technologies (N 5183-2058 по каталогу 2002/2003 г.) или аналогичный.
Компьютер, имеющий программное обеспечение, позволяющий проводить обработку хроматограмм.
Весы неавтоматического действия, обеспечивающие для навесок массой от 0,05 до 200 г относительную погрешность измерения не более +/- 1%.
Термометры жидкостные стеклянные диапазоном измерения от 0 °C до 100 °C с ценой деления 0,1 °C или 0,5 °C по
ГОСТ 28498.
Газ-носитель - азот по
ГОСТ 9293, ос.ч. или 1-го сорта повышенной чистоты или гелий газообразный очищенный марки А или Б по
[7]. Допускается использовать генератор азота.
Водород технический по
ГОСТ 3022 марки А. Допускается использовать генератор водорода.
Воздух сжатый. Допускается использовать компрессоры любого типа, обеспечивающие необходимое давление и чистоту воздуха согласно инструкции по эксплуатации газового хроматографа.
Спирт этиловый гидролизный ректификованный с объемной долей основного вещества не менее 96,2%.
Альдегид уксусный по
[8].
Метилацетат, х.ч. или ч., по
[9].
Этилацетат, х.ч., по
[10].
Спирт изопропиловый (пропанол-2) по
[12].
Спирт пропиловый (пропанол-1) по
[13].
Склянки для хранения градуировочных растворов любого типа с пробкой, обеспечивающей герметичность.
7.4.2. Подготовка к анализу
7.4.2.1. Подготовка хроматографа
Капиллярную колонку помещают в термостат хроматографа и, не подсоединяя к детектору, продувают газом-носителем при объемном расходе 0,05 - 0,06 дм3/ч при температуре термостата колонок 160 °C в течение 8 ч. Затем колонку присоединяют к детектору и проверяют стабильность нулевой линии при рабочей температуре термостата.
Монтаж, наладку и вывод хроматографа на рабочий режим проводят в соответствии с инструкцией, прилагаемой к прибору.
7.4.2.2. Приготовление градуировочных растворов определяемых веществ
Прибор градуируют по градуировочным растворам определяемых веществ в этиловом спирте. В диапазоне массовой концентрации от 0,8 до 10 мг/дм3 (ацетальдегид, метилацетат, этилацетат, пропанол-2, пропанол-1, изобутанол, бутанол-1, изопентанол) и объемной доли от 0,0010% до 0,010% (метанол) допускается проводить градуировку с использованием государственного стандартного образца градуировочной смеси для анализа спирта ГСО 8404-2003 или аналогичного.
7.4.2.3. Приготовление рабочего раствора А
В мерную колбу вместимостью 100 см3 помещают 50 см3 этилового спирта и вносят пипеткой вместимостью 1 см3 1,0 см3 метанола. Содержимое колбы перемешивают взбалтыванием, доводят объем раствора в колбе этиловым спиртом до уровня на 1 см ниже метки и выдерживают при температуре 20 °C в течение 25 мин. Затем доводят объем раствора в колбе этиловым спиртом до метки и тщательно перемешивают.
Объемную долю метанола

, %, вычисляют по формуле

, (1)
где

- объем метанола, см3;

- объемная доля основного вещества в метаноле, %;
V - вместимость мерной колбы, см3.
7.4.2.4. Приготовление градуировочного раствора N 1
В мерную колбу вместимостью 50 см3 помещают примерно 25 см3 этилового спирта и взвешивают. Затем последовательно вносят микрошприцем вместимостью 100 мм3 определяемые вещества в порядке, указанном в таблице 2.
Таблица 2
Определяемое вещество | Объем, мм3 |
Метилацетат | 54 |
Этилацетат | 54 |
Пропанол-2 | 64 |
Пропанол-1 | 62 |
Изобутанол | 62 |
Бутанол-1 | 62 |
Изопентанол | 62 |
Уксусный альдегид | 64 |
Причем уксусный альдегид вносят шприцем, охлажденным в морозильной камере. После внесения каждого вещества колбу взвешивают повторно. Результаты всех взвешиваний в граммах записывают с точностью до четвертого десятичного знака.
Затем вносят пипеткой вместимостью 5 см3 5,0 см3 рабочего раствора А. Содержимое колбы перемешивают взбалтыванием, доводят объем раствора в колбе этиловым спиртом до уровня на 1 см ниже метки и выдерживают при температуре 20 °C в течение 25 мин. Затем доводят объем раствора в колбе этиловым спиртом до метки и тщательно перемешивают.
Массовую концентрацию i-го определяемого вещества

, мг/дм3, вычисляют по формуле

, (2)
где

- масса навески i-го определяемого вещества, мг;

- массовая доля основного вещества, %;
V - вместимость мерной колбы, см3.
Объемную долю метанола

, %, вычисляют по формуле

, (3)
| | ИС МЕГАНОРМ: примечание. Обозначение дано в соответствии с официальным текстом документа. | |
где

- объемная доля метанола в рабочем растворе А, %.
7.4.2.5. Приготовление градуировочных растворов N 2 - 7
Градуировочные растворы N 2 - 7 готовят путем разбавления соответствующего раствора согласно таблице 3.
Таблица 3
В кубических сантиметрах
Порядковый номер приготавливаемого градуировочного раствора | Порядковый номер разбавляемого градуировочного раствора | Вместимость мерной колбы | Объем разбавляемого градуировочного раствора | Вместимость пипетки |
2 | 1 | 100 | 10,0 | 10 |
3 | 1 | 100 | 5,0 | 5 |
4 | 3 | 50 | 8,0 | 10 |
5 | 3 | 50 | 4,0 | 5 |
6 | 3 | 50 | 2,0 | 5 |
7 | 4 | 50 | 5,0 | 1 |
Массовую концентрацию i-го определяемого вещества в j-м градуировочном растворе

, мг/дм3, вычисляют по формуле

, (4)
где a - объем разбавляемого раствора, см3;

- массовая концентрация i-го определяемого вещества в разбавляемом растворе, мг/дм3;
V - вместимость мерной колбы, см3.
Объемную долю метанола в j-м градуировочном растворе

, %, вычисляют по формуле

, (5)
где a - объем разбавляемого раствора, см3;

- объемная доля метанола в разбавляемом растворе, %;
V - вместимость мерной колбы, см3.
Приготовление градуировочных растворов проводят в вытяжном шкафу при температуре окружающего воздуха 18 °C - 22 °C.
Градуировочные растворы хранят в холодильнике в герметичной закрытой посуде. Срок хранения - 1 месяц.
7.4.3. Условия хроматографического анализа
Измерения выполняют при следующих условиях:
колонка | HP-FFAP (США) | Innowax |
температура термостата: | | |
начальная, °C | 75 (7,5 мин) | 65 (10 мин) |
программированный нагрев, °C | до 165 (со скоростью 8 °C/мин) | до 150 (со скоростью 8 °C/мин) |
выдержка при конечной температуре, мин | 2 | 10 |
температура испарителя (инжектора), °C | 175 | 150 |
инжектор с делением потока (коэффициент деления потока) | 40:1 | 30:1 |
температура детектора, °C | 200 | 200 |
объемный расход газа-носителя, дм3/ч | 0,06 | 0,18 |
объемный расход воздуха, дм3/ч | 18 | 18 |
объемный расход водорода, дм3/ч | 1,5 | 1,5 |
объем пробы, мм3 | 0,5 - 1 | 1 |
При проведении анализа необходимо проводить оценку и контроль степени разделения пиков определяемых веществ. Рассчитывают коэффициент разделения.
Коэффициент разделения пиков определяемых веществ R вычисляют по формуле

, (6)
где l - расстояние между вершинами хроматографических пиков на хроматограмме, ед. времени;

,

- ширина основания хроматографических пиков, ед. времени.
Хроматограммы пригодны для дальнейшей обработки, если R >= 0,5; для пиков пропанола-2 и этанола R >= 0,07.
Если условия разделения не выполняются, то необходимо провести корректировку коэффициента деления потока в сторону уменьшения количества пробы, вводимой в колонку.
Допускается проведение анализа в других условиях хроматографирования, обеспечивающих разделение определяемых веществ.
7.4.4. Построение градуировочной характеристики
7.4.4.1. До построения градуировочной характеристики проводят анализ этилового спирта, применяемого для приготовления градуировочных растворов, для учета количества примесей, вносимых со спиртом в градуировочные растворы при их приготовлении. Этиловый спирт и градуировочный раствор N 7 хроматографируют три раза при условиях, указанных в
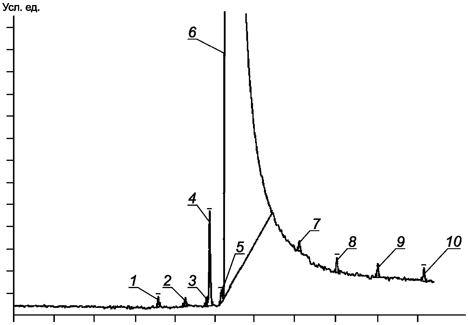
7.4.3. Записывают хроматограммы анализов, регистрируют время удерживания и площади хроматографических пиков определяемых веществ. Порядок выхода пиков с использованием колонки HP-FFAP представлен на рисунке 1. Порядок выхода пиков с использованием колонки Innowax аналогичен.
1 - уксусный альдегид; 2 - метилацетат; 3 - этилацетат;
4 - метанол; 5 - пропанол-2; 6 - этанол; 7 - пропанол-1;
8 - изобутанол; 9 - бутанол-1; 10 - изопентанол
Рисунок 1. Типовая хроматограмма градуировочного
раствора N 7
Проверяют выполнение условия

, (7)
где

и

- площади хроматографических пиков i-го определяемого вещества (среднее значение, усл. ед.) на хроматограмме градуировочного раствора N 7 (рисунок 1) и хроматограмме этилового спирта.
Необходимо проводить проверку не менее чем для двух определяемых веществ: метанола и пропанола-2. Выполнение условия (7) подтверждает пригодность этилового спирта для проведения измерений по настоящей методике.
Если на хроматограмме этилового спирта хроматографические пики определяемых веществ имеют высоту, более чем в два раза превышающую уровень флуктуационных шумов, то градуировочную характеристику строят методом стандартных добавок по
7.4.4.4. Этот метод позволяет учесть наличие определяемых веществ в этиловом спирте. В противном случае построение градуировочной характеристики проводят по
7.4.4.3.
Градуировку хроматографа проводят при внедрении методики, после мероприятий, заведомо приводящих к ее изменению, а также при отрицательных результатах контроля по
7.4.8.2.
7.4.4.2. Для построения градуировочной характеристики используют данные хроматографирования градуировочных растворов с содержанием определяемого вещества, соответствующим рабочему диапазону измерений согласно таблице 4.
Таблица 4
Наименование определяемого вещества | Диапазон массовой концентрации определяемого вещества, мг/дм3 | Диапазон объемной доли определяемого вещества, % | Номер градуировочного раствора |
Уксусный альдегид | От 0,8 до 8,0 включ. | - | N 4 - 7 |
Метилацетат | Св. 8,0 до 1000 включ. | - | N 1 - 4 |
Этилацетат | | | |
Пропанол-2 | | | |
Пропанол-1 | | | |
Изобутанол | | | |
Бутанол-1 | | | |
Изопентанол | | | |
Метанол | - | 0,001 - 0,100 | N 1 - 4 |
Каждый градуировочный раствор хроматографируют три раза при условиях, указанных в
7.4.3. Полученные значения площадей хроматографических пиков усредняют и проверяют приемлемость выходных сигналов хроматографа.
Результаты считают приемлемыми, если для каждого определяемого вещества и каждого градуировочного раствора выполняется условие

, (8)
где

- максимальная площадь хроматографического пика, усл. ед.;

- минимальная площадь хроматографического пика, усл. ед.;

- среднеарифметическое значение площадей хроматографических пиков, полученных при параллельных определениях, усл. ед.;
d - норматив контроля приемлемости, %.
Значения d в зависимости от диапазона измеряемых содержаний приведены в таблице 5.
Процедуру повторяют для каждого градуировочного раствора.
Наименование определяемого вещества | Диапазон массовой концентрации, мг/дм3 | Диапазон объемной доли, % | L, % | K, % | d, % | D, % |
Уксусный альдегид | От 0,8 до 8,0 включ. | - | 8 | 10 | 25 | 19 |
Метилацетат | Св. 8,0 до 1000 включ. | - | 6 | 8 | 15 | 11 |
Этилацетат | | | | | | |
Пропанол-2 | | | | | | |
Пропанол-1 | | | | | | |
Изобутанол | | | | | | |
Бутанол-1 | | | | | | |
Изопентанол | | | | | | |
Метанол | - | От 0,001 до 0,01 включ. | 8 | 10 | 20 | 15 |
Св. 0,01 до 0,1 включ. | 6 | 8 | 10 | 8 |
7.4.4.3. Построение градуировочной характеристики по методу наименьших квадратов
Рассчитывают коэффициенты a и b градуировочного уравнения

. (9)
Расчет коэффициентов a и b осуществляют по алгоритму, заложенному в компьютерной программе хроматографа, или вычисляют по уравнениям:

; (10)

, (11)
где

- среднее значение площади хроматографического пика, усл. ед.;

- содержание определяемого вещества в j-м градуировочном растворе, мг/дм3 или %;
m - число градуировочных растворов.
7.4.4.4. Построение градуировочной характеристики по методу стандартных добавок
Рассчитывают коэффициенты a и b градуировочного уравнения

. (12)
Расчет коэффициентов a и b осуществляют по алгоритму, заложенному в компьютерной программе хроматографа, или вычисляют по уравнениям:

; (13)

, (14)
где

- среднее значение разницы площадей хроматографических пиков определяемого вещества в j-м градуировочном растворе и этиловом спирте, усл. ед.;

- содержание определяемого вещества в j-м градуировочном растворе, мг/дм3 или %;
m - число градуировочных растворов.
7.4.5. Проведение анализа
Проводят три параллельных определения содержания определяемого вещества в пробе анализируемого спирта в условиях, приведенных в
7.4.3.
7.4.6. Обработка результатов
Обработку результатов измерений выполняют с помощью компьютера в соответствии с градуировочными характеристиками.
Массовую концентрацию определяемого вещества C, мг/дм3, или объемную долю метанола Ф, %, вычисляют по формулам:

; (15)

, (16)
где y - площадь хроматографического пика определяемого вещества, усл. ед.;
a, b - коэффициенты градуировочного уравнения.
Полученные значения содержания определяемых веществ усредняют и проверяют приемлемость единичных результатов измерений для P = 0,95 по формуле

, (17)
где

- содержание определяемого вещества при втором измерении, мг/дм3 или %;

- содержание определяемого вещества при первом измерении, мг/дм3 или %;

- среднеарифметическое значение результатов измерений содержания определяемого вещества, мг/дм3 или %;
D - норматив контроля приемлемости единичных результатов измерений.
Значения D в зависимости от диапазона измерений приведены в
таблице 5.
7.4.7. Оформление результатов измерений
7.4.7.1. Результаты анализа при записи в документах представляют в следующем виде

, k = 2; (18)

, k = 2, (19)
где

- результат измерения массовой концентрации i-го определяемого вещества, мг/дм3;
U - значение расширенной неопределенности измерений (при коэффициенте охвата k = 2), приведенное в таблице 6;

- результат измерения объемной доли метанола, %.
Таблица 6
Характеристики погрешности измерений
Наименование определяемого вещества | Массовая концентрация определяемого вещества, мг/дм3 | Объемная доля определяемого вещества, % | Расширенная неопределенность измерений (при коэффициенте охвата 2) <*>, U | Относительное стандартное отклонение результатов измерения (в условиях повторяемости) |
Метилацетат | От 0,8 до 8,0 включ. | - | | 7,5 |
Этилацетат | Св. 8,0 до 1000 включ. | - | | 4,0 |
Пропанол-1 | | | | |
Изобутанол | | | | |
Бутанол-1 | | | | |
Изопентанол | | | | |
Метанол | - | От 0,0010 до 0,010 включ. | | 5,7 |
Св. 0,010 до 0,10 включ. | | 3,1 |
Уксусный альдегид | От 0,8 до 8,0 включ. | - | | 7,5 |
Пропанол-2 | Св. 8,0 до 1000 включ. | - | | 4,0 |
<*> Значение расширенной неопределенности соответствует границе абсолютной погрешности  при P = 0,95. |
7.4.7.2. При необходимости содержание определяемых веществ может быть пересчитано на безводный спирт по формулам:

; (20)

, (21)
где

- результат определения массовой концентрации i-го определяемого вещества, мг/дм3;

- результат определения объемной доли метанола, %;
P - объемная доля этилового спирта в анализируемой пробе, %.
7.4.8. Контроль точности результатов измерений
7.4.8.1. Контроль правильности градуировочной характеристики проводят каждый раз при построении градуировочной зависимости для всех градуировочных растворов.
Результат проверки признают положительным при выполнении условия

, (22)
где

- среднее значение содержания определяемого вещества в j-м градуировочном растворе, полученное по градуировочной характеристике, мг/дм3 или %;

- содержание определяемого вещества в j-м градуировочном растворе, мг/дм3 или %;
L - норматив контроля правильности построения градуировочной характеристики, %.
Значения L в зависимости от диапазона измерений приведены в
таблице 5.
7.4.8.2. Контроль стабильности градуировочной характеристики
Контроль проводят не реже одного раза в месяц по свежеприготовленным по
7.4.2.2 -
7.4.2.5 градуировочным растворам. Используют два раствора, соответствующих началу и концу диапазона измерений. Ввод проб в хроматограф осуществляют в соответствии с
7.4.3.
Обработку результатов проводят в соответствии с
7.4.6.
Результаты контроля считают положительными при выполнении условия

, (23)
где

- среднее значение содержания определяемого вещества, полученное из градуировочной характеристики, мг/дм3 или %;

- содержание определяемого вещества в контрольном растворе, мг/дм3 или %;
K - норматив контроля стабильности градуировочной характеристики, %.
Значения K в зависимости от диапазона измеряемых содержаний приведены в
таблице 5.
7.4.8.3. Контроль правильности измерений
Периодичность контроля зависит от количества измерений, выполненных за контролируемый период, и определяется планом внутрилабораторного контроля.
Контроль проводят с использованием в качестве средств контроля ГСО 8404-2003.
Результат контроля признают удовлетворительным, если выполняется условие

, (24)
где

- результат измерений содержания определяемого вещества в стандартном образце, мг/дм3 или %;

- аттестованное значение содержания определяемого вещества в стандартном образце, мг/дм3 или %;
N - норматив контроля правильности измерений.
Норматив контроля вычисляют по формуле
N = 0,84U (P = 0,90), (25)
где U - расширенная неопределенность измерений при коэффициенте охвата k = 2
(таблица 6).
При превышении норматива эксперимент повторяют. При повторном получении отрицательного результата выясняют причины, приводящие к неудовлетворительным результатам контроля, и устраняют их.
| | ИС МЕГАНОРМ: примечание. ГОСТ 10749.9-80 утратил силу на территории Российской Федерации с 1 мая 2017 года в связи с введением в действие ГОСТ Р 57251-2016 (Приказ Росстандарта от 09.11.2016 N 1652-ст). | |
7.5. Массовую концентрацию сухого остатка определяют по ГОСТ 10749.
Для выпаривания пробы анализируемого спирта применяют выпарительные чашки по
ГОСТ 9147 или кварцевые выпарительные чаши по
ГОСТ 19908, или платиновые чашки по
ГОСТ 6563.
7.6. Определение удельного электрического сопротивления
Определение проводят кондуктометрическим методом с применением кондуктометрических анализаторов жидкостей (кондуктометров).
7.6.1. Аппаратура и реактивы
Кондуктометр диапазоном измерения удельного электрического сопротивления от 0,1 до 10 МОм·см.
Датчик кондуктометрический УЭП наливного типа.
7.6.2. Подготовка к анализу
Монтаж, наладку и вывод кондуктометра на рабочий режим проводят в соответствии с инструкцией, прилагаемой к прибору.
Если датчик использовался для измерений удельной электропроводности (УЭП) других жидкостей, его промывают дистиллированной водой и высушивают при температуре не более 50 °C.
7.6.3. Условия выполнения измерений
Измерения выполняют при следующих условиях:
температура воздуха, °C ............................... 20 +/- 5
относительная влажность воздуха при 25 °C, %,
не более .................................................. 80
атмосферное давление, кПа (мм рт. ст.) ................ от 84 до 106,7
(от 630 до 800)
температура пробы, °C ................................. 23 +/- 3
7.6.4. Проведение анализа
Измерение проводят в соответствии с руководством по эксплуатации кондуктометра.
Датчик УЭП заполняют анализируемым спиртом.
Часть пробы спирта используют для ополаскивания датчика перед его заполнением.
Если температура пробы отличается от температуры датчика более чем на 15 °C, выдерживают кондуктометрический датчик в заполненном состоянии в течение не менее 15 мин.
Выполняют процедуру измерения удельного электрического сопротивления три раза, заполняя датчик каждый раз новой пробой.
7.6.5. Приемлемость результатов измерений
Проводят измерения удельного электрического сопротивления спирта не менее пяти раз, выполняя заливку датчика кондуктометра (применение уже использованной части пробы недопустимо). Полученные значения удельного электрического сопротивления усредняют и вычисляют основную погрешность каждого из пяти измерений удельного электрического сопротивления

, МОм·см, по формуле

, (26)
где

- среднеарифметическое значение, МОм·см;

- показания кондуктометра для каждого из пяти измерений, МОм·см.
Результаты считают приемлемыми, если выполняется условие

, (27)
где

- максимальное значение основной погрешности результатов измерений, полученное выше [смотри
формулу (26)], МОм·см;

- среднеарифметическое значение, МОм·см.
7.6.6. Обработка результатов
По результатам трех измерений удельного электрического сопротивления вычисляют среднеарифметическое значение

, МОм·см, по формуле

, (28)
где

- показания кондуктометра для каждого из трех измерений, МОм·см.
7.6.7. Оформление результатов
Результат измерений удельного электрического сопротивления спирта

, МОм·см, представляют в виде

, (29)
где

- среднеарифметическое значение, МОм·см;

- предел основной относительной погрешности измерений, МОм·см, при доверительной вероятности P = 0,95.
8. Транспортирование и хранение
8.1. Спирт транспортируют в железнодорожных цистернах в соответствии с
правилами [17].
Код цистерн - LGBF в соответствии с
[18].
Степень заполнения вагонов-цистерн - не более 95% полного объема котла.
Автомобильным транспортом спирт транспортируют в соответствии с
правилами [19].
8.2. Спирт в транспортной таре транспортируют по железной дороге в крытых вагонах (КВ), повагонными или мелкими отправками в соответствии с
правилами [1], документом
[20], а также в соответствии с
ГОСТ 22235.
8.3. Спирт, упакованный в транспортную тару вместимостью не более 100 дм3, транспортируют в пакетированном виде. Пакетирование - по
ГОСТ 26663.
8.4. Спирт хранят в соответствии с
инструкцией [21] в специально оборудованных и предназначенных для него резервуарах или на складе грузоотправителя или грузополучателя в упаковке изготовителя.
9.1. Изготовитель гарантирует соответствие спирта требованиям настоящего стандарта при соблюдении условий транспортирования и хранения.
9.2. Гарантийный срок хранения спирта - 1 год со дня изготовления.
(обязательное)
ПРЕДУПРЕДИТЕЛЬНАЯ МАРКИРОВКА
Содержание предупредительной маркировки:
- наименование продукции: Спирт этиловый технический гидролизный ректификованный;
- сведения об организации-производителе;
- описание опасности:
1) символ: пламя;
2) сигнальное слово: опасно (danger);
3) краткая характеристика опасности: легковоспламеняющаяся жидкость, пары образуют с воздухом взрывоопасные смеси (Highly flammable liquid and vapour);
- меры по предупреждению опасности:
1) держать в герметичной таре;
2) беречь от источников воспламенения, искр, открытого огня;
| | ИС МЕГАНОРМ: примечание. ГОСТ 17269-71 утратил силу с 1 марта 2016 года в связи с введением в действие ГОСТ 12.4.296-2015 (Приказ Росстандарта от 24.06.2015 N 788-ст). | |
3) использовать перчатки и защитные очки, респираторы по ГОСТ 17269 с фильтрующими патронами марки А, в замкнутых пространствах - изолирующий шланговый противогаз ПШ-1 или ПШ-2;
4) использовать взрывобезопасное оборудование и освещение;
5) беречь от статического электричества;
6) использовать искробезопасный инструмент;
7) тушить пеной, порошком ПСБ, двуокисью углерода, распыленной водой, песком;
8) при попадании на кожу немедленно снять всю загрязненную одежду, загрязненные участки кожи промыть водой;
- условия безопасного хранения: хранить в прохладном, хорошо вентилируемом месте.
Более полная информация по безопасному обращению продукции содержится в паспорте безопасности.
| Правила перевозки опасных грузов по железным дорогам. Утв. Советом по железнодорожному транспорту государств - участников Содружества. Протокол от 05.04.1996 N 15 с изменениями и дополнениями от 23.11.2007, 30.05.2008, 22.05.2009; в ред. протоколов от 14.05.2010, от 21.10.2010 |
| ТУ 2297-001-54011141-01 | Бочки полиэтиленовые |
| | Предельно допустимые концентрации (ПДК) вредных веществ в воздухе рабочей зоны |
| Методические указания МУ N 4470-87 | Газохроматографическое измерение концентраций алифатических спиртов  в воздухе рабочей зоны. - М., 1988. Выпуск XXII. - С. 6 - 14 |
| | Руководство по гигиенической оценке факторов рабочей среды и трудового процесса. Критерии и классификация условий труда |
| | Предельно допустимые концентрации (ПДК) загрязняющих веществ в атмосферном воздухе населенных мест |
| ТУ 51-940-80 | Гелий газообразный. Технические условия |
| ТУ 38.402-62-148-94 | Альдегид уксусный технический |
| ТУ 6-09-3851-79 | Метилацетат (эфир метиловый уксусной кислоты) |
| ТУ 6-09667-76 | Этилацетат (эфир этиловый уксусной кислоты) |
| ТУ 6-09-1709-77 | Метанол-яд (метиловый спирт), х.ч. |
| ТУ 6-09-4522-77 | Изопропиловый спирт (пропанол-2) для хроматографии, х.ч. |
| ТУ 6-09-783-76 | Пропиловый спирт для хроматографии (пропанол-1), х.ч. |
| ТУ 6-09-4354-77 | Изобутиловый спирт (изобутанол, 2-метил-1-пропанол) для хроматографии, х.ч. |
| ТУ 6-09-1708-77 | Бутиловый спирт для хроматографии (бутанол-1), х.ч. |
| ТУ 2632-042-44493179-00 | Изоамиловый спирт для хроматографии, х.ч. |
| Правила перевозки жидких грузов в вагонах-цистернах и вагонах бункерного типа для перевозки нефтебитума. Утверждены Советом по железнодорожному транспорту государств - участников Содружества Независимых Государств. Протокол от 21 - 22 мая 2009 г. N 50 |
| |
| Правила перевозок опасных грузов автомобильным транспортом. Утверждены Приказом Министерства транспорта Российской Федерации N 73 от 08.08.1995, изменение N 77 от 14.10.1999 |
| Технические условия размещения и крепления грузов в вагонах и контейнерах. - М.: Юртранс, 2003 |
| Инструкция по приемке, хранению, отпуску, транспортированию и учету этилового спирта. Утв. 25.09.1985. |