Главная // Актуальные документы // ГОСТ (Государственный стандарт)СПРАВКА
Источник публикации
М.: Стандартинформ, 2007
Примечание к документу
Документ утратил силу с 01.02.2021 в связи с изданием
Приказа Росстандарта от 30.10.2020 N 989-ст. Взамен введен в действие
ГОСТ 26319-2020.
С 1 июля 2003 года до вступления в силу технических регламентов акты федеральных органов исполнительной власти в сфере технического регулирования носят рекомендательный характер и подлежат обязательному исполнению только в части, соответствующей целям, указанным в
пункте 1 статьи 46 Федерального закона от 27.12.2002 N 184-ФЗ.
Ограничение срока действия снято Постановлением Госстандарта РФ от 30.03.1992 N 319.
Введен в действие с 1 января 1986 года.
Взамен ГОСТ 10.74-74.
Название документа
"ГОСТ 26319-84. Грузы опасные. Упаковка"
(утв. Постановлением Госстандарта СССР от 31.10.1984 N 3812)
(ред. от 01.03.1992)
"ГОСТ 26319-84. Грузы опасные. Упаковка"
(утв. Постановлением Госстандарта СССР от 31.10.1984 N 3812)
(ред. от 01.03.1992)
Утвержден и введен в действие
Постановлением Госстандарта СССР
от 31 октября 1984 г. N 3812
МЕЖГОСУДАРСТВЕННЫЙ СТАНДАРТ
ГРУЗЫ ОПАСНЫЕ
УПАКОВКА
Dangerous cargo. Package
ГОСТ 26319-84
| | Список изменяющих документов (в ред. Изменения N 1, утв. в марте 1992 г.) | |
Дата введения
1 января 1986 года
1. Разработан и внесен Министерством морского флота СССР.
2. Утвержден и введен в действие Постановлением Государственного комитета СССР по стандартам от 31.10.1984 N 3812.
3. Взамен ГОСТ 10.74-74.
4. Ссылочные нормативно-технические документы
───────────────────────────────┬──────────────────────────────────
Обозначение НТД, │ Номер пункта, приложения
на который дана ссылка │
───────────────────────────────┼──────────────────────────────────
ИС МЕГАНОРМ: примечание.
Взамен ГОСТ 18425-73 Приказом Росстандарта от 28.08.2018 N 538-ст
5. Ограничение срока действия снято Постановлением Госстандарта от 30.03.1992 N 319.
6. Издание (март 2007 г.) с Изменением N 1, утвержденным в марте 1992 г. (ИУС 6-92), Поправкой (ИУС 12-2004).
1. Настоящий стандарт устанавливает упаковку опасных грузов, предъявляемых к перевозке транспортом любого вида, массой нетто грузового места не более 400 кг и вместимостью не более 450 дм3 и устанавливает общие требования к транспортной таре и упаковке, а также их виды, типы, основные параметры и виды испытаний.
Стандарт должен применяться при разработке нормативно-технической документации на транспортную тару и упаковку конкретных видов опасных грузов, а также правил перевозки опасных грузов на соответствующем виде транспорта.
2. Стандарт не распространяется на упаковку опасных грузов классов 2, 7 и подкласса 6.2.
3. Стандарт полностью соответствует требованиям Рекомендаций, подготовленных Комитетом экспертов Организации Объединенных Наций, и международных правил перевозки опасных грузов.
1 - 3. (Измененная редакция, Изм. N 1).
4. Термины, применяемые в настоящем стандарте, и пояснения к ним приведены в
Приложении 1.
5. Упаковка опасных грузов должна соответствовать нормативно-технической документации на продукцию, на конкретные виды (типы) тары и упаковки, а также требованиям настоящего стандарта.
6. Для опасных грузов должна применяться транспортная тара, указанная в табл. 1.
Таблица 1
Вид, тип, исполнение и обозначение транспортной тары
────────────────┬────────────────────┬─────────────────────────┬───────────
Вид │ Тип │ Исполнение │Обозначение
────────────────┼────────────────────┼─────────────────────────┼───────────
Барабаны, бочки,│Стальные │Узкогорлые │1A1
фляги │ ├─────────────────────────┼───────────
│ │Со съемным верхним дном │1A2
│ │или широкогорлые │
├────────────────────┼─────────────────────────┼───────────
│Алюминиевые │Узкогорлые │1B1
│ ├─────────────────────────┼───────────
│ │Со съемным верхним дном │1B2
│ │или широкогорлые │
────────────────┼────────────────────┼─────────────────────────┼───────────
Барабаны, бочки │Фанерные │ - │1D
────────────────┼────────────────────┼─────────────────────────┼───────────
Барабаны │Картонные │ - │1G
────────────────┼────────────────────┼─────────────────────────┼───────────
Барабаны, бочки,│Полимерные │Узкогорлые │1H1
фляги │ ├─────────────────────────┼───────────
│ │Со съемным верхним дном │1H2
│ │или широкогорлые │
────────────────┼────────────────────┼─────────────────────────┼───────────
Бочки │Деревянные │ Заливные │2C1
│ ├─────────────────────────┼───────────
│ │Сухотарные (со съемным │2C2
│ │верхним дном) │
────────────────┼────────────────────┼─────────────────────────┼───────────
Канистры │Стальные │Узкогорлые │3A1
│ ├─────────────────────────┼───────────
│ │Широкогорлые │3A2
├────────────────────┼─────────────────────────┼───────────
│Полимерные │Узкогорлые │3H1
│ ├─────────────────────────┼───────────
│ │Широкогорлые │3H2
────────────────┼────────────────────┼─────────────────────────┼───────────
Ящики │Стальные │ - │4A1
│ ├─────────────────────────┼───────────
│ │С внутренним вкладышем │4A2
│ │или покрытием │
├────────────────────┼─────────────────────────┼───────────
│Алюминиевые │ - │4B1
│ ├─────────────────────────┼───────────
│ │С внутренним вкладышем │4B2
│ │или покрытием │
├────────────────────┼─────────────────────────┼───────────
│Дощатые │Обычные │4C1
│ ├─────────────────────────┼───────────
│ │Плотные │4C2
├────────────────────┼─────────────────────────┼───────────
│Древесно-волокнистые│ - │4F
├────────────────────┼─────────────────────────┼───────────
│Картонные │ - │4G
├────────────────────┼─────────────────────────┼───────────
│Фанерные │ - │4D
├────────────────────┼─────────────────────────┼───────────
│Полимерные │Пенопластовые │4H1
│ ├─────────────────────────┼───────────
│ │Пластмассовые │4H2
────────────────┼────────────────────┼─────────────────────────┼───────────
Мешки │Из полимерной ткани │Без внутреннего покрытия │5H1
│ │или вкладыша │
│ ├─────────────────────────┼───────────
│ │Плотные │5H2
│ ├─────────────────────────┼───────────
│ │Влагопрочные │5H3
├────────────────────┼─────────────────────────┼───────────
│Из полимерной пленки│ - │5H4
├────────────────────┼─────────────────────────┼───────────
│Тканевые │Без внутреннего покрытия │5L1
│ │или вкладыша │
│ ├─────────────────────────┼───────────
│ │Плотные │5L2
│ ├─────────────────────────┼───────────
│ │Влагопрочные │5L3
├────────────────────┼─────────────────────────┼───────────
│Бумажные │Многослойные │5M1
│ ├─────────────────────────┼───────────
│ │Многослойные, влаго- │5M2
│ │прочные │
────────────────┼────────────────────┼─────────────────────────┼───────────
Комбинированная │1. Полимерный сосуд │ │
тара │в: │ │
│ стальном барабане │ - │6HА1
├────────────────────┼─────────────────────────┼───────────
│ стальной обрешетке │ - │6HА2
│или ящике │ │
├────────────────────┼─────────────────────────┼───────────
│ алюминиевом │ - │6HB1
│барабане │ │
├────────────────────┼─────────────────────────┼───────────
│ алюминиевой обре- │ - │6HB2
│шетке или ящике │ │
├────────────────────┼─────────────────────────┼───────────
│ дощатом ящике │ - │6HC
├────────────────────┼─────────────────────────┼───────────
│ фанерном барабане │ - │6HD1
├────────────────────┼─────────────────────────┼───────────
│ фанерном ящике │ - │6HD2
├────────────────────┼─────────────────────────┼───────────
│ картонном барабане │ - │6HG1
├────────────────────┼─────────────────────────┼───────────
│ картонном ящике │ - │6HG2
├────────────────────┼─────────────────────────┼───────────
│ полимерном барабане│ - │6HH1
├────────────────────┼─────────────────────────┼───────────
│ полимерном ящике │ - │6HH2
├────────────────────┼─────────────────────────┼───────────
│2. Стеклянный, │ │
│фарфоровый или │ │
│керамический сосуд │ │
│в: │ │
│ стальном барабане │ - │6PA1
├────────────────────┼─────────────────────────┼───────────
│ стальной обрешетке │ - │6PA2
│или ящике │ │
├────────────────────┼─────────────────────────┼───────────
│ алюминиевом │ - │6PB1
│барабане │ │
├────────────────────┼─────────────────────────┼───────────
│ алюминиевой обре- │ - │6PB2
│шетке или ящике │ │
├────────────────────┼─────────────────────────┼───────────
│ дощатом ящике │ - │6PC
├────────────────────┼─────────────────────────┼───────────
│ фанерном барабане │ - │6PD1
├────────────────────┼─────────────────────────┼───────────
│ плетеной корзине │ - │6PD2
├────────────────────┼─────────────────────────┼───────────
│ картонном барабане │ - │6PG1
├────────────────────┼─────────────────────────┼───────────
│ картонном ящике │ - │6PG2
├────────────────────┼─────────────────────────┼───────────
│ пенопластовой таре │ - │6PH1
├────────────────────┼─────────────────────────┼───────────
│ пластмассовой таре │ - │6PH2
7. Масса нетто и вместимость транспортной тары для опасных грузов не должны превышать указанных в табл. 2.
Таблица 2
────────────────────────┬───────────────────────────┬────────────┬─────────
Обозначение тары │ Тип тары │Вместимость,│ Масса
│ │ дм3 │нетто, кг
────────────────────────┼───────────────────────────┼────────────┼─────────
1A1, 1A2, 1B1, 1B2 │Барабаны, бочки и фляги │ 450 │ 400
│стальные и алюминиевые │ │
────────────────────────┼───────────────────────────┼────────────┼─────────
1D │Барабаны и бочки фанерные │ 250 │ 400
────────────────────────┼───────────────────────────┼────────────┼─────────
1G │Барабаны картонные │ 450 │ 400
────────────────────────┼───────────────────────────┼────────────┼─────────
1H1, 1H2 │Барабаны, бочки и фляги │ 450 │ 400
│полимерные │ │
────────────────────────┼───────────────────────────┼────────────┼─────────
2C1, 2C2 │Бочки деревянные │ 250 │ 400
────────────────────────┼───────────────────────────┼────────────┼─────────
3A1, 3A2, 3H1, 3H2 │Канистры стальные и │ 60 │ 120
│полимерные │ │
────────────────────────┼───────────────────────────┼────────────┼─────────
4A1, 4A2, 4B1, 4B2, 4C1,│Ящики стальные, алюминие- │ │ 400
4C2, 4D, 4F, 4G │вые, дощатые, фанерные, │ │
│древесно-волокнистые, │ │
│картонные │ │
────────────────────────┼───────────────────────────┼────────────┼─────────
4H1 │Ящики пенопластовые │ - │ 60
────────────────────────┼───────────────────────────┼────────────┼─────────
4H2 │Ящики пластмассовые │ - │ 400
────────────────────────┼───────────────────────────┼────────────┼─────────
5H1, 5H2, 5H3, 5H4, 5L1,│Мешки полимерные, тканевые,│ - │ 50
5L2, 5L3, 5M1, 5M2 │бумажные │ │
────────────────────────┼───────────────────────────┼────────────┼─────────
6HA1, 6НB1, 6HD1, 6HG1, │Комбинированная тара │ 250 │ 400
6HH1 │(полимерный сосуд в │ │
│барабане) │ │
────────────────────────┼───────────────────────────┼────────────┼─────────
6HA2, 6НB2, 6НC, 6HD2, │Комбинированная тара │ 60 │ 75
6HG2, 6НН2 │(полимерный сосуд в ящике) │ │
────────────────────────┼───────────────────────────┼────────────┼─────────
6РA1, 6РA2, 6РB1, 6РB2, │Комбинированная тара │ 60 │ 75
6РC, 6PD1, 6PD2, 6PG1, │(стеклянный, фарфоровый │ │
6PG2, 6РH1, 6РH2 │или керамический сосуд в │ │
│транспортной таре) │ │
5 - 7. (Измененная редакция, Изм. N 1).
7а. Транспортная тара (упаковка) каждого вида, типа и исполнения по показателям прочности, устанавливаемым в результате испытаний, разделяется на три группы упаковки (см.
Приложение 1а).
(Введен дополнительно, Изм. N 1).
8. Допускаемое количество конкретного опасного груза в таре или упаковке или масса брутто должны соответствовать правилам перевозки опасных грузов, действующим на каждом виде транспорта.
9, 10. (Исключены, Изм. N 1).
11. Воздушные пробки и другие устройства для сброса внутреннего давления допускается устанавливать при условии, что количество выделяющихся паров или газов неопасно. Тара с устройствами для сброса внутреннего давления не допускается для транспортирования воздушным транспортом. Герметичная тара, включая укупорочные средства, предназначенная для перевозки жидких опасных грузов воздушным транспортом, должна выдерживать без утечки снижение наружного давления до 68 кПа.
12. Возвратную тару перед наливом жидкости подвергают испытанию на герметичность в соответствии с
п. 36 настоящего стандарта.
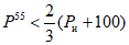
13. Транспортную тару применяют для опасных жидкостей при соблюдении одного из следующих условий:
где

- рабочее давление в таре при 55 °C, т.е. суммарное давление паров жидкости, воздуха и других неконденсирующихся газов в таре с учетом коэффициента наполнения
п. 14 минус 100 кПа;

- испытательное гидравлическое давление, кПа;

,

- давление насыщенных паров жидкости, кПа, при 50 и 55 °C соответственно.
14. При наливе в таре оставляют незаполненное пространство (недолив) из расчета, чтобы жидкость не заполняла весь внутренний объем тары при температуре 55 °C.
Объем жидкости вычисляют по формуле

,
где

- объем жидкости при наливе, дм3;

- вместимость тары, дм3;

- коэффициент наполнения тары вычисляют по формуле

,
где

- температурный коэффициент объемного расширения;

- температура жидкости при наливе, °C;
z - величина, выбираемая в зависимости от температурного коэффициента объемного расширения, приведена в табл. 4.
Таблица 4 <*>
───────────────┬───────────────────┬────────────────────┬──────────────────
альфа │ До 0,0010 │Св. 0,0010 до 0,0014│ Св. 0,0014
───────────────┼───────────────────┼────────────────────┼──────────────────
z │ 0,985 │ 0,980 │ 0,975
--------------------------------
<*> Таблица 3. (Исключена, Изм. N 1).
15. Материалы, из которых изготовлена тара, упаковка и укупорочные средства, должны быть инертными по отношению к упаковываемому продукту или иметь инертное покрытие или прокладку (вкладыш).
16. Полимерная тара должна быть изготовлена из материалов, устойчивых к старению, вызываемому воздействием упаковываемого продукта или ультрафиолетового излучения, и должна обеспечивать сохранность груза при транспортировании и хранении.
17. Швы корпуса стальных барабанов, бочек и канистр (1A1, 3A1, 3A2) вместимостью более 40 дм3, предназначенных для жидкостей, должны быть сварными.
Швы корпуса барабанов, бочек и канистр (1A1, 1A2, 3A1, 3A2), предназначенных для твердых грузов, а также для жидкостей, вместимостью менее 40 дм3 должны быть механически закатаны или сварены.
(Измененная редакция, Изм. N 1).
18. Алюминиевые барабаны и бочки (1B1 и 1B2) должны изготовляться со сварными швами. Швы, соединяющие донья с корпусом, должны быть защищены обручем. Фланцы должны быть приварены.
19. Металлические барабаны и бочки (1A1, 1A2, 1B1, 1B2) вместимостью более 60 дм3 должны иметь не менее двух гофров катания или двух обручей, прочно соединенных с корпусом. Точечная сварка в этом случае не допускается.
20. Фанера, применяемая для изготовления барабанов и бочек, должна быть склеена водостойким клеем.
20а. Крышка фанерного барабана (1D) должна быть выложена с внутренней стороны бумагой или другим материалом для предотвращения просыпания продукта. Бумага (материал) должна быть прикреплена к крышке и выступать за ее края по всему периметру.
20б. Металлические ящики (4A2, 4B2) должны быть выложены с внутренней стороны картоном или войлочными прокладками. В ящиках с двойным швом не допускается попадание вещества в полость шва.
20а; 20б. (Введены дополнительно, Изм. N 1).
21. Каждая стенка ящика (4C2), дно и крышка должны быть изготовлены из цельной доски или щитов, собранных при помощи кромочных соединений типов К-1 - К-6 по
ГОСТ 9330 на клею или с применением рифленых металлических накладок (скрепок).
22. Картонные ящики (4G) изготовляют из картона, влагопрочность наружной поверхности которого должна быть такой, чтобы при испытании на водопроницаемость по
ГОСТ 25439 в течение 30 мин масса поглощенной воды не превышала 155 г/м2.
21; 22. (Измененная редакция, Изм. N 1).
23. Пенопластовые ящики (4Н1) должны состоять из двух частей, изготовленных из формованного пенопласта: нижней части, имеющей специальные полости, соответствующие форме помещаемой в них тары, и верхней части, закрывающей нижнюю и плотно с нею скрепляемой тканевой или ламинированной бумажной лентой. Крышка или пробка уложенной в ящик тары не должна соприкасаться с верхней частью ящика.
24. На внутреннюю поверхность мешков (5H2 и 5L4) при их изготовлении наклеивают бумагу или полиэтиленовую пленку или применяют один или более вкладышей из бумаги или полимерного материала.
25. На внутреннюю поверхность мешков (5H3 и 5L3) при их изготовлении наносят покрытия из полимерного материала или применяют внутренние вкладыши из влагопрочной бумаги (парафинированной, битумированной или ламинированной полиэтиленом) или из полимерной пленки.
26. Количество слоев в бумажных мешках должно быть не менее трех.
Наружный слой бумажного мешка (5M2) должен быть влагопрочным. В четырехслойных и более мешках (5M2) влагопрочным допускается второй слой после наружного.
Внутренний слой мешка для упаковывания гигроскопичной продукции или для продукции во влажном состоянии должен быть влагопрочным.
27. В комбинированной таре (6HA1 - 6HH2) внутренний сосуд из полимерных материалов должен отвечать требованиям
п. 16 и должен быть плотно встроен или вставлен в наружную тару.
24 - 27. (Измененная редакция, Изм. N 1).
28. Внутренние сосуды из стекла, фарфора или керамики комбинированной тары (6PA1 - 6PH2) должны быть плотно укупорены и помещены в ящики, обрешетки, корзины или барабаны с заполнением промежутков инертным прокладочным и (или) поглощающим материалом так, чтобы сосуд не перемещался в наружной таре во время транспортирования. Наружная тара должна полностью закрывать внутренний сосуд и защищать его от механических повреждений. Допускается применять съемные крышки или колпачки.
29; 30. (Исключены, Изм. N 1).
31. Испытания образцов транспортной тары (упаковки) каждого проектного типа для конкретных видов продукции должны проводиться в соответствии с табл. 5.
Таблица 5
───────────────────────────────┬───────────────────────────────────────────
Вид или тип тары (упаковки) │ Вид испытания
├──────────┬──────────┬──────────┬──────────
│ удар при │герметич- │гидравли- │штабелиро-
│свободном │ность │ческое │вание
│ падении │ │давление │
───────────────────────────────┼──────────┼──────────┼──────────┼──────────
Алюминиевые, стальные; │ + │ +
<*> │ +
<**> │ +
полимерные барабаны, бочки и │ │ │ │
фляги │ │ │ │
Фанерные и картонные барабаны │ + │ - │ - │ +
Деревянные заливные бочки │ + │ + │ - │ +
Деревянные сухотарные бочки │ + │ - │ - │ +
Стальные и полимерные канистры│ + │ + <*> │ + <**> │ +
Ящики │ + │ - │ - │ +
Мешки │ + │ - │ - │ -
Комбинированная тара │ + │ + <*> │ + <**> │ +
Комбинированная упаковка │ + │ - │ + <***> │ +
--------------------------------
<*> Проводят испытания тары, предназначенной для жидкостей, твердых веществ подкласса 4.3, а также твердых веществ, перевозимых в герметичной таре.
<**> Проводят испытания тары, предназначенной только для жидкостей.
<***> Проводят испытания внутренней тары, предназначенной для жидкостей, транспортируемых воздушным транспортом.
Примечания. 1. Знак "+" означает, что испытания проводят; знак "-" - не проводят.
2. Нормы показателей качества тары (упаковки) устанавливают в соответствии с группой упаковки, для которой образец проектного типа выдержал испытание.
3. Испытания комбинированной упаковки могут не проводить при соблюдении следующих условий:
в наружной таре объединены различные типы внутренней тары, прошедшие испытания в той же наружной таре;
в наружной таре размещено меньшее (по сравнению с первоначально испытанным) количество внутренней тары с применением прокладочного материала, предотвращающего ее смещение;
в наружной таре размещена внутренняя тара равного или меньшего размера по сравнению с первоначально испытанной при условии, что:
внутренняя тара имеет такую же конструкцию и форму;
материал внутренней тары обладает равной или большей прочностью при ударах и штабелировании;
внутренняя тара имеет отверстия равного или меньшего размера, а их укупорка (крышка, пробка) имеет одинаковую конструкцию;
для заполнения пустот и предотвращения смещения внутренней тары применяют достаточное количество прокладочного материала.
(Измененная редакция, Изм. N 1).
31а. Серийные образцы тары и упаковки испытывают в соответствии с требованиями нормативно-технической документации.
31б. Кроме испытаний образцов тары, указанных в
пп. 31 и 31а, испытанию на герметичность подвергают каждую единицу транспортной тары, предназначенной для жидкостей. Это испытание проводят после изготовления или реставрации тары.
31а; 31б. (Введены дополнительно, Изм. N 1).
32. Испытаниям на удар при свободном падении и штабелировании подвергают транспортную тару (упаковку), заполненную продукцией, для которой она предназначена.
Допускается заполнять тару (упаковку) габаритно-массовым эквивалентом, имеющим физические свойства, аналогичные свойствам упаковываемого продукта.
Тару (упаковку) для жидкостей допускается заполнять водой или водой с антифризом.
(Измененная редакция, Изм. N 1).
33. Для испытания на свободное падение и на штабелирование тару заполняют: жидкостью на 98%, твердым продуктом на 95% от полной вместимости тары.
Деревянные заливные бочки заполняют водой не менее чем за 24 ч до испытания.
33а. Картонную и бумажную транспортную тару перед испытаниями выдерживают не менее 24 ч в атмосфере с относительной влажностью (50 +/- 5)% и температурой - (23 +/- 2) °C; или относительной влажностью - (65 +/- 5)% и температурой (20 +/- 2) °C или (27 +/- 2) °C.
(Введен дополнительно, Изм. N 1).
34. Температура тары из полимерных материалов (кроме ящиков из полистирола и мешков) и содержащегося в ней продукта при испытании на свободное падение должна соответствовать указанной в нормативно-технической документации на конкретные виды тары или упаковываемого продукта.
Если в нормативно-технической документации нет других указаний, то температуру принимают равной минус 18 °C.
| | ИС МЕГАНОРМ: примечание. Взамен ГОСТ 18425-73 Приказом Росстандарта от 28.08.2018 N 538-ст с 1 июня 2019 года введен в действие ГОСТ 18425-2018. | |
35. Испытание на удар при свободном падении проводят по ГОСТ 18425. Циклы испытания приведены в табл. 6.
Таблица 6
────────────────────────┬─────────────────────┬────────────────────────────
Вид (тип) │ Количество │ Положение сбрасывания
или исполнение тары │испытываемых образцов│
────────────────────────┼─────────────────────┼────────────────────────────
Барабаны, бочки, фляги,│ Шесть (три на каждое│ Первое сбрасывание:
канистры, деревянные │сбрасывание) │по диагонали к утору
бочки, комбинированная │ │(или торцу) или кольцевому
тара в форме барабана │ │шву
│ │ Второе сбрасывание:
│ │наименее прочной частью,
│ │которой образец не ударялся
│ │при первом сбрасывании,
│ │например, пробкой или
│ │продольным сварным швом
│ │корпуса
Ящики, комбинированная │ Пять (по одному на │ На дно, на крышку, на
тара в форме ящика │каждое сбрасывание) │длинную стенку, на короткую
│ │стенку, на угол
Мешки однослойные с │ Три (три сбрасывания│ Плашмя на широкую часть,
боковым швом (все типы) │каждого мешка) │плашмя на узкую часть,
│ │на торцовую часть мешка
Мешки однослойные без │ Три (два сбрасывания│ Плашмя на широкую часть,
бокового шва или много- │каждого мешка) │на торцовую часть мешка
слойные (все типы) │ │
Высота сбрасывания при свободном падении, м, тары, предназначенной для жидкостей с плотностью

более 1,2 г/см3, при замене жидкости водой (или водой с добавлением антифриза) должна быть не менее:
1,5 х

- для упаковки группы I;
1,0 х

- для упаковки группы II;
0,67 х

- для упаковки группы III.
Высота сбрасывания при испытании на удар при свободном падении тары, предназначенной для твердых веществ или жидкостей с плотностью (

) не более 1,2 г/см3, а также при замене жидкостей водой должна быть не менее:
1,8 м - для упаковки группы I;
1,2 м - для упаковки группы II;
0,8 м - для упаковки группы III.
36. Испытания транспортной тары на герметичность проводят сжатым воздухом (газом) при избыточном давлении, не менее:
30 кПа - для упаковки группы I;
20 кПа - для упаковки группы II и III.
В случае, если испытание проводят при погружении образца тары в жидкость, то давление воздуха (газа) должно быть увеличено на величину гидростатического давления жидкости в нижней части погружаемого образца. Внутренняя тара комбинированной тары может подвергаться испытанию без наружной, если это не влияет на результаты испытания. Испытанию подвергают три образца проектного типа тары каждого изготовителя
(п. 31б).
37. Испытания тары (упаковки) на гидравлическое давление проводят в соответствии с требованиями нормативно-технической документации на конкретные виды тары (упаковки). Избыточное испытательное давление (

) должно быть не менее рассчитанного по одной из формул (обозначения см. в
п. 13):

;

.
Независимо от результатов расчета по указанным формулам испытательное давление должно быть не менее:
250 кПа - для упаковки группы I;
100 кПа - для упаковки группы II и III.
Испытанию подвергают три образца проектного типа тары каждого изготовителя.
38. Испытание на штабелирование проводят по
ГОСТ 25014.
Испытание на штабелирование полимерной тары проводят в течение 28 сут при температуре 40 °C.
Высота штабелирования упаковки должна быть не менее 3 м. Испытанию подвергают по три образца каждого проектного типа тары.
39. Результаты испытания образцов тары (упаковки) оформляют протоколом, на основании которого при положительных результатах испытаний выдают свидетельство (сертификат) о соответствии тары (упаковки) требованиям настоящего стандарта с указанием:
наименования организации, производившей испытания тары (упаковки) и выдавшей свидетельство;
наименования предприятия - изготовителя тары;
вида, типа и исполнения тары;
группы упаковки;
назначения упаковки (для твердых или жидких веществ, максимальная плотность вещества);
высоты штабелирования;
испытательного гидравлического давления;
способна ли тара, предназначенная для твердых веществ, имеющих температуру плавления менее 50 °C, удерживать их в расплавленном состоянии;
регистрационного номера свидетельства;
даты выдачи свидетельства и срок его действия (не более 3-х лет).
Копия свидетельства направляется предприятию - изготовителю тары (упаковки).
35 - 39. (Измененная редакция, Изм. N 1).
| | ИС МЕГАНОРМ: примечание. В официальном тексте документа, видимо, допущена опечатка: пункт 3а отсутствует. Вероятно, имеется в виду пункт 39. | |
40. Каждая единица тары (упаковки), предназначенная для опасных грузов (кроме грузов классов 2, 7 и подкласса 6.2), имеющих свидетельства
(п. 3а), маркируется предприятием-изготовителем в соответствии с
Приложением 2. Маркировка должна быть четкой, несмываемой. Многооборотную отремонтированную тару маркируют в соответствии с
пп. 1 -
5 Приложения 2 таким способом, чтобы маркировка сохранялась в процессе реставрации.
(Введен дополнительно, Изм. N 1).
Справочное
ПОЯСНЕНИЯ К ТЕРМИНАМ, ПРИМЕНЯЕМЫМ В СТАНДАРТЕ
───────────────────────┬───────────────────────────────────────────────────
Термин │ Пояснение
───────────────────────┼───────────────────────────────────────────────────
Вкладыш │ Элемент тары или упаковки, предназначенной для
│предотвращения потери (просыпания) продукции через
│неплотности тары или защиты тары от вредного
│воздействия продукции
Внутренняя тара │ Элемент комбинированной упаковки, предназначенной
│для размещения в нем продукции и помещаемый в
│транспортную или промежуточную тару для
│транспортирования
Группа упаковки │ Признак, характеризующий надежность тары или
│упаковки при транспортировании опасного груза
│определенной степени транспортной опасности
Комбинированная тара │ Тара, изготовленная из двух или более различных
│материалов, состоящая из сосуда, встроенного или
│вставленного в наружную тару так, что вместе они
│образуют единую транспортную тару, которая
│наполняется, хранится, транспортируется и
│опорожняется как единое целое
Комбинированная │ Упаковка, состоящая из транспортной тары, в
упаковка │которую вложена одна или несколько единиц
│внутренней и, при необходимости, промежуточной
│тары и вспомогательных упаковочных средств
Наружная тара │ Наружная защита комбинированной тары или
│упаковки вместе с любым поглощающим и прокладочным
│(амортизационным) материалом и другими компонен-
│тами, необходимыми для содержания и защиты
│внутреннего сосуда или внутренней тары
Промежуточная тара │ Элемент комбинированной упаковки, предназначенный
│для размещения в нем внутренней тары с продуктом,
│помещаемый в транспортную тару
Тара со съемным дном │ Тара, верхнее дно (крышка) которой снимается
│полностью
Тара узкогорлая │ Тара (барабан, бочка, канистра, фляга), диаметр
│любой горловины (для наполнения, опорожнения или
│вентиляции) которой не превышает 72 мм
Тара широкогорлая │ Тара (барабан, бочка, канистра, фляга), которая
│имеет горловину диаметром более 72 мм
Приложение 1. (Измененная редакция, Изм. N 1).
Обязательное
ГРУППА УПАКОВКИ ДЛЯ ОПАСНЫХ ГРУЗОВ
1. Группу упаковки опасного груза устанавливают, за исключением случаев, указанных в пп. 2 -
5 настоящего приложения, в соответствии со степенью опасности:
группа упаковки I - с высокой степенью опасности;
группа упаковки II - со средней " "
группа упаковки III - с низкой " "
2. Для грузов класса I и подкласса 5.2 устанавливают группу упаковки II, если иное не предусмотрено технической документацией на конкретный опасный груз.
3. Для вязких легковоспламеняющихся жидкостей (ЛВЖ), растворов твердых веществ в ЛВЖ (лаки, краски и т.п.) с температурой вспышки менее 23 °C устанавливают группу упаковки III при соблюдении условий, изложенных в пп. 3.1 -
3.4.
3.1. При испытании на отслоение в течение 24 ч должно отслаиваться не более 3% чистого растворителя (раствора). Опыт проводят при 23 °C, используя градуированный мерный цилиндр вместимостью 0,1 дм3, общей высотой 2,5 дм и с внутренним диаметром 0,3 дм.
Жидкость размешивают до получения однородной консистенции и заливают до отметки 0,1 дм3.
Цилиндр, закрытый пробкой, оставляют в состоянии покоя на 24 ч. Через 24 ч определяют высоту слоя отделившегося растворителя (раствора) и вычисляют долю этого слоя от общей высоты образца в процентах.
3.2. Смесь должна содержать не более 5% вещества подкласса 6.1 или класса 8 с высокой и средней степенью опасности, либо не более 5% вещества класса 3 высокой степени опасности, характеризующихся также видом опасности подкласса 6.1 или класса 8.
3.3. Время истечения ЛВЖ через отверстие и температура вспышки должны соответствовать значениям, приведенным в табл. 7.
Таблица 7
───────────────────────────────────────────────┬──────────────────
Время истечения, с, при диаметре │ Температура
отверстия сосуда, мм │ вспышки, °C
────────────────────────┬──────────────────────┤
4 │ 8 │
────────────────────────┼──────────────────────┼──────────────────
Св. 20 │ - │ Св. 17
" 60 │ - │ " 10
" 100 │ - │ " 5
" 160 │ - │ Ниже 1
" 220 │ Св. 17 │ " 5
- │ " 40 │ Без ограничений
Время истечения ЛВЖ при испытании вязкости определяют в соответствии с
ГОСТ 8420. Температура вспышки - в соответствии с
ГОСТ 12.1.044.
3.4. Вместимость тары не должна превышать 30 дм3.
4. Для увлажненных взрывчатых грузов подкласса 4.1 устанавливают группу упаковки 1.
5. Для саморазлагающихся грузов подкласса 4.1, отнесенных к категории 415 - 418 по
ГОСТ 19433, устанавливают группу упаковки II.
Приложение 1а. (Введено дополнительно, Изм. N 1).
Обязательное
МАРКИРОВКА ТРАНСПОРТНОЙ ТАРЫ ИЛИ УПАКОВКИ
Маркировка о соответствии транспортной тары или упаковки требованиям настоящего стандарта содержит:
1) Символ Организации Объединенных Наций:
Не допускается применять указанный символ для других целей.
При маркировании металлической тары штампом допускается окружность не наносить.
2) обозначение типа тары в соответствии с
табл. 1 настоящего стандарта.
3) латинские буквы, обозначающие группу упаковки, которой соответствует тара или упаковка:
X - для упаковки групп I, II, III;
Y - " " " II, III;
Z - только для упаковки группы III.
4) на транспортной таре, предназначенной:
для жидких опасных грузов - значение плотности (если она более 1,2 г/см3, с точностью до 0,1) и гидравлического давления, кПа, с точностью до 10 кПа, на которые испытана тара;
для твердых веществ и на комбинированной упаковке: значение максимальной массы брутто, кг, и букву S.
5) год изготовления тары (две последние цифры). На таре типов 1Н и 3Н следует указывать месяц изготовления, который наносят на тару в другом месте по отношению к остальной маркировке. Рекомендуемый способ нанесения:
6) сокращенное название государства, разрешившего нанесение маркировки, для СССР - SU.
7) обозначение настоящего стандарта.
8) наименование изготовителя.
9) реставрированная тара (упаковка) в дополнение к маркировке, указанной в
перечислениях 1 - 8, должна содержать:
сокращенное наименование государства, на территории которого проводилась реставрация;
наименование реставратора (сокращенное или кодовое), если реставрация проведена предприятием, не являвшимся изготовителем тары;
год реставрации тары (две последние цифры);
буква R, если тара подвергалась реставрации;
буква L, если тара подвергалась испытанию на герметичность.
Примеры маркировки:
а) Бочка стальная, упаковка группы II, для жидкости с плотностью 1,4 г/см3, испытанная на давление 150 кПа, год изготовления 1986:
б) Барабан стальной со съемным верхним дном, упаковка группы II, максимальная масса брутто 150 кг, год изготовления 1986:
в) Комбинированная упаковка: бутылки стеклянные в дощатом ящике, упаковка группы III, максимальная масса брутто 50 кг, год изготовления 1986:
г) Реставрированная предприятием-изготовителем тара, предназначенная для жидкостей и прошедшая испытание на герметичность, год реставрации 1990:
д) Реставрированная предприятием-изготовителем тара, предназначенная для твердых веществ:
е) Реставрированная предприятием (СВА), не являющимся изготовителем (ABC) тара:
Приложение 2. (Измененная редакция, Изм. N 1, Поправка).