Главная // Актуальные документы // ГОСТ (Государственный стандарт)СПРАВКА
Источник публикации
М.: Стандартинформ, 2020
Примечание к документу
Текст данного документа приведен с учетом
поправки, опубликованной в "ИУС", N 7, 2023.
Документ
введен в действие с 01.02.2021.
Название документа
"ГОСТ 26319-2020. Межгосударственный стандарт. Грузы опасные. Упаковка"
(введен в действие Приказом Росстандарта от 30.10.2020 N 989-ст)
"ГОСТ 26319-2020. Межгосударственный стандарт. Грузы опасные. Упаковка"
(введен в действие Приказом Росстандарта от 30.10.2020 N 989-ст)
по техническому регулированию
и метрологии
от 30 октября 2020 г. N 989-ст
МЕЖГОСУДАРСТВЕННЫЙ СТАНДАРТ
ГРУЗЫ ОПАСНЫЕ
УПАКОВКА
Dangerous goods. Packaging
ГОСТ 26319-2020
Дата введения
1 февраля 2021 года
Цели, основные принципы и общие правила проведения работ по межгосударственной стандартизации установлены
ГОСТ 1.0 "Межгосударственная система стандартизации. Основные положения" и
ГОСТ 1.2 "Межгосударственная система стандартизации. Стандарты межгосударственные, правила и рекомендации по межгосударственной стандартизации. Правила разработки, принятия, обновления и отмены"
1 РАЗРАБОТАН Акционерным обществом "Центральный ордена Трудового Красного Знамени научно-исследовательский и проектно-конструкторский институт морского флота" (АО "ЦНИИМФ")
2 ВНЕСЕН Техническим комитетом по стандартизации ТК 318 "Морфлот"
3 ПРИНЯТ Межгосударственным советом по стандартизации, метрологии и сертификации (протокол от 30 октября 2020 г. N 134-П)
За принятие проголосовали:
Краткое наименование страны по МК (ИСО 3166) 004-97 | Код страны по МК (ИСО 3166) 004-97 | Сокращенное наименование национального органа по стандартизации |
Азербайджан | AZ | Азстандарт |
Армения | AM | ЗАО "Национальный орган по стандартизации и метрологии" Республики Армения |
Беларусь | BY | Госстандарт Республики Беларусь |
Киргизия | KG | Кыргызстандарт |
Россия | RU | Росстандарт |
Таджикистан | TJ | Таджикстандарт |
Узбекистан | UZ | Узстандарт |
4
Приказом Федерального агентства по техническому регулированию и метрологии от 30 октября 2020 г. N 989-ст межгосударственный стандарт ГОСТ 26319-2020 введен в действие в качестве национального стандарта Российской Федерации с 1 февраля 2021 г.
Информация о введении в действие (прекращении действия) настоящего стандарта и изменений к нему на территории указанных выше государств публикуется в указателях национальных стандартов, издаваемых в этих государствах, а также в сети Интернет на сайтах соответствующих национальных органов по стандартизации.
В случае пересмотра, изменения или отмены настоящего стандарта соответствующая информация будет опубликована на официальном интернет-сайте Межгосударственного совета по стандартизации, метрологии и сертификации в каталоге "Межгосударственные стандарты"
Настоящий стандарт устанавливает общие требования, предъявляемые к видам, основным параметрам и испытаниям тары, предназначенной для транспортирования опасных грузов (далее - тара для опасных грузов) всеми видами транспорта.
Стандарт распространяется на упаковку с опасным грузом массой нетто не более 400 кг и вместимостью не более 450 л.
Требования настоящего стандарта не распространяются на тару для опасных грузов классов 2, 7, 6.2 и сосуды под давлением.
Требования настоящего стандарта должны применяться при разработке нормативной и технической документации на тару для конкретных видов опасных грузов и упаковку опасных грузов, а также правил транспортирования опасных грузов.
Настоящий стандарт соответствует требованиям рекомендаций ООН по перевозке опасных грузов
[1] и международных правил перевозки опасных грузов
[2] -
[4].
В настоящем стандарте использованы нормативные ссылки на следующие межгосударственные стандарты:
ГОСТ 9330 Основные соединения деталей из древесины и древесных материалов. Типы и размеры
ГОСТ 12605 (ИСО 535-91) Бумага и картон. Метод определения поверхностной впитываемости воды при одностороннем смачивании (метод Кобба)
ГОСТ 13950 Бочки стальные сварные и закатные с гофрами на корпусе. Технические условия
ГОСТ 18425 Упаковка транспортная наполненная. Метод испытания на удар при свободном падении
ГОСТ ISO 2234 Упаковка. Тара транспортная наполненная и единичные грузы. Методы испытаний на штабелирование при статической нагрузке
Примечание - При пользовании настоящим стандартом целесообразно проверить действие ссылочных стандартов и классификаторов на официальном интернет-сайте Межгосударственного совета по стандартизации, метрологии и сертификации (www.easc.by) или по указателям национальных стандартов, издаваемым в государствах, указанных в
предисловии, или на официальных сайтах соответствующих национальных органов по стандартизации. Если на документ дана недатированная ссылка, то следует использовать документ, действующий на текущий момент, с учетом всех внесенных в него изменений. Если заменен ссылочный документ, на который дана датированная ссылка, то следует использовать указанную версию этого документа. Если после принятия настоящего стандарта в ссылочный документ, на который дана датированная ссылка, внесено изменение, затрагивающее положение, на которое дана ссылка, то это положение применяется без учета данного изменения. Если ссылочный документ отменен без замены, то положение, в котором дана ссылка на него, применяется в части, не затрагивающей эту ссылку.
В настоящем стандарте применены термины по
[1], а также следующие термины с соответствующими определениями:
3.1 аварийная тара (salvage packaging): Специальная тара, в которую помещают поврежденные, имеющие дефекты, течь или не соответствующие требованиям упаковки с опасными грузами, или просыпавшиеся, или просочившиеся опасные грузы для перевозки с целью их восстановления или утилизации.
3.2 вкладыш (liner): Отдельный цилиндр или мешок (включая затворы отверстий), вложенный в тару, но не являющийся ее неотъемлемой частью.
3.3 внутренняя тара (inner packaging): Тара, которая при транспортировании помещается в наружную тару.
3.4 восстановленная тара (reconditioned packaging): Тара, включающая в себя:
а) металлические барабаны, которые:
- очищены до их исходных конструкционных материалов с удалением всего прежнего содержимого, продуктов внутренней и наружной коррозии, внешних покрытий и знаков;
- восстановлены до их первоначальной формы и профиля, причем уторы (если имеются) выпрямлены и уплотнены, а все съемные прокладки заменены;
- проверены после очистки, но до окраски, с отбраковкой тары, имеющей видимую точечную коррозию, значительное уменьшение толщины материала, усталость металла, поврежденные резьбу или затворы или иные существенные дефекты;
б) пластмассовые барабаны и канистры, которые:
- очищены до их исходных конструкционных материалов с удалением всего прежнего содержимого, внешних покрытий и знаков;
- имеют замену всех съемных прокладок;
- проверены после очистки с отбраковкой тары с такими видимыми повреждениями, как разрывы, перегибы, трещины или поврежденная резьба или затворы, или с иными существенными дефектами.
3.5 комбинированная тара (combination packaging): Тара, состоящая из наружной тары и вложенных в нее одной или нескольких единиц внутренней тары.
Примечание - См.
[1] (4.1.1.5).
3.6 компетентный орган (competent authority): Орган или организация, уполномоченные государством (правительством) в соответствии с национальным законодательством для выполнения требований международных и национальных положений по перевозке опасных грузов.
3.7
наружная тара (outer packaging): Тара, внешне защищающая составную тару или комбинированную тару вместе с адсорбирующими и прокладочными (амортизационными) материалами и компонентами, необходимыми для удержания и защиты внутренних емкостей или внутренней тары.
3.8 номер ООН (UN number): Четырехзначный идентификационный номер опасного груза.
Примечание - Номер ООН - в соответствии с
[1].
3.9 обеспечение качества (quality assurance): Программа систематических мер контроля и проверок, направленная на обеспечение соблюдения на практике норм безопасности, предписываемых международными и национальными регламентирующими документами.
3.10 опасный груз (dangerous goods): Вещество (смесь веществ, раствор), материал, изделие или отходы производства или другой деятельности, которые удовлетворяют классификационным показателям, критериям и которые при перевозке, погрузо-разгрузочных работах и хранении вследствие присущих им свойств и при наличии определенных факторов могут стать причиной нанесения ущерба окружающей среде, материального ущерба, привести к гибели, травме, отравлению, заболеванию людей и животных.
3.11 пластмасса, используемая повторно (recycled plastics material): Материал, полученный из использованной промышленной пластмассовой тары, очищенный и подготовленный для переработки в новую тару.
Примечание - Дополнительные рекомендации по процедурам, которым надлежит следовать при использовании пластмассы из вторичного сырья, см. в
[5].
3.12 тара (packaging): Одна или более емкостей и другие компоненты или материалы, необходимые для выполнения функций удержания опасного груза и функций обеспечения безопасности.
3.13 тара многократного использования (reused packaging): Тара, которая используется для повторного наполнения и которая была проверена и признана свободной от дефектов, влияющих на ее способность выдерживать испытания эксплуатационных качеств.
Примечание - Имеется в виду тара, заполняемая тем же содержимым или содержимым эквивалентной совместимости и перевозимая по цепям распределения, контролируемым грузоотправителем.
3.14 тара с несъемным дном (non-removable head packaging): Тара (барабан, канистра), диаметр горловины (для наполнения, опорожнения или вентиляции) которой не превышает 70 мм.
3.15 тара со съемным дном (removable head packaging): Тара (барабан, канистра), диаметр горловины (для наполнения, опорожнения или вентиляции) которой превышает 70 мм или ее дно является съемным.
3.16 составная тара (composite packaging): Тара, состоящая из наружной тары и внутренней емкости, которые образуют единое изделие. В собранном виде оно является неделимой единицей, которую можно наполнять, хранить, перевозить и опорожнять.
3.17 упаковка с опасным грузом (package): Завершенный продукт операции упаковывания, состоящий из тары и содержимого, подготовленных к перевозке.
4.1 Опасные грузы, предъявляемые для транспортирования, должны быть надлежащим образом упакованы.
4.2 Опасные грузы, наиболее часто заявляемые к транспортированию, классифицированы и идентифицированы Комитетом экспертов ООН и внесены в перечень опасных грузов
[1] и эквивалентных наполнителей
[4].
4.3 Технические характеристики тары, используемой для опасных грузов, приведены в
5.1. Использование тары, по своим техническим характеристикам отличающейся от тары, указанной в
5.1, допускается компетентным органом при условии, что она соответствует требованиям настоящего стандарта.
5 Тара для опасных грузов
5.1 Виды тары для опасных грузов
Для опасных грузов необходимо применять тару, указанную в
таблице 1.
Вид | Материал (тип) | Категория | Код |
| A | Сталь | С несъемным дном | 1A1 |
Со съемным дном | 1A2 |
B | Алюминий | С несъемным дном | 1B1 |
Со съемным дном | 1B2 |
D | Фанера | - | 1D |
G | Фибровый картон | - | 1G |
H | Пластмасса | С несъемным дном | 1H1 |
Со съемным дном | 1H2 |
N | Металл, кроме стали и алюминия | С несъемным дном | 1N1 |
Со съемным дном | 1N2 |
2 Зарезервировано |
3 Канистры | A | Сталь | С несъемным дном | 3A1 |
Со съемным дном | 3A2 |
B | Алюминий | С несъемным дном | 3B1 |
Со съемным дном | 3B2 |
H | Пластмасса | С несъемным дном | 3H1 |
Со съемным дном | 3H2 |
4 Ящики | A | Сталь | - | 4A |
B | Алюминий | - | 4B |
C | Естественная древесина | Обычные | 4C1 |
С плотно пригнанными стенками | 4C2 |
D | Фанера | - | 4D |
F | Древесный материал | - | 4F |
G | Фибровый картон | - | 4G |
H | Пластмасса | Пенопластовые | 4H1 |
Из твердой пластмассы | 4H2 |
N | Металл, кроме стали и алюминия | - | 4N |
5 Мешки | H | Полимерная ткань | Без вкладыша или покрытия | 5H1 |
Плотные | 5H2 |
Влагонепроницаемые | 5H3 |
H | Полимерная пленка | - | 5H4 |
L | Текстиль | Без вкладыша или покрытия | 5L1 |
Плотные | 5L2 |
Влагонепроницаемые | 5L3 |
M | Бумага | Многослойные | 5M1 |
Многослойные влагонепроницаемые | 5M2 |
6 Составная тара | H | Пластмассовая емкость | С наружным стальным барабаном | 6HA1 |
С наружной стальной обрешеткой или ящиком | 6HA2 |
С наружным алюминиевым барабаном | 6HB1 |
С наружной алюминиевой обрешеткой или ящиком | 6HB2 |
С наружным ящиком из древесины | 6HC |
С наружным барабаном из фанеры | 6HD1 |
С наружным ящиком из фанеры | 6HD2 |
С наружным барабаном из фибрового картона | 6HG1 |
С наружным ящиком из фибрового картона | 6HG2 |
С наружным пластмассовым барабаном | 6HH1 |
С наружным ящиком из твердой пластмассы | 6HH2 |
| P | Емкость из стекла, фарфора или керамики | С наружным стальным барабаном | 6PA1 |
С наружной стальной обрешеткой или ящиком | 6PA2 |
С наружным алюминиевым барабаном | 6PB1 |
С наружной алюминиевой обрешеткой или ящиком | 6PB2 |
С наружным ящиком из древесины | 6PC |
С наружным барабаном из фанеры | 6PD1 |
С наружной плетеной корзиной | 6PD2 |
С наружным барабаном из фибрового картона | 6PG1 |
С наружным ящиком из фибрового картона | 6PG2 |
С наружной тарой из пенопласта | 6PH1 |
С наружной тарой из твердой пластмассы | 6PH2 |
|
5.2 Общие требования к таре для опасных грузов
5.2.1 Допустимое количество конкретного опасного груза в таре или масса брутто должны соответствовать правилам перевозки опасных грузов, действующим на каждом виде транспорта.
5.2.2 Устройства для сброса внутреннего давления допускается устанавливать при условии, что количество выделяющихся паров или газов неопасно. Тара с устройствами для сброса внутреннего давления к перевозке воздушным транспортом не допускается.
5.2.3 Герметичная тара, включая укупорочные средства, предназначенная для перевозки жидких опасных грузов воздушным транспортом, должна выдерживать без утечки снижение наружного давления до 68 кПа.
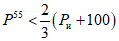
5.2.4 Тару для опасных жидкостей применяют при соблюдении одного из следующих условий:

; (1)

; (2)

, (3)
где
Pр - рабочее давление в таре при температуре 55 °C, кПа (т.е. суммарное давление паров жидкости, воздуха и других неконденсирующихся газов в таре с учетом коэффициента наполнения, приведенного в
5.2.5, минус 100 кПа);
Pи - испытательное гидравлическое давление, кПа;
P50, P55 - давление насыщенных паров жидкости, кПа, при температуре 50 °C и 55 °C соответственно.
5.2.5 Если не предусмотрено каких-либо специальных требований, жидкости не должны заполнять тару полностью при температуре 55 °C. Объем жидкости при наливе
Vж, дм
3, вычисляют по формуле
Vж = KнVт, (4)
где Vт - полная вместимость тары, дм3;
Kн - коэффициент наполнения тары, вычисляемый по
формуле 5

, (5)
где tн - температура жидкости при наливе, °C;
z - значение степени заполнения тары, выбираемое в зависимости от температурного коэффициента объемного расширения, приведено в
таблице 2;

- температурный коэффициент объемного расширения.
| До 0,0010 включ. | Св. 0,0010 до 0,0014 | Св. 0,0014 |
z | 0,985 | 0,980 | 0,975 |
5.2.6 Материалы, из которых изготовлена тара, упаковка и укупорочные средства, должны быть инертными по отношению к упаковываемому продукту или иметь инертное покрытие или прокладку (вкладыш).
6 Группы упаковки для опасных грузов
Опасные вещества, за исключением веществ классов 1, 5.2, а также самореактивных веществ класса 4.1, должны быть надлежащим образом упакованы. В зависимости от представляемой степени опасности существуют три группы упаковки:
- группа упаковки I - вещества с высокой степенью опасности;
- группа упаковки II - вещества со средней степенью опасности;
- группа упаковки III - вещества с низкой степенью опасности.
Группа упаковки, к которой относится вещество, указана в Перечне опасных грузов в 3.2
[1].
7 Требования к изготовлению тары для опасных грузов
Тару следует изготавливать и восстанавливать в соответствии с программой обеспечения качества, одобренной компетентным органом. Тара для опасных грузов должна соответствовать требованиям настоящего стандарта.
Типы стальных барабанов:
1A1 - с несъемным дном;
1A2 - со съемным дном.
7.2.1 Корпус и донья должны быть изготовлены из листовой стали "подходящего" типа с учетом полной вместимости барабана и целей их использования.
Примечание - Определение "подходящего" типа стали для барабанов из углеродистой стали - см.
[6] и
[7], для барабанов из углеродистой стали вместимостью менее 100 л - см. также в
[8] -
[10].
7.2.2 Швы корпусов барабанов, предназначенных для содержания более 40 л жидкости, должны быть сварными. Швы корпусов барабанов, предназначенных для содержания твердых веществ или не более 40 л жидкостей, должны быть механически завальцованы и сварены.
7.2.3 Уторы (соединение корпуса с доньями) должны выполняться закатным или сварным швом. Допускается применять отдельные подкрепляющие обручи.
7.2.4 Корпус барабана вместимостью более 60 л должен иметь, по меньшей мере, две гофры или два зига катания, составляющих одно целое с ним, или не менее двух отдельных обручей катания. Если используют отдельные обручи катания, они должны быть плотно подогнаны к корпусу и закреплены во избежание смещения. Приваривать обручи катания точечной сваркой не допускается.
7.2.5 Диаметр горловины для заполнения, опорожнения и вентилирования в корпусах или доньях барабанов с несъемным дном (1A1) должен быть не более 70 мм. Барабаны с более широкой горловиной считаются барабанами со съемным дном (1A2). Затворы горловин в корпусах и доньях барабанов должны иметь такую конструкцию и использоваться таким образом, чтобы они оставались надежно закрытыми и герметичными в условиях перевозки. Фланцы затворов могут быть соединены механически или сварены по месту. Затворы должны быть снабжены прокладками или иными уплотняющими элементами, за исключением случаев, когда они являются герметичными по конструкции.
7.2.6 Затворы барабанов со съемным дном должны иметь такую конструкцию и использоваться таким образом, чтобы в условиях перевозки они оставались надежно закрытыми, а барабаны были герметичными. Все съемные донья должны быть снабжены прокладками или иными уплотняющими элементами.
7.2.7 Если материалы, используемые для изготовления корпуса, доньев, затворов и арматуры тары несовместимы с подлежащим перевозке веществом, то на них должны быть нанесены соответствующие внутренние защитные покрытия или проведена обработка внутренней поверхности тары. Данные покрытия или обработка должны сохранять свои защитные свойства в условиях перевозки.
Типы алюминиевых барабанов:
1B1 - с несъемным дном;
1B2 - со съемным дном.
7.3.1 Корпус и донья должны быть изготовлены из алюминия чистотой не менее 99% или из сплава на основе алюминия.
7.3.2 Все швы должны быть сварными.
Швы уторов, если имеются, должны быть укреплены с помощью подкрепляющих колец.
7.3.3 Корпус барабана вместимостью более 60 л должен иметь не менее двух гофр или двух зигов катания, составляющих одно целое с ним, или не менее двух отдельных обручей катания. Если используют отдельные обручи катания, то они должны быть плотно подогнаны к корпусу и закреплены во избежание смещения. Приваривать обручи катания точечной сваркой не допускается.
7.3.4 Диаметр горловины для заполнения, опорожнения и вентилирования в корпусах или доньях барабанов с несъемным дном (1B1) не должен превышать 70 мм. Барабаны с более широкими горловинами считаются барабанами со съемным дном (1B2). Затворы горловин в корпусах и доньях барабанов должны иметь такую конструкцию и использоваться таким образом, чтобы они оставались надежно закрытыми и герметичными в условиях перевозки. Фланцы затворов должны быть приварены по месту так, чтобы обеспечивалась герметичность швов. Затворы должны быть снабжены прокладками или иными уплотняющими элементами, за исключением случаев, когда они являются герметичными по конструкции.
7.3.5 Затворы барабанов со съемным дном (1B2) должны иметь такую конструкцию и использоваться таким образом, чтобы в условиях перевозки они оставались надежно закрытыми, а барабаны были герметичными. Все съемные донья должны быть снабжены прокладками или иными уплотняющими элементами.
7.4 Металлические барабаны, кроме стальных или алюминиевых
Типы металлических барабанов, кроме стальных или алюминиевых:
1N1 - с несъемным дном;
1N2 - со съемным дном.
7.4.1 Корпус и донья должны быть изготовлены из металла или металлического сплава, кроме стали или алюминия.
7.4.2 Швы уторов, если имеются, должны быть усилены с помощью подкрепляющих колец.
Все швы, если они имеются, должны быть соединены (заварены, запаяны и т.п.) в соответствии с технологиями, используемыми для данного металла или металлического сплава.
7.4.3 Корпус барабана вместимостью более 60 л должен иметь, по меньшей мере, две гофры или два зига катания, составляющих одно целое с ним, или не менее двух отдельных обручей катания. Если используют обручи катания, то они должны быть плотно подогнаны к корпусу и закреплены во избежание смещения. Приваривать обручи катания точечной сваркой не допускается.
7.4.4 Диаметр горловины для заполнения, опорожнения и вентилирования в корпусах или доньях барабанов с несъемным дном (1N1) не должен превышать 70 мм. Барабаны с более широкой горловиной считаются барабанами со съемным дном (1N2). Затворы горловин в корпусах и доньях барабанов должны иметь такую конструкцию и использоваться таким образом, чтобы они оставались надежно закрытыми и герметичными в условиях перевозки. Фланцы затворов должны быть соединены по месту (приварены, припаяны и т.п.) в соответствии с технологиями, используемыми для данного металла или металлического сплава. При этом шов соединения должен быть герметичен. Затворы должны быть снабжены прокладками или другими уплотняющими элементами, за исключением случаев, когда затворы являются герметичными по конструкции.
7.4.5 Затворы барабанов со съемным дном (1N2) должны иметь такую конструкцию и использоваться таким образом, чтобы в условиях перевозки они оставались надежно закрытыми, а барабаны были герметичными. Все съемные донья должны быть снабжены прокладками или другими уплотняющими элементами.
7.5 Стальные или алюминиевые канистры
Типы стальных или алюминиевых канистр:
3A1 - стальные, с несъемным дном;
3A2 - стальные, со съемным дном;
3B1 - алюминиевые, с несъемным дном;
3B2 - алюминиевые, со съемным дном.
7.5.1 Корпус и донья должны быть изготовлены из стального листа, из алюминия чистотой не менее 99% или из сплава на основе алюминия.
7.5.2 Уторы стальных канистр должны быть механически вальцованными или сварными. Швы корпуса стальных канистр вместимостью более 40 л жидкости, должны быть сварными. Швы корпуса стальных канистр вместимостью 40 л или менее должны быть механически вальцованными или сварными. Все швы алюминиевых канистр должны быть сварными. Швы уторов, если имеются, должны быть усилены с помощью отдельных подкрепляющих колец.
7.5.3 Диаметр горловины канистр с несъемным дном (3A1 и 3B1) должен быть не более 70 мм. Канистры с более широкими горловинами считаются канистрами со съемным дном (3A2 и 3B2). Затворы горловин в канистрах должны иметь такую конструкцию, чтобы они оставались надежно закрытыми и герметичными в условиях перевозки. Затворы должны быть снабжены прокладками или иными уплотняющими элементами, за исключением случаев, когда они являются герметичными по конструкции.
7.5.4 Если материалы, используемые для изготовления корпуса, доньев, затворов и арматуры тары, не совместимы с подлежащим перевозке веществом, то на них должны быть нанесены соответствующие внутренние защитные покрытия тары или проведена обработка внутренней поверхности тары. Такие покрытия или обработка должны сохранять свои защитные свойства в условиях перевозки.
7.5.5 Максимальная вместимость канистры - 60 л. Максимальная масса нетто канистры - 120 кг.
7.6.1 Лесоматериал, используемый для изготовления фанеры для барабанов (1D), должен быть надлежащим образом выдержан, высушен и не иметь дефектов, оказывающих влияние на эксплуатационные характеристики барабана. Если для изготовления доньев используется не фанера, а иной материал, то он должен обладать техническими характеристиками, не уступающими характеристикам фанеры.
7.6.2 Для изготовления корпуса барабана необходимо использовать влагостойкую фанеру, по меньшей мере, двухслойную, а для доньев - трехслойную. Все слои должны быть прочно склеены в перекрестном направлении волокон водостойким клеем.
7.6.3 Для предотвращения высыпания содержимого донья должны быть выложены крафт-бумагой или иным равноценным материалом, который должен быть надежно закреплен на них и иметь напуск по всей их окружности.
7.6.4 Максимальная вместимость барабана - 250 л. Максимальная масса нетто барабана - 400 кг.
7.7 Барабаны из фибрового картона
7.7.1 Корпус фибрового барабана (1G) - это конструкция, сформированная из многослойной плотной бумаги или фибрового негофрированного картона с плотно склеенными или сформованными воедино слоями. Он может включать один или более защитных слоев битума, вощеной крафт-бумаги, металлической фольги, пластмассового материала и т.п.
7.7.2 Донья должны быть изготовлены из естественной древесины, картона, металла, фанеры, пластмассы или иного подходящего материала и могут включать один или несколько защитных слоев битума, вощеной крафт-бумаги, металлической фольги, пластмассового материала и т.д.
7.7.3 Корпус, донья барабана и их соединения должны иметь конструкцию, соответствующую полной вместимости и целям использования барабана.
7.7.4 В собранном виде барабан должен быть настолько влагоустойчивым, чтобы не расслаиваться в условиях перевозки.
7.8 Барабаны и канистры из пластмассы
Типы барабанов и канистр из пластмассы:
1H1 - барабаны с несъемным дном;
1H2 - барабаны со съемным дном;
3H1 - канистры с несъемным дном;
3H2 - канистры со съемным дном.
7.8.1 Барабаны и канистры должны быть изготовлены из пластмассового материала и иметь прочность в соответствии с их полной вместимостью и целями использования. За исключением пластмассы, используемой повторно (см. в
3.7), никакие бывшие в употреблении материалы, кроме обрезков или крошки, полученных в процессе изготовления пластмассы, применяться не должны. Барабаны и канистры должны обладать стойкостью к старению и не должны ухудшать своих характеристик под воздействием содержащегося в них вещества или ультрафиолетового излучения.
7.8.2 Защита тары от ультрафиолетового излучения должна быть обеспечена путем добавок в виде сажи или иных пигментов, или ингибиторов в пластмассовый материал. Данные добавки должны быть совместимы с содержимым и сохранять эффективность в течение всего срока службы барабана или канистры. При добавлении сажи, пигментов или ингибиторов, не использовавшихся при изготовлении испытуемого типа конструкции, новые испытания допускается не проводить, если содержание сажи не превышает 2% по массе, содержание пигмента - 3% по массе. Содержание ингибиторов ультрафиолетового излучения не ограничено.
7.8.3 Использование других добавок в составе пластмассового материала возможно при условии, что они не оказывают негативного влияния на химические и физические свойства материала барабанов и канистр. В этом случае испытание допускается не проводить.
7.8.4 Толщина стенок в любой точке барабана или канистры должна соответствовать их полной вместимости и целям использования, учитывая напряжения, которые могут возникнуть в любом месте барабана или канистры.
7.8.5 Диаметр горловины для заполнения, опорожнения и вентилирования в корпусах или доньях барабанов (1H1) и канистр (3H1) с несъемным дном не должен превышать 70 мм в диаметре. Барабаны и канистры с более широкими горловинами считаются барабанами и канистрами со съемным дном (1H2 и 3H2). Затворы горловин в корпусах или доньях барабанов и канистр должны иметь такую конструкцию и использоваться таким образом, чтобы они оставались надежно закрытыми и герметичными в условиях перевозки. Затворы должны быть снабжены прокладками или иными уплотняющими элементами, за исключением случаев, когда они являются герметичными по конструкции.
7.8.6 Затворы барабанов (1H2) и канистр (3H2) со съемным дном должны иметь такую конструкцию и использоваться таким образом, чтобы они оставались надежно закрытыми и герметичными в условиях перевозки. Все съемные донья должны быть снабжены прокладками, за исключением случаев, когда обеспечена герметичность барабана или канистры при установке съемного дна барабана или канистры.
7.9 Ящики из естественной древесины
Типы ящиков из естественной древесины:
4C1 - обычные;
4C2 - с плотно пригнанными стенками.
7.9.1 Древесина, используемая для изготовления ящиков, должна быть надлежащим образом выдержана, высушена и не иметь дефектов, способных существенно снизить прочность любой части ящика. Прочность используемого материала и метод изготовления должны соответствовать вместимости и целям использования ящика. Донья могут изготавливаться из такого влагоустойчивого древесного материала, как твердый картон, древесно-стружечная плита или из другого материала, не уступающего по влагоустойчивости.
7.9.2 Крепления должны быть стойкими к вибрации, имеющей место в условиях перевозки. По мере возможности следует избегать забивания гвоздей в торцевое волокно. Соединения, которые могут испытывать значительные нагрузки, необходимо выполнять с помощью гвоздей с загнутыми концами, гвоздей-скоб либо равноценных креплений.
7.9.3 Каждый из элементов ящика (4C2) должен быть изготовлен из цельной доски или щитов, собранных при помощи кромочных соединений типов К-1 - К-6 по
ГОСТ 9330 на клею, или с применением рифленых металлических накладок (скрепок).
Фанера, используемая для изготовления ящиков (4D), должна быть, по меньшей мере, трехслойной, изготовлена из выдержанного надлежащим образом лущеного, строганого или пиленого шпона. Она должна быть высушена и не иметь дефектов, способных существенно снизить прочность ящика. Для соединения слоев должен использоваться водостойкий клей. Если при изготовлении ящиков используется иной, помимо фанеры, материал, то он должен обладать техническими характеристиками, не уступающими характеристикам фанеры. Ящики должны быть плотно сбиты гвоздями или скреплены на угловых стойках.
7.11 Ящики из древесных материалов
7.11.1 Стенки ящиков (4F) должны быть изготовлены из таких влагонепроницаемых древесных материалов, как твердый картон, древесно-стружечная плита. Прочность используемого материала и способ изготовления должны соответствовать полной вместимости и целям использования ящиков.
7.11.2 Другие части ящиков могут быть изготовлены из иного материала, по своим техническим характеристикам не уступающего древесному материалу.
7.11.3 Ящики должны быть собраны любым из способов, приведенных в
ГОСТ 9330.
7.12 Ящики из фибрового картона
7.12.1 Для изготовления ящиков из фибрового картона (4G) должен использоваться прочный гладкий или двусторонний гофрированный (одно- или многослойный) фибровый картон, соответствующий полной вместимости и целям использования ящиков. Влагонепроницаемость наружной поверхности ящика из фибрового картона должна быть такой, чтобы при испытании на поверхностную впитываемость по ГОСТ 12605 в течение 30 мин масса поглощенной воды не превышала 155 г/м2. Фибровый картон должен обладать надлежащими свойствами при изгибе. Он должен быть разрезан и отфальцован без задиров и иметь соответствующие прорези, чтобы при сборке избежать трещин, поверхностных разрывов и нежелательного изгиба. Волнистый слой гофрированного фибрового картона должен быть прочно склеен с плоскими слоями.
7.12.2 Торцевые стенки ящиков могут иметь деревянную рамку или изготавливаться полностью из древесины или другого, не уступающего по техническим характеристикам, материала. Для усиления допускается использовать планки из древесины или иного материала, если данный материал обладает техническими характеристиками, не уступающими характеристикам древесины.
7.12.3 Соединение частей ящика должно быть выполнено с помощью клейкой ленты, путем склеивания внахлест или соединения внахлест со скреплением металлическими скобами. Соединения внахлест должны иметь надлежащий напуск.
7.12.4 Если ящик закрывается путем склейки или с помощью клейкой ленты, то обеспечивающие адгезию материалы должны быть влагонепроницаемыми.
7.12.5 Конструкция и размер ящиков должны соответствовать форме и объему их содержимого.
Типы ящиков из пластмассы:
4H1 - пенопластовые;
4H2 - из твердой пластмассы.
7.13.1 Ящик должен обладать устойчивостью к старению, воздействию содержащегося в нем вещества и ультрафиолетовому излучению.
7.13.2 Ящик из пенопласта должен состоять из двух частей, изготовленных из формованного пенопластового материала: нижней части, имеющей полости для внутренней тары, и верхней ответной части, закрывающей нижнюю часть. Верхняя и нижняя части ящика должны иметь конструкцию, обеспечивающую плотное прилегание внутренней тары. Крышка внутренней тары не должна соприкасаться с внутренней поверхностью верхней части этого ящика.
7.13.3 При транспортировании ящик из пенопласта должен быть закрыт самоклеящейся лентой, имеющей достаточную прочность на разрыв, чтобы предотвратить открывание ящика. Самоклеящаяся лента должна быть влагонепроницаемой, а ее клеящее вещество должно быть совместимо с пенопластовым материалом ящика. Допускается применять другие средства закрывания, обеспечивающие сохранность ящика.
7.13.4 В случае необходимости защита ящиков из твердой пластмассы от ультрафиолетового излучения должна быть обеспечена путем добавки в виде сажи или иных пигментов, или ингибиторов в пластмассовый материал. Данные добавки должны быть совместимыми с содержимым и сохранять свою эффективность в течение всего срока службы ящика. При добавлении сажи, пигментов или ингибиторов, не использовавшихся при изготовлении испытуемого типа конструкции, испытание допускается не проводить, если содержание сажи не превышает 2% по массе, содержание пигмента - 3% по массе. Содержание ингибиторов ультрафиолетового излучения не ограничено.
7.13.5 Использование других добавок возможно при условии, что они не окажут негативного влияния на химические и физические свойства материала ящика. В этом случае испытание допускается не проводить.
7.13.6 Ящики из твердой пластмассы должны снабжаться закрывающими приспособлениями, изготовленными из прочного материала, способными предотвратить непреднамеренное открывание ящика.
7.14 Ящики из стали, алюминия и иных металлов
Типы ящиков из стали, алюминия и иных металлов:
4A - стальные;
4B - алюминиевые;
4N - изготовленные из металла, кроме стали и алюминия.
7.14.1 Ящики должны быть изготовлены из стали, алюминия или другого металла.
7.14.2 Ящики должны быть выложены изнутри прокладками из картона или войлока или, если необходимо, иметь внутренний вкладыш или внутреннее покрытие. Если применяется двойной вальцованный металлический внутренний вкладыш, то должны быть приняты меры по предотвращению попадания веществ, особенно взрывчатых, в полости швов.
7.14.3 Затворы должны иметь такую конструкцию, чтобы оставаться надежно закрытыми в условиях перевозки.
Типы мешков из текстиля:
5L1 - без вкладыша или покрытия;
5L2 - плотные;
5L3 - влагонепроницаемые.
7.15.1 Мешки плотные (5L2) должны быть непроницаемыми при просыпании, например, путем:
а) покрытия внутренней поверхности мешка бумаги при помощи влагостойкого клеящего состава, например битума;
б) покрытия поверхности мешка полимерной пленкой;
в) применения одного или нескольких вкладышей из бумаги или полимерного материала.
7.15.2 В мешках влагонепроницаемых (5L3) герметичность должна обеспечиваться путем использования, например:
а) отдельных вкладышей из влагонепроницаемой бумаги (например, из вощеной крафт-бумаги, просмоленной бумаги или крафт-бумаги с пластиковым покрытием);
б) полимерной пленки, наклеенной на внутреннюю поверхность мешка;
в) одного или нескольких вкладышей из полимерного материала.
7.15.3 Максимальная масса нетто для мешков типов (5L2) и (5L3) - 50 кг.
7.16 Мешки из полимерной ткани
Типы мешков из полимерной ткани:
5H1 - без вкладыша или покрытия;
5H2 - плотные;
5H3 - влагонепроницаемые.
7.16.1 Мешки должны быть изготовлены из тянутой ленты или моноволокон полимерного материала.
7.16.2 При использовании полотняной ткани мешки должны быть изготовлены путем сшивания или иным способом, обеспечивающим соединение дна и одной из боковых сторон. Если используется рукавная ткань, то дно мешка должно быть прошитым, плетеным или выполненным другим способом, обеспечивающим необходимую прочность.
7.16.3 Мешки плотные (5H2) должны быть непроницаемыми при просыпании груза, например, путем:
а) наклеивания на внутреннюю поверхность мешка бумаги или полимерной пленки;
б) применения одного или нескольких вкладышей из бумаги или полимерного материала.
7.16.4 В мешках влагонепроницаемых (5H3) герметичность должна обеспечиваться путем использования, например:
а) раздельных внутренних вкладышей из влагонепроницаемой бумаги (например, из вощеной крафт-бумаги, просмоленной двойным слоем крафт-бумаги или крафт-бумаги с полимерным покрытием);
б) полимерной пленки, наклеенной на внутреннюю или наружную поверхности мешка;
в) одного или нескольких вкладышей из полимерного материала.
7.16.5 Максимальная масса нетто для мешков типов (5H1, 5H2, 5H3) - 50 кг.
7.17 Мешки из полимерной пленки
7.17.1 Мешки типа (5H4) должны быть изготовлены из полимерного материала. Соединения и средства закрывания должны выдерживать давление и ударные нагрузки, которые могут возникать в условиях перевозки.
7.17.2 Максимальная масса нетто для мешков типа (5H4) - 50 кг.
Типы бумажных мешков:
5M1 - многослойные;
5M2 - многослойные влагонепроницаемые.
7.18.1 Многослойные мешки (5M1) должны быть изготовлены, по меньшей мере, из трех слоев крафт-бумаги, при этом средний слой может быть из сетчатого материала с адгезионным составом, склеивающим его с внешним слоем. Места соединений и закрытий должны быть плотными.
7.18.2 В мешках типа (5M2), состоящих из четырех или более слоев, следует обеспечивать герметичность путем использования влагонепроницаемого материала для одного из двух наружных слоев или влагонепроницаемой преграды из защитного материала между двумя наружными слоями. Для трехслойного мешка следует обеспечивать герметичность путем использования влагонепроницаемого материала для внешнего слоя. Если имеется опасность реакции упакованного в мешки вещества с влагой или если оно упаковывается во влажном состоянии, то мешок с внутренней стороны должен быть защищен влагонепроницаемым слоем или слоем из такого материала, как просмоленная двойным слоем крафт-бумага, крафт-бумага с полимерным покрытием, полимерная пленка, приклеенная на внутреннюю поверхность мешка, или одним или несколькими вкладышами из полимерного материала. Места соединений и закрытий должны быть влагонепроницаемыми.
7.18.3 Максимальная масса нетто для мешков типа (5M2) - 50 кг.
7.19 Составная тара из пластмассового материала
Типы составной тары из пластмассового материала:
6HA1 - пластмассовая емкость с наружным стальным барабаном;
6HA2 - пластмассовая емкость с наружной стальной обрешеткой или ящиком;
6HB1 - пластмассовая емкость с наружным алюминиевым барабаном;
6HB2 - пластмассовая емкость с наружной алюминиевой обрешеткой или ящиком;
6HC - пластмассовая емкость с наружным ящиком из древесины;
6HD1 - пластмассовая емкость с наружным барабаном из фанеры;
6HD2 - пластмассовая емкость с наружным ящиком из фанеры;
6HG1 - пластмассовая емкость с наружным барабаном из фибрового картона;
6HG2 - пластмассовая емкость с наружным ящиком из фибрового картона;
6HH1 - пластмассовая емкость с наружным пластмассовым барабаном;
6HH2 - пластмассовая емкость с наружным ящиком из твердой пластмассы.
7.19.1 Конструкции внутренних пластмассовых емкостей составной тары должны соответствовать требованиям
7.8.1 и
7.8.3 -
7.8.6.
Внутренняя пластмассовая емкость должна плотно прилегать к наружной таре, которая не должна иметь каких-либо выступов, способных вызвать повреждение емкости.
7.19.2 Требования к конструкции наружной тары, как элемента составной тары из пластмассового материала:
- пластмассовая емкость с наружным стальным или алюминиевым барабаном (6HA1 или 6HB1): конструкция наружной тары должна соответствовать требованиям
7.2 или
7.3;
- пластмассовая емкость с наружной стальной или алюминиевой обрешеткой или ящиком (6HA2 или 6HB2): конструкция наружной тары должна соответствовать требованиям
7.14;
- пластмассовая емкость с наружным ящиком из древесины (6HC): конструкция наружной тары должна соответствовать требованиям
7.9;
- пластмассовая емкость с наружным барабаном из фанеры (6HD1): конструкция наружной тары должна соответствовать требованиям
7.6;
- пластмассовая емкость с наружным ящиком из фанеры (6HD2): конструкция наружной тары должна соответствовать требованиям
7.10;
- пластмассовая емкость с наружным барабаном из фибрового картона (6HG1): конструкция наружной тары должна соответствовать требованиям
7.7;
- пластмассовая емкость с наружным ящиком из фибрового картона (6HG2): конструкция наружной тары должна соответствовать требованиям
7.12;
- пластмассовая емкость с наружным пластмассовым барабаном (6HH1): конструкция наружной тары должна соответствовать требованиям
7.8;
- пластмассовая емкость с наружным ящиком из твердой пластмассы (включая рифленый пластмассовый материал) (6HH2): конструкция наружной тары должна соответствовать требованиям
7.13.1,
7.13.2,
7.13.4 -
7.13.6.
7.19.3 Максимальная вместимость внутренних емкостей:
- для пластмассовых емкостей типов 6HA1, 6HB2, 6HD1, 6HG1, 6HH1 - 250 л;
- для пластмассовых емкостей типов 6HA2, 6HB2, 6HC, 6HD2, 6HG2, 6HH2 - 60 л.
7.19.4 Максимальная масса нетто:
- для пластмассовых емкостей типов 6HA1, 6HB2, 6HD1, 6HG1, 6HH1 - 400 кг;
- для пластмассовых емкостей типов 6HA2, 6HB2, 6HC, 6HD2, 6HG2, 6HH2 - 75 кг.
7.20 Составная тара из стекла, фарфора или керамики
Типы составной тары из стекла, фарфора или керамики:
6PA1 - емкость с наружным стальным барабаном;
6PA2 - емкость с наружной стальной обрешеткой или ящиком;
6PB1 - емкость с наружным алюминиевым барабаном;
6PB2 - емкость с наружной алюминиевой обрешеткой или ящиком;
6PC - емкость с наружным ящиком из древесины;
6PD1 - емкость с наружным барабаном из фанеры;
6PD2 - емкость с наружной плетеной корзиной;
6PG1 - емкость с наружным барабаном из фибрового картона;
6PG2 - емкость с наружным ящиком из фибрового картона;
6PH1 - емкость с наружной тарой из пенопласта;
6PH2 - емкость с наружной тарой из твердой пластмассы.
7.20.1 Требования к конструкции внутренних емкостей составной тары из стекла, фарфора или керамики:
- емкости должны иметь надлежащую форму (цилиндрическую или грушевидную) и изготавливаться из материала без дефектов, способных снизить их прочность. Стенки должны иметь достаточную толщину в любой их точке;
- в качестве затворов для емкостей необходимо использовать пластмассовые крышки на резьбе, притертые стеклянные пробки или другие надежные запорные устройства. Любая часть затвора, которая может входить в контакт с веществом, содержащимся в емкости, должна быть стойкой к данному веществу. Должны быть приняты меры к обеспечению герметичности затворов и предотвращению их ослабления во время перевозки. При необходимости устанавливают затворы, оборудованные устройствами вентилирования. Если внутри грузовой единицы может повыситься давление вследствие выделения газов ее содержимым (в результате повышения температуры или по иным причинам), то допускается оснащение тары газовыпускным устройством при условии, что выделившийся газ не создаст опасности из-за токсичности, воспламеняемости, высвободившегося количества и т.п. Если в результате обычного разложения веществ может развиться опасное избыточное давление, то должно быть предусмотрено газовыпускное устройство.
Газовыпускное устройство должно быть сконструировано таким образом, чтобы для тары в условиях, предусмотренных для ее перевозки, была исключена возможность утечки жидкости и проникновения посторонних веществ.
7.20.2 Требования к конструкции наружной тары, как элемента составной тары из стекла, фарфора или керамики:
- емкость с наружным стальным барабаном (6PA1): конструкция наружной тары должна соответствовать требованиям
7.2. Съемное дно, требуемое для тары данного типа, может быть в виде колпака;
- емкость с наружной стальной обрешеткой или ящиком (6PA2): конструкция наружной тары должна соответствовать требованиям
7.14. Наружная тара для емкостей цилиндрической формы должна в вертикальном положении возвышаться над емкостью и ее затвором. Если емкость грушевидной формы помещена в обрешетку, форма которой соответствует форме емкости, то наружная тара должна быть снабжена защитной крышкой (колпаком);
- емкость с наружным алюминиевым барабаном (6PB1): конструкция наружной тары должна соответствовать требованиям
7.3;
- емкость с наружной алюминиевой обрешеткой или ящиком (6PB2): конструкция наружной тары должна соответствовать требованиям
7.14;
- емкость с наружным ящиком из древесины (6PC): конструкция наружной тары должна соответствовать требованиям
7.9;
- емкость с наружным барабаном из фанеры (6PD1): конструкция наружной тары должна соответствовать требованиям
7.6;
- емкость с наружной плетеной корзиной (6PD2): корзина должна быть снабжена защитной крышкой (колпаком) для предотвращения повреждений емкости;
- емкость с наружным барабаном из фибрового картона (6PG1): конструкция наружной тары должна соответствовать требованиям
7.7;
- емкость с наружным ящиком из фибрового картона (6PG2): конструкция наружной тары должна соответствовать требованиям
7.12;
- емкость с наружной тарой из пенопласта или из твердой пластмассы (6PH1 или 6PH2): материалы наружной тары должны соответствовать требованиям
7.13. Наружную тару типа (6PH2) необходимо изготавливать из полиэтилена высокой плотности или аналогичного пластмассового материала. Съемная крышка тары данного типа может быть в виде колпака.
7.20.3 Максимальная вместимость составной тары из стекла, фарфора или керамики - 60 л.
7.20.4 Максимальная масса нетто составной тары из стекла, фарфора или керамики - 75 кг.
8 Подготовка тары для опасных грузов к испытаниям
8.1.1 Испытаниям должна подвергаться тара, подготовленная для перевозки, включая внутреннюю тару комбинированной тары. Внутренние или одиночные емкости или тару, за исключением мешков и тары, предназначенной для цельных изделий, следует заполнять не менее чем на 98% их максимальной вместимости для жидкостей и не менее чем на 95% - для твердых веществ.
Требования к испытаниям тары для опасных грузов приведены в приложении Б.
8.1.2 Мешки необходимо наполнять до максимальной массы, с которой они могут использоваться.
8.1.3 Комбинированная тара, в которой внутренняя тара предназначена для жидкостей и для твердых веществ, должна пройти испытания как для жидкостей, так и для твердых веществ. Вещества или изделия, которые будут перевозиться в таре, могут быть заменены другими веществами или изделиями, за исключением случаев, когда эта замена может сделать недействительными результаты испытаний. Замененное твердое вещество должно иметь те же физические характеристики (массу, размер частиц и т.д.), что и вещество, которое будет перевозиться. Для обеспечения требуемой общей массы упаковки допускается использование утяжелителей, таких как мешки со свинцовой дробью, или иных утяжелителей при условии, что они будут размещены таким образом, чтобы не влиять на результаты испытаний.
8.1.4 Если при испытаниях сбрасыванием тары, предназначенной для жидкостей, используется другое вещество, то оно должно иметь те же относительную плотность и вязкость, что и вещество, которое будет перевозиться. Процедура испытания сбрасыванием - по
Б.2 (приложение Б). Для такого испытания допускается также использовать воду с соблюдением условий, указанных в
Б.2.3,
Б.2.4 (приложение Б).
8.2 Специальные требования
8.2.1 Тара из бумаги или картона должна быть выдержана в течение не менее 24 ч в тех же условиях, в которых будут проводить испытания. Допустимыми являются кратковременные отклонения условий хранения в пределах +/- 5% без заметного ущерба для воспроизводимости результатов испытания.
8.2.2 Барабаны и канистры из пластмассы и, в случае необходимости, составная тара (из пластмассового материала) должны для проверки их химической совместимости с жидкостями подвергаться выдерживанию при температуре окружающей среды в течение не менее 6 мес. Все это время испытуемые образцы должны быть наполнены веществами, для перевозки которых они предназначены, или стандартными жидкостями (см.
9.1), за исключением веществ, указанных в
8.2.9.
8.2.3 В течение первых и последних 24 ч выдерживания образцы должны быть расположены затворами вниз. Однако тару, снабженную вентиляционными клапанами, выдерживают в таком положении в каждом случае только в течение 5 мин. После выдерживания образцы подвергают испытаниям, указанным в
Б.2 (приложение Б).
8.2.4 Если прочность внутренних емкостей составной тары из пластмассового материала существенно не изменяется под воздействием наполнителя <*>, то химическую совместимость допускается не проверять. К существенным изменениям прочности относят:
--------------------------------
<*> Наполнитель - это вещество, помещаемое в тару для последующего транспортирования или проведения испытаний данной тары.
а) явное охрупчивание;
б) значительное снижение эластичности, если только оно не сопровождается, по меньшей мере, пропорциональным ему увеличением растяжения под нагрузкой.
8.2.5 Если характеристики пластмассы установлены с помощью других процедур, то испытание на совместимость допускается не проводить. Такие процедуры должны быть эквивалентны испытанию на совместимость, указанному в
8.2.2 -
8.2.4, и должны быть признаны компетентным органом.
Примечание - Для барабанов, канистр и составной тары, изготовленных из полиэтилена, см. также
8.2.6.
8.2.6 Для барабанов и канистр из полиэтилена и, в случае необходимости, для составной тары из полиэтилена химическая совместимость с жидкими наполнителями может быть проверена с использованием стандартных жидкостей (см.
9.1).
8.2.6.1 Стандартные жидкости оказывают разрушающее воздействие на полиэтилен: размягчение в результате разбухания, растрескивание под напряжением, расщепление молекул и комбинации данных видов воздействия. Химическая совместимость тары может быть проверена путем выдерживания испытуемых образцов в течение трех недель при 40 °C с использованием веществ, для перевозки которых они предназначены, либо с соответствующей(ими) стандартной(ыми) жидкостью(ями), за исключением веществ, указанных в
8.2.9. Если этой стандартной жидкостью является вода, то выдерживание не требуется.
8.2.7 Выдерживание испытуемых образцов, которые используют при испытании на штабелирование, не требуется и для стандартных жидкостей, таких как смачивающий раствор и уксусная кислота.
8.2.8 В течение первых и последних 24 ч выдерживания образцы тары должны быть расположены затворами вниз. Однако тару, оборудованную вентиляционным клапаном, выдерживают в таком положении в каждом случае только в течение 5 мин. После выдерживания испытуемые образцы подвергают испытаниям, указанным в
Б.2 (приложение Б).
8.2.9 При применении гидропероксида трет-бутила с содержанием пероксида более 40% и надуксусных кислот, отнесенных к классу 5.2, испытание на совместимость с использованием стандартных жидкостей не должно проводиться. Для этих веществ химическая совместимость испытуемых образцов должна быть проверена путем их выдерживания в течение 6 мес при температуре окружающей среды с использованием веществ, для перевозки которых они предназначены.
8.2.10 Результаты испытаний барабанов и канистр из полиэтилена, соответствующих требованиям
8.2.1 -
8.2.12, могут быть приняты для тары такого же типа конструкции, внутренняя поверхность которой обработана фтором.
8.2.11 Для тары из полиэтилена, указанной
8.2.6, которая была испытана в соответствии с требованиями
8.2.6 -
8.2.10, в качестве наполнителей могут быть также использованы другие вещества, кроме отнесенных к стандартным жидкостям в соответствии с требованиями
раздела 9. Данная замена должна основываться на результатах лабораторных испытаний, подтверждающих, что воздействие таких наполнителей на испытуемые образцы является менее значительным, чем воздействие соответствующей(их) стандартной(ых) жидкости(ей).
8.2.12 Если прочность внутренних емкостей составной тары из пластмассового материала существенно не изменяется под воздействием наполнителя, то химическую совместимость допускается не проверять. К существенным изменениям прочности относят:
а) явное охрупчивание;
б) значительное снижение эластичности, если только оно не сопровождается, по меньшей мере, пропорциональным ему увеличением растяжения под нагрузкой.
9 Химическая совместимость тары для опасных грузов, изготовленной из полиэтилена
9.1 Перечень стандартных жидкостей
Для проверки химической совместимости тары, изготовленной из полиэтилена, используют следующие стандартные жидкости:
а) смачивающий раствор - для веществ, которые под нагрузкой вызывают очень сильное растрескивание полиэтилена, в частности для всех растворов и препаратов, содержащих смачивающие добавки. В данном случае следует использовать 1%-ный водный раствор алкилбензолсульфоната или 5%-ный водный раствор нонилфенолэтоксилата, который до использования в процессе испытаний был предварительно выдержан в течение не менее 14 сут при температуре 40 °C. Поверхностное напряжение этого раствора должно составлять от 31 до 35 мН/м при 23 °C;
б) уксусная кислота - для веществ и препаратов, которые под нагрузкой вызывают растрескивание полиэтилена, в частности для монокарбоксильных кислот и одновалентных спиртов.
Следует использовать уксусную кислоту концентрацией от 98% до 100%;
в) норм-бутилацетат/насыщенный смачивающий раствор норм-бутилацетата - для веществ и препаратов, вызывающих разбухание полиэтилена, сопровождающееся увеличением массы полиэтилена, которое может составлять 4%, и растрескивание под напряжением, в частности для веществ, предназначенных для обработки растений, жидких красок и сложных эфиров. При предварительном выдерживании в соответствии с
8.2.6 следует использовать норм-бутилацетат концентрацией от 98% до 100%;
г) смесь углеводородов (уайт-спирит) - для веществ и препаратов, вызывающих разбухание полиэтилена, в частности для углеводородов, сложных эфиров и кетонов. В данном случае следует использовать смесь углеводородов с температурой кипения от 160 °C до 220 °C, относительной плотностью от 0,78 до 0,80, температурой вспышки более 50 °C и содержанием ароматических веществ от 16% до 21%;
д) азотная кислота - для всех веществ и препаратов, которые оказывают на полиэтилен окисляющее воздействие и вызывают молекулярную деструкцию как 55%-ная азотная кислота. Следует использовать азотную кислоту концентрацией не менее 55%;
е) вода - для веществ, которые не оказывают воздействия на полиэтилен ни в одном из случаев, приведенных в
перечислениях а) -
д), в частности для неорганических кислот и щелоков, водных соляных растворов, поливалентных спиртов и органических веществ в водном растворе.
9.2 Проверка химической совместимости полиэтиленовой тары со стандартными жидкостями, эквивалентными наполнителям
9.2.1 Для тары из полиэтилена, указанной в
8.2.6, химическая совместимость с наполнителями может быть проверена путем отнесения наполнителей к стандартным жидкостям в соответствии с
9.2.2 -
9.2.7 и с помощью
таблицы А.1 (приложение А) при условии, что отдельные типы конструкции испытаны с использованием этих стандартных жидкостей в соответствии с
требованиями приложения Б и 9.2.
Если отнесение наполнителей к стандартным жидкостям невозможно, то химическая совместимость должна быть проверена путем проведения испытаний типа конструкции в соответствии с
8.2 или лабораторных испытаний в соответствии с
8.2.11.
Примечание - На использование тары для отдельного наполнителя распространяются ограничения, предусмотренные в
таблице А.1 (приложение А) и в инструкции по упаковке
[1] (4.1).
9.2.2 Значения относительной плотности наполнителей не должны превышать значений, которые применяются для определения высоты при испытании сбрасыванием по
Б.2.3,
Б.2.4 (приложение Б) или для определения массы при испытании на штабелирование (см.
Б.5, приложение Б) с использованием эквивалентной(ых) стандартной(ых) жидкости(ей). Значения давления паров наполнителей при температуре 50 °C или 55 °C не должны превышать значений, которые применяются для определения давления при испытании гидравлическим давлением (см.
Б.4, приложение Б) с использованием эквивалентной(ых) стандартной(ых) жидкости(ей).
9.2.3 Если наполнители отнесены к комбинации стандартных жидкостей, испытания должны быть проведены для каждого типа стандартной жидкости. Значения соответствующих характеристик наполнителей не должны превышать минимальных значений, полученных на основе значений высоты сбрасывания, массы при штабелировании и гидравлического давления, применявшихся при испытаниях с использованием эквивалентных стандартных жидкостей.
9.2.4 Для отнесения наполнителей к веществам или группам веществ, перечисленным в
таблице А.1, необходимо предпринять следующие шаги (см.
рисунок 1):
а) классифицировать наполнитель в соответствии с процедурами и критериями для определения номера ООН и группы упаковки опасного груза, изложенными в
[1] (часть 2);
в) выбрать соответствующую строку для группы упаковки и т.д., исходя из информации, приведенной в
графах 2,
3 и
6, если для данного номера ООН имеется несколько позиций. Если сделать это невозможно, химическая совместимость должна быть проверена в соответствии с
8.2.2 или
8.2.11 (в случае водных растворов см.
9.2.6);
г) если номер ООН и группа упаковки наполнителя, определенные в соответствии с
перечислением а), не указаны в перечне эквивалентов, химическая совместимость должна быть проверена в соответствии с
8.2.2 или
8.2.11;
д) применить "Правило для сводных позиций", изложенное в
9.2.7, если оно указано в
графе 7 для выбранной строки;
е) химическая совместимость наполнителя может считаться проверенной с учетом
9.2.1 и
9.2.2, если в
графе 7 указана эквивалентная стандартная жидкость или комбинация стандартных жидкостей и тип конструкции утвержден для данной(ых) стандартной(ых) жидкости(ей).
Рисунок 1 - Схема отнесения наполнителя к стандартным
жидкостям
9.2.5 Перечень опасных грузов и эквивалентных наполнителей указан в
таблице А.1 (приложение А).
9.2.6 Водные растворы веществ и групп веществ могут быть отнесены к определенной(ым) стандартной(ым) жидкости(ям) в соответствии с
9.2.4 или при соблюдении следующих условий:
а) водный раствор может быть отнесен к тому же номеру ООН, что и указанное в перечне вещество, в соответствии с критериями, изложенными в
[4] (2.1.3.3);
б) водный раствор не указан конкретно по наименованию в перечне эквивалентов в
9.2.9 и
в) между опасным веществом и содержащейся в растворе водой не происходит химической реакции.
9.2.7 Отнесение к стандартным жидкостям наполнителей, для которых в
графе 7 таблицы А.1 (приложение А) указано "Правило для сводных позиций", возможно при соблюдении следующих условий (см.
рисунок 2):
а) выполняется процедура отнесения к стандартным жидкостям для каждого опасного компонента раствора, смеси или препарата в соответствии с
9.2.4 с учетом условий, предусмотренных в
9.2.2. В случае обобщенных позиций допускается не учитывать компоненты, которые, как известно, не оказывают разрушающего воздействия на полиэтилен высокой плотности (например, твердые красители, относящиеся к номеру ООН
1263 КРАСКА или МАТЕРИАЛ ЛАКОКРАСОЧНЫЙ);
б) раствор, смесь или препарат не могут быть отнесены к стандартной жидкости, если:
- номер ООН и группа упаковки одного или нескольких из опасных компонентов не указаны в перечне эквивалентов (см.
приложение А);
- в
графе 7 "Стандартная жидкость" таблицы А.1 (приложение А) указано "Правило для сводных позиций" для одного или нескольких из компонентов;
- классификационный код, указанный в
графе 5 таблицы А.1 (приложение А) для одного или нескольких из опасных компонентов, отличается от классификационного кода раствора, смеси или препарата (за исключением номера ООН
2059 НИТРОЦЕЛЛЮЛОЗЫ РАСТВОР ЛЕГКОВОСПЛАМЕНЯЮЩИЙСЯ);
в) если все опасные компоненты указаны в перечне эквивалентов и их классификационные коды соответствуют классификационному коду раствора, смеси или препарата и все опасные компоненты отнесены в
графе 7 к одной и той же стандартной жидкости или комбинации стандартных жидкостей, то химическая совместимость раствора, смеси или препарата может считаться проверенной с учетом положений
9.2.1 и
9.2.2;
г) если все опасные компоненты указаны в перечне эквивалентов и их классификационные коды соответствуют классификационному коду раствора, смеси или препарата, но в
графе 7 таблицы А.1 (приложение А) указаны разные стандартные жидкости, то химическая совместимость может считаться проверенной с учетом положений
9.2.1 и
9.2.2 только для следующих комбинаций стандартных жидкостей:
- вода/55%-ная азотная кислота, за исключением неорганических кислот с классификационным кодом C1, которые отнесены к стандартной жидкости "вода";
- вода/смачивающий раствор;
- вода/уксусная кислота;
- вода/смесь углеводородов;
- вода/н-бутилацетат - н-бутилацетат - насыщенный смачивающий раствор;
д) в соответствии с требованиями настоящего стандарта химическая совместимость не считается проверенной для других комбинаций стандартных жидкостей, помимо тех, которые указаны в
перечислении г), и для всех случаев, указанных в
перечислении б). В этих случаях химическая совместимость должна быть проверена другим способом (см.
9.2.4, перечисление г).
Рисунок 2 - Схема "Правила для сводных позиций"
9.2.8 Приемлемые комбинации стандартных жидкостей:
- вода/азотная кислота (55%), за исключением неорганических кислот с классификационным кодом C1, которые отнесены к стандартной жидкости "вода";
- вода/смачивающий раствор;
- вода/уксусная кислота;
- вода/смесь углеводородов;
- вода/н-бутилацетат - н-бутилацетат - насыщенный смачивающий раствор.
9.2.9 В
таблице А.1 (приложение А) опасные вещества приведены в порядке номеров ООН. Как правило, в каждой строке указано одно опасное вещество, одна одиночная позиция или одна сводная позиция, которой присвоен отдельный номер ООН. Однако для одного и того же номера ООН могут быть применены несколько последовательно расположенных строк, если вещества, относящиеся к одному и тому же номеру ООН, имеют разные наименования (например, отдельные изомеры из группы веществ), разные физические и химические свойства и/или предписанные для них разные условия перевозки. В таких случаях одиночная позиция или сводная позиция в рамках данной группы упаковки указывается в последней из последовательно расположенных строк.
Графы 1 -
3 таблицы А.1 (приложение А) используют для идентификации вещества при проверке химической совместимости. В
последней графе указывают стандартную(ые) жидкость(и), к которой(ым) может быть отнесено соответствующее вещество.
10 Маркировка тары для опасных грузов
10.1 Требования к маркировке тары для опасных грузов
10.1.1 Маркировочные знаки указывают, что тара, на которую они нанесены, соответствует типу конструкции, успешно прошедшему испытания, и отвечает требованиям настоящего стандарта, относящимся к изготовлению этой тары. Наличие маркировочных знаков еще не свидетельствует о том, что данная тара может быть использована для любого вещества. Тип тары (например, стальной барабан), ее максимальная вместимость и/или масса и любые специальные требования, изложенные в
[1] (часть 3), указываются конкретно для каждого вещества.
10.1.2 Маркировочные знаки необходимы для изготовителей тары, лиц, занимающихся ее восстановлением, пользователей, перевозчиков и контролирующих органов. Нанесенные на новую тару первоначальные маркировочные знаки указывают на тип тары и соответствие требованиям к эксплуатационным качествам.
10.1.3 Маркировочные знаки не всегда содержат полную информацию об испытательных уровнях проведенных испытаний и т.п.; при необходимости применяют данные свидетельств об испытании, протоколов испытаний или реестра испытанной тары (например, тара с маркировочным знаком "X" или "Y" может использоваться для веществ, которым установлена группа упаковки, назначаемая грузам с более низкой степенью опасности).
10.1.4 Каждая единица тары, предназначенная для использования в соответствии с требованиями настоящего стандарта, должна иметь в соответствующем месте долговечную (должна оставаться различимой как минимум в течение установленного срока службы тары) и разборчивую маркировку размером, позволяющим ее ясно различать. Упаковки массой брутто более 30 кг должны иметь маркировку или ее копию на верхней части или на боковой стороне. Буквы, цифры и символы должны иметь высоту не менее 12 мм. Маркировка тары вместимостью 30 л или 30 кг или менее должна иметь высоту символов не менее 6 мм. Маркировка тары вместимостью 5 л или 5 кг или менее должна быть соразмерна таре.
10.1.5 Маркировка о соответствии тары требованиям настоящего стандарта должна содержать:
а) символ Организации Объединенных Наций, представленный на
рисунке 3. Применение указанного символа для других целей не допускается. При маркировании металлической тары штампом допускается наносить прописные буквы "UN" и не наносить окружность;
Рисунок 3 - Символ Организации Объединенных Наций
в) латинские буквы, обозначающие группу упаковки, которой соответствует тара или упаковка:
X - для групп упаковки I, II, III;
Y - для групп упаковки II, III;
Z - только для группы упаковки III;
г) на таре, предназначенной:
- для жидких опасных грузов - значение плотности, если оно более (1,2 +/- 0,1) г/см3, и значение гидравлического давления, кПа, +/- 10 кПа, при которых испытана тара;
- для твердых веществ и на комбинированной таре - значение максимальной массы брутто, кг, и букву "S";
д) две последние цифры года изготовления тары. На таре типов 1H и 3H надлежит также указывать месяц изготовления, который можно проставлять отдельно от остальных маркировочных знаков. С этой целью можно использовать способ нанесения, представленный на
рисунке 4.
--------------------------------
<*> В данном месте могут быть указаны две последние цифры года изготовления. В этом случае цифры года на маркировочном знаке утверждения типа и во внутреннем круге циферблата должны быть идентичными.
Рисунок 4 - Рекомендуемый способ нанесения года и месяца
изготовления тары
Примечание - Приемлемыми являются также и другие способы передачи требуемой информации в долговечной, видимой и разборчивой форме;
е) сокращенное наименование государства, разрешившего нанесение маркировки (для Российской Федерации - "RUS");
ж) обозначение настоящего стандарта;
и) наименование изготовителя.
10.1.5.1 Восстановленная тара в дополнение к маркировке, указанной в
10.1.5, должна содержать:
а) сокращенное наименование государства, на территории которого проводилось восстановление; наименование предприятия, проводившего восстановление (сокращенное или кодовое), если восстановление проведено предприятием, не являвшимся изготовителем тары;
б) год восстановления тары (две последние цифры); буква "R", если тара подвергалась восстановлению;
в) буква "L", если тара подвергалась испытанию на герметичность.
10.1.6 Помимо долговечной маркировки, указанной в
10.1.4, каждый новый металлический барабан вместимостью более 100 л должен иметь на нижнем дне постоянную (например, выдавленную) маркировку, указанную в
10.1.5, перечисления а) -
д), с указанием номинальной толщины, которая не должна быть менее толщины металла, из которого изготовлен корпус (в мм, с точностью до 0,1 мм). Если номинальная толщина верхнего и нижнего дна металлического барабана менее толщины корпуса, то номинальную толщину верхнего дна корпуса и нижнего дна следует указывать на нижнем дне в виде постоянной маркировки (например, выдавленной), например: "1,0-1,2-1,0" или "0,9-1,0-1,0". Элементы маркировки, указанные в
10.1.5, перечисления е) и
и), не должны наноситься в виде постоянной маркировки, за исключением случая, предусмотренного в
10.1.9.
10.1.7 Каждая единица тары, кроме тары, описанной в
10.1.6, подлежащая восстановлению, должна иметь постоянную маркировку, указанную в
10.1.5, перечисления а) -
д). Маркировка считается постоянной, если она способна сохраниться в процессе восстановления тары (она может быть, например, выдавлена). Для тары, за исключением металлических барабанов вместимостью более 100 л, эта постоянная маркировка может заменять соответствующую долговечную маркировку, описанную в
10.1.4.
10.1.8 Маркировка на восстановленных металлических барабанах, если не изменен тип тары и не заменены или не удалены неотъемлемые структурные элементы, не обязательно должна быть постоянной. В остальных случаях на верхнем дне или на корпусе восстановленного металлического барабана должны быть нанесены в виде постоянной маркировки (например, выдавлены) элементы, указанные в
10.1.5, перечисления а) -
д).
10.1.9 Металлические барабаны многократного использования, изготовленные из таких материалов, как, например нержавеющая сталь, могут иметь постоянную маркировку (например, выдавленную), указанную в
10.1.5, перечисления е) -
и).
10.1.10 Тара, изготовленная из пластмассы, используемой повторно (см.
3.7), маркируется символом "REC". Эта маркировка наносится рядом с маркировочным знаком, описанным в
10.1.5.
10.1.11 Маркировку следует наносить в последовательности, указанной в
10.1.5, перечисления а) -
в). Каждый из элементов маркировки в
10.1.5.1, перечисления а) -
в) должен быть отделен от других элементов косой чертой или пробелом для того, чтобы быть легко идентифицируемым. Примеры маркировки приведены в
10.2. Любая дополнительная маркировка, разрешенная компетентным органом, не должна препятствовать идентификации элементов маркировки согласно 10.1.
10.1.12 Если после восстановления тары нанесенная маркировка, предусмотренная в
10.1.5, перечисления а) -
г), уже не видна на верхнем дне или боковой стороне металлического барабана, то предприятие, производившее восстановление тары, должно нанести маркировку долговечным способом перед элементами маркировки, предусмотренной в
10.1.5, перечисления а) -
в). Данная маркировка не должна указывать на более высокие эксплуатационные характеристики, чем те, которыми был маркирован первоначальный тип конструкции.
10.2 Примеры маркировки тары для опасных грузов
10.2.1 Примеры маркировки новой тары:
| 4G/Y145/S/02 | | Для нового ящика из картона |
RUS/GOST 26319/ABCDE/CNIIMF19.9999 | |
| 1A1/Y1.4/150/98 | | Для нового стального барабана, предназначенного для жидкостей |
RUS/GOST 26319/ABCDE/CNIIMF19.9999 | |
| 1A2/Y150/S/01 | | Для нового стального барабана, предназначенного для твердых веществ, или внутренней тары |
RUS/GOST 26319/ABCDE/CNIIMF19.9999 | |
| 4HW/Y136/S/98 | | Для нового пластмассового ящика с характеристиками, равноценными указанным в коде тары |
RUS/GOST 26319/ABCDE/CNIIMF19.9999 | |
| 1A2/Y/100/01 | | Для восстановленного стального барабана, предназначенного для жидкостей с относительной плотностью, не превышающей 1,2 |
RUS/GOST 26319/ABCDE/CNIIMF19.9999 | |
Примечание - Для жидкостей нанесение маркировки относительной плотности, не превышающей 1,2, не является обязательным; см.
10.1.5, перечисление г).
10.2.2 Примеры маркировки восстановленной тары:
| 1A1/Y1.4/150/97 | |
RUS/GOST 26319/ABCDE/01 RL | |
| 1A2/Y150/S/99 | |
RUS/GOST 26319/ABCDE RUS/EDCBA/00 R | |
10.2.3 Пример маркировки аварийной тары:
| 1A2T/Y300/S/01 | |
RUS/GOST 26319/ABCDE | |
Примечание - Маркировку допускается наносить в одну или несколько строк при условии соблюдения надлежащей последовательности.
(обязательное)
ПЕРЕЧЕНЬ ОПАСНЫХ ГРУЗОВ И ЭКВИВАЛЕНТНЫХ НАПОЛНИТЕЛЕЙ
Перечень опасных грузов и эквивалентных наполнителей приведен в
таблице А.1.
В данной
графе указан номер ООН:
- опасного вещества, если этому веществу присвоен собственный отдельный номер ООН;
- сводной позиции, к которой отнесены опасные вещества, не указанные по наименованию, в соответствии с критериями "Схемы принятия решения"
[1] (часть 2).
б)
Графа 2 "Надлежащее отгрузочное наименование или техническое наименование"
[1]
В данной
графе указано наименование вещества, наименование одиночной позиции, которое может охватывать различные изомеры, или наименование сводной позиции. Указанное наименование может отличаться от применимого надлежащего отгрузочного наименования.
В данной
графе содержится описание, уточняющее сферу охвата соответствующей позиции в тех случаях, когда классификация, условия перевозки и/или химическая совместимость вещества могут варьироваться.
В данной
графе указан номер класса, охватывающего данное опасное вещество. Этот номер класса присваивается в соответствии с процедурами и критериями, изложенными в
[1] (часть 2).
В данной
графе указан классификационный код, присвоенный опасному веществу в соответствии с процедурами и критериями, изложенными в
[1] (часть 2).
В данной
графе указан(ы) номер(а) группы упаковки (I, II или III), присвоенный(ые) данному опасному веществу. Некоторые вещества не отнесены к группам упаковки.
В данной
графе указана в качестве эквивалента стандартная жидкость или комбинация стандартных жидкостей, к которым может быть отнесено данное вещество, или содержится ссылка на правило для сводных позиций.
Таблица А.1
Перечень опасных грузов и эквивалентных наполнителей
| Надлежащее отгрузочное наименование или техническое наименование | | | | | |
1 | 2 | 3 | 4 | 5 | 6 | 7 |
1090 | Ацетон | - | 3 | F1 | II | Смесь углеводородов Примечание - Применяется только в том случае, если доказано, что утечка вещества из упаковки, предназначенной для перевозки, происходит в приемлемых пределах |
1093 | Акрилонитрил стабилизированный | - | 3 | FT1 | I | н-бутилацетат/н-бутилацетат - насыщенный смачивающий раствор |
1104 | Амилацетаты | Чистые изомеры и изомерная смесь | 3 | F1 | III | н-бутилацетат/н-бутилацетат - насыщенный смачивающий раствор |
1105 | Пентанолы | Чистые изомеры и изомерная смесь | 3 | F1 | II/III | н-бутилацетат/н-бутилацетат - насыщенный смачивающий раствор |
1106 | Амиламины | Чистые изомеры и изомерная смесь | 3 | FC | II/III | Смесь углеводородов и смачивающий раствор |
1109 | Амилформиаты | Чистые изомеры и изомерная смесь | 3 | F1 | II | н-бутилацетат/н-бутилацетат - насыщенный смачивающий раствор |
1120 | Бутанолы | Чистые изомеры и изомерная смесь | 3 | F1 | II/III | Уксусная кислота |
1123 | Бутилацетаты | Чистые изомеры и изомерная смесь | 3 | F1 | II/III | н-бутилацетат/н-бутилацетат - насыщенный смачивающий раствор |
1125 | н-Бутиламин | - | 3 | FC | II | Смесь углеводородов и смачивающий раствор |
1128 | н-Бутилформиат | - | 3 | F1 | II | н-бутилацетат/н-бутилацетат - насыщенный смачивающий раствор |
1129 | Бутиральдегид | - | 3 | F1 | II | Смесь углеводородов |
1133 | Клеи | Содержащие легковоспламеняющуюся жидкость | 3 | F1 | I/II/III | Правило для сводных позиций |
1139 | Раствор для нанесения покрытия | Включая растворы для обработки или покрытия поверхностей, используемые в промышленных или иных целях, например для нанесения грунтовочного покрытия на корпус автомобилей, футеровки барабанов | 3 | F1 | I/II/III | Правило для сводных позиций |
1145 | Циклогексан | - | 3 | F1 | II | Смесь углеводородов |
1146 | Циклопентан | - | 3 | F1 | II | Смесь углеводородов |
1153 | Эфир диэтиловый этиленгликоля | - | 3 | F1 | III | н-бутилацетат/н-бутилацетат - насыщенный смачивающий раствор и смесь углеводородов |
1154 | Диэтиламин | - | 3 | FC | II | Смесь углеводородов и смачивающий раствор |
1158 | Диизопропиламин | - | 3 | FC | II | Смесь углеводородов и смачивающий раствор |
1160 | Диметиламина водный раствор | - | 3 | FC | II | Смесь углеводородов и смачивающий раствор |
1165 | Диоксан | - | 3 | F1 | II | Смесь углеводородов |
1169 | Экстракты ароматические жидкие | - | 3 | F1 | II/III | Правило для сводных позиций |
1170 | Этанол или этанола раствор | Водный раствор | 3 | F1 | II/III | Уксусная кислота |
1171 | Эфир моноэтиловый этиленгликоля | - | 3 | F1 | III | н-бутилацетат/н-бутилацетат - насыщенный смачивающий раствор и смесь углеводородов |
1172 | Эфир моноэтиловый этиленгликоля и кислоты уксусной | - | 3 | F1 | III | н-бутилацетат/н-бутилацетат - насыщенный смачивающий раствор и смесь углеводородов |
1173 | Этилацетат | - | 3 | F1 | II | н-бутилацетат/н-бутилацетат - насыщенный смачивающий раствор |
1177 | 2-этилбутилацетат | - | 3 | F1 | III | н-бутилацетат/н-бутилацетат - насыщенный смачивающий раствор |
1178 | 2-этилбутиральдегид | - | 3 | F1 | II | Смесь углеводородов |
1180 | Этилбутират | - | 3 | F1 | III | н-бутилацетат/н-бутилацетат - насыщенный смачивающий раствор |
1188 | Эфир монометиловый этиленгликоля | - | 3 | F1 | III | н-бутилацетат/н-бутилацетат - насыщенный смачивающий раствор и смесь углеводородов |
1189 | Эфир монометиловый этиленгликоля и кислоты уксусной | - | 3 | F1 | III | н-бутилацетат/н-бутилацетат - насыщенный смачивающий раствор и смесь углеводородов |
1190 | Этилформиат | - | 3 | F1 | II | н-бутилацетат/н-бутилацетат - насыщенный смачивающий раствор |
1191 | Альдегиды октиловые | Чистые изомеры и изомерная смесь | 3 | F1 | III | Смесь углеводородов |
1192 | Этиллактат | - | 3 | F1 | III | н-бутилацетат/н-бутилацетат - насыщенный смачивающий раствор |
1195 | Этилпропионат | - | 3 | F1 | II | н-бутилацетат/н-бутилацетат - насыщенный смачивающий раствор |
1197 | Экстракты ароматные жидкие | - | 3 | F1 | II/III | Правило для сводных позиций |
1198 | Формальдегида раствор, легковоспламеняющийся | Водный раствор, температура вспышки от 23 °C до 60 °C | 3 | F1 | III | Уксусная кислота |
1202 | Топливо дизельное | Соответствующее стандарту EN 590:2013 + A1:2017 или с температурой вспышки не более 100 °C | 3 | F1 | III | Смесь углеводородов |
1202 | Газойль | Температура вспышки не более 100 °C | 3 | F1 | III | Смесь углеводородов |
1202 | Топливо печное легкое | Крайне легкое | 3 | F1 | III | Смесь углеводородов |
1202 | Топливо печное легкое | Соответствующее стандарту EN 590:2013 + A1:2017 или с температурой вспышки не более 100 °C | 3 | F1 | III | Смесь углеводородов |
1203 | Бензин моторный, или газолин, или петрол | - | 3 | F1 | II | Смесь углеводородов |
1206 | Гептаны | Чистые изомеры и изомерная смесь | 3 | F1 | II | Смесь углеводородов |
1207 | Гексальдегид | н-гексальдегид | 3 | F1 | III | Смесь углеводородов |
1208 | Гексаны | Чистые изомеры и изомерная смесь | 3 | F1 | II | Смесь углеводородов |
1210 | Краска типографская или материал, используемый с типографской краской | Легковоспламеняющаяся(ийся), включая разбавитель или растворитель типографской краски | 3 | F1 | I/II/III | Правило для сводных позиций |
1212 | Изобутанол | - | 3 | F1 | III | Уксусная кислота |
1213 | Изобутилацетат | - | 3 | F1 | II | н-бутилацетат/н-бутилацетат - насыщенный смачивающий раствор |
1214 | Изобутиламин | - | 3 | FC | II | Смесь углеводородов и смачивающий раствор |
1216 | Изооктены | Чистые изомеры и изомерная смесь | 3 | F1 | II | Смесь углеводородов |
1219 | Изопропанол | - | 3 | F1 | II | Уксусная кислота |
1220 | Изопропилацетат | - | 3 | F1 | II | н-бутилацетат/н-бутилацетат - насыщенный смачивающий раствор |
1221 | Изопропиламин | - | 3 | FC | I | Смесь углеводородов и смачивающий раствор |
1223 | Керосин | - | 3 | F1 | III | Смесь углеводородов |
1224 | 3,3-диметил-2-бутанон | - | 3 | F1 | II | Смесь углеводородов |
1224 | Кетоны жидкие, н.у.к. | - | 3 | F1 | II/III | Правило для сводных позиций |
1230 | Метанол | - | 3 | FT1 | II | Уксусная кислота |
1231 | Метилацетат | - | 3 | F1 | II | н-бутилацетат/н-бутилацетат - насыщенный смачивающий раствор |
1233 | Метиламилацетат | - | 3 | F1 | III | н-бутилацетат/н-бутилацетат - насыщенный смачивающий раствор |
1235 | Метиламина водный раствор | - | 3 | FC | II | Смесь углеводородов и смачивающий раствор |
1237 | Метилбутират | - | 3 | F1 | II | н-бутилацетат/н-бутилацетат - насыщенный смачивающий раствор |
1247 | Метилметакрилата мономер стабилизированный | - | 3 | F1 | II | н-бутилацетат/н-бутилацетат - насыщенный смачивающий раствор |
1248 | Метилпропионат | - | 3 | F1 | II | н-бутилацетат/н-бутилацетат - насыщенный смачивающий раствор |
1262 | Октаны | Чистые изомеры и изомерная смесь | 3 | F1 | II | Смесь углеводородов |
| Краска или материал лакокрасочный | Включая краску, лак, эмаль, краситель, шеллак, олифу, политуру, жидкий наполнитель и жидкую лаковую основу или включая разбавитель или растворитель краски | 3 | F1 | I/II/III | Правило для сводных позиций |
1265 | Пентаны | н-пентан | 3 | F1 | II | Смесь углеводородов |
1266 | Парфюмерные продукты | Содержащие легковоспламеняющиеся растворители | 3 | F1 | II/III | Правило для сводных позиций |
1268 | Смола каменноугольная, лигроин | Давление паров при 50 °C не более 110 кПа | 3 | F1 | II | Смесь углеводородов |
1268 | Нефти дистилляты, н.у.к. или нефтепродукты, н.у.к. | - | 3 | F1 | I/II/III | Правило для сводных позиций |
1274 | н-пропанол | - | 3 | F1 | II/III | Уксусная кислота |
1275 | Пропиональдегид | - | 3 | F1 | II | Смесь углеводородов |
1276 | н-пропилацетат | - | 3 | F1 | II | н-бутилацетат/н-бутилацетат - насыщенный смачивающий раствор |
1277 | Пропиламин | н-пропиламин | 3 | FC | II | Смесь углеводородов и смачивающий раствор |
1281 | Пропилформиаты | Чистые изомеры и изомерная смесь | 3 | F1 | II | н-бутилацетат/н-бутилацетат - насыщенный смачивающий раствор |
1282 | Пиридин | - | 3 | F1 | II | Смесь углеводородов |
1286 | Масло смоляное | - | 3 | F1 | II/III | Правило для сводных позиций |
1287 | Каучука раствор | - | 3 | F1 | II/III | Правило для сводных позиций |
1296 | Триэтиламин | - | 3 | FC | II | Смесь углеводородов и смачивающий раствор |
1297 | Триметиламина водный раствор | С массовой долей триметиламина не более 50% | 3 | FC | I/II/III | Смесь углеводородов и смачивающий раствор |
1301 | Винилацетилат стабилизированный | - | 3 | F1 | II | н-бутилацетат/н-бутилацетат - насыщенный смачивающий раствор |
1306 | Антисептики для древесины жидкие | - | 3 | F1 | II/III | Правило для сводных позиций |
1547 | Анилин | - | 6.1 | T1 | II | Уксусная кислота |
1590 | Дихлоранилины жидкие | Чистые изомеры и изомерная смесь | 6.1 | T1 | II | Уксусная кислота |
1602 | Краситель жидкий токсичный, н.у.к. или полупродукт синтеза красителей жидкий токсичный, н.у.к. | - | 6.1 | T1 | I/II/III | Правило для сводных позиций |
1604 | Этилендиамин | - | 8 | CF1 | II | Смесь углеводородов и смачивающий раствор |
1715 | Ангидрид уксусный | - | 8 | CF1 | II | Уксусная кислота |
1717 | Ацетилхлорид | - | 3 | FC | II | н-бутилацетат/н-бутилацетат - насыщенный смачивающий раствор |
1718 | Кислота бутилфосфорная | - | 8 | C3 | III | Смачивающий раствор |
1719 | Сероводород | Водный раствор | 8 | C5 | III | Уксусная кислота |
1719 | Щелочная жидкость едкая, н.у.к. | Неорганическая | 8 | C5 | II/III | Правило для сводных позиций |
1730 | Сурьмы пентахлорид жидкий | Чистый | 8 | C1 | II | Вода |
1736 | Бензоилхлорид | - | 8 | C3 | II | Смесь углеводородов и смачивающий раствор |
1750 | Кислоты хлоруксусной раствор | Водный раствор | 6.1 | TC1 | II | Уксусная кислота |
1750 | Кислоты хлоруксусной раствор | Смеси моно- и дихлоруксусной кислоты | 6.1 | TC1 | II | Уксусная кислота |
1752 | Хлорацетилхлорид | - | 6.1 | TC1 | I | н-бутилацетат/н-бутилацетат - насыщенный смачивающий раствор |
1755 | Кислоты хромовой раствор | Водный раствор, содержащий не более 30% хромовой кислоты | 8 | C1 | II/III | Азотная кислота |
1760 | Цианамид | Водный раствор, содержащий не более 50% цианамида | 8 | C9 | II | Вода |
1760 | O,O-диэтилдитиофосфорная кислота | - | 8 | C9 | II | н-бутилацетат/н-бутилацетат - насыщенный смачивающий раствор |
1760 | O,O-диизопропилдитиофосфорная кислота | - | 8 | C9 | II | н-бутилацетат/н-бутилацетат - насыщенный смачивающий раствор |
1760 | O,O-ди-н-пропилдитиофосфорная кислота | - | 8 | C9 | II | н-бутилацетат/н-бутилацетат - насыщенный смачивающий раствор |
1760 | Коррозионная жидкость, н.у.к. | Температура вспышки выше 60 °C | 8 | C9 | I/II/III | Правило для сводных позиций |
1761 | Медьэтилендиамина раствор | Водный раствор | 8 | CT1 | II/III | Смесь углеводородов и смачивающий раствор |
1764 | Кислота дихлоруксусная | - | 8 | C3 | II | Уксусная кислота |
1775 | Кислота борфтористоводородная | Водный раствор, содержащий не более 50% борфтористоводородной кислоты | 8 | C1 | II | Вода |
1778 | Кислота кремнефтористоводородная | - | 8 | C1 | II | Вода |
1779 | Кислота муравьиная | С массовой долей кислоты более 85% | 8 | C3 | II | Уксусная кислота |
1783 | Гексаметилендиамина раствор | Водный раствор | 8 | C7 | II/III | Смесь углеводородов и смачивающий раствор |
1787 | Кислота йодистоводородная | Водный раствор | 8 | C1 | II/III | Вода |
1788 | Кислота бромистоводородная | Водный раствор | 8 | C1 | II/III | Вода |
1789 | Кислота хлористоводородная | Водный раствор, содержащий не более 38% кислоты | 8 | C1 | II/III | Вода |
1790 | Кислота фтористоводородная | Содержащая не более 60% фтористоводородной кислоты | 8 | CT1 | II | Вода, допустимый период использования: не более двух лет |
| Гипохлорита раствор | Водный раствор, содержащий смачивающие вещества, принятые в торговле | 8 | C9 | II/III | Азотная кислота и смачивающий раствор <*> |
1791 | Гипохлорита раствор | Водный раствор | 8 | C9 | II/III | |
1793 | Кислота изопропилфосфорная | - | 8 | C3 | III | Смачивающий раствор |
1802 | Кислота хлорная | Водный раствор с массовой долей кислоты не более 50% | 8 | CO1 | II | Вода |
1803 | Фенолсульфокислота жидкая | Изомерная смесь | 8 | C3 | II | Вода |
| Кислоты фосфорной раствор | - | 8 | C1 | III | Вода |
1814 | Калия гидроксида раствор | Водный раствор | 8 | C5 | II/III | Вода |
1824 | Натрия гидроксида раствор | Водный раствор | 8 | C5 | II/III | Вода |
| Кислота серная | Содержащая более 51% чистой кислоты | 8 | C1 | II | Вода |
| Кислота серная отработанная | Химически устойчивая | 8 | C1 | II | Вода |
1833 | Кислота сернистая | - | 8 | C1 | II | Вода |
1835 | Тетраметиламмония гидроксида раствор | Водный раствор, температура вспышки выше 60 °C | 8 | C7 | II | Вода |
1840 | Цинка хлорида раствор | Водный раствор | 8 | C1 | III | Вода |
1848 | Кислота пропионовая | С массовой долей кислоты не менее 10% и менее 90% | 8 | C3 | III | н-бутилацетат/н-бутилацетат - насыщенный смачивающий раствор |
1862 | Этилкротонат | - | 3 | F1 | II | н-бутилацетат/н-бутилацетат - насыщенный смачивающий раствор |
1863 | Топливо авиационное для турбинных двигателей | - | 3 | F1 | I/II/III | Смесь углеводородов |
1866 | Смолы раствор | Легковоспламеняющийся | 3 | F1 | I/II/III | Правило для сводных позиций |
1902 | Кислота диизооктилфосфорная | - | 8 | C3 | III | Смачивающий раствор |
| Кислота серная, регенерированная из кислого гудрона | - | 8 | C1 | II | Азотная кислота |
1908 | Хлорита раствор | Водный раствор | 8 | C9 | II/III | Уксусная кислота |
1914 | Бутилпропионаты | - | 3 | F1 | III | н-бутилацетат/н-бутилацетат - насыщенный смачивающий раствор |
1915 | Циклогексанон | - | 3 | F1 | III | Смесь углеводородов |
1917 | Этилакрилат стабилизированный | - | 3 | F1 | II | н-бутилацетат/н-бутилацетат - насыщенный смачивающий раствор |
1919 | Метилакрилат стабилизированный | - | 3 | F1 | II | н-бутилацетат/н-бутилацетат - насыщенный смачивающий раствор |
1920 | Нонаны | Чистые изомеры и изомерная смесь, температура вспышки от 23 °C до 60 °C | 3 | F1 | III | Смесь углеводородов |
1935 | Цианида раствор, н.у.к. | Неорганический | 3 | T4 | I/II/III | Вода |
1940 | Кислота тиогликолевая | - | 3 | C3 | II | Уксусная кислота |
1986 | Спирты легковоспламеняющиеся токсичные, н.у.к. | - | 3 | FT1 | I/II/III | Правило для сводных позиций |
1987 | Циклогексанол | Технически чистый | 3 | F1 | III | Уксусная кислота |
1987 | Спирты, н.у.к. | - | 3 | F1 | II/III | Правило для сводных позиций |
1988 | Альдегиды легковоспламеняющиеся токсичные, н.у.к. | - | 3 | FT1 | I/II/III | Правило для сводных позиций |
1989 | Альдегиды, н.у.к. | - | 3 | F1 | I/II/III | Правило для сводных позиций |
1992 | 2,6-цис-диметилморфолин | - | 3 | FT1 | III | Смесь углеводородов |
1992 | Легковоспламеняющаяся жидкость токсичная, н.у.к. | - | 3 | FT1 | I/II/III | Правило для сводных позиций |
1993 | Виниловый эфир пропионовой кислоты | - | 3 | F1 | II | н-бутилацетат/н-бутилацетат - насыщенный смачивающий раствор |
1993 | (1-метокси-2-пропил) ацетат | - | 3 | F1 | III | н-бутилацетат/н-бутилацетат - насыщенный смачивающий раствор |
1993 | Легковоспламеняющаяся жидкость, н.у.к. | - | 3 | F1 | I/II/III | Правило для сводных позиций |
2014 | Водорода пероксида водный раствор | Содержащий не менее 20%, но не более 60% пероксида водорода, стабилизированный, если необходимо | 5.1 | OC1 | II | Азотная кислота |
2022 | Кислота крезиловая | Жидкая смесь, содержащая крезолы, ксиленолы и метилфенолы | 6.1 | TC1 | II | Уксусная кислота |
2030 | Гидразина водный раствор | С массовой долей гидразина не менее 37%, но не более 64% | 8 | CT1 | II | Вода |
2030 | Гидразина гидрат | Водный раствор, содержащий 64% гидразина | 8 | CT1 | II | Вода |
2031 | Кислота азотная | Кроме красной дымящей, с содержанием чистой кислоты не более 55% | 8 | CO1 | II | Азотная кислота |
2045 | Изобутиральдегид | - | 3 | F1 | II | Смесь углеводородов |
2050 | Диизобутилена изомерные соединения | - | 3 | F1 | II | Смесь углеводородов |
2053 | Метилизобутилкарбинол | - | 3 | F1 | III | Уксусная кислота |
2054 | Морфолин | - | 8 | CF1 | I | Смесь углеводородов |
2057 | Трипропилен | - | 3 | F1 | II/III | Смесь углеводородов |
2058 | Валеральдегид | Чистые изомеры и изомерная смесь | 3 | F1 | II | Смесь углеводородов |
| Нитроцеллюлозы раствор легковоспламеняющийся | - | 3 | D | I/II/III | Правило для сводных позиций: в отступление от общей процедуры это правило может применяться к растворителям с классификационным кодом F1 |
2075 | Хлораль безводный стабилизированный | - | 6.1 | T1 | II | Смачивающий раствор |
2076 | Крезолы жидкие | Чистые изомеры и изомерная смесь | 6.1 | TC1 | II | Уксусная кислота |
2078 | Толуолдиизоцианат | Жидкий | 6.1 | T1 | II | н-бутилацетат/н-бутилацетат - насыщенный смачивающий раствор |
2079 | Диэтилентриамин | - | 8 | C7 | II | Смесь углеводородов |
2209 | Формальдегида раствор | Водный раствор, содержащий 37% формальдегида, содержание метанола: от 8% до 10% | 8 | C9 | III | Уксусная кислота |
2209 | Формальдегида раствор | Водный раствор, содержащий не менее 25% формальдегида | 8 | C9 | III | Вода |
2218 | Кислота акриловая стабилизированная | - | 8 | CF1 | II | н-бутилацетат/н-бутилацетат - насыщенный смачивающий раствор |
2227 | н-бутилметакрилат стабилизированный | - | 3 | F1 | III | н-бутилацетат/н-бутилацетат - насыщенный смачивающий раствор |
2235 | Хлорбензилхлориды жидкие | Парахлорбензилхлорид | 6.1 | T2 | III | Смесь углеводородов |
2241 | Циклогептан | - | 3 | F1 | II | Смесь углеводородов |
2242 | Циклогептен | - | 3 | F1 | II | Смесь углеводородов |
2243 | Циклогексилацетат | - | 3 | F1 | III | н-бутилацетат/н-бутилацетат - насыщенный смачивающий раствор |
2244 | Циклопентанол | - | 3 | F1 | III | Уксусная кислота |
2245 | Циклопентанон | - | 3 | F1 | III | Смесь углеводородов |
2247 | н-декан | - | 3 | F1 | III | Смесь углеводородов |
2248 | Ди-н-бутиламин | - | 8 | CF1 | II | Смесь углеводородов |
2258 | 1,2-пропилентетрамин | - | 8 | CF1 | II | Смесь углеводородов и смачивающий раствор |
2259 | Триэтилентетрамин | - | 8 | C7 | II | Вода |
2260 | Трипропиламин | - | 3 | FC | III | Смесь углеводородов и смачивающий раствор |
2263 | Диметилциклогексаны | Чистые изомеры и изомерная смесь | 3 | F1 | II | Смесь углеводородов |
2264 | N,N-диметилциклогексиламин | - | 8 | CF1 | II | Смесь углеводородов и смачивающий раствор |
2265 | N,N-диметилформамид | - | 3 | F1 | III | н-бутилацетат/н-бутилацетат - насыщенный смачивающий раствор |
2266 | Диметил-n-пропиламин | - | 3 | FC | II | Смесь углеводородов и смачивающий раствор |
2269 | 3,3'-иминодипропиламин | - | 8 | C7 | III | Смесь углеводородов и смачивающий раствор |
2270 | Этиламина водный раствор | Содержащий не менее 50%, но не более 70% этиламина, температура вспышки ниже 23 °C, коррозионный или слабокоррозионный | 3 | FC | II | Смесь углеводородов и смачивающий раствор |
2275 | 2-этилбутанол | - | 3 | F1 | III | н-бутилацетат/н-бутилацетат - насыщенный смачивающий раствор |
2276 | 2-этилгексиламин | - | 3 | FC | III | Смесь углеводородов и смачивающий раствор |
2277 | Этилметакрилат стабилизированный | - | 3 | F1 | II | н-бутилацетат/н-бутилацетат - насыщенный смачивающий раствор |
2278 | н-гептен | - | 3 | F1 | II | Смесь углеводородов |
2282 | Гексанолы | Чистые изомеры и изомерная смесь | 3 | F1 | III | н-бутилацетат/н-бутилацетат - насыщенный смачивающий раствор |
2283 | Изобутилметакрилат стабилизированный | - | 3 | F1 | III | н-бутилацетат/н-бутилацетат - насыщенный смачивающий раствор |
2286 | Пентаметилгептан | - | 3 | F1 | III | Смесь углеводородов |
2287 | Изогептены | - | 3 | F1 | II | Смесь углеводородов |
2288 | Изогексены | - | 3 | F1 | II | Смесь углеводородов |
2289 | Изофорондиамин | - | 8 | C7 | III | Смесь углеводородов и смачивающий раствор |
2293 | 4-метокси-4-метилпентанон-2 | - | 3 | F1 | III | Смесь углеводородов |
2296 | Метилциклогексан | - | 3 | F1 | II | Смесь углеводородов |
2297 | Метилциклогексанон | Чистые изомеры и изомерная смесь | 3 | F1 | III | Смесь углеводородов |
2298 | Метилциклопентан | - | 3 | F1 | II | Смесь углеводородов |
2302 | 5-метилгексанон-2 | - | 3 | F1 | III | Смесь углеводородов |
| Кислота нитрозилсерная, жидкая | - | 8 | C1 | II | Вода |
2309 | Октадиены | - | 3 | F1 | II | Смесь углеводородов |
2313 | Пиколины | Чистые изомеры и изомерная смесь | 3 | F1 | III | Смесь углеводородов |
2317 | Натрия купроцианида раствор | Водный раствор | 6.1 | T4 | I | Вода |
2320 | Тетраэтиленпентамин | | 8 | C7 | III | Смесь углеводородов и смачивающий раствор |
2324 | Триизобутилен | Смесь моноолефинов C12, температура вспышки от 23 °C до 60 °C | 3 | F1 | III | Смесь углеводородов |
2326 | Триметилциклогексиламин | | 8 | C7 | III | Смесь углеводородов и смачивающий раствор |
2327 | Триметилгексаметилен-диамины | Чистые изомеры и изомерная смесь | 8 | C7 | III | Смесь углеводородов и смачивающий раствор |
2330 | Ундекан | | 3 | F1 | III | Смесь углеводородов |
2336 | Аллилформиат | | 3 | FT1 | I | н-бутилацетат/н-бутилацетат - насыщенный смачивающий раствор |
2348 | Бутилакрилаты стабилизированные | Чистые изомеры и изомерная смесь | 3 | F1 | III | н-бутилацетат/н-бутилацетат - насыщенный смачивающий раствор |
2357 | Циклогексиламин | Температура вспышки от 23 °C до 60 °C | 8 | CF1 | II | Смесь углеводородов и смачивающий раствор |
2361 | Диизобутиламин | | 3 | FC | III | Смесь углеводородов и смачивающий раствор |
2366 | Диэтилкарбонат | | 3 | F1 | III | н-бутилацетат/н-бутилацетат - насыщенный смачивающий раствор |
2367 | Альфа-метилвалеральдегид | | 3 | F1 | II | Смесь углеводородов |
2370 | Гексен-1 | | 3 | F1 | II | Смесь углеводородов |
2372 | 1,2-ди-(диметиламино)-этан | | 3 | F1 | II | Смесь углеводородов и смачивающий раствор |
2379 | 1,3-диметилбутиламин | | 3 | FC | II | Смесь углеводородов и смачивающий раствор |
2383 | Дипропиламин | - | 3 | FC | II | Смесь углеводородов и смачивающий раствор |
2385 | Этилизобутират | - | 3 | F1 | II | н-бутилацетат/н-бутилацетат - насыщенный смачивающий раствор |
2393 | Изобутилформиат | - | 3 | F1 | II | н-бутилацетат/н-бутилацетат - насыщенный смачивающий раствор |
2394 | Изобутилпропионат | Температура вспышки от 23 °C до 60 °C | 3 | F1 | III | н-бутилацетат/н-бутилацетат - насыщенный смачивающий раствор |
2396 | Альдегид метакриловый стабилизированный | - | 3 | FT1 | II | Смесь углеводородов |
2400 | Метилизовалерат | - | 3 | F1 | II | н-бутилацетат/н-бутилацетат - насыщенный смачивающий раствор |
2401 | Пиперидин | - | 8 | CF1 | I | Смесь углеводородов и смачивающий раствор |
2403 | Изопропенилацетат | - | 3 | F1 | II | н-бутилацетат/н-бутилацетат - насыщенный смачивающий раствор |
2405 | Изопропилбутират | - | 3 | F1 | III | н-бутилацетат/н-бутилацетат - насыщенный смачивающий раствор |
2406 | Изопропилизобутират | - | 3 | F1 | II | н-бутилацетат/н-бутилацетат - насыщенный смачивающий раствор |
2409 | Изопропилпропионат | - | 3 | F1 | II | н-бутилацетат/н-бутилацетат - насыщенный смачивающий раствор |
2410 | 1,2,3,6-тетрагидропиридин | - | 3 | F1 | II | Смесь углеводородов |
2427 | Калия хлората водный раствор | - | 5.1 | O1 | II/III | Вода |
2428 | Натрия хлората водный раствор | - | 5.1 | O1 | II/III | Вода |
2429 | Кальция хлората водный раствор | - | 5.1 | O1 | II/III | Вода |
2436 | Кислота тиоуксусная | - | 3 | F1 | II | Уксусная кислота |
2457 | 2,3-диметилбутан | - | 3 | F1 | II | Смесь углеводородов |
2491 | Этаноламин | - | 8 | C7 | III | Смачивающий раствор |
2491 | Этаноламина раствор | Водный раствор | 8 | C7 | III | Смачивающий раствор |
2496 | Ангидрид пропионовый | - | 8 | C3 | III | н-бутилацетат/н-бутилацетат - насыщенный смачивающий раствор |
2524 | Этилортоформиат | - | 3 | F1 | III | н-бутилацетат/н-бутилацетат - насыщенный смачивающий раствор |
2526 | Фурфуриламин | - | 3 | FC | III | Смесь углеводородов и смачивающий раствор |
2527 | Изобутилакрилат стабилизированный | - | 3 | F1 | III | н-бутилацетат/н-бутилацетат - насыщенный смачивающий раствор |
2528 | Изобутилизобутират | - | 3 | F1 | III | н-бутилацетат/н-бутилацетат - насыщенный смачивающий раствор |
2529 | Кислота изомасляная | - | 3 | FC | III | н-бутилацетат/н-бутилацетат - насыщенный смачивающий раствор |
2531 | Кислота метакриловая стабилизированная | - | 8 | C3 | II | н-бутилацетат/н-бутилацетат-насыщенный смачивающий раствор |
2542 | Трибутиламин | - | 6.1 | T1 | II | Смесь углеводородов |
2560 | 2-метилпентанол-2 | - | 3 | F1 | III | н-бутилацетат/н-бутилацетат - насыщенный смачивающий раствор |
2564 | Кислоты трихлоруксусной раствор | Водный раствор | 8 | C3 | II/III | Уксусная кислота |
2565 | Дициклогексиламин | - | 8 | C7 | III | Смесь углеводородов и смачивающий раствор |
2571 | Кислота этилсерная | - | 8 | C3 | II | н-бутилацетат/н-бутилацетат - насыщенный смачивающий раствор |
2571 | Кислоты алкилсерные | - | 8 | C3 | II | Правило для сводных позиций |
2580 | Алюминия бромида раствор | Водный раствор | 8 | C1 | III | Вода |
2581 | Алюминия хлорида раствор | Водный раствор | 8 | C1 | III | Вода |
2582 | Железа (III) хлорида раствор | Водный раствор | 8 | C1 | III | Вода |
2584 | Метансульфокислота | Содержащая более 5% свободной серной кислоты | 8 | C1 | II | Вода |
2584 | Алкилсульфокислоты жидкие | Содержащие более 5% свободной серной кислоты | 8 | C1 | II | н-бутилацетат/н-бутилацетат - насыщенный смачивающий раствор |
2584 | Бензолсульфокислота | Содержащая более 5% свободной серной кислоты | 8 | C1 | II | Вода |
2584 | Толуолсульфокислоты | Содержащие более 5% свободной серной кислоты | 8 | C1 | II | Вода |
2584 | Арилсульфокислоты жидкие | Содержащие более 5% свободной серной кислоты | 8 | C1 | II | н-бутилацетат/н-бутилацетат - насыщенный смачивающий раствор |
2586 | Метансульфокислота | Содержащая более 5% свободной серной кислоты | 8 | C1 | III | Вода |
2586 | Алкилсульфокислоты жидкие | Содержащие более 5% свободной серной кислоты | 8 | C1 | III | н-бутилацетат/н-бутилацетат - насыщенный смачивающий раствор |
2586 | Бензолсульфокислота | Содержащая более 5% свободной серной кислоты | 8 | C1 | III | Вода |
2586 | Толуолсульфокислоты | Содержащие более 5% свободной серной кислоты | 8 | C1 | III | Вода |
2586 | Арилсульфокислоты жидкие | Содержащие более 5% свободной серной кислоты | 8 | C1 | III | н-бутилацетат/н-бутилацетат - насыщенный смачивающий раствор |
2610 | Триаллиламин | - | 3 | FC | III | Смесь углеводородов и смачивающий раствор |
2614 | Спирт металлиловый | - | 3 | F1 | III | Уксусная кислота |
2617 | Метилциклогексанолы | Чистые изомеры и изомерная смесь, температура вспышки от 23 °C до 60 °C | 3 | F1 | III | Уксусная кислота |
2619 | Диметилбензиламин | - | 8 | CF1 | II | Смесь углеводородов и смачивающий раствор |
2620 | Амилбутираты | Чистые изомеры и изомерная смесь, температура вспышки от 23 °C до 60 °C | 3 | F1 | III | н-бутилацетат/н-бутилацетат - насыщенный смачивающий раствор |
2622 | Глицидальдегид | Температура вспышки ниже 23 °C | 3 | FT1 | II | Смесь углеводородов |
2626 | Кислоты хлорноватой водный раствор | Содержащие более 10% свободной серной кислоты | 5.1 | O1 | II | Азотная кислота |
2656 | Хинолин | Температура вспышки выше 60 °C | 6.1 | T1 | III | Вода |
2672 | Аммиака раствор | В воде, с относительной плотностью от 0,880 до 0,957 при температуре 15 °C, содержащий более 10%, но не более 35% аммиака | 8 | C5 | III | Вода |
2683 | Аммония сульфида раствор | Водный раствор, температура вспышки от 23 °C до 60 °C | 8 | CFT | II | Уксусная кислота |
2684 | 3-диэтиламинопропиламин | - | 3 | FC | III | Смесь углеводородов и смачивающий раствор |
2685 | N,N-диэтилэтилендиамин | - | 8 | CF1 | II | Смесь углеводородов и смачивающий раствор |
2693 | Бисульфитов водный раствор, н.у.к. | Неорганический | 8 | C1 | III | Вода |
2707 | Диметилдиоксаны | Чистые изомеры и изомерная смесь | 3 | F1 | II/III | Смесь углеводородов |
2733 | Амины легковоспламеняющиеся коррозионные, н.у.к. или полиамины легковоспламеняющиеся коррозионные, н.у.к. | - | 3 | FC | I/II/III | Смесь углеводородов и смачивающий раствор |
2734 | Ди-втор-бутиламин | - | 8 | CF1 | II | Смесь углеводородов |
2734 | Амины жидкие коррозионные легковоспламеняющиеся, н.у.к. или полиамины жидкие коррозионные легковоспламеняющиеся, н.у.к. | - | 8 | CF1 | I/II | Смесь углеводородов и смачивающий раствор |
2735 | Амины жидкие коррозионные, н.у.к. или полиамины жидкие коррозионные, н.у.к. | - | 8 | C7 | I/II/III | Смесь углеводородов и смачивающий раствор |
2739 | Ангидрид масляный | - | 8 | C3 | III | н-бутилацетат/н-бутилацетат - насыщенный смачивающий раствор |
2789 | Кислота уксусная ледяная или кислоты уксусной раствор | Водный раствор с массовой долей кислоты более 80% | 8 | CF1 | II | Уксусная кислота |
| Кислоты уксусной раствор | Водный раствор с массовой долей кислоты более 10%, но не более 80% | 8 | C3 | II/III | Уксусная кислота |
| Кислота серная | Содержащая не более 51% чистой кислоты | 8 | C1 | II | Вода |
2797 | Жидкость аккумуляторная щелочная | Водный раствор гидроксида калия/натрия | 8 | C5 | II | Вода |
2810 | 2-хлор-6-фторбензилхлорид | Стабилизированный | 6.1 | T1 | III | Смесь углеводородов |
2810 | 2-фенилэтанол | - | 6.1 | T1 | III | Уксусная кислота |
2810 | Эфир моногексиловый этиленгликоля | - | 6.1 | T1 | III | Уксусная кислота |
2810 | Токсичная жидкость органическая, н.у.к. | - | 6.1 | T1 | I/II/III | Правило для сводных позиций |
2815 | N-аминоэтилпиперазин | - | 8 | CT1 | III | Смесь углеводородов и смачивающий раствор |
2818 | Аммония полисульфида раствор | Водный раствор | 8 | CT1 | II/III | Уксусная кислота |
2819 | Амилфосфат | - | 8 | C3 | III | Смачивающий раствор |
2820 | Кислота масляная | Кислота-н-масляная | 8 | C3 | III | н-бутилацетат/н-бутилацетат - насыщенный смачивающий раствор |
2821 | Фенола раствор | Водный раствор, токсичный, нещелочной | 6.1 | T1 | II/III | Уксусная кислота |
2829 | Кислота капроновая | Кислота-н-капроновая | 8 | C3 | III | н-бутилацетат/н-бутилацетат - насыщенный смачивающий раствор |
2837 | Бисульфатов водный раствор | - | 8 | C1 | II/III | Вода |
2838 | Винилбутират стабилизированный | - | 3 | F1 | II | н-бутилацетат/н-бутилацетат - насыщенный смачивающий раствор |
2841 | Ди-н-амиламин | - | 3 | FT1 | III | Смесь углеводородов и смачивающий раствор |
2850 | Пропилена тетрамер | Смесь моноолефинов C12, температура вспышки от 23 °C до 60 °C | 3 | F1 | III | Смесь углеводородов |
2873 | Дибутиламиноэтанол | N,N-ди-н-бутиламиноэтанол | 6.1 | T1 | III | Уксусная кислота |
2874 | Спирт фурфуриловый | - | 6.1 | T1 | III | Уксусная кислота |
2920 | O,O-диэтилдитиофосфорная кислота | Температура вспышки от 23 °C до 60 °C | 8 | CF1 | II | н-бутилацетат/н-бутилацетат - насыщенный смачивающий раствор |
2920 | O,O-диметилдитиофосфорная кислота | Температура вспышки от 23 °C до 60 °C | 8 | CF1 | II | Смачивающий раствор |
2920 | Водород бромистый | 33%-ный раствор в ледяной уксусной кислоте | 8 | CF1 | II | Смачивающий раствор |
2920 | Тетраметиламмония гидроксид | Водный раствор, температура вспышки от 23 °C до 60 °C | 8 | CF1 | II | Вода |
2920 | Коррозионная жидкость легковоспламеняющаяся, н.у.к. | - | 8 | CF1 | I/II | Правило для сводных позиций |
2922 | Аммония сульфид | Водный раствор, температура вспышки выше 60 °C | 8 | CT1 | II | Вода |
2922 | Крезолы | Водный щелочной раствор, смесь крезолята натрия и калия | 8 | CT1 | II | Уксусная кислота |
2922 | Фенол | Водный щелочной раствор, смесь фенолята натрия и калия | 8 | CT1 | II | Уксусная кислота |
2922 | Натрия гидродифторид | Водный раствор | 8 | CT1 | III | Вода |
2922 | Коррозионная жидкость токсичная, н.у.к. | - | 8 | CT1 | I/II/III | Правило для сводных позиций |
2924 | Легковоспламеняющаяся жидкость коррозионная, н.у.к. | Слабокоррозионная | 3 | FC | I/II/III | Правило для сводных позиций |
2927 | Токсичная жидкость коррозионная органическая, н.у.к. | - | 6.1 | TC1 | I/II | Правило для сводных позиций |
2933 | Метил-2-хлорпропионат | - | 3 | F1 | III | н-бутилацетат/н-бутилацетат - насыщенный смачивающий раствор |
2934 | Изопропил-2-хлорпропионат | - | 3 | F1 | III | н-бутилацетат/н-бутилацетат - насыщенный смачивающий раствор |
2935 | Этил-2-хлорпропионат | - | 3 | F1 | III | н-бутилацетат/н-бутилацетат - насыщенный смачивающий раствор |
2936 | Кислота тиомолочная | - | 6.1 | T1 | II | Уксусная кислота |
2941 | Фторанилины | Чистые изомеры и изомерная смесь | 6.1 | T1 | III | Уксусная кислота |
2943 | Тетрагидрофурфуриламин | - | 3 | F1 | III | Смесь углеводородов |
2945 | N-метилбутиламин | - | 3 | FC | II | Смесь углеводородов и смачивающий раствор |
2946 | 2-амино-5-диэтиламинопентан | - | 6.1 | T1 | III | Смесь углеводородов и смачивающий раствор |
2947 | Изопропилхлорацетат | - | 3 | F1 | III | н-бутилацетат/н-бутилацетат - насыщенный смачивающий раствор |
2984 | Водорода пероксида водный раствор | Содержащий не менее 8%, но менее 20% пероксида водорода, стабилизированный, если необходимо | 5.1 | O1 | III | Азотная кислота |
3056 | н-гептальдегид | - | 3 | F1 | III | Смесь углеводородов |
3065 | Напитки алкогольные | Содержащие не менее 24% по объему | 3 | F1 | II/III | Уксусная кислота |
3066 | Краска или материал лакокрасочный | Включая краску, лак, эмаль, краситель, шеллак, олифу, политуру, жидкий наполнитель и жидкую лаковую основу или включая растворитель или разбавитель краски | 8 | C9 | II/III | Правило для сводных позиций |
3079 | Метакрилонитрид стабилизированный | - | 6.1 | TF1 | I | н-бутилацетат/н-бутилацетат - насыщенный смачивающий раствор |
3082 | Спиртовый C6 - C17 (вторичный) поли (3 - 6) этоксилат | - | 9 | M6 | III | н-бутилацетат/н-бутилацетат - насыщенный смачивающий раствор и смесь углеводородов |
3082 | Спиртовый C12 - C15 поли (1 - 3) этоксилат | - | 9 | M6 | III | н-бутилацетат/н-бутилацетат - насыщенный смачивающий раствор и смесь углеводородов |
3082 | Спиртовый C13 - C15 поли (1 - 6) этоксилат | - | 9 | M6 | III | н-бутилацетат/н-бутилацетат - насыщенный смачивающий раствор и смесь углеводородов |
3082 | Авиационное турбинное топливо JP-5 | Температура вспышки выше 60 °C | 9 | M6 | III | Смесь углеводородов |
3082 | Авиационное турбинное топливо JP-7 | Температура вспышки выше 60 °C | 9 | M6 | III | Смесь углеводородов |
3082 | Смола каменноугольная | Температура вспышки выше 60 °C | 9 | M6 | III | Смесь углеводородов |
3082 | Смола каменноугольная, лигроин | Температура вспышки выше 60 °C | 9 | M6 | III | Смесь углеводородов |
3082 | Креозот, полученный из каменноугольной смолы | Температура вспышки выше 60 °C | 9 | M6 | III | Смесь углеводородов |
3082 | Креозот, полученный из древесной смолы | Температура вспышки выше 60 °C | 9 | M6 | III | Смесь углеводородов |
3082 | Крезилдифенилфосфат | - | 9 | M6 | III | Смачивающий раствор |
3082 | Децилакрилат | - | 9 | M6 | III | н-бутилацетат/н-бутилацетат - насыщенный смачивающий раствор и смесь углеводородов |
3082 | Диизобутилфталат | - | 9 | M6 | III | н-бутилацетат/н-бутилацетат - насыщенный смачивающий раствор и смесь углеводородов |
3082 | Ди-н-бутилфталат | - | 9 | M6 | III | н-бутилацетат/н-бутилацетат - насыщенный смачивающий раствор и смесь углеводородов |
3082 | Углеводороды | Жидкие, температура вспышки выше 60 °C, опасные для окружающей среды | 9 | M6 | III | Правило для сводных позиций |
3082 | Изодецилдифенилфосфат | - | 9 | M6 | III | Смачивающий раствор |
3082 | Метилнафталины | Изомерная смесь, жидкая | 9 | M6 | III | Смесь углеводородов |
3082 | Триарилфосфаты | Н.у.к | 9 | M6 | III | Смачивающий раствор |
3082 | Трикрезилфосфат | Содержащий не более 3% ортоизомера | 9 | M6 | III | Смачивающий раствор |
3082 | Триксиленилфосфат | - | 9 | M6 | III | Смачивающий раствор |
3082 | Цинкалкилдитиофосфат | C3 - C14 | 9 | M6 | III | Смачивающий раствор |
3082 | Цинкарилдитиофосфат | C7 - C16 | 9 | M6 | III | Смачивающий раствор |
3082 | Вещество, опасное для окружающей среды, жидкое, н.у.к. | - | 9 | M6 | III | Правило для сводных позиций |
3099 | Окисляющая жидкость токсичная, н.у.к. | - | 5.1 | OT1 | I/II/III | Правило для сводных позиций |
| Органический пероксид типа B, C, D, E или F жидкий или Органический пероксид типа B, C, D, E или F жидкий с регулируемой температурой | - | 5.2 | P1 | | н-бутилацетат/н-бутилацетат - насыщенный смачивающий раствор и смесь углеводородов и азотная кислота <**> |
3145 | Бутилфенолы | Жидкие, н.у.к. | 8 | C3 | I/II/III | Уксусная кислота |
3145 | Алкилфенолы, жидкие, н.у.к. | Включая гомологи C2 - C12 | 8 | C3 | I/II/III | н-бутилацетат/н-бутилацетат - насыщенный смачивающий раствор |
3149 | Водорода пероксида и кислоты надуксусной смесь стабилизированная | Содержащая номер ООН 2790 кислоту уксусную, номер ООН 2796 кислоту серную и/или номер ООН 1805 кислоту фосфорную, воду и не более 5% надуксусной кислоты | 5.1 | OC1 | II | Смачивающий раствор и азотная кислота |
3210 | Хлоратов неорганических водный раствор, н.у.к. | - | 5.1 | O1 | II/III | Вода |
3211 | Перхлоратов неорганических водный раствор, н.у.к. | - | 5.1 | O1 | II/III | Вода |
3213 | Броматов неорганических водный раствор, н.у.к. | - | 5.1 | O1 | II/III | Вода |
3214 | Перманганатов неорганических водный раствор, н.у.к. | - | 5.1 | O1 | II | Вода |
3216 | Персульфатов неорганических водный раствор, н.у.к. | - | 5.1 | O1 | III | Смачивающий раствор |
3218 | Нитратов неорганических водный раствор, н.у.к. | - | 5.1 | O1 | II/III | Вода |
3219 | Нитритов неорганических водный раствор, н.у.к. | - | 5.1 | O1 | II/III | Вода |
3264 | Меди хлорид | Водный раствор, слабокоррозионный | 8 | C1 | III | Вода |
3264 | Гидроксиламина сульфат | 25%-ный водный раствор | 8 | C1 | III | Вода |
3264 | Кислота фосфористая | Водный раствор | 8 | C1 | III | Вода |
3264 | Коррозионная жидкость кислая неорганическая, н.у.к. | Температура вспышки выше 60 °C | 8 | C1 | I/II/III | Правило для сводных позиций; не применяется к смесям, в состав которых входят следующие компоненты: |
3265 | Кислота метоксиуксусная | - | 8 | C3 | I | н-бутилацетат/н-бутилацетат - насыщенный смачивающий раствор |
3265 | Аллилсукционовый ангидрид | - | 8 | C3 | II | н-бутилацетат/н-бутилацетат - насыщенный смачивающий раствор |
3265 | Дитиогликолевая кислота | - | 8 | C3 | II | н-бутилацетат/н-бутилацетат - насыщенный смачивающий раствор |
3265 | Бутилфосфат | Смесь моно- и дибутилфосфата | 8 | C3 | III | Смачивающий раствор |
3265 | Кислота каприловая | - | 8 | C3 | III | н-бутилацетат/н-бутилацетат - насыщенный смачивающий раствор |
3265 | Кислота изовалериановая | - | 8 | C3 | III | н-бутилацетат/н-бутилацетат - насыщенный смачивающий раствор |
3265 | Кислота пеларгоновая | - | 8 | C3 | III | н-бутилацетат/н-бутилацетат - насыщенный смачивающий раствор |
3265 | Кислота пировиноградная | - | 8 | C3 | III | н-бутилацетат/н-бутилацетат - насыщенный смачивающий раствор |
3265 | Кислота валериановая | - | 8 | C3 | III | Уксусная кислота |
3265 | Коррозионная жидкость кислая органическая, н.у.к. | Температура вспышки выше 60 °C | 8 | C3 | I/II/III | Правило для сводных позиций |
3266 | Натрия гидросульфид | Водный раствор | 8 | C5 | II | Уксусная кислота |
3266 | Натрия сульфид | Водный раствор, слабокоррозионный | 8 | C5 | III | Уксусная кислота |
3266 | Коррозионная жидкость щелочная неорганическая, н.у.к. | Температура вспышки выше 60 °C | 8 | C5 | I/II/III | Правило для сводных позиций |
3267 | 2,2'-(бутилимино)-диэтанол | - | 8 | C7 | II | Смесь углеводородов и смачивающий раствор |
3267 | Коррозионная жидкость щелочная органическая, н.у.к. | Температура вспышки выше 60 °C | 8 | C7 | I/II/III | Правило для сводных позиций |
3271 | Эфир монобутиловый этиленгликоля | Температура вспышки выше 60 °C | 3 | F1 | III | Уксусная кислота |
3271 | Эфир, н.у.к. | - | 3 | F1 | II/III | Правило для сводных позиций |
3272 | Эфир трет-бутиловый акриловой кислоты | - | 3 | F1 | II | н-бутилацетат/н-бутилацетат - насыщенный смачивающий раствор |
3272 | Изобутилпропионат | Температура вспышки ниже 23 °C | 3 | F1 | II | н-бутилацетат/н-бутилацетат - насыщенный смачивающий раствор |
3272 | Метилвалерат | - | 3 | F1 | II | н-бутилацетат/н-бутилацетат - насыщенный смачивающий раствор |
3272 | Триметил-орто-формиат | - | 3 | F1 | II | н-бутилацетат/н-бутилацетат - насыщенный смачивающий раствор |
3272 | Этилвалерат | - | 3 | F1 | III | н-бутилацетат/н-бутилацетат - насыщенный смачивающий раствор |
3272 | Изобутилизовалерат | - | 3 | F1 | III | н-бутилацетат/н-бутилацетат - насыщенный смачивающий раствор |
3272 | н-амилпропионат | - | 3 | F1 | III | н-бутилацетат/н-бутилацетат - насыщенный смачивающий раствор |
3272 | н-бутилбутират | - | 3 | F1 | III | н-бутилацетат/н-бутилацетат - насыщенный смачивающий раствор |
3272 | Метиллактат | - | 3 | F1 | III | н-бутилацетат/н-бутилацетат - насыщенный смачивающий раствор |
3272 | Эфир сложный, н.у.к. | - | 3 | F1 | II/III | Правило для сводных позиций |
3287 | Натрия нитрат | 40%-ный водный раствор | 6.1 | T4 | III | Вода |
3287 | Токсичная жидкость неорганическая, н.у.к. | - | 6.1 | T4 | I/II/III | Правило для сводных позиций |
3291 | Отходы больничного происхождения разные, н.у.к. | Жидкие | 6.2 | I3 | II | Вода |
3293 | Гидразина водный раствор | С массовой долей гидразина не более 37% | 6.1 | T4 | III | Вода |
3295 | Гептены | Н.у.к | 3 | F1 | II | Смесь углеводородов |
3295 | Нонаны | Температура вспышки ниже 23 °C | 3 | F1 | II | Смесь углеводородов |
3295 | Деканы | Н.у.к | 3 | F1 | III | Смесь углеводородов |
3295 | 1,2,3-триметилбензол | - | 3 | F1 | III | Смесь углеводородов |
3295 | Углеводороды жидкие, н.у.к. | - | 3 | F1 | I/II/III | Правило для сводных позиций |
3405 | Бария хлората раствор | Водный раствор | 5.1 | OT1 | II/III | Вода |
3406 | Бария перхлората раствор | Водный раствор | 5.1 | OT1 | II/III | Вода |
3408 | Свинца перхлората раствор | Водный раствор | 5.1 | OT1 | II/III | Вода |
3413 | Калия цианида раствор | Водный раствор | 6.1 | T4 | I/II/III | Вода |
3414 | Натрия цианида раствор | Водный раствор | 6.1 | T4 | I/II/III | Вода |
3415 | Натрия фторида раствор | Водный раствор | 6.1 | T4 | III | Вода |
3422 | Калия фторида раствор | Водный раствор | 6.1 | T4 | III | Вода |
<*> Для номера ООН 1791: испытание должно проводиться только при наличии вентиляционного устройства. Если испытания проводятся с азотной кислотой в качестве стандартной жидкости, то должны использоваться устойчивые к воздействию кислоты вентиляционное устройство и прокладка. Если испытание проводится с самими растворами гипохлорита, разрешается также использовать вентиляционные устройства и прокладки того же типа конструкции, устойчивые к воздействию гипохлорита (например, из силиконового каучука), но не устойчивые к воздействию азотной кислоты. <**> Для номеров ООН 3101, 3103, 3105, 3107, 3109, 3111, 3113, 3115, 3117, 3119 (за исключением трет-бутилгидропероксида с содержанием пероксида более 40% и надуксусных кислот): все органические пероксиды в технически чистом виде или в растворе с растворителями, которые с учетом их совместимости охватываются стандартной жидкостью "смесь углеводородов". Совместимость вентиляционных устройств и прокладок с органическими пероксидами может быть проверена также независимо от испытаний с использованием азотной кислоты. |
(обязательное)
ТРЕБОВАНИЯ К ИСПЫТАНИЯМ ТАРЫ ДЛЯ ОПАСНЫХ ГРУЗОВ
Б.1 Общие требования
Б.1.1 Тару следует испытывать в соответствии с программой обеспечения качества, одобренной компетентным органом. Испытания образцов тары каждого проектного типа для конкретных видов продукции следует проводить в соответствии с
таблицей Б.1.
Б.1.2 Серийные образцы тары испытывают в соответствии с требованиями нормативных документов и технической документации.
Вид или тип тары | Вид испытания |
сбрасыванием | на герметичность | гидравлическим давлением | на штабелирование |
Алюминиевые, стальные пластмассовые барабаны, фляги | + | | | + |
Барабаны из фанеры и фибрового картона | + | - | - | + |
Стальные и пластмассовые канистры | + | | | + |
Ящики | + | - | - | + |
Мешки | + | - | - | - |
Составная тара | + | | | + |
<*> Проводят испытания тары, предназначенной для жидкостей. Примечания 1 Знак "+" означает, что испытания проводят, знак "-" - не проводят. 2 Нормы показателей качества тары устанавливают в соответствии с группой упаковки, для которой образец проектного типа выдержал испытание. 3 Испытания комбинированной тары допускается не проводить при соблюдении следующих условий: - в наружной таре объединены различные типы внутренней тары, прошедшие испытания в той же наружной таре; - в наружной таре размещено меньшее (по сравнению с первоначально испытанным) количество внутренней тары с применением прокладочного материала, предотвращающего ее смещение; - в наружной таре размещена внутренняя тара равного или меньшего размера по сравнению с первоначально испытанной при условии, что и внутренняя тара имеет такую же конструкцию и форму; - материал внутренней тары обладает равной или большей прочностью при сбрасывании и штабелировании; - внутренняя тара имеет отверстия равного или меньшего размера, а их укупорка (крышка, пробка) имеет одинаковую конструкцию; - для заполнения пустот и предотвращения смещения внутренней тары применяют достаточное количество прокладочного материала. 4 Для комбинированной тары проводят комплекс испытаний, предписанный для наружной тары совместно с внутренней тарой. При проведении испытаний тара должна содержать в себе внутреннюю тару. Классификацию комбинированной тары осуществляют по наружной таре; для внутренней тары, предназначенной для жидкостей, перемещаемых воздушным транспортом, проводят испытания по [3]. |
Б.1.3 Испытаниям подвергают тару, заполненную продукцией, для которой она предназначена. Допускается заполнять тару габаритно-массовым эквивалентом, имеющим физические свойства, аналогичные свойствам упаковываемого продукта. Тару для жидкостей допускается заполнять водой или водой с антифризом.
Б.2 Испытание сбрасыванием
Б.2.1 Температура тары из пластмассовых материалов (кроме ящиков из полистирола и мешков) и содержащейся в ней продукции при испытании сбрасыванием должна соответствовать указанной в нормативных документах и технической документации на конкретные виды тары или упаковываемой продукции. Если в нормативных документах и технической документации нет других указаний, то температуру принимают не выше минус 18 °C.
Вид, тип или категория тары | Количество испытуемых образцов | Положение сбрасывания |
Стальные барабаны Алюминиевые барабаны Металлические барабаны, кроме стальных или алюминиевых Стальные канистры Алюминиевые канистры Барабаны из фанеры Барабаны из фибрового картона Барабаны и канистры из пластмассы Составная тара в форме барабана | Шесть (три на каждое сбрасывание) | Первое сбрасывание (три образца): образец должен по диагонали упасть на ударную площадку утором или, если он не имеет утора, кольцевым швом или кромкой. Второе сбрасывание (три оставшихся образца): образец должен упасть на ударную площадку наименее прочной частью, которая не была испытана при первом сбрасывании, например, затвором или, для некоторых цилиндрических барабанов, продольным сварным швом корпуса |
Ящики из естественной древесины Ящики из фанеры Ящики из древесного материала Ящики из фибрового картона Ящики из пластмассы Стальные или алюминиевые ящики Составная тара в форме ящика | Пять (по одному на каждое сбрасывание) | Первое сбрасывание - плашмя на дно. Второе сбрасывание - плашмя на верх. Третье сбрасывание - плашмя на боковую стенку. Четвертое сбрасывание - плашмя на торцевую стенку. Пятое сбрасывание - на угол |
Мешки однослойные с боковым швом (все типы) | Три (три сбрасывания каждого мешка) | Первое сбрасывание - плашмя на широкую сторону. Второе сбрасывание - плашмя на узкую сторону. Третье сбрасывание - на дно мешка |
Мешки однослойные без бокового шва или многослойные (все типы) | Три (два сбрасывания каждого мешка) | Первое сбрасывание - плашмя на широкую сторону. Второе сбрасывание - на дно мешка |
Б.2.3 Высота сбрасывания тары, предназначенной для жидкостей с плотностью

более 1,2 г/см
3, при замене жидкости водой (или водой с добавлением антифриза) должна быть не менее:
-

, м - для группы упаковки I;
-

, м - для группы упаковки II;
-

, м - для группы упаковки III.
Б.2.4 Высота сбрасывания тары, предназначенной для твердых веществ или жидкостей с плотностью

не более 1,2 г/см
3, а также при замене жидкостей водой должна быть не менее:
- 1,8 м - для группы упаковки I;
- 1,2 м - для группы упаковки II;
- 0,8 м - для группы упаковки III.
Б.2.5 При проведении испытания после установления равновесия между внутренним и внешним давлением каждая тара, содержащая жидкость, должна быть герметичной, за исключением емкостей комбинированной тары, для которой уравновешивать давление не требуется.
Б.2.6 Когда тара, предназначенная для твердых веществ, подвергается испытанию на сбрасывание и ударяется об испытательную площадку своей верхней частью, считается, что образец успешно выдержал испытание в том случае, если содержимое полностью осталось во внутренней таре или внутренней емкости (например, мешке из полимерного материала), даже если затвор, сохраняя свою удерживающую функцию, уже не является непроницаемым для вещества.
Б.2.7 Тара, кроме внутренней тары составной или комбинированной тары, не должна иметь повреждений, способных отрицательно повлиять на безопасность перевозки. Внутренние емкости, внутренняя тара или изделия должны оставаться внутри наружной тары, и не должно происходить утечки наполняющего вещества из внутренней(их) емкости(ей) или внутренней тары.
Б.2.8 Наружный слой мешка и наружная тара не должны иметь повреждений, способных отрицательно повлиять на безопасность перевозки.
Б.2.9 Незначительная утечка вещества через затвор наружу при ударе не считается несоответствием требованиям к качеству тары при условии, что не происходит дальнейшей утечки.
Б.2.10 Тара для грузов класса 1 не должна иметь разрывов, которые могут привести к утечке или выпадению взрывчатых веществ или взрывчатых изделий из наружной тары.
Б.3 Испытание на герметичность
Б.3.1 Испытанию на герметичность подвергают каждую единицу тары, предназначенную для жидкостей. Это испытание проводят после изготовления или восстановления тары.
Б.3.2 Испытания тары на герметичность проводят сжатым воздухом (газом) при избыточном давлении, не менее:
- 30 кПа - для группы упаковки I;
- 20 кПа - для групп упаковки II и III.
Б.3.3 Если испытание проводят при погружении образца тары в жидкость, то давление воздуха (газа) должно быть увеличено на величину гидростатического давления жидкости в нижней части погружаемого образца. Внутренняя тара комбинированной тары может подвергаться испытанию без наружной, если это не влияет на результаты испытания. Испытанию подвергают три образца проектного типа тары каждого изготовителя (см.
Б.3.1).
Б.3.4 Критерий прохождения испытания - отсутствие утечки.
Б.4 Испытание гидравлическим давлением
Б.4.1 Испытания тары гидравлическим давлением проводят в соответствии с требованиями нормативных документов и технической документации на конкретные виды тары. Испытательное давление Pи должно быть не менее рассчитанного по одной из формул:
Pи = 1,75
P50 - 100; (Б.1)
Б.4.2 Независимо от результатов расчета по
формулам (Б.1),
(Б.2) испытательное давление должно быть не менее:
- 250 кПа - для группы упаковки I;
- 100 кПа - для групп упаковки II и III.
Б.4.3 Испытанию подвергают три образца каждого проектного типа тары каждого изготовителя.
Б.4.4 Критерий прохождения испытания - отсутствие утечки.
Б.5 Испытание на штабелирование
Б.5.1 Высота штабеля при испытании образцов тары должна быть не менее 3 м. Испытанию подвергают по три образца каждого проектного типа тары.
Б.5.2 Для проведения испытания наполненный образец тары помещают на гладкую горизонтальную площадку и сверху устанавливают груз, используя один из трех
методов (1 -
3), приведенных в Б.5.2.1 - Б.5.2.3, или помещают наполненный образец на нижнюю плиту пресса, опускают на него верхнюю плиту и осуществляют его нагружение (
метод 4, см. Б.5.2.4). Методы испытаний на штабелирование при статической нагрузке приведены также в
ГОСТ ISO 2234.
Испытывают наполненный образец тары, на который установлен штабель, образованный из одинаковых образцов тары. Образцы устанавливают друг на друга в положении, в котором данный вид тары эксплуатируется. Количество образцов должно быть таким, чтобы их общая масса составляла необходимую нагрузку.
Испытывают наполненный образец тары, установленный на горизонтальную площадку, в положении, в котором данный вид тары эксплуатируется. На образец устанавливают грузовую платформу с грузом, при этом груз и платформа свободно принимают положение равновесия на образце. Груз и платформа могут представлять одно целое.
Испытывают наполненный образец тары, установленный на горизонтальную площадку, аналогично
методу 2. На образец устанавливают грузовую платформу и груз, при этом нижняя поверхность грузовой платформы в течение всего испытания должна сохранять горизонтальное положение вместе с грузом при ее движении по вертикальным направляющим.
Испытывают наполненный образец тары, установленный на нижнюю плиту пресса, в заданном положении. Образец нагружают путем относительного движения плит до получения заданной нагрузки. Допускается при необходимости над и/или под образцом помещать профильные элементы для воспроизведения специфических условий нагружения тары, уложенной в штабель, в соответствии с требованиями, предусмотренными в стандартах (технических условиях) на конкретные виды тары.
Б.5.3 При испытании по
методам 2 и
3 на образец тары устанавливают грузовую платформу и груз так, чтобы центр тяжести их общей массы находился на одной вертикальной прямой с геометрическим центром верхней поверхности образца. Нагружение образца необходимо проводить без толчков и ударов.
Б.5.4 При испытании образцов тары на штабелирование значение общей массы груза (или грузовой платформы с грузом) или значение нагрузки при испытании с применением пресса должно соответствовать значениям, приведенным в стандартах (технических условиях) на конкретные виды тары. Отклонение от общей массы груза не должно превышать 2% указанного значения.
Б.5.5 Нагруженный образец выдерживают в течение времени, установленного в стандартах (технических условиях) на конкретные виды тары. Если в стандартах (технических условиях) на конкретные виды тары не указана продолжительность испытания, то нагруженный образец выдерживают в течение 24 ч.
Б.5.6 Испытания прекращают, если образец разрушился, потерял устойчивость или получил повреждение, влияющее на сохранность продукции. Образец считают выдержавшим испытание, если ни у одного из образцов не обнаружено утечки. При испытании составной или комбинированной тары из внутренней емкости или внутренней тары не должно происходить утечки содержащегося в них вещества. Ни один из испытуемых образцов не должен иметь признаков повреждения, которое могло бы отрицательно повлиять на безопасность перевозки, или признаков деформации, которая могла бы снизить его прочность или вызвать неустойчивость в штабелях упаковок. Перед оценкой результатов испытания тара из пластмассы должна охлаждаться до температуры окружающей среды.
Б.5.7 Испытание на штабелирование полимерной тары проводят в течение 28 сут при температуре не ниже 40 °C.
Б.6 Результаты испытаний образцов тары для опасных грузов
Б.6.1 Результаты испытаний образцов тары оформляют протоколом испытаний. Экземпляр протокола испытаний должен быть представлен компетентному органу. Протокол должен содержать следующие сведения:
а) наименование и адрес организации, проводившей испытания;
б) наименование и адрес заявителя (где применимо);
в) однозначно определяемый идентификационный номер протокола испытаний;
г) дата оформления протокола испытаний;
д) наименование и адрес организации - изготовителя тары;
е) описание типа конструкции тары (например, размеры, материалы, затворы, толщина и т.п.), включая способ изготовления (например, формование выдувом), которое может включать чертеж(и) и/или фотографию(и);
ж) максимальная вместимость и/или максимальная масса брутто;
и) характеристики содержимого, использовавшегося при испытаниях, такие как вязкость и относительная плотность для жидкостей и размер частиц для твердых веществ;
к) описание испытаний и результаты испытаний;
л) подпись с указанием инициалов, фамилии и должности подписавшего документ лица.
Протокол испытаний должен содержать заявление о том, что тара, подготовленная в виде, предъявляемом к перевозке, была испытана согласно соответствующим требованиям настоящего стандарта, и в случае использования иных способов загрузки или иных компонентов тары сведения протокола не могут применяться.
| Рекомендации по перевозке опасных грузов. Типовые правила: Организация Объединенных Наций, Нью-Йорк и Женева, 2019 г. (UN Recommendations on the Transport of Dangerous Goods - Model Regulations Twenty first revised edition, United Nations, New York and Geneva, 2019) |
| Международный морской кодекс по опасным грузам (МКМПОГ) (включая Поправки 39-18). Лондон: ИМО, 2018 г. (International Maritime Dangerous Goods Code (IMDG) (including Amendment 39-18), IMO, London, 2018) |
| Технические инструкции по безопасной перевозке опасных грузов по воздуху (ИАТА). Doc 9284 AN/905, издание 2019 - 2020 гг.: Международная организация гражданской авиации, Монреаль - Женева, 2019 г. (Technical Instructions for the Safe Transport of Dangerous Goods by Air, IATA, 2019 - 2020, Doc 9284 AN/905, International Air Transport Association, Montreal - Geneva, 2019) |
| Европейское Соглашение о международной дорожной перевозке опасных грузов (ДОПОГ): Организация Объединенных Наций, Нью-Йорк и Женева, 2019 г. (European Agreement concerning the International Carriage of Dangerous Goods by Road (ADN), United Nations, New York and Geneva, 2019) |
| ISO 16103:2005 | Packaging - Transport packaging for dangerous goods - Recycled plastics material (Упаковка. Упаковка для перевозки опасных грузов. Повторно используемые пластики) |
| ISO 3573:2012 | Hot-rolled carbon steel sheet of commercial and drawing qualities (Сталь тонколистовая углеродистая горячекатаная торгового качества и для вытяжки) |
| ISO 3574:2012 | Cold-reduced carbon steel sheet of commercial and drawing qualities (Сталь углеродистая листовая, обжатая в холодном состоянии, торгового качества и для вытяжки) |
| ISO 11949:2016 | Cold-reduced tinmill products - Electrolytic tinplate (Прокат, обжатый в холодном состоянии. Электролитически луженая жесть) |
[9] | ISO 11950:2016 | Cold-reduced tinmill products - Electrolytic chromium/chromium oxide-coated steel (Прокат, обжатый в холодном состоянии. Сталь с покрытием из хрома/оксида хрома, полученным электролитическим методом) |
| ISO 11951:2016 | Cold-reduced tinmill products - Blackplate (Прокат, обжатый в холодном состоянии. Черная жесть) |
УДК 073.436.001.33:006.354 | |
Ключевые слова: опасный груз, тара для опасных грузов, тип тары, испытание тары, требования к изготовлению тары, группа упаковки, маркировка тары |