Главная // Актуальные документы // ГОСТ (Государственный стандарт)СПРАВКА
Источник публикации
М.: Стандартинформ, 2019
Примечание к документу
Текст данного документа приведен с учетом поправок, опубликованных в "ИУС",
N 7, 2017;
N 2, 2023;
поправки, введенной в действие с 20.06.2022, опубликованной в "ИУС", N 7, 2022;
N 6, 2024.
Документ
введен в действие с 01.07.2016.
Название документа
"ГОСТ 33222-2015. Межгосударственный стандарт. Сахар белый. Технические условия"
(введен в действие Приказом Росстандарта от 31.08.2015 N 1239-ст)
"ГОСТ 33222-2015. Межгосударственный стандарт. Сахар белый. Технические условия"
(введен в действие Приказом Росстандарта от 31.08.2015 N 1239-ст)
агентства по техническому
регулированию и метрологии
от 31 августа 2015 г. N 1239-ст
МЕЖГОСУДАРСТВЕННЫЙ СТАНДАРТ
САХАР БЕЛЫЙ
ТЕХНИЧЕСКИЕ УСЛОВИЯ
White sugar. Specifications
ГОСТ 33222-2015
Дата введения
1 июля 2016 года
Цели, основные принципы и основной порядок проведения работ по межгосударственной стандартизации установлены в
ГОСТ 1.0-2015 "Межгосударственная система стандартизации. Основные положения" и
ГОСТ 1.2-2015 "Межгосударственная система стандартизации. Стандарты межгосударственные, правила и рекомендации по межгосударственной стандартизации. Правила разработки, принятия, применения, обновления и отмены".
1 РАЗРАБОТАН РУП "Научно-практический центр Национальной академии наук Беларуси по продовольствию"
2 ВНЕСЕН Федеральным агентством по техническому регулированию и метрологии (Росстандарт)
3 ПРИНЯТ Межгосударственным советом по стандартизации, метрологии и сертификации (протокол от 30 января 2015 г. N 74-П)
За принятие проголосовали:
Краткое наименование страны по МК (ИСО 3166) 004-97 | Код страны по МК (ИСО 3166) 004-97 | Сокращенное наименование национального органа по стандартизации |
Армения | AM | ЗАО "Национальный орган по стандартизации и метрологии" Республики Армения |
Беларусь | BY | Госстандарт Республики Беларусь |
Казахстан | KZ | Госстандарт Республики Казахстан |
Киргизия | KG | Кыргызстандарт |
Россия | RU | Росстандарт |
Таджикистан | TJ | Таджикстандарт |
Туркмения | TM | Главгосслужба "Туркменстандартлары" |
4
Приказом Федерального агентства по техническому регулированию и метрологии от 31 августа 2015 г. N 1239-ст межгосударственный стандарт ГОСТ 33222-2015 введен в действие в качестве национального стандарта Российской Федерации с 1 июля 2016 г.
6 ИЗДАНИЕ (февраль 2019 г.) с
Поправкой (ИУС 7-2017)
Информация об изменениях к настоящему стандарту публикуется в ежегодном информационном указателе "Национальные стандарты", а текст изменений и поправок - в ежемесячном информационном указателе "Национальные стандарты". В случае пересмотра (замены) или отмены настоящего стандарта соответствующее уведомление будет опубликовано в ежемесячном информационном указателе "Национальные стандарты". Соответствующая информация, уведомление и тексты размещаются также в информационной системе общего пользования - на официальном сайте Федерального агентства по техническому регулированию и метрологии в сети Интернет (www.gost.ru)
Настоящий стандарт распространяется на белый сахар - пищевой продукт, представляющий собой кристаллизованную, без вкусоароматических добавок сахарозу, полученную в результате переработки сахаросодержащего сырья - сахарной свеклы или тростникового сахара-сырца.
Белый сахар предназначен для реализации в розничной торговой сети, использования в сфере общественного питания, при производстве пищевых продуктов, в фармацевтической промышленности и для других целей.
В настоящем стандарте использованы нормативные ссылки на следующие межгосударственные стандарты:
ГОСТ OIML R 76-1-2011 <1> Государственная система обеспечения единства измерений. Весы неавтоматического действия. Часть 1. Метрологические и технические требования. Испытания
--------------------------------
<1> В Российской Федерации также действует
ГОСТ Р 53228-2008 "Весы неавтоматического действия. Часть 1. Метрологические и технические требования. Испытания".
ГОСТ 8.579-2002 Государственная система обеспечения единства измерений. Требования к количеству фасованных товаров в упаковках любого вида при их производстве, расфасовке, продаже и импорте
ГОСТ 12.1.004-91 Система стандартов безопасности труда. Пожарная безопасность. Общие требования
ГОСТ 12.1.005-88 Система стандартов безопасности труда. Общие санитарно-гигиенические требования к воздуху рабочей зоны
ГОСТ 12.2.003-91 Система стандартов безопасности труда. Оборудование производственное. Общие требования безопасности
ГОСТ 12.2.061-81 Система стандартов безопасности труда. Оборудование производственное. Общие требования безопасности к рабочим местам
ГОСТ 12.2.124-2013 Система стандартов безопасности труда. Оборудование продовольственное. Общие требования безопасности
ГОСТ 12.3.002-75 <2> Система стандартов безопасности труда. Процессы производственные. Общие требования безопасности
--------------------------------
ГОСТ 12.4.011-89 Система стандартов безопасности труда. Средства защиты работающих. Общие требования и классификация
ГОСТ 17.2.3.02-2014 Правила установления допустимых выбросов загрязняющих веществ промышленными предприятиями
ГОСТ 6309-93 Нитки швейные хлопчатобумажные и синтетические. Технические условия
--------------------------------
ГОСТ 10444.12-2013 Микробиология пищевых продуктов и кормов для животных. Методы выявления и подсчета количества дрожжей и плесневых грибов
ГОСТ 10444.15-94 Продукты пищевые. Методы определения количества мезофильных аэробных и факультативно-анаэробных микроорганизмов
ГОСТ 10459-87 Бумага-основа для клеевой ленты. Технические условия
ГОСТ 12301-2006 Коробки из картона, бумаги и комбинированных материалов. Общие технические условия
ГОСТ 12303-80 <2> Пачки из картона, бумаги и комбинированных материалов. Общие технические условия
--------------------------------
--------------------------------
<3> В Российской Федерации действует
ГОСТ Р 54640-2011 "Сахар. Правила приемки и методы отбора проб".
ГОСТ 12570-98 <4> Сахар. Методы определения влаги и сухих веществ
--------------------------------
<4> В Российской Федерации действует
ГОСТ Р 54642-2011 "Сахар. Методы определения влаги и сухих веществ".
ГОСТ 12577-67 Сахар-рафинад. Методы определения крепости и продолжительности растворения в воде
ГОСТ 12578-2016 Сахар кусковой. Метод определения мелочи (осколков и кристаллов)
ГОСТ 13511-2006 Ящики из гофрированного картона для пищевых продуктов, спичек, табачных изделий и моющих средств. Технические условия
ГОСТ 13512-91
<5> Ящики из гофрированного картона для кондитерских изделий. Технические условия
--------------------------------
<5> В Российской Федерации действует
ГОСТ Р 54463-2011 "Тара из картона и комбинированных материалов для пищевой продукции. Технические условия".
ГОСТ 14961-91 Нитки льняные и льняные с химическими волокнами. Технические условия
--------------------------------
<6> В Российской Федерации также действует
ГОСТ Р 53036-2008 "Свекла сахарная. Методы испытаний".
ГОСТ 18251-87 Лента клеевая на бумажной основе. Технические условия
ГОСТ 18477-79 Контейнеры универсальные. Типы, основные параметры и размеры
ГОСТ 18992-80 Дисперсия поливинилацетатная гомополимерная грубодисперсная. Технические условия
ГОСТ 19360-74 Мешки-вкладыши пленочные. Общие технические условия
ГОСТ 20477-86 Лента полиэтиленовая с липким слоем. Технические условия
ГОСТ 25951-83 Пленка полиэтиленовая термоусадочная. Технические условия
ГОСТ 26669-85 Продукты пищевые и вкусовые. Подготовка проб для микробиологических анализов
ГОСТ 26929-94 Сырье и продукты пищевые. Подготовка проб. Минерализация для определения содержания токсичных элементов
ГОСТ 26930-86 Сырье и продукты пищевые. Метод определения мышьяка
ГОСТ 26932-86 Сырье и продукты пищевые. Методы определения свинца
ГОСТ 26933-86 Сырье и продукты пищевые. Методы определения кадмия
ГОСТ 30178-96 Сырье и продукты пищевые. Атомно-абсорбционный метод определения токсичных элементов
ГОСТ 30538-97 Продукты пищевые. Методика определения токсичных элементов атомно-эмиссионным методом
ГОСТ 31747-2012 Продукты пищевые. Методы выявления и определения количества бактерий группы кишечных палочек (колиформных бактерий)
ГОСТ 31904-2012 Продукты пищевые. Методы отбора проб для микробиологических испытаний
Примечание - При пользовании настоящим стандартом целесообразно проверить действие ссылочных стандартов в информационной системе общего пользования - на официальном сайте Федерального агентства по техническому регулированию и метрологии в сети Интернет или по ежегодному информационному указателю "Национальные стандарты", который опубликован по состоянию на 1 января текущего года, и по выпускам ежемесячного информационного указателя за текущий год. Если ссылочный стандарт заменен (изменен), то при пользовании настоящим стандартом следует руководствоваться заменяющим (измененным) стандартом. Если ссылочный стандарт отменен без замены, то положение, в котором дана ссылка на него, применяется в части, не затрагивающей эту ссылку.
В настоящем стандарте применены термины по
ГОСТ 26884, а также следующие термины с соответствующими определениями:
3.1 экстра белый сахар (категория экстра): Очищенная и кристаллизованная сахароза, массовая доля которой не менее 99,80%.
3.2 белый сахар (категории ТС1, ТС2): Очищенная и кристаллизованная сахароза, массовая доля которой не менее 99,70%.
3.3 фабричный белый сахар (категория ТС3): Очищенная и кристаллизованная сахароза, массовая доля которой не менее 99,50% и цветность которой не более 195 единиц ICUMSA.
3.4 белый свекловичный сахар: Белый сахар, полученный из сахарной свеклы.
3.5 белый сахар из тростникового сахара-сырца: Белый сахар, полученный из тростникового сахара-сырца в результате его клерования, очистки, кристаллизации, центрифугирования и сушки.
3.6 белый кристаллический сахар: Белый сахар в виде отдельных кристаллов.
3.7 мелкокристаллический белый сахар: Белый сахар в виде отдельных кристаллов размерами не более 0,5 мм.
3.8 крупнокристаллический белый сахар: Белый сахар в виде отдельных кристаллов размерами от 2,0 мм.
3.9 белый кусковой сахар: Белый сахар в виде отдельных кусочков определенных форм и размеров, изготовленных путем прессования кристаллического сахара.
3.10 сахарная пудра: Измельченные кристаллы белого сахара размером не более 0,2 мм.
4.1 Характеристики
4.1.1 Белый сахар должен соответствовать требованиям настоящего стандарта и изготавливаться по технологическим инструкциям в соответствии с
[1].
4.1.2 В зависимости от вида используемого сырья различают белый сахар:
- свекловичный;
- из тростникового сахара-сырца.
4.1.3 В зависимости от способа производства белый сахар подразделяют на:
- кристаллический;
- кусковой;
- сахарную пудру.
4.1.4 Кристаллический белый сахар выпускают с размерами кристаллов от 0,2 до 2,5 мм включительно. Допускается наличие кристаллов с отклонениями от нижнего и верхнего пределов указанных размеров не более 5% от массы анализируемой пробы белого сахара - по
ГОСТ 12579.
Кристаллический белый сахар в зависимости от фракции может выпускаться как:
- мелкокристаллический;
- крупнокристаллический.
Крупнокристаллический белый сахар выпускают с размерами кристаллов от 2,0 мм. Допускается отклонение размеров кристаллов от указанного значения в меньшую сторону не более 15% от массы анализируемой пробы белого сахара - по
ГОСТ 12579.
Мелкокристаллический белый сахар выпускают с размерами кристаллов до 0,5 мм включительно. Допускается отклонение размеров кристаллов от указанного значения в большую сторону не более 10% от массы анализируемой пробы белого сахара - по
ГОСТ 12579.
4.1.5 Белый кусковой сахар изготавливают в виде отдельных кусочков определенных форм и размеров путем прессования кристаллического сахара.
4.1.6 Сахарную пудру изготавливают путем измельчения кристаллов белого сахара до размера не более 0,2 мм с добавлением или без антислеживающих агентов. Допускается отклонение размеров кристаллов от указанного значения в большую сторону не более 5% от массы анализируемой пробы белого сахара - по
ГОСТ 12579.
4.1.7 В зависимости от показателей качества белый сахар подразделяют на четыре категории: экстра, ТС1, ТС2, ТС3.
4.1.8 По органолептическим показателям белый сахар должен соответствовать требованиям, указанным в таблице 1.
Таблица 1
Наименование показателя | Характеристика белого сахара |
Кристаллический сахар | Сахарная пудра | Кусковой сахар |
Цвет | Белый, чистый. Для сахара категории ТС3 допускается желтоватый оттенок | Белый, чистый, без пятен |
Внешний вид | Однородная сыпучая масса кристаллов. Для сахара категорий ТС2 и ТС3 допускаются комки, разваливающиеся при легком нажатии | Однородная сыпучая масса измельченных кристаллов | В виде кусочков определенной формы и размеров без посторонних включений |
Запах и вкус | Свойственный сахару, сладкий, без посторонних запаха и привкуса как в сухом сахаре, так и в его водном растворе. Для сахара категории ТС3 допускается слабый запах мелассы |
Чистота раствора | Раствор сахара должен быть прозрачным, без нерастворимого осадка, механических и других примесей. Для сахара категорий ТС2 и ТС3 допускается опалесценция. Для сахарной пудры чистоту раствора не определяют |
4.1.9 По физико-химическим показателям белый сахар должен соответствовать нормам, указанным в таблице 2.
Таблица 2
Наименование показателя | Значение по категориям кристаллического белого сахара, сахарной пудры без антислеживающих агентов, кускового белого сахара |
Экстра | ТС1 | ТС2 | ТС3 |
Массовая доля сахарозы по прямой поляризации, %, не менее | | | | |
- кристаллический сахар | 99,80 | 99,70 | 99,70 | 99,50 |
Массовая доля влаги, %, не более: - кристаллический сахар <1> | 0,10 | 0,10 | 0,12 | 0,15 |
- сахарная пудра без антислеживающих агентов | 0,20 | 0,20 | 0,20 | - |
- кусковой сахар | 0,25 | 0,25 | 0,25 | 0,25 |
Массовая доля редуцирующих веществ (в пересчете на сухое вещество), %, не более | 0,03 | 0,035 | 0,04 | 0,065 |
Массовая доля золы (в пересчете на сухое вещество), %, не более | 0,027 | 0,036 | 0,036 | 0,050 |
Цветность в растворе, единиц оптической плотности (ICUMSA), не более | 45,0 | 60,0 | 104,0 | 195,0 |
Крепость кускового белого сахара по Бонвечу, МПа, не менее | 1,5 | 1,5 | 1,5 | 1,5 |
Продолжительность растворения в воде кускового белого сахара <2>, мин, до | 6 включ. | 6 включ. | 6 включ. | 6 включ. |
Массовая доля мелочи (осколков массой менее 25% от массы кусочка, кристаллов и измельченных кристаллов) в упаковке белого кускового сахара, %, не более | 2,0 | 2,0 | 2,0 | 2,0 |
<1> Для сахара, направляемого на хранение в склады бестарного хранения, массовая доля влаги - не более 0,06%. <2> Продолжительность растворения в воде белого кускового сахара определяется в случае отсутствия пресса Бонвеча. |
4.1.10 Физико-химические показатели сахарной пудры с добавлением в качестве антислеживающего агента крахмала приведены в
приложении А.
4.1.11 Микробиологические показатели белого сахара для производства продуктов детского питания, молочных консервов с сахаром, а также для биофармацевтической промышленности не должны превышать норм, установленных
[1].
4.1.12 Содержание токсичных элементов и пестицидов в белом сахаре не должно превышать допустимые уровни, установленные
[1].
4.1.13 Содержание ферропримесей и диоксида серы не должно превышать норм, установленных в таблице 3.
Таблица 3
Наименование показателя | Допустимый уровень |
Массовая доля диоксида серы, мг/кг сахара, не более | 15 |
Массовая доля ферропримесей <1>, %, не более | 0,0003 |
<1> Размер отдельных частиц ферропримесей не должен превышать 0,3 мм в наибольшем линейном измерении. |
4.1.14 Дополнительные требования к качеству белого сахара могут быть определены по контракту с приобретателем.
4.2 Требования к сырью
4.2.1 Для производства кристаллического белого сахара применяют следующее сырье:
- свеклу сахарную по
ГОСТ 33884 <1> и (или) сахар-сырец свекловичный и (или) выведенный на хранение сахарный сироп после выпарной установки с содержанием сухих веществ не менее 65% и pH не менее 7,0 по нормативному документу изготовителя;
--------------------------------
<1> В Российской Федерации также действует
ГОСТ Р 53036-2008 "Свекла сахарная. Методы испытаний".
- сахар-сырец тростниковый
<2> и (или) сахарный сироп после дефекосатурационной очистки, фильтрования и сгущения клеровки сахара-сырца с содержанием сухих веществ не менее 65% и pH не менее 7,0;
--------------------------------
<2> В Российской Федерации действует
ГОСТ Р 52305-2005 "Сахар-сырец. Технические условия".
- сахарный сироп, полученный после обессахаривания мелассы, по техническому документу изготовителя.
4.2.2 Для производства кускового сахара применяют кристаллический белый сахар категорий экстра, ТС1, ТС2, ТС3, для производства сахарной пудры применяют кристаллический белый сахар категорий экстра, ТС1, ТС2.
(Поправка)
4.3 Упаковка
4.3.1 Все виды упаковки должны обеспечивать сохранность белого сахара при его транспортировании и хранении
[2].
4.3.2 Белый сахар для реализации в розничной торговой сети фасуют в потребительскую упаковку (коробки по
ГОСТ 12301, пачки по
ГОСТ 12303, пакеты, пакетики) или другую равноценную по показателям качества упаковку из материалов, обеспечивающих прочность упаковки и использование которых в контакте с продуктом данного вида обеспечивает его качество и безопасность в соответствии с
[2].
4.3.3 Белый сахар фасуют с номинальной массой:
- в пакетики от 5,0 до 20,0 г включительно - кристаллический сахар, сахарную пудру, кусковой сахар;
- пакеты от 0,10 до 5,0 кг включительно - кристаллический сахар, сахарную пудру;
- коробки, пачки, пакеты от 0,25 до 1,0 кг включительно - кусковой сахар.
Допускается фасовать белый сахар в потребительскую упаковку с другими значениями номинальной массы белого сахара.
4.3.4 Пакетики упаковывают в пачки по
ГОСТ 12303 и коробки по
ГОСТ 12301 или другую равноценную по показателям качества упаковку из материалов, обеспечивающих прочность упаковки и использование которых в контакте с продуктом данного вида обеспечивает его качество и безопасность в соответствии с
[2].
4.3.5 Потребительскую упаковку из бумаги заклеивают дисперсией поливинилацетатной по
ГОСТ 18992 или другим клеем, который обеспечивает целостность упаковки и разрешен к использованию органами, осуществляющими функции по контролю в сфере обеспечения санитарно-эпидемиологического благополучия населения на территории государства, принявшего стандарт.
Потребительскую упаковку из полимерных материалов термоспаивают.
4.3.6 Белый сахар в потребительской упаковке упаковывают в транспортную упаковку, обеспечивающую прочность и безопасность в соответствии с
[2]:
- ящики из картона гофрированного по
ГОСТ 13511 или ГОСТ 13512 из материалов, обеспечивающих прочность упаковки;
- групповую упаковку из пленки термоусадочной по
ГОСТ 25951;
- групповую упаковку из двух слоев бумаги с массой 1 м2 не менее 100 г или в другую равноценную по показателям качества упаковку.
Ящики из гофрированного картона оклеивают лентой бумажной по
ГОСТ 10459, или лентой клеевой на бумажной основе по
ГОСТ 18251, или лентой полиэтиленовой с липким слоем по
ГОСТ 20477. Допускается использовать другую ленту для оклеивания с равноценными показателями качества, обеспечивающую прочность укупорки ящика из гофрированного картона.
Групповую упаковку из бумаги крестообразно перевязывают шпагатом по
ГОСТ 17308 или склеивают машинным способом.
4.3.7 Белый сахар фасуют в транспортную упаковку (мешки по
ГОСТ 30090,
ГОСТ 32522 или другие равноценные по показателям качества мешки, мешки полипропиленовые с полиэтиленовыми мешками-вкладышами по
ГОСТ 19360, мягкие специализированные контейнеры для сыпучих продуктов по нормативным документам государства, принявшего стандарт) или другие виды упаковки из материалов, обеспечивающих прочность упаковки и использование которых в контакте с продуктом данного вида обеспечивает его качество и безопасность в соответствии с
[2].
4.3.8 Белый сахар фасуют в транспортную упаковку с номинальной массой:
- в мешки по 50 кг - кристаллический сахар;
- в мешки по 40 кг - сахарную пудру;
- в мягкие контейнеры до 1 т - кристаллический сахар, сахарную пудру.
Допускается упаковывать белый сахар в транспортную упаковку с номинальной массой 5, 10, 25 кг или другой номинальной массой.
4.3.9 Мешки с белым сахаром зашивают машинным способом нитками: льняными по
ГОСТ 14961, хлопчатобумажными или синтетическими по
ГОСТ 6309 или другими нитками, обеспечивающими механическую прочность зашивки, по всей ширине мешка.
4.3.10 По согласованию с приобретателем допускается поставка белого сахара насыпью в автомобилях-сахаровозах и (или) железнодорожных хопперах-зерновозах, приспособленных для перевозок кристаллического белого сахара, которые после загрузки должны быть опломбированы.
4.3.11 Требования к количеству сахара, содержащегося в упаковочных единицах, к отрицательному отклонению действительного значения массы фасованного белого сахара в упаковочной единице потребительской упаковки от номинальной массы - по
ГОСТ 8.579-2002.
Пределы допускаемых положительных отклонений действительного значения массы фасованного белого сахара в упаковочной единице от номинальной массы устанавливает изготовитель в технологической документации.
4.4 Маркировка
4.4.1 Маркировка потребительской упаковки
4.4.1.1 Маркировка потребительской упаковки с сахаром - в соответствии с требованиями, установленными
[3].
4.4.1.2 Каждая единица потребительской упаковки (коробки, пачки, пакеты) может быть художественно оформлена и должна содержать следующую информацию:
- наименование и категорию сахара;
- происхождение по виду сырья (свекловичный или из тростникового сахара-сырца);
- наименование и местонахождение (юридический адрес, включая страну) изготовителя;
- товарный знак изготовителя (при наличии);
- штриховое кодирование;
- содержание диоксида серы при содержании в количестве, превышающем 10 мг/кг;
- номинальную массу упаковочной единицы;
- пищевую и энергетическую ценность;
- год изготовления и дату фасования;
- наименование и количество добавленного антислеживающего агента (для сахарной пудры);
- срок годности и условия хранения;
- обозначение настоящего стандарта;
- информацию о подтверждении соответствия.
Информационные сведения о пищевой и энергетической ценности 100 г белого сахара приведены в
приложении Б.
Происхождение сахара по виду сырья устанавливает изготовитель по фактическому виду перерабатываемого сырья.
4.4.1.3 Надписи наносят типографским способом непосредственно на потребительскую упаковку.
Краска, используемая для печати, не должна проникать через упаковку и придавать белому сахару посторонние привкус и запах.
4.4.1.4 На пакетиках белого сахара с номинальной массой от 5 до 20 г указывают следующую информацию:
- наименование и товарный знак (при наличии) изготовителя;
- наименование белого сахара;
- номинальную массу, г;
- обозначение настоящего стандарта.
4.4.2 Маркировка транспортной упаковки
4.4.2.1 Каждая единица транспортной упаковки должна иметь маркировку, которую наносят непосредственно на поверхность или на ярлык размером не менее 100 x 60 мм.
Ярлык изготавливают из материалов, которые обеспечивают его прочность и разрешены к использованию в установленном порядке. Ярлык с маркировкой пришивают одновременно с зашиванием мешка, или наклеивают на поверхность транспортной тары, или помещают в специальный карман мягкого контейнера.
Краска, используемая для печати, не должна проникать через упаковку и придавать белому сахару посторонние привкус и запах.
4.4.2.2 Маркировка транспортной упаковки должна содержать следующую информацию:
- наименование и категорию сахара;
- происхождение по виду сырья (свекловичный или из тростникового сахара-сырца);
- наименование и местонахождение (юридический адрес, включая страну) изготовителя;
- товарный знак изготовителя (при наличии);
- номинальную массу, массу брутто;
- количество упаковочных единиц и номинальную массу упаковочной единицы;
- пищевую и энергетическую ценность;
- год изготовления;
- содержание диоксида серы при содержании в количестве, превышающем 10 мг/кг;
- срок годности и условия хранения;
- наименование и количество добавленного антислеживающего агента (для сахарной пудры);
- штриховое кодирование (при наличии);
- обозначение настоящего стандарта;
- информацию о подтверждении соответствия.
Информационные сведения о пищевой и энергетической ценности 100 г белого сахара приведены в
приложении Б.
4.4.2.3 Маркировку транспортной упаковки (мешка, ящика, мягкого контейнера, групповой упаковки из бумаги) осуществляют в соответствии с требованиями, установленными
[3], с нанесением манипуляционного знака "Беречь от влаги" по
ГОСТ 14192.
4.4.2.4 Допускается в маркировку вносить дополнительную информацию, определяемую контрактом с приобретателем.
5 Требования безопасности
5.2 Предприятия по производству белого сахара по степени пожаровзрывоопасности относятся к категории "Б".
5.3 Эксплуатацию зданий, сооружений, помещений, предназначенных для осуществления технологических процессов производства белого сахара, следует проводить с соблюдением требований
ГОСТ 12.1.004.
5.4 Рабочие места на предприятиях по производству белого сахара должны быть организованы по
ГОСТ 12.2.061.
5.5 Естественное и искусственное освещение при осуществлении технологических процессов производства белого сахара должно соответствовать требованиям, установленным нормативными правовыми актами государства, принявшего стандарт.
5.6 Системы отопления, вентиляции и кондиционирования при осуществлении технологических процессов производства белого сахара должны соответствовать требованиям, установленным нормативными правовыми актами государства, принявшего стандарт.
5.7 Воздух рабочей зоны при осуществлении технологических процессов производства белого сахара должен соответствовать
ГОСТ 12.1.005.
5.8 Средства индивидуальной защиты персонала в производстве белого сахара должны отвечать требованиям
ГОСТ 12.4.011.
5.9 При производстве белого сахара следует соблюдать гигиенические требования к организации технологических процессов, установленные нормативными правовыми актами государства, принявшего стандарт.
6 Требования к охране окружающей среды
6.1 Сточные воды предприятий по производству белого сахара должны подвергаться очистке в соответствии с требованиями санитарных правил, норм и гигиенических нормативов или технических регламентов, или нормативных правовых актов, действующих на территории государства, принявшего стандарт.
6.2 Выбросы в атмосферу от предприятий по производству белого сахара осуществляют в соответствии с
ГОСТ 17.2.3.02 и требованиями, установленными нормативными правовыми актами государства, принявшего стандарт.
6.3 Предприятия по производству белого сахара должны осуществлять размещение и обезвреживание отходов производства и потребления в соответствии с требованиями, установленными нормативными правовыми актами государства, принявшего стандарт.
7.1 Упакованный в транспортную упаковку белый сахар приобретатель принимает партиями по
ГОСТ 12569.
Партией считают определенное количество белого сахара одного наименования, одинаково упакованного, произведенного (изготовленного) одним изготовителем по настоящему стандарту в определенный промежуток времени, сопровождаемое товаросопроводительной документацией, обеспечивающей прослеживаемость сахара.
8.1 Отбор и подготовка проб белого сахара - по
ГОСТ 12569.
8.2 Отбор и подготовка проб белого сахара для определения показателей безопасности - по
ГОСТ 26929.
8.3 Отбор и подготовка проб белого сахара для микробиологических анализов - по
ГОСТ 31904,
ГОСТ 26669.
8.4 Определение органолептических показателей белого сахара - по
ГОСТ 12576.
8.5 Определение физико-химических показателей белого сахара проводят:
- массовой доли редуцирующих веществ - по
ГОСТ 12575;
- крепости и продолжительности растворения в воде - по
ГОСТ 12577;
8.6 Содержание диоксида серы в белом сахаре определяют по методике выполнения измерений, прошедшей метрологический контроль
<1>.
--------------------------------
<1> В Российской Федерации - по "Методике измерений массовой доли общего диоксида серы в сахаре йодометрическим методом". Свидетельство об аттестации N 01.00225/205-24-14 от 30.06.2014 г.
8.7 Содержание токсичных элементов в белом сахаре определяют:
8.9 Определение пестицидов - по методикам выполнения измерений, утвержденным в установленном порядке.
8.10 Определение содержимого упаковочной единицы (массы фасованного белого сахара), среднего содержимого партии (см.
ГОСТ 8.579)
Измерения массы фасованного белого сахара должны выполняться с погрешностью, не превышающей 1/5 предела допускаемых отрицательных отклонений содержимого упаковочной единицы от номинального количества
T согласно
4.3.11. В обоснованных случаях допускается проводить измерения содержимого с погрешностью, не превышающей 1/3
T.
8.10.1 Содержимое упаковочной единицы определяют путем взвешивания на весах для статического взвешивания среднего класса точности по
ГОСТ OIML R 76-1. Рекомендуемая дискретность весов
d в зависимости от требуемого диапазона взвешивания приведена в таблице 4.
Таблица 4
Диапазон взвешивания, г | Цена поверочного деления e и дискретность весов d, г, не более |
Менее 10 | 0,1 |
От 10 до 50, не включая 50 | 0,2 |
От 50 до 150, не включая 150 | 0,5 |
От 150 до 500, не включая 500 | 1,0 |
От 500 до 2 500, не включая 2 500 | 2,0 |
От 2 500 до 10 000, не включая 10 000 | 5,0 |
От 10 000 до 15 000, не включая 15 000 | 10,0 |
От 15 000 и более | 20,0 |
8.10.2 Определение содержимого упаковочной единицы (массы фасованного белого сахара)
8.10.2.1 Массу фасованного белого сахара определяют при проведении неразрушающих или разрушающих испытаний.
Неразрушающие испытания применяют в случае, если при определении содержимого упаковочной единицы (массы фасованного белого сахара) возможно использовать показатель "среднее значение массы упаковки"

. Данный показатель может быть использован при условии, что рассеяние значений массы упаковки упаковочных единиц является незначительным и им можно пренебречь.
Допускается использование иных весов, имеющих более точные метрологические характеристики и обеспечивающих требуемую точность измерений.
Рассеяние значений массы упаковки считают незначительным, если среднеарифметическое массы упаковки десяти упаковочных единиц (если упаковочная единица вскрывается в ходе контроля) или массы десяти образцов новой упаковки (если возможно определить данный показатель до начала процесса упаковывания и/или контроля фасованных товаров при условии принадлежности упаковки к одной партии) не превышает 10% значения номинальной массы или среднеквадратическое отклонение значений массы упаковки десяти упаковочных единиц или массы десяти образцов новой упаковки не превышает 25% значения предела допускаемых отрицательных отклонений согласно
4.3.11.
Примечание - В массу упаковки включается как масса самой упаковки, так и масса упаковочного материала, этикеток и других вспомогательных упаковочных средств различного вида (при необходимости).
8.10.2.2 Определение среднего значения массы упаковки
Среднее (среднеарифметическое) значение массы упаковки

, в граммах, определяют по результатам измерений массы десяти упаковочных единиц или десяти образцов новой упаковки и рассчитывают по формуле

(1)
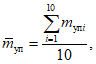
где mупi - значение массы i-й упаковки, г.
8.10.2.3 Определение содержимого упаковочной единицы (массы фасованного белого сахара) при проведении неразрушающих испытаний
Массу фасованного белого сахара mi определяют для каждой упаковочной единицы, отобранной в выборку, по формуле

(2)
где mбрi - значение массы i-й невскрытой упаковочной единицы (масса брутто), г;

- среднее значение массы упаковки, определенное по
8.10.2.2, г.
8.10.2.4 Определение содержимого упаковочной единицы (массы фасованного белого сахара) при проведении разрушающих испытаний
Массу фасованного белого сахара
mi определяют для каждой упаковочной единицы, отобранной в выборку, согласно
ГОСТ 12569 по формуле
mi = mбрi - mупi, (3)
где mбрi - значение массы i-й невскрытой упаковочной единицы (масса брутто), г;
mупi - значение массы i-й упаковки, г.
8.10.3 Определение среднего содержимого партии
На основании полученных по
8.10.2 значений массы фасованного белого сахара
mi рассчитывают среднее (среднеарифметическое) содержимое партии

по формуле

(4)
где
n - объем выборки (количество упаковочных единиц) согласно
ГОСТ 12569, шт.
Полученное значение сравнивают с номинальной массой и проверяют соблюдение критерия приемки партии - среднее содержимое партии должно быть больше или равно значению номинальной массы, указанной в маркировке.
Контроль среднего содержимого партии на этапе изготовления допускается осуществлять в соответствии с методикой, установленной изготовителем. Результаты контроля документируются и хранятся в соответствии с принятыми на предприятии правилами.
8.10.4 Определение соблюдения предела допускаемых отрицательных отклонений содержимого упаковочной единицы от номинальной массы (для фасованного белого сахара)
Для партии фасованного белого сахара рассчитываются минимальное допускаемое значение содержимого упаковочной единицы xдоп и нижняя контрольная граница отрицательного отклонения содержимого tниж:
xдоп = Kном - T, (5)
tниж = Kном - 2T, (6)
где Kном - номинальная масса, г;
T - предел допускаемых отрицательных отклонений содержимого упаковочной единицы, значения которого приведены в
4.3.11, г.
Полученные по
8.10.2 значения массы фасованного белого сахара
mi каждой упаковочной единицы выборки сравнивают с минимальным допускаемым значением содержимого
xдоп и определяют наличие бракованных упаковочных единиц (у которых масса меньше минимального допускаемого значения содержимого
xдоп).
Количество бракованных упаковочных единиц сравнивают с приемочными и браковочными числами, определенными планом выборочного контроля, а также определяют наличие браковочных упаковочных единиц, у которых дополнительно нарушается значение нижней контрольной границы отрицательного отклонения содержимого tниж.
Проверяют соблюдение критериев приемки партии:
- среднее содержимое партии должно быть больше или равно значению номинальной массы, указанной в маркировке;
- количество бракованных упаковочных единиц, у которых отрицательное отклонение содержимого упаковочной единицы превышает предел допускаемых отрицательных отклонений согласно
4.3.11, должно быть меньше или равно приемочному числу плана контроля;
- не допускается наличие упаковочных единиц, у которых отрицательное отклонение содержимого упаковочной единицы превышает удвоенное значение предела допускаемых отрицательных отклонений согласно
4.3.11.
Результаты контроля документируют и хранят в соответствии с принятыми на предприятии правилами.
8.11 Качество упаковки и маркировки потребительской и транспортной упаковки определяют визуально.
8.12 Контроль массы белого сахара при приемке насыпью - по
ГОСТ 26521.
9 Транспортирование и хранение
9.1 Упакованный белый сахар перевозят транспортом всех видов в крытых транспортных средствах и в контейнерах по
ГОСТ 18477 в соответствии с правилами перевозки грузов, действующими на данном виде транспорта, белый сахар насыпью - в автомобилях-сахаровозах и железнодорожных хопперах-зерновозах, приспособленных для перевозок кристаллического белого сахара.
Не допускается перевозка белого сахара в транспортных средствах вместе с другими материалами и продуктами с резким, специфическим запахом.
Не допускается отправлять белый сахар в загрязненных вагонах, контейнерах и трюмах со следами ранее перевозившихся сильно загрязняющих грузов (уголь, известь, цемент, соль и др.), пахнущих и ядовитых грузов, а также в вагонах, контейнерах и трюмах с непросохшей, пачкающей или сохранившей запах краской.
9.2 При перевозке белого сахара железнодорожным и водным транспортом крытые вагоны, контейнеры и трюмы должны быть сухими, без щелей, с непротекающей крышей, с хорошо закрывающимися люками и дверями.
9.3 Перед погрузкой белого сахара вагоны, хоппера-зерновозы, контейнеры и трюмы должны быть тщательно очищены, полы выстланы бумагой, или чистыми бумажными обрезками, или другими материалами. В железнодорожных вагонах крючья и острые выступающие части обертывают бумагой или тканью.
9.4 Перевозку белого сахара в автомобильном транспорте производят на деревянных поддонах по
ГОСТ 9078 или в кузове автомобиля, выстланном брезентом, бумагой или чистыми бумажными обрезками; груз накрывают брезентом.
9.5 Упакованный белый сахар хранят в складах, неупакованный - в силосах.
Не допускается хранение белого сахара совместно с другими материалами и продуктами с резким, специфическим запахом.
Склады и силосы для хранения белого сахара должны соответствовать санитарным требованиям, утвержденным в установленном порядке. Перед укладкой белого сахара на хранение склады и силосы должны быть тщательно очищены, проветрены и просушены.
9.6 При хранении белого сахара в складах с цементными или асфальтированными полами мешки, ящики и пакеты с сахаром необходимо укладывать на поддоны, покрытые чистым брезентом или бумагой. Для кратковременного хранения допускается укладка белого сахара без поддонов на полиэтиленовую пленку, которую после формирования штабеля заворачивают на два нижних ряда.
При хранении белого сахара в складах с деревянными полами и в многоэтажных складах, начиная со второго этажа и выше, мешки, ящики и пакеты с белым сахаром укладывают на брезент или полиэтиленовую пленку, которые после формирования штабеля заворачивают на два нижних ряда.
При наличии в складах полов с водонепроницаемой пленкой, обеспечивающей его полную гидроизоляцию, допускается укладка белого сахара для краткосрочного хранения без поддонов и полиэтиленовой пленки на бумагу или картон.
9.7 Упакованный белый сахар укладывают в штабеля, обеспечивающие сохранность продукта, качества упаковки и безопасность.
9.8 Штабеля составляют из однородного по наименованию, категории, происхождению и качеству белого сахара, упакованного в упаковку одного типа, имеющего одинаковую массу.
Каждый уложенный штабель должен иметь штабельный ярлык.
В штабельных ярлыках в складах изготовителя указывают: наименование сахара, его категорию, происхождение, тип упаковки, количество мест, год изготовления, номинальную массу единицы упаковки, обозначение настоящего стандарта.
В штабельных ярлыках на базах оптовых и розничных организаций указывают: наименование белого сахара, его категорию, происхождение, наименование поставщика, номер вагона, номер накладной, количество мест, массу нетто единицы упаковки, тип упаковки, дату прибытия, показатели качества по
4.1.9.
9.9 Упакованный белый сахар должен храниться в складе при температуре воздуха не выше 40 °C и относительной влажности воздуха не выше 75% для кускового сахара и не выше 70% для кристаллического и сахарной пудры.
В силосах белый кристаллический сахар должен храниться при температуре воздуха не выше 25 °C и не ниже 20 °C и относительной влажности воздуха не выше 60%.
9.10 Требования к условиям длительного хранения белого сахара - согласно
ГОСТ 26907.
9.11 При хранении белого сахара необходимо осуществлять постоянный контроль за температурой и относительной влажностью воздуха в складах и в силосах.
9.12 Срок годности белого сахара устанавливает изготовитель.
Рекомендуемые сроки годности белого сахара:
- кристаллического - 4 года с года изготовления или даты фасования;
- кускового - 2 года с даты изготовления;
- сахарной пудры - 1,5 года с даты изготовления или фасования.
(обязательное)
ФИЗИКО-ХИМИЧЕСКИЕ ПОКАЗАТЕЛИ САХАРНОЙ ПУДРЫ С ДОБАВЛЕНИЕМ
В КАЧЕСТВЕ АНТИСЛЕЖИВАЮЩЕГО АГЕНТА КРАХМАЛА
Физико-химические показатели сахарной пудры с добавлением в качестве антислеживающего агента крахмала приведены в таблице А.1.
Таблица А.1
Наименование показателя | Значение по категориям сахарной пудры с добавлением в качестве антислеживающего агента крахмала |
Экстра | ТС1, ТС2 |
Массовая доля сахарозы по прямой поляризации, %, не менее | 95,05 | 95,00 |
Массовая доля золы (в пересчете на сухое вещество), %, не более | 0,04 | 0,05 |
Массовая доля редуцирующих веществ (в пересчете на сухое вещество), %, не более | 0,03 | 0,04 |
Примечание - Физико-химические показатели сахарной пудры с другими антислеживающими агентами (трикальцийфосфатом, карбонатом магния, двуокисью кремния, силикатом кальция, трисиликатом магния) устанавливают расчетным путем в соответствии с рецептурой. |
(справочное)
ИНФОРМАЦИОННЫЕ ДАННЫЕ О ПИЩЕВОЙ И ЭНЕРГЕТИЧЕСКОЙ ЦЕННОСТИ
100 Г БЕЛОГО САХАРА
Пищевая и энергетическая ценность 100 г белого сахара приведена в таблице Б.1.
Таблица Б.1
Наименование показателя | Белый сахар всех категорий |
Содержание углеводов, г | 100 |
Энергетическая ценность, ккал | 400 |
Энергетическая ценность, кДж | 1700 |
| | "О безопасности пищевой продукции" |
| | "О безопасности упаковки" |
| | "Пищевая продукция в части ее маркировки" |
[4] | | "Требования безопасности пищевых добавок, ароматизаторов и технологических вспомогательных средств" |
(Поправка).
УДК 547.458.2:006.354 | |
Ключевые слова: белый сахар, экстра белый сахар, фабричный белый сахар, кристаллический сахар, мелкокристаллический сахар, крупнокристаллический сахар, сахарная пудра, сахар кусковой, категория, органолептические показатели, физико-химические показатели, микробиологические показатели, токсичные элементы, диоксид серы, сырье, упаковка, маркировка, происхождение, транспортирование, хранение |