Скачать ГОСТ Р 54681-2011 Консервы. Фрукты протертые или дробленые. Общие технические условия

Дата актуализации: 01.01.2021

ГОСТ Р 54681-2011

Консервы. Фрукты протертые или дробленые. Общие технические условия

Обозначение: ГОСТ Р 54681-2011
Обозначение англ: GOST R 54681-2011
Статус:введен впервые
Название рус.:Консервы. Фрукты протертые или дробленые. Общие технические условия
Название англ.:Canned food. Fruit pureed or crushed. General specifications
Дата добавления в базу:01.09.2013
Дата актуализации:01.01.2021
Дата введения:01.01.2013
Область применения:Стандарт распространяется на консервы - протертые или дробленые фрукты, изготовленные из свежих, охлажденных или быстрозамороженных фруктов одного или нескольких видов, с добавлением сахара, фасованные в герметичную тару и стерилизованные.
Оглавление:1 Область применения
2 Нормативные ссылки
3 Термины и определения
4 Классификация
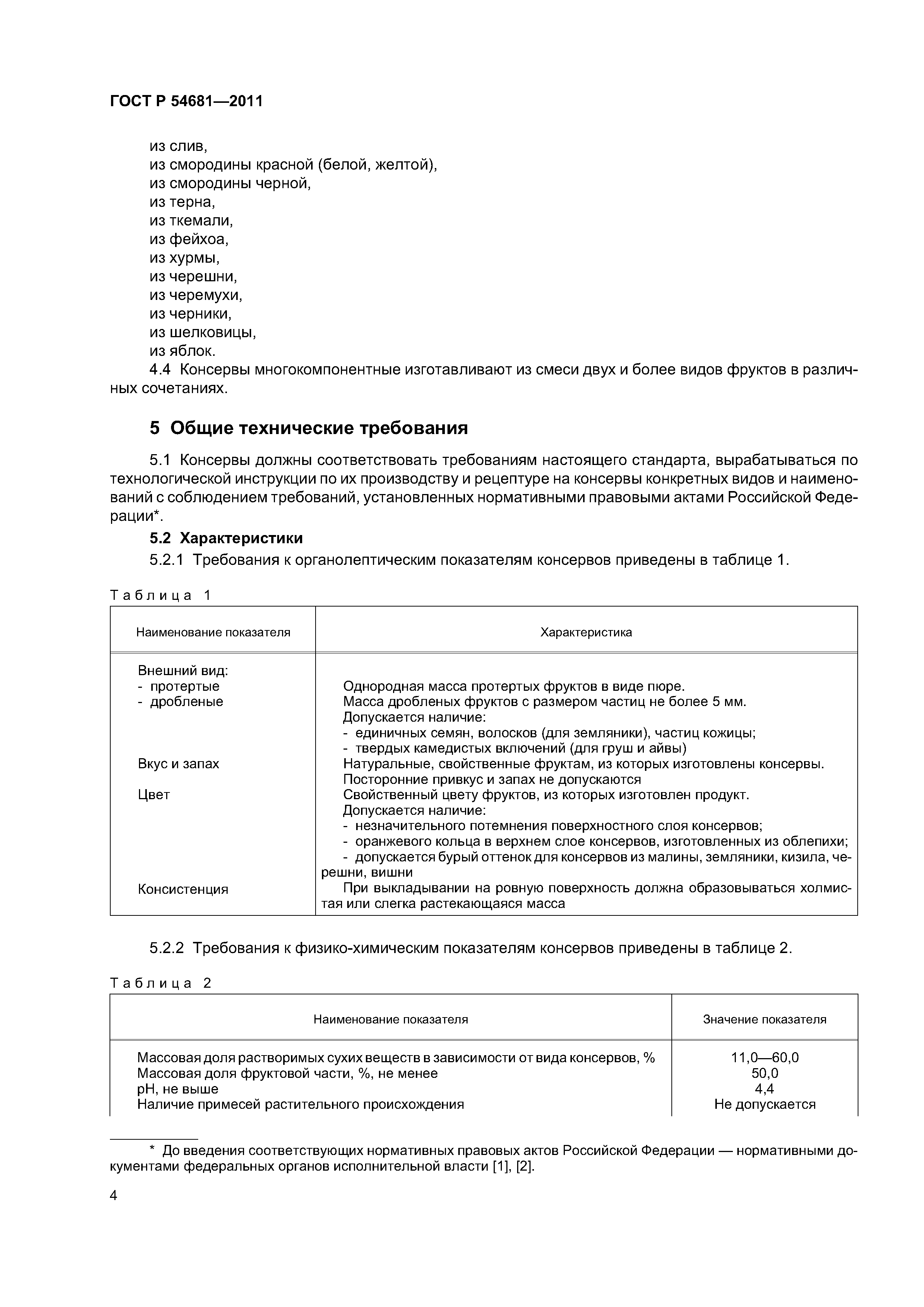
5 Общие технические требования
6 Правила приемки
7 Методы анализа
8 Транспортирование и хранение
Приложение А (рекомендуемое) Потребительская и транспортная тара, укупорочные средства для фасования и упаковывания консервов
Приложение Б (рекомендуемое) Условия хранения и сроки годности консервов
Библиография
Разработан: ГНУ ВНИИКОП Россельхозакадемии
Утверждён:13.12.2011 Федеральное агентство по техническому регулированию и метрологии (840-ст)
Издан: Стандартинформ (2013 г. )
Нормативные ссылки:
ГОСТ Р 54681-2011ГОСТ Р 54681-2011ГОСТ Р 54681-2011ГОСТ Р 54681-2011ГОСТ Р 54681-2011ГОСТ Р 54681-2011ГОСТ Р 54681-2011ГОСТ Р 54681-2011ГОСТ Р 54681-2011ГОСТ Р 54681-2011ГОСТ Р 54681-2011ГОСТ Р 54681-2011ГОСТ Р 54681-2011ГОСТ Р 54681-2011ГОСТ Р 54681-2011