Скачать ГОСТ Р 58340-2019 Молоко и молочная продукция. Метод отбора проб с торговой полки и доставки проб в лабораторию

Дата актуализации: 01.01.2021

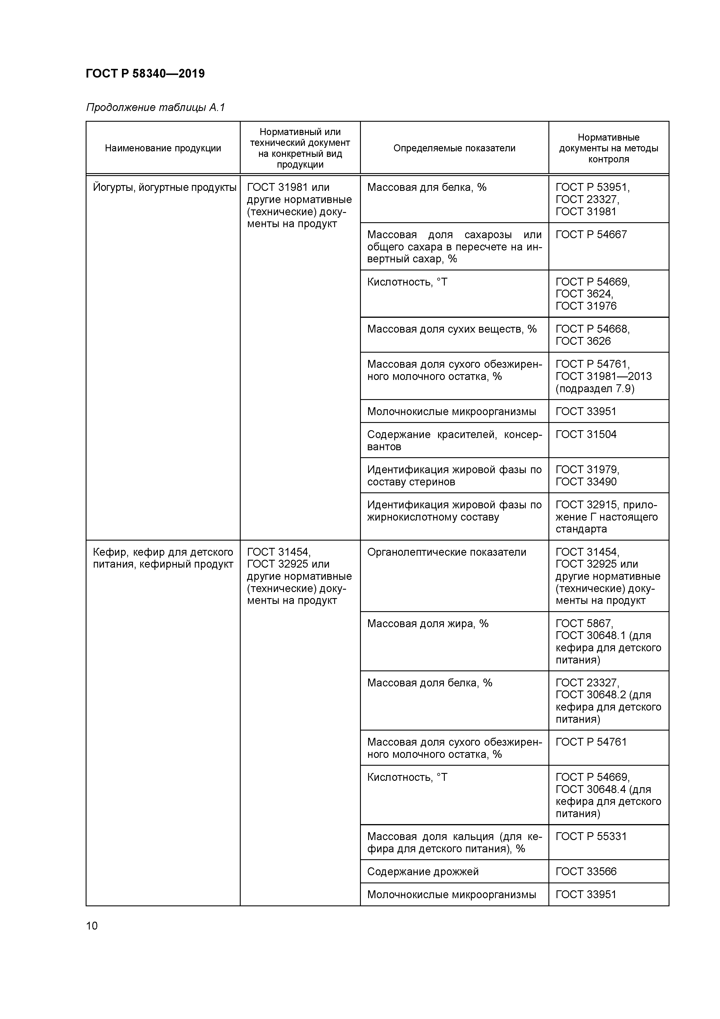
ГОСТ Р 58340-2019

Молоко и молочная продукция. Метод отбора проб с торговой полки и доставки проб в лабораторию

Обозначение: ГОСТ Р 58340-2019
Обозначение англ: GOST R 58340-2019
Статус:введен впервые
Название рус.:Молоко и молочная продукция. Метод отбора проб с торговой полки и доставки проб в лабораторию
Название англ.:Milk and milk products. Method of sampling from trade and delivery of samples to the laboratory
Дата добавления в базу:01.02.2020
Дата актуализации:01.01.2021
Дата введения:01.07.2019
Область применения:Стандарт распространяется на молоко и молочную продукцию, к которой относятся: - питьевое молоко [пастеризованное, ультрапастеризованное (ультравысокотемпературно-обработанное), стерилизованное, топленое]; - питьевые сливки (пастеризованные, ультрапастеризованные, стерилизованные); - кисломолочные продукты и биопродукты (кефир, ряженка, варенец, простокваша, ацидофилин, в том числе для диетического профилактического питания, а также для детского питания); - йогурты, йогурты для диетического профилактического и детского питания; - кисломолочные напитки (кефирный продукт, йогуртный продукт, тан, айран); - сметана и молокосодержащий продукт с заменителем молочного жира, произведенный по технологии сметаны; - творог и творог с пищевкусовыми компонентами, в том числе творог для детского питания; - зерненый творог; - творожные продукты (творожная масса, творожные сырки, в том числе глазированные); - молокосодержащие продукты с заменителем молочного жира, произведенные по технологии творога; - творожный сыр; - сыры (мягкие, рассольные, полутвердые); - молокосодержащие продукты с заменителем молочного жира, произведенные по технологии сыра (мягкие, рассольные, полутвердые); - молокосодержащие продукты с заменителем молочного жира, произведенные по технологии плавленого сыра; - мороженое, мороженое с заменителем молочного жира; - замороженные десерты с добавлением молока и молочных продуктов; - масло и масляная паста из коровьего молока; - масло и масляная паста из коровьего молока с вкусовыми компонентами; - сливочно-растительный спред; - консервы молочные сгущенные с сахаром; - молокосодержащие сгущенные консервы с сахаром с заменителем молочного жира; - консервы сгущенные стерилизованные; - сухое молоко; - сухие сливки; и устанавливает метод отбора проб молочной продукции с торговой полки (в местах реализации), условия их доставки в испытательную лабораторию (центр).
Оглавление:1 Область применения
2 Нормативные ссылки
3 Термины и определения
4 Сущность метода
5 Отбор проб с торговой полки
6 Доставка проб в лабораторию
7 Методы контроля
Приложение А (справочное) Перечень методов и определяемых показателей, рекомендуемых для проведения испытаний молочной продукции, отобранной с торговой полки
Приложение Б (справочное) Пример оформления акта отбора проб
Приложение В (обязательное) Жирнокислотный состав жировой фазы питьевых молока и сливок
Приложение Г (обязательное) Жирнокислотный состав жировой фазы кисломолочных продуктов (кефир, ряженка, варенец, простокваша, йогурт, тан, айран)
Приложение Д (обязательное) Жирнокислотный состав жировой фазы сгущенных молочных консервов
Приложение Е (обязательное) Жирнокислотный состав жировой фазы сыров полутвердых, мягких, рассольных и плавленых
Приложение Ж (обязательное) Жирнокислотный состав жировой фазы сухого молока и сухих сливок
Библиография
Разработан: ФГАНУ ВНИМИ
Утверждён:16.01.2019 Федеральное агентство по техническому регулированию и метрологии (2-ст)
Издан: Стандартинформ (2019 г. )
Нормативные ссылки:
ГОСТ Р 58340-2019ГОСТ Р 58340-2019ГОСТ Р 58340-2019ГОСТ Р 58340-2019ГОСТ Р 58340-2019ГОСТ Р 58340-2019ГОСТ Р 58340-2019ГОСТ Р 58340-2019ГОСТ Р 58340-2019ГОСТ Р 58340-2019ГОСТ Р 58340-2019ГОСТ Р 58340-2019ГОСТ Р 58340-2019ГОСТ Р 58340-2019ГОСТ Р 58340-2019ГОСТ Р 58340-2019ГОСТ Р 58340-2019ГОСТ Р 58340-2019ГОСТ Р 58340-2019ГОСТ Р 58340-2019ГОСТ Р 58340-2019ГОСТ Р 58340-2019ГОСТ Р 58340-2019ГОСТ Р 58340-2019ГОСТ Р 58340-2019ГОСТ Р 58340-2019ГОСТ Р 58340-2019ГОСТ Р 58340-2019ГОСТ Р 58340-2019ГОСТ Р 58340-2019