Скачать ГОСТ 33630-2015 Сыры и сыры плавленые. Методы контроля органолептических показателейДата актуализации: 01.01.2021
|
| Обозначение: | ГОСТ 33630-2015 |
| Обозначение англ: | GOST 33630-2015 |
| Статус: | введен впервые |
| Название рус.: | Сыры и сыры плавленые. Методы контроля органолептических показателей |
| Название англ.: | Cheese and processed cheese. Methods for control of organoleptic properties |
| Дата добавления в базу: | 01.02.2017 |
| Дата актуализации: | 01.01.2021 |
| Дата введения: | 01.07.2016 |
| Область применения: | Стандарт распространяется на сыры (полутвердые, мягкие, рассольные, с чеддеризацией и термомеханической обработкой сырной массы) и плавленые сыры (ломтевые и пастообразные, в т.ч. сладкие) и устанавливает методы контроля по определению и оценке органолептических показателей. Допускается проведение отбора проб и использование настоящих методов определения органолептических показателей для всех продуктов сыроделия. |
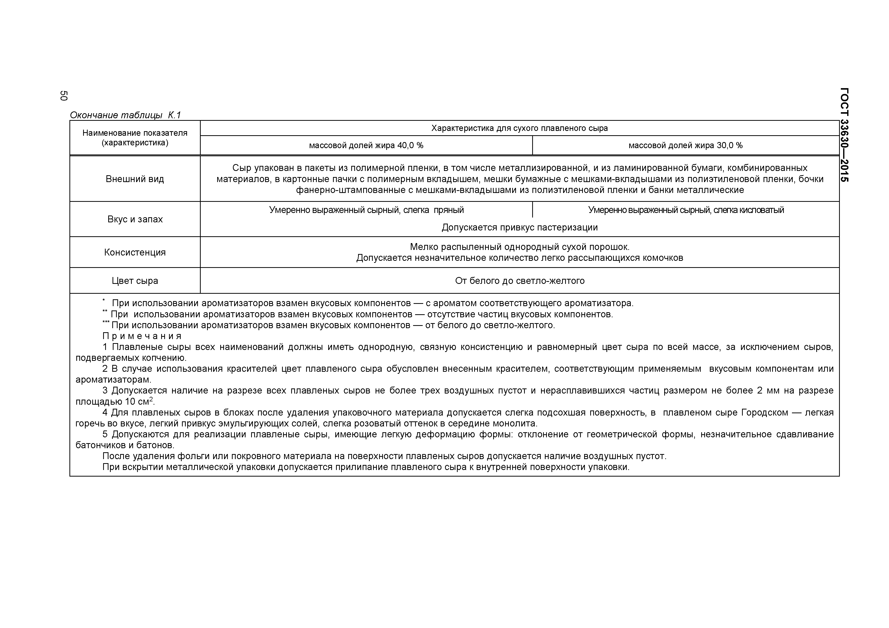
| Оглавление: | 1 Область применения 2 Нормативные ссылки 3 Термины и определения 4 Сущность методов 5 Отбор проб 6 Требования к условиям проведения органолептических испытаний 7 Экспертная (дегустационная) комиссия 8 Подготовка проб для органолептических испытаний 9 Методы контроля органолептических показателей 10 Обработка результатов испытаний 11 Требования безопасности Приложение А (обязательное) Вид и размеры щупов для отбора проб сыра Приложение Б (рекомендуемое) Акт отбора проб сыра Приложение В (обязательное) Органолептические показатели полутвердых сыров Приложение Г (обязательное) Органолептические показатели мягких сыров Приложение Д (обязательное) Органолептические показатели рассольных сыров Приложение Е (обязательное) Органолептические показатели сыров с чеддеризацией и термомеханической обработкой сырной массы Приложение Ж (рекомендуемое) Экспертный лист полутвердых сыров Приложение И (рекомендуемое) Экспертный лист сыров мягких, рассольных, с чеддеризацией и термомеханической обработкой сырной массы Приложение К (обязательное) Органолептические показатели плавленых сыров Приложение Л (рекомендуемое) Экспертный лист плавленых сыров Библиография |
| Разработан: | ФГБНУ ВНИИМС |
| Утверждён: | 27.10.2015 Межгосударственный Совет по стандартизации, метрологии и сертификации (Inter-Governmental Council on Standardization, Metrology, and Certification 81-П) 07.12.2015 Федеральное агентство по техническому регулированию и метрологии (2112-ст) |
| Издан: | Стандартинформ (2016 г. ) |
| Нормативные ссылки: |
|

























































