Главная // Актуальные документы // ГОСТ (Государственный стандарт)СПРАВКА
Источник публикации
М.: Стандартинформ, 2017
Примечание к документу
Документ
введен в действие с 1 января 2018 года.
Название документа
"ГОСТ 33917-2016. Межгосударственный стандарт. Патока крахмальная. Общие технические условия"
(введен в действие Приказом Росстандарта от 25.11.2016 N 1790-ст)
"ГОСТ 33917-2016. Межгосударственный стандарт. Патока крахмальная. Общие технические условия"
(введен в действие Приказом Росстандарта от 25.11.2016 N 1790-ст)
по техническому регулированию
и метрологии
от 25 ноября 2016 г. N 1790-ст
МЕЖГОСУДАРСТВЕННЫЙ СТАНДАРТ
ПАТОКА КРАХМАЛЬНАЯ
ОБЩИЕ ТЕХНИЧЕСКИЕ УСЛОВИЯ
Starch syrup. General specifications
(ISO 1743:1982, NEQ)
(ISO 5377:1981, NEQ)
(ISO 10504:2013, NEQ)
ГОСТ 33917-2016
Дата введения
1 января 2018 года
Цели, основные принципы и основной порядок проведения работ по межгосударственной стандартизации установлены в
ГОСТ 1.0-2015 "Межгосударственная система стандартизации. Основные положения" и
ГОСТ 1.2-2015 "Межгосударственная система стандартизации. Стандарты межгосударственные, правила и рекомендации по межгосударственной стандартизации. Правила разработки, принятия, обновления и отмены"
1 РАЗРАБОТАН Федеральным государственным бюджетным научным учреждением "Всероссийский научно-исследовательский институт крахмалопродуктов" (ФГБНУ "ВНИИ крахмалопродуктов")
2 ВНЕСЕН Федеральным агентством по техническому регулированию и метрологии
3 ПРИНЯТ Межгосударственным советом по стандартизации, метрологии и сертификации (протокол от 25 октября 2016 г. N 92-П)
За принятие проголосовали:
Краткое наименование страны по МК (ИСО 3166) 004-97 | Код страны по МК (ИСО 3166) 004-97 | Сокращенное наименование национального органа по стандартизации |
Армения | AM | Минэкономики Республики Армения |
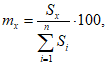
Казахстан | KZ | Госстандарт Республики Казахстан |
Киргизия | KG | Кыргызстандарт |
Россия | RU | Росстандарт |
4
Приказом Федерального агентства по техническому регулированию и метрологии от 25 ноября 2016 г. N 1790-ст межгосударственный стандарт ГОСТ 33917-2016 введен в действие в качестве национального стандарта Российской Федерации с 1 января 2018 г.
5 В настоящем стандарте учтены основные нормативные положения международных стандартов:
- ISO 1743:1982 "Глюкоза сиропообразная. Определение содержания сухого вещества. Рефрактометрический метод" ("Glucose syrup - Determination of dry matter content - Refractive index method", NEQ) в части определения массовой доли сухих веществ рефрактометрическими методами I и II;
- ISO 5377:1981 "Продукты гидролиза крахмала. Определение восстановительной способности и эквивалента декстрозы. Метод Лейна и Эйнона с применением раствора с постоянным титром" ("The hydrolysis products of starch. The resilience and determination of dextrose equivalent. Method of lane and Anona using a solution with a constant titer", NEQ) в части определения массовой доли редуцирующих веществ
(6.9);
- ISO 10504:2013 "Производные крахмала. Определение состава глюкозных, фруктозных и гидрогенизированных глюкозных сиропов. Метод высокоэффективной жидкостной хроматографии" ("Starch derivatives - Determination of the composition of glucose syrups, fructose syrups and hydrogenated glucose syrups - Method using high-performance liquid chromatography", NEQ) в части определения массовой доли отдельных углеводов методом высокоэффективной жидкостной хроматографии
(6.12)
6 ВВЕДЕН ВПЕРВЫЕ
Информация об изменениях к настоящему стандарту публикуется в ежегодном информационном указателе "Национальные стандарты", а текст изменений и поправок - в ежемесячном информационном указателе "Национальные стандарты". В случае пересмотра (замены) или отмены настоящего стандарта соответствующее уведомление будет опубликовано в ежемесячном информационном указателе "Национальные стандарты". Соответствующая информация, уведомление и тексты размещаются также в информационной системе общего пользования - на официальном сайте Федерального агентства по техническому регулированию и метрологии в сети Интернет (www.gost.ru)
Настоящий стандарт распространяется на крахмальную патоку (глюкозный сироп, мальтозный сироп, крахмальный сироп, кукурузный сироп), вырабатываемую путем гидролиза крахмала с применением кислот и/или амилолитических ферментных препаратов.
Патока применяется в различных отраслях пищевой промышленности и для технических целей.
В настоящем стандарте использованы нормативные ссылки на следующие межгосударственные стандарты:
ГОСТ 8.135-2004 Государственная система обеспечения единства измерений. Стандарт-титры для приготовления буферных растворов - рабочих эталонов pH 2-го и 3-го разрядов. Технические и метрологические характеристики. Методы их определения
ГОСТ 8.579-2002 Государственная система обеспечения единства измерений. Требования к количеству фасованных товаров в упаковках любого вида при их производстве, расфасовке, продаже и импорте
ГОСТ OIML R 76-1-2011 Государственная система обеспечения единства измерений. Весы неавтоматического действия. Часть 1. Метрологические и технические требования. Испытания
ГОСТ 246-76 Гидросульфит натрия технический. Технические условия
ГОСТ 332-91 Ткани хлопчатобумажные и смешанные суровые фильтровальные. Технические условия
ГОСТ 857-95 Кислота соляная синтетическая техническая. Технические условия
ГОСТ 902-76 Натрия бисульфит технический (водный раствор). Технические условия
ГОСТ 975-88 Глюкоза кристаллическая гидратная. Технические условия
ГОСТ 1770-74 (ИСО 1042-83, ИСО 4788-80) Посуда мерная лабораторная стеклянная. Цилиндры, мензурки, колбы, пробирки. Общие технические условия
ГОСТ 2874-82 <*> Вода питьевая. Гигиенические требования и контроль за качеством
--------------------------------
<*> В Российской Федерации действует
ГОСТ Р 51232-98 "Вода питьевая. Общие требования к организации и методам контроля качества".
ГОСТ 4165-78 Реактивы. Медь (II) сернокислая 5-водная. Технические условия
ГОСТ 4328-77 Реактивы. Натрия гидроокись. Технические условия
ГОСТ 4453-74 Уголь активный осветляющий древесный порошкообразный. Технические условия
ГОСТ 4517-87 Реактивы. Методы приготовления вспомогательных реактивов и растворов, применяемых при анализе
ГОСТ 4680-49 Методы пересчета массы гигроскопических материалов и продуктов при отклонении их влажности от нормированной
ГОСТ 4919.1-77 Реактивы и особо чистые вещества. Методы приготовления растворов индикаторов
ГОСТ 4919.2-77 Реактивы и особо чистые вещества. Методы приготовления буферных растворов
ГОСТ 5037-97 Фляги металлические для молока и молочных продуктов. Технические условия
ГОСТ 5100-85 Сода кальцинированная техническая. Технические условия
ГОСТ 5845-79 Калий-натрий виннокислый 4-водный. Технические условия
--------------------------------
<*> В Российской Федерации действует
ГОСТ Р 53876-2010 "Крахмал картофельный. Технические условия".
ГОСТ 9147-80 Посуда и оборудование лабораторные фарфоровые. Технические условия
ГОСТ 9218-86 Цистерны для пищевых жидкостей, устанавливаемые на автотранспортные средства. Общие технические условия
ГОСТ 10444.15-94 Продукты пищевые. Методы определения количества мезофильных аэробных и факультативно-анаэробных микроорганизмов
ГОСТ 11683-76 (ИСО 3627-76) Пиросульфит натрия технический. Технические условия
ГОСТ 12026-76 Бумага фильтровальная лабораторная. Технические условия
ГОСТ 13950-91 Бочки стальные сварные и закатные с гофрами на корпусе. Технические условия
ГОСТ 14919-83 Электроплиты, электроплитки и жарочные электрошкафы бытовые. Общие технические условия
ГОСТ 15846-2002 Продукция, отправляемая в районы Крайнего Севера и приравненные к ним местности. Упаковка, маркировка, транспортирование и хранение
ГОСТ 18300-87 <**> Спирт этиловый ректификованный технический. Технические условия
--------------------------------
<**> В Российской Федерации действует
ГОСТ Р 55878-2013 "Спирт этиловый технический гидролизный ректификованный. Технические условия".
ГОСТ 18481-81 Ареометры и цилиндры стеклянные. Общие технические условия
ГОСТ 19908-90 Тигли, чаши, стаканы, колбы, воронки, пробирки и наконечники из прозрачного кварцевого стекла. Общие технические условия
ГОСТ 25336-82 Посуда и оборудование лабораторные стеклянные. Типы, основные параметры и размеры
ГОСТ 25794.1-83 Реактивы. Методы приготовления титрованных растворов для кислотно-основного титрования
ГОСТ 25794.2-83 Реактивы. Методы приготовления титрованных растворов для окислительно-восстановительного титрования
ГОСТ 26669-85 Продукты пищевые и вкусовые. Подготовка проб для микробиологических анализов
ГОСТ 26670-91 Продукты пищевые. Методы культивирования микроорганизмов
ГОСТ 26929-94 Сырье и продукты пищевые. Подготовка проб. Минерализация для определения содержания токсичных элементов
ГОСТ 26930-86 Сырье и продукты пищевые. Метод определения мышьяка
ГОСТ 26932-86 Сырье и продукты пищевые. Методы определения свинца
ГОСТ 26933-86 Сырье и продукты пищевые. Методы определения кадмия
ГОСТ 27068-86 Реактивы. Натрий серноватистокислый (натрия тиосульфат) 5-водный. Технические условия
ГОСТ 27752-88 Часы электронно-механические кварцевые настольные, настенные и часы-будильники. Общие технические условия
ГОСТ 28498-90 Термометры жидкостные стеклянные. Общие технические требования. Методы испытаний
ГОСТ 29169-91 (ИСО 648-77) Посуда лабораторная стеклянная. Пипетки с одной отметкой
ГОСТ 29227-91 (ИСО 835-1-81) Посуда лабораторная стеклянная. Пипетки градуированные. Часть 1. Общие требования
ГОСТ 29251-91 (ИСО 385-1-81) Посуда лабораторная стеклянная. Бюретки. Часть 1. Общие требования
ГОСТ 30178-96 Сырье и продукты пищевые. Атомно-абсорбционный метод определения токсичных элементов
ГОСТ 30349-96 Плоды, овощи и продукты их переработки. Методы определения остаточных количеств хлорорганических пестицидов
ГОСТ 30566-98 Порошок перлитовый фильтровальный. Технические условия
ГОСТ 30710-2001 Плоды, овощи и продукты их переработки. Методы определения остаточных количеств фосфорорганических пестицидов
ГОСТ 31659-2012 (ИСО 6579-2002) Продукты пищевые. Метод выявления бактерий рода Salmonella
ГОСТ 31747-2012 Продукты пищевые. Методы выявления и определения количества бактерий группы кишечных палочек (колиформных бактерий)
ГОСТ 31904-2012 Продукты пищевые. Методы отбора проб для микробиологических испытаний
Примечание - При пользовании настоящим стандартом целесообразно проверить действие ссылочных стандартов в информационной системе общего пользования - на официальном сайте Федерального агентства по техническому регулированию и метрологии в сети Интернет или ежегодному информационному указателю "Национальные стандарты", который опубликован по состоянию на 1 января текущего года, и по выпускам ежемесячного информационного указателя "Национальные стандарты" за текущий год. Если ссылочный стандарт заменен (изменен), то при пользовании настоящим стандартом следует руководствоваться заменяющим (измененным) стандартом. Если ссылочный стандарт отменен без замены, то положение, в котором дана ссылка на него, применяется в части, не затрагивающей эту ссылку.
В настоящем стандарте применены термины по
ГОСТ 32902, а также следующий термин с соответствующим определением:
3.1 патока деминерализованная: Патока, которая подверглась процессу удаления из нее минеральных и красящих веществ, солей и протеинов.
4. Общие технические требования
Патоку вырабатывают в соответствии с требованиями настоящего стандарта с соблюдением требований, установленных в
[1].
В зависимости от углеводного состава патоку подразделяют на следующие виды:
- низкоосахаренная;
- карамельная кислотная;
- карамельная ферментативная;
- мальтозная;
- высокоосахаренная.
4.1.1 По органолептическим показателям патока должна соответствовать требованиям, указанным в таблице 1.
Таблица 1
Наименование показателя | Характеристика патоки |
Низкоосахаренной | Карамельной | Мальтозной | Высокоосахаренной |
Кислотной | Ферментативной |
Внешний вид | Густая вязкая жидкость |
Вкус и запах | Свойственный патоке, без постороннего привкуса и запаха |
Прозрачность | Прозрачная. Допускается опалесценция | Прозрачная |
Цвет | От бесцветного до бледно-желтого разных оттенков |
4.1.2 По физико-химическим показателям патока должна соответствовать требованиям и нормам, указанным в таблице 2.
Таблица 2
Наименование показателя | Норма для патоки |
Низкоосахаренной | Карамельной | Мальтозной | Высокоосахаренной |
Кислотной | Ферментативной |
Массовая доля сухого вещества, %, не менее | 78,0 |
Массовая доля редуцирующих веществ в пересчете на сухое вещество (глюкозный эквивалент), % | 26 - 35 | 36 - 44 | 36 - 44 | 38 - 70 | 45 и более |
Массовая доля отдельных углеводов (углеводный состав): | | | | | |
- глюкоза, % | Не более 15 | Не нормируются | 5 - 20 | Не более 25 | Не менее 20 |
- мальтоза, % | 5 - 20 | | 10 - 25 | 35 и более | Не нормируется |
Массовая доля общей золы в пересчете на сухое вещество, %, не более | 0,40 |
Водородный показатель, pH (кроме деминерализованных паток) | 3,5 - 6,0 |
Удельная электрическая проводимость, (для деминерализованных паток), мкСм/см или мСм/см, не более | 200 |
Кислотность - объем раствора гидроокиси натрия концентрацией 0,1 моль/дм3 (0,1 н.) на нейтрализацию кислот и кислых солей в 100 г сухого вещества патоки: | | |
- из картофельного и других видов клубневого крахмала, см3, не более | 27 | Не нормируется |
- из кукурузного и других видов зернового крахмала, см3, не более | 15 | Не нормируется |
Содержание диоксида серы (SO2), мг/кг, не более | 40 |
Температура карамельной пробы, °C | 155 | 145 | 140 | Не нормируется |
Цвет йодной пробы | Не нормируется | Желтый разных оттенков |
Наличие видимых посторонних механических примесей | Не допускается |
Примечания 1 Дополнительные требования к качеству патоки могут быть установлены в контракте с потребителем. 2 Показатель "Цвет" определяют инструментальными методами ( приложения Б, В), показатель "Мутность" определяют инструментальным методом (приложение Г). Значения показателей устанавливается в соответствии с требованиями потребителя. 3 Показатель "Массовая доля общей золы" предприятие-изготовитель контролирует периодически, но не реже одного раза в 10 дней в средней пробе патоки. 4 По требованию потребителя допускается массовая доля сухого вещества патоки менее 78%. 5 При отклонении массовой доли сухого вещества от нормированной допускается пересчет массы партии патоки на 78% сухого вещества, проводимый по ГОСТ 4680. 6 По требованию потребителя допускается массовая доля глюкозы менее 20% для патоки высокоосахаренной. 7 Показатель "Удельная электрическая проводимость" (для деминерализованных паток) определяют инструментальным методом (приложение Д). |
4.1.3 Содержание токсичных элементов и пестицидов в патоке для пищевой промышленности не должно превышать норм, установленных
[1] или нормативными правовыми актами, действующими на территории государства, принявшего стандарт.
4.1.4 Микробиологические показатели патоки для пищевой промышленности не должны превышать норм, установленных
[1] или нормативными правовыми актами, действующими на территории государства, принявшего стандарт.
4.2. Требования к сырью и вспомогательным материалам
4.2.1 Для производства патоки применяют следующие виды сырья:
- крахмал пшеничный, ячменный, ржаной, сорговый, тапиоковый и другие виды крахмала - по нормативным документам, действующим на территории государства, принявшего стандарт.
4.2.2 Для производства патоки применяют следующие виды технологических вспомогательных материалов:
- препараты ферментные амилолитического действия - по нормативным документам, действующим на территории государства, принявшего стандарт:
- альфа-амилазы разжижающего действия (бактериальные или бактериальные термостабильные);
- глюкоамилазу очищенную;
- грибную альфа-амилазу;
- растительную бета-амилазу;
- пуллуланазу.
Примечание - Допускается применение других ферментных препаратов соответствующего действия - по нормативным документам, действующим на территории государства, принявшего стандарт;
- кислоту соляную синтетическую техническую по
ГОСТ 857;
- соду кальцинированную техническую по
ГОСТ 5100;
- натр едкий технический (сода каустическая) по
ГОСТ 2263;
- гидросульфит натрия технический по ГОСТ 246;
- натрия бисульфит технический (водный раствор) по
ГОСТ 902;
- натрий сернистокислый пиро (метабисульфит натрия) - по нормативным документам, действующим на территории государства, принявшего стандарт;
- масло растительное рафинированное дезодорированное:
- кукурузное по
ГОСТ 8808, подсолнечное по
ГОСТ 1129 или другие виды пищевых растительных масел;
- материалы фильтрующие:
- кизельгур - по нормативным документам, действующим на территории государства, принявшего стандарт;
- порошок перлитовый фильтровальный по
ГОСТ 30566;
- уголь активный - по нормативным документам, действующим на территории государства, принявшего стандарт;
- уголь активный осветляющий древесный порошкообразный марки ОУ-Б по
ГОСТ 4453;
- ткань фильтровальную по ГОСТ 332;
- фильтродиагональ хлопчатобумажную - по нормативным документам, действующим на территории государства, принявшего стандарт;
- ионообменные смолы - по нормативным документам, действующим на территории государства, принявшего стандарт;
4.2.3 Сырье и технологические вспомогательные материалы, используемые для производства патоки, должны соответствовать требованиям
[1] или нормативных документов, действующих на территории государства, принявшего стандарт.
Допускается применение сырья и вспомогательных материалов, реагентов, фильтровальных порошков, осветляющих углей, фильтровальных тканей по качеству или техническим характеристикам не ниже указанных в настоящем стандарте.
4.2.4 Каждая партия сырья, поступающая для производства патоки, должна сопровождаться товаросопроводительной документацией.
4.3.1 Упаковку проводят в соответствии с требованиями, установленными
[2] или нормативными правовыми актами, действующими на территории государства, принявшего стандарт.
4.3.2 Упаковочные материалы, используемые для упаковки патоки, должны соответствовать требованиям
[2] и документов, в соответствии с которыми они изготовлены, и обеспечивать сохранность ее качества и безопасность при перевозках, хранении и реализации.
4.3.4 Предел допускаемых отрицательных отклонений содержимого нетто от номинального количества - по ГОСТ 8.579,
таблица А.2;
4.3.5 Упаковка патоки, отправляемой в районы Крайнего Севера и приравненные к ним местности, - по
ГОСТ 15846.
4.4.1 Маркировка транспортной упаковки должна соответствовать требованиям, установленным
[3] или нормативными правовыми актами, действующими на территории государства, принявшего стандарт.
4.4.2 На каждую железнодорожную цистерну масляной краской наносят трафарет с указанием вместимости котла и массы упаковки.
Для патоки, залитой в цистерну, маркировка, содержащая информацию для потребителя, в соответствии с 4.4.3 излагается в сопроводительном документе.
4.4.3 Транспортная маркировка бочек и фляг
На каждую бочку или флягу маркировку наносят непосредственно на поверхность или на ярлык, наклеиваемый на боковую поверхность или иным способом. Допускается защита ярлыка путем заклеивания его полиэтиленовой пленкой или помещения ярлыка в полиэтиленовый пакетик, прикрепленный к горловине бочки или фляги.
Маркировка должна содержать следующую информацию:
- наименование и вид патоки;
- наименование и местонахождение изготовителя;
- товарный знак изготовителя (при наличии);
- дату изготовления и дату упаковывания;
- массу нетто упаковочной единицы;
- номер бочки, фляги;
- номер партии;
- пищевую ценность;
- условия хранения;
- срок годности;
- обозначение стандарта, по которому изготовлена и может быть идентифицирована патока;
- информацию о наличии ГМО;
- информацию о подтверждении соответствия;
- штриховой код (при наличии).
Информационные сведения о пищевой ценности 100 г патоки приведены в
приложении А.
4.4.4 В соответствии с условиями контракта на маркировку допускается наносить дополнительную информацию, не противоречащую требованиям
[3].
4.4.5 Маркировка патоки, отправляемой в районы Крайнего Севера и приравненные к ним местности, - по
ГОСТ 15846.
5.1 Патоку принимают партиями. Партией считают определенное количество продукции одного наименования и вида, одинаково упакованной, произведенной одним изготовителем по одному стандарту в определенный промежуток времени, имеющее товаросопроводительную документацию, обеспечивающую прослеживаемость продукции.
По договоренности с потребителем в товаросопроводительную документацию может быть внесена дополнительная информация, не противоречащая требованиям
[3].
5.2 Проверке состояния упаковки и соответствия маркировки требованиям настоящего стандарта подлежит каждая цистерна и каждая десятая бочка или фляга.
5.3 Для определения качества патоки от партии отбирают выборку - каждую цистерну и каждую десятую бочку или флягу. Если партия состоит из десяти и менее бочек или фляг, то отбирают не менее трех единиц упаковки.
5.4 При получении неудовлетворительных результатов анализа хотя бы по одному показателю проводят повторный анализ на удвоенной выборке от той же партии. Результат повторного анализа распространяют на всю партию.
5.5 Порядок и периодичность контроля содержания токсичных элементов, пестицидов и микробиологических показателей устанавливает изготовитель в соответствии с нормативными правовыми актами, действующими на территории государства, принявшего стандарт.
6.1. Требования к условиям измерений
При подготовке и проведении анализа должны быть соблюдены следующие условия:
температура окружающего воздуха ...................................... | от 18 до 25 °C; |
относительная влажность воздуха ....................................... | от 40 до 75%. |
Помещение, в котором проводят анализ, должно быть оборудовано приточно-вытяжной вентиляцией.
6.2. Отбор и подготовка проб
6.2.1 От каждой цистерны, бочки или фляги, отобранной по
5.4, отбирают пробоотборником точечные пробы патоки.
От каждой бочки или фляги точечные пробы отбирают равными количествами.
Из цистерны точечные пробы отбирают в процессе налива или слива (в начале, в середине и в конце) или ковшом-пробоотборником, или деревянным заостренным веслом в среднем слое на глубине 50 - 70 см от верхнего уровня.
6.2.2 Отобранные точечные пробы соединяют вместе в ведре, тщательно перемешивают и составляют объединенную пробу массой не менее 2 кг. Для обеспечения хорошего перемешивания допускается подогрев патоки на водяной бане или в микроволновой печи до температуры не выше 60 °C.
Из объединенной пробы выделяют две части массой не менее 0,5 кг каждая и помещают в чистые сухие, плотно закрывающиеся стеклянные или пластиковые банки.
Банки снабжают этикетками с указанием:
- наименования предприятия-изготовителя;
- наименования продукта;
- вида патоки;
- номера накладной;
- номера цистерны, вагона или машины;
- номера партии;
- массы партии;
- даты и места отбора проб;
- фамилий и подписей, участвующих в отборе пробы;
- обозначения настоящего стандарта.
Одну из банок передают на анализ, а другую опечатывают или пломбируют и хранят в течение 1,5 мес. при комнатной температуре на случай возникновения разногласий в оценке качества патоки между потребителем и изготовителем.
6.2.3 Подготовка проб для определения токсичных элементов - по
ГОСТ 26929 или
ГОСТ 30178, для определения пестицидов - по
ГОСТ 30349 или по нормативным документам, действующим на территории государства, принявшего стандарт.
6.2.4 Отбор и подготовка проб для определения микробиологических показателей - по
ГОСТ 31904 и
ГОСТ 26669.
6.3. Метод определения вкуса и запаха
Сущность метода заключается в органолептическом определении вкуса и запаха патоки.
6.3.1 Средства измерения, посуда и вспомогательные устройства
Стакан стеклянный В-1-250 ТС или ТХС по
ГОСТ 25336.
Термометр жидкостный стеклянный, диапазон измерения от 0 до 100 °C, цена деления шкалы 1 °C по
ГОСТ 28498.
Баня водяная - по нормативным документам, действующим на территории государства, принявшего стандарт.
Допускается применение других средств измерений с метрологическими характеристиками не ниже вышеуказанных.
6.3.2 Проведение анализа
В стеклянный стакан наливают пробу патоки. Вкус и запах патоки определяют органолептически. Для получения более отчетливого запаха патоку нагревают на водяной бане до (50 - 60) °C или растворяют горячей (50 - 60) °C дистиллированной водой в соотношении 1:1.
6.4. Метод определения прозрачности, цвета патоки, наличие видимых посторонних механических примесей
Сущность метода заключается в визуальной оценке толщины слоя патоки, налитой в лабораторный стакан из бесцветного стекла.
6.4.1 Посуда
Стаканы стеклянные В-1(2)-150 ТС или ТХС с диаметром 53 мм по
ГОСТ 25336.
6.4.2 Проведение анализа
Прозрачность, цвет патоки и наличие видимых посторонних механических примесей определяют путем визуальной оценки (на уровне глаз) толщины слоя патоки, налитой в стакан из бесцветного стекла вместимостью 150 см3.
6.5. Метод определения цвета йодной пробы
Йодная проба - это тест, позволяющий визуально выявить во всех видах патоки, за исключением низкоосахаренной и карамельной кислотной, присутствие крахмала и декстринов (полимерные цепи, состоящие из более чем 45 глюкозных остатков).
6.5.1 Средства измерений, посуда, реактивы и вспомогательные устройства
Весы неавтоматического действия по
ГОСТ OIML R 76-1, обеспечивающие точность взвешивания с пределами допускаемой абсолютной погрешности +/- 0,03 г.
Термометр жидкостный стеклянный, диапазон измерения от 0 до 100 °C, цена деления шкалы 1 °C по
ГОСТ 28498.
Криостат жидкостный, обеспечивающий охлаждение до 1 - 10 °C.
Стаканы стеклянные В-1-100 ТС или ТХС по
ГОСТ 25336.
Колбы конические Кн-2-250-34 ТС или ТХС по
ГОСТ 25336.
Стандарт-титры (фиксаналы) йод 0,1 моль/дм3.
Палочки стеклянные - по нормативным документам, действующим на территории государства, принявшего стандарт.
Шпатели пластиковые - по нормативным документам, действующим на территории государства, принявшего стандарт.
Допускается применение других средств измерений с метрологическими характеристиками и оборудования с техническими характеристиками, а также реактивов по качеству не ниже вышеуказанных.
6.5.2 Подготовка к проведению анализа
Готовят 0,02 моль/дм
3 раствор йода пятикратным разбавлением дистиллированной водой 0,1 моль/дм
3 раствора йода, приготовленного из фиксанала или по
ГОСТ 25794.2.
0,02 моль/дм3 раствора йода хранят при комнатной температуре в склянке из темного стекла не более 2 сут.
6.5.3 Проведение анализа
В коническую колбу стеклянной палочкой или пластиковым шпателем помещают и взвешивают навеску патоки массой (25,0 +/- 0,1) г. Приливают (25,0 +/- 0,1) г горячей 50 - 60 °C дистиллированной воды и тщательно перемешивают до полного растворения патоки.
Раствор патоки охлаждают до температуры (5 +/- 1) °C. При постоянном перемешивании добавляют по каплям 0,02 моль/дм3 раствора йода до появления слабой желтой окраски. Затем определяют температуру раствора и при необходимости его охлаждают до (5 +/- 1) °C. Добавляют точно 1,0 см3 0,02 моль/дм3 раствора йода, перемешивают и немедленно оценивают визуально окраску раствора патоки:
- желтая - декстрины отсутствуют;
- оранжевая - присутствуют следовые количества декстринов;
- коричневая - присутствуют декстрины;
- пурпурная - присутствует значительное количество декстринов;
- зеленая - присутствуют следы крахмала;
- синяя - присутствие крахмала;
- серая или черная - присутствует ретроградированный крахмал.
6.6. Определение массовой доли сухого вещества. Рефрактометрический метод I (для карамельной кислотной и низкоосахаренной патоки)
Сущность метода заключается в определении показания массовой доли сухого вещества на рефрактометре с последующим пересчетом его в истинное значение массовой доли сухого вещества. Метод применим при показании рефрактометра 77 - 80% сухого вещества.
6.6.1 Средства измерений и вспомогательные устройства
Рефрактометр с диапазоном измерения массовой доли сухого вещества (сахарозы) в растворе от 0 до 85% и допускаемой основной погрешностью +/- 0,1%.
Термометр жидкостный стеклянный, диапазон измерения от 0 до 100 °C, цена деления шкалы 1 °C по
ГОСТ 28498.
Стаканы стеклянные В-1-50 ТС или ТХС по
ГОСТ 25336.
Палочка пластиковая - по нормативным документам, действующим на территории государства, принявшего стандарт.
Допускается применение других средств измерений с метрологическими характеристиками не ниже вышеуказанных.
6.6.2 Проведение анализа
1 - 2 капли патоки палочкой наносят на призму рефрактометра и снимают показания прибора по шкале сухих веществ в процентах.
Определение проводят при температуре патоки (20 +/- 1) °C.
При отклонении температуры от указанной к показанию рефрактометра вводится поправка по таблице 3.
Таблица 3
Температурные поправки к показаниям лабораторного
рефрактометра при отклонении от температуры 20 °C
Температура патоки, °C | Показания шкалы рефрактометра |
0 | 5 | 10 | 15 | 20 | 25 | 30 | 35 | 40 | 45 | 50 | 55 | 60 | 65 | 70 и более |
| Из показаний прибора вычесть |
10 | 0,50 | 0,54 | 0,58 | 0,61 | 0,64 | 0,66 | 0,68 | 0,70 | 0,72 | 0,73 | 0,74 | 0,75 | 0,76 | 0,78 | 0,79 |
11 | 0,46 | 0,49 | 0,53 | 0,55 | 0,58 | 0,60 | 0,62 | 0,64 | 0,65 | 0,66 | 0,67 | 0,68 | 0,69 | 0,70 | 0,71 |
12 | 0,42 | 0,45 | 0,48 | 0,50 | 0,52 | 0,54 | 0,56 | 0,57 | 0,57 | 0,59 | 0,60 | 0,61 | 0,61 | 0,63 | 0,63 |
13 | 0,37 | 0,40 | 0,42 | 0,44 | 0,46 | 0,48 | 0,49 | 0,50 | 0,51 | 0,52 | 0,53 | 0,54 | 0,54 | 0,55 | 0,55 |
14 | 0,33 | 0,35 | 0,37 | 0,39 | 0,40 | 0,41 | 0,42 | 0,43 | 0,44 | 0,45 | 0,45 | 0,46 | 0,46 | 0,47 | 0,47 |
15 | 0,27 | 0,29 | 0,31 | 0,33 | 0,34 | 0,34 | 0,35 | 0,36 | 0,37 | 0,37 | 0,38 | 0,39 | 0,39 | 0,40 | 0,40 |
16 | 0,22 | 0,24 | 0,25 | 0,26 | 0,27 | 0,28 | 0,28 | 0,29 | 0,30 | 0,30 | 0,30 | 0,31 | 0,31 | 0,32 | 0,32 |
17 | 0,17 | 0,18 | 0,19 | 0,20 | 0,21 | 0,21 | 0,21 | 0,22 | 0,22 | 0,23 | 0,23 | 0,23 | 0,23 | 0,24 | 0,24 |
18 | 0,12 | 0,13 | 0,13 | 0,14 | 0,14 | 0,14 | 0,14 | 0,15 | 0,15 | 0,15 | 0,15 | 0,16 | 0,16 | 0,16 | 0,16 |
19 | 0,06 | 0.06 | 0,06 | 0,07 | 0,07 | 0,07 | 0,07 | 0,08 | 0,08 | 0,08 | 0,08 | 0,08 | 0,08 | 0,08 | 0,08 |
| К показаниям прибора прибавить |
21 | 0,06 | 0,07 | 0,07 | 0,07 | 0,07 | 0,08 | 0,08 | 0,08 | 0,08 | 0,08 | 0,08 | 0,08 | 0,08 | 0,08 | 0,08 |
22 | 0,13 | 0,13 | 0,14 | 0,14 | 0,15 | 0,15 | 0,15 | 0,15 | 0,15 | 0,16 | 0,16 | 0,16 | 0,16 | 0,16 | 0,16 |
23 | 0,19 | 0,20 | 0,21 | 0,22 | 0,22 | 0,23 | 0,23 | 0,23 | 0,23 | 0,24 | 0,24 | 0,24 | 0,24 | 0,24 | 0,24 |
24 | 0,26 | 0,27 | 0,28 | 0,29 | 0,30 | 0,30 | 0,31 | 0,31 | 0,31 | 0,31 | 0,31 | 0,32 | 0,32 | 0,32 | 0,32 |
25 | 0,33 | 0,35 | 0,36 | 0,37 | 0,38 | 0,38 | 0,39 | 0,40 | 0,40 | 0,40 | 0,40 | 0,40 | 0,40 | 0,40 | 0,40 |
26 | 0,40 | 0,42 | 0,43 | 0,44 | 0,45 | 0,46 | 0,47 | 0,48 | 0,48 | 0,48 | 0,48 | 0,48 | 0,48 | 0,48 | 0,48 |
27 | 0,48 | 0,50 | 0,52 | 0,53 | 0,54 | 0,55 | 0,55 | 0,56 | 0,56 | 0,56 | 0,56 | 0,56 | 0,56 | 0,56 | 0,56 |
28 | 0,56 | 0,57 | 0,60 | 0,61 | 0,62 | 0,63 | 0,63 | 0,64 | 0,64 | 0,64 | 0,64 | 0,64 | 0,64 | 0,64 | 0,64 |
29 | 0,64 | 0,66 | 0,68 | 0,69 | 0,71 | 0,72 | 0,73 | 0,73 | 0,73 | 0,73 | 0,73 | 0,73 | 0,73 | 0,73 | 0,73 |
30 | 0,72 | 0,74 | 0,77 | 0,78 | 0,79 | 0,80 | 0,80 | 0,81 | 0,81 | 0,81 | 0,81 | 0,81 | 0,81 | 0,81 | 0,81 |
6.6.3 Обработка результатов измерений
Массовую долю сухого вещества патоки mс.в, %, вычисляют по формуле:
где X - показание рефрактометра при температуре (20 +/- 1) °C;
K - коэффициент пересчета показания массовой доли сухого вещества в истинное значение, находят по таблице 4 по показанию сахариметра при поляризации основного раствора патоки, приготовленного по
6.8.2.
Таблица 4
Коэффициент пересчета при рефрактометрическом определении
сухого вещества патоки по показаниям сахариметра
при поляризации основного раствора патоки
Отсчет по сахариметру, °S | Десятые доли отсчета по сахариметру |
,0 | ,1 | ,2 | ,3 | ,4 | ,5 | ,6 | ,7 | ,8 | ,9 |
55 | 0,9820 | 0,9819 | 0,9818 | 0,9817 | 0,9816 | 0,9815 | 0,9814 | 0,9813 | 0,9812 | 0,9811 |
56 | 0,9810 | 0,9809 | 0,9807 | 0,9806 | 0,9805 | 0,9804 | 0,9803 | 0,9802 | 0,9801 | 0,9800 |
57 | 0,9799 | 0,9798 | 0,9797 | 0,9796 | 0,9795 | 0,9794 | 0,9793 | 0,9792 | 0,9791 | 0,9790 |
58 | 0,9789 | 0,9788 | 0,9787 | 0,9786 | 0,9785 | 0,9784 | 0,9783 | 0,9782 | 0,9780 | 0,9779 |
59 | 0,9778 | 0,9777 | 0,9776 | 0,9775 | 0,9774 | 0,9773 | 0,9772 | 0,9771 | 0,9770 | 0,9769 |
60 | 0,9768 | 0,9767 | 0,9766 | 0,9765 | 0,9764 | 0,9763 | 0,9762 | 0,9761 | 0,9760 | 0,9759 |
61 | 0,9758 | 0,9757 | 0,9755 | 0,9754 | 0,9753 | 0,9752 | 0,9751 | 0,9750 | 0,9749 | 0,9748 |
62 | 0,9747 | 0,9746 | 0,9745 | 0,9744 | 0,9743 | 0,9742 | 0,9741 | 0,9740 | 0,9739 | 0,9738 |
63 | 0,9737 | 0,9736 | 0,9735 | 0,9734 | 0,9733 | 0,9732 | 0,9731 | 0,9729 | 0,9728 | 0,9727 |
64 | 0,9726 | 0,9725 | 0,9724 | 0,9723 | 0,9722 | 0,9721 | 0,9720 | 0,9719 | 0,9718 | 0,9717 |
65 | 0,9716 | 0,9715 | 0,9714 | 0,9713 | 0,9712 | 0,9711 | 0,9710 | 0,9709 | 0,9708 | 0,9707 |
66 | 0,9706 | 0,9705 | 0,9703 | 0,9702 | 0,9701 | 0,9700 | 0,9699 | 0,9698 | 0,9697 | 0,9696 |
67 | 0,9695 | 0,9694 | 0,9693 | 0,9692 | 0,9691 | 0,9690 | 0,9689 | 0,9688 | 0,9687 | 0,9686 |
68 | 0,9685 | 0,9684 | 0,9683 | 0,9682 | 0,9681 | 0,9680 | 0,9679 | 0,9678 | 0,9677 | 0,9676 |
69 | 0,9675 | 0,9673 | 0,9672 | 0,9671 | 0,9670 | 0,9669 | 0,9668 | 0,9667 | 0,9666 | 0,9665 |
70 | 0,9664 | 0,9663 | 0,9662 | 0,9661 | 0,9660 | 0,9659 | 0,9658 | 0,9657 | 0,9656 | 0,9655 |
71 | 0,9654 | 0,9653 | 0,9652 | 0,9650 | 0,9649 | 0,9648 | 0,9647 | 0,9646 | 0,9645 | 0,9644 |
72 | 0,9643 | 0,9642 | 0,9641 | 0,9640 | 0,9639 | 0,9638 | 0,9637 | 0,9636 | 0,9635 | 0,9634 |
73 | 0,9633 | 0,9632 | 0,9631 | 0,9630 | 0,9629 | 0,9628 | 0,9627 | 0,9625 | 0,9624 | 0,9623 |
74 | 0,9622 | 0,9621 | 0,9620 | 0,9619 | 0,9618 | 0,9617 | 0,9616 | 0,9615 | 0,9614 | 0,9613 |
75 | 0,9612 | 0,9611 | 0,9610 | 0,9609 | 0,9608 | 0,9607 | 0,9606 | 0,9605 | 0,9604 | 0,9603 |
76 | 0,9602 | 0,9601 | 0,9599 | 0,9598 | 0,9597 | 0,9596 | 0,9595 | 0,9594 | 0,9593 | 0,9592 |
77 | 0,9591 | 0,9590 | 0,9589 | 0,9588 | 0,9587 | 0,9586 | 0,9585 | 0,9584 | 0,9583 | 0,9582 |
78 | 0,9581 | 0,9580 | 0,9579 | 0,9578 | 0,9577 | 0,9576 | 0,9575 | 0,9574 | 0,9572 | 0,9571 |
79 | 0,9570 | 0,9569 | 0,9568 | 0,9567 | 0,9566 | 0,9565 | 0,9564 | 0,9563 | 0,9562 | 0,9561 |
80 | 0,9560 | 0,9559 | 0,9558 | 0,9557 | 0,9556 | 0,9555 | 0,9554 | 0,9553 | 0,9552 | 0,9551 |
81 | 0,9550 | 0,9549 | 0,9548 | 0,9546 | 0,9545 | 0,9544 | 0,4543 | 0,9542 | 0,9541 | 0,9540 |
82 | 0,9539 | 0,9538 | 0,9537 | 0,9536 | 0,9535 | 0,9534 | 0,9533 | 0,9532 | 0,9531 | 0,9530 |
83 | 0,9529 | 0,9528 | 0,9527 | 0,9526 | 0,9525 | 0,9524 | 0,9523 | 0,9521 | 0,9520 | 0,9519 |
84 | 0,9518 | 0,9517 | 0,9516 | 0,9515 | 0,9514 | 0,9513 | 0,9512 | 0,9511 | 0,9510 | 0,9509 |
Результаты вычислений записывают до второго десятичного знака с последующим округлением до первого десятичного знака.
За окончательный результат определения массовой доли сухого вещества карамельной кислотной патоки принимают среднеарифметическое значение результатов двух параллельных определений, округленное до первого десятичного знака.
Предел повторяемости (сходимости) r - абсолютное значение разности между результатами двух измерений, полученными в условиях повторяемости при P = 95%, не должен превышать 0,2%.
Предел воспроизводимости R - абсолютное значение разности между результатами двух измерений, полученными в условиях воспроизводимости при P = 95%, не должен превышать 0,5%.
Граница абсолютной погрешности метода +/- 0,3% при P = 95%.
Результат анализа в документах, предусматривающих его использование, представляют в виде:

, при
P = 0,95,
где

- среднеарифметическое значение результатов двух измерений, выполненных в условиях повторяемости, %;

- значение границ абсолютной погрешности результата анализа при
P = 0,95, %.
6.7. Определение массовой доли сухого вещества рефрактометрическим методом II (для всех видов патоки)
Сущность метода заключается в определении на рефрактометре показателя преломления патоки при определенной температуре и вычислении массовой доли сухого вещества. Метод применим при массовой доле сухого вещества 30 - 86%.
6.7.1 Средства измерений и вспомогательные устройства
Рефрактометр с диапазоном измерения показателя преломления от 1,2 до 1,7 и пределом допускаемой основной погрешности +/- 0,0001.
Термометр жидкостный стеклянный, диапазон измерения от 0 - 100 °C, цена деления шкалы 0,1 °C, с пределом допускаемой погрешности по
ГОСТ 28498.
Термостат циркуляционный, обеспечивающий поддержание постоянной температуры с погрешностью +/- 0,3 °C.
Стаканы стеклянные В-1-50 ТС или ТХС по
ГОСТ 25336.
Палочка пластиковая - по нормативным документам, действующим на территории государства, принявшего стандарт.
Допускается применение других средств измерений с метрологическими характеристиками и оборудования с техническими характеристиками не ниже вышеуказанных.
6.7.2 Подготовка к проведению анализа
Перед проведением анализа необходимо отрегулировать циркуляцию воды, поступающую в призмы прибора от термостата, на заданную температуру (20,0 +/- 0,3) или (45,0 +/- 0,3) °C. Призма рефрактометра должна прогреться в течение 30 - 40 мин. Проверяют исправность рефрактометра по дистиллированной воде. Показатель преломления дистиллированной воды при 20 °C равен 1,3330, а при 45 °C - 1,3298.
Температура пробы анализируемой патоки должна быть близкой к заданной температуре проведения измерения.
6.7.3 Проведение анализа
С помощью пластиковой палочки наносят небольшое количество (2 - 4 капли) патоки на измерительную призму рефрактометра и немедленно закрывают осветительной подвижной призмой.
Проводят измерение показателя преломления согласно инструкции по эксплуатации рефрактометра.
Проводят два параллельных анализа.
6.7.4 Обработка результатов
По показателю преломления определяют массовую долю сухого вещества, используя
формулы 2 -
13 или
таблицы 5 -
10.
Результаты вычислений записывают до второго десятичного знака.
За окончательный результат определения массовой доли сухого вещества патоки принимают среднеарифметическое значение результатов двух параллельных определений, округленное до первого десятичного знака.
Предел повторяемости (сходимости) r - абсолютное значение разности между результатами двух измерений, полученными в условиях повторяемости при P = 95%, не должен превышать 0,2%.
Предел воспроизводимости R - абсолютное значение разности между результатами двух измерений, полученными в условиях воспроизводимости при P = 95%, не должен превышать 0,5%.
Граница абсолютной погрешности метода +/- 0,3% при P = 95%.
Результат анализа в документах, предусматривающих его использование, представляют в виде:

, при
P = 0,95,
где

- среднеарифметическое значение результатов двух измерений, выполненных в условиях повторяемости, %;

- значение границ абсолютной погрешности результата анализа при
P = 0,95, %.
6.7.4.1 Пересчет показателя преломления в массовую долю сухого вещества для низкоосахаренной патоки проводят по формулам 2 или
3 или по
таблице 5.
mс.в = 9692,21061(
n45) - 5733,54011(
n45)
2 +
+ 1165,08884(n45)3 - 5487,53401, (2)
где n45 - показатель преломления при температуре 45 °C.
mс.в = 7099,17068(
n20) - 3981,82796(
n20)
2 +
+ 771,13673(n20)3 - 4211,57674, (3)
где n20 - показатель преломления при температуре 20 °C.
Массовая доля сухого вещества, % | Показатель преломления при t = 20 °C | Показатель преломления при t = 45 °C |
60,0 | 1,4468 | 1,4421 |
60,5 | 1,4480 | 1,4432 |
61,0 | 1,4492 | 1,4444 |
61,5 | 1,4504 | 1,4456 |
62,0 | 1,4516 | 1,4468 |
62,5 | 1,4528 | 1,4480 |
63,0 | 1,4540 | 1,4492 |
63,5 | 1,4553 | 1,4504 |
64,0 | 1,4565 | 1,4516 |
64,5 | 1,4577 | 1,4528 |
65,0 | 1,4589 | 1,4541 |
65,5 | 1,4602 | 1,4553 |
66,0 | 1,4614 | 1,4565 |
66,5 | 1,4627 | 1,4578 |
67,0 | 1,4639 | 1,4590 |
67,5 | 1,4652 | 1,4602 |
68,0 | 1,4664 | 1,4615 |
68,5 | 1,4677 | 1,4627 |
69,0 | 1,4690 | 1,4640 |
69,5 | 1,4702 | 1,4653 |
70,0 | 1,4715 | 1,4665 |
70,5 | 1,4728 | 1,4678 |
71,0 | 1,4741 | 1,4691 |
71,5 | 1,4754 | 1,4704 |
72,0 | 1,4767 | 1,4717 |
72,5 | 1,4780 | 1,4730 |
73,0 | 1,4793 | 1,4743 |
73,5 | 1,4806 | 1,4756 |
74,0 | 1,4819 | 1,4769 |
74,5 | 1,4833 | 1,4782 |
75,0 | 1,4846 | 1,4795 |
75,5 | 1,4859 | 1,4809 |
76,0 | 1,4873 | 1,4822 |
76,5 | 1,4886 | 1,4835 |
77,0 | 1,4900 | 1,4849 |
77,5 | 1,4913 | 1,4862 |
78,0 | 1,4927 | 1,4876 |
78,5 | 1,4940 | 1,4889 |
79,0 | 1,4954 | 1,4903 |
79,5 | 1,4968 | 1,4917 |
80,0 | 1,4982 | 1,4930 |
80,5 | 1,4996 | 1,4944 |
81,0 | 1,5010 | 1,4958 |
81,5 | 1,5024 | 1,4972 |
82,0 | 1,5038 | 1,4986 |
82,5 | 1,5052 | 1,5000 |
83,0 | 1,5066 | 1,5014 |
83,5 | 1,5080 | 1,5028 |
84,0 | 1,5094 | 1,5042 |
84,5 | 1,5109 | 1,5057 |
85,0 | 1,5123 | 1,5071 |
85,5 | 1,5138 | 1,5085 |
86,0 | 1,5152 | 1,5100 |
86,5 | 1,5167 | 1,5114 |
6.7.4.2 Пересчет показателя преломления в массовую долю сухого вещества для карамельной патоки проводят по формулам 4 или
5 или по
таблице 6.
mс.в = 12180,9807(n45) - 7416,66925(n45)2 +
+ 1544,80536(n45)3 - 6714,68990, (4)
где n45 - показатель преломления при температуре 45 °C.
mс.в = 9664,13632(
n20) - 5715,00781(
n20)
2 +
+ 1161,84913(n20)3 - 5477,53928, (5)
где n20 - показатель преломления при температуре 20 °C.
Массовая доля сухого вещества, % | Показатель преломления при t = 20 °C | Показатель преломления при t = 45 °C |
60,0 | 1,4460 | 1,4412 |
60,5 | 1,4472 | 1,4424 |
61,0 | 1,4484 | 1,4436 |
61,5 | 1,4495 | 1,4448 |
62,0 | 1,4507 | 1,4459 |
62,5 | 1,4519 | 1,4471 |
63,0 | 1,4531 | 1,4483 |
63,5 | 1,4543 | 1,4495 |
64,0 | 1,4556 | 1,4507 |
64,5 | 1,4568 | 1,4519 |
65,0 | 1,4580 | 1,4531 |
65,5 | 1,4592 | 1,4543 |
66,0 | 1,4604 | 1,4556 |
66,5 | 1,4617 | 1,4568 |
67,0 | 1,4629 | 1,4580 |
67,5 | 1,4642 | 1,4592 |
68,0 | 1,4654 | 1,4605 |
68,5 | 1,4667 | 1,4617 |
69,0 | 1,4679 | 1,4630 |
69,5 | 1,4692 | 1,4642 |
70,0 | 1,4704 | 1,4655 |
70,5 | 1,4717 | 1,4668 |
71,0 | 1,4730 | 1,4680 |
71,5 | 1,4743 | 1,4693 |
72,0 | 1,4756 | 1,4706 |
72,5 | 1,4769 | 1,4719 |
73,0 | 1,4782 | 1,4731 |
73,5 | 1,4795 | 1,4744 |
74,0 | 1,4808 | 1,4757 |
74,5 | 1,4821 | 1,4770 |
75,0 | 1,4834 | 1,4783 |
75,5 | 1,4847 | 1,4797 |
76,0 | 1,4860 | 1,4809 |
76,5 | 1,4874 | 1,4823 |
77,0 | 1,4887 | 1,4836 |
77,5 | 1,4901 | 1,4850 |
78,0 | 1,4914 | 1,4863 |
78,5 | 1,4928 | 1,4877 |
79,0 | 1,4941 | 1,4890 |
79,5 | 1,4955 | 1,4904 |
80,0 | 1,4969 | 1,4917 |
80,5 | 1,4982 | 1,4931 |
81,0 | 1,4996 | 1,4945 |
81,5 | 1,5010 | 1,4958 |
82,0 | 1,5024 | 1,4972 |
82,5 | 1,5038 | 1,4986 |
83,0 | 1,5052 | 1,5000 |
83,5 | 1,5066 | 1,5014 |
84,0 | 1,5080 | 1,5028 |
84,5 | 1,5094 | 1,5042 |
85,0 | 1,5108 | 1,5056 |
85,5 | 1,5123 | 1,5070 |
86,0 | 1,5137 | 1,5085 |
86,5 | 1,5151 | 1,5099 |
6.7.4.3 Пересчет показателя преломления в массовую долю сухого вещества для мальтозной патоки проводят по формулам 6 или
7 или по
таблице 7.
mс.в = 13108,53952(n45) - 8051,61253(n45)2 +
+ 1690,50732(n45)3 - 7168,19292, (6)
где n45 - показатель преломления при температуре 45 °C.
mс.в = 11360,12303(
n20) - 6850,68539(
n20)
2 +
+ 1416,10978(n20)3 - 6323,44468, (7)
где n20 - показатель преломления при температуре 20 °C.
Массовая доля сухого вещества, % | Показатель преломления при t = 20 °C | Показатель преломления при t = 45 °C |
60,0 | 1,4445 | 1,4398 |
60,5 | 1,4457 | 1,4409 |
61,0 | 1,4468 | 1,4421 |
61,5 | 1,4480 | 1,4432 |
62,0 | 1,4492 | 1,4444 |
62,5 | 1,4503 | 1,4455 |
63,0 | 1,4515 | 1,4467 |
63,5 | 1,4527 | 1,4479 |
64,0 | 1,4539 | 1,4491 |
64,5 | 1,4551 | 1,4503 |
65,0 | 1,4563 | 1,4514 |
65,5 | 1,4575 | 1,4526 |
66,0 | 1,4587 | 1,4538 |
66,5 | 1,4599 | 1,4550 |
67,0 | 1,4611 | 1,4562 |
67,5 | 1,4623 | 1,4574 |
68,0 | 1,4636 | 1,4587 |
68,5 | 1,4648 | 1,4599 |
69,0 | 1,4660 | 1,4611 |
69,5 | 1,4673 | 1,4623 |
70,0 | 1,4685 | 1,4636 |
70,5 | 1,4698 | 1,4648 |
71,0 | 1,4710 | 1,4661 |
71,5 | 1,4723 | 1,4673 |
72,0 | 1,4735 | 1,4686 |
72,5 | 1,4748 | 1,4698 |
73,0 | 1,4761 | 1,4711 |
73,5 | 1,4773 | 1,4723 |
74,0 | 1,4786 | 1,4736 |
74,5 | 1,4799 | 1,4749 |
75,0 | 1,4812 | 1,4762 |
75,5 | 1,4825 | 1,4775 |
76,0 | 1,4838 | 1,4788 |
76,5 | 1,4851 | 1,4800 |
77,0 | 1,4864 | 1,4813 |
77,5 | 1,4877 | 1,4827 |
78,0 | 1,4891 | 1,4840 |
78,5 | 1,4904 | 1,4853 |
79,0 | 1,4917 | 1,4866 |
79,5 | 1,4930 | 1,4879 |
80,0 | 1,4944 | 1,4893 |
80,5 | 1,4957 | 1,4906 |
81,0 | 1,4971 | 1,4919 |
81,5 | 1,4984 | 1,4933 |
82,0 | 1,4998 | 1,4946 |
82,5 | 1,5012 | 1,4960 |
83,0 | 1,5025 | 1,4974 |
83,5 | 1,5039 | 1,4987 |
84,0 | 1,5053 | 1,5001 |
84,5 | 1,5067 | 1,5015 |
85,0 | 1,5081 | 1,5029 |
85,5 | 1,5095 | 1,5043 |
86,0 | 1,5109 | 1,5057 |
86,5 | 1,5123 | 1,5071 |
6.7.4.4 Пересчет показателя преломления в массовую долю сухого вещества для высокомальтозной патоки (мальтозы более 65%) проводят по формулам 8 или
9 или по
таблице 8.
mс.в = 13189,64439(n45) - 8114,09605(n45)2 +
+ 1706,22472(n45)3 - 7202,46162, (8)
где n45 - показатель преломления при температуре 45 °C.
mс.в = 12257,41031(
n20) - 7473,1246(
n20)
2 +
+ 1559,81816(n20)3 - 6754,06477, (9)
где n20 - показатель преломления при температуре 20 °C.
Массовая доля сухого вещества, % | Показатель преломления при t = 20 °C | Показатель преломления при t = 45 °C |
60,0 | 1,4448 | 1,4400 |
60,5 | 1,4459 | 1,4412 |
61,0 | 1,4471 | 1,4423 |
61,5 | 1,4483 | 1,4435 |
62,0 | 1,4495 | 1,4447 |
62,5 | 1,4506 | 1,4458 |
63,0 | 1,4518 | 1,4470 |
63,5 | 1,4530 | 1,4482 |
64,0 | 1,4542 | 1,4494 |
64,5 | 1,4554 | 1,4505 |
65,0 | 1,4566 | 1,4517 |
65,5 | 1,4578 | 1,4529 |
66,0 | 1,4590 | 1,4541 |
66,5 | 1,4602 | 1,4553 |
67,0 | 1,4614 | 1,4565 |
67,5 | 1,4627 | 1,4578 |
68,0 | 1,4639 | 1,4590 |
68,5 | 1,4651 | 1,4602 |
69,0 | 1,4664 | 1,4614 |
69,5 | 1,4676 | 1,4627 |
70,0 | 1,4689 | 1,4639 |
70,5 | 1,4701 | 1,4651 |
71,0 | 1,4714 | 1,4664 |
71,5 | 1,4726 | 1,4676 |
72,0 | 1,4739 | 1,4689 |
72,5 | 1,4752 | 1,4702 |
73,0 | 1,4764 | 1,4714 |
73,5 | 1,4777 | 1,4727 |
74,0 | 1,4790 | 1,4740 |
74,5 | 1,4803 | 1,4753 |
75,0 | 1,4816 | 1,4766 |
75,5 | 1,4829 | 1,4778 |
76,0 | 1,4842 | 1,4791 |
76,5 | 1,4855 | 1,4804 |
77,0 | 1,4868 | 1,4818 |
77,5 | 1,4881 | 1,4831 |
78,0 | 1,4895 | 1,4844 |
78,5 | 1,4908 | 1,4857 |
79,0 | 1,4921 | 1,4870 |
79,5 | 1,4935 | 1,4884 |
80,0 | 1,4948 | 1,4897 |
80,5 | 1,4962 | 1,4910 |
81,0 | 1,4975 | 1,4924 |
81,5 | 1,4989 | 1,4937 |
82,0 | 1,5003 | 1,4951 |
82,5 | 1,5016 | 1,4965 |
83,0 | 1,5030 | 1,4978 |
83,5 | 1,5044 | 1,4992 |
84,0 | 1,5058 | 1,5006 |
84,5 | 1,5072 | 1,5020 |
85,0 | 1,5086 | 1,5034 |
85,5 | 1,5099 | 1,5047 |
86,0 | 1,5113 | 1,5061 |
86,5 | 1,5127 | 1,5075 |
6.7.4.5 Пересчет показателя преломления в массовую долю сухого вещества для высокоосахаренной патоки (массовая доля редуцирующих веществ 45 - 80% проводят по формулам 10 или
11 или по
таблице 9.
mс.в = 12538,45113(n45) - 7649,53943(n45)2 +
+ 1596,7363(n45)3 - 6900,45865, (10)
где n45 - показатель преломления при температуре 45 °C.
mс.в = 12142,56976(
n20) - 7382,65666(
n20)
2 +
+ 1537,39284(n20)3 - 6708,65609, (11)
где n20 - показатель преломления при температуре 20 °C.
Массовая доля сухого вещества, % | Показатель преломления при t = 20 °C | Показатель преломления при t = 45 °C |
60,0 | 1,4432 | 1,4385 |
60,5 | 1,4443 | 1,4397 |
61,0 | 1,4455 | 1,4408 |
61,5 | 1,4466 | 1,4419 |
62,0 | 1,4478 | 1,4431 |
62,5 | 1,4489 | 1,4442 |
63,0 | 1,4501 | 1,4454 |
63,5 | 1,4513 | 1,4466 |
64,0 | 1,4524 | 1,4477 |
64,5 | 1,4536 | 1,4489 |
65,0 | 1,4548 | 1,4500 |
65,5 | 1,4560 | 1,4512 |
66,0 | 1,4572 | 1,4524 |
66,5 | 1,4583 | 1,4536 |
67,0 | 1,4595 | 1,4548 |
67,5 | 1,4607 | 1,4560 |
68,0 | 1,4619 | 1,4572 |
68,5 | 1,4632 | 1,4584 |
69,0 | 1,4644 | 1,4596 |
69,5 | 1,4656 | 1,4608 |
70,0 | 1,4668 | 1,4620 |
70,5 | 1,4680 | 1,4632 |
71,0 | 1,4693 | 1,4644 |
71,5 | 1,4705 | 1,4657 |
72,0 | 1,4717 | 1,4669 |
72,5 | 1,4730 | 1,4681 |
73,0 | 1,4742 | 1,4694 |
73,5 | 1,4755 | 1,4706 |
74,0 | 1,4767 | 1,4719 |
74,5 | 1,4780 | 1,4731 |
75,0 | 1,4793 | 1,4744 |
75,5 | 1,4805 | 1,4757 |
76,0 | 1,4818 | 1,4769 |
76,5 | 1,4831 | 1,4782 |
77,0 | 1,4844 | 1,4795 |
77,5 | 1,4857 | 1,4808 |
78,0 | 1,4870 | 1,4821 |
78,5 | 1,4883 | 1,4834 |
79,0 | 1,4896 | 1,4847 |
79,5 | 1,4909 | 1,4860 |
80,0 | 1,4922 | 1,4873 |
80,5 | 1,4935 | 1,4886 |
81,0 | 1,4949 | 1,4899 |
81,5 | 1,4962 | 1,4913 |
82,0 | 1,4975 | 1,4926 |
82,5 | 1,4989 | 1,4939 |
83,0 | 1,5002 | 1,4953 |
83,5 | 1,5016 | 1,4966 |
84,0 | 1,5029 | 1,4980 |
84,5 | 1,5043 | 1,4993 |
85,0 | 1,5056 | 1,5007 |
85,5 | 1,5070 | 1,5020 |
86,0 | 1,5084 | 1,5034 |
86,5 | 1,5098 | 1,5048 |
6.7.4.6 Пересчет показателя преломления в массовую долю сухого вещества для высокоосахаренной патоки (массовая доля редуцирующих веществ более 80%) проводят по формулам 12 или
13 или по
таблице 10.
mс.в = 13933,92493(n45) - 8605,7152(n45)2 +
+ 1817,46278(n45)3 - 7584,60894, (12)
где n45 - показатель преломления при температуре 45 °C.
mс.в = 13336,87823(
n20) - 8195,0924(
n20)
2 +
+ 1723,81974(n20)3 - 7298,85215, (13)
где n20 - показатель преломления при температуре 20 °C.
Массовая доля сухого вещества, % | Показатель преломления при t = 20 °C | Показатель преломления при t = 45 °C |
60,0 | 1,4396 | 1,4350 |
60,5 | 1,4407 | 1,4361 |
61,0 | 1,4417 | 1,4372 |
61,5 | 1,4428 | 1,4383 |
62,0 | 1,4439 | 1,4393 |
62,5 | 1,4450 | 1,4404 |
63,0 | 1,4462 | 1,4415 |
63,5 | 1,4473 | 1,4427 |
64,0 | 1,4484 | 1,4438 |
64,5 | 1,4495 | 1,4449 |
65,0 | 1,4506 | 1,4460 |
65,5 | 1,4518 | 1,4471 |
66,0 | 1,4529 | 1,4482 |
66,5 | 1,4540 | 1,4494 |
67,0 | 1,4552 | 1,4505 |
67,5 | 1,4563 | 1,4516 |
68,0 | 1,4575 | 1,4528 |
68,5 | 1,4586 | 1,4539 |
69,0 | 1,4598 | 1,4551 |
69,5 | 1,4609 | 1,4562 |
70,0 | 1,4621 | 1,4574 |
70,5 | 1,4933 | 1,4585 |
71,0 | 1,4644 | 1,4597 |
71,5 | 1,4656 | 1,4609 |
72,0 | 1,4668 | 1,4621 |
72,5 | 1,4680 | 1,4632 |
73,0 | 1,4692 | 1,4644 |
73,5 | 1,4704 | 1,4656 |
74,0 | 1,4716 | 1,4668 |
74,5 | 1,4728 | 1,4680 |
75,0 | 1,4740 | 1,4692 |
75,5 | 1,4752 | 1,4704 |
76,0 | 1,4764 | 1,4716 |
76,5 | 1,4776 | 1,4728 |
77,0 | 1,4788 | 1,4740 |
77,5 | 1,4801 | 1,4753 |
78,0 | 1,4813 | 1,4765 |
78,5 | 1,4825 | 1,4777 |
79,0 | 1,4838 | 1,4789 |
79,5 | 1,4850 | 1,4802 |
80,0 | 1,4863 | 1,4814 |
80,5 | 1,4875 | 1,4827 |
81,0 | 1,4888 | 1,4839 |
81,5 | 1,4900 | 1,4852 |
82,0 | 1,4913 | 1,4864 |
82,5 | 1,4926 | 1,4877 |
83,0 | 1,4938 | 1,4888 |
83,5 | 1,4951 | 1,4901 |
84,0 | 1,4964 | 1,4914 |
84,5 | 1,4977 | 1,4927 |
85,0 | 1,4990 | 1,4939 |
6.8. Определение массовой доли редуцирующих веществ. Поляриметрический метод (для карамельной кислотной и низкоосахаренной патоки)
Сущность метода заключается в определении удельного вращения (поляризации основного раствора патоки) с последующим переводом значений показаний сахариметра в массовую долю редуцирующих веществ в пересчете на сухое вещество патоки.
6.8.1 Средства измерений и вспомогательные устройства
Весы неавтоматического действия по
ГОСТ OIML R 76-1, обеспечивающие точность взвешивания с пределами допускаемой абсолютной погрешности +/- 0,03 г.
Сахариметр-поляриметр универсальный, диапазон измерений от минус 40 до плюс 120 °S и пределом допускаемой основной погрешности +/- 0,05 °S.
Стаканы стеклянные В-1-100 ТС или ТХС по
ГОСТ 25336.
Палочка стеклянная с оплавленным концом - по нормативным документам, действующим на территории государства, принявшего стандарт.
Термометр жидкостный стеклянный, диапазон измерения от 0 до 100 °C, цена деления шкалы 1 °C по
ГОСТ 28498.
Допускается применение других средств измерений с метрологическими характеристиками не ниже вышеуказанных.
6.8.2 Подготовка к проведению анализа
Приготовление основного раствора патоки.
В стеклянном стакане взвешивают навеску патоки массой (50,0 +/- 0,1) г и количественно переносят горячей дистиллированной водой 50 - 60 °C в мерную колбу вместимостью 250 см3. После охлаждения раствора до 20 °C объем его доводят водой до метки и тщательно перемешивают.
Основной раствор патоки фильтруют через бумажный складчатый фильтр. Фильтрат основного раствора поляризуют в трубке длиной 100 мм. Отсчет по шкале сахариметра для каждой из двух проб фильтрата проводят три раза и вычисляют среднеарифметическое значение показаний прибора для каждой пробы (°S0).
6.8.4 Обработка результатов
Массовую долю редуцирующих веществ патоки mр.в в пересчете на сухое вещество в процентах находят по величине (°S), используя данные таблицы 11.
Таблица 11
Массовая доля редуцирующих веществ патоки, вычисленная
по показаниям сахариметра при поляризации основного раствора
патоки в пересчете на сухое вещество
Показания сахариметра в пересчете на сухое вещество патоки, в сахарных градусах, °S | Десятые доли показаний сахариметра, °S |
,0 | ,1 | ,2 | ,3 | ,4 | ,5 | ,6 | ,7 | ,8 | ,9 |
67 | 60,47 | 60,37 | 60,27 | 60,17 | 60,07 | 59,97 | 59,87 | 59,77 | 59,67 | 59,56 |
68 | 59,46 | 59,36 | 59,25 | 59,15 | 59,05 | 58,95 | 58,84 | 58,74 | 58,64 | 58,53 |
69 | 58,43 | 58,33 | 58,22 | 58,12 | 58,02 | 57,92 | 57,82 | 57,72 | 57,62 | 57,52 |
70 | 57,42 | 57,32 | 57,21 | 57,11 | 57,01 | 56,91 | 56,80 | 56,70 | 56,60 | 56,49 |
71 | 56,39 | 56,29 | 56,18 | 56,08 | 55,98 | 55,87 | 55,77 | 55,67 | 55,58 | 55,46 |
72 | 55,36 | 55,25 | 55,15 | 55,05 | 54,95 | 54,84 | 54,74 | 54,63 | 54,54 | 54,43 |
73 | 54,33 | 54,22 | 54,12 | 54,02 | 53,91 | 53,81 | 53,72 | 53,61 | 53,50 | 53,40 |
74 | 53,30 | 53,19 | 53,09 | 52,99 | 52,88 | 52,78 | 52,68 | 52,58 | 52,47 | 52,37 |
75 | 52,27 | 52,16 | 52,06 | 51,96 | 51,85 | 51,75 | 51,65 | 51,55 | 51,44 | 51,34 |
76 | 51,23 | 51,13 | 51,03 | 50,96 | 50,88 | 50,72 | 50,62 | 50,52 | 50,41 | 50,31 |
77 | 50,20 | 50,10 | 50,00 | 49,89 | 49,79 | 49,69 | 49,58 | 49,48 | 49,38 | 49,27 |
78 | 49,17 | 49,07 | 48,97 | 48,86 | 48,76 | 48,66 | 48,55 | 48,45 | 48,35 | 48,24 |
79 | 48,14 | 48,04 | 47,94 | 47,83 | 47,74 | 47,63 | 47,52 | 47,42 | 47,32 | 47,21 |
80 | 47,11 | 47,01 | 46,91 | 46,80 | 46,70 | 46,60 | 46,49 | 46,39 | 46,29 | 46,18 |
81 | 46,08 | 45,98 | 45,88 | 45,77 | 45,67 | 45,57 | 45,47 | 45,36 | 45,26 | 45,15 |
82 | 45,05 | 44,95 | 44,85 | 44,74 | 44,64 | 44,54 | 44,43 | 44,33 | 44,23 | 44,12 |
83 | 44,02 | 43,92 | 43,82 | 43,71 | 43,61 | 43,51 | 43,40 | 43,30 | 43,20 | 43,09 |
84 | 42,99 | 42,89 | 42,79 | 42,68 | 42,58 | 42,48 | 42,37 | 42,27 | 42,17 | 42,06 |
85 | 41,96 | 41,86 | 41,76 | 41,65 | 41,55 | 41,45 | 41,34 | 41,24 | 41,17 | 41,03 |
86 | 40,92 | 40,82 | 40,72 | 40,61 | 40,51 | 40,41 | 40,30 | 40,20 | 40,10 | 39,99 |
87 | 39,89 | 39,79 | 39,69 | 39,58 | 39,48 | 39,37 | 39,26 | 39,16 | 39,06 | 38,96 |
88 | 38,86 | 38,75 | 38,65 | 38,54 | 38,44 | 38,34 | 38,23 | 38,13 | 38,03 | 37,93 |
89 | 37,83 | 37,73 | 37,62 | 37,52 | 37,42 | 37,31 | 37,21 | 37,11 | 37,00 | 36,90 |
90 | 36,80 | 36,70 | 36,60 | 36,49 | 36,39 | 36,29 | 36,19 | 36,08 | 35,98 | 35,87 |
91 | 35,77 | 35,67 | 35,57 | 35,46 | 35,36 | 35,26 | 35,15 | 35,05 | 34,95 | 34,84 |
92 | 34,74 | 34,64 | 34,54 | 34,43 | 34,33 | 34,23 | 34,12 | 34,02 | 33,92 | 33,81 |
93 | 33,71 | 33,61 | 33,51 | 33,40 | 33,30 | 33,20 | 33,10 | 33,00 | 32,89 | 32,79 |
94 | 32,68 | 32,58 | 32,48 | 32,37 | 32,27 | 32,17 | 32,06 | 31,96 | 31,86 | 31,75 |
95 | 31,65 | 31,55 | 31,45 | 31,34 | 31,24 | 31,14 | 31,03 | 30,93 | 30,82 | 30,74 |
96 | 30,61 | 30,51 | 30,41 | 30,30 | 30,20 | 30,10 | 30,00 | 29,89 | 29,79 | 29,69 |
97 | 29,58 | 29,49 | 29,38 | 29,27 | 29,17 | 29,07 | 28,96 | 28,86 | 28,76 | 28,65 |
98 | 28,55 | 28,45 | 28,35 | 28,24 | 28,14 | 28,04 | 27,93 | 27,83 | 27,73 | 27,62 |
99 | 27,52 | 27,42 | 27,32 | 27,21 | 27,11 | 27,00 | 26,90 | 26,80 | 26,70 | 26,59 |
100 | 26,49 | 26,38 | 26,28 | 26,17 | 26,07 | 25,97 | 25,86 | 25,76 | 25,66 | 25,55 |
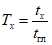
Показания сахариметра (°S) в пересчете на сухие вещества патоки вычисляют по формуле:

, (14)
где °
S0 - среднеарифметическое значение по
6.8.3, °
S;
mс.в - массовая доля сухого вещества патоки, %;
100 - коэффициент пересчета массовой доли сухих веществ патоки в проценты.
Результаты вычислений записывают до первого десятичного знака с последующим округлением до целого числа.
За окончательный результат определения массовой доли редуцирующих веществ патоки принимают среднеарифметическое значение результатов двух параллельных определений, округленное до целого числа.
Предел повторяемости (сходимости) r - абсолютное значение разности между результатами двух измерений, полученными в условиях повторяемости при P = 95%, не должен превышать 0,5%.
Предел воспроизводимости R - абсолютное значение разности между результатами двух измерений, полученными в условиях воспроизводимости при P = 95%, не должен превышать 1,0%.
Граница абсолютной погрешности метода +/- 0,5% при P = 95%.
Результат анализа в документах, предусматривающих его использование, представляют в виде:

, при
P = 0,95,
где

- среднеарифметическое значение результатов двух измерений, выполненных в условиях повторяемости, %;

- значение границ абсолютной погрешности результата анализа при
P = 0,95, %.
6.9. Определение массовой доли редуцирующих веществ методом Лейна - Эйнона (для всех видов патоки)
Сущность метода заключается в сравнении восстанавливающей способности раствора патоки с восстанавливающей способностью глюкозы по смеси растворов Фелинга в присутствии индикатора метиленового синего.
6.9.1 Средства измерений, посуда, вспомогательные устройства и реактивы
Весы неавтоматического действия по
ГОСТ OIML R 76-1, обеспечивающие точность взвешивания с пределами допускаемой абсолютной погрешности +/- 0,03 г, +/- 0,003 г и +/- 0,0003 г.
Электроплитка бытовая по
ГОСТ 14919 или газовая горелка.
Термометр жидкостный стеклянный, диапазон измерения от 0 до 100 °C, цена деления шкалы 1 °C по
ГОСТ 28498.
Секундомер механический однострелочный с ценой деления шкалы 0,2 с с погрешностью за 60 мин. +/- 1,6 с.
Мешалки лабораторные или мешалки магнитные.
Стаканы стеклянные В-1-50, В-1-100 и В-1-250 ТХС по
ГОСТ 25336.
Щипцы металлические для зажима колбы - по нормативным документам, действующим на территории государства, принявшего стандарт.
Пипетка 2-2-25 по
ГОСТ 29169 или пипетка автоматическая вместимостью 25 см
3.
Цилиндры мерные 1(3)-100-2 и 1(3)-250-2 по
ГОСТ 1770.
Калий-натрий виннокислый 4-водный по
ГОСТ 5845, ч.д.а.
D-глюкоза по
ГОСТ 6038, ч.д.а. или глюкоза кристаллическая гидратная перекристаллизованная по
ГОСТ 975.
Метиленовый синий 1-процентный водный раствор.
Титратор автоматический с редоксиметрическим или пульс-амперометрическим электродом, имеющий диапазон измерения +/- 2000 мВ и предел допускаемой основной абсолютной погрешности +/- 0,2 мВ.
Допускается применение других средств измерений с метрологическими характеристиками, а также реактивов по качеству не ниже вышеуказанных.
6.9.2 Приготовление растворов
Раствор Фелинга I
В стеклянном стакане взвешивают навеску перекристаллизованной сернокислой меди массой (34,64 +/- 0,01) г, растворяют в дистиллированной воде, количественно переносят в мерную колбу вместимостью 500 см3 тщательно перемешивают и при температуре раствора 20 °C доводят его объем дистиллированной водой до метки. Раствор Фелинга I хранят в стеклянном флаконе не более 6 мес.
Раствор Фелинга II
В стеклянном стакане взвешивают навеску виннокислого калия-натрия массой (173,0 +/- 0,1) г и растворяют в дистиллированной воде. Также взвешивают навеску гидроокиси натрия массой (50,0 +/- 0,1) г и отдельно растворяют в 100 см3 дистиллированной воды. Оба раствора количественно переносят в мерную колбу вместимостью 500 см3, тщательно перемешивают и при температуре раствора 20 °C доводят его объем дистиллированной водой до метки. Раствор Фелинга II хранят в полимерном флаконе не более 3 мес.
Смесь растворов Фелинга I и Фелинга II
Растворы Фелинга I и II соединяют в соотношении 1:1 и тщательно перемешивают. Смесь растворов Фелинга хранят в полимерном флаконе при комнатной температуре не более одной недели.
Стандартный раствор глюкозы
В стеклянном стакане взвешивают навеску абсолютно сухой глюкозы массой (5,000 +/- 0,001) г, растворяют в дистиллированной воде, количественно переносят в мерную колбу вместимостью 500 см3, тщательно перемешивают и при температуре раствора 20 °C доводят его объем дистиллированной водой до метки. Раствор хранят при комнатной температуре не более двух суток или в замороженном состоянии не более одного года.
6.9.3 Подготовка к проведению анализа
Определение фактора растворов Фелинга
Фактором растворов Фелинга называют число, соответствующее объему в кубических сантиметрах стандартного раствора глюкозы, затраченному на титрование 25 см3 смеси растворов Фелинга.
Предварительное титрование
В плоскодонную колбу вместимостью 250 см3 пипеткой вносят 25 см3 смеси капель растворов Фелинга, перемешивают на магнитной мешалке или вручную. Смесь доводят до кипения на электрической плитке или на пламени газовой горелки, кипятят 2 мин. и из бюретки вносят чуть меньше, чем примерное (расчетное) количество стандартного раствора глюкозы. Содержимое колбы снова нагревают до кипения при постоянном перемешивании путем вращательного движения колбы. Раствор кипятят 2 мин., затем быстро добавляют 2 - 4 капли раствора метиленовой сини, а из бюретки, установленной над колбой, быстро дотитровывают по каплям до перехода окраски индикатора из синей в красно-коричневую. Отмечают объем, пошедший на титрование.
Окончательное титрование
В плоскодонную колбу вместимостью 250 см3 пипеткой вносят 25 см3 смеси растворов Фелинга, перемешивают на магнитной мешалке или вручную. Смесь доводят до кипения на электрической плитке или на пламени газовой горелки, кипятят 2 мин. и из бюретки вносят стандартный раствор глюкозы в таком количестве, чтобы для окончательного дотитровывания оставалось 0,5 см3 (по результатам предварительного титрования). Содержимое колбы снова нагревают до кипения при постоянном перемешивании путем вращательного движения колбы. Раствор кипятят 2 мин., затем быстро добавляют 2 - 4 капли раствора метиленовой сини, а из бюретки, установленной над колбой, быстро дотитровывают по каплям до перехода окраски индикатора из синей в красно-коричневую. Отмечают объем, пошедший на титрование.
Титрование должно быть быстрым, чтобы общее время кипения раствора в колбе не превышало 3 мин.
При использовании для анализа автоматических титраторов титрование проводят в соответствии с инструкциями по работе с титратором и электродной системой.
Титрование проводят три раза. Вычисляют среднеарифметическое значение объема, пошедшего на титрование. Это число является фактором растворов Фелинга.
Фактор растворов Фелинга необходимо определять для каждой партии свежеприготовленного раствора.
6.9.4 Проведение анализа
В стеклянном стакане взвешивают навеску патоки массой в зависимости от массовой доли редуцирующих веществ mр.в в соответствии с таблицей 12.
Таблица 12
mр.в, % | Масса навески, г |
28 - 35 | 18 - 19 |
36 - 40 | 13 - 15 |
40 - 45 | 12 - 13 |
45 - 60 | 9 - 10 |
60 - 80 | 7 - 9 |
80 и более | 5 - 7 |
Навеску патоки растворяют в небольшом количестве горячей 50 - 60 °C дистиллированной воды и количественно переносят в мерную колбу вместимостью 500 см3. При температуре раствора патоки 20 °C доводят его объем дистиллированной водой до метки и тщательно перемешивают.
В плоскодонную колбу вместимостью 250 см3 пипеткой приливают 25 см3 смеси растворов Фелинга I и II, а в бюретку с боковым краном наливают приготовленный раствор анализируемой патоки, используемый для титрования.
Титрование проводят как при определении фактора растворов Фелинга по
6.9.3.
Проводят два параллельных анализа.
6.9.5 Обработка результатов
Массовую долю редуцирующих веществ mр.в, %, в пересчете на сухое вещество патоки вычисляют по формуле:

, (15)
где Ф - фактор растворов Фелинга, см3;
mгл - масса навески кристаллической глюкозы, г;
100 - коэффициент пересчета массовой доли редуцирующих веществ на 100 г сухого вещества патоки;
500 - объем раствора кристаллической глюкозы, см3;
500 - объем раствора анализируемой патоки, см3;
mн - масса навески патоки, взятой для анализа, г;
mс.в - массовая доля сухого вещества патоки, %;
V - объем раствора анализируемой патоки, затраченный на титрование, см3;
100 - коэффициент пересчета на сухое вещество патоки, %.
Результаты вычисления записывают до первого десятичного знака.
За окончательный результат определения массовой доли редуцирующих веществ принимают среднеарифметическое значение результатов двух параллельных определений, округленное до целого числа.
Предел повторяемости (сходимости) r - абсолютное значение разности между результатами двух измерений, полученными в условиях повторяемости при P = 95%, не должен превышать 0,5%.
Предел воспроизводимости R - абсолютное значение разности между результатами двух измерений, полученными в условиях воспроизводимости при P = 95%, не должен превышать 1,0%.
Граница абсолютной погрешности метода +/- 0,7% при P = 95%.
Результат анализа в документах, предусматривающих его использование, представляют в виде:

, при
P = 0,95,
где

- среднеарифметическое значение результатов двух измерений, выполненных в условиях повторяемости, %;

- значение границ абсолютной погрешности результата анализа при
P = 0,95, %.
Допускаются другие методы для определения массовой доли редуцирующих веществ патоки.
6.10. Определение массовой доли редуцирующих веществ. Йодометрический метод (для карамельной патоки)
Сущность метода заключается в способности редуцирующих сахаров патоки (глюкозы и мальтозы) окисляться йодом до соответствующих кислот.
6.10.1 Средства измерений, вспомогательные устройства и реактивы
Весы неавтоматического действия по
ГОСТ OIML R 76-1, обеспечивающие точность взвешивания с пределами допускаемой абсолютной погрешности +/- 0,003 г.
Пипетки 1(2)-2-1, 1(2)-2-10, 1(2)-2-25 по
ГОСТ 29169.
Часы электронно-механические кварцевые настольные, настенные и часы-будильники по
ГОСТ 27752.
Йод по
ГОСТ 4159, ч.д.а, раствор молярной концентрации 0,1 моль/дм
3.
Натрий серноватистокислый (натрия тиосульфат) по
ГОСТ 27068, ч.д.а, раствор молярной концентрации 0,1 моль/дм
3.
Натрия гидроокись по
ГОСТ 4328, ч.д.а, раствор молярной концентрации 0,1 моль/дм
3.
Кислота серная по
ГОСТ 4204, ч.д.а, раствор молярной концентрации 1 моль/дм
3.
Крахмал растворимый по
ГОСТ 10163, ч.д.а, раствор 1-процентный.
Вода дистиллированная, не содержащая углекислоты, по
ГОСТ 4517.
Стекло часовое - по нормативным документам, действующим на территории государства, принявшего стандарт.
Палочка стеклянная - по нормативным документам, действующим на территории государства, принявшего стандарт.
6.10.2 Подготовка к проведению анализа
Раствор йода молярной концентрации 0,1 моль/дм
3 (0,1 н) готовят по
ГОСТ 25794.2.
Раствор серноватистокислого натрия (натрия тиосульфат) 5-водный молярной концентрации 0,1 моль/дм
3 (0,1 н) готовят по
ГОСТ 25794.2.
Раствор гидроокиси натрия молярной концентрации 0,1 моль/дм
3 (0,1 н) готовят по
ГОСТ 25794.1. Для приготовления раствора гидроокиси натрия используют дистиллированную воду, не содержащую углекислоты, приготовленную по
ГОСТ 4517.
Раствор серной кислоты молярной концентрации 1 моль/дм
3 (1 н) готовят по
ГОСТ 25794.1.
Для быстрого приготовления точных растворов различных веществ (кислот, щелочей и солей) рекомендуется применять фиксаналы.
6.10.3 Приготовление крахмала растворимого
В стеклянный стакан взвешивают навеску крахмала массой (1,00 +/- 0,01) г, размешивают стеклянной палочкой с небольшим количеством дистиллированной воды и вливают 70 - 80 см3 кипящей воды. После охлаждения объем доводят до 100 см3 и перемешивают. Используют свежеприготовленным.
6.10.4 Проведение анализа
Сначала проводят холостой опыт, в котором определяется соотношение между приготовленными 0,1 моль/дм
3 растворами йода (25 см
3) и тиосульфата натрия. Для проведения анализа основной раствор патоки, приготовленный по
6.8.2, разбавляют в 10 раз. Для этого в мерную колбу вместимостью 100 см
3 отмеривают пипеткой 10 см
3 основного раствора. Объем раствора в мерной колбе доводят дистиллированной водой до метки и тщательно перемешивают. 10 см
3 полученного раствора отмеривают пипеткой в коническую колбу вместимостью 250 см
3, туда же отмеривают пипеткой 25 см
3 0,1 моль/дм
3 раствора йода и медленно приливают из бюретки 30,0 см
3 0,1 моль/дм
3 раствора гидроокиси натрия. Все тщательно перемешивают, закрывают колбу часовым стеклом или пробкой и ставят в темное место на 15 - 20 мин. Затем вводят 4,5 - 5 см
3 1 моль/дм
3 раствора серной кислоты и титруют 0,1 моль/дм
3 раствором тиосульфата натрия до светло-желтого окрашивания. Добавляют 1 см
3 раствора крахмала и продолжают титрование до обесцвечивания.
Холостой опыт проводят, как указано выше, только вместо 10 см3 разбавленного основного раствора в коническую колбу пипеткой отмеривают 10 см3 дистиллированной воды.
Проводят два параллельных анализа.
6.10.5 Обработка результатов
Массовую долю редуцирующих веществ mр.в, %, вычисляют по формуле:

, (16)
где V0 - объем 0,1 моль/дм3 раствора тиосульфата натрия, израсходованного на титрование 25 см3 0,1 моль/дм3 раствора йода в контрольном (холостом) опыте, см3;
V - объем 0,1 моль/дм3 раствора тиосульфата натрия, израсходованного на титрование при анализе, см3;
9 - масса глюкозы, соответствующая 1 см3 0,1 моль/дм3 раствора тиосульфата натрия, мг;
K - поправочный коэффициент к молярности раствора тиосульфата натрия;
100 - коэффициент пересчета массовой доли редуцирующих веществ на 100 г сухих веществ патоки;
100 - коэффициент пересчета на сухое вещество патоки, %;
200 - масса патоки в натуре, содержащаяся в 10 см3 разбавленного основного раствора, мг;
mс.в - массовая доля сухих веществ патоки, %.
Результаты вычисления записывают до первого десятичного знака.
За окончательный результат определения массовой доли редуцирующих веществ патоки принимают среднеарифметическое значение результатов двух параллельных определений, округленное до целого числа.
Предел повторяемости (сходимости) r - абсолютное значение разности между результатами двух измерений, полученными в условиях повторяемости при P = 95%, не должен превышать 0,5%.
Предел воспроизводимости R - абсолютное значение разности между результатами двух измерений, полученными в условиях воспроизводимости при P = 95%, не должен превышать 1,0%.
Граница абсолютной погрешности метода +/- 0,5% при P = 95%.
Результат анализа в документах, предусматривающих его использование, представляют в виде:

, при
P = 0,95,
где

- среднеарифметическое значение результатов двух измерений, выполненных в условиях повторяемости, %;

- значение границ абсолютной погрешности результата анализа при
P = 0,95, %.
6.11. Определение массовой доли отдельных углеводов методом высокоэффективной жидкостной хроматографии
Сущность метода заключается в лигандообменном или гельпроникающем хроматографическом разделении углеводов патоки с рефрактометрическим детектированием.
Метод не применим для смесей углеводов, содержащих совместно сахарозу и мальтозу.
6.11.1 Средства измерений, вспомогательные устройства и реактивы
Хроматограф жидкостный, состоящий из:
- изократического двухплунжерного насоса, обеспечивающего расход элюента 0,2 - 3,0 см3/мин и максимальное давление не менее 110 атм.;
- колонки хроматографической для лигандообменной или гельпроникающей высокоэффективной жидкостной хроматографии;
- термостата колонки, поддерживающего постоянную температуру колонки в пределах 80 °C с погрешностью не более +/- 0,5 °C;
- рефрактометрического детектора с встроенным или внешним термостатом измерительной ячейки (регистрацию сигнала детектора проводят при помощи самописца, интегратора или компьютерной системы обработки хроматографических данных);
- инжектора с дозирующей петлей 20 мкл или автосэмплера (аликвоту пробы патоки, подготовленную по
6.11.2.1, вводят в хроматограф при помощи ручного инжектора или автосэмплера. Объем аликвоты 20 мкл);
- дегазатора элюента в потоке и предколонки для деминерализации пробы в потоке;
- интегратора или компьютерной системы обработки хроматографических данных.
Вода бидистиллированная. Используется в качестве элюента.
Глюкоза, фруктоза, мальтоза, мальтотриоза аналитической степени чистоты.
Фильтры мембранные с диаметром отверстий 0,22 - 0,45 мкм.
Установка для фильтрования или медицинский шприц с насадкой для фильтрования через мембранные фильтры.
Весы неавтоматического действия по
ГОСТ OIML R 76-1, обеспечивающие точность взвешивания с пределами допускаемой абсолютной погрешности +/- 0,003 г.
Термометр жидкостный стеклянный, диапазон измерения от 0 - 100 °C, цена деления шкалы 0,1 и 1 °C по
ГОСТ 28498.
Часы электронно-механические кварцевые настольные, настенные и часы-будильники по
ГОСТ 27752.
Стаканы стеклянные B-I-150, B-I-200 ТС или ТХС по
ГОСТ 25336.
Пробирки пластиковые - по нормативным документам, действующим на территории государства, принявшего стандарт.
Палочки стеклянные или пластиковые - по нормативным документам, действующим на территории государства, принявшего стандарт.
Допускается применение других средств измерений с метрологическими характеристиками и оборудования с техническими характеристиками, а также реактивов по качеству не ниже вышеуказанных.
6.11.2 Подготовка к проведению анализа
6.11.2.1 Подготовка пробы анализируемого образца патоки
Для анализа готовят 1-процентный раствор патоки в пересчете на сухое вещество. Для этого определяют массовую долю сухого вещества патоки по
6.6,
6.7 и вычисляют массу навески
m1, г, необходимую для приготовления 1-процентного раствора по формуле:

, (17)
где 100 - коэффициент пересчета на сухое вещество патоки, %;
1 - массовая доля сухого вещества в 100 г 1-процентного раствора, г;
mс.в - массовая доля сухого вещества патоки, %.
Стакан с палочкой помещают на весы и устанавливают нуль, вносят массу навески патоки и приливают теплую бидистиллированную воду до (100,00 +/- 0,01) г. Палочкой тщательно перемешивают раствор до полного растворения патоки. Приготовленный раствор фильтруют через мембранный фильтр в сухую чистую пробирку или в виалу автосэмплера.
Подготовленную пробу анализируют в течение 1 - 2 ч после приготовления.
Подготовленная проба может храниться в течение 3 мес. в замороженном виде.
6.11.2.2 Приготовление стандартных растворов для определения времени удержания углеводов
Стандартные 1-процентные растворы углеводов (фруктозы, глюкозы, мальтозы и мальтотриозы), а также их смеси готовят на бидистиллированной воде. В стеклянный стакан помещают навеску углевода, взятую с учетом содержания основного компонента реактива, приливают 10 - 15 см3 воды, растворяют и количественно переносят в мерную колбу вместимостью 50 см3, доводят его объем водой до метки при температуре раствора 20 °C. Приготовленные растворы фильтруют через мембранные фильтры в пластиковые пробирки. Пробирки закрывают крышками и замораживают в холодильнике. В замороженном состоянии растворы углеводов хранят до одного года. Перед началом работы растворы размораживают, используя для этого теплую воду или микроволновую печь в режиме размораживания.
6.11.2.3 Определение времени удержания углеводов и оценка эффективности разделения
Включают хроматограф и настраивают его согласно инструкции по эксплуатации. Скорость потока элюента, температуру термостата колонки устанавливают в соответствии с рекомендациями, приведенными в паспорте на хроматографическую колонку. Температура термостата детектора (50,0 +/- 0,5) °C.
Для идентификации пиков углеводов необходимо определить время удержания углеводов. Для этого поочередно анализируют стандартные растворы углеводов и их смесь.
Рекомендуется для определения времени удержания, вычисления площадей пиков и расчетов применять интеграторы или компьютерные системы обработки хроматографических данных.
Относительное время Tx, с, удержания каждого углевода (x) вычисляют по формуле:

, (18)
где tx - абсолютное время удержания каждого углевода, с;
tгл - абсолютное время удержания глюкозы, с.
Эффективность хроматографической колонки по глюкозе, теоретические тарелки

вычисляют по формуле:

, (19)
где 5,54 - коэффициент;
tгл - абсолютное время удержания глюкозы, с;
W50 - ширина пика на уровне 50% высоты, с.
Эффективность хроматографической колонки по глюкозе должна быть не менее 2000 теоретических тарелок.
6.11.3 Проведение анализа
| | ИС МЕГАНОРМ: примечание. В официальном тексте документа, видимо, допущена опечатка: имеется в виду пункт 6.11.2.1, а не 6.12.2.1. | |
Аликвоту пробы патоки, подготовленную по
6.12.2.1, вводят в хроматограф при помощи ручного инжектора или автосэмплера. Объем аликвоты 20 мкл. Регистрацию сигнала детектора проводят при помощи самописца, интегратора или компьютерной системы обработки хроматографических данных.
Проводят два параллельных анализа.
6.11.4 Обработка результатов
6.11.4.1 После получения хроматограммы проводят обработку данных методом внутренней нормализации по формуле:

(20)
где mx - массовая доля углевода x в пробе, %;
Sx - площадь пика углевода x;

- сумма площадей всех пиков углеводов;
100 - коэффициент пересчета массовой доли углевода в пробе в проценты.
Результаты вычислений записывают до первого десятичного знака.
За окончательный результат определения принимают среднеарифметическое значение результатов двух параллельных определений, округленное до целого числа.
Предел повторяемости (сходимости) r - абсолютное значение разности между результатами двух измерений, полученными в условиях повторяемости при P = 95%, не должен превышать 0,50%.
Предел воспроизводимости R - абсолютное значение разности между результатами двух измерений, полученными в условиях воспроизводимости при P = 95%, не должен превышать 1,50%.
Граница абсолютной погрешности метода +/- 0,75% при P = 95%.
Результат анализа в документах, предусматривающих его использование, представляют в виде:

, при
P = 0,95,
где

- среднеарифметическое значение результатов двух измерений, выполненных в условиях повторяемости, %;

- значение границ абсолютной погрешности результата анализа при
P = 0,95, %.
6.11.4.2 Расчетный метод определения массовой доли редуцирующих веществ по данным углеводного состава
Метод применим при массовой доле редуцирующих веществ 26 - 90%. Результаты определения углеводного состава патоки позволяют вычислить массовую долю редуцирующих веществ патоки mр.в, %, в пересчете на сухое вещество по формуле:
mр.в = 1,000
mгл + 1,000
mфр + 0,580
mмал +
+ 0,395mтр + 0,180mв.у, (21)
где mгл + mфр + mмал + mтр - массовые доли углеводов: глюкозы, фруктозы, мальтозы, триозы в пересчете на сухое вещество, %;
0,180 - усредненное значение коэффициента для высших углеводов (Kв.у);
mв.у - массовая доля высших углеводов в пересчете на сухое вещество, %.
Расхождения массовой доли редуцирующих веществ, определенных методом Лейна - Эйнона
(6.9) и расчетным методом, должны быть не более 1%.
Если расхождения превышают 1%, то необходимо провести корректировку коэффициента для высших углеводов.
6.11.4.3 Проведение корректировки коэффициента для высших углеводов
Коэффициент для высших углеводов Kв.у зависит от вида ферментов, применяемых для производства патоки, поэтому для разных видов патоки этот коэффициент будет немного отличаться.
Для проведения корректировки отбирают 10 проб патоки одного вида и проводят определение массовой доли редуцирующих веществ по
6.9 (метод Лейна - Эйнона). Вычисляют коэффициент
Kв.у для высших углеводов каждой пробы по формуле:

, (22)
где
mр.в.ЛЭ - результат определения массовой доли редуцирующих веществ методом Лейна - Эйнона
(6.9), %.
Вычисляют среднеарифметическое значение коэффициента Kв.у.
Полученное значение
Kв.у используется в
формуле (21) для вычисления массовой доли редуцирующих веществ патоки этого вида.
6.12. Метод определения массовой доли общей золы
Сущность метода заключается в определении несгораемого остатка патоки при сжигании навески в муфельной печи при температуре 600 - 650 °C.
6.12.1 Средства измерений, вспомогательные устройства и реактивы
Весы неавтоматического действия по
ГОСТ OIML R 76-1, обеспечивающие точность взвешивания с пределами допускаемой абсолютной погрешности +/- 0,0003 г.
Печь муфельная с диапазоном рабочих температур 400 - 900 °C, позволяющая поддерживать заданную температуру 600 - 650 °C с допускаемой погрешностью +/- 2 °C.
Часы электронно-механические кварцевые настольные, настенные и часы-будильники по
ГОСТ 27752.
Тигли высокие: фарфоровые N 3 или 4 по
ГОСТ 9147 или кварцевые вместимостью 80 или 100 см
3 по
ГОСТ 19908.
Масло растительное: кукурузное по
ГОСТ 8808, подсолнечное по
ГОСТ 1129 или другие виды пищевого растительного масла.
Водорода пероксид (пергидроль) по
ГОСТ 10929, х.ч.
Допускается применение других средств измерений с метрологическими характеристиками и оборудования с техническими характеристиками, а также реактивов по качеству не ниже вышеуказанных.
6.12.2 Проведение анализа
В предварительно прокаленном до постоянной массы тигле взвешивают навеску патоки массой (10,000 +/- 0,001) г и обугливают ее путем нагревания тигля с патокой на электрической плитке.
Во избежание вспучивания на поверхность навески наносят несколько капель растительного масла.
После обугливания на плитке тигель помещают в муфельную печь, нагретую до (600 - 650) °C, и прокаливают до полного озоления навески.
После озоления навески тигель с золой охлаждают в эксикаторе и взвешивают. Затем тигель с золой повторно прокаливают в течение 30 мин., охлаждают в эксикаторе и вновь взвешивают. Если в золе заметны темные крапины, значит озоление прошло не полностью. Для ускорения озоления допускается смачивать золу несколькими каплями дистиллированной воды или пероксида водорода. Прокаливание повторяют до тех пор, пока масса тигля с золой не станет постоянной или результат последнего взвешивания не начнет изменяться в сторону увеличения. Для вычисления берут последний убывающий результат взвешивания.
Проводят два параллельных анализа.
6.12.3 Обработка результатов
Массовую долю золы m3, %, в пересчете на сухое вещество вычисляют по формуле:

, (23)
где m2 - масса тигля с золой, г;
m - масса тигля, г;
100 - коэффициент пересчета на сухое вещество патоки, %;
m1 - масса тигля с навеской патоки, г;
100 - коэффициент пересчета массовой доли золы в проценты.
Результаты вычислений записывают до третьего десятичного знака.
За окончательный результат определения массовой доли общей золы патоки принимают среднеарифметическое значение результатов двух параллельных определений, округленное до второго десятичного знака.
Предел повторяемости (сходимости) r - абсолютное значение разности между результатами двух измерений, полученными в условиях повторяемости при P = 95%, не должен превышать 0,03%.
Предел воспроизводимости R - абсолютное значение разности между результатами двух измерений, полученными в условиях воспроизводимости при P = 95%, не должен превышать 0,06%.
Граница абсолютной погрешности метода +/- 0,03% при P = 95%.
Результат анализа в документах, предусматривающих его использование, представляют в виде:

, при
P = 0,95,
где

- среднеарифметическое значение результатов двух измерений, выполненных в условиях повторяемости, %;

- значение границ абсолютной погрешности результата анализа при
P = 0,95, %.
6.13. Метод определения водородного показателя, pH
Сущность метода заключается в измерении активности ионов водорода (pH).
Примечание - Метод не применяют для деминерализованной патоки.
6.13.1 Средства измерений, посуда и вспомогательные устройства
Весы неавтоматического действия по
ГОСТ OIML R 76-1, обеспечивающие точность взвешивания с пределами допускаемой абсолютной погрешности +/- 0,06 г.
pH-метр лабораторный с термокомпенсатором, имеющий предел допускаемой основной погрешности, +/- 0,05 ед. pH.
Термометр жидкостный стеклянный, диапазон измерения от 0 до 100 °C, цена деления шкалы 1 °C по
ГОСТ 28498.
Стаканы стеклянные В(Н)-1(2)-100 ТС или ТХС по
ГОСТ 25336 или стаканы пластиковые химические - по нормативным документам, действующим на территории государства, принявшего стандарт.
Палочка стеклянная или шпатель пластиковый - по нормативным документам, действующим на территории государства, принявшего стандарт.
Стандарт-титры для приготовления образцовых буферных растворов по
ГОСТ 8.135.
Баня водяная - по нормативным документам, действующим на территории государства, принявшего стандарт.
Допускается применение других средств измерений с метрологическими характеристиками не ниже вышеуказанных.
6.13.2 Подготовка к проведению анализа
Проводят калибровку pH-метра по буферным растворам согласно инструкции по эксплуатации прибора.
6.13.3 Проведение анализа
Перед каждым проведением анализа электроды тщательно промывают дистиллированной водой и удаляют с них капли воды фильтровальной бумагой.
В стеклянный или пластиковый химический стакан при помощи стеклянной палочки или пластикового шпателя помещают навеску патоки (50,0 +/- 0,2) г. Приливают (50,0 +/- 0,2) г горячей дистиллированной воды 40 - 60 °C и тщательно перемешивают до полного растворения патоки.
Раствор патоки охлаждают до температуры (20 +/- 2) °C, опускают в него электроды pH-метра и проводят измерение pH в соответствии с инструкцией к прибору. Показания прибора снимают до второго десятичного знака.
Проводят два параллельных анализа.
Анализируемый раствор используют в дальнейшем для определения массовой доли диоксида серы по
6.15.
6.13.4 Обработка результатов
За окончательный результат определения показателя pH принимают среднеарифметическое значение результатов двух параллельных определений, округленное до первого десятичного знака.
Предел повторяемости (сходимости) r - абсолютное значение разности между результатами двух измерений, полученными в условиях повторяемости при P = 95%, не должен превышать 0,05 ед. pH.
Предел воспроизводимости R - абсолютное значение разности между результатами двух измерений, полученными в условиях воспроизводимости при P = 95%, не должен превышать 0,10 ед. pH.
Граница абсолютной погрешности метода +/- 0,05 ед. pH при P = 95%.
Результат анализа в документах, предусматривающих его использование, представляют в виде:

, при
P = 0,95,
где

- среднеарифметическое значение результатов двух измерений, выполненных в условиях повторяемости, ед. pH;

- значение границ абсолютной погрешности результата анализа при
P = 0,95, ед. pH.
6.14. Метод определения кислотности
Сущность метода заключается в нейтрализации кислот и кислых солей, содержащихся в 100 г сухого вещества патоки, раствором гидроокиси натрия концентрации 0,1 моль/дм3 (0,1 н.) в присутствии фенолфталеина или до 8,8 ед. pH.
6.14.1 Средства измерений, вспомогательные устройства и реактивы
Весы неавтоматического действия по
ГОСТ OIML R 76-1, обеспечивающие точность взвешивания с пределами допускаемой абсолютной погрешности +/- 0,06 г.
Секундомер механический однострелочный с ценой деления шкалы 0,2 с, с погрешностью за 60 мин. +/- 1,6 с.
Термометр жидкостный стеклянный, диапазон измерения 0 - 100 °C, цена деления шкалы 1 °C по
ГОСТ 28498.
Стаканы стеклянные В-1-150 ТС или ТХС по
ГОСТ 25336.
Колбы конические Кн-2-250-34 ТС или ТХС по
ГОСТ 25336.
Палочки стеклянные - по нормативным документам, действующим на территории государства, принявшего стандарт.
Натрия гидроокись по
ГОСТ 4328, ч.д.а., раствор концентрации 0,1 моль/дм
3 (0,1 н.).
Фенолфталеин спиртовой раствор с массовой долей фенолфталеина 1%, приготовленный по
ГОСТ 4919.1.
Спирт этиловый ректификованный технический по
ГОСТ 18300.
Допускается применение других средств измерений с метрологическими характеристиками и оборудования с техническими характеристиками, а также реактивов по качеству не ниже вышеуказанных.
6.14.2 Проведение анализа
В стеклянный стакан взвешивают навеску патоки массой (50,0 +/- 0,2) г, затем цилиндром приливают 100 см3 горячей 40 - 60 °C дистиллированной воды и стеклянной палочкой размешивают навеску патоки до полного растворения.
Раствор количественно переносят в мерную колбу вместимостью 250 см3 и при температуре раствора (20 +/- 1) °C доводят его объем водой до метки.
Допускается использовать основной раствор патоки по
6.8.2.
Пипеткой переносят 100 см3 раствора в коническую колбу вместимостью 250 см3, добавляют 3 - 5 капель раствора фенолфталеина и титруют раствором гидроокиси натрия концентрации 0,1 моль/дм3 (0,1 н.) до появления розовой окраски, не исчезающей в течение 1 мин.
Допускается применение автоматических титраторов с электродной системой потенциометрического титрования. В этом случае титрование проводят в соответствии с инструкцией по работе с титратором до pH = 8,8.
Проводят два параллельных анализа.
6.14.3 Обработка результатов
Кислотность Xк, см3, раствора гидроокиси натрия на 100 г сухого вещества патоки вычисляют по формуле:

, (24)
где V - объем 0,1 моль/дм3 (0,1 н.) раствора гидроокиси натрия, затраченный на титрование, см3;
K - поправочный коэффициент титра раствора гидроокиси натрия;
250 - вместимость мерной колбы, в которой приготавливается раствор патоки, см3;
100 - коэффициент пересчета на 100 г сухого вещества патоки, г;
100 - коэффициент пересчета на сухое вещество патоки, %;
mн - масса навески патоки, взятая для приготовления анализируемого раствора, г;
mс.в - массовая доля сухого вещества патоки, %;
100 - объем раствора патоки, взятый для титрования, см3.
Результаты измерений записывают до первого десятичного знака.
За окончательный результат определения кислотности патоки принимают среднеарифметическое значение результатов двух параллельных определений, округленное до целого числа.
Предел повторяемости (сходимости) r - абсолютное значение разности между результатами двух измерений, полученными в условиях повторяемости при P = 95%, не должен превышать 0,5 см3.
Предел воспроизводимости R - абсолютное значение разности между результатами двух измерений, полученными в условиях воспроизводимости при P = 95%, не должен превышать 1,0 см3.
Граница абсолютной погрешности метода +/- 0,5 см3 при P = 95%.
Результат анализа в документах, предусматривающих его использование, представляют в виде:

, при
P = 0,95,
где

- среднеарифметическое значение результатов двух измерений, выполненных в условиях повторяемости, см
3;

- значение границ абсолютной погрешности результата анализа при
P = 0,95, см
3.
6.15. Методы определения содержания диоксида серы
Сущность метода заключается в окислении сернистой кислоты раствором йода при титровании раствора патоки в присутствии крахмального индикатора.
6.15.1 Метод для патоки с содержанием диоксида серы более 20 мг/кг
6.15.1.1 Средства измерений, посуда, вспомогательные устройства и реактивы
Термометр жидкостный стеклянный, диапазон измерения 0 - 100 °C, цена деления шкалы 1 °C по
ГОСТ 28498.
Криостат жидкостный, обеспечивающий охлаждение от 1 до 10 °C.
Секундомер механический однострелочный с ценой деления шкалы 0,2 с, с погрешностью за 60 мин +/- 1/6 с.
Колбы конические Кн-2-250 ТС или ТХС по
ГОСТ 25336.
Стандарт-титры (фиксаналы) йод 0,1 моль/дм3.
Калия гидроокись по
ГОСТ 24363, ч.д.а., 1 моль/дм
3 раствор.
Кислота серная по
ГОСТ 2184, х.ч., водный раствор 1:3.
Крахмал растворимый по
ГОСТ 10163, ч.д.а., раствор с массовой долей крахмала 1%.
Допускается применение других средств измерений с метрологическими характеристиками и оборудования с техническими характеристиками, а также реактивов по качеству не ниже вышеуказанных.
6.15.1.2 Подготовка к проведению анализа
Приготовление стандартных титрованных растворов йода.
Готовят 0,02 моль/дм
3 раствор йода пятикратным разбавлением дистиллированной водой 0,1 моль/дм
3 раствора йода, приготовленного из фиксанала или по
ГОСТ 25794.2.
Раствор йода 0,02 моль/дм3 хранят при комнатной температуре в емкости из темного стекла не более двух суток.
6.15.1.3 Проведение анализа
Раствор патоки (1:1), приготовленный по
6.13.3, после определения pH переносят в коническую колбу вместимостью 250 см
3 и охлаждают до 2 - 10 °C и титруют 0,02 моль/дм
3 раствором йода до появления соломенной окраски. Затем в раствор добавляют 25 см
3 1 моль/дм
3 раствора KOH и 10 см
3 раствора серной кислоты (1:3), смесь тщательно перемешивают. После добавления нескольких капель крахмального индикатора (растворимый крахмал) продолжают титрование 0,02 моль/дм
3 раствором йода до появления голубой окраски, не исчезающей в течение 30 с.
Проводят два параллельных анализа.
6.15.1.4 Обработка результатов
Содержание диоксида серы

, мг, на один килограмм патоки, вычисляют по формуле:

, (25)
где V - объем 0,02 моль/дм3 раствора йода, затраченный на титрование, см3;
K - поправочный коэффициент титра для 0,02 моль/дм3 раствора йода;
0,64 - масса SO2, соответствующая 1 см3 0,02 моль/дм3 раствора йода, мг/см3;
mн - масса навески патоки, взятая для приготовления анализируемого раствора, г;
1000 - коэффициент пересчета массы навески патоки в килограммы.
Результаты вычислений записывают до первого десятичного знака.
За окончательный результат определения содержания диоксида серы принимают среднеарифметическое значение результатов двух параллельных определений, округленное до целого числа.
Предел повторяемости (сходимости) r - абсолютное значение разности между результатами двух измерений, полученными в условиях повторяемости при P = 95%, не должен превышать 3 мг/кг.
Предел воспроизводимости R - абсолютное значение разности между результатами двух измерений, полученными в условиях воспроизводимости при P = 95%, не должен превышать 6 мг/кг.
Граница абсолютной погрешности метода +/- 4 мг/кг при P = 95%.
Результат анализа в документах, предусматривающих его использование, представляют в виде:

, при
P = 0,95,
где

- среднеарифметическое значение результатов двух измерений, выполненных в условиях повторяемости, мг/кг;

- значение границ абсолютной погрешности результата анализа при
P = 0,95, мг/кг.
6.15.2 Метод для патоки с содержанием диоксида серы менее 20 мг/кг
6.15.2.1 Средства измерений, посуда, вспомогательные устройства и реактивы
Термометр жидкостный стеклянный, диапазон измерения 0 - 100 °C, цена деления шкалы 1 °C по
ГОСТ 28498.
Криостат жидкостный, обеспечивающий охлаждение до 1 - 10 °C.
Секундомер механический однострелочный с ценой деления шкалы 0,2 с с погрешностью за 60 мин. +/- 1,6 с.
Колбы конические Кн-2-250 ТС или ТХС по
ГОСТ 25336.
Стандарт-титры (фиксаналы) йод 0,1 моль/дм3.
Калия гидроокись по
ГОСТ 24363, ч.д.а., 1,5 моль/дм
3 раствор.
Кислота серная по
ГОСТ 2184, х.ч.; 1,0 моль/дм
3 раствор.
Крахмал растворимый по
ГОСТ 10163, раствор с массовой долей сухого вещества крахмала 1%.
Допускается применение других средств измерений с метрологическими характеристиками и оборудования с техническими характеристиками, а также реактивов по качеству не ниже вышеуказанных.
6.15.2.2 Подготовка к проведению анализа по
6.15.1.2.
6.15.2.3 Проведение анализа
Раствор патоки 1:1, приготовленный по
6.13.3, после определения показателя pH переносят в коническую колбу вместимостью 250 см
3 и охлаждают до 2 - 10 °C.
После охлаждения в раствор добавляют 10 см3 1,5 моль/дм3 раствора KOH и 10 см3 1,0 моль/дм3 раствора H2SO4 и перемешивают. После добавления нескольких капель крахмального индикатора (растворимый крахмал) титруют 0,005 моль/дм3 раствором йода до голубого окрашивания, не исчезающего в течение 30 с. Осуществляют титрование холостого образца с использованием 100 см3 дистиллированной воды и всех реактивов.
6.15.2.4 Обработка результатов
Содержание диоксида серы

, мг, на один килограмм патоки, вычисляют по формуле:

, (26)
где V - объем 0,005 моль/дм3 раствора йода, затраченный на титрование раствора патоки, см3;
Vб - объем 0,005 моль/дм3 раствора йода, затраченный на титрование холостого образца, см3;
K - поправочный коэффициент 0,005 моль/дм3 раствора йода;
0,16 - масса SO2, соответствующая 1 см3 0,005 моль/дм3 раствора йода, мг/см3;
mн - масса навески патоки, взятая для приготовления анализируемого раствора, г;
1000 - коэффициент пересчета массы навески патоки в килограммы.
Результаты вычислений записывают до первого десятичного знака.
За окончательный результат определения содержания диоксида серы принимают среднеарифметическое значение результатов двух параллельных определений, округленное до целого числа.
Предел повторяемости (сходимости) r - абсолютное значение разности между результатами двух измерений, полученными в условиях повторяемости при P = 95%, не должен превышать 1 мг/кг.
Предел воспроизводимости R - абсолютное значение разности между результатами двух измерений, полученными в условиях воспроизводимости при P = 95%, не должен превышать 2 мг/кг.
Граница абсолютной погрешности метода +/- 1 мг/кг при P = 95%.
Результат анализа в документах, предусматривающих его использование, представляют в виде:

, при
P = 0,95,
где

- среднеарифметическое значение двух измерений, выполненных в условиях повторяемости, мг/кг;

- значение границ абсолютной погрешности результата анализа при
P = 0,95, мг/кг.
6.16. Методы определения температуры карамельной пробы
Сущность метода заключается в нагревании патоки до температуры карамельной пробы с последующей визуальной оценкой процесса карамелизации и качества леденца.
6.16.1 Средства измерений и вспомогательные устройства
Весы неавтоматического действия по
ГОСТ OIML R 76-1, обеспечивающие точность взвешивания с пределами допускаемой абсолютной погрешности +/- 0,06 г.
Термометр жидкостный стеклянный, диапазон измерения 100 - 200 °C, цена деления шкалы 1 °C по
ГОСТ 28498.
Тазик медный или сковородка (диаметр 12 см, высота 3 см).
Плитка керамическая или мраморная или лист белой жести.
Секундомер механический однострелочный с ценой деления шкалы 0,2 с, с погрешностью +/- 1/6 с за 60 мин.
Допускается применение других средств измерений с метрологическими характеристиками и оборудования с техническими характеристиками не ниже вышеуказанных.
6.16.2 Проведение анализа
6.16.2.1 Определение температуры карамельной пробы карамельной патоки
В медный тазик или сковородку наливают около 100 см3 (140 - 150 г) патоки и нагревают на электроплитке так, чтобы время варки составляло 20 - 25 мин. В начале патока кипит спокойно, но по мере выкипания мелкие пузырьки сменяются более крупными. Когда начинают появляться большие пузыри, патоку перемешивают термометром и наблюдают, не появляются ли желтые прожилки или пятна. Если это имеет место, то отмечают температуру и считают, что патока выдержала карамельную пробу только до этой температуры.
Если темные прожилки или пятна не появляются, то продолжают нагревание ее до температуры карамельной пробы, установленной для данного вида патоки. Затем содержимое тазика выливают на мраморную или керамическую плитку или на лист белой жести и после охлаждения определяют качество леденца.
Окраска леденца может несколько отличаться от окраски исходной патоки. Леденец должен быть прозрачным, без темных прожилок и пятен.
6.16.2.2 Определение температуры карамельной пробы низкоосахаренной патоки
В медный тазик или сковородку насыпают 100 г сахарного песка, приливают 25 см3 воды и нагревают на электроплитке до полного растворения сахара, а затем добавляют (50,0 +/- 0,2) г патоки. Смесь перемешивают термометром для получения однородной массы и продолжают нагревать до (150 +/- 1) °C. Массу перемешивают и наблюдают за появлением темных прожилок и пятен.
При достижении температуры (155 +/- 1) °C массу выливают на мраморную или керамическую плитку или лист белой жести.
Окраска полученного леденца может несколько отличаться от исходной окраски патоки.
Леденец должен быть прозрачным, без темных прожилок и пятен.
6.17. Методы определения показателей безопасности
6.17.1 Определение содержания токсичных элементов:
6.17.2 Определение пестицидов - по
ГОСТ 30710 или по нормативным документам, действующим на территории государства, принявшего стандарт.
6.17.3 Определение микробиологических показателей - мезофильных аэробных и факультативно-анаэробных микроорганизмов - по
ГОСТ 10444.15, бактерии группы кишечных палочек (колиформных бактерий) - по
ГОСТ 31747, бактерий рода Salmonella - по
ГОСТ 31659, дрожжей и плесневых грибов - по
ГОСТ 10444.12, культивирование и определение микроорганизмов - по
ГОСТ 26670.
7. Транспортирование и хранение
7.1 Патоку перевозят по правилам перевозки грузов, действующим на данном виде транспорта.
7.2 Патоку перевозят при температуре не более 65 °C.
7.3 Бочки с патокой при перевозке и хранении располагают пробкой вверх.
7.4 Патоку, залитую в бочки и фляги, хранят в закрытом складском помещении или под навесом, предохраняющим ее от воздействия солнечных лучей.
7.5 При хранении патоки с массовой долей редуцирующих веществ менее 38% допускается ее побеление вследствие выпадения декстринов.
7.6 При хранении патоки с массовой долей редуцирующих веществ более 65% возможно выпадение кристаллов.
7.7 Условия хранения патоки в стационарных емкостях
7.7.1 Материалы для емкостей: нержавеющая сталь, углеродистая сталь, углеродистая сталь с полимерным или эмалевым покрытием, полимерные материалы, разрешенные для контакта с пищевыми продуктами уполномоченными органами в установленном порядке.
7.7.2 Температура воздуха при хранении патоки не выше 30 °C.
7.7.3 При выгрузке допускается отклонение значения массы нетто патоки от измеренного при загрузке не более 1% вследствие естественных потерь (остаток на внутренних стенках транспортной тары, в сливных устройствах, сливных шлангах и др.).
7.7.4 Срок годности патоки устанавливает изготовитель.
Рекомендуемые сроки годности:
- для патоки крахмальной - один год со дня изготовления при соблюдении потребителем условий транспортирования и хранения, установленных настоящим стандартом;
- для патоки с пониженным содержанием сухих веществ устанавливает изготовитель по согласованию с потребителем согласно нормативным документам, действующим на территории государств, принявших стандарт.
(справочное)
ПИЩЕВАЯ ЦЕННОСТЬ 100 Г ПАТОКИ
Пищевую ценность патоки вычисляют по формулам:
- пищевую ценность (углеводы) П, г, на 100 г патоки
П = mс.в - mз, (А.1)
где mс.в - массовая доля сухого вещества в 100 г патоки, г;
mз - массовая доля золы в пересчете на сухое вещество в 100 г патоки, г;
- энергетическую ценность (калорийность) K, ккал, на 100 г патоки
K = П·4, (А.2)
где П - пищевая ценность на 100 г патоки, г;
4 - калорийность 1 г углеводов, ккал.
Пример расчета для карамельной патоки при 78% mс.в с содержанием mз 0,4% в пересчете на сухое вещество:
П = 78 - 0,4 = 77,8 г/100 г,
K = 77,6·4 = 310,4 ккал/100 г.
Энергетическая ценность (калорийность), K = 310,4·4,1868 = 1300 кДж/100 г.
(рекомендуемое)
ОПРЕДЕЛЕНИЕ ЦВЕТА ПАТОКИ ФОТОМЕТРИЧЕСКИМ МЕТОДОМ I
Б.1 Сущность метода заключается в измерении оптической плотности фильтрованного раствора патоки относительно дистиллированной воды с последующим пересчетом в единицы ICUMSA.
Б.2 Средства измерений, посуда и вспомогательные устройства
Весы неавтоматического действия по
ГОСТ OIML R 76-1, обеспечивающие точность взвешивания с пределами допускаемой абсолютной погрешности +/- 0,003 г.
Колориметр фотоэлектрический или спектрофотометр, измеряющий светопоглощение при длине волны 420 нм, с пределом допускаемого значения основной абсолютной погрешности при измерении коэффициента пропускания не более +/- 1%.
Кюветы фотометрические с длиной оптического пути 4 см при использовании спектрофотометра или 5 см при использовании колориметра.
Термостат циркуляционный, обеспечивающий поддержание постоянной температуры с погрешностью +/- 0,3 °C.
Стаканы стеклянные В-1-400 ТС или ТХС по
ГОСТ 25336.
Палочки стеклянные по нормативным документам, действующим на территории государства, принявшего стандарт.
Фильтр мембранный диаметром пор 0,47 мкм.
Допускается применение других средств измерений с метрологическими характеристиками и оборудования с техническими характеристиками не ниже вышеуказанных.
Б.3 Подготовка к проведению анализа
Б.3.1 Перед измерением проводят установку прибора на нуль по дистиллированной воде, предварительно профильтрованной через мембранный фильтр.
Б.3.2 Подготовка пробы
Для анализа готовят 50-процентный раствор патоки в пересчете на сухое вещество. Если на следующем этапе анализа фильтрование затруднено, допускается готовить раствор патоки меньшей концентрации. Для этого определяют массовую долю сухого вещества в патоке по
6.6,
6.7.
Для приготовления раствора массу навески патоки m, г, вычисляют по формуле:

, (Б.1)
где mс.в.о - ожидаемая массовая доля сухого вещества в растворе патоки, %;
mс.в - массовая доля сухого вещества патоки, %;
200 - масса раствора патоки, г.
В стакан вместимостью 400 см
3 взвешивают навеску патоки (рассчитанную по
Б.1), наливают теплую 50 - 60 °C дистиллированную воду до (200,00 +/- 0,01) г и растворяют навеску патоки путем перемешивания стеклянной палочкой.
Раствор патоки охлаждают до температуры (20 +/- 1) °C, поместив стакан в термостат. Определяют плотность раствора патоки ареометром и фильтруют через мембранный фильтр.
Б.3.3 Подготовка прибора к работе
Фотометрический прибор готовят к работе согласно инструкции по эксплуатации.
Б.4 Проведение анализа
Кювету с дистиллированной водой помещают в световой поток прибора и устанавливают (0,000 +/- 0,001) по шкале оптической плотности при длине волны 420 нм. Дистиллированная вода должна быть той же партии, что и для приготовления раствора патоки.
Кювету с раствором патоки помещают в световой поток прибора и измеряют оптическую плотность при длине волны 420 нм.
Проводят два параллельных анализа.
Б.5 Обработка результатов
Цвет патоки Ц в единицах ICUMSA вычисляют по формуле:

, (Б.2)
где D420 - значение оптической плотности раствора патоки;
100 - коэффициент пересчета на сухое вещество патоки, %;
1000 - коэффициент пересчета в ед. ICUMSA;
mс.в - массовая доля сухого вещества в растворе патоки, %;

- плотность раствора патоки, измеренная ареометром при температуре 20 °C, г/см
3;
l - длина оптического пути кюветы, см.
Результаты вычислений записывают до первого десятичного знака.
За окончательный результат определения цвета патоки принимают среднеарифметическое значение результатов двух параллельных определений, округленное до целого числа.
Предел повторяемости (сходимости) r - абсолютное значение разности между результатами двух измерений, полученными в условиях повторяемости при P = 95%, не должен превышать 1 ед. ICUMSA.
Предел воспроизводимости R - абсолютное значение разности между результатами двух измерений, полученными в условиях воспроизводимости при P = 95%, не должен превышать 2 ед. ICUMSA.
Граница абсолютной погрешности метода +/- 1 ед. ICUMSA при P = 95%.
Результат анализа в документах, предусматривающих его использование, представляют в виде:

, при
P = 0,95,
где

- среднеарифметическое значение результатов двух измерений, выполненных условиях повторяемости, ед. ICUMSA;

- значение границ абсолютной погрешности результата анализа при
P = 95%, ед. ICUMSA.
(рекомендуемое)
ОПРЕДЕЛЕНИЕ ЦВЕТА ПАТОКИ ФОТОМЕТРИЧЕСКИМ МЕТОДОМ II
В.1 Сущность метода заключается в определении светопропускающей способности нефильтрованного раствора патоки относительно дистиллированной воды.
В.2 Средства измерений и вспомогательные устройства
Весы неавтоматического действия по
ГОСТ OIML R 76-1, обеспечивающие точность взвешивания с пределами допускаемой абсолютной погрешности +/- 0,003 г.
Колориметр фотоэлектрический или спектрофотометр, измеряющий светопоглощение при длине волны 390 нм, 400 нм, с пределом допускаемого значения основной абсолютной погрешности при измерении коэффициента пропускания не более +/- 1%.
Кюветы фотометрические длиной оптического пути 5 см.
Термостат циркуляционный, обеспечивающий поддержание постоянной температуры с погрешностью +/- 0,3 °C.
Термометр жидкостный стеклянный, диапазон измерения 0 - 100 °C, цена деления шкалы 1 °C по
ГОСТ 28498.
Стаканы стеклянные В-1-150, В-1-250 ТС или ТХС по
ГОСТ 25336.
Допускается применение других средств измерений с метрологическими характеристиками и оборудования с техническими характеристиками не ниже вышеуказанных.
В.3 Подготовка к проведению анализа
В.3.1 Перед выполнением измерений необходимо настроить фотоэлектрический колориметр или спектрофотометр согласно инструкции по эксплуатации. При использовании колориметра устанавливают светофильтр с максимумом пропускания 400 нм. При использовании спектрофотометра устанавливают длину волны 390 нм.
В.3.2 Подготовка пробы
При использовании спектрофотометра
В стеклянный стакан вместимостью 250 см3 взвешивают (50,00 +/- 0,01) г анализируемой патоки и (50,00 +/- 0,01) г горячей дистиллированной воды температурой 40 - 50 °C. Тщательно перемешивают до полного растворения патоки. Раствор охлаждают до комнатной температуры.
При использовании колориметра
В стеклянном стакане вместимостью 250 см3 взвешивают (50,00 +/- 0,01) г анализируемой патоки и (35,00 +/- 0,01) г дистиллированной воды температурой 40 - 50 °C и тщательно перемешивают до полного растворения патоки. Раствор охлаждают до комнатной температуры.
В.4 Проведение анализа
Кювету сравнения спектрофотометра или колориметра заполняют дистиллированной водой и устанавливают значение коэффициента пропускания 100%.
Измерительную кювету прибора заполняют раствором патоки и проводят измерение коэффициента пропускания согласно инструкции по эксплуатации прибора.
Дистиллированная вода в кювете сравнения должна быть той же партии, что и для приготовления раствора патоки.
На внутренней поверхности кювет не должно быть пузырьков воздуха. Проводят два параллельных анализа.
В.5 Обработка результатов
За значение цвета патоки принимают измеренный коэффициент пропускания исследуемого раствора патоки в ед. CISM.
Результаты измерений записывают до первого десятичного знака.
За окончательный результат определения цвета патоки принимают среднеарифметическое значение результатов двух параллельных определений, округленное до целого числа.
Предел повторяемости (сходимости) r - абсолютное значение разности между результатами двух измерений, полученными в условиях повторяемости при P = 95%, не должен превышать 1 ед. CISM.
Предел воспроизводимости R - абсолютное значение разности между результатами двух измерений, полученными в условиях воспроизводимости при P = 95%, не должен превышать 3 ед. CISM.
Граница абсолютной погрешности метода +/- 2 ед. CISM при P = 95%.
Результат анализа в документах, предусматривающих его использование, представляют в виде:

, при
P = 0,95,
где

- среднеарифметическое значение результатов двух измерений, выполненных в условиях повторяемости, ед. CISM;

- значение границ абсолютной погрешности результата анализа при
P = 95%, ед. CISM.
(рекомендуемое)
ОПРЕДЕЛЕНИЕ ЦВЕТА И МУТНОСТИ ПАТОКИ ФОТОМЕТРИЧЕСКИМ
МЕТОДОМ III
Г.1 Сущность метода заключается в измерении значения оптической плотности фильтрованного и нефильтрованного растворов патоки относительно дистиллированной воды с последующим пересчетом в значение цвета и мутности.
Г.2 Средства измерений, посуда, вспомогательные устройства и реактивы
Весы неавтоматического действия по
ГОСТ OIML R 76-1, обеспечивающие точность взвешивания с пределами допускаемой абсолютной погрешности +/- 0,003 и +/- 0,0003 г.
Фотометр или спектрофотометр, измеряющий светопоглощение при длине волны 430 нм, 560 нм, с пределом допускаемого значения основной абсолютной погрешности при измерении коэффициента пропускания не более +/- 0,5% и с пределом допускаемой абсолютной погрешности установки длины волны не более 3 нм.
Кюветы фотометрические длиной оптического пути 5 см.
Термостат жидкостный, обеспечивающий поддержание температуры (25 +/- 2) °C.
Фильтры мембранные диаметром пор 0,45 мкм.
Термометр жидкостный стеклянный, диапазон измерения 0 - 100 °C, цена деления шкалы 1 °C по
ГОСТ 28498.
Часы электронно-механические кварцевые настольные, настенные или часы-будильники по
ГОСТ 27752.
Стаканы стеклянные В-1-50, В-1-250 ТС или ТХС по
ГОСТ 25336.
Колбы конические Кн-1-250-34 ТС или ТХС по
ГОСТ 25336.
Пипетки стеклянные мерные: 1-1-1-0,5, 1-1-2-1, 1-1-2-5, 1-1-2-10 по
ГОСТ 29227.
Гексаметилентетрамин (уротропин) марки С, высший сорт по
ГОСТ 1381 или фармакопейный.
Вода дистиллированная по
ГОСТ 6709, профильтрованная через мембранный фильтр.
Допускается применение других средств измерений с метрологическими характеристиками и оборудования с техническими характеристиками, а также реактивов по качеству не ниже вышеуказанных.
Г.3 Подготовка к проведению анализа
Г.3.1 Перед выполнением измерений необходимо подготовить к работе фотометр или спектрофотометр согласно инструкции по эксплуатации.
Г.3.2 Приготовление растворов
Г.3.2.1 Приготовление суспензии формазина 1000 EBC
В стеклянные стаканы взвешивают (1,000 +/- 0,001) г сернокислого гидразина и (10,000 +/- 0,001) г гексаметилентетрамина. Навески растворяют в небольшом объеме дистиллированной воды и количественно переносят в мерные колбы вместимостью 100 см3. При температуре растворов (20 +/- 1) °C доводят их объем дистиллированной водой до метки. Приготовленные растворы должны быть выдержаны при комнатной температуре не менее 4 ч.
Растворы гексаметилентетрамина и сернокислого гидразина смешивают в соотношении 1:1 в конической колбе и выдерживают не менее 24 ч в термостате при температуре (25 +/- 2) °C.
Срок хранения суспензии формазина не более 6 мес. при комнатной температуре.
Г.3.2.2 Приготовление суспензии формазина 100 EBC
Суспензию формазина, приготовленную по
Г.3.2.1, разбавляют в 10 раз. Для этого пипеткой переносят 10 см
3 суспензии 1000 EBC в мерную колбу вместимостью 100 см
3, доводят до метки дистиллированной водой при температуре суспензии (20 +/- 1) °C и тщательно перемешивают.
Срок хранения суспензии не более 14 сут. при комнатной температуре.
Г.3.2.3 Приготовление градуировочных суспензий формазина
Градуировочные суспензии формазина 100 EBC готовят соответствующим разбавлением суспензии. Для этого в мерные колбы вместимостью 100 см3 пипеткой переносят 0,1; 0,3; 0,5; 0,7; 0,8; 1,0; 2,0; 3,0; 5,0; 10,0 см3 суспензии 100 EBC, доводят дистиллированной водой до метки при температуре суспензии 20 °C и тщательно перемешивают. Полученные суспензии имеют значение мутности 0,1; 0,3; 0,5; 0,7; 0,8; 1,0; 2,0; 3,0; 5,0; 10,0 EBC соответственно. Их используют для градуировки фотометра или спектрофотометра.
Срок хранения растворов - не более 1 сут. при комнатной температуре.
Г.3.3 Проведение градуировки фотометра или спектрофотометра
Проводят измерение оптической плотности растворов (0,1 - 10,0) EBC при длине волны 560 нм по отношению к фильтрованной дистиллированной воде.
Строят график зависимости значений оптической плотности от значений мутности.
Допускается обработка результатов анализа методом линейной регрессии с использованием соответствующего компьютерного программного обеспечения (например, Microcal Origin 5.0). В этом случае получают градуировочное уравнение:
где М - мутность в единицах EBC;
b и c - градуировочные коэффициенты;
D560 - оптическая плотность, измеренная для суспензии формазина при длине волны 560 нм.
Полученный градуировочный график или градуировочное уравнение используют для определения мутности.
Г.3.4 Подготовка пробы
В стеклянном стакане вместимостью 250 см3 взвешивают (20,00 +/- 0,01) г патоки и (180,00 +/- 0,01) г горячей 40 - 50 °C дистиллированной воды, тщательно перемешивают до полного растворения патоки, раствор охлаждают до комнатной температуры. Этот раствор используют для определения мутности.
100 см3 приготовленного раствора патоки фильтруют через мембранный фильтр. Этот раствор используют для определения цвета.
Г.4 Проведение анализа
Устанавливают на фотометре или спектрофотометре светофильтр длиной волны 560 нм. Кювету сравнения прибора заполняют дистиллированной водой и устанавливают значение (0,000 +/- 0,001) оптической плотности.
Измерительную кювету прибора заполняют нефильтрованным раствором патоки и проводят измерение оптической плотности согласно инструкции по эксплуатации прибора.
Проводят два параллельных анализа.
Устанавливают на фотометре или спектрофотометре светофильтр длиной волны 430 нм. Кювету сравнения прибора заполняют дистиллированной водой и устанавливают значение (0,000 +/- 0,001) оптической плотности.
Измерительную кювету прибора заполняют фильтрованным раствором патоки и проводят измерение оптической плотности согласно инструкции по эксплуатации прибора.
Проводят два параллельных анализа.
Г.5 Обработка результатов
Значение цвета Ц1 в единицах EBC вычисляют по формуле:
Ц1 = 50·D430, (Г.2)
где 50 - коэффициент, учитывающий разбавление патоки и длину оптического пути кюветы;
D430 - оптическая плотность, измеренная для фильтрованного раствора патоки при длине волны 430 нм.
По градуировочному графику
(Г.3.3) или
уравнению (Г.1) вычисляют значение мутности в единицах EBC, соответствующее измеренному значению оптической плотности для нефильтрованного раствора при длине волны 560 нм.
Результаты измерений записывают до третьего десятичного знака.
За окончательный результат принимают среднеарифметическое значение результатов двух параллельных определений, округленное до второго десятичного знака.
Предел повторяемости (сходимости) r - абсолютное значение разности между результатами двух измерений, полученными в условиях повторяемости при P = 95%, не должен превышать 0,10 EBC.
Предел воспроизводимости R - абсолютное значение разности между результатами двух измерений, полученными в условиях воспроизводимости при P = 95%, не должен превышать 0,20 EBC.
Граница абсолютной погрешности метода +/- 0,14 EBC при P = 95%.
Результат анализа в документах, предусматривающих его использование, представляют в виде:

, при
P = 0,95,
где

- среднеарифметическое значение результатов двух измерений, выполненных в условиях повторяемости, EBC;

- значение границ абсолютной погрешности результата анализа при
P = 95%, EBC.
(обязательное)
ОПРЕДЕЛЕНИЕ УДЕЛЬНОЙ ЭЛЕКТРИЧЕСКОЙ ПРОВОДИМОСТИ (УЭП)
ДЛЯ ДЕМИНЕРАЛИЗОВАННОЙ ПАТОКИ
Д.1 Сущность метода заключается в измерении значения удельной электрической проводимости (УЭП) между кольцами измерительного электрода, погруженного в раствор, выраженной в миллисименсах (мСм) или микросименсах (мкСм) на сантиметр.
Д.2 Средства измерений, посуда, вспомогательные материалы
Кондуктометр лабораторный с автоматической термокомпенсацией с диапазоном измерения от 0,01 мкСм/см до 1000 мСм/см, с точностью измерения +/- 0,5%.
Весы неавтоматического действия по
ГОСТ OIML R 76-1, обеспечивающие точность взвешивания с пределами допускаемой абсолютной погрешности +/- 0,015 г.
Стаканы стеклянные В-1-250 ТС или ТХС по
ГОСТ 25336, или стаканы пластиковые химические - по нормативным документам, действующим на территории государства, принявшего стандарт.
Термометр жидкостный стеклянный, диапазон измерения от 0 до 100 °C, цена деления шкалы 1 °C по
ГОСТ 28498.
Вода бидистиллированная - по нормативным документам, действующим на территории государства, принявшего стандарт.
Палочка стеклянная или пластиковая - по нормативным документам, действующим на территории государства, принявшего стандарт.
Допускается применение других средств измерений с метрологическими характеристиками и оборудования с техническими характеристиками не ниже вышеуказанных.
Д.3 Подготовка к проведению анализа
Д.3.1 Подготовка кондуктометра
Перед выполнением измерений кондуктометр необходимо проверить по стандартным растворам, подбираемым в зависимости от диапазона измерения, и при необходимости откалибровать в соответствии с процедурой калибровки (стандартные растворы для проверки: 1413, 500, 84, 10 мкСм/см при 25 °C).
Перед каждым проведением анализа электрод тщательно промывают бидистиллированной водой, и удаляют с него капли воды фильтровальной бумагой.
Д.3.2 Подготовка пробы
Сначала определяют массовую долю сухих веществ в патоке рефрактометрическим методом согласно
6.7.
Перед проведением анализа исследуемую пробу растворяют в горячей бидистиллированной воде с температурой 40 - 60 °C до массовой доли сухих веществ (35 +/- 0,5)%. Для этого на весы помещают стакан вместимостью 250 см3 и обнуляют их. Затем вносят навеску пробы массой (70 +/- 0,5) г.
Массу воды, необходимую для приготовления 35% раствора патоки, рассчитывают по формуле:

, (Д.1)
где

- масса воды, г;
СВ - массовая доля сухих веществ патоки, %.
Смесь тщательно перемешивают стеклянной или пластиковой палочкой, проверяют содержание сухих веществ рефрактометрическим методом по
6.7. При необходимости доводят содержание сухих веществ до 35% бидистиллированной водой. Полученный раствор охлаждают до температуры (25 +/- 2) °C.
Д.4 Проведение анализа
В раствор патоки, охлажденный до температуры (25 +/- 2) °C, опускают электроды кондуктометра, при этом следят, чтобы уровень раствора был выше отверстий на корпусе электрода.
Показания прибора снимают до первого десятичного знака.
Проводят два параллельных анализа.
Д.5 Обработка результатов
Д.5.1 Пересчет значений электропроводимости на сухое вещество
Пересчет значения электропроводимости на сухое вещество проводят по формуле:
SDS = S·2,86, (Д.2)
где SDS - значение электропроводимости пробы, пересчитанное на сухое вещество, мкСм/см;
S - значение электропроводимости 35% раствора патоки, мкСм/см;
2,86 - коэффициент пересчета значения электропроводимости из 35% раствора на абсолютно сухое вещество.
За окончательный результат определения удельной электрической проводимости принимают среднеарифметическое значение результатов двух параллельных определений, округленное до целого числа.
Предел повторяемости (сходимости) r - абсолютное значение разности между результатами двух измерений, полученными в условиях повторяемости при P = 95%, не должен превышать 2 мкСм/см.
Предел воспроизводимости R - абсолютное значение разности между результатами двух измерений, полученными в условиях воспроизводимости при P = 95%, не должен превышать 4 мкСм/см.
Граница абсолютной погрешности метода +/- 2 мкСм/см при P = 95%.
Результат анализа в документах, предусматривающих его использование, представляют в виде:

, при
P = 0,95,
где

- среднеарифметическое значение результатов двух измерений, выполненных в условиях повторяемости, мкСм/см;

- значение границ абсолютной погрешности результата анализа при
P = 95%, мкСм/см.
(рекомендуемое)
Патоку заливают в следующую упаковку:
- вагоны-цистерны для патоки модели 15-1413, 15-1565, 15-1613 или другие вагоны-цистерны для пищевых жидкостей;
- контейнер-цистерну марки 526 Н.С.00.000;
- контейнер типа "флэкси-танк";
- контейнеры пластиковые кубовые;
- автоцистерны для пищевых жидкостей по
ГОСТ 9218;
- автоцистерны термические;
- бочки алюминиевые для пищевых жидкостей;
- бочки из полимерных материалов;
- фляги для молока металлические по
ГОСТ 5037.
Цистерны должны быть снабжены в нижней части змеевиком или паровой рубашкой для подогрева патоки и устройством для слива.
Допускается упаковка патоки в другие виды емкостей, в том числе и импортные.
Все виды упаковки должны иметь разрешения к использованию, полученные в установленном порядке.
| | Технический регламент Таможенного союза О безопасности пищевой продукции" |
| | Технический регламент Таможенного союза "О безопасности упаковки" |
| | Технический регламент Таможенного союза "Пищевая продукция в части ее маркировки" |