Главная // Актуальные документы // ГОСТ (Государственный стандарт)СПРАВКА
Источник публикации
М.: Стандартинформ, 2018
Примечание к документу
Документ
введен в действие с 1 июня 2019 года.
Название документа
"ГОСТ 34445-2018. Межгосударственный стандарт. Наноматериалы. Магний оксид наноструктурированный. Технические требования и методы измерений (анализа)"
(введен в действие Приказом Росстандарта от 13.12.2018 N 1100-ст)
"ГОСТ 34445-2018. Межгосударственный стандарт. Наноматериалы. Магний оксид наноструктурированный. Технические требования и методы измерений (анализа)"
(введен в действие Приказом Росстандарта от 13.12.2018 N 1100-ст)
Введен в действие
по техническому регулированию
и метрологии
от 13 декабря 2018 г. N 1100-ст
МЕЖГОСУДАРСТВЕННЫЙ СТАНДАРТ
НАНОМАТЕРИАЛЫ
МАГНИЙ ОКСИД НАНОСТРУКТУРИРОВАННЫЙ
ТЕХНИЧЕСКИЕ ТРЕБОВАНИЯ И МЕТОДЫ ИЗМЕРЕНИЙ (АНАЛИЗА)
Nanomaterials. Nanostructured oxide magnesium. Technical
requirements and test (analysis) methods
ГОСТ 34445-2018
Дата введения
1 июня 2019 года
Цели, основные принципы и основной порядок проведения работ по межгосударственной стандартизации установлены в
ГОСТ 1.0-2015 "Межгосударственная система стандартизации. Основные положения" и
ГОСТ 1.2-2015 "Межгосударственная система стандартизации. Стандарты межгосударственные, правила и рекомендации по межгосударственной стандартизации. Правила разработки, принятия, обновления и отмены"
1 РАЗРАБОТАН Обществом с ограниченной ответственностью "Экспертная организация "Инженерная безопасность" (ООО ЭО "Инженерная безопасность")
2 ВНЕСЕН Межгосударственным техническим комитетом по стандартизации МТК 441 "Нанотехнологии"
3 ПРИНЯТ Межгосударственным советом по стандартизации, метрологии и сертификации (протокол от 27 июля 2018 г. N 110-П)
За принятие проголосовали:
Краткое наименование страны по МК (ИСО 3166) 004-97 | Код страны по МК (ИСО 3166) 004-97 | Сокращенное наименование национального органа по стандартизации |
Беларусь | BY | Госстандарт Республики Беларусь |
Казахстан | KZ | Госстандарт Республики Казахстан |
Киргизия | KG | Кыргызстандарт |
Россия | RU | Росстандарт |
Узбекистан | UZ | Узстандарт |
Украина | UA | Минэкономразвития Украины |
4
Приказом Федерального агентства по техническому регулированию и метрологии от 13 декабря 2018 г. N 1100-ст межгосударственный стандарт ГОСТ 34445-2018 введен в действие в качестве национального стандарта Российской Федерации с 1 июня 2019 г.
5 ВВЕДЕН ВПЕРВЫЕ
6 Федеральное агентство по техническому регулированию и метрологии не несет ответственности за патентную чистоту настоящего стандарта. Патентообладатель может заявить о своих правах и направить в Федеральное агентство по техническому регулированию и метрологии аргументированное предложение о внесении в настоящий стандарт поправки для указания информации о наличии в стандарте объектов патентного права и патентообладателе
Информация об изменениях к настоящему стандарту публикуется в ежегодном информационном указателе "Национальные стандарты", а текст изменений и поправок - в ежемесячном информационном указателе "Национальные стандарты". В случае пересмотра (замены) или отмены настоящего стандарта соответствующее уведомление будет опубликовано в ежемесячном информационном указателе "Национальные стандарты". Соответствующая информация, уведомление и тексты размещаются также в информационной системе общего пользования - на официальном сайте Федерального агентства по техническому регулированию и метрологии в сети Интернет (www.gost.ru)
Настоящий стандарт распространяется на магний оксид наноструктурированный (далее - магний оксид), получаемый обжигом гидроксида магния и предназначенный для использования в качестве высокоэффективного нетоксичного неорганического наполнителя и/или добавки для производства всех типов пластиков и резины, в производстве трансформаторных сталей, как исходное сырье в химической промышленности, а также в фармацевтической и пищевой отраслях.
В настоящем стандарте использованы нормативные ссылки на следующие стандарты:
ГОСТ 8.579-2002 Государственная система обеспечения единства измерений. Требования к количеству фасованных товаров в упаковках любого вида при их производстве, расфасовке, продаже и импорте
ГОСТ 12.1.007-76 Система стандартов безопасности труда. Вредные вещества. Классификация и общие требования безопасности
ГОСТ 12.1.044-89 Система стандартов безопасности труда. Пожаровзрывоопасность веществ и материалов. Номенклатура показателей и методы их определения
ГОСТ 12.4.011-89 Система стандартов безопасности труда. Средства защиты работающих. Общие требования и классификация
ГОСТ 61-75 Реактивы. Кислота уксусная. Технические условия
ГОСТ 199-78 Реактивы. Натрий уксуснокислый 3-водный. Технические условия
ГОСТ 435-77 Реактивы. Марганец (II) сернокислый 5-водный. Технические условия
ГОСТ 450-77 Кальций хлористый технический. Технические условия
ГОСТ 844-79 Магнезия жженая техническая. Технические условия
ГОСТ 1277-75 Реактивы. Серебро азотнокислое. Технические условия
ГОСТ 1770-74 Посуда мерная лабораторная стеклянная. Цилиндры, мензурки, колбы, пробирки. Общие технические условия
ГОСТ 3652-69 Реактивы. Кислота лимонная моногидрат и безводная. Технические условия
ГОСТ 3765-78 Реактивы. Аммоний молибденовокислый. Технические условия
ГОСТ 3773-72 Реактивы. Аммоний хлористый. Технические условия
ГОСТ 4108-72 Реактивы. Барий хлорид 2-водный. Технические условия
ГОСТ 4166-76 Реактивы. Натрий сернокислый. Технические условия
ГОСТ 4208-72 Реактивы. Соль закиси железа и аммония двойная сернокислая (соль Мора). Технические условия
ГОСТ 4212-2016 Реактивы. Методы приготовления растворов для колориметрического и нефелометрического анализа
ГОСТ 4233-77 Реактивы. Натрий хлористый. Технические условия
ГОСТ 4328-77 Реактивы. Натрия гидроокись. Технические условия
ГОСТ 4329-77 Реактивы. Квасцы алюмокалиевые. Технические условия
--------------------------------
<*> В Российской Федерации действуют ТУ 6-09-01-245-84 "Магний оксид (окись магния) MgO, квалификация ч.д.а. для спектрального анализа".
ГОСТ 4530-76 Реактивы. Кальций углекислый. Технические условия
ГОСТ 5632-2014 Легированные нержавеющие стали и сплавы коррозионностойкие, жаростойкие и жаропрочные. Марки
ГОСТ 6552-80 Реактивы. Кислота ортофосфорная. Технические условия
ГОСТ 6613-86 Сетки проволочные тканые с квадратными ячейками. Технические условия
ГОСТ 9147-80 Посуда и оборудование лабораторные фарфоровые. Технические условия
ГОСТ 9293-74 Азот газообразный и жидкий. Технические условия
ГОСТ 10398-2016 Реактивы и особо чистые вещества. Комплексонометрический метод определения содержания основного вещества
ГОСТ 10652-73 Реактивы. Соль динатриевая этилендиамин-N,N,N',N'-тетрауксусной кислоты 2-водная (трилон Б). Технические условия
ГОСТ 11125-84 Кислота азотная особой чистоты. Технические условия
ГОСТ 15846-2002 Продукция, отправляемая в районы Крайнего Севера и приравненные к ним местности. Упаковка, маркировка, транспортирование и хранение
ГОСТ 17433-80 Промышленная чистота. Сжатый воздух. Классы загрязненности
--------------------------------
<**> В Российской Федерации действует
ГОСТ Р 55878-2013 "Спирт этиловый технический гидролизный ректификованный. Технические условия".
ГОСТ 20288-74 Реактивы. Углерод четыреххлористый. Технические условия
ГОСТ 20478-75 Реактивы. Аммоний надсернокислый. Технические условия
ГОСТ 24597-81 Пакеты тарно-штучных грузов. Основные параметры и размеры
ГОСТ 25336-82 Посуда и оборудование лабораторные стеклянные. Типы, основные параметры и размеры
ГОСТ 25794.2-83 Реактивы. Методы приготовления титрованных растворов для окислительно-восстановительного титрования
ГОСТ 26663-85 Пакеты транспортные. Формирование с применением средств пакетирования. Общие технические требования
ГОСТ 27068-86 Реактивы. Натрий серноватистокислый (натрия тиосульфат) 5-водный. Технические условия
ГОСТ 28498-90 Термометры жидкостные стеклянные. Общие технические требования. Методы испытаний
ГОСТ 29169-91 Посуда лабораторная стеклянная. Пипетки с одной отметкой
ГОСТ 29227-91 Посуда лабораторная стеклянная. Пипетки градуированные. Часть 1. Общие требования
ГОСТ 29251-91 Посуда лабораторная стеклянная. Бюретки. Часть 1. Общие требования
ГОСТ 31340-2013 Предупредительная маркировка химической продукции. Общие требования
ГОСТ ISO 3696-2013
<*> Вода для лабораторного анализа. Технические требования и методы контроля
--------------------------------
<*> В Российской Федерации действует
ГОСТ Р 52501-2005 (ИСО 3696:1987) "Вода для лабораторного анализа. Технические условия".
ГОСТ OIML R 76-1-2011 Государственная система обеспечения единства измерений. Весы неавтоматического действия. Часть 1. Метрологические и технические требования. Испытания
ГОСТ OIML R 111-1-2009 Государственная система обеспечения единства измерений. Гири классов E
1, E
2, F
1, F
2, M
1, M
1-2, M
2, M
2-3 и M
3. Часть 1. Метрологические и технические требования
Примечание - При пользовании настоящим стандартом целесообразно проверить действие ссылочных стандартов в информационной системе общего пользования - на официальном сайте Федерального агентства по техническому регулированию и метрологии в сети Интернет или по ежегодному информационному указателю "Национальные стандарты", который опубликован по состоянию на 1 января текущего года, и по выпускам ежемесячного информационного указателя "Национальные стандарты" за текущий год. Если заменен ссылочный стандарт, на который дана недатированная ссылка, то рекомендуется использовать действующую версию этого стандарта с учетом всех внесенных в данную версию изменений. Если заменен ссылочный стандарт, на который дана датированная ссылка, то рекомендуется использовать версию этого стандарта с указанным выше годом утверждения (принятия). Если после утверждения настоящего стандарта в ссылочный стандарт, на который дана датированная ссылка, внесено изменение, затрагивающее положение, на которое дана ссылка, то это положение рекомендуется применять без учета данного изменения. Если ссылочный стандарт отменен без замены, то положение, в котором дана ссылка на него, рекомендуется применять в части, не затрагивающей эту ссылку.
3.1 Магний оксид изготавливают в соответствии с требованиями настоящего стандарта по технологическому регламенту, утвержденному в установленном порядке.
3.2 Магний оксид изготавливают следующих марок: FA, LA, MA, HA, ST. Состав марок приведен в
таблице 1.
Наименование показателя | Значение нормы для марки |
FA | LA | MA | HA | ST |
1 Массовая доля магния оксида (MgO), %, не менее | |
2 Массовая доля хлоридов (Cl), %, не более | 0,1 | 0,03 |
3 Массовая доля кальция в пересчете на оксид кальция (CaO), %, не более | 0,05 | 0,20 | 0,3 |
4 Массовая доля марганца (Mn), %, не более | 0,003 | - | 0,003 | - |
5 Массовая доля алюминия в пересчете на триоксид алюминия (Al2O3), %, не более | 0,005 | 0,05 | - |
6 Массовая доля бора (B), %, не более | 0,01 | - | 0,15 |
7 Массовая доля кремния в пересчете на диоксид кремния (SiO 2), %, не более | 0,005 | 0,05 | 0,10 |
8 Массовая доля свинца (Pb), %, не более | 0,001 | - |
9 Массовая доля ванадия (V), %, не более | 0,0005 | - |
10 Массовая доля железа в пересчете на оксид железа (Fe2O3), %, не более | 0,05 |
11 Массовая доля сульфатов (SO4), %, не более | 0,01 | 0,1 |
12 Массовая доля натрия (Na), %, не более | 0,02 | 0,10 | 0,015 |
13 Массовая доля калия (K), %, не более | - | 0,01 | - |
14 Массовая доля нерастворимого в соляной кислоте остатка, %, не более | 0,05 | 0,05 | - | 0,10 | - |
15 Массовая доля потерь при прокаливании при температуре 900 °C, %, не более | 10 | 4 | 10 | 2,0 |
16 Активность по лимонному числу, с | - | 50 - 90 |
17 Активность по йодному числу, мг J/г MgO | - | 75 - 190 | - |
18 Удельная поверхность, м2/г | - | 4 - 30 | 31 - 74 | 75 - 190 | - |
19 Динамическая вязкость суспензии, Па·с: | - | |
- способ 1 | 0,02 - 0,15 |
- способ 2 | 0,02 - 0,15 |
20 Массовая доля остатка при просеве на сите, %, не более, с сеткой: 150 мкм | 1 | - | 1 | - |
45 мкм | - | 1 | - | 0,3 |
21 Гранулометрический состав, мкм, не более: | - | |
- диаметр 10% частиц d10 | 1,0 |
- диаметр 50% частиц d50 | 3,5 |
<*> Норма приведена в пересчете на прокаленное вещество. Примечание - Показатели по позициям 4 - 7, 13 изготовитель определяет периодически, не реже одного раза в 6 мес, по позициям 8 и 9 - по требованию потребителя. |
4 Требования безопасности и охраны окружающей среды
4.1 По степени воздействия на организм человека магний оксид относится к малоопасным веществам (4-го класса опасности по
ГОСТ 12.1.007).
В малых дозах магний оксид обычно не оказывает токсического воздействия, но в виде пыли может вызвать раздражение слизистых оболочек глаз и носа.
4.3 В случае разгерметизации транспортного пакета с магнием оксидом или россыпи порошка его собирают совком, а место россыпи промывают водой.
4.4 В качестве средств индивидуальной защиты при производстве магния оксида используют специальные средства индивидуальной защиты: костюм из хлопчатобумажной ткани, резиновые сапоги, резиновые перчатки, респираторы и защитные очки по
ГОСТ 12.4.011.
4.5 При попадании магния оксида в глаза их следует промыть водой в течение нескольких минут.
4.6 По истечении гарантийного срока хранения или при несоответствии продукции требованиям настоящего стандарта магний оксид утилизируют в соответствии с НД государств
<*>, проголосовавших за принятие настоящего стандарта (далее - НД государств).
--------------------------------
<*> В Российской Федерации - по
СанПиН 2.1.7-1322-03 "Гигиенические требования к размещению и обезвреживанию отходов производства и потребления".
Общие указания по проведению измерений - по
ГОСТ 27025.
Методы должны обеспечивать получение результатов измерений с метрологическими характеристиками, не превышающими значений, приведенных в
таблице 2, при доверительной вероятности
P = 0,95.
Метрологическая характеристика | Значение для метода определения массовой доли, % |
магния оксида (MgO) (5.3) | | кальция в пересчете на оксид кальция (CaO) (5.5) | алюминия в пересчете на триоксид алюминия (Al 2O 3) для марок LA, MA, HA (5.8) | | | железа в пересчете на оксид железа (Fe 2O 3) (5.11) | кремния в пересчете на диоксид кремния (SiO 2) (5.10) | | | нерастворимого в соляной кислоте остатка (5.14) |
Показатель повторяемости (абсолютное <*>/относительное значение среднеквадратического отклонения повторяемости)  | 0,15 | 8 | 14 | 5 | 3 |
Показатель воспроизводимости (абсолютное <*>/относительное значение среднеквадратического отклонения воспроизводимости)  | 0,20 | 14 | 15 | 12 | 23 | 9 | 5 |
Предел повторяемости (абсолютное <*>/относительное значение допускаемого расхождения между результатами двух параллельных определений) r | 0,4 | 22 | 23 | 22 | 38 | 14 | 8 |
Предел воспроизводимости (абсолютное <*>/относительное значение допускаемого расхождения между двумя результатами, полученными в разных лабораториях) R | 0,6 | 39 | 41 | 33 | 63 | 25 | 14 |
Критический диапазон (абсолютное <*>/относительное значение допускаемого расхождения между результатами четырех параллельных определений) CR0,95(4) | 0,5 | 29 | 30 | 29 | 49 | 18 | 10 |
Показатель точности (границы интервала, в котором находится абсолютная <*>/относительная погрешность измерений)  | 0,4 | 29 | 30 | 25 | 45 | 19 | 10 |
Окончание таблицы 2
Метрологическая характеристика | Значение для метода определения массовой доли, % |
массовой доли для марок FA и HA (5.7) | потерь при прокаливании при температуре 900 °C (5.15) | активности по йодному числу, мг J/г MgO (5.17) |
кальция в пересчете на оксид кальция (CaO) | алюминия в пересчете на триоксид алюминия (Al2O3) | Бора (B) | кремния в пересчете на диоксид кремния (SiO2) | Свинца (Pb) | Ванадия (V) | Марганца (Mn) |
Показатель повторяемости (относительное значение среднеквадратического отклонения повторяемости)  | 8 | 11 | 6 | 5 |
Показатель воспроизводимости (относительное значение среднеквадратического отклонения воспроизводимости)  | 15 | 20 | 9 | 8 |
Предел повторяемости (относительное значение допускаемого расхождения между результатами двух параллельных определений) r | 23 | 30 | 17 | 12 |
Предел воспроизводимости (относительное значение допускаемого расхождения между двумя результатами, полученными в разных лабораториях) R | 41 | 55 | 25 | 21 |
Критический диапазон (относительное значение допускаемого расхождения между результатами четырех параллельных определений) CR0,95(4) | 30 | 40 | 22 | 16 |
Показатель точности (границы интервала, в котором находится относительная погрешность измерений)  | 30 | 40 | 18 | 15 |
<*> Значение для метода определения массовой доли магния оксида. |
Результат измерений массовой доли веществ округляют до такого числа значащих цифр, которому соответствует значение, приведенное в
таблице 1.
5.1.1 При проведении измерений используют следующие средства измерений:
- лабораторные весы по
ГОСТ OIML R 76-1 высокого и среднего классов точности с наибольшим пределом взвешивания 200 и 500 г соответственно;
- набор гирь по
ГОСТ OIML R 111-1 от 1 мг до 250 г класса E
2 при использовании с лабораторными весами высокого класса точности и от 1 мг до 500 г класса F
2 при использовании с лабораторными весами среднего класса точности;
- лабораторный термометр по
ГОСТ 28498 с диапазоном измерений от 0 °C до 100 °C и ценой деления 1 °C;
- аспирационный психрометр с диапазоном измерений относительной влажности воздуха от 10% до 100% при температуре от 10 °C до 30 °C;
- барометр-анероид с ценой деления 1 мм рт. ст.;
- цилиндры 1-10-2, 1-25-2, 1-50-2, 1-100-2, 1-250-2, 1-500-2, 1-1000-2 по
ГОСТ 1770;
- пипетки 1-1-2-1, 1-1-2-2, 1-1-2-5, 1-1-2-10, 1-1-2-25 по
ГОСТ 29227;
- пипетки 2-2-1, 2-2-2, 2-2-5, 2-2-10, 2-2-20, 2-2-25, 2-2-50 по
ГОСТ 29169;
- колбы 1-25-2, 1-50-2, 1-100-2, 1-200-2, 1-500-2, 1-1000-2, 2-250-2, 2-500-2, 2-1000-2 по
ГОСТ 1770;
- механический секундомер.
Вспомогательные устройства:
- колбы 1-250, 1-1000, Кн-1-100-34 ТХС, Кн-2-100-34 ТХС, Кн-1-250-34 ТХС, Кн-1-250-24/29 ТС, Кн-1-250-29/32 ТС, Кн-2-250-45/40 по
ГОСТ 25336;
- стаканы В-1-50 ТС, В-1-100 ТС, В-1-150 ТС, В-1-250 ТС, В-1-400 ТС, В-1-600 ТС, В-1-1000 ТС, В-1-250 ТХС, В-1-600 ТХС, В-1-1000 ТХС по
ГОСТ 25336;
- воронки В-75-80 ХС, В-75-110 ХС, В-75-110 ТС, ВФ-1-40-ПОР 16 ТХС по
ГОСТ 25336;
- электрическая плитка с закрытой спиралью;
- песочные часы на 5, 10, 15, 20 и 30 мин;
- обеззоленный фильтр "Синяя лента" по НД государств
<*>.
--------------------------------
<*> В Российской Федерации - по ТУ 2642-001-13927158-2003 "Фильтры обеззоленные ФМ "Синяя лента", "Белая лента", "Красная лента".
Реактивы:
- хлористый натрий х.ч., ч.д.а. по
ГОСТ 4233;
--------------------------------
<**> В Российской Федерации - по ТУ 6-09-01-245-84 "Магний оксид (окись магния) MgO, квалификация ч.д.а. для спектрального анализа". Допускается применение магния оксида CAS N 1309-48-4 с массовой долей не менее 99,9%.
- азотнокислое серебро х.ч., ч.д.а. по
ГОСТ 1277;
- хлористый технический кальцинированный кальций по
ГОСТ 450 (для эксикатора), а также другие средства измерений, вспомогательные устройства и реактивы, приведенные в соответствующих методах измерений.
Примечание - Допускается применение других средств измерений с метрологическими характеристиками и оборудования с техническими характеристиками, не уступающими указанным и обеспечивающими нормируемую точность измерений.
5.1.2 Средства измерений должны быть поверены, а испытательное оборудование аттестовано в установленном порядке.
5.1.3 Приготовление растворов и подготовку проб к анализу проводят при следующих условиях:
- температура окружающей среды - (20 +/- 5) °C;
- атмосферное давление - 84 - 106 кПа (630 - 800 мм рт. ст.);
- относительная влажность воздуха - не более 80% при температуре 25 °C;
- напряжение электропитания - (220 +/- 10) В;
- частота переменного тока - (50 +/- 1) Гц.
5.2.1 Точечную пробу магния оксида из упаковочной единицы отбирают щупом, изготовленным из нержавеющей стали марки 12Х18Н10Т по
ГОСТ 5632, погружая его на половину глубины упаковочной единицы.
5.2.2 Допускается осуществлять отбор точечных проб магния оксида от расфасовочного устройства совком, изготовленным из нержавеющей стали марки 12Х18Н10Т по
ГОСТ 5632. Масса точечной пробы - не менее 0,2 кг.
5.2.3 Отобранные точечные пробы объединяют, тщательно перемешивают и получают объединенную пробу, из которой методом квартования получают представительную пробу для испытаний массой не менее 1 кг.
5.2.4 Представительную пробу помещают в чистую сухую полиэтиленовую или стеклянную тару.
На тару наклеивают этикетку с указанием:
- обозначения настоящего стандарта;
- наименования и марки продукта;
- предприятия-изготовителя;
- номера партии или места отбора пробы;
- даты изготовления;
- даты отбора пробы;
- фамилии лица, отобравшего пробу.
5.3 Определение массовой доли магния оксида (MgO)
5.3.1 Массовую долю магния оксида в диапазоне от 98,0% до 99,8% включительно определяют титриметрическим методом, основанным на образовании комплексного соединения 2-водной динатриевой соли этилендиамин-N,N,N',N'-тетрауксусной кислоты, с ионами магния в аммиачной буферной среде при pH = 9,5 - 10,0.
Перед определением массовой доли магния оксида определяют массовую долю кальция в пересчете на оксид кальция CaO по
5.5 (5.7).
5.3.2 При определении массовой доли магния оксида применяют средства измерений, вспомогательные устройства и реактивы по
5.1.1, а также следующие:
- 2-водную динатриевую соль этилендиамин-N,N,N',N'-тетрауксусной кислоты, х.ч., ч.д.а. по
ГОСТ 10652;
- черный эриохром Т х.ч., ч.д.а. по НД государств
<*>;
--------------------------------
<*> В Российской Федерации - по
ТУ 6-09-1760-72 "Эриохром черный Т".
- хлористый аммоний х.ч., ч.д.а. по
ГОСТ 3773;
5.3.3 Подготовка к проведению измерений
Перед проведением измерений приготавливают растворы и пробы.
5.3.3.1 Приготовление растворов
Приготовление раствора 2-водной динатриевой соли этилендиамин-N,N,N',N'-тетрауксусной кислоты молярной концентрации C (ди-Na-ЭДТА) = 0,05 моль/дм
3 (далее - раствор динатриевой соли) - по
ГОСТ 10398. Раствор хранят длительное время в полиэтиленовом или стеклянном, парафинированном изнутри, сосуде. Коэффициент поправки проверяют один раз в месяц.
Для приготовления буферного раствора (pH 9,5 - 10,0) в стакане В-1-250 ТС взвешивают 70 г хлористого аммония с точностью до второго десятичного знака, переносят в колбу 2-1000-2, цилиндром 1-500-2 приливают 500 см3 дистиллированной воды и цилиндром 1-250-2 - 250 см3 водного аммиака, далее раствор перемешивают до растворения соли и дистиллированной водой доводят объем раствора в колбе до делительной отметки номинальной вместимости (далее - делительная отметка).
Раствор хранят в течение 2 мес при комнатной температуре в местах, защищенных от попадания прямых солнечных лучей. При наличии в растворе помутнения или хлопьевидного осадка раствор заменяют свежеприготовленным.
Для приготовления индикаторной смеси черного эриохрома Т в ступке 2 взвешивают 0,1 г черного эриохрома Т и 10 г хлористого натрия с точностью до второго десятичного знака. Смесь солей растирают пестиком 2.
Смесь хранят при комнатной температуре в склянке из темного стекла с завинчивающейся крышкой до изменения внешнего вида.
5.3.3.2 Подготовка пробы
Одновременно готовят растворы из двух аналитических навесок.
В стакане В-1-150 ТС взвешивают 1,8 - 2,2 г пробы (аналитическая навеска) с точностью до четвертого десятичного знака, цилиндром 1-25-2 приливают 25 см3 дистиллированной воды и перемешивают. Пипеткой 1-1-2-10 добавляют 10 см3 соляной кислоты, раствор в стакане нагревают до кипения на электрической плитке, выдерживают до растворения навески и охлаждают до комнатной температуры. Используя воронку В-75-110 ХС, раствор количественно переносят в колбу 2-250-2, обмывая стенки стакана 50 см3 дистиллированной водой, отмеренной цилиндром 1-50-2. Далее дистиллированной водой доводят объем раствора в колбе до делительной отметки и перемешивают - раствор А.
В колбу Кн-1-250-24/29 ТС цилиндром 1-50-2 наливают 50 см3 дистиллированной воды, пипеткой 2-2-5 добавляют 5 см3 раствора А, цилиндром 1-25-2 приливают 20 см3 буферного раствора (pH 9,5 - 10,0). Затем при перемешивании добавляют индикаторную смесь черный эриохром Т до окрашивания раствора в малиновый цвет.
5.3.4 Пробу титруют из бюретки 1-3-2-25-0,1 раствором динатриевой соли до изменения малиновой окраски раствора на синюю.
5.3.5 Обработка (вычисление) результатов измерений
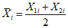
5.3.5.1 Массовую долю магния оксида Xi, %, рассчитывают по формуле

, (5.3.1)
где Vi - объем раствора динатриевой соли, израсходованный на титрование, см3;
0,002015 - масса магния оксида в граммах, эквивалентная 1 см3 раствора динатриевой соли, г/см3;
K - коэффициент поправки раствора динатриевой соли;
Vк - объем раствора А = 250 см3;
Mi - масса аналитической навески, г;
Va - объем раствора А = 5 см3;
0,719 - коэффициент пересчета молярной массы оксида кальция на молярную массу магния оксида;
Y - массовая доля кальция в пересчете на оксид кальция (CaO), определенная по
5.5 (5.7), %.
5.3.5.2 Массовую долю магния оксида Xj, %, в пересчете на прокаленное вещество, рассчитывают по формуле

, (5.3.2)
где
Zi - массовая доля потерь при прокаливании при температуре 900 °C, определенная по
5.15, %.
5.3.5.3 За результат анализа массовой доли магния оксида

, %, принимают среднеарифметическое значение результатов двух параллельных определений
X1 и
X2, полученных в условиях повторяемости

, (5.3.3)
для которых выполняется условие
При невыполнении
условия (5.3.4) необходимо получить еще два результата параллельных определений. Если при этом выполняется условие
Xmax -
Xmin <=
CR0,95(4), (5.3.5)
то в качестве окончательного результата принимают среднеарифметическое значение результатов четырех параллельных определений. Значения критического диапазона
CR0,95(4) и предела повторяемости
r см. в
таблице 2.
Если
условие (5.3.5) не выполняется, в качестве окончательного результата измерений может быть принята медиана результатов четырех определений. Целесообразно выяснять причины появления неприемлемых результатов параллельных определений.
5.4 Определение массовой доли хлоридов (Cl)
5.4.1 Массовую долю хлоридов в диапазоне от 0,01% до 0,3% включительно определяют фототурбидиметрическим методом, основанным на образовании опалесценции раствора, образующейся при взаимодействии хлоридов с ионами серебра в кислой среде.
5.4.2 При определении массовой доли хлоридов применяют средства измерений, вспомогательные устройства и реактивы по
5.1.1, а также следующие:
- фотометр фотоэлектрический, обеспечивающий возможность измерения оптической плотности раствора при длине волны (490 +/- 10) нм с допускаемой основной абсолютной погрешностью при измерении коэффициента пропускания не более 1% в кюветах с толщиной поглощающего свет слоя 50 мм;
- межгосударственный стандартный образец по Реестру МСО (далее - МСО) состава раствора хлорид-ионов (III) с аттестованным значением массовой концентрации ионов 1,00 мг/см3 и относительной погрешностью аттестованного значения не более 1% при P = 0,95.
Примечание - При отсутствии МСО состава раствора хлорид-ионов допускается использовать раствор массовой концентрации хлорид-ионов 1,000 мг/см
3, приготовленный из хлористого натрия по
ГОСТ 4212.
5.4.3 Подготовка к проведению измерений
Перед проведением измерений приготавливают растворы и подготавливают пробы, проводят градуировку прибора. При выполнении измерений используют кюветы с одной и той же толщиной поглощающего свет слоя.
5.4.3.1 Приготовление растворов
Для приготовления раствора хлорид-ионов массовой концентрации 0,0100 мг/см3 в колбу 1-100-2 цилиндром 1-50-2 наливают 50 см3 дистиллированной воды, пипеткой 2-2-1 добавляют 1 см3 МСО. Дистиллированной водой доводят объем раствора в колбе до делительной отметки.
Абсолютная погрешность приготовления раствора хлорид-ионов - не более +/- 0,0002 мг/см3. Раствор применяют свежеприготовленным.
Для приготовления раствора серебра азотнокислого массовой концентрации 17 г/дм3 в колбе 1-100-2 взвешивают 1,70 г азотнокислого серебра с точностью до четвертого десятичного знака, цилиндром 1-50-2 приливают 50 см3 дистиллированной воды и перемешивают до растворения навески. Затем дистиллированной водой доводят объем раствора в колбе до делительной отметки и перемешивают.
Раствор хранят в склянке из темного стекла не ограничено.
Для приготовления раствора азотной кислоты с массовой долей 25% в стакан В-1-400 ТС цилиндром 1-250-2 наливают 160 см3 дистиллированной воды, цилиндром 1-100-2 приливают осторожно, небольшими порциями, перемешивая, 72 см3 концентрированной азотной кислоты.
Раствор хранят при комнатной температуре в склянке с завинчивающейся крышкой в течение 3 мес.
5.4.3.2 Градуировка прибора
Для приготовления градуировочных растворов в колбы 1-50-2 цилиндром 1-25-2 наливают по 10 см3 дистиллированной воды, пипетками 1-1-2-5, 1-1-2-10 вносят 0,0 (холостая проба); 1,0; 3,0; 5,0; 10,0; 15,0 см3 раствора хлорид-ионов массовой концентрацией 0,0100 мг/см3, что соответствует массе хлоридов 0,000; 0,010; 0,030; 0,050; 0,100; 0,150 мг. Затем в каждую колбу пипеткой 1-1-2-2 приливают 2 см3 раствора азотной кислоты с массовой долей 25%, пипеткой 1-1-2-1 добавляют 0,5 см3 раствора азотнокислого серебра массовой концентрации 17 г/дм3 и пипеткой 1-1-2-2 приливают 2 см3 этиленгликоля. Далее дистиллированной водой доводят объем раствора в колбе до делительной отметки. Колбы с растворами выдерживают в темном месте в течение 20 мин.
Измеряют оптические плотности градуировочных растворов относительно холостой пробы при длине волны (490 +/- 10) нм.
Приготавливают две новые серии градуировочных растворов и измеряют их оптические плотности.
Вычисляют среднеарифметическое измеренных значений оптической плотности для каждого градуировочного раствора.
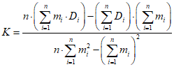
Градуировочная характеристика зависимости среднего значения оптической плотности D от массы определяемого компонента (хлоридов) m аппроксимируется линейной функцией вида
Рассчитывают коэффициенты градуировочной характеристики (K, a) методом наименьших квадратов по формулам

, (5.4.2)

(5.4.3)
где n - число градуировочных растворов (n = 5);
Di - оптическая плотность i-го градуировочного раствора;
mi - масса определяемого компонента в i-м градуировочном растворе, мг.
Контроль стабильности градуировочной характеристики проводят не реже одного раза в месяц или при смене партий реактивов и ремонте прибора. Средствами контроля являются вновь приготовленные градуировочные растворы во всем диапазоне измерений (не менее трех растворов). Одновременно готовят холостую пробу. Колбы с растворами выдерживают в темном месте в течение 20 мин.
Измеряют оптические плотности градуировочных растворов относительно холостой пробы при длине волны (490 +/- 10) нм.
Приготавливают две новые серии градуировочных растворов и измеряют их оптические плотности.
Вычисляют среднеарифметическое измеренных значений оптической плотности для каждого градуировочного раствора.
Используя полученную градуировочную характеристику, определяют массу хлоридов

, мг, в каждом градуировочном растворе по формуле

, (5.4.4)
где

- оптическая плотность градуировочного раствора.
Градуировочную характеристику считают стабильной, если для каждого градуировочного раствора относительное расхождение между измеренным и заданным значениями массы хлоридов не превышает 15%.
Если условие стабильности градуировочной характеристики не выполняется только для одного градуировочного раствора, необходимо выполнить повторный анализ этого раствора для исключения результата, содержащего грубую погрешность.
Если градуировочная характеристика нестабильна, выясняют причины и повторяют контроль с использованием новых градуировочных растворов, предусмотренных методикой (n = 3). При повторном обнаружении нестабильности градуировочной характеристики градуировку прибора проводят заново.
5.4.3.3 Подготовка пробы
Одновременно готовят растворы из двух аналитических навесок.
В стакане В-1-150 ТС взвешивают 1,00 - 1,10 г пробы (аналитическая навеска) с точностью до четвертого десятичного знака, цилиндром 1-25-2 приливают 20 см3 дистиллированной воды и перемешивают. Пипеткой 1-1-2-5 добавляют 5 см3 азотной концентрированной кислоты, раствор в стакане нагревают до кипения на электрической плитке, выдерживают до растворения навески и охлаждают до комнатной температуры. Используя воронку В-75-110 ХС, раствор количественно переносят в колбу 1-100-2. Дистиллированной водой доводят объем раствора в колбе до делительной отметки и перемешивают - раствор А.
Примечание - Если раствор А мутный, то, используя воронку В-75-110 ХС, его фильтруют в колбу Кн-1-100-34 ТХС через обеззоленный фильтр "Синяя лента".
В колбу 1-50-2 цилиндром 1-25-2 наливают 10 см3 дистиллированной воды, пипеткой 2-2-10 приливают 10 см3 раствора А. Затем пипеткой 1-1-2-2 добавляют 2 см3 раствора азотной кислоты с массовой долей 25%, пипеткой 1-1-2-1 приливают 0,5 см3 раствора азотнокислого серебра массовой концентрации 17 г/дм3 и перемешивают. Затем пипеткой 1-1-2-2 добавляют 2 см3 этиленгликоля, дистиллированной водой доводят объем раствора в колбе до делительной отметки и перемешивают. Колбу с раствором выдерживают в течение 20 мин в темном месте.
Одновременно готовят холостую пробу (без добавления раствора А).
Далее проводят измерение по
5.4.4.
Если значение оптической плотности превышает максимальное значение в диапазоне градуировочной характеристики, то подготовку пробы проводят следующим образом: в колбу 1-50-2 цилиндром 1-25-2 наливают 10 см3 дистиллированной воды, пипеткой 2-2-5 приливают 5 см3 раствора А. Затем пипеткой 1-1-2-2 добавляют 2 см3 раствора азотной кислоты с массовой долей 25%, пипеткой 1-1-2-1 приливают 0,5 см3 раствора азотнокислого серебра массовой концентрации 17 г/дм3 и перемешивают. Далее пипеткой 1-1-2-2 добавляют 2 см3 этиленгликоля, дистиллированной водой доводят объем раствора в колбе до делительной отметки и перемешивают.
Колбу с раствором выдерживают в течение 20 мин в темном месте.
Одновременно готовят холостую пробу (без добавления раствора А).
5.4.4 Измеряют оптическую плотность подготовленного раствора относительно холостой пробы при длине волны (490 +/- 10) нм.
5.4.5 Обработка (вычисление) результатов измерений
5.4.5.1 Массу определяемого компонента (хлоридов) mi, мг, рассчитывают по формуле

, (5.4.5)
где Di - оптическая плотность анализируемого раствора.
5.4.5.2 Массовую долю определяемого компонента (хлоридов) Xi, %, рассчитывают по формуле

, (5.4.6)
где Vк - объем раствора А = 100 см3;
Mi - масса аналитической навески, г;
Va - объем раствора А = 10 см3 (5 см3).
5.4.5.3 За результат анализа массовой доли хлоридов

, %, принимают среднеарифметическое значение результатов двух параллельных определений
X1 и
X2, полученных в условиях повторяемости

, (5.4.7)
для которых выполняется условие
|
X1 -
X2| <=
r·|
X1 +
X2|/200. (5.4.8)
При невыполнении
условия (5.4.8) необходимо получить еще два результата параллельных определений. Если при этом выполняется условие
Xmax -
Xmin <=
CR0,95(4)·(
X1 +
X2 +
X3 +
X4)/400, (5.4.9)
то в качестве окончательного результата принимают среднеарифметическое значение результатов четырех параллельных определений. Значения критического диапазона
CR0,95(4) и предела повторяемости
r см. в
таблице 2.
Если
условие (5.4.9) не выполняется, в качестве окончательного результата измерений может быть принята медиана результатов четырех определений. Целесообразно выяснять причины появления неприемлемых результатов параллельных определений.
5.5 Определение массовой доли кальция в пересчете на оксид кальция (CaO)
5.5.1 Массовую долю кальция в пересчете на оксид кальция в диапазоне от 0,015% до 0,5% включительно определяют пламенно-фотометрическим методом, основанным на измерении интенсивности эмиссии ионов кальция, раствор соли которого в виде аэрозоля вводят в газовоздушное пламя.
5.5.2 При определении массовой доли кальция применяют средства измерений, вспомогательные устройства и реактивы по
5.1.1, а также следующие:
- анализатор жидкости пламенно-фотометрический;
- МСО состава раствора ионов кальция с аттестованным значением массовой концентрации ионов 1,00 мг/см3 и относительной погрешностью аттестованного значения не более 1% при P = 0,95.
Примечание - При отсутствии МСО допускается использовать раствор массовой концентрации ионов кальция 1,000 мг/см
3, приготовленный по
ГОСТ 4212 из углекислого кальция;
- магний оксид (окись магния) MgO, квалификации ч.д.а. для спектрального анализа (далее по тексту - магний оксид для спектрального анализа) по НД государств
<*>;
--------------------------------
<*> В Российской Федерации - по ТУ 6-09-01-245-84 "Магний оксид (окись магния) MgO, квалификация ч.д.а. для спектрального анализа". Допускается применение магния оксида CAS N 1309-48-4 с массовой долей не менее 99,9%.
- углекислый кальций х.ч., ч.д.а. по
ГОСТ 4530.
5.5.3 Подготовка к проведению измерений
Перед проведением измерений приготавливают растворы и подготавливают пробы, проводят градуировку прибора.
5.5.3.1 Приготовление растворов
Для приготовления раствора ионов кальция массовой концентрации 0,100 мг/см3 в колбу 1-50-2 цилиндром 1-25-2 наливают 25 см3 дистиллированной воды, пипеткой 2-2-5 добавляют 5 см3 МСО. Дистиллированной водой доводят объем раствора в колбе до делительной отметки и перемешивают.
Абсолютная погрешность приготовления раствора ионов кальция - +/- 0,001 мг/см3 при P = 0,95. Раствор применяют свежеприготовленным.
Для приготовления фонового раствора в стакане В-1-250 ТС взвешивают 6 г магния оксида для спектрального анализа с точностью до второго десятичного знака, цилиндром 1-25-2 добавляют 15 см3 дистиллированной воды, цилиндром 1-50-2 добавляют осторожно, при перемешивании, 35 см3 концентрированной азотной кислоты. Затем раствор в стакане нагревают на электрической плитке до растворения навески. Раствор охлаждают до комнатной температуры и, используя воронку В-75-110 ХС, количественно переносят в колбу 1-200-2. Дистиллированной водой доводят объем раствора в колбе до делительной отметки и перемешивают. Раствор хранят в течение месяца в склянке в местах, защищенных от света.
Примечание - При отсутствии магния оксида для спектрального анализа допускается использовать магний оксид ч.д.а. по
ГОСТ 4526 <**>.
--------------------------------
<**> В Российской Федерации - по ТУ 6-09-01-245-84 "Магний оксид (окись магния) MgO, квалификация ч.д.а. для спектрального анализа". Допускается применение магния оксида CAS N 1309-48-4 с массовой долей не менее 99,9%.
5.5.3.2 Градуировка прибора
Для приготовления градуировочных растворов в колбы 1-100-2 цилиндром 1-25-2 наливают по 10 см3 дистиллированной воды, пипеткой 1-1-2-10 добавляют 0,0 (холостая проба); 1,0; 2,0; 4,0; 6,0; 8,0 см3 раствора ионов кальция массовой концентрации 0,100 мг/см3, что соответствует массе кальция 0,0; 0,10; 0,20; 0,40; 0,60; 0,80 мг. Затем пипеткой 1-1-2-10 в каждую колбу добавляют по 10 см3 фонового раствора, дистиллированной водой доводят объемы растворов в колбах до делительной отметки и перемешивают.
Проводят фотометрирование градуировочных растворов в порядке возрастания массовой концентрации кальция, снимая показания регистрирующего устройства прибора для каждого градуировочного раствора. Перед каждым фотометрированием капилляр промывают дистиллированной водой.
Приготавливают новую серию градуировочных растворов и выполняют измерения.
Вычисляют среднеарифметическое измеренных значений показаний регистрирующего устройства прибора для каждого градуировочного раствора Di и холостой пробы Dx.
Градуировочная характеристика зависимости среднего значения показаний регистрирующего устройства прибора D от массы определяемого компонента (кальция) m аппроксимируется линейной функцией вида
Рассчитывают коэффициенты градуировочной характеристики (K, a) методом наименьших квадратов по формулам

, (5.5.2)

(5.5.3)
где n - число градуировочных растворов (n = 5);
Di - среднеарифметическое значение показаний регистрирующего устройства прибора i-го градуировочного раствора;
Dх - среднеарифметическое значение показаний регистрирующего устройства прибора холостой пробы;
mi - масса определяемого компонента в i-м градуировочном растворе, мг.
Градуировку прибора проводят перед каждым измерением.
5.5.3.3 Подготовка пробы
Одновременно приготавливают растворы из двух аналитических навесок.
В стакане В-1-150 ТС взвешивают 0,9 - 1,1 г пробы (аналитическая навеска) с точностью до четвертого десятичного знака, цилиндром 1-25-2 приливают 20 см3 дистиллированной воды и перемешивают. Пипеткой 1-1-2-5 добавляют осторожно, при перемешивании, 5 см3 азотной кислоты. Раствор в стакане нагревают до кипения на электрической плитке, выдерживают до растворения навески и охлаждают до комнатной температуры. Используя воронку В-75-110 ХС, раствор количественно переносят в колбу 1-100-2. Дистиллированной водой доводят объем раствора в колбе до делительной отметки и перемешивают - раствор А.
Примечание - Если раствор А мутный, его фильтруют в колбу 1-250 через воронку ВФ-1-40-ПОР 16 с использованием водоструйного насоса ТХС.
Далее проводят измерение по
5.5.4.
Если показание регистрирующего устройства прибора превышает максимальное значение в диапазоне градуировочной характеристики, подготовку пробы (с учетом разведения) проводят следующим образом: в колбу 1-100-2 цилиндром 1-25-2 наливают 20 см3 дистиллированной воды, пипеткой 2-2-20 добавляют 20 см3 раствора А. Затем дистиллированной водой доводят объем раствора в колбе до делительной отметки и перемешивают.
5.5.4 Проводят фотометрирование подготовленного раствора, снимая показания регистрирующего устройства прибора. Перед каждым фотометрированием капилляр промывают дистиллированной водой.
5.5.5 Обработка (вычисление) результатов измерений
5.5.5.1 Массу определяемого компонента (кальция) mi, мг, рассчитывают по формуле

, (5.5.4)
где Di - значение показаний регистрирующего устройства прибора анализируемого раствора.
5.5.5.2 Массовую долю кальция в пересчете на оксид кальция Xi, %, рассчитывают по формуле

, (5.5.5)
где 1,4 - коэффициент пересчета молярной массы кальция на молярную массу оксида кальция;
Mi - масса аналитической навески, г.
5.5.5.3 Массовую долю кальция в пересчете на оксид кальция Xi, %, (с учетом разведения) рассчитывают по формуле

, (5.5.6)
где Vк - объем раствора А = 100 см3;
Va - объем раствора А = 20 см3.
5.5.5.4 За результат измерений массовой доли кальция в пересчете на оксид кальция

, %, принимают среднеарифметическое значение результатов двух параллельных определений
X1 и
X2, полученных в условиях повторяемости

, (5.5.7)
для которых выполняется следующее условие
|
X1 -
X2| <=
r·|
X1 +
X2|/200. (5.5.8)
При невыполнении
условия (5.5.8) необходимо получить еще два результата параллельных определений. Если при этом выполняется условие
Xmax -
Xmin <=
CR0,95(4)·(
X1 +
X2 +
X3 +
X4)/400, (5.5.9)
то в качестве окончательного результата принимают среднеарифметическое значение результатов четырех параллельных определений. Значения критического диапазона
CR0,95(4) и предела повторяемости
r см. в
таблице 2.
Если
условие (5.5.9) не выполняется, в качестве окончательного результата измерений может быть принята медиана результатов четырех определений. Целесообразно выяснять причины появления неприемлемых результатов параллельных определений.
Примечание - При разногласиях в оценке результатов анализа массовой доли кальция в пересчете на оксид кальция менее 0,08% арбитражным считают метод по
5.7.
5.6 Определение массовой доли марганца (Mn)
5.6.1 Массовую долю марганца в диапазоне от 0,0015% до 0,006% включительно определяют фотоколориметрическим методом, основанным на фотоколориметрическом измерении оптической плотности окрашенного в розово-сиреневый цвет соединения ионов марганца (VII). Ионы марганца (II) окисляют в ионы марганца (VII) калием периодатом (калием йоднокислым мета).
5.6.2 При определении массовой доли марганца применяют средства измерений, вспомогательные устройства и реактивы по
5.1.1, а также следующие:
- фотометр фотоэлектрический любой марки, обеспечивающий возможность измерять оптическую плотность раствора при длине волны (540 +/- 10) нм с допускаемой основной абсолютной погрешностью при измерении коэффициентов пропускания не более 1% в кюветах с толщиной поглощающего свет слоя 30 мм;
- МСО состава раствора ионов марганца (II) с аттестованным значением массовой концентрации ионов 1,00 мг/см3 и относительной погрешностью аттестованного значения не более 1% при P = 0,95.
Примечание - При отсутствии МСО допускается использовать раствор массовой концентрации ионов марганца (II) 1,000 мг/см
3, приготовленный из 5-водного сернокислого марганца (II) по
ГОСТ 4212;
- калий периодат (калий йоднокислый мета) х.ч., ч.д.а. по НД государств
<*>;
--------------------------------
<*> В Российской Федерации - по ТУ 6-09-02-364-83 "Калий периодат (калий йоднокислый мета)".
- 5-водный
сернокислый марганец (II) ч.д.а. по
ГОСТ 435;
- ортофосфорную кислоту х.ч., ч.д.а. по
ГОСТ 6552.
5.6.3 Подготовка к проведению измерений
Перед проведением измерений приготавливают растворы и подготавливают пробы, проводят градуировку прибора. При выполнении измерений используют кюветы с одной и той же толщиной поглощающего свет слоя.
5.6.3.1 Приготовление растворов
Для приготовления раствора ионов марганца (II) массовой концентрации 0,0500 мг/см3 в колбу 1-50-2 цилиндром 1-25-2 наливают 20 см3 дистиллированной воды, пипеткой 1-1-2-5 добавляют 2,5 см3 МСО. Дистиллированной водой доводят объем раствора в колбе до делительной отметки и перемешивают.
Абсолютная погрешность приготовления раствора ионов марганца (II) - +/- 0,0002 мг/см3 при P = 0,95. Раствор применяют свежеприготовленным.
Для приготовления раствора азотной кислоты, разбавленной дистиллированной водой в объемном соотношении 1:1 в стакан В-1-250 ТС цилиндром 1-50-2 наливают 100 см3 дистиллированной воды, цилиндром 1-100-2 осторожно, небольшими порциями, при перемешивании, добавляют 100 см3 азотной концентрированной кислоты.
Раствор хранят в течение 3 мес в склянке с завинчивающейся крышкой, не допуская появления опалесценции и осадка хлопьев.
5.6.3.2 Градуировка прибора
Для приготовления градуировочных растворов в стаканы В-1-250 ТС наливают цилиндром 1-50-2 по 40 см3 дистиллированной воды, затем пипеткой 1-1-2-5 вносят 0,0 (холостая проба); 1,0; 2,0; 3,0; 4,0; 5,0 см3 раствора ионов марганца (II) массовой концентрации 0,0500 мг/см3, что соответствует массе марганца 0,00; 0,05; 0,10; 0,15; 0,20; 0,25 мг. Затем в каждый стакан пипеткой 1-1-2-10 осторожно добавляют по 10 см3 ортофосфорной кислоты и по 0,5 г калия периодата, взвешенного в стакане В-1-50 ТС с точностью до второго десятичного знака, и перемешивают. Растворы в стаканах нагревают до кипения на электрической плитке (при этом появляется розово-сиреневая окраска растворов) и выдерживают в течение 5 мин.
Растворы охлаждают до комнатной температуры и количественно переносят в колбы 1-100-2. Дистиллированной водой доводят объемы растворов в колбах до делительной отметки и перемешивают.
Измеряют оптические плотности градуировочных растворов относительно холостой пробы при длине волны (540 +/- 10) нм.
Приготавливают две новые серии градуировочных растворов и измеряют их оптические плотности.
Вычисляют среднеарифметическое измеренных значений оптической плотности для каждого градуировочного раствора.
Градуировочная характеристика зависимости среднего значения оптической плотности
D от массы марганца
m аппроксимируется линейной функцией, см.
формулу (5.4.1).
Рассчитывают коэффициенты градуировочной характеристики (
K, a) методом наименьших квадратов по
формулам (5.4.2) и
(5.4.3) при
n = 5.
Контроль стабильности градуировочной характеристики проводят не реже одного раза в три месяца или при смене партий реактивов и ремонте прибора. Средствами контроля являются вновь приготовленные градуировочные растворы во всем диапазоне измерений (не менее трех растворов). Одновременно готовят холостую пробу.
Измеряют оптические плотности градуировочных растворов относительно холостой пробы при длине волны (540 +/- 10) нм.
Приготавливают две новые серии градуировочных растворов и измеряют их оптические плотности.
Вычисляют среднеарифметическое измеренных значений оптической плотности для каждого градуировочного раствора.
Используя полученную градуировочную характеристику определяют массу марганца

, мг, в каждом градуировочном растворе по
формуле (5.4.4).
Градуировочную характеристику считают стабильной, если для каждого из градуировочных растворов относительное расхождение между измеренным и заданным значениями массы марганца не более 10%.
Если условие стабильности градуировочной характеристики не выполняется только для одного градуировочного раствора, необходимо выполнить повторный анализ этого раствора для исключения результата, содержащего грубую погрешность.
Если градуировочная характеристика нестабильна, выясняют причины и повторяют контроль с использованием новых градуировочных растворов, предусмотренных методикой (n = 3). При повторном обнаружении нестабильности градуировочной характеристики градуировку прибора проводят заново.
5.6.3.3 Подготовка пробы
Одновременно готовят растворы из двух аналитических навесок.
В стакане В-1-250 ТС взвешивают 4,00 - 4,50 г пробы (аналитическая навеска) с точностью до четвертого десятичного знака, цилиндром 1-25-2 приливают 10 см3 дистиллированной воды и перемешивают. Цилиндром 1-50-2 добавляют 45 см3 азотной кислоты, разбавленной дистиллированной водой в объемном соотношении 1:1, раствор в стакане нагревают до кипения на электрической плитке и выдерживают до растворения навески. Затем осторожно в стакан пипеткой 1-1-2-10 добавляют 10 см3 ортофосфорной кислоты и 0,5 г калия периодата, взвешенного в стакане В-1-50 ТС с точностью до второго десятичного знака, и перемешивают. Раствор в стакане нагревают до кипения на электрической плитке (при этом появляется розово-сиреневая окраска раствора) и выдерживают в течение 5 мин. Раствор охлаждают до комнатной температуры и количественно переносят в колбу 1-100-2, используя воронку В-75-110 ХС. Дистиллированной водой доводят объем раствора в колбе до делительной отметки и перемешивают. Одновременно готовят холостую пробу.
5.6.4 Измеряют оптическую плотность подготовленного раствора относительно холостой пробы при длине волны (540 +/- 10) нм.
5.6.5 Обработка (вычисление) результатов измерений
5.6.5.1 Массу марганца mi, мг, рассчитывают по формуле

, (5.6.1)
где Di - оптическая плотность анализируемого раствора.
5.6.5.2 Массовую долю марганца Xi, %, рассчитывают по формуле

(5.6.2)
где Mi - масса аналитической навески, г.
5.6.5.3 За результат измерений массовой доли марганца

, %, принимают среднеарифметическое значение результатов двух параллельных определений
X1 и
X2, полученных в условиях повторяемости

, (5.6.3)
для которых выполняется условие
|
X1 -
X2| <=
r·|
X1 +
X2|/200. (5.6.4)
При невыполнении
условия (5.6.4) необходимо получить еще два результата параллельных определений. Если при этом выполняется условие
Xmax -
Xmin <=
CR0,95(4)·(
X1 +
X2 +
X3 +
X4)/400, (5.6.5)
то в качестве окончательного результата принимают среднеарифметическое значение результатов четырех параллельных определений. Значения критического диапазона
CR0,95(4) и предела повторяемости
r см. в
таблице 2.
Если
условие (5.6.5) не выполняется, в качестве окончательного результата измерений может быть принята медиана результатов четырех определений. Целесообразно выяснять причины появления неприемлемых результатов параллельных определений.
Примечание - При разногласиях в оценке результатов анализа массовой доли марганца арбитражным считают метод по
5.7.
5.7 Определение массовых долей кальция в пересчете на оксид кальция (CaO), алюминия в пересчете на триоксид алюминия (Al2O3), бора (B), кремния в пересчете на диоксид кремния (SiO2), свинца (Pb), ванадия (V) в магнии оксиде марки FA и марганца (Mn) в магнии оксиде марок FA и HA
5.7.1 Массовую долю определяют методом атомно-эмиссионной спектрометрии с индуктивно связанной плазмой, основанном на измерении интенсивности излучения возбужденных атомов и ионов кальция, марганца, алюминия, бора, кремния, свинца, ванадия, растворы солей которых в виде аэрозоля вводят в источник индуктивно связанной аргоновой плазмы:
- кальция в пересчете на оксид кальция в диапазоне от 0,008% до 0,08% включительно;
- марганца, свинца, ванадия в диапазоне от 0,0003% до 0,007% включительно;
- алюминия в пересчете на триоксид алюминия в диапазоне от 0,001% до 0,01% включительно;
- бора в диапазоне от 0,001% до 0,015% включительно;
- кремния в пересчете на диоксид кремния в диапазоне от 0,001% до 0,01% включительно.
5.7.2 При определении массовой доли применяют средства измерений, вспомогательные устройства и реактивы по
5.1.1, а также следующие:
- атомно-эмиссионный спектрометр с индуктивно связанной плазмой "Optima 8000" или любого другого типа с программным обеспечением;
- мерную колбу вместимостью 100 см
3 по
ГОСТ 1770. Предпочтительно применять импортную мерную колбу из полипропилена вместимостью 100 см
3 класса A;
- стакан низкий из полипропилена вместимостью 100 см
3 по НД государств
<*>, а при его отсутствии - стакан вместимостью 100 см
3 по
ГОСТ 25336;
--------------------------------
<*> В Российской Федерации - по ТУ 229-018-23050963-99 "Лабораторная посуда из полимерного материала".
- МСО состава раствора ионов кальция (марганца, алюминия, бора, кремния, свинца, ванадия) с аттестованным значением массовой концентрации ионов 1,00 мг/см3 и относительной погрешностью аттестованного значения не более 1% при P = 0,95;
- воду для лабораторного анализа степени чистоты 2 по ГОСТ ISO 3696
<*>;
--------------------------------
<*> В Российской Федерации - по
ГОСТ Р 52501-2005 "Вода для лабораторного анализа. Технические условия".
5.7.3 Подготовка к выполнению измерений
Перед проведением измерений приготавливают растворы, подготавливают пробы и проводят градуировку прибора.
5.7.3.1 Приготовление растворов
Для приготовления раствора азотной кислоты с массовой долей 5% в стакан В-1-600 ТС цилиндром 1-250-2 наливают 474 см3 воды для лабораторного анализа, цилиндром 1-50-2 приливают 26 см3 азотной кислоты осторожно, небольшими порциями при перемешивании. Раствор хранят в течение 3 мес при комнатной температуре в полиэтиленовом сосуде с завинчивающейся крышкой.
Для приготовления стандартного раствора ионов кальция (марганца, алюминия, бора, кремния, свинца, ванадия) массовой концентрации каждого элемента 10 мг/дм
3 в мерную колбу по
5.7.2 цилиндром 1-25-2 наливают 20 см
3 раствора азотной кислоты с массовой долей 5%, пипеткой 1-1-2-1 добавляют по 1 см
3 МСО соответствующего состава раствора ионов. Раствором азотной кислоты с массовой долей 5% доводят объем раствора в колбе до делительной отметки и перемешивают. Раствор хранят при комнатной температуре в полиэтиленовом сосуде с завинчивающейся крышкой в местах, защищенных от света, в течение 10 сут.
Для приготовления градуировочных растворов ионов кальция (марганца, алюминия, бора, кремния, свинца, ванадия) в мерные колбы по
5.7.2 цилиндром 1-25-2 наливают по 20 см
3 раствора азотной кислоты с массовой долей 5%, пипетками 1-1-2-1, 1-1-2-5 вносят соответственно по 0,3; 1,0; 7,0 см
3 стандартного раствора ионов кальция (марганца, алюминия, бора, кремния, свинца, ванадия) массовой концентрации каждого элемента 10 мг/дм
3, что соответствует массовой концентрации кальция (марганца, алюминия, бора, кремния, свинца, ванадия) 0,03; 0,1; 0,7 мг/дм
3. Раствором азотной кислоты с массовой долей 5% доводят объем раствора в колбе до делительной отметки и перемешивают.
В качестве градуировочного холостого раствора (blank) используют раствор азотной кислоты с массовой долей 5%.
Растворы применяют свежеприготовленными.
Одновременно готовят растворы из двух аналитических навесок.
В зависимости от определяемого компонента в низком стакане по
5.7.2 взвешивают с точностью до четвертого десятичного знака:
- 0,10 - 0,12 г пробы (аналитическая навеска) - для измерения массовой доли кальция в пересчете на оксид кальция;
- 0,90 - 1,00 г пробы (аналитическая навеска) - для измерения массовой доли: марганца, алюминия в пересчете на триоксид алюминия, кремния в пересчете на диоксид кремния, свинца, ванадия;
- 0,35 - 0,40 г (аналитическая навеска) - для измерения массовой доли бора, затем цилиндром 1-25-2 приливают 10 см
3 воды для лабораторного анализа, пипеткой 1-1-2-10 добавляют 10 см
3 азотной концентрированной кислоты и перемешивают до растворения аналитической навески. Раствор количественно переносят в мерную колбу по
5.7.2. Раствором азотной кислоты с массовой долей 5% доводят объем раствора в колбе до делительной отметки и перемешивают.
Одновременно готовят холостую пробу (без добавления пробы).
5.7.3.3 Градуировка прибора
После установления рабочих параметров прибора и поджига плазмы прибор выдерживают во включенном состоянии в течение 15 мин для стабилизации режима работы.
Подготовленные градуировочные растворы вводят в плазму в порядке увеличения их концентраций, начиная с градуировочного холостого раствора (blank), и измеряют интенсивности излучения элементов каждого градуировочного раствора.
Коэффициент корреляции R2 должен быть не менее 0,999 (рассчитывается автоматически с использованием программного обеспечения).
Если коэффициент корреляции R2 хотя бы одного из градуировочных растворов составит менее 0,999, то градуировку прибора повторяют на новой серии градуировочных растворов.
5.7.4 В плазму вводят холостую пробу и пробу, подготовленные по
5.7.3.2, и измеряют интенсивности излучения (эмиссии). Интенсивность излучения холостой пробы вычитают (вручную либо автоматически с использованием программного обеспечения) из интенсивности излучения пробы.
5.7.5 Обработка (вычисление) результатов измерений
5.7.5.1 Снимают показания массовой концентрации кальция (марганца, алюминия, бора, кремния, свинца, ванадия) Ci, мг/дм3.
5.7.5.2 Массовую долю кальция в пересчете на оксид кальция Xi, %, рассчитывают по формуле

, (5.7.1)
где Vк - объем подготовленной пробы 100 см3;
1,4 - коэффициент пересчета молярной массы кальция на молярную массу оксида кальция;
Mi - масса пробы (аналитическая навеска), г;
5.7.5.3 Массовую долю марганца, бора, свинца, ванадия Xi, %, рассчитывают по формуле

. (5.7.2)
5.7.5.4 Массовую долю алюминия в пересчете на триоксид алюминия Xi, %, рассчитывают по формуле

, (5.7.3)
где 1,89 - коэффициент пересчета молярной массы алюминия на молярную массу триоксида алюминия.
5.7.5.5 Массовую долю кремния в пересчете на диоксид кремния Xi, %, рассчитывают по формуле

, (5.7.4)
где 2,14 - коэффициент пересчета молярной массы кремния на молярную массу диоксида кремния.
5.7.5.6 За результат анализа массовой доли кальция в пересчете на оксид кальция, марганца, алюминия в пересчете на триоксид алюминия, бора, кремния в пересчете на диоксид кремния, свинца, ванадия

, %, принимают среднеарифметическое значение результатов двух параллельных определений X
1i и X
2i, полученных в условиях повторяемости

, (5.7.5)
для которых выполняется следующее условие
|
X1i -
X2i| <=
r·|
X1i +
X2i|/200. (5.7.6)
При невыполнении
условия (5.7.6) необходимо получить еще два результата параллельных определений. Если при этом выполняется условие
Ximax -
Ximin <=
CR0,95(4)·(
X1i +
X2i +
+ X3i + X4i)/400, (5.7.7)
то в качестве окончательного результата принимают среднеарифметическое значение результатов четырех параллельных определений. Значения критического диапазона
CR0,95(4) и предела повторяемости
r см. в
таблице 2.
Если
условие (5.7.7) не выполняется, в качестве окончательного результата измерений может быть принята медиана результатов четырех определений. Целесообразно выяснять причины появления неприемлемых результатов параллельных определений.
5.8 Определение массовой доли алюминия в пересчете на триоксид алюминия (Al2O3) в магнии оксиде марок LA, MA, HA
5.8.1 Массовую долю алюминия в пересчете на триоксид алюминия в диапазоне от 0,01% до 0,07% включительно определяют фотоколориметрическим методом, основанным на образовании комплексного соединения, образующегося в результате взаимодействия ионов алюминия с алюминоном в уксуснокислой среде.
5.8.2 При определении массовой доли алюминия в пересчете на триоксид алюминия применяют средства измерений, вспомогательные устройства и реактивы по
5.1.1, а также следующие:
- фотометр фотоэлектрический любой марки, обеспечивающий возможность измерения оптической плотности раствора при длине волны (540 +/- 10) нм с допускаемой основной абсолютной погрешностью при измерении коэффициентов пропускания не более 1% в кюветах с толщиной поглощающего свет слоя 20 мм;
- МСО состава раствора ионов алюминия с аттестованным значением массовой концентрации ионов 1,00 мг/см3 и относительной погрешностью аттестованного значения не более 1% при P = 0,95.
Примечание - При отсутствии МСО допускается использовать аттестованный раствор массовой концентрации ионов алюминия 1,000 мг/см
3, приготовленный из алюмокалиевых квасцов по
ГОСТ 4212;
- водяная баня по НД государств
<*>;
--------------------------------
<*> В Российской Федерации - по ТУ 64-1-2850-76 "Баня водяная".
- 3-водный уксуснокислый натрий х.ч., ч.д.а. по
ГОСТ 199;
- уксусная кислота х.ч., ч.д.а. по
ГОСТ 61;
- аскорбиновая кислота по НД государств
<**>;
--------------------------------
<**> В Российской Федерации, например, кислота аскорбиновая, ФАРМ, ФС-42-2668.
- алюминон ч.д.а. по НД государств
<***>;
--------------------------------
<***> В Российской Федерации - по ТУ 6-09-533305-85 "Алюминон".
- алюмокалиевые квасцы х.ч., ч.д.а. по
ГОСТ 4329.
5.8.3 Подготовка к проведению измерений
Перед проведением измерений приготавливают растворы и подготавливают пробы, проводят градуировку прибора. При выполнении измерений используют кюветы с одной и той же толщиной поглощающего свет слоя.
5.8.3.1 Приготовление растворов
Для приготовления раствора ионов алюминия массовой концентрации 0,0100 мг/см3 в колбу 1-100-2 цилиндром 1-50-2 наливают 50 см3 дистиллированной воды, пипеткой 2-2-1 добавляют 1 см3 МСО. Дистиллированной водой доводят объем раствора в колбе до делительной отметки и перемешивают.
Абсолютная погрешность приготовления раствора ионов алюминия - +/- 0,0002 мг/см3. Раствор применяют свежеприготовленным.
Для приготовления раствора уксусной кислоты с массовой долей 50% в стакан В-1-150 ТС цилиндром 1-50-2 наливают 50 см3 дистиллированной воды, цилиндром 1-50-2 добавляют 50 см3 концентрированной уксусной кислоты и перемешивают.
Раствор хранят в течение 3 мес в склянке с завинчивающейся крышкой в местах, защищенных от света.
Для приготовления раствора 3-водного уксуснокислого натрия массовой концентрации 365 г/дм3 в стакане В-1-600 ТС взвешивают с точностью до второго десятичного знака 182,5 г 3-водного уксуснокислого натрия, цилиндром 1-250-2 добавляют 250 см3 дистиллированной воды и перемешивают. Затем раствор количественно переносят в колбу 1-500-2, используя воронку В-75-80 ХС, и дистиллированной водой доводят объем раствора в колбе до делительной отметки.
Если раствор мутный, то, используя воронку В-75-80 ХС, его фильтруют через обеззоленный фильтр "Синяя лента". Раствор хранят в течение 3 мес в склянке с завинчивающейся крышкой в местах, защищенных от света.
Для приготовления раствора аскорбиновой кислоты с массовой долей 1% в стакане В-1-150 ТС взвешивают с точностью до второго десятичного знака 1 г аскорбиновой кислоты, цилиндром 1-100-2 добавляют 99 см3 дистиллированной воды и перемешивают до растворения навески. Если раствор мутный, его фильтруют через обеззоленный фильтр "Синяя лента" с использованием воронки В-75-80 ХС.
Раствор применяют свежеприготовленным.
Для приготовления раствора алюминона с массовой долей 0,1% в стакане В-1-150 ТС взвешивают с точностью до второго десятичного знака 0,1 г алюминона, цилиндром 1-100-2 добавляют 100 см3 дистиллированной воды и перемешивают до растворения навески. Если раствор мутный, его фильтруют через воронку В-75-80 ХС с обеззоленным фильтром "Синяя лента".
Раствор хранят в течение пяти дней в склянке с завинчивающейся крышкой в местах, защищенных от света.
5.8.3.2 Градуировка прибора
Для приготовления градуировочных растворов в колбы 1-50-2 цилиндром 1-10-2 наливают по 5 см3 дистиллированной воды, пипеткой 1-1-2-10 вносят 0,0 (холостая проба); 1,0; 2,0; 3,0; 5,0; 7,0 см3 раствора ионов алюминия массовой концентрации 0,0100 мг/см3, что соответствует массе алюминия 0,000; 0,010; 0,020; 0,030; 0,050; 0,070 мг. Затем в каждую колбу пипеткой 2-2-20 добавляют 20 см3 раствора 3-водного уксуснокислого натрия массовой концентрации 365 г/дм3, пипеткой 1-1-2-1 приливают 0,6 см3 раствора аскорбиновой кислоты с массовой долей 1% и перемешивают. Затем выдерживают в течение 5 мин, пипеткой 1-1-2-2 добавляют 2 см3 раствора уксусной кислоты с массовой долей 50%, пипеткой 1-1-2-5 приливают 4 см3 раствора алюминона с массовой долей 0,1%. Колбы с растворами ставят на кипящую водяную баню и выдерживают в течение 10 мин, затем охлаждают до комнатной температуры. Дистиллированной водой доводят объемы растворов в колбах до делительной отметки и перемешивают.
Измеряют оптические плотности градуировочных растворов относительно холостой пробы при длине волны (540 +/- 10) нм.
Приготавливают две новые серии градуировочных растворов и измеряют их оптические плотности.
Вычисляют среднеарифметическое измеренных значений оптической плотности для каждого градуировочного раствора.
Градуировочная характеристика зависимости среднего значения оптической плотности
D от массы алюминия
m аппроксимируется линейной функцией вида, см.
формулу (5.4.1).
Рассчитывают коэффициенты градуировочной характеристики (
K, a) методом наименьших квадратов по
формулам (5.4.2) и
(5.4.3) при
n = 5.
Контроль стабильности градуировочной характеристики проводят не реже одного раза в три месяца или при смене партий реактивов и ремонте прибора. Средствами контроля являются вновь приготовленные градуировочные растворы во всем диапазоне измерений (не менее трех растворов). Одновременно готовят холостую пробу.
Измеряют оптические плотности градуировочных растворов относительно холостой пробы при длине волны (540 +/- 10) нм.
Приготавливают две новые серии градуировочных растворов и измеряют их оптические плотности.
Вычисляют среднеарифметическое измеренных значений оптической плотности для каждого градуировочного раствора.
Используя полученную градуировочную характеристику, определяют массу алюминия
mгрi, мг, в каждом градуировочном растворе по
формуле (5.4.4).
Градуировочную характеристику считают стабильной, если для каждого из градуировочных растворов относительное расхождение между измеренным и заданным значениями массы алюминия не превышает 10%.
Если условие стабильности градуировочной характеристики не выполняется только для одного градуировочного раствора, необходимо выполнить повторный анализ этого раствора для исключения результата, содержащего грубую погрешность.
Если градуировочная характеристика нестабильна, выясняют причины и повторяют контроль с использованием новых градуировочных растворов, предусмотренных методикой (n = 3). При повторном обнаружении нестабильности градуировочной характеристики градуировку прибора проводят заново.
5.8.3.3 Подготовка пробы
Одновременно готовят растворы из двух аналитических навесок.
В стакане В-1-150 ТС взвешивают 1,8 - 2,2 г пробы (аналитическая навеска) с точностью до четвертого десятичного знака, цилиндром 1-25-2 приливают 25 см3 дистиллированной воды и перемешивают. Пипеткой 1-1-2-10 добавляют 10 см3 соляной кислоты, раствор в стакане нагревают до кипения на электрической плитке, выдерживают до растворения навески и охлаждают до комнатной температуры. Используя воронку В-75-80 ХС, раствор количественно переносят в колбу 1-100-2, обмывая стенки стакана 30 см3 дистиллированной воды, отмеренной цилиндром 1-50-2. Дистиллированной водой доводят объем раствора в колбе до делительной отметки и перемешивают - раствор А.
Примечание - Если раствор А мутный, его фильтруют в колбу Кн-1-100-34 ТХС через воронку В-75-110 ХС с обеззоленным фильтром "Синяя лента".
В колбу 1-50-2 цилиндром 1-10-2 наливают 5 см3 дистиллированной воды, пипеткой 2-2-10 добавляют 10 см3 раствора А, пипеткой 2-2-20 добавляют 20 см3 раствора 3-водного уксуснокислого натрия массовой концентрации 365 г/дм3, пипеткой 1-1-2-1 приливают 0,6 см3 раствора аскорбиновой кислоты с массовой долей 1%, перемешивают и выдерживают в течение 5 мин. Затем пипеткой 1-1-2-2 добавляют в колбу 2 см3 раствора уксусной кислоты с массовой долей 50%, пипеткой 1-1-2-5 приливают 4 см3 раствора алюминона с массовой долей 0,1%. Далее колбу с раствором ставят на кипящую водяную баню и выдерживают в течение 10 мин, затем охлаждают до комнатной температуры. Дистиллированной водой доводят объем раствора в колбе до делительной отметки и перемешивают.
Одновременно готовят холостую пробу (не добавляя раствор А).
5.8.4 Измеряют оптическую плотность подготовленного раствора относительно холостой пробы при длине волны (540 +/- 10) нм.
5.8.5 Обработка (вычисление) результатов измерений
5.8.5.2 Массовую долю алюминия в пересчете на триоксид алюминия Xi, %, рассчитывают по формуле

, (5.8.1)
где Vк - объем раствора А = 100 см3;
1,89 - коэффициент пересчета молярной массы алюминия на молярную массу триоксида алюминия;
Mi - масса аналитической навески, г;
Va - объем раствора А = 10 см3, отобранный для анализа.
5.8.5.3 За результат измерений массовой доли алюминия в пересчете на триоксид алюминия

, %, принимают среднеарифметическое значение результатов двух параллельных определений
X1 и
X2, полученных в условиях повторяемости

, (5.8.2)
для которых выполняется следующее условие
|
X1 -
X2| <=
r·|
X1 +
X2|/200. (5.8.3)
При невыполнении
условия (5.8.3) необходимо получить еще два результата параллельных определений. Если при этом выполняется условие
Xmax -
Xmin <=
CR0,95(4)·(
X1 +
X2 +
X3 +
X4)/400, (5.8.4)
то в качестве окончательного результата принимают среднеарифметическое значение результатов четырех параллельных определений. Значения критического диапазона
CR0,95(4) и предела повторяемости
r см. в
таблице 2.
Если
условие (5.8.4) не выполняется, в качестве окончательного результата измерений может быть принята медиана результатов четырех определений. Целесообразно выяснять причины появления неприемлемых результатов параллельных определений.
5.9 Определение массовой доли бора (B)
5.9.1 Массовую долю бора в диапазоне от 0,003% до 0,16% включительно определяют фотоколориметрическим методом, основанном на образовании комплексного соединения, образующегося в результате взаимодействия бора с хинализарином, растворимого в концентрированной серной кислоте.
5.9.2 При определении массовой доли бора применяют средства измерений, вспомогательные устройства и реактивы по
5.1.1, а также следующие:
- фотоэлектрический фотометр любой марки, обеспечивающий возможность измерения оптической плотности раствора при длине волны (590 +/- 10) нм с допускаемой основной абсолютной погрешностью при измерении коэффициентов пропускания не более 1% в кюветах с толщиной поглощающего свет слоя 20 мм;
- МСО состава раствора ионов бора с аттестованным значением массовой концентрации ионов 1,00 мг/см3 и относительной погрешностью аттестованного значения не более 1% при P = 0,95.
Примечание - При отсутствии МСО допускается использовать раствор массовой концентрации ионов бора 1,000 мг/см
3, приготовленный из борной кислоты по
ГОСТ 4212;
- хинализарин по НД государств
<*>;
--------------------------------
<*> В Российской Федерации - по ТУ 6-09-07-973-77 "Хинализарин (1,2,5,8-тетраоксиантрахинон)".
5.9.3 Подготовка к проведению измерений
Перед проведением измерений приготавливают растворы и подготавливают пробы, проводят градуировку прибора. При выполнении измерений используют кюветы с одной и той же толщиной поглощающего свет слоя.
5.9.3.1 Приготовление растворов
Для приготовления раствора ионов бора массовой концентрации 0,0100 мг/см3 в колбу 1-100-2 цилиндром 1-50-2 наливают 50 см3 дистиллированной воды, пипеткой 1-1-2-2 добавляют 1 см3 МСО. Дистиллированной водой доводят объем раствора в колбе до делительной отметки и перемешивают.
Абсолютная погрешность приготовления раствора ионов бора - +/- 0,0002 мг/см3 при P = 0,95. Раствор применяют свежеприготовленным.
Для приготовления раствора хинализарина в серной кислоте массовой концентрации 0,005 г/дм3 в стакане В-1-100 ТС взвешивают 0,005 г хинализарина с точностью до четвертого десятичного знака, цилиндром 1-25-2 осторожно, при перемешивании, приливают 20 см3 серной кислоты и, используя воронку В-75-110 ХС, количественно переносят в колбу 1-1000-2, обмывая стенки стакана серной кислотой, собирая раствор в ту же колбу. В колбу с навеской цилиндром 1-100-2 осторожно приливают еще 100 см3 серной кислоты, осторожно, круговыми движениями, перемешивают до полного растворения навески. Серной кислотой доводят объем раствора в колбе до делительной отметки и осторожно перемешивают (раствор имеет сиренево-розовую окраску). Раствор используют через сутки после приготовления и хранят в склянке с завинчивающейся крышкой в темном месте.
Примечание - Если приготовленный раствор имеет сиреневую или синюю окраску, то это указывает на непригодность серной кислоты, которую заменяют на другую (из новой партии) и заново готовят раствор.
5.9.3.2 Градуировка прибора
Для приготовления градуировочных растворов в колбы 1-25-2 пипеткой 1-1-2-1 наливают 1,0; 0,9; 0,8; 0,6; 0,4; 0,2; 0 см3 дистиллированной воды, пипеткой 1-1-2-1 приливают 0,0 (холостая проба); 0,1; 0,2; 0,4; 0,6; 0,8; 1,0 см3 раствора ионов бора массовой концентрации 0,0100 мг/см3, что соответствует массе бора 0,00; 0,001; 0,002; 0,004; 0,006; 0,008; 0,01 мг. Затем в каждую колбу пипеткой 1-1-2-10 добавляют осторожно, малыми порциями, 10 см3 раствора хинализарина в серной кислоте массовой концентрации 0,005 г/дм3 и перемешивают. Колбы с растворами следует выдержать в темном месте в течение 45 мин, перемешивая через каждые 15 мин.
Измеряют оптические плотности градуировочных растворов относительно холостой пробы при длине волны (590 +/- 10) нм.
Приготавливают две новые серии градуировочных растворов и измеряют их оптические плотности.
Вычисляют среднеарифметическое измеренных значений оптической плотности для каждого градуировочного раствора.
Градуировочная характеристика зависимости среднего значения оптической плотности
D от массы бора
m аппроксимируется линейной функцией вида, см.
формулу (5.4.1).
Рассчитывают коэффициенты градуировочной характеристики (
K, a) методом наименьших квадратов по
формулам (5.4.2) и
(5.4.3) при
n = 6.
Контроль стабильности градуировочной характеристики проводят не реже одного раза в три месяца или при смене партий реактивов и ремонте прибора. Средствами контроля являются вновь приготовленные градуировочные растворы во всем диапазоне измерений (не менее трех растворов). Одновременно готовят холостую пробу.
Измеряют оптические плотности градуировочных растворов относительно холостой пробы при длине волны (590 +/- 10) нм.
Приготавливают две новые серии градуировочных растворов и измеряют их оптические плотности.
Вычисляют среднеарифметическое измеренных значений оптической плотности для каждого градуировочного раствора.
Используя полученную градуировочную характеристику, определяют массу бора
mгрi, мг, в каждом градуировочном растворе по
формуле (5.4.4).
Градуировочную характеристику считают стабильной, если для каждого из градуировочных растворов относительное расхождение между измеренным и заданным значениями массы бора не более 10%.
Если условие стабильности градуировочной характеристики не выполняется только для одного градуировочного раствора, необходимо выполнить повторный анализ этого раствора для исключения результата, содержащего грубую погрешность.
Если градуировочная характеристика нестабильна, выясняют причины и повторяют контроль с использованием новых градуировочных растворов, предусмотренных методикой (n = 3). При повторном обнаружении нестабильности градуировочной характеристики градуировку прибора проводят заново.
5.9.3.3 Подготовка пробы
Одновременно готовят растворы из двух аналитических навесок.
В стакане В-1-250 ТС взвешивают 2,0 - 4,0 г пробы с точностью до четвертого десятичного знака (аналитическая навеска), цилиндром 1-25-2 приливают 15 см3 дистиллированной воды, цилиндром 1-25-2 приливают 20 см3 соляной кислоты. Затем раствор в стакане нагревают на электрической плитке до растворения навески. Раствор охлаждают до комнатной температуры и количественно переносят в колбу 1-100-2, используя воронку В-75-110 ХС. Дистиллированной водой доводят объем раствора в колбе до делительной отметки и перемешивают - раствор А.
Примечание - Если раствор А мутный, его фильтруют в колбу Кн-1-100-34 ТХС через воронку В-75-110 ХС с обеззоленным фильтром "Синяя лента".
В колбу 1-25-2 пипеткой 1-1-2-1 наливают 1 см
3 раствора А. Затем пипеткой 1-1-2-10 добавляют осторожно, малыми порциями, 10 см
3 раствора хинализарина в серной кислоте массовой концентрации 0,005 г/дм
3 и перемешивают. Колбу с раствором выдерживают в темном месте в течение 45 мин, перемешивая через каждые 15 мин. Далее проводят измерение по
5.9.4
Если значение оптической плотности превышает максимальное значение в диапазоне градуировочной характеристики, то подготовку пробы проводят следующим образом: в колбу 1-25-2 пипеткой 1-1-2-1 наливают 0,3 см3 раствора А, пипеткой 1-1-2-1 добавляют 0,7 см3 дистиллированной воды. Затем пипеткой 1-1-2-10 добавляют осторожно, малыми порциями, 10 см3 раствора хинализарина в серной кислоте массовой концентрации 0,005 г/дм3 и перемешивают. Колбу с раствором выдерживают в темном месте в течение 45 мин, перемешивая через каждые 15 мин.
Одновременно готовят холостую пробу следующим образом: в колбу 1-25-2 пипеткой 1-1-2-1 наливают 1 см3 дистиллированной воды. Затем пипеткой 1-1-2-10 добавляют осторожно, малыми порциями, 10 см3 раствора хинализарина в серной кислоте массовой концентрации 0,005 г/дм3 и перемешивают. Колбу с раствором выдерживают в темном месте в течение 45 мин, перемешивая через каждые 15 мин.
Далее проводят измерение по
5.9.4.
5.9.4 Измеряют оптическую плотность подготовленного раствора относительно холостой пробы при длине волны (590 +/- 10) нм.
5.9.5 Обработка (вычисление) результатов измерений
5.9.5.2 Массовую долю бора Xi, %, рассчитывают по формуле

, (5.9.1)
где Vк - объем раствора А = 100 см3;
Mi - масса аналитической навески, г;
Va - объем раствора А = 1 или 0,3 см3, отобранный для измерений.
5.9.5.3 За результат измерений массовой доли бора

, %, принимают среднеарифметическое значение результатов двух параллельных определений
X1 и
X2, полученных в условиях повторяемости

, (5.9.2)
для которых выполняется следующее условие
|
X1 -
X2| <=
r·|
X1 +
X2|/200. (5.9.3)
При невыполнении
условия (5.9.3) необходимо получить еще два результата параллельных определений. Если при этом выполняется условие:
Xmax -
Xmin <=
CR0,95(4)·(
X1 +
X2 +
X3 +
X4)/400, (5.9.4)
то в качестве окончательного результата принимают среднеарифметическое значение результатов четырех параллельных определений. Значения критического диапазона
CR0,95(4) и предела повторяемости
r см. в
таблице 2.
Если
условие (5.9.4) не выполняется, в качестве окончательного результата измерений может быть принята медиана результатов четырех определений. Целесообразно выяснять причины появления неприемлемых результатов параллельных определений.
5.10 Определение массовой доли кремния в пересчете на диоксид кремния (SiO2)
5.10.1 Массовую долю кремния в пересчете на диоксид кремния в диапазоне от 0,003% до 0,12% включительно определяют фотоколориметрическим методом, основанном на образовании комплексного соединения, образующегося в результате взаимодействия ионов кремния с аммонием молибденовокислым и восстановленного солью закиси железа и аммония двойной сернокислой (солью Мора) до синего окрашивания.
5.10.2 При определении массовой доли кремния в пересчете на диоксид кремния применяют средства измерений, вспомогательные устройства и реактивы по
5.1.1, а также следующие:
- фотоэлектрический фотометр, обеспечивающий возможность измерения оптической плотности раствора при длине волны (590 +/- 10) нм с допускаемой основной абсолютной погрешностью при измерении коэффициента пропускания не более 1% в кюветах с толщиной поглощающего свет слоя 50 мм;
- МСО состава раствора ионов кремния с аттестованным значением массовой концентрации ионов 1,00 мг/см3 и относительной погрешностью аттестованного значения не более 1% при P = 0,95.
Примечание - При отсутствии МСО допускается использовать раствор массовой концентрации ионов кремния 1,000 мг/см
3, приготовленный из 9-водного натрий кремнекислого мета по
ГОСТ 4212;
- индикаторная универсальная бумага по НД государств
<*>;
--------------------------------
<*> В Российской Федерации - по ТУ 2642-001-69240025-10 "Индикаторная бумага универсальная".
- двойная сернокислая соль закиси железа и аммония х.ч., ч.д.а. по
ГОСТ 4208;
- 4-водный молибденовокислый аммоний х.ч., ч.д.а. по
ГОСТ 3765;
- 9-водный кремнекислый натрий мета х.ч., ч.д.а. по НД государств
<**>;
--------------------------------
<**> В Российской Федерации - по ТУ 6-09-5337-87 "Натрий кремнекислый мета 9-водный".
- натрий гидроокись х.ч., ч.д.а. по
ГОСТ 4328.
5.10.3 Подготовка к проведению измерений
Перед проведением измерений приготавливают растворы и подготавливают пробы, проводят градуировку прибора. При выполнении измерений используют кюветы с одной и той же толщиной поглощающего свет слоя.
5.10.3.1 Приготовление растворов
Для приготовления раствора кремния в пересчете на диоксид кремния массовой концентрации 0,0100 мг/см3 в колбу 1-100-2 цилиндром 1-50-2 наливают 50 см3 дистиллированной воды, пипеткой 1-1-2-1 добавляют 0,47 см3 МСО. Дистиллированной водой доводят объем раствора в колбе до делительной отметки и перемешивают.
Абсолютная погрешность приготовления раствора кремния в пересчете на диоксид кремния - +/- 0,0002 мг/см3 при P = 0,95. Раствор применяют свежеприготовленным.
Для приготовления раствора серной кислоты с массовой долей 37% в стакан В-1-400 ТС цилиндром 1-250-2 наливают 183 см3 дистиллированной воды и цилиндром 1-100-2 приливают осторожно, небольшими порциями, при перемешивании, 67 см3 концентрированной серной кислоты и охлаждают до комнатной температуры.
Раствор хранят в течение 3 мес в склянке с завинчивающейся крышкой в местах, защищенных от света.
Для приготовления раствора 4-водного аммония молибденовокислого с массовой долей 5% в стакане В-1-150 ТС взвешивают с точностью до второго десятичного знака 5 г молибденовокислого аммония 4-водного, цилиндром 1-100-2 добавляют 95 см3 дистиллированной воды и растворяют при нагревании на электрической плитке. Если раствор А мутный, то, используя воронку В-75-110 ХС, его фильтруют через обеззоленный фильтр "Синяя лента".
Раствор хранят в течение трех дней в полиэтиленовом сосуде с завинчивающейся крышкой в местах, защищенных от света.
Для приготовления раствора соли Мора с массовой долей 5% в стакане В-1-150 ТС взвешивают с точностью до второго десятичного знака 5 г соли Мора, цилиндром 1-100-2 добавляют 85 см3 дистиллированной воды, пипеткой 1-1-2-10 приливают осторожно, небольшими порциями, при перемешивании, 5,5 см3 концентрированной серной кислоты и перемешивают до растворения навески. Если раствор А мутный, то, используя воронку В-75-110 ХС, его фильтруют через обеззоленный фильтр "Синяя лента".
Раствор хранят в течение трех дней в склянке с завинчивающейся крышкой в местах, защищенных от света.
Для приготовления раствора натрия гидроокиси с массовой долей 10% в стакане 3 взвешивают с точностью до второго десятичного знака 10 г натрия гидроокиси, цилиндром 1-100-2 добавляют осторожно 90 см3 дистиллированной воды, перемешивают до растворения навески и охлаждают до комнатной температуры.
Раствор хранят в течение 3 мес в полиэтиленовой бутылке при комнатной температуре в местах, защищенных от попадания прямых солнечных лучей.
5.10.3.2 Градуировка прибора
Для приготовления градуировочных растворов в колбы 1-50-2 цилиндром 1-10-2 наливают по 5 см3 дистиллированной воды, пипеткой 1-1-2-10 вносят 0,0 (холостая проба); 0,5; 1,0; 2,0; 3,0; 5,0 см3 раствора кремния в пересчете на диоксид кремния SiO2 массовой концентрации 0,0100 мг/см3, что соответствует массе диоксида кремния SiO2 0,00; 0,0050; 0,0100; 0,0200; 0,0300; 0,0500 мг. Затем в каждую колбу пипеткой 1-1-2-2 добавляют 0,4 см3 раствора серной кислоты с массовой долей 37%, пипеткой 1-1-2-5 приливают 2,5 см3 раствора 4-водного молибденовокислого аммония с массовой долей 5%, перемешивают и выдерживают в течение 5 мин. Затем в каждую колбу пипеткой 1-1-2-10 добавляют 10 см3 раствора серной кислоты с массовой долей 37%, пипеткой 1-1-2-5 приливают 5 см3 соли Мора с массовой долей 5%. Дистиллированной водой доводят объемы растворов в колбе до делительной отметки и перемешивают.
Измеряют оптические плотности градуировочных растворов относительно холостой пробы при длине волны (590 +/- 10) нм.
Приготавливают две новые серии градуировочных растворов и измеряют их оптические плотности.
Вычисляют среднеарифметическое измеренных значений оптической плотности для каждого градуировочного раствора.
Градуировочная характеристика зависимости среднего значения оптической плотности
D от массы диоксида кремния
m аппроксимируется линейной функцией вида см.
формулу (5.4.1).
Рассчитывают коэффициенты градуировочной характеристики (
K, a) методом наименьших квадратов по
формулам (5.4.2) и
(5.4.3) при
n = 5.
Контроль стабильности градуировочной характеристики проводят не реже одного раза в три месяца или при смене партий реактивов и ремонте прибора. Средствами контроля являются вновь приготовленные градуировочные растворы во всем диапазоне измерений (не менее трех растворов). Одновременно готовят холостую пробу.
Измеряют оптические плотности градуировочных растворов относительно холостой пробы при длине волны (590 +/- 10) нм.
Приготавливают две новые серии градуировочных растворов и измеряют их оптические плотности.
Вычисляют среднеарифметическое измеренных значений оптической плотности для каждого градуировочного раствора.
Используя полученную градуировочную характеристику, определяют массу диоксида кремния
mгрi, мг, в каждом градуировочном растворе по
формуле (5.4.4).
Градуировочную характеристику считают стабильной, если для каждого из градуировочных растворов относительное расхождение между измеренным и заданным значениями массы диоксида кремния не более 15%.
Если условие стабильности градуировочной характеристики не выполняется только для одного градуировочного раствора, необходимо выполнить повторный анализ этого раствора для исключения результата, содержащего грубую погрешность.
Если градуировочная характеристика нестабильна, выясняют причины и повторяют контроль с использованием новых градуировочных растворов, предусмотренных методикой (n = 3). При повторном обнаружении нестабильности градуировочной характеристики градуировку прибора проводят заново.
5.10.3.3 Подготовка пробы
Одновременно готовят растворы из двух аналитических навесок.
В стакане В-1-150 ТС взвешивают 1,8 - 2,2 г пробы (аналитическая навеска) с точностью до четвертого десятичного знака, цилиндром 1-25-2 приливают 25 см3 дистиллированной воды и перемешивают. Пипеткой 1-1-2-10 добавляют 10 см3 соляной кислоты, раствор в стакане нагревают до кипения на электрической плитке, выдерживают до растворения навески и охлаждают до комнатной температуры. Используя воронку В-75-80 ХС, раствор количественно переносят в колбу 1-100-2, обмывая стенки стакана 30 см3 дистиллированной воды, отмеренной цилиндром 1-50-2. Дистиллированной водой доводят объем раствора в колбе до делительной отметки и перемешивают - раствор А.
Примечание - Если раствор А мутный, то, используя воронку В-75-110 ХС, его фильтруют в колбу Кн-1-100-34 ТХС через обеззоленный фильтр "Синяя лента".
В колбу 1-50-2 цилиндром 1-10-2 наливают 5 см3 дистиллированной воды, пипеткой 1-1-2-10 добавляют 10 см3 раствора А, пипеткой 1-1-2-5 нейтрализуют раствором натрия гидроокиси с массовой долей 10% по универсальной индикаторной бумаге до pH 6 - 7. Затем пипеткой 1-1-2-2 добавляют 0,4 см3 раствора серной кислоты с массовой долей 37%, пипеткой 1-1-2-5 приливают 2,5 см3 раствора 4-водного молибденовокислого аммония с массовой долей 5%, перемешивают и выдерживают в течение 5 мин. После этого в колбу пипеткой 1-1-2-10 добавляют 10 см3 раствора серной кислоты с массовой долей 37%, пипеткой 1-1-2-5 приливают 5 см3 раствора соли Мора с массовой долей 5%. Дистиллированной водой доводят объем раствора в колбе до делительной отметки и перемешивают.
Одновременно готовят холостую пробу (не добавляя раствор А).
Далее проводят измерение по
5.10.4
Если полученное значение оптической плотности подготовленного раствора превышает максимальное значение оптической плотности в диапазоне градуировочной характеристики, то подготовку пробы проводят следующим образом: в колбу 1-50-2 цилиндром 1-10-2 наливают 10 см3 дистиллированной воды, пипеткой 1-1-2-2 добавляют 2 см3 раствора А, пипеткой 1-1-2-5 нейтрализуют раствором натрия гидроокиси с массовой долей 10% по универсальной индикаторной бумаге до pH 6 - 7. Затем пипеткой 1-1-2-2 добавляют 0,4 см3 раствора серной кислоты с массовой долей 37%, пипеткой 1-1-2-5 приливают 2,5 см3 раствора 4-водного молибденовокислого аммония с массовой долей 5%, перемешивают и выдерживают в течение 5 мин. Затем в колбу пипеткой 1-1-2-10 добавляют 10 см3 раствора серной кислоты с массовой долей 37%, пипеткой 1-1-2-5 приливают 5 см3 раствора соли Мора с массовой долей 5%. Дистиллированной водой доводят объем раствора в колбе до делительной отметки и перемешивают.
Одновременно готовят холостую пробу (не добавляя раствор А).
5.10.4 Измеряют оптическую плотность подготовленного раствора относительно холостой пробы при длине волны (590 +/- 10) нм.
5.10.5 Обработка (вычисление) результатов измерений
5.10.5.2 Массовую долю кремния в пересчете на диоксид кремния
Xi, %, рассчитывают по
формуле (5.4.6) при объеме
Va отобранного для анализа раствора
А = 10 и 2 см
3.
5.10.5.3 За результат измерений массовой доли кремния в пересчете на диоксид кремния

, %, принимают среднеарифметическое значение результатов двух параллельных определений
X1 и
X2, полученных в условиях повторяемости

, (5.10.1)
для которых выполняется следующее условие
|
X1 -
X2| <=
r·|
X1 +
X2|/200. (5.10.2)
При невыполнении
условия (5.10.2) необходимо получить еще два результата параллельных определений. Если при этом выполняется условие
Xmax -
Xmin <=
CR0,95(4)·(
X1 +
X2 +
X3 +
X4)/400, (5.10.3)
то в качестве окончательного результата принимают среднеарифметическое значение результатов четырех параллельных определений. Значения критического диапазона
CR0,95(4) и предела повторяемости
r см. в
таблице 2.
Если
условие (5.10.3) не выполняется, в качестве окончательного результата измерений может быть принята медиана результатов четырех определений. Целесообразно выяснять причины появления неприемлемых результатов параллельных определений.
Примечание - При разногласиях в оценке результатов анализа массовой доли кремния в пересчете на диоксид кремния менее 0,01% арбитражным считают метод по
5.7.
5.11 Определение массовой доли железа в пересчете на оксид железа (Fe2O3)
5.11.1 Массовую долю железа в пересчете на оксид железа в диапазоне от 0,002% до 0,08% включительно определяют фотоколориметрическим методом, основанном на образовании окрашенного в красный цвет комплексного соединения, образующегося в результате взаимодействия железа (III) с аммонием роданистым в кислой среде. Предварительное окисление железа (II) осуществляют надсернокислым аммонием.
5.11.2 При определении массовой доли железа в пересчете на оксид железа применяют средства измерений, вспомогательные устройства и реактивы по
5.1.1, а также следующие:
- фотометр фотоэлектрический любой марки, обеспечивающий возможность измерения оптической плотности раствора при длине волны (490 +/- 10) нм с допускаемой основной абсолютной погрешностью при измерении коэффициентов пропускания не более 1% в кюветах с толщиной поглощающего свет слоя 50 мм;
- МСО состава раствора ионов железа (III) с аттестованным значением массовой концентрации ионов 1,00 мг/см3 и относительной погрешностью аттестованного значения не более 1% при P = 0,95.
Примечание - При отсутствии МСО допускается использовать раствор массовой концентрации ионов железа (III) 1,000 мг/см
3, приготовленный из 12-водного аммоний железо (III) сульфата (1:1:2) (квасцов железоаммонийных) по
ГОСТ 4212;
- 12-водный аммоний железо (III) сульфат (1:1:2) (квасцы железоаммонийные) ч.д.а., ч. по НД государств
<*>;
--------------------------------
<*> В Российской Федерации - по ТУ 6-09-5359-88 "Аммоний железо (III) сульфат (1:1:2) 12-водный (квасцы железоаммонийные)".
- надсернокислый аммоний х.ч., ч.д.а. по
ГОСТ 20478;
5.11.3 Подготовка к проведению измерений
Перед проведением измерений приготавливают растворы и подготавливают пробы, проводят градуировку прибора. При выполнении измерений используют кюветы с одной и той же толщиной поглощающего свет слоя.
5.11.3.1 Приготовление растворов
Для приготовления раствора ионов железа (III) массовой концентрации 0,0100 мг/см3 в колбу 1-100-2 цилиндром 1-50-2 наливают 50 см3 дистиллированной воды, пипеткой 2-2-1 добавляют 1 см3 МСО. Дистиллированной водой доводят объем раствора в колбе до делительной отметки и перемешивают.
Абсолютная погрешность приготовления раствора ионов железа - +/- 0,0002 мг/см3 при P = 0,95. Раствор применяют свежеприготовленным.
Для приготовления раствора аммония надсернокислого с массовой долей 5% в стакане В-1-150 ТС взвешивают с точностью до второго десятичного знака 5 г надсернокислого аммония, цилиндром 1-100-2 добавляют 95 см3 дистиллированной воды и перемешивают до растворения навески. Раствор применяют свежеприготовленным.
Для приготовления раствора соляной кислоты с массовой долей 25% в стакан В-1-250 ТС цилиндром 1-50-2 наливают 34 см3 дистиллированной воды, цилиндром 1-100-2 осторожно, небольшими порциями, при перемешивании, добавляют 66 см3 концентрированной соляной кислоты.
Раствор хранят в течение 3 мес в склянке с завинчивающейся крышкой, не допуская появления опалесценции, осадка, хлопьев.
Для приготовления раствора аммония роданистого с массовой долей 30% в стакане В-1-150 ТС взвешивают с точностью до второго десятичного знака 30 г роданистого аммония, цилиндром 1-100-2 добавляют 70 см3 дистиллированной воды и перемешивают до растворения навески.
Раствор хранят в течение одного месяца в склянке с завинчивающейся крышкой в местах, защищенных от попадания прямых солнечных лучей.
5.11.3.2 Градуировка прибора
Для приготовления градуировочных растворов в колбы 1-50-2 цилиндром 1-25-2 наливают по 20 см3 дистиллированной воды, пипеткой 1-1-2-2 вносят 0,0 (холостая проба); 0,2; 0,5; 0,8; 1,0; 1,5; 2,0 см3 раствора ионов железа (III) массовой концентрации 0,0100 мг/см3, что соответствует массе железа 0,00; 0,0020; 0,0050; 0,0080; 0,0100; 0,0150; 0,0200 мг. Затем в каждую колбу пипеткой 1-1-2-5 добавляют 3 см3 раствора соляной кислоты с массовой долей 25%, пипеткой 1-1-2-1 приливают 1 см3 раствора надсернокислого аммония с массовой долей 5% и перемешивают. Затем в каждую колбу пипеткой 1-1-2-5 добавляют 4 см3 раствора роданистого аммония с массовой долей 30%, дистиллированной водой доводят объем раствора в колбе до делительной отметки и перемешивают.
Через 5 мин после приготовления градуировочных растворов измеряют их оптические плотности относительно холостой пробы при длине волны (490 +/- 10) нм.
Приготавливают две новые серии градуировочных растворов и измеряют их оптические плотности.
Вычисляют среднеарифметическое измеренных значений оптической плотности для каждого градуировочного раствора.
Градуировочная характеристика зависимости среднего значения оптической плотности
D от массы железа
m аппроксимируется линейной функцией вида, см.
формулу (5.4.1).
Рассчитывают коэффициенты градуировочной характеристики (
K, a) методом наименьших квадратов по
формулам (5.4.2) и
(5.4.3) при
n = 6.
Контроль стабильности градуировочной характеристики проводят не реже одного раза в три месяца или при смене партий реактивов и ремонте прибора. Средствами контроля являются вновь приготовленные градуировочные растворы во всем диапазоне измерений (не менее трех растворов). Одновременно готовят холостую пробу.
Через 5 мин после приготовления градуировочных растворов измеряют их оптические плотности относительно холостой пробы при длине волны (490 +/- 10) нм.
Приготавливают две новые серии градуировочных растворов и измеряют их оптические плотности.
Вычисляют среднеарифметическое измеренных значений оптической плотности для каждого градуировочного раствора.
Используя полученную градуировочную характеристику, определяют массу железа
mгрi, мг, в каждом градуировочном растворе по
формуле (5.4.4).
Градуировочную характеристику считают стабильной, если для каждого из градуировочных растворов относительное расхождение между измеренным и заданным значениями массы железа не более 10%.
Если условие стабильности градуировочной характеристики не выполняется только для одного градуировочного раствора, необходимо выполнить повторный анализ этого раствора для исключения результата, содержащего грубую погрешность.
Если градуировочная характеристика нестабильна, выясняют причины и повторяют контроль с использованием новых градуировочных растворов, предусмотренных методикой (n = 3). При повторном обнаружении нестабильности градуировочной характеристики градуировку прибора проводят заново.
5.11.3.3 Подготовка пробы
Одновременно готовят растворы из двух аналитических навесок.
В стакане В-1-150 ТС взвешивают 1,8 - 2,2 г пробы (аналитическая навеска) с точностью до четвертого десятичного знака, цилиндром 1-25-2 приливают 25 см3 дистиллированной воды и перемешивают. Пипеткой 1-1-2-10 добавляют 10 см3 соляной кислоты, раствор в стакане нагревают до кипения на электрической плитке, выдерживают до растворения навески и охлаждают до комнатной температуры. Используя воронку В-75-110 ХС, раствор количественно переносят в колбу 2-250-2, обмывая стенки стакана 50 см3 дистиллированной воды, отмеренной цилиндром 1-50-2. Дистиллированной водой доводят объем раствора в колбе до делительной отметки и перемешивают - раствор А.
Примечание - Если раствор А мутный, то, используя воронку В-75-110 ХС, его фильтруют в колбу Кн-1-250-34 ТХС через обеззоленный фильтр "Синяя лента".
В колбу 1-50-2 цилиндром 1-25-2 наливают 10 см3 дистиллированной воды, пипеткой 2-2-20 приливают 20 см3 раствора А. Затем пипеткой 1-1-2-5 добавляют 3 см3 раствора соляной кислоты с массовой долей 25%, пипеткой 1-1-2-1 приливают 1 см3 раствора надсернокислого аммония с массовой долей 5% и перемешивают. Затем пипеткой 1-1-2-5 добавляют 4 см3 раствора роданистого аммония с массовой долей 30%, дистиллированной водой доводят объем раствора в колбе до делительной отметки и перемешивают.
Одновременно готовят холостую пробу (не добавляя раствор А).
Далее проводят измерение по
5.11.4.
Если полученное значение оптической плотности подготовленного раствора превышает максимальное значение оптической плотности в диапазоне градуировочной характеристики, подготовку пробы проводят следующим образом: в колбу 1-50-2 цилиндром 1-25-2 наливают 10 см3 дистиллированной воды, пипеткой 1-1-2-5 приливают 4 см3 раствора А. Затем пипеткой 1-1-2-5 добавляют 3 см3 раствора соляной кислоты с массовой долей 25%, пипеткой 1-1-2-1 приливают 1 см3 раствора надсернокислого аммония с массовой долей 5% и перемешивают. Затем пипеткой 1-1-2-5 добавляют 4 см3 раствора роданистого аммония с массовой долей 30%, дистиллированной водой доводят объем раствора в колбе до делительной отметки и перемешивают.
Одновременно готовят холостую пробу (не добавляя раствор А).
5.11.4 Через 5 мин после приготовления градуировочных растворов измеряют их оптические плотности относительно холостой пробы при длине волны (490 +/- 10) нм.
5.11.5 Обработка (вычисление) результатов измерений
5.11.5.2 Массовую долю железа в пересчете на оксид железа Xi, %, рассчитывают по формуле

, (5.11.1)
где Vк - объем раствора А = 250 см3;
1,43 - коэффициент пересчета железа на оксид железа;
Mi - масса аналитической навески, г;
Va - объем раствора А = 20 и 4 см3, отобранный для измерений.
5.11.5.3 За результат измерений массовой доли железа в пересчете на оксид железа

, %, принимают среднеарифметическое значение результатов двух параллельных определений
X1 и
X2, полученных в условиях повторяемости

, (5.11.2)
для которых выполняется следующее условие
|
X1 -
X2| <=
r·|
X1 +
X2|/200. (5.11.3)
При невыполнении
условия (5.11.3) необходимо получить еще два результата параллельных определений. Если при этом выполняется условие:
Xmax -
Xmin <=
CR0,95(4)·(
X1 +
X2 +
X3 +
X4)/400, (5.11.4)
то в качестве окончательного результата принимают среднеарифметическое значение результатов четырех параллельных определений. Значения критического диапазона
CR0,95(4) и предела повторяемости
r см. в
таблице 2.
Если
условие (5.11.4) не выполняется, в качестве окончательного результата измерений может быть принята медиана результатов четырех определений. Целесообразно выяснять причины появления неприемлемых результатов параллельных определений.
5.12 Определение массовой доли сульфатов (SO4)
5.12.1 Массовую долю сульфатов в диапазоне от 0,002% до 0,15% включительно определяют фототурбидиметрическим методом, основанном на образовании опалесценции раствора, образующейся при взаимодействии сульфат-ионов с ионами бария в кислой среде.
5.12.2 При определении массовой доли сульфатов применяют средства измерений, вспомогательные устройства и реактивы по
5.1.1, а также следующие:
- фотометр фотоэлектрический, позволяющий измерять оптическую плотность раствора при длине волны (490 +/- 10) нм с допускаемой основной абсолютной погрешностью при измерении коэффициента пропускания не более 1% в кюветах с толщиной поглощающего свет слоя 50 мм;
- МСО состава раствора сульфат-ионов с аттестованным значением массовой концентрации сульфат-ионов 1,00 мг/см3 и относительной погрешностью аттестованного значения не более +/- 1% при P = 0,95.
Примечание - При отсутствии МСО допускается использовать раствор массовой концентрации сульфат-ионов 1,000 мг/см
3, приготовленный по
ГОСТ 4212 из сернокислого натрия;
- 2-водный хлористый барий х.ч., ч.д.а. по
ГОСТ 4108;
- сернокислый натрий х.ч, ч.д.а. по
ГОСТ 4166.
5.12.3 Подготовка к проведению измерений
Перед проведением измерений приготавливают растворы и подготавливают пробы, проводят градуировку прибора. При выполнении измерений используют кюветы с одной и той же толщиной поглощающего свет слоя.
5.12.3.1 Приготовление растворов
Для приготовления раствора сульфат-ионов массовой концентрации 0,0100 мг/см3 в колбу 1-100-2 цилиндром 1-50-2 наливают 50 см3 дистиллированной воды, пипеткой 2-2-1 добавляют 1 см3 МСО. Дистиллированной водой доводят объем раствора в колбе до делительной отметки и перемешивают.
Абсолютная погрешность приготовления раствора сульфат-ионов - +/- 0,0002 мг/см3. Раствор применяют свежеприготовленным.
Для приготовления раствора кислоты соляной с массовой долей 10% в стакан В-1-150 ТС цилиндром 1-100-2 наливают 75 см3 дистиллированной воды, цилиндром 1-25-2 приливают осторожно, небольшими порциями, перемешивая, 25 см3 концентрированной соляной кислоты и перемешивают.
Раствор хранят в течение 3 мес при комнатной температуре в склянке с завинчивающейся крышкой.
Для приготовления раствора хлористого бария с массовой долей 20% в стакане В-1-150 ТС взвешивают с точностью до второго десятичного знака 20 г хлористого бария, цилиндром 1-100-2 добавляют 80 см3 дистиллированной воды и перемешивают до растворения навески. Если раствор А мутный, то, используя воронку В-75-110 ХС, его фильтруют через обеззоленный фильтр "Синяя лента".
Раствор хранят в течение месяца при комнатной температуре в склянке с завинчивающейся крышкой.
5.12.3.2 Градуировка прибора
Для приготовления градуировочных растворов в колбы Кн-2-100-34 ТХС из бюретки 1-3-2-25-0,1 наливают 25,0; 23,0; 21,0; 19,0; 17,0; 15,0 см3 дистиллированной воды, пипеткой 1-1-2-10 вносят 0,0 (холостая проба); 2,0; 4,0; 6,0; 8,0; 10,0 см3 раствора сульфат-ионов массовой концентрации 0,0100 мг/см3, что соответствует массе сульфатов 0,00; 0,020; 0,040; 0,060; 0,080; 0,100 мг. Затем в каждую колбу пипеткой 1-1-2-1 добавляют 1 см3 раствора соляной кислоты с массовой долей 10%, пипеткой 1-1-2-2 приливают 2 см3 раствора этиленгликоля и перемешивают. После перемешивания в каждую колбу пипеткой 1-1-2-5 добавляют 3 см3 раствора хлористого бария с массовой долей 20% и перемешивают.
Растворы в колбах перемешивают в течение 40 мин через каждые 10 мин.
Измеряют оптические плотности градуировочных растворов относительно холостой пробы при длине волны (490 +/- 10) нм.
Приготавливают две новые серии градуировочных растворов и измеряют их оптические плотности.
Вычисляют среднеарифметическое измеренных значений оптической плотности для каждого градуировочного раствора.
Градуировочная характеристика зависимости среднего значения оптической плотности
D от массы сульфатов
m аппроксимируется линейной функцией вида см.
формулу (5.4.1).
Рассчитывают коэффициенты градуировочной зависимости (
K, a) методом наименьших квадратов по
формулам (5.4.2) и
(5.4.3) при
n = 5.
Контроль стабильности градуировочной характеристики проводят не реже одного раза в месяц или при смене партий реактивов и ремонта прибора. Средствами контроля являются вновь приготовленные градуировочные растворы во всем диапазоне измерений (не менее трех растворов). Одновременно готовят холостую пробу. Растворы в колбах перемешивают в течение 40 мин через каждые 10 мин.
Измеряют оптическую плотность градуировочных растворов относительно холостой пробы при длине волны (490 +/- 10) нм.
Приготавливают две новые серии градуировочных растворов и измеряют их оптические плотности.
Вычисляют среднеарифметическое измеренных значений оптической плотности для каждого градуировочного раствора.
Используя полученную градуировочную характеристику, определяют массу сульфатов
mгрi, мг, в каждом градуировочном растворе по
формуле (5.4.4).
Градуировочную характеристику считают стабильной, если для каждого из градуировочных растворов относительное расхождение между измеренным и заданным значениями массы сульфатов не более 15%.
Если условие стабильности градуировочной характеристики не выполняется только для одного градуировочного раствора, необходимо выполнить повторный анализ этого раствора для исключения результата, содержащего грубую погрешность.
Если градуировочная характеристика нестабильна, выясняют причины и повторяют контроль с использованием новых градуировочных растворов, предусмотренных методикой (n = 3). При повторном обнаружении нестабильности градуировочной характеристики градуировку прибора проводят заново.
5.12.3.3 Подготовка пробы
Одновременно готовят растворы из двух аналитических навесок.
В стакане В-1-250 ТС взвешивают 4,0 - 4,1 г пробы (аналитическая навеска) с точностью до четвертого десятичного знака, цилиндром 1-50-2 приливают 30 см3 дистиллированной воды и цилиндром 1-25-2 добавляют, при перемешивании, 20 см3 концентрированной соляной кислоты. Затем раствор в стакане нагревают до кипения на электрической плитке, выдерживают до растворения навески и охлаждают до комнатной температуры. Используя воронку В-75-110 ХС, раствор количественно переносят в колбу 1-100-2. Дистиллированной водой доводят объем раствора в колбе до делительной отметки и перемешивают - раствор А.
Примечание - Если раствор А мутный, то, используя воронку В-75-110 ХС, его фильтруют в колбу Кн-1-100-34 ТХС через обеззоленный фильтр "Синяя лента".
В колбу Кн-2-100-34 ТХС пипеткой 2-2-25 наливают 25 см3 раствора А, пипеткой 1-1-2-1 добавляют 1 см3 раствора соляной кислоты с массовой долей 10%, пипеткой 1-1-2-2 приливают 2 см3 раствора этиленгликоля и перемешивают. Затем в колбу пипеткой 1-1-2-5 добавляют 3 см3 раствора хлористого бария с массовой долей 20% и перемешивают. Раствор в колбе перемешивают в течение 40 мин через каждые 10 мин.
Одновременно готовят холостую пробу, добавляя 25 см
3 дистиллированной воды (вместо раствора А). Далее проводят измерение по
5.12.4.
Если значение оптической плотности подготовленного раствора превышает максимальное значение в диапазоне градуировочной характеристики, то подготовку пробы осуществляют следующим образом: в колбу Кн-2-100-34 ТХС из бюретки 1-3-2-25-0,1 наливают 19 см3 дистиллированной воды, пипеткой 1-1-2-10 добавляют 6 см3 раствора А, пипеткой 1-1-2-1 добавляют 1 см3 раствора соляной кислоты с массовой долей 10%, пипеткой 1-1-2-2 приливают 2 см3 раствора этиленгликоля и перемешивают. Затем в колбу пипеткой 1-1-2-5 добавляют 3 см3 раствора хлористого бария с массовой долей 20% и перемешивают. Раствор в колбе перемешивают в течение 40 мин через каждые 10 мин.
Одновременно готовят холостую пробу, добавляя 25 см3 дистиллированной воды из бюретки 1-3-2-25-0,1 (вместо 19 см3 дистиллированной воды и 6 см3 раствора А).
Далее проводят измерение по
5.12.4.
Если значение оптической плотности подготовленного раствора превышает максимальное значение в диапазоне градуировочной характеристики, то подготовку пробы осуществляют следующим образом: в колбу Кн-2-100-34 ТХС из бюретки 1-3-2-25-0,1 наливают 23,5 см3 дистиллированной воды, пипеткой 1-1-2-2 добавляют 1,5 см3 раствора А, пипеткой 1-1-2-1 добавляют 1 см3 раствора соляной кислоты с массовой долей 10%, пипеткой 1-1-2-2 приливают 2 см3 раствора этиленгликоля и перемешивают. Затем в колбу пипеткой 1-1-2-5 добавляют 3 см3 раствора хлористого бария с массовой долей 20% и перемешивают. Раствор в колбе перемешивают в течение 40 мин через каждые 10 мин.
Одновременно готовят холостую пробу, добавляя 25 см3 дистиллированной воды из бюретки 1-3-2-25-0,1 (вместо 23,5 см3 дистиллированной воды и 1,5 см3 раствора А).
5.12.4 Измеряют оптическую плотность подготовленного раствора относительно холостой пробы при длине волны (490 +/- 10) нм.
5.12.5 Обработка (вычисление) результатов измерений
| | ИС МЕГАНОРМ: примечание. Нумерация пунктов дана в соответствии с официальным текстом документа. | |
5.13.5.2 Массовую долю сульфатов
Xi, %, рассчитывают по
формуле (5.4.6) при объеме (
Va) отобранного для анализа раствора А = 25, 6 и 1,5 см
3.
5.12.5.3 За результат анализа массовой доли сульфатов

, %, принимают среднеарифметическое значение результатов двух параллельных определений
X1 и
X2, полученных в условиях повторяемости

, (5.12.1)
для которых выполняется следующее условие
|
X1 -
X2| <=
r·|
X1 +
X2|/200. (5.12.2)
При невыполнении
условия (5.12.2) необходимо получить еще два результата параллельных определений. Если при этом выполняется условие
Xmax -
Xmin <=
CR0,95(4)·(
X1 +
X2 +
X3 +
X4)/400, (5.12.3)
то в качестве окончательного результата принимают среднеарифметическое значение результатов четырех параллельных определений. Значения критического диапазона
CR0,95(4) и предела повторяемости
r см. в
таблице 2.
Если
условие (5.12.3) не выполняется, в качестве окончательного результата измерений может быть принята медиана результатов четырех определений. Целесообразно выяснять причины появления неприемлемых результатов параллельных определений.
5.13 Определение массовых долей натрия (Na) и калия (K)
5.13.1 Массовую долю натрия в диапазоне от 0,002% до 0,20% включительно, калия в диапазоне от 0,001% до 0,02% включительно определяют пламенно-фотометрическим методом, основанном на измерении интенсивности эмиссии ионов натрия (калия), раствор соли которого в виде аэрозоля вводят в газовоздушное пламя.
5.13.2 При определении массовых долей натрия и калия применяют средства измерений, вспомогательные устройства и реактивы по
5.1.1, а также следующие:
- анализатор жидкости пламенно-фотометрический ПАЖ-2 или любой другой марки;
- МСО состава раствора ионов натрия с аттестованным значением массовой концентрации ионов 1,00 мг/см3 и относительной погрешностью аттестованного значения не более 1% при P = 0,95.
Примечание - При отсутствии МСО допускается использовать раствор массовой концентрации ионов натрия 1,000 мг/см
3, приготовленный по
ГОСТ 4212 из хлористого натрия;
- МСО состава раствора ионов калия с аттестованным значением массовой концентрации ионов 1,00 мг/см3 и относительной погрешностью аттестованного значения не более 1% при P = 0,95.
Примечание - При отсутствии МСО допускается использовать раствор массовой концентрации ионов калия 1,000 мг/см
3, приготовленный по
ГОСТ 4212 из хлористого калия;
- магний оксид для спектрального анализа по НД государств
<*>.
--------------------------------
<*> В Российской Федерации - по ТУ 6-09-01-245-84 "Магний оксид (окись магния) MgO, квалификация ч.д.а. для спектрального анализа". Допускается применение магния оксида CAS N 1309-48-4 с массовой долей не менее 99,9%.
5.13.3 Подготовка к проведению измерений
Перед проведением измерений приготавливают растворы и подготавливают пробы, проводят градуировку прибора.
5.13.3.1 Приготовление растворов
Для приготовления раствора ионов натрия (калия) массовой концентрации 0,010 мг/см3 в колбу 1-100-2 цилиндром 1-25-2 наливают 25 см3 дистиллированной воды, пипеткой 2-2-1 добавляют 1 см3 МСО натрия (калия) массовой концентрации 1,00 мг/см3. Дистиллированной водой доводят объем раствора в колбе до делительной отметки и перемешивают.
Абсолютная погрешность приготовления раствора ионов натрия (калия) - +/- 0,001 мг/см3 при P = 0,95. Раствор применяют свежеприготовленным.
Для приготовления фонового раствора в стакане В-1-250 ТС взвешивают 6 г магния оксида для спектрального анализа с точностью до второго десятичного знака, цилиндром 1-25-2 добавляют 15 см3 дистиллированной воды, цилиндром 1-50-2 добавляют осторожно, при перемешивании, 35 см3 концентрированной азотной кислоты. Затем раствор в стакане нагревают на электрической плитке до растворения навески. Раствор охлаждают до комнатной температуры и, используя воронку В-75-110 ХС, количественно переносят в колбу 1-200-2. Дистиллированной водой доводят объем раствора в колбе до делительной отметки и перемешивают.
Раствор хранят в течение месяца в склянке в местах, защищенных от света.
Примечание - При отсутствии магния оксида для спектрального анализа допускается использовать магний оксид ч.д.а. по
ГОСТ 4526 <*>.
--------------------------------
<*> В Российской Федерации - по ТУ 6-09-01-245-84 "Магний оксид (окись магния) MgO, квалификация ч.д.а. для спектрального анализа". Допускается применение магния оксида CAS N 1309-48-4 с массовой долей не менее 99,9%.
5.13.3.2 Градуировка прибора
Для приготовления градуировочных растворов в колбы 1-100-2 цилиндром 1-10-2 наливают 10 см3 дистиллированной воды, пипетками 1-1-2-10, 2-2-20 добавляют 0,0 (холостая проба); 1,0; 3,0; 5,0; 7,0; 10,0; 20,0 см3 раствора ионов натрия (ионов калия) массовой концентрации 0,010 мг/см3, что соответствует массе натрия (калия) 0,01; 0,03; 0,05; 0,07; 0,10; 0,20 мг. Затем пипеткой 1-1-2-10 добавляют по 10 см3 фонового раствора. Дистиллированной водой доводят объем растворов в колбах до делительной отметки и перемешивают.
С использованием светофильтра на натрий (калий) проводят фотометрирование градуировочных растворов в порядке возрастания массовой концентрации натрия (калия), снимая показания регистрирующего устройства прибора для каждого градуировочного раствора и холостой пробы. Перед каждым фотометрированием капилляр промывают дистиллированной водой.
Приготавливают новую серию градуировочных растворов и выполняют измерения.
Вычисляют среднеарифметическое измеренных значений показаний регистрирующего устройства прибора для каждого градуировочного раствора Di и холостой пробы Dх.
Градуировочная характеристика зависимости среднего значения показаний регистрирующего устройства прибора
D от массы натрия (калия)
m аппроксимируется линейной функцией вида, см.
формулу (5.5.1).
Рассчитывают коэффициенты градуировочной характеристики (
K, a) методом наименьших квадратов по
формулам (5.5.2) и
(5.5.3) при
n = 6.
Градуировку прибора проводят перед каждым измерением.
5.13.3.3 Подготовка пробы
Одновременно готовят растворы из двух аналитических навесок.
В стакане В-1-150 ТС взвешивают 0,6 - 1,0 г пробы (аналитическая навеска) с точностью до четвертого десятичного знака, цилиндром 1-25-2 приливают 20 см3 дистиллированной воды и перемешивают. Пипеткой 1-1-2-5 добавляют 5 см3 азотной кислоты, раствор в стакане В-1-150 ТС нагревают до кипения на электрической плитке, выдерживают до растворения навески и охлаждают до комнатной температуры. Используя воронку В-75-110 ХС, раствор количественно переносят в колбу 1-100-2. Дистиллированной водой доводят объем раствора в колбе до делительной отметки и перемешивают - раствор А.
Примечание - Если раствор А мутный, его фильтруют в колбу 1-250 через воронку ВФ-1-40-ПОР 16 с использованием водоструйного насоса ТХС.
Далее проводят измерение по
5.13.4.
Если показание регистрирующего устройства прибора превышает максимальное значение натрия в диапазоне градуировочной характеристики, подготовку пробы (с учетом разведения) осуществляют следующим образом: в колбу 1-100-2 цилиндром 1-25-2 наливают 20 см3 дистиллированной воды, пипеткой 2-2-10 приливают 10 см3 раствора А, дистиллированной водой доводят объем раствора в колбе до делительной отметки и перемешивают.
5.13.4 Проводят фотометрирование подготовленного раствора, применяя светофильтр на натрий (калий), снимая показания регистрирующего устройства прибора. Перед каждым фотометрированием капилляр промывают дистиллированной водой.
5.13.5 Обработка (вычисление) результатов измерений
5.13.5.2 Массовую долю натрия (калия) Xi, %, рассчитывают по формуле

, (5.13.1)
где Mi - масса аналитической навески, г.
5.13.5.3 Массовую долю натрия Xj, % (с учетом разведения) рассчитывают по формуле

, (5.13.2)
где Vк - объем раствора А = 100 см3;
Va - объем раствора А = 10 см3, отобранный для измерений.
5.13.5.4 За результат измерений массовой доли натрия (калия)

, %, принимают среднеарифметическое значение результатов двух параллельных определений
X1 и
X2, полученных в условиях повторяемости

, (5.13.3)
для которых выполняется следующее условие:
|
X1 -
X2| <=
r·|
X1 +
X2|/200. (5.13.4)
При невыполнении
условия (5.13.4) необходимо получить еще два результата параллельных определений. Если при этом выполняется условие
Xmax -
Xmin <=
CR0,95(4)·(
X1 +
X2 +
X3 +
X4)/400, (5.13.5)
то в качестве окончательного результата принимают среднеарифметическое значение результатов четырех параллельных определений. Значения критического диапазона
CR0,95(4) и предела повторяемости
r см. в
таблице 2.
Если
условие (5.13.5) не выполняется, в качестве окончательного результата измерений может быть принята медиана результатов четырех определений. Целесообразно выяснять причины появления неприемлемых результатов параллельных определений.
5.14 Определение массовой доли нерастворимого в соляной кислоте остатка
5.14.1 Массовую долю нерастворимого в соляной кислоте остатка в диапазоне от 0,007% до 0,2% включительно определяют гравиметрическим методом, основанным на измерении массы остатка, нерастворимого в соляной кислоте, после фильтрования и высушивания.
5.14.2 При определении массовой доли нерастворимого в соляной кислоте остатка применяют средства измерений, вспомогательные устройства и реактивы по
5.1.1, а также следующие:
- низкотемпературную лабораторную электропечь (далее - электропечь), обеспечивающую поддержание температуры (105 +/- 5) °C.
5.14.3 Подготовка к выполнению измерений
Перед проведением измерений приготавливают раствор азотнокислого серебра массовой концентрации 17 г/дм3, воронки и пробы.
5.14.3.1 Для приготовления раствора азотнокислого серебра массовой концентрации 17 г/дм3 в колбе 1-100-2 взвешивают 1,7 г азотнокислого серебра с точностью до четвертого десятичного знака, цилиндром 1-50-2 приливают 50 см3 дистиллированной воды и перемешивают до растворения навески. Дистиллированной водой доводят объем раствора в колбе до делительной отметки и перемешивают.
Раствор хранят в склянке из темного стекла неограниченно.
Воронки ВФ-1-40-ПОР 16 ТХС доводят до постоянной массы в электропечи при температуре (105 +/- 5) °C. Высушивание в ней в течение 30 мин, охлаждение в эксикаторе 2-140 в течение 15 мин и взвешивание воронок проводят до тех пор, пока разность результатов двух последовательных взвешиваний будет не более 0,0005 г.
5.14.3.2 Подготовка пробы
Одновременно готовят растворы из двух аналитических навесок.
В стакане В-1-600 ТС взвешивают 20 г пробы (аналитическая навеска) с точностью до второго десятичного знака, цилиндром 1-250-2 приливают 200 см3 дистиллированной воды, затем осторожно, небольшими порциями, при перемешивании, цилиндром 1-100-2 приливают 100 см3 соляной кислоты. Раствор в стакане В-1-600 ТС нагревают до кипения на электрической плитке, выдерживают при медленном кипении в течение 10 мин, после чего охлаждают до комнатной температуры.
Затем раствор фильтруют в колбу 1-1000 с использованием водоструйного насоса через воронку ВФ-1-40-ПОР 16 ТХС.
Остаток на воронке промывают дистиллированной водой, предварительно подогретой до температуры (70 +/- 5) °C в стакане В-1-1000 ТС на электрической плитке, до отсутствия положительной реакции на хлорид-ионы следующим образом: в пробирку П1-14-120 ХС помещают 5 - 6 капель фильтрата, капающего из воронки ВФ-1-40-ПОР 16 ТХС, пипеткой 1-1-2-1 добавляют 2 - 3 капли раствора азотнокислого серебра массовой концентрации 17 г/дм3 и наблюдают за появлением помутнения раствора.
Проверку на отсутствие положительной реакции на хлорид-ионы проводят до тех пор, пока в пробирке с новой порцией фильтрата не будет образовываться мутный раствор.
5.14.4 Воронку ВФ-1-40-ПОР 16 ТХС с остатком помещают на 1 ч в электропечь, предварительно нагретую до (105 +/- 5) °C, затем охлаждают в эксикаторе 2-140 в течение 15 мин и взвешивают с точностью до четвертого десятичного знака.
Операцию высушивания и взвешивания с точностью до четвертого десятичного знака проводят через каждые 30 мин до тех пор, пока разность результатов двух последовательных взвешиваний будет не более 0,0005 г.
5.14.5 Обработка (вычисление) результатов измерений
5.14.5.1 Массовую долю нерастворимого в соляной кислоте остатка Xi, %, рассчитывают по формуле

, (5.14.1)
где m2 - масса воронки с остатком после высушивания, г;
m1 - масса воронки, г;
mi - масса аналитической навески, г.
5.14.5.2 За результат измерений массовой доли нерастворимого в соляной кислоте остатка

, %, принимают среднеарифметическое значение результатов двух параллельных определений
X1 и
X2, полученных в условиях повторяемости

, (5.14.2)
для которых выполняется следующее условие:
|
X1 -
X2| <=
r·|
X1 +
X2|/200. (5.14.3)
При невыполнении
условия (5.14.3) необходимо получить еще два результата параллельных определений. Если при этом выполняется условие
Xmax -
Xmin <=
CR0,95(4)·(
X1 +
X2 +
X3 +
X4)/400, (5.14.4)
то в качестве окончательного результата принимают среднеарифметическое значение результатов четырех параллельных определений. Значения критического диапазона
CR0,95(4) и предела повторяемости
r см. в
таблице 2.
Если
условие (5.14.4) не выполняется, в качестве окончательного результата измерений может быть принята медиана результатов четырех определений. Целесообразно выяснять причины появления неприемлемых результатов параллельных определений.
5.15 Определение массовой доли потерь при прокаливании при температуре 900 °C
5.15.1 Массовую долю потерь при прокаливании в диапазоне от 0,2% до 20,0% включительно определяют гравиметрическим методом, основанным на прокаливании пробы при температуре 900 °C до постоянной массы и гравиметрическом измерении.
5.15.2 При определении массовой доли потерь при прокаливании применяют средства измерений, вспомогательные устройства и реактивы по
5.1.1, а также следующие:
- камерную лабораторную электропечь сопротивления (далее - электропечь), обеспечивающую поддержание температуры (900 +/- 5) °C;
5.15.3 Перед проведением измерений подготавливают тигли и пробы.
Тигли доводят до постоянной массы в электропечи при температуре (900 +/- 5) °C. Прокаливание тиглей в электропечи в течение 40 мин, охлаждение в эксикаторе в течение 40 мин и взвешивание проводят до тех пор, пока разность результатов двух последовательных взвешиваний будет не более 0,0005 г.
Одновременно готовят две аналитические навески.
В подготовленном тигле взвешивают 1,5 - 2,0 г пробы (аналитическая навеска) с точностью до четвертого десятичного знака.
5.15.4 Тигель с пробой помещают в предварительно нагретую до температуры (900 +/- 5) °C электропечь на 1 ч, затем охлаждают в эксикаторе 2-190 в течение 40 мин.
Дальнейшие операции прокаливания в электропечи в течение 40 мин, охлаждения в эксикаторе в течение 40 мин и взвешивания проводят до тех пор, пока разность результатов двух последовательных взвешиваний будет не более 0,0005 г.
5.15.5 Обработка (вычисление) результатов измерений
5.15.5.1 Массовую долю потерь при прокаливании Xi, %, рассчитывают по формуле

, (5.15.1)
где m1 - масса тигля с аналитической навеской до прокаливания, г;
m2 - масса тигля с аналитической навеской после прокаливания, г;
mi - масса аналитической навески, г.
5.15.5.2 За результат измерений массовой доли потерь при прокаливании

, %, принимают среднеарифметическое значение результатов двух параллельных определений
X1 и
X2, полученных в условиях повторяемости

, (5.15.2)
для которых выполняется следующее условие:
|
X1 -
X2| <=
r·|
X1 +
X2|/200. (5.15.3)
При невыполнении
условия (5.15.3) необходимо получить еще два результата параллельных определений. Если при этом выполняется условие
Xmax -
Xmin <=
CR0,95(4)·(
X1 +
X2 +
X3 +
X4)/400, (5.15.4)
то в качестве окончательного результата принимают среднеарифметическое значение результатов четырех параллельных определений. Значения критического диапазона
CR0,95(4) и предела повторяемости
r см. в
таблице 2.
Если
условие (5.15.4) не выполняется, в качестве окончательного результата измерений может быть принята медиана результатов четырех определений. Целесообразно выяснять причины появления неприемлемых результатов параллельных определений.
5.16 Определение активности по лимонному числу
5.16.1 Активность по лимонному числу определяют методом, основанным на измерении времени, необходимого для нейтрализации гидроксильных ионов, образующихся при гидратации магния оксида лимонной кислотой.
5.16.2 При определении активности по лимонному числу применяют средства измерений, вспомогательные устройства и реактивы по
5.1.1, а также следующие:
- лабораторный термометр с диапазоном измерений от 0 °C до 55 °C и ценой деления 0,1 °C;
- жидкостный термостат, обеспечивающий поддержание температуры (29,0 +/- 0,2) °C;
- магнитную мешалку любого типа со скоростью перемешивания 1000 мин-1;
- фенолфталеин ч.д.а. по НД государств
<*>;
--------------------------------
<*> В Российской Федерации - по ТУ 6-09-5360-87 "Фенолфталеин".
--------------------------------
<**> В Российской Федерации - по
ГОСТ Р 55878-2013 "Спирт этиловый технический гидролизный ректификованный. Технические условия".
- бензоат натрия ч. по НД государств
<***>.
--------------------------------
<***> В Российской Федерации - по ТУ 6-09-2785-78 "Бензоат натрия".
5.16.3 Перед проведением измерений приготавливают растворы.
Для приготовления спиртового раствора фенолфталеина в стакане В-1-150 ТС взвешивают 1,0 г фенолфталеина с точностью до второго десятичного знака, цилиндром 1-100-2 приливают 80 см3 этилового спирта, цилиндром 1-25-2 приливают 20 см3 дистиллированной воды и перемешивают до растворения навески.
Раствор хранят в склянке с завинчивающейся крышкой в местах, защищенных от попадания прямых солнечных лучей, до изменения внешнего вида.
Для приготовления раствора лимонной кислоты молярной концентрации C (1/3 C6H8O7·H2O) = 0,4 моль/дм3 (далее - раствор лимонной кислоты) в стакане В-1-250 ТС взвешивают 28 г лимонной кислоты и 0,25 г бензоата натрия с точностью до четвертого десятичного знака. Цилиндром 1-100-2 приливают 100 см3 дистиллированной воды и перемешивают до растворения навески. Затем, используя воронку В-75-110 ХС, раствор количественно переносят в колбу 1-1000-2 и пипеткой 2-2-2 добавляют 2 см3 спиртового раствора фенолфталеина. Дистиллированной водой доводят объем раствора в колбе до делительной отметки и перемешивают.
Раствор хранят в течение одного месяца в склянке с завинчивающейся крышкой в местах, защищенных от попадания прямых солнечных лучей.
5.16.4 Растворы готовят из двух аналитических навесок.
В один стакан В-1-250 ТС цилиндром 1-100-2 наливают 100 см3 раствора лимонной кислоты, в другой стакан В-1-250 ТС - 100 см3 дистиллированной воды. Стаканы с раствором и дистиллированной водой помещают в термостат и нагревают жидкости до температуры (29,0 +/- 0,2) °C.
В сухой колбе Кн-2-250-45/40 взвешивают 2 г пробы (аналитическая навеска) с точностью до четвертого десятичного знака, помещают в нее якорь магнитной мешалки и ставят на магнитную мешалку. Затем из стакана В-1-250 ТС приливают 100 см3 дистиллированной воды, нагретой до температуры (29,0 +/- 0,2) °C, включают магнитную мешалку и устанавливают максимальную скорость перемешивания. После этого из стакана В-1-250 ТС приливают 100 см3 раствора лимонной кислоты, нагретой до температуры (29,0 +/- 0,2) °C, и одновременно включают секундомер. Секундомер выключают в тот момент, когда раствор в колбе окрасится в розовый цвет. Время окрашивания раствора должно быть зафиксировано с точностью до секунды.
Во время измерения контролируют температуру раствора. Если температура превысит (31,5 +/- 0,1) °C, измерение повторяют.
Активность по лимонному числу Xi, с, соответствует измеренному времени.
За результат измерения активности по лимонному числу

, с, принимают среднеарифметическое значение результатов двух параллельных определений
X1 и
X2, допускаемое абсолютное расхождение между которыми должно быть не более 5 с.
5.17 Определение активности по йодному числу
5.17.1 Активность магния оксида по йодному числу в диапазоне от 50 до 200 мг J/г MgO включительно определяют методом, основанным на реакции взаимодействия пробы с раствором йода и титровании его избытка раствором серноватистокислого натрия.
5.17.2 При определении активности по йодному числу применяют средства измерений, вспомогательные устройства и реактивы по
5.1.1, а также следующие:
- аппарат для встряхивания, обеспечивающий скорость (100 +/- 10) колебаний в минуту;
- четыреххлористый углерод х.ч, ч.д.а. по
ГОСТ 20288;
- 5-водный серноватистокислый натрий ч.д.а. по
ГОСТ 27068;
- этиловый технический гидролизный ректификованный спирт по
ГОСТ 18300 <*>.
--------------------------------
<*> В Российской Федерации - по
ГОСТ Р 55878-2013 "Спирт этиловый технический гидролизный ректификованный. Технические условия".
5.17.3 Подготовка к проведению измерений
Перед проведением измерений приготавливают растворы и пробы.
5.17.3.1 Приготовление растворов
Для приготовления раствора йода в четыреххлористом углероде молярной концентрации эквивалента 0,1 моль/дм3 (далее - раствор йода) в колбе 2-500-2 взвешивают 6,35 г йода с точностью до четвертого десятичного знака, цилиндром 1-500-2 приливают 400 см3 четыреххлористого углерода и перемешивают до полного растворения. Объем раствора в колбе доводят четыреххлористым углеродом до делительной отметки.
Приготовление раствора серноватистокислого натрия молярной концентрации C (Na
2S
2O
3 x 5 H
2O) = 0,1 моль/дм
3 (0,1 н) (далее - раствор серноватистокислого натрия) - по
ГОСТ 25794.2.
Раствор хранят длительное время в полиэтиленовой склянке с завинчивающейся крышкой в местах, защищенных от попадания прямых солнечных лучей. Коэффициент поправки проверяют один раз в месяц.
Для приготовления спиртового раствора йодистого калия в мензурке 500 взвешивают 8,3 г йодистого калия с точностью до второго десятичного знака, цилиндром 1-500-2 приливают этиловый спирт до метки 500 см3 и перемешивают до растворения.
5.17.3.2 Подготовка пробы
Одновременно готовят растворы из двух аналитических навесок.
В колбе Кн-1-250-29/32 ТС взвешивают 1 г пробы (аналитическая навеска) с точностью до четвертого десятичного знака, пипеткой 2-2-50 добавляют 50 см3 раствора йода, колбу плотно закрывают пробкой и встряхивают на аппарате для встряхивания в течение 25 мин со скоростью (100 +/- 10) колебаний в минуту.
Содержимое колбы фильтруют в стакан В-1-150 ТС через воронку В-75-110 ХС с обеззоленным фильтром "Синяя лента". Затем пипеткой 2-2-10 отбирают 10 см3 отфильтрованного раствора йода и переносят в колбу Кн-1-250-29/32 ТС и цилиндром 1-25-2 добавляют 20 см3 спиртового раствора йодистого калия.
Одновременно готовят холостую пробу следующим образом: в колбу Кн-1-250-29/32 ТС пипеткой 2-2-10 наливают 10 см3 раствора йода, цилиндром 1-25-2 добавляют 20 см3 спиртового раствора йодистого калия.
5.17.4 Подготовленную пробу и холостую пробу титруют из бюретки 1-3-2-25-0,1 раствором серноватистокислого натрия до обесцвечивания раствора.
5.17.5 Обработка (вычисление) результатов измерений
5.17.5.1 Активность по йодному числу Xi, мг J/г MgO рассчитывают по формуле

, (5.17.1)
где Vх - объем раствора серноватистокислого натрия, израсходованный на титрование холостой пробы, см3;
Vi - объем раствора серноватистокислого натрия, израсходованный на титрование пробы, см3;
0,01269 - масса йода в граммах, эквивалентная 1 см3 раствора серноватистокислого натрия, г/см3;
K - коэффициент поправки раствора серноватистокислого натрия;
Va - объем раствора йода, отобранный для анализа, - 50 см3;
mi - масса навески пробы, г;
Vb - объем раствора йода, отобранный для титрования, - 10 см3.
5.17.5.2 За результат измерения активности по йодному числу

, мг J/г MgO, принимают среднеарифметическое значение результатов двух параллельных измерений
X1 и
X2, полученных в условиях повторяемости

, (5.17.2)
для которых выполняется следующее условие:
|
X1 -
X2| <=
r·|
X1 +
X2|/200. (5.17.3)
При невыполнении
условия (5.17.3) необходимо получить еще два результата параллельных определений. Если при этом выполняется условие
Xmax -
Xmin <=
CR0,95(4)·(
X1 +
X2 +
X3 +
X4)/400, (5.17.4)
в качестве окончательного результата принимают среднеарифметическое значение результатов четырех параллельных определений. Значения критического диапазона
CR0,95(4) и предела повторяемости
r см. в
таблице 2.
Если
условие (5.17.4) не выполняется, в качестве окончательного результата определений может быть принята медиана результатов четырех определений. Целесообразно выяснять причины появления неприемлемых результатов параллельных определений. Результат измерений округляют до целого числа.
5.18 Определение удельной поверхности
5.18.1 Метод измерения на анализаторе удельной поверхности основан на явлении адсорбции молекул адсорбата (азота) активной поверхностью анализируемого образца из газовой фазы, в результате чего наблюдается изменение давления в ячейке с образцом. При дальнейшем дозированном добавлении газа в ячейку с образцом происходит полное заполнение поверхности образца слоем молекул адсорбата.
На основании данных по изменению давления в ячейке рассчитывают площадь удельной поверхности анализируемого образца многоточечным (по семи точкам) методом Брюнера-Эммета-Теллера (метод BET).
Перед измерением площади удельной поверхности проводят дегазацию образца для удаления излишней жидкости и других загрязняющих материалов, которые могут изменять потенциал поверхности и блокировать или заполнять поры.
Примечания
1 Необходимость и условия дегазации [температура, время и способ (под вакуумом или в потоке газа-носителя)] согласовываются с конкретным потребителем при заключении контракта.
2 Допускается проводить измерение площади удельной поверхности без дегазации образца.
5.18.2 При определении удельной поверхности применяют средства измерений, вспомогательные устройства и реактивы по
5.1.1, а также следующие:
- анализатор удельной поверхности и размеров пор Quadrasorb EVO или Quadrasorb SI (далее - прибор) в комплекте с дегазационной станцией, ершиками для мытья ячеек, насадкой для заполнения ячеек;
- стандартные ячейки 9 мм с утолщением (тип А) и без утолщения (тип Б);
- заполняющие стержни для стандартных ячеек;
- сосуд Дьюара серии СК для жидкого азота;
- газообразный гелий марки А по НД государств
<*>;
--------------------------------
<*> В Российской Федерации - по ТУ 0271-135-31323949-2005 "Гелий газообразный (сжатый)".
- газообразный азот особой чистоты по
ГОСТ 9293;
- жидкий технический азот 1-го сорта по
ГОСТ 9293;
5.18.3 Подготовка к проведению измерений
5.18.3.1 Тип ячеек и массу навески пробы подбирают в зависимости от значения удельной поверхности. Для проб с удельной поверхностью:
- до 20 м2/г используют ячейки типа А и массу навески пробы - 1,0 - 1,2 г;
- свыше 20 м2/г - ячейки типа Б и массу навески пробы, г:
0,6 - 0,2 - для удельной поверхности от 20 до 80 м2/г;
0,2 - 0,1 - для удельной поверхности свыше 80 м2/г.
5.18.3.2 Для приготовления раствора соляной кислоты, разбавленной дистиллированной водой в объемном соотношении 1:2 в стакан В-1-600 ТС цилиндром 1-250-2 наливают 200 см3 дистиллированной воды, цилиндром 1-100-2 приливают осторожно, небольшими порциями, перемешивая, 100 см3 концентрированной соляной кислоты и перемешивают. Раствор хранят длительное время при комнатной температуре в склянке с завинчивающейся крышкой.
5.18.3.3 Ячейки промывают ершиком проточной водой, раствором соляной кислоты, разбавленной дистиллированной водой в объемном соотношении 1:2, дистиллированной водой, ацетоном, после чего продувают воздухом при комнатной температуре в течение 5 мин. Ячейки очищают после каждого измерения.
5.18.3.4 Подготовка пробы для проведения анализа с дегазацией
Одновременно заполняют пробой четыре ячейки.
Каждую пустую ячейку поочередно помещают в цилиндр 1-100-2 и взвешивают с точностью до четвертого десятичного знака - m1i, г.
Ячейки заполняют пробой с использованием насадки и прочищают верхние части ячеек сухим ершиком.
Ячейки с пробой (без заполняющих стержней) устанавливают в дегазационную станцию и проводят дегазацию пробы в требуемых условиях (см.
5.18.1, примечание 1).
После проведения дегазации ячейки с пробой охлаждают до комнатной температуры и, помещая поочередно каждую в тот же цилиндр 1-100-2, взвешивают с точностью до четвертого десятичного знака - m2i, г.
По разности значений масс рассчитывают массу навески пробы в каждой ячейке mi = m2i - m1i, и вносят в программное обеспечение прибора.
5.18.3.5 Подготовка пробы для проведения анализа без дегазации
Одновременно заполняют пробой четыре ячейки.
Каждую пустую ячейку поочередно помещают в цилиндр 1-100-2 и взвешивают с точностью до четвертого десятичного знака - m1i, г.
Ячейки заполняют пробой с использованием насадки и прочищают верхние части ячеек сухим ершиком.
Каждую ячейку помещают поочередно в тот же цилиндр 1-100-2 и взвешивают с точностью до четвертого десятичного знака - m2i, г.
По разности значений масс рассчитывают массу навески пробы в каждой ячейке mi = m2i - m1i, и вносят в программное обеспечение прибора.
5.18.3.6 В окне "Cellsize" прибора указывают тип используемой ячейки: 9 mm largebulb (тип А) или 9 mm nobulb (тип Б).
При выборе точек для анализа используют значения P/P0 в диапазоне от 0,03 до 0,3, число точек - 7, отметив методы обсчета "M" и "S".
Выбирают параметры равновесия:
pressure tolerance (toler) - 0,05 мм рт. ст;
equilibrium time (Equ) - 180 с;
equilibrium time out (time out) - 360 с.
5.18.4 В ячейки вставляют заполняющие стержни. Ячейки с пробой и заполняющими стержнями вставляют в рабочие станции прибора и проводят измерение.
5.18.5 Обработка (вычисление) результатов измерений
5.18.5.1 По результатам измерения удельной поверхности пробы на каждой рабочей станции, Si, м2/г, определяют для каждой станции подходящие для обработки точки по критерию Рукерола, используя автоматическую функцию программного обеспечения прибора "Micro pore BET assistant".
5.18.5.2 Если критерию Рукерола на каждой рабочей станции удовлетворяют точки от трех до семи, за результат измерений удельной поверхности пробы

, м
2/г, принимают среднеарифметическое значение результатов четырех параллельных определений
S1,
S2,
S3,
S4.
Если критерию Рукерола удовлетворяют только две точки на одной из четырех рабочих станций, измерение на этой рабочей станции признают ошибочным и за результат измерений удельной поверхности пробы

, м
2/г, принимают среднеарифметическое значение результатов трех параллельных определений
S1,
S2,
S3.
Если критерию Рукерола удовлетворяют только две точки на двух рабочих станциях, измерение признают ошибочным и определение удельной поверхности пробы повторяют на четырех рабочих станциях по
5.18.4 и
5.18.5.
Результат измерений округляют до целого числа.
5.19 Определение динамической вязкости
5.19.1 Метод основан на приготовлении суспензии магния оксида и измерении ее динамической вязкости двумя способами.
5.19.2 При определении динамической вязкости суспензии применяют средства измерений, вспомогательные устройства и реактивы по
5.1.1, а также следующие:
- лабораторные весы среднего класса точности с набором гирь;
- вискозиметр Brookfield DV2T (ротор N 61 со скоростью вращения 50 мин-1; ротор N 62 со скоростью вращения 100 мин-1);
- верхнеприводное перемешивающее устройство, обеспечивающее скорость перемешивания не менее 3000 мин-1;
- циркуляционный термостат, обеспечивающий поддержание температуры 25 °C.
- холодильник, обеспечивающий поддержание температуры 6 °C.
5.19.3 Подготовка к проведению измерений
Способ 1
Перед проведением измерений дистиллированную воду нагревают до температуры 25 °C.
Для подготовки пробы в стакане В-1-250 ТХС взвешивают 72 г пробы магния оксида с точностью до второго десятичного знака.
В стакан 7 цилиндром 1-1000-2 наливают 600 см3 дистиллированной воды и аккуратно высыпают в него пробу магния оксида.
Стакан 7 с пробой устанавливают в термостат. В стакан помещают мешалку перемешивающего устройства. Пробу перемешивают при температуре воды в термостате 25 °C в течение 15 мин со скоростью 3000 мин-1. Операцию повторяют с новой навеской пробы.
Способ 2
Перед проведением измерений дистиллированную воду охлаждают до температуры 6 °C.
В стакане В-1-250 ТХС взвешивают 65 г пробы магния оксида с точностью до второго десятичного знака.
В стакан 7 цилиндром 1-1000-2 наливают 500 см3 дистиллированной воды и аккуратно высыпают в него пробу магния оксида.
Стакан 7 с пробой устанавливают в термостат. В стакан помещают мешалку перемешивающего устройства. Пробу перемешивают при температуре воды в термостате 23 °C в течение 60 мин со скоростью 2800 мин-1.
Процедуру повторяют с новой навеской пробы.
5.19.4 Проведение измерений
Способ 1
Подготовленную пробу быстро переливают в стакан В-1-600 ТХС и измеряют динамическую вязкость вискозиметром с ротором N 61 в течение 15 с.
Если динамическая вязкость пробы превышает 0,12 Па·с, измерение проводят с ротором N 62 в течение 15 с.
Способ 2
Подготовленную пробу быстро переливают в стакан В-1-600 ТХС и измеряют динамическую вязкость вискозиметром с ротором N 62 в течение 15 с.
5.19.5 С дисплея прибора снимают показания динамической вязкости суспензии, фиксируя значения текущей температуры.
За результат измерения динамической вязкости суспензии

принимают среднеарифметическое значение результатов двух параллельных определений
X1 и
X2, допускаемое абсолютное расхождение между которыми должно быть не более 0,015 Па·с.
5.20 Определение остатка при просеве на сите
5.20.1 Определение остатка при просеве на сите с сеткой 150 мкм проводят по ГОСТ 844.
5.20.2 Определение остатка при просеве на сите с сеткой 45 мкм
5.20.2.1 Метод основан на промывании водой мелких частиц пробы продукта сквозь сито с сеткой 45 мкм с последующим высушиванием и взвешиванием оставшихся на сите более крупных частиц и вычислении их остатка в процентах к общей массе пробы, отобранной для анализа.
5.20.2.2 Для проведения измерений используют:
- лабораторные весы высокого класса точности с набором гирь (см.
5.1.1);
- металлическое сито с сеткой 45 мкм по
ГОСТ 6613;
- кристаллизационную цилиндрическую чашку ЧКЦ-2-5000 по
ГОСТ 25336;
- водопроводный кран;
- перчатки резиновые;
- сушильный шкаф, обеспечивающий поддержание температуры (150 +/- 2) °C;
- электропечь, обеспечивающую поддержание температуры (900 +/- 5) °C.
5.20.2.3 Перед проведением измерений приготавливают тигли и пробы.
Тигли доводят до постоянной массы в электропечи при температуре (900 +/- 5) °C. Высушивание и взвешивание тиглей с точностью до четвертого десятичного знака проводят через каждые 40 мин до тех пор, пока разность результатов двух последовательных взвешиваний будет не более 0,0005 г.
В стакане В-1-600 ТС взвешивают 100 г пробы с точностью до четвертого десятичного знака и осторожно высыпают на сито с сеткой 45 мкм, предварительно смоченное водопроводной водой.
5.20.2.4 Сито с пробой помещают под струю водопроводной воды над кристаллизационной чашкой ЧКЦ-2-5000 и рукой в резиновой перчатке круговыми движениями слегка перетирают пробу до прозрачных промывных вод.
Сито с остатком пробы помещают в сушильный шкаф, предварительно нагретый до температуры (150 +/- 2) °C, и высушивают в течение 2 ч.
Оставшиеся на сите частицы пробы количественно переносят в тигель, помещают его в электропечь, предварительно нагретую до температуры (900 +/- 5) °C, и выдерживают в течение 2 ч. Затем тигель с частицами пробы охлаждают в эксикаторе 2-250 в течение 30 мин и взвешивают с точностью до четвертого десятичного знака.
Процедуры повторяют с новой навеской пробы.
5.20.2.5 Остаток при просеве Xi, %, рассчитывают по формуле

,
где m2 - масса тигля с остатком, г;
m1 - масса пустого тигля, г;
mi - масса навески пробы, г.
За результат измерения остатка при просеве

, %, принимают среднеарифметическое значение результатов двух параллельных определений
X1i и
X2i, допускаемое относительное расхождение между которыми должно быть не более 20%.
5.21 Определение гранулометрического состава
5.21.1 Измерение гранулометрического состава проводят методом лазерной дифракции: диспергирование в дистиллированной воде с добавлением поверхностно-активного вещества (ПАВ), модель рассеяния Ми.
5.21.2 При определении гранулометрического состава применяют средства измерений, вспомогательные устройства и реактивы по
5.1.1, а также следующие:
- лазерный анализатор размера частиц MASTERSIZER 3000 E или другого типа с аналогичными характеристиками;
- обеззоленный фильтр "Белая лента" по НД государств
<*>;
--------------------------------
<*> В Российской Федерации - по ТУ 6-09-1678-95 "Фильтры обеззоленные ФМ "Белая лента".
- сульфонол порошок по НД государств
<**>.
--------------------------------
<**> В Российской Федерации - по ТУ 2481-135-07510508-2007 "Сульфонол порошок".
Примечание - Технический натрия полифосфат и сульфонол порошок используют в качестве ПАВ.
5.21.3 Перед проведением измерений приготавливают раствор ПАВ с массовой долей 1% и пробу.
Для приготовления раствора ПАВ с массовой долей 1% в стакане В-1-600 ТС взвешивают с точностью до второго десятичного знака 5 г натрия полифосфата, цилиндром 1-500-2 приливают 495 см3 дистиллированной воды и перемешивают до растворения навески. Затем раствор фильтруют через воронку В-75-110 ХС с обеззоленным фильтром "Белая лента" <*>.
--------------------------------
<*> В Российской Федерации - по ТУ 6-09-1678-95 "Фильтры обеззоленные ФМ "Белая лента".
Раствор хранят длительное время при комнатной температуре в склянке с завинчивающейся крышкой.
Примечание - Допускается вместо натрия полифосфата использовать сульфонол порошок.
В стандартном окне программы прибора устанавливают показатель преломления материала - 1,735.
Стакан В-1-100 ТС на 1/4 вместимости заполняют пробой, цилиндром 1-50-2 приливают 30 см3 раствора ПАВ и перемешивают.
Примечание - Подготовленную пробу используют для измерений в течение 5 мин.
5.21.4 В стакан диспергирующего устройства блока подготовки проб лазерного анализатора цилиндром 1-1000-2 наливают 900 см3 дистиллированной воды, цилиндром 1-50-2 приливают 20 см3 раствора ПАВ с массовой долей 1% и измеряют фон.
После измерения фона добавляют небольшими порциями пробу в объеме, согласно инструкции к лазерному анализатору, и проводят ультразвуковое диспергирование в течение 1 мин при максимальной мощности диспергирующего устройства.
Проводят измерение гранулометрического состава d10, d50, мкм, пробы не менее пяти раз (задают в программном обеспечении).
За результат измерений гранулометрического состава принимают среднее значение из пяти результатов параллельных определений для каждого показателя (считается автоматически и регистрируется в протоколе в электронном виде или на бумажном носителе). Результаты измерений округляют до первого десятичного знака.
6 Упаковка, маркировка, транспортирование и хранение
6.1 Упаковка
6.1.1 Магний оксид упаковывают в герметичные клапанные полиэтиленовые, полипропиленовые (с клапаном и полиэтиленовым вкладышем), полипропиленовые ламинированные, бумажные или из комбинированных материалов мешки массой нетто не более 50 кг; мягкие специализированные контейнеры для сыпучих и влажных продуктов из полипропиленовой ткани массой нетто не более 1000 кг.
Допускается по согласованию с потребителем упаковывать магний оксид в тару других видов, обеспечивающую его качество и сохранность.
Предел допускаемого отклонения массы нетто - по
ГОСТ 8.579.
6.1.2 Упаковка магния оксида, предназначенного для районов Крайнего Севера и отдаленных районов, - по
ГОСТ 15846.
6.2 Маркировка
6.2.1 Транспортная маркировка - по
ГОСТ 14192 с дополнительным указанием на каждой упаковочной единице:
- наименования предприятия-изготовителя и его товарный знак;
- юридического адреса;
- марки и наименования продукции;
- номера партии и даты изготовления;
- гарантийного срока хранения;
- обозначения настоящего стандарта;
- массы нетто;
- манипуляционного знака "Беречь от влаги".
6.2.2 Транспортную тару маркируют по
ГОСТ 14192 с указанием:
- числа пакетов в партии;
- числа упаковочных единиц в пакете;
- объема грузового места;
- габаритных размеров грузового места.
6.2.3 Маркировку наносят типографским способом, окраской по трафарету, методом штампования или печатными маркировочными машинами.
Допускается маркировочные данные наносить на ярлык, который должен быть прочно прикреплен к упаковке.
6.2.4 На каждую упаковочную единицу должна быть нанесена предупредительная маркировка по
ГОСТ 31340. Транспортную и предупредительную маркировку допускается совмещать на одном ярлыке. Любой способ нанесения маркировки должен обеспечивать сохранность надписи.
6.3 Транспортирование и хранение
6.3.1 Магний оксид транспортируют транспортными средствами всех видов в соответствии с правилами перевозок грузов, действующими на этом виде транспорта.
6.3.2 Магний оксид транспортируют в транспортных пакетах по
ГОСТ 26663 с применением поддонов по
ГОСТ 33757.
Габаритные размеры и масса брутто транспортных пакетов - по
ГОСТ 24597.
По железной дороге магний оксид, упакованный в специализированные мягкие контейнеры, транспортируют без перевалок в пути следования, с погрузкой и выгрузкой на подъездных путях предприятий. Размещение и крепление контейнеров на подвижном составе проводят в соответствии с техническими условиями погрузки и крепления грузов.
6.3.3 Магний оксид хранят в сухих закрытых складских помещениях, исключающих попадание влаги.
При хранении в отапливаемых складских помещениях мешки и транспортные пакеты располагают на расстоянии не менее 1 м от отопительных приборов.
7.1 Предприятие-изготовитель гарантирует соответствие магния оксида требованиям настоящего стандарта при соблюдении условий транспортирования и хранения.
7.2 Гарантийный срок хранения - 12 мес с даты изготовления.