Главная // Актуальные документы // ГОСТ (Государственный стандарт)СПРАВКА
Источник публикации
М.: Стандартинформ, 2012
Примечание к документу
Текст данного документа приведен с учетом
поправки, опубликованной в "ИУС", N 12, 2015.
Документ
введен в действие 01.07.2012.
Название документа
"ГОСТ OIML R 111-1-2009. Межгосударственный стандарт. Государственная система обеспечения единства измерений. Гири классов E1, E2, F1, F2, M1, M1-2, M2, M2-3 и M3. Часть 1. Метрологические и технические требования"
(введен в действие Приказом Росстандарта от 22.08.2011 N 233-ст)
"ГОСТ OIML R 111-1-2009. Межгосударственный стандарт. Государственная система обеспечения единства измерений. Гири классов E1, E2, F1, F2, M1, M1-2, M2, M2-3 и M3. Часть 1. Метрологические и технические требования"
(введен в действие Приказом Росстандарта от 22.08.2011 N 233-ст)
Приказом Федерального
агентства по техническому
регулированию и метрологии
от 22 августа 2011 г. N 233-ст
МЕЖГОСУДАРСТВЕННЫЙ СТАНДАРТ
ГОСУДАРСТВЕННАЯ СИСТЕМА ОБЕСПЕЧЕНИЯ ЕДИНСТВА ИЗМЕРЕНИЙ
ГИРИ КЛАССОВ

,

,

,

,

,

,

,

И

ЧАСТЬ 1
МЕТРОЛОГИЧЕСКИЕ И ТЕХНИЧЕСКИЕ ТРЕБОВАНИЯ
State system for ensuring the uniformity of measurements.
Weights of classes

,

,

,

,

,
Part 1. Metrological and technical requirements
OIML R 111-1: 2004
Weights of classes

,

,

,

,

,
Part 1: Metrological and technical requirements (IDT)
ГОСТ OIML R 111-1-2009
Дата введения
1 июля 2012 года
Цели, основные принципы и основной порядок проведения работ по межгосударственной стандартизации установлены
ГОСТ 1.0-92 "Межгосударственная система стандартизации. Основные положения" и
ГОСТ 1.2-2009 "Межгосударственная система стандартизации. Стандарты межгосударственные, правила и рекомендации по межгосударственной стандартизации. Правила разработки, принятия, применения, обновления и отмены".
1 ПОДГОТОВЛЕН Техническим комитетом по стандартизации ТК 310 "Приборы весоизмерительные" и Федеральным государственным унитарным предприятием "Всероссийский научно-исследовательский институт метрологии им. Д.И. Менделеева" (ФГУП "ВНИИМ им. Д.И. Менделеева") на основе собственного аутентичного перевода на русский язык международной рекомендации, указанной в пункте 5
2 ВНЕСЕН Федеральным агентством по техническому регулированию и метрологии
3 ПРИНЯТ Межгосударственным советом по стандартизации, метрологии и сертификации (Протокол от 11 июня 2009 г. N 35)
За принятие проголосовали:
Краткое наименование страны по МК (ИСО 3166) 004-97 | Код страны по МК (ИСО 3166) 004-97 | Сокращенное наименование национального органа по стандартизации |
Азербайджан | AZ | Азстандарт |
Казахстан | KZ | Госстандарт Республики Казахстан |
Кыргызстан | KG | Кыргызстандарт |
Молдова | MD | Молдова-Стандарт |
Российская Федерация | RU | Росстандарт |
Таджикистан | TJ | Таджикстандарт |
Украина | UA | Госпотребстандарт Украины |
4 Приказом Федерального агентства по техническому регулированию и метрологии от 22 августа 2011 г. N 233-ст межгосударственный стандарт ГОСТ OIML R 111-1-2009 введен в действие в качестве национального стандарта Российской Федерации с 1 июля 2012 г.
5 Настоящий стандарт идентичен по отношению к международной рекомендации МОЗМ Р 111-1:2004 "Гири классов

,

,

,

,

,

,

,

и

. Часть 1. Метрологические и технические требования" (OIML R 111-1:2004 "Weights of classes

,

,

,

,

,

,

,

and

. Part 1: Metrological and technical requirements").
В стандарт внесены следующие редакционные изменения:
- в
раздел 2 включены дополнительные положения, которые выделены путем заключения их в рамки из тонких линий, а информация с объяснением причин включения этих положений приведена в указанном разделе в виде примечаний;
- в
раздел 15 включены дополнительные положения, которые выделены путем заключения их в рамки из тонких линий, а информация с объяснением причин включения этих положений приведена в указанном разделе в виде примечаний;
- изменены отдельные фразы и слова, выделенные в тексте курсивом (вместо "Сертификат МОЗМ" применены "Свидетельство об утверждении типа", там, где уместно по смыслу, - "Описание типа" и т.д.).
Настоящий стандарт дополнен Приложениями, введенными для удобства пользования стандартом:
-
Приложением ДА "Методика поверки гирь", в котором приведена информация о методах и средствах поверки гирь;
-
Приложением ДБ "Методы точного взвешивания", в котором приведены сведения о методах точного взвешивания;
-
Приложением ДВ "Примеры определения массы гирь", в котором приведены примеры расчета массы гирь;
-
Приложением ДГ "Схемы сличения гирь и формулы для вычисления их массы при подекадной калибровке набора", в котором приведены сведения об основных схемах сличения гирь;
-
Приложением ДД "Сведения о соответствии ссылочных международных документов ссылочным национальным стандартам Российской Федерации".
При применении настоящего стандарта рекомендуется использовать вместо ссылочных международных стандартов соответствующие им национальные стандарты Российской Федерации, сведения о которых приведены в дополнительном
Приложении ДД
Информация о введении в действие (прекращении действия) настоящего стандарта и изменений к нему на территории указанных выше государств публикуется в указателях национальных стандартов, издаваемых в этих государствах.
Информация об изменениях к настоящему стандарту публикуется в указателе "Национальные стандарты", а текст изменений - в информационных указателях "Национальные стандарты". В случае пересмотра или отмены настоящего стандарта соответствующая информация будет опубликована в информационном указателе "Национальные стандарты"
Предисловие к международной рекомендации МОЗМ МР 111-1:2004
Международная организация законодательной метрологии (МОЗМ) - всемирно известная межправительственная организация, главной целью которой является гармонизация предписаний к средствам измерений и правил метрологического контроля, применяемых национальными метрологическими службами или схожими организациями стран - членов МОЗМ.
Два основных вида публикаций МОЗМ:
- международная рекомендация (МОЗМ МР) - образец документа, устанавливающего требования к метрологическим характеристикам конкретного средства измерений, а также определяющего методы и оборудование для проверки соответствия характеристик установленным требованиям. Государства - члены МОЗМ должны придерживаться положений рекомендации в самой большой степени, насколько это возможно;
- Международный документ (МОЗМ Д) - информационный документ, служащий для гармонизации и совершенствования работы в сфере законодательной метрологии.
Проекты рекомендаций, документов и руководств подготавливаются техническими комитетами и подкомитетами, в которые входят представители стран - членов МОЗМ. На консультационной основе также участвуют определенные международные и региональные организации. С целью избежать противоречивых требований к средствам измерений установлены взаимные соглашения между МОЗМ и такими организациями, как Международная организация по стандартизации (ИСО) и Международная электротехническая комиссия (МЭК). В результате изготовители и пользователи средств измерений, испытательные лаборатории и т.д. могут применять одновременно публикации МОЗМ и этих организаций.
Международные рекомендации, документы, руководства и основополагающие документы издают на английском языке (E), переводят на французский язык (F) и подвергают периодическому пересмотру.
Настоящая публикация МОЗМ МР 111-1, издания 2004 г., подготовлена Техническим подкомитетом ТК 9/ПК3 "Гири". Она была одобрена Международным комитетом законодательной метрологии для окончательной публикации в 2004 г. Публикации МОЗМ в формате файлов PDF могут быть получены с сайта МОЗМ. Дополнительно информация по публикациям МОЗМ может быть получена в штаб-квартире организации:
Bureau International de Metrologie Legale
11, rue Turgot - 75009 Paris - France
Telephone: 33 (0)1 48 78 12 82
Fax: 33 (0)1 48 82 17 27
E-mail: biml@oiml.org
Internet: www.oiml.org
1.1. Настоящий стандарт содержит основные технические (основные физические характеристики) и метрологические требования к гирям, используемым:
- в качестве эталонных гирь для поверки весов;
- в качестве эталонных гирь для поверки или калибровки гирь более низкого класса точности;
- в качестве рабочих гирь совместно с весами.
1.2. Область применения
Настоящий стандарт распространяется на гири, номинальные значения массы которых составляют от 1 мг до 5000 кг, классов точности

,

,

,

,

,

,

,

,

.
1.3. Минимальный класс точности гирь
Класс точности гирь (далее - класс), используемых в качестве эталонных для поверки гирь или весов, должен соответствовать требованиям стандартов по поверке гирь и весов.
Класс E1. Гири, предназначенные для обеспечения прослеживаемости от национальных эталонов массы (со значениями, полученными от международного прототипа килограмма) к гирям класса

и более низкого. Гири или наборы гирь класса

должны иметь сертификат о калибровке
(свидетельство о поверке) (по
15.2.2.1).
Класс E2. Гири, предназначенные для поверки или калибровки гирь класса

и для использования с весами специального класса I. Гири или наборы гирь класса

должны иметь сертификат о калибровке
(свидетельство о поверке) (по
15.2.2.2). Гири или наборы гирь класса

могут быть использованы в качестве гирь класса

при условии удовлетворения требованиям по шероховатости поверхности, магнитной восприимчивости и остаточной намагниченности, предъявляемым к гирям класса

, и при наличии в их сертификате о калибровке (свидетельстве о поверке) соответствующих данных, как указано в
15.2.2.1.
Класс F1. Гири, предназначенные для поверки или калибровки гирь класса

и для использования с весами специального I и высокого II классов точности.
Класс F2. Гири, предназначенные для поверки или калибровки гирь класса точности

и, если возможно, класса

. Они также предназначены для использования при важных коммерческих операциях (например, при взвешивании драгоценных металлов и камней) на весах высокого класса точности II.
Класс M1. Гири, предназначенные для поверки или калибровки гирь класса

и для использования с весами среднего класса точности III.
Класс M2. Гири, предназначенные для поверки или калибровки гирь класса

и для использования в общепринятых коммерческих операциях и с весами среднего класса точности III.
Класс M3. Гири, предназначенные для использования с весами среднего класса точности и, как правило, класса точности III.
Классы M1-2 и M1-3. Гири от 50 до 5000 кг более низкого класса точности, предназначенные для использования с весами среднего класса точности III.
Примечание. Погрешность гири, используемой для поверки весов, не должна превышать 1/3 пределов допускаемой погрешности средства измерений. Значения приведены в пункте 3.7.1 международной рекомендации МОЗМ МР 76-1 [OILM R 76-1 (далее - R 76-1)] "Весы неавтоматического действия. Часть 1. Метрологические и технические требования. Испытания".
Термины, использованные в настоящем стандарте, соответствуют приведенным в Международном словаре основополагающих терминов в метрологии (издание 1993 г.)
[1] и Международном словаре терминов в законодательной метрологии (издание 2000 г.)
[2].
В настоящем стандарте применены следующие термины с соответствующими определениями:
2.1. класс точности (accuracy class): Обозначение класса гири или набора гирь, отвечающих определенным метрологическим требованиям, предназначенных для воспроизведения значений массы с указанной погрешностью.
2.2. весы (balance): Средство измерений, предназначенное для отображения результата измерения массы тела в условиях воздушной среды через силу тяжести, действующую на это тело, и чувствительное к воздействию следующих сил:

- силы тяжести;

- выталкивающей силы воздуха, равной весу вытесненного воздуха;

- вертикальной составляющей магнитного взаимодействия между гирей и весами и/или внешним магнитным полем, где
H и
M - векторы напряженности магнитного поля и намагниченности;
z - вертикальная декартова координата.
Примечание. Если магнитные влияния пренебрежимо малы, т.е. остаточная намагниченность
M гири и магнитная восприимчивость

достаточно малы, а весы градуируют с помощью эталонных гирь с известной массой, то весы могут быть использованы для определения условной массы

.
2.3. калибровка (calibration): Совокупность операций, устанавливающих, при соблюдении определенных условий, соотношения между значениями величин, полученных с помощью данного средства измерений или измерительной системы, или значениями, представленными материальной мерой или образцовым материалом, и соответствующими значениями, воспроизводимыми эталонами.
Примечания. 1. Результат калибровки позволяет либо приписать значения измеряемых величин показаниям прибора, либо определить поправки для показаний.
2. Калибровка позволяет определить другие влияющие факторы, относящиеся к области метрологии.
3. Результат калибровки может быть зафиксирован в документе, называемом сертификатом о калибровке или отчетом о калибровке.
2.3.1. сертификат о калибровке (calibration certificate [report]): Сертификат, выдаваемый только уполномоченными или аккредитованными лабораториями и фиксирующий результаты калибровки.
2.4.
сертификат об утверждении типа (certificate of conformity): Документ, выдаваемый уполномоченным национальным органом и свидетельствующий о том, что данная гиря или набор гирь, или их образцы соответствуют требованиям настоящего стандарта.
2.5.
контрольный эталон (check standard): Эталон, используемый при статистическом контроле для подтверждения того, что эталоны, процессы измерений и их результаты находятся в допустимых статистических пределах.
2.6. сличение (comparison): Один из методов передачи единицы, основанный на сравнении значения измеряемой величины с известным значением той же величины.
2.7.
условная масса [условное значение массы] [conventional mass (conventional value of mass)];
mc: Условное значение результата взвешивания в воздухе в соответствии с
[3] или масса предполагаемой гири с плотностью материала

, равной 8000 кг/м
3, которая в воздухе плотностью

, равной 1,2 кг/м
3 при температуре

, равной 20 °C, точно уравновешивает данную гирю массой
m.
2.8. плотность вещества (density of body): Масса вещества m, деленная на занимаемый им объем V, в соответствии с формулой

.
2.9. намагничивание (magnetism): Эффект, порождающий притягивающие или отталкивающие силы.
2.9.1. магнитный дипольный момент (magnetic dipole moment); md: Параметр магнитного диполя. Напряженность магнитного поля, генерируемого магнитным диполем, так же как и сила, действующая между диполем и намагниченным образцом, пропорциональны этому дипольному моменту. Сила между диполем и образцом, имеющим магнитную восприимчивость, пропорциональна квадрату этого дипольного момента.
2.9.2. напряженность магнитного поля (magnetic field strength); H: Магнитная сила в каждой точке окружающего пространства, порождаемая магнитным материалом, таким как постоянный магнит, или электрическими цепями.
2.9.3. магнитная сила (magnetic force); F1, F2, Fa, Fb, Fmax, Fg: Сила, действующая на намагниченный или магнитовосприимчивый материал со стороны магнитных полей.
2.9.4.
магнитная проницаемость (magnetic permeability);

: Степень способности среды изменять магнитное поле.
2.9.5.
магнитная постоянная [магнитная проницаемость вакуума] [magnetic constant (magnetic permeability of vacuum)];

: Величина, определяемая по формуле

.
2.9.6.
магнитная восприимчивость [(volume) magnetic susceptibility];

:
Степень способности среды изменять магнитное поле, связанная с магнитной проницаемостью

соотношением

,
где

- относительная магнитная проницаемость

.
2.9.7. остаточная намагниченность (permanent magnetization); M: Параметр, определяющий магнитное состояние материальных тел, таких как гири, при отсутствии внешнего магнитного поля (в общем случае, намагничивание - это вектор, величина и направление которого необязательно постоянны внутри материала). Намагничивание тела порождает неоднородное магнитное поле в пространстве и таким образом может порождать магнитные силы, действующие на другие материалы.
2.10.
пределы допускаемой погрешности (maximum permissible error);

или
mpe: Максимальное абсолютное значение разности между условной массой и номинальным значением массы гири, определяемое с помощью соответствующих эталонных гирь.
2.11.
параметр шероховатости; параметр R (

;

) (roughness parameter; R-parameter): Параметр, описывающий профиль шероховатости образца, где R указывает на тип оцениваемого профиля, в этом случае R обозначает профиль шероховатости. Оцениваемый профиль образца может быть выражен через различные типы профиля: профиль шероховатости или параметр R, профиль волнистости или параметр W по международному стандарту
[4].
2.12. гиря для определения чувствительности (sensitivity weight): Гиря, используемая для определения чувствительности весов {в соответствии с Т.4.1 международной рекомендации МОЗМ МР 76-1 [OILM R 76-1 (далее - R 76-1)] "Весы неавтоматического действия. Часть 1. Метрологические и технические требования. Испытания"}.
2.13.
набор гирь (set of weights or weight set): Серия или группа гирь, как правило представленных в футляре и расположенных в таком порядке, который позволяет воспроизводить все нагрузки в диапазоне от массы гири с наименьшим номинальным значением до суммы масс всех гирь с шагом, равным наименьшему номинальному значению массы гири из серии. Гири должны иметь сходные метрологические характеристики и одинаковые или разные номинальные значения согласно
4.3 и относиться к одному и тому же классу точности.
2.14. температура (temperature); t: Температура в градусах Цельсия, связанная с абсолютной термодинамической температурной шкалой, называемой шкалой Кельвина, формулой t = T - 273,15.
2.15.
испытание (test): Техническая операция, заключающаяся в определении одной или более характеристики или функции данного продукта, материала, оборудования, организма, физического явления, процесса или услуги в соответствии с определенной методикой (в соответствии с 13.1 руководства
[5]).
2.16. испытуемая гиря (test weight); mt: Гиря, которая должна быть испытана в соответствии с настоящим стандартом.
2.17. тип (type): Определенная модель гирь или набора гирь, для которого установлено ее соответствие предъявляемым требованиям.
2.17.1. испытание в целях утверждения типа (type evaluation): Обязательное испытание образцов гирь или набора гирь, область применения которых находится в сфере государственного регулирования, в целях утверждения типа на соответствие настоящему стандарту.
2.17.2. утверждение типа (type approval): Процесс принятия решения уполномоченным органом на основании рассмотрения протокола испытаний типа для типа гирь или набора гирь и профессиональное суждение о том, что тип соответствует обязательным требованиям настоящего стандарта для законного применения.
2.18.
поверка (verification): Установление
органом государственной метрологической службы (или другим официально уполномоченным органом, организацией) пригодности гирь к применению на основании экспериментально определяемых метрологических характеристик и подтверждения их соответствия обязательным требованиям настоящего стандарта. Поверка включает в себя как проверку, так и клеймение. [Взято в сокращенном виде из словаря
[2] (статьи
2.4 и
2.13).]
2.18.1. первичная поверка (initial verification): Ряд испытаний метрологических характеристик или визуальных проверок, выполняемых перед вводом гири в эксплуатацию, с целью определить, соответствуют ли гири или набор гирь данному типу и правилам и находятся ли их метрологические характеристики в пределах, допустимых для первичной поверки. Если гири или набор гирь проходят все испытания и проверки, то признают их законный характер, что подтверждают клеймением и/или выдачей свидетельства о поверке.
2.18.2. периодическая поверка; инспекционная поверка в процессе эксплуатации (subsequent verification; in-service inspection): Ряд испытаний и визуальных проверок, также проводимых официальным представителем службы законодательной метрологии (инспектором) для установления того, продолжают ли гири и/или набор гирь, находящиеся в эксплуатации некоторое время с момента предыдущей поверки, соответствовать или вновь соответствуют правилам, и сохраняют ли они свои метрологические характеристики в требуемых пределах.
Примечание. Если гири и/или набор гирь проходят все испытания и проверки, их законный характер либо подтверждают, либо вновь устанавливают клеймением и/или выдачей сертификата поверки.
2.19. гиря (weight): Материальная мера массы, нормируемая по физическим и метрологическим характеристикам: форме, размерам, материалу, качеству поверхности, номинальному значению, плотности, магнитным свойствам и пределам допускаемой погрешности.
2.20. вес тела (weitght of body); Fg: Сила тяжести, с которой тело притягивается Землей. "Вес" означает количество одной и той же природы в виде силы: вес тела есть произведение его массы и ускорения силы тяжести.
2.21. масса гири (real mass); m: Масса гири, значение которой получено с учетом фактической плотности материала гири и фактической плотности воздуха на момент измерений. 2.22. компаратор массы (mass comparator): Средство сравнения, предназначенное для сличения гирь. 2.23. подекадная калибровка набора гирь: Определение значения массы гирь методом совокупных измерений (методом сличения с эталонной гирей суммы гирь проверяемого набора, соответствующих ей по массе, и последующих сличений различных комбинаций гирь и вычисления значения массы каждой гири путем решения системы уравнений). Примечание. Дополнительные определения приведены для однозначного раскрытия терминов, применяемых в настоящем стандарте. |
В настоящем стандарте применены обозначения, приведенные в следующей таблице:
Таблица
Обозначение | Единица | Определение |
A | м2 | Площадь |
B | Тл | Магнитная индукция в среде |
BE | Тл | Показание гауссметра окружающего магнитного поля без гири |
B0 | Тл | Магнитная индукция в вакууме |
C | - | Поправка на действие выталкивающей силы воздуха |
Ca | - | Поправка на действие выталкивающей силы воздуха для плотности воздуха во время цикла взвешивания в воздухе |
Cal | - | Поправка на действие выталкивающей силы воздуха для плотности воздуха во время цикла взвешивания в жидкости |
Cs | - | Поправка на действие выталкивающей силы воздуха для плотности гири для определения чувствительности |
D | кг | Разность показаний весов между минимальным и максимальными значениями при испытании на нецентральное положение нагрузки |
d | кг | Действительный интервал шкалы |
F1 | Н | Среднее значение силы, рассчитанное с использованием среднего изменения массы на компараторе массы для первого ряда показаний |
F2 | Н | Среднее значение силы, рассчитанное с использованием среднего изменения массы на компараторе массы для второго ряда показаний |
Fa | Н | Средняя сила, обусловленная магнитной восприимчивостью |
Fb | Н | Средняя сила, используемая для намагничивания |
Fg | Н | Сила тяжести |
Fmax | Н | Максимальная сила для расчета магнитной восприимчивости |
Fz | Н | Магнитная сила, действующая между компаратором массы и гирей в вертикальном направлении или по по оси z |
g | м·с-2 | Ускорение свободного падения |
h | мм или м | Высота |
H | А·м-1 | Напряженность магнитного поля |
HEZ | А·м-1 | Вертикальная составляющая напряженности магнитного поля Земли |
hr | % | Относительная влажность |
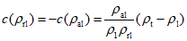
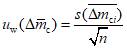
| кг | Разность между показаниями масс испытуемой и эталонной гирь, полученными на весах, где  |
| кг | Разность между показаниями масс в воздухе испытуемой и эталонной гирь, полученными на весах, где  |
| кг | Разность показаний в жидкости, полученных на весах, где  |
I | кг | Показание весов (деление шкалы) |
Ia | - | Геометрический поправочный множитель по [6] |
Ib | - | Геометрический поправочный множитель по [6] |
Idl | - | Показание весов для разницы на вытесненную жидкость |
Il | - | Показание весов для сосуда и содержащейся в нем жидкости |
Il+t | - | Показание весов для жидкости и гири, содержащихся в сосуде |
Ita | - | Показание весов для испытуемой гири в воздухе (после тарирования) |
Itl | - | Показание весов для испытуемой гири в жидкости (после тарирования) |
j | - | Подстрочный символ для числа испытуемых гирь или числа серий изменений |
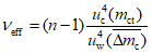
k | - | Коэффициент расширения, как правило, используют k = 2 при доверительной вероятности 0,95 (k = 3 при доверительной вероятности 0,99) [7] |
m | кг | Масса твердого тела (гиря) |
M | А·м-1 | Остаточная намагниченность (см. также  ) |
Mv | кг·моль-1 | |
Ma | кг·моль-1 | Молярная масса сухого воздуха |
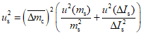
mc | кг | Условная масса гири |
mcr | кг | Условная масса эталонной гири |
mct | кг | Условная масса испытуемой гири |
| кг | Среднее значение результата измерений разности масс сличаемых гирь |
md | А·м2 | Магнитный момент (магнитов, используемых для измерения магнитной восприимчивости) |
m0 | кг | Масса, номинальное значение массы гири (например, 1 кг) |
mr | кг | Масса эталонной гири, используемой для сличений с испытуемой гирей, причем обе находятся в воздухе или погружены в жидкость |
mra | кг | Масса эталонной гири, используемой для сличения с испытуемой гирей, причем обе находятся в воздухе |
mrl | кг | Масса комбинации эталонных гирь, используемых для сличения с испытуемой гирей, причем эталоны находятся в воздухе, а испытуемая гиря - в жидкости |
ms | кг | Масса гири, используемой для определения чувствительности |
mt | кг | Масса испытуемой гири |
mwa | кг | Масса гири в воздухе |
mwl | кг | Масса гири в жидкости |
| кг | Разность масс, как правило, между испытуемой и эталонной гирями |
| кг | Среднее значение ряда измерений, составляющих число идентичных циклов взвешивания, или число серий, имеющих приблизительно одинаковое среднее квадратическое отклонение |
| кг | Результат измерения разности условных масс сличаемых гирь |
n | - | Число циклов сличений; i = 1..., n |
| Па или гПа | Давление |
| Па | Давление насыщенного пара влажного воздуха |
R | Дж/(моль·К) | Молярная газовая постоянная |
Ra | мкм | Средняя высота профиля шероховатости ( R - параметр шероховатости) (по разделу 11) |
Rz | мкм | Максимальная высота профиля шероховатости ( R - параметр шероховатости) (по разделу 11) |
r | - | Подстрочный символ для эталонной гири |
s | кг | Среднее квадратическое отклонение |
s | - | Подстрочный символ для гири для определения чувствительности |
T | К | Термодинамическая температура по Международной температурной шкале 1990 (МТШ-90) |
t | - | Подстрочный символ для испытуемой гири |
t | °C | Температура в градусах Цельсия, где t = T - 273,15 |
tref | °C | Нормальная температура |
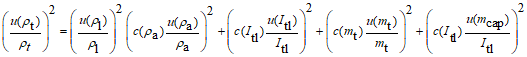
U | кг | Неопределенность, расширенная неопределенность |
u | кг | Неопределенность, стандартная неопределенность |
u(mr) | кг | Неопределенность эталонной гири |
ub | кг | Стандартная неопределенность определения поправки на действие выталкивающей силы воздуха |
uba | кг | Неопределенность, обусловленная весами |
| кг | Суммарная стандартная неопределенность работы весов |
uc | кг | Суммарная стандартная неопределенность |
ud | кг | Неопределенность, обусловленная дискретностью компаратора |
uE | кг | Неопределенность, обусловленная нецентральным положением нагрузки на грузоприемной платформе |
uinst | кг | Неопределенность, обусловленная нестабильностью эталонной гири |
uma | кг | Неопределенность, обусловленная магнетизмом |
us | кг | Неопределенность, обусловленная чувствительностью компаратора |
uw | кг | Неопределенность, обусловленная процессом взвешивания |
V | м3 | Объем твердого тела (гири) |
Vrli | м3 | Объем i-й эталонной гири из комбинации гирь |
xV | - | Молярная доля водяного пара |
Z | - | Коэффициент сжимаемости |
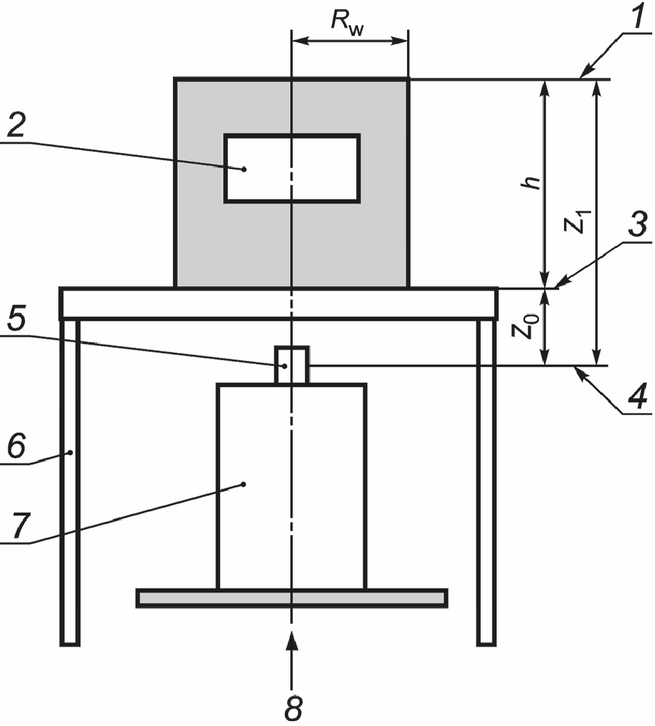
Z1 | мм | Расстояние от верха гири до центра магнита [ рисунок B.1 (Приложение B)] |
Z0 | мм | Расстояние от центра магнита до основания гири [ рисунок B.1 (Приложение B)] |
| кг·м-3 | Плотность влажного воздуха |
| кг·м-3 | Нормальная плотность воздуха, равная 1,2 кг/м |
| кг·м-3 | Плотность эталонной гири массой mr |
| кг·м-3 | Плотность эталонной гири массой mra |
| кг·м-3 | Единая условная плотность материала гирь (8000 кг·м-3) |
| кг·м-3 | Плотность эталонной гири с массой mrl |
| кг·м-3 | Плотность гири, используемой для определения чувствительности |
| кг·м-3 | Плотность испытуемой гири |
| кг·м-3 | Плотность сплава (x) |
| кг·м-3 | Плотность сплава (y) |
| - | Пределы допускаемой относительной погрешности для гирь |
| Н·А-2 | Магнитная проницаемость |
| - | Относительная магнитная проницаемость (  ) |
| Н·А-2 | Магнитная постоянная (магнитная проницаемость вакуума),  , Н·А -2 |
| Тл | Остаточная магнитная индукция, обусловленная намагниченностью гири |
| - | (Объемная) магнитная восприимчивость |
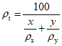
4. Единицы измерений и номинальные значения массы гирь
4.1. Единицы измерений
Применяемые единицы измерений:
- миллиграмм (мг), грамм (г) и килограмм (кг) для массы;
- килограмм на кубический метр для плотности (

).
4.2. Номинальные значения
Номинальные значения массы гирь в килограммах должны соответствовать членам числового ряда

,

,

, где
n - целое положительное или отрицательное число, или нуль.
4.3. Последовательность номинальных значений массы гирь
4.3.1. Набор гирь может состоять из гирь, образующих одну или несколько декад номинальных значений массы. Состав каждой декады должен соответствовать одному из следующих числовых рядов:

;

;

;
где n - целое положительное или отрицательное число, или нуль.
4.3.2. Набор гирь может также состоять из нескольких гирь одного номинального значения массы (например, 10 шт. или членов набора, причем каждая штука или член набора имеет номинальное значение массы

).
Метрологические требования
5. Пределы допускаемой погрешности при поверке
5.1. Пределы допускаемой погрешности при первичной, периодической или инспекционной поверке в процессе эксплуатации
5.1.1. Пределы допускаемой погрешности
Пределы допускаемой погрешности при первичной поверке отдельных гирь, приведенные в таблице 1, относятся к условной массе.
Таблица 1
Пределы допускаемой погрешности гирь

5.1.2. Пределы допускаемой погрешности гирь при периодической или инспекционной поверке в процессе эксплуатации оставлены на усмотрение каждого государства. Однако если пределы допускаемой погрешности гирь превышают значения, приведенные в
таблице 1, то гири не могут соответствовать классам, установленным настоящим стандартом.
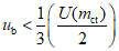
5.2. Расширенная неопределенность
Для каждой гири расширенная неопределенность
U при
k = 2 условной массы должна быть не более одной трети пределов допускаемой погрешности, приведенной в
таблице 1.

. (5.2-1)
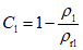
5.3.1. Условная масса гирь

(определенная с расширенной неопределенностью
U в соответствии с 5.2) не должна отличаться от своего номинального значения

более чем на предел допускаемой погрешности

минус расширенная неопределенность:

. (5.3-1)
5.3.2. Для гирь классов

и

, всегда сопровождаемых сертификатами
(свидетельствами), в которых приведены соответствующие данные (в соответствии с
15.2.1), отклонение от номинального значения

-

должно быть учтено пользователем.
6.1. Общие требования
6.1.1. Гири должны иметь простую геометрическую форму, несложную для изготовления. Гири не должны иметь острых краев или углов, чтобы предотвратить их износ, и не должны иметь явно выраженных впадин, чтобы предотвратить скопление грязи (т.е. пыли) на их поверхности.
6.1.2. Гири из данного набора должны иметь одинаковую форму, за исключением гирь номинальным значением массы (далее - номинальная масса) 1 г и менее.
6.2. Гири номинальной массой 1 г или менее
6.2.1. Гири номинальной массой 1 г или менее должны иметь форму плоских многоугольных пластин или проволок в соответствии с таблицей 2, что обеспечивает легкость работы с ними.
Таблица 2
Форма гирь номинальной массой 1 г и менее
Номинальные значения массы, мг | Многоугольные пластины | Проволоки |
5, 50, 500 | Многоугольные | Многоугольные | | или | | 5 сегментов |
2, 20, 200 | Квадратные | Квадратные | 2 сегмента |
1, 10, 100, 1000 | Треугольные | Треугольные | 1 сегмент |
6.2.2. Гири номинальной массой 1 г могут иметь форму плоских многоугольных пластин или проволок (по 6.3.1). Форма гирь, на которых не указано их номинальное значение, должна соответствовать значениям, приведенным в таблице 2.
6.2.3. Набор гирь может состоять из более одной последовательности форм, которые отличаются друг от друга. Однако в серии последовательностей декада гирь с другой формой не должна быть вставлена между двумя декадами гирь с одинаковой формой.
6.3. Гири номинальной массой от 1 г до 50 кг
6.3.1. Гири номинальной массой 1 г могут иметь форму либо гирь, кратных 1 г, либо форму дольных гирь.
6.3.2. Гири номинальной массой от 1 г до 50 кг могут иметь внешние размеры, показанные на рисунках и в таблицах
Приложения A.
6.3.2.1. Эти гири также могут иметь цилиндрическую или слегка заостренную коническую форму [пример, приведенный на
рисунке A.1 (Приложение A)]. Высота гири должна быть между 3/4 и 5/4 ее среднего диаметра.
6.3.2.2. Эти гири также могут иметь отвинчивающуюся головку высотой от 0,5 до 1-го среднего диаметра гири.
6.3.3. Кроме вышеприведенных форм (по 6.3.2) гири номинальной массой от 5 до 50 кг могут иметь и другую форму, подходящую для способа обращения с ними. Кроме отвинчивающейся головки они могут иметь жесткие элементы конструкции для манипуляции с гирей, входящие в состав гирь, такие как оси, ручки, крючки или проушины и т.п.
6.3.4. Гири класса M с номинальными значениями массы от 5 до 50 кг могут также иметь форму прямоугольных параллелепипедов со скругленными краями и жесткой ручкой. Типичные размеры для этих гирь показаны на
рисунках A.2 и
A.3 (Приложение A).
6.4. Гири номинальной массой 50 кг или более
6.4.1. Гири номинальной массой 50 кг или более могут иметь цилиндрическую, прямоугольную и другую подходящую форму. Форма должна обеспечивать безопасное хранение гирь и обращение с ними.
6.4.2. Гири номинальной массой 50 кг или более могут иметь жесткие элементы конструкции для манипуляции с гирей, такие как оси, ручки, крючки или проушины и т.п.
6.4.3. Гири класса точности M, передвигаемые по плоскому полу (или по рельсам), должны быть снабжены роликовыми дорожками или желобками ограниченной площади.
7.1. Гири класса E
7.1.1. Гири класса E номинальной массой от 1 мг до 50 кг
Гири класса E номинальной массой от 1 мг до 50 кг должны быть непустотелыми и не должны иметь каких-либо полостей, открытых для атмосферного воздуха. Эти гири должны быть выполнены из одного куска материала.
7.1.2. Гири класса
номинальной массой более 50 кг
7.1.2.1. Гири класса

номинальной массой более 50 кг могут иметь подгоночную полость. Объем этой полости не должен превышать 1/1000 общего объема гири. Полость должна быть герметично закрытой и быть водо- и воздухонепроницаемой (например, с использованием пробки). Резьбовая пробка либо со шлицем под отвертку, либо с жестким элементом конструкции, таким как головка, ручка, проушина и т.п., должна закрывать подгоночную полость. Материал, из которого изготовлена пробка, должен быть таким же, как тело собственно гири, и должен соответствовать требованиям к поверхности для класса

.
7.1.2.2. После первичной подгонки примерно часть общего объема подгоночной полости должна оставаться пустой.
7.2. Гири класса F
Гири класса F могут состоять из одной и более части, выполненной из одного и того же материала.
7.2.1. Гири класса F номинальной массой от 1 г до 50 кг
7.2.1.1. Гири класса F номинальной массой от 1 г до 50 кг могут иметь подгоночную полость. Объем этой полости не должен превышать 1/4 общего объема гири. Полость должна быть закрываемой либо с помощью отвинчивающейся головки, либо с помощью любого другого подходящего приспособления.
7.2.1.2. После первичной подгонки примерно 1/2 часть общего объема подгоночной полости должна оставаться пустой.
7.2.2. Гири класса F номинальной массой более 50 кг
Гири класса F номинальной массой более 50 кг могут также представлять собой модуль, собранный из нескольких частей, закрытый и запаянный так, чтобы он был воздухо- и водонепроницаемым. Содержимое модуля может быть выполнено из материала, отличающегося от того, из которого изготовлен собственно модуль, и должно соответствовать требованиям к магнитным свойствам для классов

и

. Стенки модуля должны быть достаточно жесткими для того, чтобы избежать деформаций, вызываемых изменениями давления окружающего воздуха, транспортировкой, ударами и т.п. Соотношение между массой и объемом должно соответствовать требованиям к плотности согласно
таблице 5.
7.2.2.1. Гири класса F номинальной массой более 50 кг могут иметь подгоночную полость. Объем этой полости не должен превышать 1/20 общего объема гири. Полость должна быть герметично закрываемой и быть водо- и воздухонепроницаемой (например, с использованием пробки). Резьбовая пробка либо со шлицем под отвертку, либо с жестким элементом конструкции, таким как головка, ручка, проушина и т.п., должна закрывать подгоночную полость.
7.2.2.2. После первичной подгонки примерно 1/2 часть общего объема подгоночной полости должна оставаться пустой.
7.3. Гири класса M
7.3.1. Гири классов
,
и
номинальной массой от 1 г до 50 кг
7.3.1.1. Гири классов

,

и

номинальной массой от 1 до 10 г должны быть непустотелыми и не должны иметь подгоночной полости. Гири классов

,

и

номинальной массой от 20 до 50 г могут иметь подгоночную полость. Для классов

,

и

номинальной массой от 100 г до 50 кг подгоночная полость обязательна. Однако подгоночная полость необязательна для гирь классов

и

номинальной массой от 20 до 200 г, изготовленных из нержавеющей стали. Подгоночная полость должна быть сконструирована таким образом, чтобы предотвратить накопление инородной материи или мусора в ней, но обеспечивать надежное закрытие полости и в то же время доступ к ней для дополнительных подгонок. Объем подгоночной полости не должен превышать 1/4 части общего объема гири.
7.3.1.2. После первичной подгонки примерно 1/2 часть общего объема подгоночной полости должна оставаться пустой.
7.3.2. Цилиндрические гири классов

,

и

номинальной массой от 100 г до 50 кг [
рисунок A.1 (Приложение A)] должны иметь подгоночную полость, соосную с вертикальной осью гири, открывающуюся в верхней части головки и имеющую расширение диаметра на входе. Полость должна закрываться либо резьбовой втулкой со шлицем под отвертку (
рисунок A.1, вариант 1), либо диском с центральным отверстием для его перемещения (
рисунок A.1, вариант 3). Втулка или диск должен(на) быть изготовлен(на) из латуни или другого подходящего металла или сплава и должен(на) быть запечатан пробкой из свинца или подобного материала, вставляемой во внутреннюю круговую канавку, имеющуюся в расширенной части диаметра.
7.3.3. Гири классов

,

и

номинальной массой от 5 до 50 кг, выполненные в форме прямоугольного параллелепипеда, должны иметь подгоночную полость, образуемую либо внутренней поверхностью трубчатой ручки, либо, если ручка непустотелая, подгоночная полость должна быть отлита внутри одной из стоек гири. Подгоночная полость должна открываться на верхней части гири [
рисунки A.2 и
A.3 (Приложение A)].
7.3.3.1. Если подгоночная полость находится в трубчатой ручке [
рисунок A.2 (Приложение A)], полость должна быть закрыта либо резьбовой втулкой со шлицем под отвертку, либо диском с центральным отверстием для его перемещения. Втулка (или диск) должна быть изготовлена из латуни или другого подходящего сплава и должна герметично закрываться пробкой из свинца (или подобным материалом), вставляемой во внутреннюю круговую канавку или в резьбу трубки.
7.3.3.2. Если подгоночная полость отлита внутри стойки и открывается на боковой или верхней поверхности стойки [
рисунок A.3 (Приложение A)], полость должна быть закрываемой пластиной, выполненной из мягкой стали или другого подходящего материала, герметично изолированного свинцовым дюбелем или подобным материалом, вставляемым в корпусе коническим сечением.
7.3.4. Гири класса M номинальной массой 50 кг или более
Указанные гири не должны иметь полостей, которые могут накапливать пыль или мусор.
7.3.4.1. Гири должны иметь одну или более подгоночную полость. Общий объем всех подгоночных полостей не должен превышать 1/10 общего объема гири. Полости должны герметично закрываться и быть водо- и воздухонепроницаемыми (например, с использованием пробки). Полости должны герметично закрываться резьбовой втулкой со шлицем под отвертку либо с жестким элементом конструкции (например, головкой или ручкой).
7.3.4.2. После первичной подгонки по крайней мере 1/3 часть общего объема подгоночной полости должна оставаться пустой.
8.1. Общие положения
Гири должны быть устойчивыми к коррозии. Качество материала должно быть таким, чтобы изменение массы гирь было пренебрежимо мало по сравнению с пределами допускаемой погрешности для их класса точности (в соответствии с
таблицей 1) в нормальных условиях эксплуатации и для их конкретного назначения.
8.2. Гири классов
и 
Для гирь номинальной массой 1 г и более прочность примененного материала и его износоустойчивость должны быть такими же или лучше, чем у аустенитной нержавеющей стали.
8.3. Гири класса F
Поверхность гирь класса F номинальной массой 1 г или более может иметь подходящее металлическое покрытие для того, чтобы улучшить их коррозионную стойкость и прочность.
8.3.1. Для гирь класса F номинальной массой 1 г или более прочность и хрупкость используемых материалов должны быть, по крайней мере, такими же, как у цельнотянутой латуни.
8.3.2. Для гирь класса F номинальной массой 50 кг или более прочность и хрупкость используемых материалов для всего тела или для внешних поверхностей должны быть, по крайней мере, такими же, как у нержавеющей стали.
8.4. Гири классов
,
и
номинальной массой 50 кг или менее
Поверхность гирь номинальной массой 1 г или более может иметь подходящее покрытие для того, чтобы повысить их сопротивление коррозии и прочность.
8.4.1. Гири класса M номинальной массой менее 1 г должны быть изготовлены из материала, достаточно устойчивого к коррозии и окислению.
8.4.2. Цилиндрические гири класса

номинальной массой менее 5 кг и гири классов

и

номинальной массой менее 100 г должны быть изготовлены из латуни или другого материала, прочность и сопротивление коррозии которого такие же или лучше, чем у латуни. Другие цилиндрические гири классов

,

и

номинальной массой 50 кг или менее должны быть изготовлены из серого чугуна или другого материала, хрупкость и сопротивление коррозии которого такие же или лучше, чем у серого чугуна.
8.4.3. Гири, имеющие форму прямоугольного параллелепипеда, номинальной массой от 5 до 50 кг должны быть изготовлены из материала, сопротивление коррозии которого по крайней мере такое же, как у серого чугуна. Хрупкость этого материала не должна быть больше, чем у серого чугуна.
8.4.4. Ручки гирь, имеющих форму параллелепипеда, должны быть выполнены из одного куска стальной трубы или из чугуна, составляющего одно целое с телом гири.
8.5. Гири класса M номинальной массой более 50 кг
8.5.1. Поверхность гирь может иметь подходящее покрытие для того, чтобы улучшить их коррозионную стойкость. Это покрытие должно выдерживать удары и погодные условия.
8.5.2. Гири должны быть выполнены из одного или нескольких материалов с коррозионной стойкостью такой же или лучше, чем у серого чугуна.
8.5.3. Материал должен иметь такие прочность и сопротивление, которые позволяют выдерживать нагрузки и удары, возможные в нормальных условиях эксплуатации.
8.5.4. Ручки гирь, имеющих форму параллелепипеда, должны быть выполнены из одного куска стальной трубы или из чугуна, составляющего одно целое с телом гири.
9.1. Пределы остаточной магнитной индукции, обусловленной намагниченностью гири
Значения остаточной намагниченности
M, выраженные в единицах остаточной магнитной индукции

, не должны превышать значений, приведенных в таблице 3.
Таблица 3
Максимальная остаточная магнитная индукция

В микротеслах
Класс гирь | Максимальная остаточная магнитная индукция  | Класс гирь | Максимальная остаточная магнитная индукция  |
E1 | 2,5 | M1 | 250 |
E2 | 8 | M1-2 | 500 |
F1 | 25 | M2 | 800 |
F2 | 80 | M2-3 | 1600 |
| | M3 | 2500 |
9.2. Пределы магнитной восприимчивости
Значения магнитной восприимчивости гири не должны превышать значений, приведенных в таблице 4.
Таблица 4
Максимальная магнитная восприимчивость

Номинальное значение массы гирь m | Класс гирь |
E1 | E2 | F1 | F2 |
m <= 1 г | 0,25 | 0,9 | 10 | - |
2 г <= m <= 10 г | 0,06 | 0,18 | 0,7 | 4 |
20 г <= m | 0,02 | 0,07 | 0,2 | 0,8 |
9.3. Если значения остаточной намагниченности и магнитной восприимчивости, полученные при всех местных измерениях, меньше указанных в таблицах 3 и 4, то предполагают, что составляющие неопределенности, обусловленные магнетизмом гири, пренебрежимо малы. Максимальные значения остаточной намагниченности и магнитной восприимчивости, указанные в таблицах 3 и 4, таковы, что при магнитных полях и градиентах магнитных полей, которые, вероятно, присутствуют на чашах компаратора, они вызывают изменение условной массы менее 1/10 пределов допускаемой погрешности испытуемой гири по
[8],
[9].
10.1. Общие положения
Плотность материала гирь
(таблица 5) должна быть такой, чтобы отклонение на 10% от нормальной плотности воздуха (

) не создавало погрешности, превышающей одну четвертую часть абсолютного значения пределов допускаемой погрешности, приведенных в
таблице 1.
Таблица 5
Минимальные и максимальные пределы плотности

,

Примечания. 1. Правило, относящееся к плотности гирь. Предположительно

- пределы допускаемой относительной погрешности гирь. Плотность гири

должна удовлетворять следующим условиям:
если

; (10.1-1)

, если

. (10.1-2)
2. Независимо от требований, касающихся плотности гирь, желательно получить плотность

, особенно для эталонных гирь или рабочих гирь с большим номинальным значением массы. Например, может быть использовано чугунное тело, имеющее встроенную специальную полость, в которой отлит свинцовый сердечник, с массой, составляющей приблизительно 30% общей номинальной массы эталона.
10.2. Поправка на действие выталкивающей силы воздуха
10.2.1. Если плотность воздуха во время измерений

отличается от

более чем на +/- 10% и плотность материала испытуемой гири

отличается от плотности материала эталонной гири

, условная масса гири может быть скорректирована поправкой на действие выталкивающей силы
C следующим образом:

, (10.2-1)
где

;

- среднее значение результата измерений разности масс сличаемых гирь;

- плотность материала эталонной гири;

и

- условная масса испытуемой и эталонной гирь, соответственно.
10.2.2. Гири, используемые для калибровки/поверки весов
Высота над уровнем моря и соответствующие изменения плотности воздуха могут влиять на погрешность измерений условной массы гирь, поэтому должна быть использована поправка на выталкивающую силу воздуха в соответствии с 10.2.1. При этом плотность гирь должна быть известна. Если необходимо использовать гири класса E на высоте более 330 м, должна быть указана плотность гирь вместе с их неопределенностью. Для гирь класса

это же правило справедливо на высоте более 800 м. В противном случае изготовители должны учитывать уменьшение выталкивающей силы воздуха на больших высотах при указании класса гирь.
11. Состояние поверхности
11.1. Общие положения
При нормальных условиях эксплуатации качество поверхности должно быть таким, чтобы любое изменение массы гирь было пренебрежимо мало относительно пределов допускаемой погрешности.
11.1.1. Поверхность гирь (включая основание и углы) должна быть гладкой, и края должны быть закруглены.
11.1.2. Поверхность гирь классов E и F не должна быть пористой и должна блестеть при визуальном осмотре. Визуальный осмотр может быть достаточным, за исключением спорных или сомнительных случаев. В таких случаях должны быть использованы значения, указанные в таблице 6. Максимальное значение шероховатости поверхности, допускаемое для гирь номинальной массой более 50 кг, должно в два раза превышать значения, указанные в таблице 6.
Таблица 6
Максимальные значения шероховатости поверхности
В микрометрах
Шероховатость поверхности | Класс гирь |
E1 | E2 | F1 | F2 |
Rz | 0,5 | 1 | 2 | 5 |
Ra | 0,1 | 0,2 | 0,4 | 1 |
11.1.3. Поверхность цилиндрических гирь классов

,

и

номинальной массой от 1 г до 50 кг должна быть гладкой и не должна быть пористой при визуальном осмотре. Качество обработки чугунных гирь классов

,

и

номинальной массой от 100 г до 50 кг и всех гирь класса M номинальной массой более 50 кг должно быть таким же, как у серого чугуна, тщательно отлитого в форму из мелкого песка. Этого можно добиться с использованием соответствующих методов защиты поверхности.
Подгонка гири с данным номинальным значением массы должна быть выполнена таким образом, чтобы условная масса результата взвешивания этой гири в воздухе была равна заданному номинальному значению в пределах допускаемых погрешностей, установленных для класса точности, к которому принадлежит данная гиря.
12.1. Гири класса E
Подгонка гири должна быть выполнена применением шлифовки, полировки или другого подходящего способа. В конце процесса должны быть удовлетворены требования, предъявляемые к поверхности. Гири номинальной массой более 50 кг с подгоночной полостью могут быть подогнаны с использованием того же материала, из которого они изготовлены.
12.2. Гири класса F
Подгонка непустотелых гирь должна быть выполнена применением шлифовки, полировки или другого подходящего способа, не ухудшающего поверхность. Гири с подгоночными полостями должны быть подогнаны с использованием того же материала, из которого они изготовлены, или с использованием нержавеющей стали, латуни, олова, молибдена или вольфрама.
12.3. Гири класса M
12.3.1. Гири, изготовленные из тонкого листа или проволоки, номинальной массой от 1 мг до 1 г должны быть подогнаны путем обрезания, шлифовки или полировки.
12.3.2. Цилиндрические гири, не имеющие полостей, должны быть подогнаны путем полировки.
12.3.3. Гири, имеющие подгоночную полость, должны быть подогнаны путем добавления или удаления плотного металлического материала, такого как свинцовая дробь.
12.4. Нормальные условия
Нормальные условия проведения подгонки эталонных гирь:
- единая условная плотность материала гирь -

;
- нормальная плотность воздуха -

;
- взвешивание в воздухе при температуре 20 °C без поправки на действие выталкивающей силы воздуха.
Гири номинальной массой 1 г и номинальной массой, кратной единице, должны быть четко маркированы с указанием их номинального значения при условии, что качество поверхности и стабильность гири не ухудшаются из-за наличия маркировки или технологии нанесения маркировки гири, за исключением гирь класса E и гирь номинальной массой 1 г, приведенных в
6.2.2.
13.1.1. Цифры, обозначающие номинальные значения массы гирь, должны сопровождаться указанием единиц измерений:
- килограмма для масс 1 кг и выше;
- грамма для масс от 1 до 500 г.
13.1.2. Парные или тройные экземпляры гирь в наборе должны четко отличаться друг от друга обозначением одной или двумя звездочками, или точками, нанесенными в центре поверхности, за исключением проволочных гирь, которые должны отличаться друг от друга одним или двумя крючками.
13.2. Гири класса E
Класс должен быть указан на крышке футляра (в соответствии с
14.1) для гирь класса E. Гиря класса E не должна быть маркирована, если только это не требуется для отличия ее от другой гири класса E, и при условии, что качество поверхности и стабильность гири не ухудшаются из-за наличия маркировки или технологии нанесения маркировки гири. Максимально возможное число маркировок пользователя приведено в таблице 7.
Таблица 7
Максимальное число маркировок пользователя
Класс | Номинальное значение массы | Высота надписей, мм | Максимальное число знаков, цифр или букв |
E, F, M1 и M2 | < 1 г | 1 | 2 |
E1 | >= 1 г | 2 | 3 |
E2 | >= 1 г | 3 | 5 |
От F1 до M2 | От 1 г до 100 г | 3 | 5 |
От F1 до M2 | От 200 г до 10 кг | 5 | 5 |
От F1 до M2 | >= 20 кг | 7 | 5 |
Гири класса

могут иметь точку, расположенную не в центре верхней поверхности, чтобы отличать их от гирь класса

.
13.3. Гири класса F
Гири номинальной массой 1 г или более должны иметь отшлифованное или выгравированное номинальное значение, выраженное в соответствии с
13.1 (за которым не следует наименование или обозначение единицы).
13.3.1. Гири класса

не должны иметь никаких маркировок класса.
13.3.2. Гири класса

должны иметь маркировку их класса в виде буквы "F" вместе с указанием их номинального значения.
13.4.1. Прямоугольные гири номинальной массой от 5 до 5000 кг должны иметь номинальное значение массы, за которым следует обозначение "кг", вдавленное или выступающее на теле гири, как показано на
рисунках A.2 и
A.3 (Приложение A).
13.4.2. Цилиндрические гири номинальной массой от 1 г до 5000 кг должны иметь номинальное значение массы, за которым следует обозначение "г" или "кг", вдавленное или выступающее на головке, как показано на
рисунке A.1 (Приложение A). У цилиндрических гирь номинальной массой от 500 г до 5000 кг указанное обозначение может быть воспроизведено на цилиндрической поверхности тела гири.
13.4.3. Гири класса

должны иметь вдавленный или выступающий знак

или "M" вместе с указанием номинального значения в положении согласно
рисункам A.2 и
A.3 (Приложение A). Гири класса

прямоугольной формы могут иметь вдавленный или выступающий знак изготовителя в центральной части гирь, как показано на
рисунках A.2 и
A.3 (Приложение A).
13.4.4. Прямоугольные гири класса

должны иметь указание номинального значения массы и также могут иметь вдавленный или выступающий знак

согласно
рисункам A.2 и
A.3 (Приложение A).
13.4.5. Прямоугольные гири класса точности

должны иметь вдавленный или выступающий знак

или

вместе с указанием номинального значения массы в положении согласно
рисункам A.2 и
A.3 (Приложение A).
13.4.6. Гири классов

и

(за исключением проволочных гирь) могут иметь вдавленный или выступающий знак изготовителя:
- в центральной части прямоугольных гирь;
- на верхней поверхности головки цилиндрических гирь;
- на верхней поверхности цилиндра для цилиндрических гирь класса

, которые имеют ручку, как показано на
рисунках A.1,
A.2 и
A.3 (Приложение A).
13.4.7. Гири класса

номинальной массой 50 кг или более
Гиря должна иметь цифровое обозначение номинального значения массы, за которым следует обозначение единицы.
13.5. Гири классов
и 
Гири класса

должны иметь вдавленный или выступающий знак

, а гири класса

- знак

вместе с номинальным значением массы, за которым следует обозначение "кг". Гири классов

и

могут иметь вдавленный или выступающий знак изготовителя на верхней стороне поверхности и такого же размера, как показано на
рисунках A.1,
A.2 и
A.3 (Приложение A) для других гирь класса M.
13.6. Маркировка пользователя
Принято, чтобы пользователи четко идентифицировали отдельные гири, так как это помогает устанавливать связь гири с ее сертификатом калибровки или свидетельством о поверке. Приемлемое максимальное число маркировок пользователя указано в
таблице 7.
Маркировки пользователя должны состоять из знаков, цифр или букв, но при этом не вносить путаницу в указание номинального значения массы или класса точности.
Гири, за исключением гирь классов

,

,

и

, должны быть представлены в соответствии со следующими требованиями:
14.1.1. Крышка футляра для хранения гирь должна иметь маркировку с указанием класса в виде

,

,

,

или

.
14.1.2. Гири из одного и того же набора должны принадлежать к одному и тому же классу точности.
14.2. Гири классов E и F
14.2.1. Индивидуальные гири и наборы гирь должны быть защищены от износа или повреждения, вызываемого ударами или вибрацией. Эти гири и наборы гирь следует хранить в футлярах, изготовленных из дерева, пластмассы или другого подходящего материала и имеющих индивидуальные ячейки.
14.2.2. Средства для работы с гирями классов E и F должны иметь конструкцию, исключающую образование царапин или другие нарушения поверхности гирь.
14.3. Гири класса 
14.3.1. Цилиндрические гири класса

номинальной массой до 500 г включительно (индивидуальные гири или наборы) следует хранить в футляре с индивидуальными ячейками.
14.3.2. Листовые и проволочные гири следует хранить в футлярах с индивидуальными ячейками; класс

должен быть нанесен на крышке футляра.
15. Формы метрологического контроля
Область применения гирь, подлежащих государственному регулированию в зависимости от национального законодательства, предусматривает осуществление метрологического контроля в целях установления соответствия гирь требованиям настоящего стандарта.
Формы осуществления метрологического контроля гирь следующие:
- утверждение типа;
- калибровка;
- повторная калибровка;
- поверка гирь;
- первичная и последующая поверки.
В таблице 8 приведены обязательные требования к испытаниям гирь.
Таблица 8
Требования к испытательным процедурам в целях
утверждения типа, при первичной и периодической поверках
15.1.1. Каждый изготовитель или его полномочный представитель может предъявить гири на испытания на соответствие требованиям настоящего стандарта по обязательным процедурам, приведенным в
Приложениях B и
C.
Обязательная форма протокола для утверждения типа приведена в международной рекомендации МОЗМ МР 111-2 [OILM R 111-2 (далее - R 111-2)] "Гири классов

,

,

,

,

,

,

,

и

. Часть 2. Формы протоколов испытаний".
В
таблице 8 приведены обязательные требования к испытаниям для целей утверждения типа.
15.1.2. Утвержденная модель или тип не должен(на) быть изменен(на) без особого разрешения после получения сертификата об утверждении типа средств измерений [см. международный основополагающий документ МОЗМ Б3 (OILM B 3) "МОЗМ. Система сертификации средств измерений"].
15.2. Калибровка и поверка
Калибровка и поверка гирь или наборов гирь должны входить в обязанности национального уполномоченного органа или пользователя в зависимости от национального законодательства и предполагаемого использования. Сертификаты о калибровке и свидетельства о поверке должны выдаваться только уполномоченными или аккредитованными лабораториями. Должна поддерживаться прослеживаемость к национальным эталонам.
15.2.1. Сертификаты о калибровке и свидетельства о поверке
В сертификате о калибровке и в свидетельстве о поверке, как минимум, должны быть приведены значение условной массы каждой гири

, указание на то, была ли подогнана гиря перед калибровкой, значение ее расширенной неопределенности
U и коэффициента расширения
k.
15.2.2. Гири класса E всегда должны сопровождаться сертификатом о калибровке (свидетельством о поверке).
15.2.2.1. В сертификате
(свидетельстве) для гирь класса

, как минимум, должны быть приведены значения условной массы

, расширенной неопределенности
U, коэффициента расширения
k, а также плотности или объема для каждой гири. Кроме того, в сертификате
(свидетельстве) должно быть отражено, были ли плотность или объем измерены или оценены.
15.2.2.2. В сертификате
(свидетельстве) для гирь класса

, как минимум, должны быть приведены:
а) значения условной массы

для каждой гири, расширенной неопределенности
U и коэффициента расширения
k;
б)
если гири класса
используются в качестве гирь класса
, должна быть приведена информация, необходимая для сертификатов о калибровке (свидетельства о поверке) гирь класса точности

[в соответствии с
1.3.1].
15.3. Повторная калибровка, первичная и последующая поверки
15.3.1. В
таблице 8 приведены требования к испытаниям для первичной и последующей поверок. Категории гирь, которые подлежат калибровке или первичной поверке, должны также подлежать либо повторной калибровке, либо последующей поверке, что позволяет убедиться в том, что они сохранили свои метрологические характеристики. Любые гири, у которых будут обнаружены дефекты во время повторной калибровки или последующей поверки, должны быть отбракованы или подогнаны заново.
15.3.2. Для последующей поверки гири должны быть, как минимум, проверены визуально относительно их конструкции, состояния поверхности и массы в соответствии с их сертификатом о калибровке (свидетельством о поверке) и свидетельством об утверждении типа.
16. Контрольная маркировка (знак поверки)
16.1. Общие положения
При выдаче сертификата о калибровке на гири нанесение знака поверки и других контрольных маркировок не требуется.
16.2. Гири класса E
16.2.1. Контрольные маркировки (знак поверки) могут быть прикреплены к футляру.
16.2.2. Сертификат о калибровке (свидетельство о поверке) должен быть выдан метрологическим органом (например, аккредитованными калибровочными службами или лабораториями) для каждой гири или набора гирь.
16.3. Гири класса F
16.3.1. Гири класса 
Если гири подлежат метрологическому контролю, контрольная маркировка (знак поверки) должна быть прикреплена к футляру для хранения гири.
16.3.2. Гири класса 
Если цилиндрические гири класса

подлежат метрологическому контролю, соответствующая маркировка
(знак поверки) должна быть нанесена в виде оттиска на уплотнительный диск подгоночной полости. Для гирь без подгоночных полостей маркировка
(знак поверки) должна быть нанесена на их основание или на футляр для хранения гири.
16.4. Гири класса M
16.4.1. Если гири классов

,

и

подлежат метрологическому контролю, соответствующая маркировка
(знак поверки) должна быть нанесена в виде оттиска на уплотнительный диск подгоночной полости. Для гирь без подгоночных полостей маркировка
(знак поверки) должна быть нанесена на их основание.
16.4.2. Если гири в виде тонких пластин и проволочные гири класса

подлежат метрологическому контролю, маркировка
(знак поверки) должна быть нанесена на футляр для хранения гири.
(рекомендуемое)
ПРИМЕРЫ РАЗЛИЧНЫХ ФОРМ И РАЗМЕРОВ
1 - свинцовая пластина; 2 - клеймо изготовителя;
3 - пробка (латунь или такой же материал,
из которого сделана гиря)
Рисунок A.1. Примеры цилиндрических гирь
Таблица A.1
Размеры цилиндрических гирь
Размеры в миллиметрах
Номинальное значение массы гирь | D1 | D2 | D3 | H | R1 | R2 | R3 | o | a1 | a2 | | c | d | e | f | g | h | l | m | n | q | t |
1 г | 6 | 5,5 | 3 | В зависимости от материала | 0,9 | 0,5 | 0,5 | 1 | | Без подгоночной полости |
2 г | 6 | 5,5 | 3 | 0,9 | 0,5 | 0,5 | 1 |
5 г | 8 | 7 | 4,5 | 1,25 | 0,7 | 0,5 | 1 |
10 г | 10 | 9 | 6 | 1,5 | 0,8 | 0,5 | 1 |
20 г | 13 | 11,5 | 7,5 | 1,8 | 1 | 0,5 | 1,5 |
50 г | 18 | 16 | 10 | 2,5 | 1,5 | 1 | 2 |
| | | | | | | |
20 г | 13 | 11,5 | 7,5 | 1,8 | 1 | 0,5 | 1,5 | 3,5 | 3 | 18 | 5,5 | 2,5 | 6,5 | 1,5 | 1 | 9 | 5 | 1 | 5 | 1 | M4x1.5 |
50 г | 18 | 16 | 10 | 2,5 | 1,5 | 1 | 2 | 5,5 | 4,5 | 25 | 7,5 | 3,5 | 9 | 2 | 1 | 10 | 5 | 1,5 | 7 | 1,5 | M6x1.5 |
100 г | 22 | 20 | 13 | 3,5 | 2 | 1 | 2 | 5,5 | 4,5 | 30 | 7,5 | 3,5 | 9 | 2 | 1 | 10 | 5 | 1,5 | 7 | 1,5 | M6x1.5 |
200 г | 28 | 25 | 16 | 4 | 2,25 | 1,5 | 3,2 | 6,9 | 7 | 40 | 10,5 | 4,5 | 12 | 2,5 | 1,5 | 15 | 8 | 2 | 10 | 2 | M8x1 |
500 г | 35 | 34 | 22 | 5,5 | 3 | 1,5 | 3,2 | 6,9 | 7 | 50 | 10,5 | 4,5 | 12 | 2,5 | 1,5 | 15 | 8 | 2 | 10 | 2 | M8x1 |
1 кг | 48 | 43 | 27 | 7 | 4 | 2 | 5 | 12,4 | 12 | 65 | 18,5 | 7 | 20 | 4 | 2,5 | 20 | 13 | 3 | 18 | 3 | M14x1.5 |
2 кг | 60 | 54 | 36 | 9 | 5 | 2 | 5 | 12,4 | 12 | 80 | 18,5 | 7 | 20 | 4 | 2,5 | 20 | 13 | 3 | 18 | 3 | M14x1.5 |
5 кг | 80 | 72 | 46 | 12 | 6,5 | 2 | 10 | 18,4 | 18 | 120 | 24,5 | 8 | 26,5 | 4 | 2,5 | 35 | 18 | 4 | 24 | 3 | M20x1.5 |
10 кг | 100 | 90 | 58 | 15 | 8,5 | 3 | 10 | 18,4 | 18 | 160 | 24,5 | 8 | 26,5 | 4 | 2,5 | 35 | 18 | 4 | 24 | 3 | M20x1.5 |
20 кг | 128 | 112 | 74 | 18 | 11 | 3 | 10 | 18,4 | 18 | 160 | 24,5 | 8 | 26,5 | 4 | 2,5 | 35 | 18 | 4 | 24 | 3 | M20x1.5 |
<*> Значения глубины подгоночной полости приведены в качестве ориентира. |
1 - свинцовая пластина; 2 - клеймо изготовителя;
3 - трубчатая ручка
Примечание. Пометки могут быть на верхней поверхности или на боку гири.
Рисунок A.2. Примеры гирь в виде
прямоугольного стержня (Тип 1)
Таблица A.2
Размеры гирь в виде прямоугольного стержня (Тип 1)
Размеры в миллиметрах
Номинальное значение массы гирь | A1 | A2 | B1 | B2 | H | a | b | c | d1 | d2 | e | f | g | h | l | m | n | o | r | s | t | u |
5 кг | 150 | 152 | 75 | 77 | 84 | 36 | 30 | 6 | 12 | 19 | 1 | 14 | 2 | 66 | 145 | 5 | 16 | 12 | 5 | 16,5 | M16x1.5 | 18 |
10 кг | 190 | 193 | 95 | 97 | 109 | 46 | 38 | 8 | 12 | 25 | 1 | 14 | 2 | 84 | 185 | 5 | 16 | 16 | 6 | 16,5 | M16x1.5 | 18 |
20 кг | 230 | 234 | 115 | 117 | 139 | 61 | 52 | 12 | 24 | 29 | 2 | 21 | 3 | 109 | 220 | 8 | 27 | 20 | 8 | 27,5 | M27x1.5 | 30 |
50 кг | 310 | 314 | 155 | 157 | 192 | 83 | 74 | 16 | 24 | 40 | 2 | 21 | 3 | 152 | 300 | 8 | 27 | 25 | 10 | 27,5 | M27x1.5 | 30 |
1 - свинцовая пластина; 2 - клеймо изготовителя;
3 - маленькая пластинка из мягкой стали
Примечания. 1. Пометки, относящиеся к клейму изготовителя, могут быть на верхней поверхности или на боку гири.
2. Подгоночная полость выполнена на верхней поверхности гири. Подгоночная полость может быть выполнена на боковой поверхности гири.
Рисунок A.3. Примеры гирь в виде
прямоугольного стержня (Тип 2)
Таблица A.3
Размеры гирь в виде прямоугольного стержня (Тип 2)
Размеры в миллиметрах
Номинальное значение массы гирь | A1 | A2 | B1 | B2 | H | a | b | c | d | h | m | n | o | p | r |
5 кг | 150 | 152 | 75 | 77 | 84 | 36 | 30 | 6 | 19 | 66 | 16 | 13 | 12 | 55 | 5 |
10 кг | 190 | 193 | 95 | 97 | 109 | 46 | 38 | 8 | 25 | 84 | 35 | 25 | 16 | 70 | 6 |
20 кг | 230 | 234 | 115 | 117 | 139 | 61 | 52 | 12 | 29 | 109 | 50 | 30 | 20 | 95 | 8 |
50 кг | 310 | 314 | 155 | 157 | 192 | 83 | 74 | 16 | 40 | 152 | 70 | 40 | 25 | 148 | 10 |
Примечание. Значения внутренних размеров m, n, p подгоночных полостей приведены в качестве ориентира. |
(обязательное)
B.1. Введение
В настоящем Приложении приведены принятые методы испытаний для определения требуемых свойств гирь. Эти методы относятся как к отдельным гирям, так и к наборам гирь.
B.1.1. В протоколах испытаний должен быть указан метод, который был использован при проведении каждого испытания. Методы, содержащиеся в настоящем Приложении, приведены в соответствующих разделах. При использовании других методов их достоверность должна быть подтверждена документально.
B.1.2. Термин "условная масса" применен во всем стандарте, за исключением раздела, посвященного плотности, где применен термин "масса" (в соответствии с
2.7).
B.2. Последовательность испытаний
Предварительные оценки и испытания должны быть выполнены в следующем порядке (если это применимо):
a) просмотр документации и визуальный контроль в соответствии с контрольным листом (в соответствии с международной рекомендацией R 111-2);
c) шероховатость поверхности
(B.5);
Примечание. Чистка должна быть повторена после измерения плотности, если в качестве жидкости в системе для измерения плотности была использована не вода (другие, как правило, используемые жидкости, например фторуглероды, оставляют осадок, который должен быть удален с использованием растворителя, такого как спирт).
B.3. Просмотр документации и визуальный контроль
B.3.1. Визуальная проверка
Необходимо просмотреть представленную документацию в соответствии с
15.1, включая фотографии, рисунки, соответствующие технические условия и т.п., для установления адекватности и правильности документации.
B.3.2. Сопоставление конструкции с документацией
Необходимо проверить физическое состояние гирь и футляра для гирь, чтобы убедиться в соответствии их документации (согласно
разделам 6,
7,
8,
14, а также
15.1).
B.3.3. Первичная проверка
B.3.3.1. Метрологические характеристики
Записывают метрологические характеристики в соответствии с международной рекомендацией R 111-2.
Проверяют соответствие маркировки согласно международной рекомендации R 111-2.
B.4.1. Важно очистить гири перед проведением любого измерения, так как в процессе чистки может быть изменена масса гирь. При чистке не должно быть удалено заметное количество материала, из которого изготовлены гири. С гирями необходимо работать и хранить их таким образом, чтобы они оставались чистыми. Перед калибровкой пыль и любые инородные частицы должны быть удалены. Это следует выполнять с осторожностью, чтобы не изменить свойства поверхности гири (например, поцарапав гирю).
Если на гире много грязи, которую невозможно удалить методами, приведенными выше, гирю или какие-то ее части допускается вымыть чистым спиртом, дистиллированной водой или другими растворителями. Гири с внутренними полостями, как правило, не рекомендуется погружать в растворитель, чтобы избежать возможного попадания жидкости в подгоночную полость. Если необходимо контролировать стабильность гири во время использования, масса гири должна, по возможности, быть определена перед чисткой.
B.4.2. Типовое время просушки гирь после очистки приведено в таблице B.1.
Таблица B.1
Время просушки гирь после очистки
Условие просушки | Время просушки гирь классов |
E1 | E2 | F1 | От F2 до M3 |
После чистки спиртом | 7 - 10 сут | 3 - 6 сут | 1 - 2 сут | 1 ч |
После чистки дистиллированной водой | 4 - 6 сут | 2 - 3 сут | 1 сут | 1 ч |
B.4.3. Температурная стабилизация
Очищенные гири после просушки должны пройти температурную стабилизацию в весовой комнате. В частности, гири классов

,

и

должны иметь температуру, близкую к температуре в месте проведения взвешивания.
B.4.3.1. Обязательное время температурной стабилизации должно быть не менее указанного в таблице B.2 (в зависимости от размера гирь, их класса точности и от разницы между первоначальной температурой гирь и температурой воздуха в лаборатории). В качестве практического руководства рекомендуется время выдержки 24 ч.
Таблица B.2
[11] Время температурной стабилизации для гирь
классов точности
| Номинальное значение массы | Время в часах |
Класс E1 | Класс E2 | Класс F1 | Класс F2 |
+/- 20 °C | 1000, 2000, 5000 кг | - | - | 79 | 5 |
100, 200, 500 кг | - | 70 | 33 | 4 |
10, 20, 50 кг | 45 | 27 | 12 | 3 |
1, 2, 5 кг | 18 | 12 | 6 | 2 |
100, 200, 500 г | 8 | 5 | 3 | 1 |
10, 20, 50 г | 2 | 2 | 1 | 1 |
< 10 г | 1 | 0,5 |
+/- 5 °C | 1000, 2000, 5000 кг | - | - | 1 | 1 |
100, 200, 500 кг | - | 40 | 2 | 1 |
10, 20, 50 кг | 36 | 18 | 4 | 1 |
1, 2, 5 кг | 15 | 8 | 3 | 1 |
100, 200, 500 г | 6 | 4 | 2 | 0,5 |
10, 20, 50 г | 2 | 1 | 1 | 0,5 |
< 10 г | 0,5 |
+/- 2 °C | 1000, 2000, 5000 кг | - | - | 1 | 0,5 |
100, 200, 500 кг | - | 16 | 1 | 0,5 |
10, 20, 50 кг | 27 | 10 | 1 | 0,5 |
1, 2, 5 кг | 12 | 5 | 1 | 0,5 |
100, 200, 500 г | 5 | 3 | 1 | 0,5 |
< 100 г | 2 | 1 | 0,5 |
+/- 0,5 °C | 1000, 2000, 5000 кг | - | - | - | - |
100, 200, 500 кг | - | 1 | 0,5 | 0,5 |
10, 20, 50 кг | 11 | 1 | 0,5 | 0,5 |
1, 2, 5 кг | 7 | 1 | 0,5 | 0,5 |
100, 200, 500 г | 3 | 1 | 0,5 | 0,5 |
< 100 г | 1 | 0,5 | |
<*>  - первоначальная разница между температурой гири и температурой в лаборатории. |
B.5. Шероховатость поверхности
B.5.1. Введение
Стабильность массы гири в значительной степени зависит от поверхностной структуры гири. Предполагается, что при прочих равных характеристиках масса гири с гладкой поверхностью более стабильна, чем гири с шероховатой поверхностью. Необходимо, чтобы поверхность гири была чистой при оценке шероховатости ее поверхности.
B.5.1.1. Шероховатость поверхности у новых гирь без видимых царапин измеряют четко определенным способом. Для поверхностей с множеством царапин это более затруднительно. В области линейных и угловых измерений шероховатость поверхности четко отличается от таких дефектов поверхности, как царапины. Однако царапины будут собирать грязь при использовании гири, поэтому число царапин должно быть оценено параллельно с шероховатостью поверхности без царапин. Оценку шероховатости поверхности проводят только для гирь классов E и F номинальной массой 1 г или более.
B.5.2. Общая оценка
Оценку шероховатости гири вначале выполняют визуально. Однако для гирь классов E и F оценку всегда следует выполнять с использованием образца шероховатости (ОШ), с использованием измерительного прибора со щупом (ИПЩ) или другого подходящего прибора.
Предупреждение - Использование измерительного прибора со щупом может повредить или поцарапать гирю.
Шероховатость поверхности может характеризоваться числом различных параметров шероховатости. Каждый параметр описывает особенность поверхности, которая важна для конкретного свойства поверхности.
B.5.2.1. Образец шероховатости (метод ОШ)
Если знать действительное значение шероховатости поверхности не требуется, а необходимо лишь установить соответствие определенным техническим требованиям, допускается сравнить поверхность визуально с образцом шероховатости. Образец должен быть калиброван в аккредитованной лаборатории и сопровожден сертификатом. Испытания должны предусматривать определение параметра шероховатости

или

. Поверхность образца шероховатости должна иметь такое же направление неровностей и быть обработана теми же методами механической обработки, что и поверхность гирь. Поскольку гири имеют как плоские, так и цилиндрические поверхности, необходимо использовать два набора образцов: первый - с плоскими поверхностями, а второй - с цилиндрическими поверхностями.
B.5.2.2. Измерительный прибор со щупом (метод ИПЩ)
Измерительный прибор со щупом, как правило, используют для измерения шероховатости поверхности. С использованием этого прибора очень осторожно проводят острым щупом вдоль линии на поверхности и вертикальное движение щупа записывают как функцию положения вдоль линии. Таким образом записывается профиль поверхности.
Предупреждение - Использование измерительного прибора со щупом может повредить или поцарапать гирю.
B.5.2.3. Другие приборы
Для измерения шероховатости поверхности используют другие приборы, отличающиеся от традиционных, такие как приборы для измерения характеристик рассеянного света по
[12].
B.5.3. Методики испытаний
B.5.3.1. Визуальный осмотр (гири классов E, F и M)
B.5.3.1.1. Оборудование
a) Хорошо освещенная комната.
b) Лабораторные перчатки.
c) Неворсистая ткань.
B.5.3.1.2. Методика измерения
B.5.3.1.2.1. Новые гири
a) Для всех классов необходимо визуально осмотреть поверхность гири:
1) следует обратить внимание на любые вмятины или впадины на ее поверхности или на глубокие царапины;
2) поверхность должна быть гладкой (по
11.1.1);
3) края должны быть закруглены;
4) для гирь номинальной массой от 1 г до 10 кг поверхность гири не должна быть пористой.
b) Для классов E и F следует визуально осмотреть поверхность гири:
1) поверхность не должна быть пористой (по
11.1.2);
2) поверхность должна блестеть.
c) Для цилиндрических гирь класса точности M номинальной массой от 1 г до 50 кг поверхность гири должна быть гладкой и непористой.
d) Для прямоугольных гирь класса точности M (5, 10, 20 и 50 кг) качество обработки поверхности должно быть таким же, как у серого чугуна (по
11.1.3).
e) Для гирь класса точности

номинальной массой 50 кг или более поверхность может быть покрыта материалом, обеспечивающим защиту от коррозии, при использовании которого поверхность становится непроницаемой. Это покрытие должно выдерживать удар и другие погодные условия (по
8.5.1).
B.5.3.1.2.2. Гири, бывшие в эксплуатации
Кроме приведенного в B.5.3.1.2.1, поверхность гири должна быть проверена на наличие следов использования указанным ниже образом.
Для этого следует визуально осмотреть поверхность гири. В эксплуатации гири, как правило, имеют царапины, особенно на основании:
1) если число царапин и их глубина сопоставимы с адекватной стабильностью гири, гиря может быть принята;
2) во время оценки шероховатости поверхности отдельные царапины и другие дефекты не должны быть учтены;
3) если царапины слишком многочисленны для оценки шероховатости поверхности, гиря не должна быть принята.
B.5.3.1.3. Запись результатов
Результаты измерений и вычислений вносят в протокол, форма которого приведена в международной рекомендации R 111-2.
B.5.3.2. Образец шероховатости (метод ОШ) (гири классов E и F)
Шероховатость поверхности допускается сравнить визуально с образцами шероховатости.
B.5.3.2.1. Оборудование
a) Чистый образец шероховатости (в соответствии с
B.5.2.1).
b) Хорошо освещенная комната.
c) Лабораторные перчатки.
d) Неворсистая ткань.
B.5.3.2.2. Методика измерений
a) Очищают поверхность образца шероховатости с использованием чистой неворсистой ткани, смоченной в спирте. Если поверхность гири не выглядит чистой, она также должна быть вычищена.
Примечание. В результате чистки масса гири может значительно измениться. См.
B.4 о чистке гирь.
b) Поднимают гирю на уровень среза образца шероховатости так, чтобы направления неровностей двух поверхностей были параллельны.
c) Просматривают одновременно две поверхности под разными углами.
d) Оценивают, меньше или больше шероховатость поверхности гири, чем у конкретного среза образца шероховатости.
e) Повторяют предыдущие измерения с разными образцами шероховатости и определяют верхний предел.
B.5.3.2.3. Запись результатов
Записывают в протокол испытаний, форма которого приведена в международной рекомендации R 111-2, значения

и

, которые имеют наибольшее сходство с испытуемой гирей, указав "ОШ" как метод оценки. Если визуальная оценка четко показывает, что значение шероховатости

или

поверхности гири меньше, чем максимальное значение, указанное в
11.1.2, не требуется никаких дальнейших измерений шероховатости. При сомнениях шероховатость

или

должна быть измерена с использованием измерительного прибора со щупом.
B.5.3.3. Измерение шероховатости с использованием измерительного прибора со щупом (метод ИПЩ) (гири классов E и F)
Настоящий пункт относится только к тем гирям, для которых соответствие требованиям к шероховатости поверхности невозможно оценить однозначно с использованием визуальной проверки. Перед применением измерительный прибор со щупом должен быть калиброван с использованием образцов в соответствии с международным стандартом ИСО 5436
[13]. Другие приборы могут быть применены только тогда, когда была документально подтверждена прослеживаемость к единице длины.
B.5.3.3.1. Оборудование
a) Измерительный прибор со щупом, в соответствии с международным стандартом ИСО 3274
[14].
b) Лабораторные перчатки.
B.5.3.3.2. Методика измерения (в соответствии с международным стандартом ИСО 4288
[15])
a) Выполняют, по крайней мере, шесть измерений.
1) два на плоской верхней поверхности;
2) четыре на цилиндрической поверхности.
b) Не включают царапины или другие дефекты поверхности в измеренные профили.
c) Все значения измеренной шероховатости поверхности

или

должны быть меньше, чем максимальные значения, указанные в
таблице 6 в 11.1.2.
B.5.3.3.3. Запись результатов
Записывают значения

и

, которые имеют наибольшее сходство с испытуемой гирей, в протокол испытаний, форма которого приведена в международной рекомендации R 111-2, указав "ИПЩ" как метод оценки.
B.6.1. Введение
Магнитные силы могут негативно влиять на результат взвешивания, поскольку без систематических исследований эти силы невозможно отличить от силы тяжести при определении массы. Магнитные силы могут возникать из-за взаимодействия между двумя эталонами массы, а также между эталоном массы, компаратором массы, используемым для сличений, и другими находящимися поблизости магнитными объектами.
B.6.1.1. Общие положения
Магнитные свойства (остаточную намагниченность и магнитную восприимчивость) гирь следует определять перед их калибровкой
(Приложение C) с целью гарантировать, что магнитное взаимодействие пренебрежимо мало. Гирю, которая не выдерживает испытания на магнитные свойства, не калибруют
(не поверяют).
B.6.1.1.1. Нет необходимости измерять магнитные свойства гирь, изготовленных из алюминия, так как известно, что они не обладают магнитными свойствами и имеют магнитную восприимчивость

, которая гораздо меньше 0,01. Кроме того, для небольших гирь (< 2 г) и для классов с более низкой точностью (

и ниже, < 20 г) достаточно обратиться к инструкции изготовителя относительно магнитных свойств материала, используемого для изготовления гирь (см.
B.6.3).
B.6.1.1.2. Многие гири класса M изготовляют из чугуна или из простых стальных сплавов. Поэтому гири класса M имеют более часто, чем гири классов E и F, большие относительные погрешности из-за магнитного взаимодействия между гирей и весами. Все металлы обладают определенной магнитной восприимчивостью. Однако сплавы, содержащие магнитные примеси, будут иметь более высокую магнитную восприимчивость и могут становиться намагниченными.
Примечание. Магнитные силы по бокам гирь также могут подлежать рассмотрению, однако в настоящем стандарте они не рассмотрены.
B.6.1.2. Обзор методик испытаний
Подразделы с
B.6.2 по
B.6.6 описывают два принятых метода определения остаточной намагниченности гирь (
B.6.2 и
B.6.4) и четыре принятых метода определения магнитной восприимчивости (
B.6.3,
B.6.4,
B.6.5,
B.6.6), включая формулы для расчета остаточной намагниченности и магнитной восприимчивости. Пределы для остаточной намагниченности и магнитной восприимчивости приведены в
9.1 и
9.2. Рекомендуемые методы для различных классов и номинальных значений массы представлены в
таблицах B.3(a),
B.3(b) и
B.3(c). Альтернативные методы могут быть также использованы при условии, что их достоверность подтверждена соответствующими документами, прилагаемыми к протоколу испытаний.
Примечание. Полная характеристика намагничивания гирь представляется технически непрактичной. Методы, представленные в настоящем стандарте, полагаются на аппроксимации, обоснованно считаемые полезными. В случаях, когда различные методы, представленные здесь, показывают несовпадающие результаты, предпочтение необходимо отдавать в следующем порядке:
B.6.4,
B.6.2 (магнитометр на основе эффекта Холла),
B.6.2 (магнитометр с насыщенным сердечником).
B.6.2. Метод определения остаточной намагниченности. Гауссметр
Остаточная намагниченность гири может быть оценена по результатам двух измерений с использованием гауссметра магнитного поля вблизи гири. Этот метод может быть применен для гирь всех классов точности, перечисленных в таблице B.3(c).
B.6.2.1. Общие положения
a) Перед испытанием помещение, где оно будет проведено, должно быть проверено на направление окружающего магнитного поля с использованием гауссметра. Испытание должно быть проведено в зоне, свободной от ферромагнитных объектов. На операторе также не должно быть никаких ферромагнитных предметов.
b) Измеряют магнитное поле, обусловленное гирей, с использованием, например, датчика Холла (предпочтительный прибор) или магнитометра с насыщенным сердечником. Магнитометр с насыщенным сердечником не должен быть использован для гирь массой менее 100 г. Выравнивают зонд таким образом, чтобы его ось была перпендикулярна к поверхности гири.
c) Измерение должно быть проведено в направлении, где внешняя магнитная индукция, улавливаемая зондом, близка к нулю.
d) В качестве альтернативы значение внешней индукции следует вычесть из измеренной индукции в присутствии гири.
B.6.2.2. Оборудование
a) Гауссметр, такой как датчик Холла или магнитометр с насыщенным сердечником (далее - измеритель).
b) Инструменты для работы с гирями (например, лабораторные перчатки, неворсистая ткань, лабораторный пинцет).
c) Хорошо освещенная комната.
B.6.2.3. Методика измерения
a) Устанавливают измеритель на нуль.
b) Помещают зонд на немагнитную поверхность.
c) Снимают показание магнитного поля при определенной ориентации зонда. Показанием считают результат измерения окружающего магнитного поля. Это показание вычитают из любого следующего показания, снятого на гире или вблизи нее.
d) Помещают гирю над датчиком, сохраняя ориентацию зонда. Центр основания гири должен быть расположен над датчиком. Проверяют однородность намагничивания, передвигая гирю от центра к краю основания, и наблюдают за изменениями показаний. Если показания не уменьшаются плавно, гиря, вероятно, намагничена неоднородно.
e) Если гиря намагничена однородно, измерения допускается выполнять в центре основания, вблизи поверхности гири, без контакта и в соответствии с техническим описанием гауссметра.
Примечание. Для некоторых зондов, таких как у магнитометра с насыщенным сердечником, датчик расположен на расстоянии от конца зонда
[16]. Это, как правило, приводит к более низким значениям напряженности поля, чем те, которые получают при использовании датчика Холла, расположенного как можно ближе к гире. Если гиря намагничена неоднородно, измерения должны быть проведены вдоль центральной оси гири на расстоянии от поверхности, равном, по крайней мере, половине диаметра цилиндрической гири, или равном, по крайней мере, половине самого большого размера прямоугольной гири. Показания зонда должны быть корректированы с использованием формулы, приведенной ниже.
f) Снимают показание (которое может быть выражено в мТл). Записывают его в мкТл.
g) Переворачивают гирю для измерения верха (только для гирь с плоским верхом), затем повторяют этапы по перечислениям d) - f), приведенные выше.
h) Исправляют показание зонда и оценивают остаточную магнитную индукцию

с использованием следующего уравнения:

, (B.6.2-1)
где

для гирь класса M; (B.6.2-2)

для гирь классов E и F; (B.6.2-3)
где
B - показание гауссметра в присутствии гири [вычитают показание окружающего магнитного поля, см.
перечисление c)];

- показание гауссметра окружающего магнитного поля при отсутствии гири;
d - расстояние между центром чувствительного элемента (который вставлен в зонд) и поверхностью гири;
h - высота гири;
R - радиус цилиндрической гири или, в случае с прямоугольной гирей, радиус круга, площадь которого равна площади прямоугольной гири.
Примечание.

и

в некоторых случаях могут иметь разные знаки.
i) Используемое оборудование и расстояние во всех случаях должны быть отмечены в протоколе испытаний.
B.6.2.4. Неопределенность
Применяемые приборы должны быть калиброваны с неопределенностью в соответствии с требованием, что намагниченность гирь должна быть определена с неопределенностью менее одной трети пределов погрешности, указанных в
таблице 3. Применяемая методика приводит к расширенной неопределенности
U (
k = 2) намагничивания, составляющей приблизительно 30% (включая неопределенность калибровки гауссметра). Однако в указанной неопределенности невозможно учесть упрощения метода. Поэтому значение остаточной намагниченности, определенное таким образом, считают условным, хотя и полезным, значением.
B.6.2.5. Запись результатов
Результаты измерений и вычислений вносят в протокол, форма которого приведена в международной рекомендации R 111-2.
B.6.3. Технические требования к материалам
Измерение магнитной восприимчивости допускается проводить с использованием методики B.6.4, используя испытуемый образец, выполненный из куска металла, из которого изготовлена гиря. В этом случае расширенная неопределенность
U (
k = 2) измерения должна увеличиться на 20% для того, чтобы учесть возможное изменение данного параметра в куске металла. Однако все готовые гири должны соответствовать требованиям, указанным в
таблице 3. Из-за эффектов насыщения при измерении магнитной восприимчивости магнитное поле, прилагаемое к гире, должно быть достаточно мало (

для стального сплава).
B.6.3.1. Гири, изготовленные из алюминия, имеют магнитную восприимчивость

.
B.6.3.2. Для небольших гирь номинальной массой менее 2 г следует обратиться к документации изготовителя по поводу магнитных свойств материала, используемого для их изготовления.
B.6.3.3. Для гирь класса F номинальной массой менее 20 г следует обратиться к документации по поводу магнитных свойств материала, используемого для их изготовления.
B.6.4. Магнитная восприимчивость и остаточная намагниченность. Метод измерения с использованием измерителя магнитной восприимчивости
B.6.4.1. Принципы испытания
Этот метод может быть использован для определения как магнитной восприимчивости, так и остаточной намагниченности слабо намагниченных гирь посредством измерения силы, действующей на эталон массы в неоднородном магнитном поле сильного постоянного магнита (см. рисунок B.1).
1 - верх гири; 2 - гиря; 3 - основание гири;
4 - середина магнита по высоте; 5 - магнит; 6 - стол;
7 - опорная стойка; 8 - грузоприемная платформа компаратора
масс;
h - высота гири;

- расстояние от верха гири
до середины магнита по высоте;

- расстояние от середины
магнита по высоте до основания гири;

- радиус гири
Рисунок B.1. Оборудование для определения
магнитной восприимчивости и намагничивания.
Метод измерителя магнитной восприимчивости
Этот метод применим только для гирь, у которых магнитная восприимчивость

. Метод измерения не рекомендуется для составных гирь. Для использования этого метода необходимо ознакомиться с
[6]. При обычной компоновке измеритель магнитной восприимчивости имеет измерительный объем, ограничиваемый по размеру (около 10 см
3) на столе, рядом с магнитом и вертикально над ним. Для гирь номинальной массой более 2 кг проводят измерения в середине основания гири (если необходимо измерить остаточную намагниченность в нескольких местах вдоль основания, используют гауссметр вместо измерителя магнитной восприимчивости). Как правило, гиря должна стоять прямо. Для измерения магнитных свойств по бокам гири или наверху требуются более сложные методы в соответствии с
[6].
B.6.4.2. Общие положения
Существует значительный риск, что данная методика может вызвать остаточную намагниченность испытуемой гири, если она подвергается воздействию слишком сильных магнитных полей (

для гирь стального сплава класса точности

). Рекомендуется, например, чтобы испытания гирь класса

проводили сначала на расстоянии

примерно 20 мм между серединой магнита по высоте и основанием гири (см. рисунок B.1). Тогда

уменьшается, только если восприимчивость образца слишком мала для образования подходящего сигнала в соответствии с
[6]. Могут потребоваться дополнительные меры предосторожности при испытании гирь с более высокой магнитной восприимчивостью [см. B.6.4.5,
перечисление c)].
B.6.4.3. Оборудование
a) Весы с действительным интервалом шкалы не более 10 мкг.
b) Немагнитный стол для размещения на нем гирь.
c) Цилиндр для размещения на нем магнитов.
d) Цилиндрические магниты с магнитным моментом

порядка

(этот момент типичен для магнитов из самария-кобальта или неодима-железа-бора объемом приблизительно 10 мм
3)
[6].
B.6.4.4. Схема оборудования
В идеале высота магнита должна быть равна 0,87 его диаметра
[6], хотя допустимо отношение высоты к диаметру, равное единице.

- это расстояние от середины магнита по высоте до основания гири.
B.6.4.5. Методика измерения
Эти испытания должны быть проведены в зоне, свободной от больших ферромагнитных объектов. На операторе также не должно быть никаких ферромагнитных предметов.
a) Измеряют различные параметры (

,

,
h), см.
рисунок B.1, измерение

см. также в
[6].
b) Необходимо знать значение ускорения силы тяжести g с точностью около 1%.
c) Устанавливают магнит так, чтобы его северный полюс указывал вниз (северный полюс цилиндрического магнита представляет собой конец, который отталкивает северный полюс стрелки компаса). Потребуется значение магнитного момента

магнита.
Магнит создает максимальное магнитное поле на верхней поверхности стола:

, (B.6.4-1)
где
H - единицы

для

в

и

в м.
Важно, чтобы первоначально значения
H не превышали

при испытании гирь класса E,

при испытании гирь класса

и

при испытании гирь других классов. Поле
H может быть увеличено, только если сигнал измерителя магнитной восприимчивости слишком слабый. В этом случае поле
H увеличивается за счет уменьшения высоты

.
d) Устанавливают весы на нуль.
e) Устанавливают гирю на столе так, чтобы ее ось совпадала с вертикальной осью магнита, и снимают показание. Поворачивают гирю вокруг ее вертикальной оси несколько раз, увеличивая углы, и снимают показания при каждом положении. Для следующих процедур поворачивают гирю на угол, при котором отсчет показывает максимальное отклонение от нуля.
g) Устанавливают гирю на столе, как правило три раза, непосредственно над магнитом. Проверяют, что гиря выставлена по центру.
1) Отмечают время установления нагрузки, время снятия показания и время удаления нагрузки.
2) Рассчитывают

по повторным показаниям. Как правило,

будет иметь отрицательный знак, показывающий, что магнит слегка притягивается к гире.
 - среднее значение из максимальных показаний весов, каждое из которых находят путем вращения гири вокруг вертикальной оси. Примечание. Приведены дополнительные определения для однозначного раскрытия терминов, применяемых в настоящем стандарте. |
3) Силу

определяют как

. (B.6.4-2)
f) Измерения следует повторить с перевернутым магнитом.
Расстояние

должно быть постоянным.
1) Устанавливают весы на нуль.
2) Снова устанавливают гирю на столе, как правило три раза, непосредственно над магнитом. Проверяют, что гиря выставлена по центру.
3) Отмечают время установления нагрузки, время снятия показания и время удаления нагрузки.
4) Рассчитывают

по повторным показаниям. Как правило,

будет иметь отрицательный знак, но может существенно отличаться от

.
 - среднее значение из максимальных показаний весов, полученных с перевернутым магнитом, каждое из которых находят путем вращения гири вокруг вертикальной оси. Примечание. Приведены дополнительные определения для однозначного раскрытия терминов, применяемых в настоящем стандарте. |
5) Силу

определяют как

. (B.6.4-3)
6) Повторяют этапы
d) - f), приведенные выше.
B.6.4.6. Вычисления
Рассчитывают магнитную восприимчивость

и остаточную намагниченность
(составляющая вектора M по оси z) гири, вводя различные параметры в уравнения, приведенные ниже. Предполагают, что магнитная восприимчивость воздуха всегда пренебрежимо мала.
B.6.4.6.1. При измерении как

, так и

значение магнитной восприимчивости находят по формуле

, (B.6.4-4)
где

; (B.6.4-5)

, (B.6.4-6)
и значение остаточной магнитной индукции находят по формуле

, (B.6.4-7)
где

; (B.6.4-8)

- вертикальная составляющая окружающей магнитной индукции в лаборатории.
Как правило,

допускается применять как вертикальную составляющую магнитной индукции Земли в месте, где расположена лаборатория, и в этом случае -

в зависимости от широты. Значение

равно нулю на экваторе и имеет максимальное значение на полюсах.

имеет положительный знак в северном полушарии и отрицательный - в южном.
B.6.4.6.2. Геометрические поправочные коэффициенты

и

в вышеприведенных уравнениях определяют по формулам

(B.6.4-9)
и

. (B.6.4-10)
Более подробно об

и

см. в
[6]. Для всех практических целей допускается пренебречь магнитной проницаемостью воздуха.
B.6.4.6.3. Формулы, приведенные выше, используют для цилиндрических гирь. Если гиря не имеет формы идеального цилиндра, могут потребоваться дополнительные поправки или

неопределенность. Например, дальнейшие вычисления необходимы для учета основания с выемкой, головки гири и т.п., как подробно указано в
[6]. Поправки на эти формообразующие элементы тем больше, чем меньше масса (2 г), тогда значение поправок доходит до 10%.
B.6.4.7. Неопределенность
Применяемая методика приводит к неопределенности для магнитной восприимчивости от 10% до 20%. Неопределенность, связанная с этим методом, больше у маленьких гирь в соответствии с
[17],
[18],
[40].
B.6.4.8. Запись результатов
Результаты измерений и вычислений вносят в протокол, форма которого приведена в международной рекомендации R 111-2.
B.6.5. Магнитная восприимчивость. Метод притяжения
B.6.5.1. Принципы испытания
Величина, измеряемая этим методом, - относительная магнитная проницаемость, определяемая путем сравнения магнитной силы, возникающей в результате действия постоянного магнита на эталон массы, и соответствующей силы, действующей на эталон магнитной проницаемости (см. рисунок B.2). Магнитную восприимчивость

вычисляют с использованием уравнения для отношения между относительной магнитной проницаемостью и магнитной восприимчивостью

.
1 - стандартный образец; 2 - стержневой магнит;
3 - противовес; 4 - шарнир; 5 - гиря
Рисунок B.2. Оборудование для определения
магнитной восприимчивости. Метод притяжения
Указанный метод может быть использован с гирями номинальной массой 20 г и более и для гирь классов

в соответствии с
[18] и
[19] [см. также
таблицу B.3(b)]. Как правило, устройства, применяемые в этом методе, могут быть использованы только для определения магнитной проницаемости в диапазоне

.
B.6.5.2. Общие положения
Недостаток данного метода состоит в том, что имеющиеся устройства сложно калибровать.
Предупреждение - Существует риск того, что данная методика вызовет постоянное намагничивание испытуемой гири.
Магнит притягивается к гире или к стандартному образцу в зависимости от того, который из них имеет большую магнитную проницаемость.
B.6.5.3. Оборудование
a) Магнит, уравновешенный на шарнире с использованием противовеса (рисунок B.2).
b) Стандартный образец с известной магнитной проницаемостью.
c) Инструменты для работы с гирями (например, лабораторные перчатки, неворсистая ткань, лабораторный пинцет).
d) Хорошо освещенная комната.
B.6.5.4. Внешний вид оборудования
На рисунке B.2 приведена схема оборудования. Как правило, устройство включает в себя набор вкладышей (стандартных образцов), которые могут быть использованы.
B.6.5.5. Методика измерений
a) Вставляют подходящий стандартный образец с известной магнитной проницаемостью (далее - проницаемость) в прибор.
b) Устанавливают устройство в устойчивое положение, при этом магнит должен указывать вниз.
c) Передвигают гирю по направлению к устройству (стержневому магниту с известным стандартным образцом) до тех пор, пока она не коснется магнита.
d) Затем очень осторожно отодвигают гирю от устройства.
e) Если стержневой магнит притягивается к гире, то относительная проницаемость гири выше, чем у стандартного образца.
f) Это испытание должно быть проведено при различных положениях как наверху, так и на основании гири.
Для обеспечения сопоставимости этих измерений магнитной восприимчивости процедура должна быть повторена с измерениями образца с известной магнитной восприимчивостью (например, определенной с использованием измерителя магнитной восприимчивости по
B.6.4).
B.6.5.6. Неопределенность
Устройство имеет соответствующую неопределенность измерения проницаемости, равную приблизительно 0,3% (30% для восприимчивости) при самой низкой проницаемости

и 8% (13% для восприимчивости) при самой высокой проницаемости

. Методика измерения может иметь большие неопределенности
[19].
B.6.5.7. Запись результатов
Результаты измерений и вычислений вносят в протокол, форма которого приведена в международной рекомендации R 111-2.
B.6.6. Магнитная восприимчивость. Метод магнитометра с насыщенным сердечником
B.6.6.1. Принцип испытания
Метод предназначен для определения относительной магнитной проницаемости объекта путем использования магнитометра с насыщенным сердечником с зондом проницаемости, содержащим постоянный магнит, расположенный вблизи объекта
[20].
Предупреждение - Существует риск того, что данная методика может вызвать постоянное остаточное намагничивание испытуемой гири.
B.6.6.2. Общие положения
Как правило, приборы, применяемые для реализации данного метода, могут быть использованы для определения магнитной проницаемости в диапазоне

. Для обеспечения сопоставимости этих определений процедура должна быть повторена с использованием образца с известной магнитной восприимчивостью (например, подходящего стандартного образца, сертифицированного аккредитованной лабораторией).
B.6.6.3. Оборудование
a) Магнитометр с насыщенным сердечником с зондом проницаемости, содержащим постоянный магнит.
b) Образцовый материал с известной магнитной проницаемостью.
c) Инструменты для работы с гирями (например, лабораторные перчатки, неворсистая ткань, лабораторный пинцет).
d) Хорошо освещенная комната.
B.6.6.4. Методика измерений
В соответствии с инструкцией изготовителя.
B.6.6.5. Неопределенность
Прибор имеет соответствующую неопределенность измерения проницаемости, равную приблизительно 2% (от 40% до 4% для измерения магнитной восприимчивости) в диапазоне

(

)
[20].
B.6.6.6. Запись результатов
Результаты измерений и вычислений вносят в протокол, форма которого приведена в международной рекомендации R 111-2.
B.6.7. Рекомендованные методы для определения остаточной намагниченности и магнитной восприимчивости в зависимости от класса точности гирь и их размеров
B.6.7.1. Измерения должны быть проведены с готовыми гирями.
B.6.7.2. Могут быть использованы гауссметр
(B.6.2) для определения остаточной намагниченности для всех классов точности, датчик Холла для номинальных значений

и магнитометр с насыщенным сердечником для номинальных значений

.
B.6.7.3. В таблицах B.3(a),
B.3(b) и
B.3(c) приведены рекомендованные методики для гирь различных классов точности.
Остаточная намагниченность.
Метод измерителя магнитной восприимчивости
(B.6.4)
Масса гири m, г | Класс точности |
>= 20 | E1, E2, F1 и F2 без подгоночной полости |
2 <= m < 20 | E1, E2 и F1 |
<= 2 | E1 и E2 |
Магнитная восприимчивость
Окончание таблицы B.3(b)
Остаточная намагниченность. Гауссметр
(B.6.2)
Масса гири | Класс точности |
>= 1 г (датчик Холла) >= 100 г (магнитометр с насыщенным сердечником) | E1, E2, F1, F2, M1, M1-2, M2, M2-3, M3 |
B.7.1. Введение
В
таблице 5 приведены предельные значения плотности гирь. Далее представлены шесть принятых методов определения плотности гирь. Альтернативные методы, например взвешивание на весах, погруженных во фторуглеродную жидкость
[21], или использование акустического волюметра
[22],
[23], могут быть применены, если их достоверность подтверждена соответствующей документацией, прилагаемой к протоколу испытаний. Методы испытаний A, B, C и D предусматривают использование воды или другой подходящей рабочей жидкости в качестве эталонной меры плотности. Методы E и F подходят для гирь более низкого класса или в том случае, если погружение в жидкость неприемлемо. В таблице B.4 приведено краткое описание методов определения плотности. В
таблице B.8 (в конце раздела B.7) приведены рекомендованные методы определения плотности по классам точности.
Таблица B.4
Методы определения плотности
Метод | Описание |
A | Наиболее точный метод. Гидростатическая методика сличения испытуемой гири и эталонной гири как в воздухе, так и в жидкости с известной плотностью |
B | Самый быстрый и наиболее подходящий метод. Взвешивание гири в воде и проверка того, что показания весов находятся в диапазоне табличных предельных значений, или вычисление плотности по показаниям весов и известной действительной массе испытуемой гири |
C | Раздельное определение массы и объема испытуемой гири. Объем определяют по увеличению показаний весов, когда гирю подвешивают в водяном термостате, расположенном на чашке весов |
D | Эта методика подходит для гирь номинальной массой > 1 кг. Взвешивание испытательного контейнера, заполненного жидкостью, с точно определенной вместимостью, совместно с испытуемой гирей внутри и без нее |
E | Эта методика подходит для гирь с подгоночными полостями, которые не могут быть погружены в воду. Вычисление объема проводят по размерам гири |
F | Оценка плотности на основании известного состава сплава, из которого изготовлена гиря |
B.7.1.1. Проверка предельных значений плотности должна учитывать неопределенность, связанную с используемым методом испытаний. В таблице B.5 приведена общая оценка неопределенности, связанной с каждым методом. Для каждой гири расширенная неопределенность U (для k = 2) определения плотности должна находиться в пределах

. (B.7.1-1)
Таблица B.5
Оцененная типичная неопределенность U (для k = 2)
в зависимости от используемого метода и массы гирь,

Метод | Оценочная типичная неопределенность, кг·м-3, для гирь массой |
50 кг | 1 кг | 1 г |
A1 | - | 1,5 | 60 |
A2/A3 | - | 3 | 60 |
B1 | 5 | 5 | 60 |
B2 | 20 | 20 | 60 |
C | 10 | 10 | 100 |
D | 5 | 10 | - |
E | 30 | 40 | 600 |
F | От 130 до 600 |
Однако если неопределенность измерений плотности может быть уменьшена, то может быть принят увеличенный диапазон плотностей, как показано на рисунке B.3. Приложение определенных усилий позволит добиться более низких значений неопределенностей.
Рисунок B.3. Допуски для плотности и пределы
при поверке в зависимости от неопределенности измерений
B.7.2. Общие положения
B.7.2.1. Нормальная температура
Нормальная температура для определения плотности составляет 20 °C. Если измерение выполняют при другой температуре

(другой эталонной лабораторной температурой может быть 23 °C или 27 °C), плотность должна быть пересчитана для 20 °C с использованием коэффициента объемного расширения

материала. Если

точно не известен, предлагается для гирь из нержавеющей стали использовать

.

. (B.7.2-1)
Неопределенность измерений составляет:

. (B.7.2-2)
B.7.2.2. Требования к малым гирям
Плотность малых гирь, для которых в
таблице 5 не приведены предельные значения, проверять не требуется. Плотность гирь массой менее 1 г должна быть оценена в соответствии с методом F (см. ниже) с учетом информации изготовителя о материале, из которого изготовлены гири.
B.7.2.3. Рабочая жидкость
Рабочая жидкость не должна оказывать влияния на гири. Предпочтительно использовать дистиллированную и дегазированную воду, так как ее плотность представляет собой хорошо известную функцию температуры
[24],
[25] <1> и ее чистоту легко контролировать
[26] <2>. В формулах в настоящем подразделе использовано постоянное значение плотности жидкости. Для вычислений с использованием карманного калькулятора в
таблице B.6 приведен пересчет некоторых значений плотности для воды. Плотность воздуха можно рассчитать, используя приближенную
формулу (E.3-1).
--------------------------------
<1> Гиря, которая не была вычищена перед испытанием, может показывать более низкий вес после погружения ее в чистую воду и последующей стабилизации.
<2> Допускается использовать и другие жидкости с хорошо известной и стабильной плотностью. Для получения маленьких неопределенностей измерения важно работать при постоянной и точно известной температуре. Это наиболее важно, если вместо воды используется жидкость с более высоким коэффициентом теплового расширения.
Таблица B.6
t1, °C |  , кг·м -3 |  [кг·м -3·°C -1] |
18,0 | 998,593 | -0,190 |
18,5 | 998,499 |
19,0 | 998,402 | -0,201 |
19,5 | 998,303 |
20,0 | 998,201 | -0,212 |
20,5 | 998,096 |
21,0 | 997,989 | -0,222 |
21,5 | 997,879 |
22,0 | 997,767 | -0,232 |
22,5 | 997,652 |
23,0 | 997,535 | -0,242 |
23,5 | 997,415 |
24,0 | 997,293 | - |
B.7.2.4. Водопроницаемость подгоночной полости
Гири, имеющие подгоночную полость, не следует погружать в воду, так как она может попасть в полость во время измерений. Это повлияет как на плотность, так и на массу гири и нарушит стабильность массы. Для гирь с полостью предпочтителен метод определения объема по геометрическим размерам гирь. Однако если всю воду возможно впоследствии убрать, необходимо выполнить гидростатическое взвешивание с открытой полостью, тщательно удаляя попавшие пузырьки воздуха.
B.7.2.5. Удаление воздуха
Для точных измерений в воде чрезвычайно важно удалить пузырьки воздуха из гири и держателя гири. Это также справедливо для стенок жидкостного термостата для методов C и D, особенно в отношении маленьких гирь
<1>. Практичный способ уменьшения риска возникновения воздушных пузырьков заключается в дегазации воды и гири в воде путем приложения отрицательного давления к контейнеру приблизительно на 10 - 15 мин
<2>.
B.7.2.6. Держатель гири и проволочная подвеска
Расположение гири на держателе под водой может случайно повлечь за собой повреждение как гири, так и термостата (стекло). Надежнее всего погружать гирю и держатель вместе. Однако воздушные пузырьки легче обнаружить, если держатель и гирю погружают по отдельности. Следует использовать такой держатель гири, который позволит предотвратить ее падение. Если требуется низкая неопределенность измерений, проволочная подвеска должна быть тонкой, чистой и проходить границу воздуха и воды под прямым углом <3>.
--------------------------------
<1> Например, в случае с гирей 20 мг изменение показания компаратора на 20 мкг приведет к различию в результате измерения плотности

.
<2> Плотность воздуха, насыщенного водой, приблизительно на

ниже, чем воды без воздуха.
<3> Компенсационный метод учитывает, что держатель, а также погруженная проволочная подвеска вытесняют воду. Кроме того, этот метод компенсирует дополнительную силу, возникшую из-за образования мениска на границе воздуха и воды, которая не отражена в последующих уравнениях. Диаметр проволоки от 0,1 до 0,3 мм для гирь номинальной массой до 2 кг подходит для большинства случаев.
B.7.2.7. Масса или условная масса
В формулах, приведенных ниже, масса может быть взята как условная масса, и наоборот, поскольку при рассмотрении неопределенности, полученной и необходимой для определения плотности гири, разница между значениями ее массы и условной массы несущественна. По этой же причине номинальное значение может быть взято для массы или условной массы гири, при предположении, что ее условная масса удовлетворяет пределам допускаемой погрешности, приведенным в
таблице 1.
B.7.2.8. Сушка гири
После извлечения гири из термостата с водой большая часть воды сразу же стечет с поверхности гири. Оставшиеся капли следует стереть с использованием тонкой ткани. Для стабилизации гири допускается поместить под подходящий колпак (перевернутый лабораторный стакан на прокладках для обеспечения вентиляции).
B.7.3. Измерение испытательного образца
Измерение плотности может быть проведено на одном испытательном образце, взятом из куска металла, использованного для изготовления гири. Испытательный образец должен быть как можно более похож на гирю и иметь подходящий объем и форму для измерения плотности. Шероховатость испытательного образца должна быть такая же или меньше, чем шероховатость гири. Плотность гири предполагается равной плотности испытательного образца. Стандартную неопределенность этого значения получают сложением относительной стандартной неопределенности, равной

, и стандартной неопределенности плотности испытательного образца.
B.7.4. Метод испытания A (гидростатическое сличение)
Этот метод может быть реализован тремя разными способами.
1 - устройство для смены гирь; 2 - проволочная подвеска;
3 - держатель для гирь
Рисунок B.4. Иллюстрация метода A
Метод A1 (две разные эталонные гири, взвешенные в воздухе): сличение испытуемой и эталонной гирь в воздухе и сличение испытуемой гири в жидкости и второй эталонной гири в воздухе.
Метод A2 (эталонные гири, взвешенные в воздухе и в жидкости): сличение испытуемой и эталонной гири в воздухе и сличение испытуемой гири и (той же самой или другой) эталонной гири, когда они обе находятся в жидкости.
Метод A3 (непосредственное взвешивание): взвешивание испытуемой гири в воздухе и в жидкости при использовании показания весов вместо массы эталонных гирь.
B.7.4.1. Оборудование
a) Лабораторные весы с достаточной максимальной нагрузкой и высоким разрешением (как правило, относительное разрешение

), приспособленные для взвешивания нагрузки, подвешенной под весами.
b) Водный термостат с термостатическим регулированием в пределах 20 °C +/- 0,2 °C.
c) Проволочная подвеска и держатели для гирь различных размеров.
d) Механизм для нагружения и разгрузки держателя для гирь в воде.
e) Эталоны массы с известной плотностью.
f) Инструменты для работы с гирями (например, лабораторные перчатки, неворсистая ткань, лабораторный пинцет).
g) Хорошо освещенная комната.
B.7.4.2. Испытательный метод A1 (две разные эталонные гири, взвешенные в воздухе)
B.7.4.2.1. Методика измерений
Определяют плотность жидкости

и плотность воздуха

во время испытания:
a) Первое взвешивание (испытуемая гиря в воздухе):
1) взвешивают испытуемую гирю

в воздухе плотностью

;
2) записывают показание

;
3) осторожно удаляют гирю

.
b) Второе взвешивание (эталонная гиря в воздухе):
1) взвешивают эталонную гирю

в воздухе плотностью

;
2) записывают показание

;
3) осторожно удаляют гирю

.
c) Третье взвешивание (испытуемая гиря в жидкости):
1) взвешивают испытуемую гирю

в жидком термостате (плотностью

);
2) записывают показание

;
3) осторожно удаляют гирю

.
d) Четвертое взвешивание (вторая эталонная гиря в воздухе):
1) взвешивают эталонную гирю

в воздухе (плотностью

);
2) записывают показание

;
3) осторожно удаляют гирю

.
Вторая эталонная гиря

, как правило, представляет собой комбинацию гирь, для которых показание весов близко к показанию весов для погруженной гири.
Обозначение

представляет собой общую массу гирь, а

- эффективную плотность. Эффективную плотность вычисляют по формуле

, (B.7.4-1)
где

- объемы гирь. Тогда плотность испытуемой гири

вычисляют по формуле

, (B.7.4-2)
где

; (B.7.4-3)

; (B.7.4-4)

; (B.7.4-5)

; (B.7.4-6)

; (B.7.4-7)

- плотность гири для определения чувствительности;

- плотность воздуха во время калибровки весов.
Относительная неопределенность
где

(пренебрежимо мало
в большинстве случаев); (B.7.4-9)

; (B.7.4-10)

; (B.7.4-11)

; (B.7.4-12)

; (B.7.4-13)

. (B.7.4-14)
Предполагается, что значения массы и плотности эталонных гирь коррелированы;

- неопределенность, обусловленная эффектом поверхностного натяжения, действующим на проволочную подвеску (если проволока имеет диаметр 1 мм, то максимальный эффект может составить 23 мг; если диаметр проволоки 0,1 мм, то эффект может составить 2,3 мг).
При температуре окружающей среды около 20 °C неопределенность определения плотности воды приблизительно связана с неопределенностью ее температуры

в градусах Цельсия (температура воды) следующим образом:

. (B.7.4-15)
В большинстве случаев поправочные коэффициенты на выталкивающую силу воздуха

,

и

существенно не отличаются друг от друга и могут быть установлены равными единице, что приводит к упрощению
формулы (B.7.4-2) следующим образом:

. (B.7.4-16)
Относительная неопределенность
где

; (B.7.4-18)

; (B.7.4-19)

; (B.7.4-20)

. (B.7.4-21)
B.7.4.3. Метод A2 (эталонные гири, взвешенные в воздухе и в жидкости)
B.7.4.3.1. Методика измерения
Плотность испытуемой гири

вычисляют по формуле (B.7.4-22) или
(B.7.4-31).
Когда используют одну и ту же эталонную гирю для измерения в воздухе и в жидкости:

и

, тогда:

, (B.7.4-22)
где

; (B.7.4-23)

; (B.7.4-24)
Относительная неопределенность
где

(в большинстве случаев
пренебрежимо мало); (B.7.4-26)

(в большинстве случаев
пренебрежимо мало); (B.7.4-27)

; (B.7.4-28)

; (B.7.4-29)

. (B.7.4-30)
Когда используются разные эталонные гири для измерения в воздухе и в жидкости:

и

, тогда:

, (B.7.4-31)
где

; (B.7.4-32)

. (B.7.4-33)
Относительная неопределенность
где

; (B.7.4-35)

(в большинстве случаев
пренебрежимо мало); (B.7.4-36)

(в большинстве случаев
пренебрежимо мало); (B.7.4-37)

; (B.7.4-38)

; (B.7.4-39)

; (B.7.4-40)

. (B.7.4-41)
Предполагается, что массы эталонных гирь коррелированы. Для

см. в
B.7.4.2.2.
B.7.4.4. Метод A3 (непосредственное взвешивание)
Вместо использования методики сличения процедура может быть упрощена путем непосредственного снятия показаний весов.
B.7.4.4.1. Методика измерений
Методика измерений аналогична приведенной в
B.7.4.2.1, за исключением того, что опущены процедуры по перечислениям
b) и
d).
B.7.4.4.2. Вычисления
Соответствующее уравнение для данной ситуации имеет вид

. (B.7.4-42)
Обязательное условие такого упрощения - это точно калиброванные весы.

и

означают показания весов для испытуемой гири соответственно в воздухе (подстрочный индекс "a") и в жидкости (подстрочный индекс "l") после того, как весы были тарированы без гири на чашке весов или на погруженном держателе.
Относительная неопределенность
| | ИС МЕГАНОРМ: примечание. Формула дана в соответствии с официальным текстом документа. | |
где

; (B.7.4-44)

; (B.7.4-45)

; (B.7.4-46)

. (B.7.4-47)
В соответствии с формулой
(B.7.4-42) могут быть достигнуты неопределенности до

.
B.7.5. Метод испытания B (проверка плотности)
B.7.5.1. Принцип
Метод B представляет собой упрощенную форму гидростатического метода и заключается только во взвешивании в жидкости. Испытуемую гирю подвешивают на тонкой проволоке достаточной прочности в воде плотностью

. Дисплей весов показывает значение массы

.
Этот метод может быть реализован двумя различными способами:
Метод B2: проверка того, что плотность находится в предписанном диапазоне. Предельные значения для показания весов вычисляют по минимальным и максимальным пределам для плотности, которые приведены в
таблице 5. Оцененную неопределенность измерения метода определения плотности учитывают в зависимости от размера гири. В качестве дополнительной меры безопасности принято, что минимальные пределы базируются на предполагаемой температуре воды 24 °C, а максимальные пределы - на температуре 18 °C.
B.7.5.2. Оборудование
a) Лабораторные весы с подходящим диапазоном. Рекомендуется относительное разрешение

с соответствующим уровнем воспроизводимости.
b) Жидкостный термостат со стабилизацией температуры в диапазоне от 18 °C до 24 °C. Если весы оборудованы приспособлением для взвешивания под весами, они могут быть подняты на подставке над термостатом (см.
рисунок B.4) или термостат может быть помещен на опорную платформу, как показано на рисунке B.5.
1 - проволочная подвеска; 2 - основной кронштейн;
3 - держатель гирь; 4 - опорная платформа; 5 - чашка весов
Рисунок B.5. Иллюстрация метода B
c) Основной кронштейн, который может быть прикреплен к чашке весов.
d) Держатель (держатели) гирь различных размеров с соответствующей проволочной подвеской (подвесками).
e) Эталонные гири для юстировки весов.
f) Инструменты для работы с гирями (например, лабораторные перчатки, неворсистая ткань, лабораторный пинцет).
B.7.5.3. Методика измерения
a) Погружают гирю (или набор гирь) в термостат с дистиллированной водой при температуре от 18 °C до 24 °C. Термостат допускается поместить на опорную платформу, как показано на рисунке B.5.
b) Прикрепляют основной кронштейн к чаше весов и подвешивают держатель гирь с основного кронштейна на тонкой проволочной подвеске достаточной прочности таким образом, чтобы держатель гирь полностью погрузился в жидкость. Граница воздуха и воды на проволочной подвеске должна быть четко определена.
c) Тарируют весы так, чтобы они показывали нуль <1>.
--------------------------------
<1> Если весы не имеют функции тарирования,

представляют собой разницу между вторым и первым взвешиваниями.
d) Удаляют воздушные пузырьки с гири и помещают ее на держателе.
e) Не следует шевелить проволочную подвеску, чтобы избежать разрушения мениска на водной поверхности.
f) После стабилизации снимают и записывают показание весов

.
g) С использованием пинцета кладут испытуемую гирю обратно на место хранения.
h) Записывают параметры окружающей среды в лаборатории (температуру воздуха, давление и влажность) и температуру жидкости.
B.7.5.4. Результаты
B.7.5.4.1. Метод B1
Вычисление плотности с использованием номинального значения массы

гири. Плотность вычисляют в соответствии с формулой

. (B.7.5-1)
Неопределенность измерения методом В1:
| | ИС МЕГАНОРМ: примечание. Формула дана в соответствии с официальным текстом документа. | |

,
(B.7.5-2)
где

; (B.7.5-3)

; (B.7.5-4)

; (B.7.5-5)

- неопределенность, обусловленная эффектом поверхностного натяжения, действующим на проволочную подвеску (см. также
B.7.4.2.2).
Неопределенность измерения для метода B1 составляет, как правило,

или меньше для гирь большего размера и до

для гирь номинальной массой 1 г в зависимости от размера и осторожности обращения. Неопределенность измерения увеличивается по мере уменьшения размера гири.
B.7.5.4.2. Метод B2
Плотность

гири проверяют сличением значения

с двумя предельными значениями

и

для соответствующего размера гири. Предельные значения сведены в таблицу в международной рекомендации R 111-2 для гирь классов от

до

.
B.7.5.5. Запись результатов
Результаты измерений и расчетов вносят в протокол, форма которого приведена в международной рекомендации R 111-2.
B.7.6. Метод испытания C (определение объема путем взвешивания вытесненной жидкости)
Этот метод непрактичен для гирь номинальной массой менее 1 г.
B.7.6.1. Принцип
Этот метод может быть реализован двумя способами:
1) масса испытуемой гири не известна;
2) масса испытуемой гири известна.
B.7.6.2. Общие положения
Вместо измерения выталкивающей силы, действующей на гирю в воде, определяют объем жидкости, вытесняемой погруженной гирей. При известной массе испытуемой гири

рассчитают ее плотность.
B.7.6.3. Оборудование
a) Лабораторные весы с максимальной нагрузкой от 200 г до 100 кг с относительным разрешением

или лучше и соответствующей воспроизводимостью.
b) Жидкостный термостат (термостаты) подходящего размера (размеров).
c) Стойка, регулируемая по высоте, для удержания гирь, подвешенных в воде.
d) Проволочная подвеска (подвески) и держатель (держатели) для гирь подходящего размера (размеров).
e) Инструменты для работы с гирями (например, лабораторные перчатки, неворсистая ткань, лабораторный пинцет).
f) Хорошо освещенная комната.
B.7.6.4. Методика измерений
1 - проволочная подвеска; 2 - регулировка высоты;
3 - держатель гирь; 4 - чашка весов; 5 - стойка
Рисунок B.6. Иллюстрация метода C
a) Ставят контейнер с водой на чашку весов.
b) Подвешивают держатель гирь и проволочную подвеску на отдельной стойке.
c) Тарируют весы, если таковая функция имеется. Если эта функция отсутствует, снимают показание

.
d) Поднимают держатель над поверхностью воды, ставят гирю на держатель и погружают его в воду снова.
e) Регулируют высоту таким образом, чтобы проволочная подвеска пересекала границу воздуха и воды на той же высоте, как раньше.
f) Снимают показание

(или

, если весы не имеют функции тарирования,

).
g) Записывают параметры окружающей среды в лаборатории: температуру воздуха, давление, влажность и температуру жидкости.
За массу вытесненной воды

принимают показания весов

. Если необходимо, экстраполируют испарение за время, истекшее с последнего тарирования <1>.
--------------------------------
<1> Снимают показания несколько раз, чтобы оценить скорость испарения во времени, и корректируют разницу во времени между тарированием и снятием показаний. Следует обратить внимание на непрактичность повторения метода C, поскольку гирю необходимо высушивать перед тем, как снова погрузить ее в воду.
B.7.6.5. Вычисления
Разница

между двумя показаниями равна количеству вытесненной жидкости, взвешенной в воздухе. Если масса

испытуемой гири уже известна, значения

и

вводят в формулу (B.7.6-1) для вычисления плотности

испытуемой гири.

. (B.7.6-1)
Если

пока не известна, тогда испытуемую гирю взвешивают на весах, и показанное значение

в воздухе используют вместе с

в формуле (B.7.6-2) для вычисления плотности

.

. (B.7.6-2)
B.7.6.6. Неопределенность измерения метода C
Для формулы (B.7.6-1):
где

; (B.7.6-4)

; (B.7.6-5)

; (B.7.6-6)

. (B.7.6-7)
где

; (B.7.6-9)

; (B.7.6-10)

; (B.7.6-11)

. (B.7.6-12)
В диапазоне

неопределенность измерения составляет от

до

в зависимости от размера гирь и осторожности обращения. Перед сличением расчетного значения плотности

с минимальными и максимальными пределами плотности по
таблице 5 значение

должно быть расширено на неопределенность, ожидаемую для этого метода, или на предел оценки неопределенности.
B.7.6.7. Запись результатов
Результаты измерений с указанием метода C определения плотности вносят в протокол, форма которого приведена в международной рекомендации R 111-2.
B.7.7. Метод испытания D (определение вытесненной жидкости в сосуде с постоянным объемом)
B.7.7.1. Принцип
С большими гирями неудобно работать при гидростатическом взвешивании. Альтернативный способ определения их объема - взвешивание жидкости, которую они вытесняют, косвенным способом, с использованием сосуда с постоянным регулируемым объемом.
B.7.7.1.1. Сосуд заполняют водой (см.
рисунок B.7) до четко определенного уровня и дважды взвешивают: первый раз с гирей в воде и второй раз без нее. Соответствующими показаниями весов являются

и

. Горлышко контейнера не должно быть более 1 см, причем вода должна иметь однородную и стабильную температуру в пределах +/- 0,1 °C. Следят за тем, чтобы объем гири не был слишком мал по сравнению с объемом сосуда, уплотнение на сосуде не имело течи и не было попадания воздуха. При условии постоянной плотности жидкости

плотность гири

вычисляют по разности

в соответствии с формулой (B.7.7-1), которая аналогична
формуле (B.7.5-1).

. (B.7.7-1)
Рисунок B.7. Иллюстрация метода D
B.7.7.2. Оборудование
a) Лабораторные весы с максимальной нагрузкой от 5 до 100 кг и относительным разрешением

или лучше.
b) Прозрачный испытательный сосуд (сосуды) подходящей конструкции с точно контролируемым уровнем заполнения.
c) Инструменты для работы с гирями (например, лабораторные перчатки, неворсистая ткань, лабораторный пинцет).
d) Хорошо освещенная комната.
B.7.7.3. Методика измерений
a) Помещают гирю в сосуд и заполняют его осторожно водой до четко определенного уровня (например, пока она не перетечет через затвор).
b) Взвешивают сосуд вместе с гирей и жидкостью.
c) Снимают и записывают показание

.
d) Удаляют гирю и добавляют воды такой же температуры до такого же уровня. Нет необходимости знать объем, если температура воды постоянна.
e) Взвешивают сосуд, содержащий жидкость.
f) Снимают и записывают показание

.
g) Разница между показаниями

обусловлена массой гири минус масса вытесненной воды <1>.
--------------------------------
<1> При повторении метода D нет необходимости высушивать гирю перед последующим погружением в воду.
h) Записывают параметры окружающей среды в лаборатории (температуру воздуха, давление и влажность) и температуру жидкости.
B.7.7.4. Неопределенность измерения метода D

, (B.7.7-2)
где

; (B.7.7-3)

; (B.7.7-4)

; (B.7.7-5)

- составляющая неопределенности, обусловленная двумя уровнями воды с гирей и без нее.
Неопределенность этого метода имеет порядок

или менее для гири номинальной массой 1 кг, но уменьшается для гирь большего размера при следующих условиях: горлышко контейнера очень узкое; вода имеет однородную и стабильную температуру в пределах +/- 0,1 °C; объем гири не слишком мал по сравнению с объемом сосуда; уплотнение не течет; отсутствует попадание воздуха.
B.7.7.5. Запись результатов
Результаты измерений с указанием метода D определения плотности вносят в протокол, форма которого приведена в международной рекомендации R 111-2.
B.7.8. Метод испытания E (определение объема путем геометрических измерений)
B.7.8.1. Принцип
Объем гири может быть рассчитан по ее размерам при использовании соответствующей формулы. Объем может быть разделен на несколько элементарных частей, которые также могут включать в себя полость
[27]. Впоследствии будут рассмотрены гири, которые имеют форму в соответствии с
рисунком A.1 (здесь - без полости, см. рисунок B.8). Стандартные формулы для трех относительно простых геометрических форм головки A, грузового кольца B и основного тела C приведены в
[27]. В некоторых случаях гиря может иметь углубление D на дне. Вычисление частей объема проводят непосредственно.
Рисунок B.8. Иллюстрация определения объема
B.7.8.1.1. Оборудование
a) Штангенциркуль, предпочтительнее с разрешением 0,01 мм.
b) Микрометр (для маленьких гирь).
c) Радиусный шаблон (в качестве альтернативы используют значения по
таблице A.1).
d) Инструменты для работы с гирями (например, лабораторные перчатки, неворсистая ткань, лабораторный пинцет).
e) Хорошо освещенная комната.
| | ИС МЕГАНОРМ: примечание. Нумерация пунктов дана в соответствии с официальным текстом документа. | |
B.7.8.3. Методика измерений
a) Измеряют высоту, диаметры и радиусы, а также размеры любой полости ячейки в соответствии с рисунком B.8.
b) Рассчитывают и добавляют объемы для частей A, B, C и D в соответствии с формулами (B.7.8-1) - (B.7.8-5).
c) Рассчитывают плотность по массе и объему.

; (B.7.8-1)

; (B.7.8-2)

; (B.7.8-3)

; (B.7.8-4)

. (B.7.8-5)
B.7.8.4. Неопределенность измерения метода E
Самая большая составляющая неопределенности обусловлена отклонением действительной формы от математической модели. Для гирь, имеющих форму в соответствии с
Приложением A, диапазон неопределенности составляет от

для больших гирь до

для маленьких гирь. Для гирь с полостями или гирь другой формы неопределенность может быть в два раза больше
[25].
B.7.8.5. Запись результатов
Результаты измерений с указанием метода E определения плотности вносят в протокол, форма которого приведена в международной рекомендации R 111-2.
B.7.9. Метод испытания F (оценка на основании известного состава)
B.7.9.1. Принцип
Большинство гирь изготовлено из одного (из ограниченного числа) сплава. Точное значение плотности зависит от относительной пропорции компонентов каждого сплава. Типичные значения плотности приведены в
таблице B.7.
B.7.9.2. Метод 
Если известно, что поставщик постоянно применяет один и тот же сплав для изготовления гирь определенного класса и его плотность известна из предыдущих испытаний, тогда известная плотность должна быть использована с неопределенностью, составляющей одну треть от неопределенности, приведенной в таблице B.7, для одного и того же сплава.
B.7.9.3. Метод 
Получают у поставщика информацию о составе сплава, из которого изготовлены гири, подлежащие испытанию. Находят значение плотности в справочнике по физике/химии, в котором имеются таблицы плотности, как функции концентрации составляющих элементов. Используют справочное значение плотности и находят значение неопределенности из таблицы B.7. Для гирь классов с

по

значения "оцениваемой плотности" в таблице B.7, приведенной ниже, считают адекватными. Плотность гирь класса точности

, как правило, не учитывают.
Таблица B.7
Метод

- Перечень сплавов, наиболее часто используемых
для изготовления гирь
Сплав/материал | Предполагаемая плотность, кг·м-3 | Неопределенность (k = 2), кг·м-3 |
Платина | 21400 | +/- 150 |
Нейзильбер | 8600 | +/- 170 |
Латунь | 8400 | +/- 170 |
Нержавеющая сталь | 7950 | +/- 140 |
Углеродистая сталь | 7700 | +/- 200 |
Железо | 7800 | +/- 200 |
Чугун (белый) | 7700 | +/- 400 |
Чугун (серый) | 7100 | +/- 600 |
Алюминий | 2700 | +/- 130 |
B.7.9.4. Вычисления
B.7.9.4.1. Плотность гирь с подгоночной полостью
Подгонка гири с плотным материалом внутри полости может также влиять на плотность гири. Если сплав X (плотностью

) составляет x процентов, а подгоночный материал Y (плотностью

) составляет y процентов окончательной массы, то плотность

может быть рассчитана по формуле

. (B.7.9-1)
B.7.9.4.2. Плотность составной гири
По этой же формуле (B.7.9-1) может быть рассчитана результирующая плотность, если две различные составляющие образуют гирю или если две гири с различной плотностью используют в качестве образца. Предпочтительными металлами для изготовления составных частей гирь считают вольфрам

, свинец

, молибден

и олово

.
B.7.9.5. Запись результатов
Результаты измерений с указанием метода F определения плотности вносят в протокол, форма которого приведена в международной рекомендации R 111-2.
B.7.10. Рекомендованные методы для определения плотности
Таблица B.8
Рекомендованные методы определения плотности гирь
Примечания. 1. Плотность, как правило, не учитывают для гирь класса точности

.
2. Чистка должна быть проведена после измерения плотности, если в системе была использована не вода [другие, как правило, используемые жидкости (например, фторуглероды) оставляют осадок, который необходимо удалить с использованием такого растворителя, как спирт].
B.8. Присвоение класса старым и/или специальным гирям, выпущенным до введения в действие настоящего стандарта
B.8.1. Сфера применения
Этот раздел посвящен гирям, выпущенным до введения в действие настоящего стандарта, или гирям, которые имеют особую конструкцию или нестандартные номинальные значения, так как они были созданы для уникального применения.
B.8.1.1. Для гирь, выпущенных до введения в действие настоящего стандарта, и/или специальных гирь допускаются определенные исключения относительно их формы и шероховатости поверхности, но они подчиняются требованиям B.8.2 и
B.8.3. Следует уделить особое внимание старым гирям, особенно в случаях, когда имеется подробная документация о стабильности гирь. Тем не менее, кроме особых исключений, допускаемых в B.8.2 и
B.8.3, к ним применимы все другие требования в соответствии с настоящим стандартом.
B.8.1.2. В соответствии с настоящим разделом старым и/или специальным гирям может быть присвоен один из классов от

до

. Как правило, достаточно классифицировать гирю только один раз. Последующие повторные калибровки подчиняются допускам и условиям для соответствующего класса.
B.8.2. Исключения, касающиеся шероховатости поверхности
В соответствии с
11.1.2 настоящего стандарта:
Визуальной проверки может быть достаточно, за исключением случаев, когда возникают сомнения или споры. В таких случаях необходимо использовать значения, приведенные в
таблице 6. Значение максимальной шероховатости поверхности, допускаемой для гирь номинальной массой более 50 кг, должно быть в два раза больше значений, приведенных в
таблице 6.
В соответствии с B.5.3.1.2.2,
перечисление 2), индивидуальные царапины не следует учитывать при выполнении измерения шероховатости.
Для гирь, выпущенных до введения в действие настоящего стандарта, и/или специальных гирь шероховатость следует считать приемлемой, если существует адекватная документация, показывающая, что масса гири стабильна, и если значение шероховатости поверхности не превышает в два раза значений по
таблице 6 для соответствующего класса точности.
Для гирь, выпущенных до введения в действие настоящего стандарта, и/или специальных гирь требования
раздела 14 настоящего стандарта считают выполненными, если класс точности отмечен на коробке с гирями. Это относится к классам

,

,

,

и

. В соответствии с
13.4.3 гири класса точности

должны быть маркированы либо как "

", либо как "

".
(обязательное)
КАЛИБРОВКА ГИРИ ИЛИ НАБОРА ГИРЬ
C.1. Область применения
В настоящем Приложении приведено два метода определения условной массы гирь в наборах:
- метод прямого сличения;
- метод подекадной калибровки набора гирь, который подходит только для набора гирь.
Описаны три различных цикла взвешивания, представляющих собой формы взвешивания методом замещения, предназначенного в основном для одночашечных весов.
Перед тем как приступить к определению массы, необходимо знать с достаточной точностью плотность гирь. Кроме того, метрологические характеристики весов и окружающие условия должны быть известны с достаточной точностью при определении массы. В настоящем Приложении приведены формулы для определения условной массы и ее неопределенности.
C.2. Общие требования
C.2.1. Окружающие условия
Калибровка гирь должна быть проведена при стабильных окружающих условиях, при существующем атмосферном давлении и при температуре воздуха, близкой к комнатной температуре. Типичные рекомендованные значения приведены в таблице C.1.
Таблица C.1
Окружающие условия при калибровке (типичные значения,
рекомендованные для получения положительных результатов)
Класс точности гири | Изменение температуры при калибровке |
E1 | +/- 0,3 °C в час с максимумом +/- 0,5 °C за 12 ч |
E2 | +/- 0,7 °C в час с максимумом +/- 1 °C за 12 ч |
F1 | +/- 1,5 °C в час с максимумом +/- 2 °C за 12 ч |
F2 | +/- 2 °C в час с максимумом +/- 3,5 °C за 12 ч |
M1 | +/- 3 °C в час с максимумом +/- 5 °C за 12 ч |
Класс точности гири | Диапазон относительной влажности воздуха |
E1 | От 40% до 60% с максимумом +/- 5% за 4 ч |
E2 | От 40% до 60% с максимумом +/- 10% за 4 ч |
F | От 40% до 60% с максимумом +/- 15% за 4 ч |
Примечания. 1. Также важно, чтобы разница между температурами гирь и воздуха в компараторе массы была как можно меньшей. Для этого до проведения измерений испытуемую и эталонную гири помещают рядом с компаратором или внутри витрины компаратора (при ее наличии).
2. Термостабилизация компаратора (весов) и гирь (см.
B.4.3) также требует соответствующей температурной стабильности в лаборатории за 24 ч до начала калибровки.
3. Верхний предел особенно важен при хранении гирь.
C.2.1.1. Для гирь классов

и

температура воздуха в весовой комнате должна быть от 18 °C до 27 °C. Окружающие условия должны соответствовать условиям работы весов, указанным в руководстве по эксплуатации.
C.2.1.2. Если плотность воздуха

во время измерений отличается от нормальной плотности воздуха

более чем на 10%, то определяют значение массы гири
m, а значение условной массы гири

вычисляют из значения массы гири
m.
C.2.2. Весы
Метрологические характеристики используемых весов должны быть известны из более ранних измерений, и их разрешение
(действительный интервал шкалы), линейность, сходимость и неопределенность от нецентрального положения нагрузки (см.
C.6.4) должны обеспечивать требуемую неопределенность результатов.
C.2.3. Эталонные гири
Эталонная гиря должна быть более высокого класса (см.
1.3.1), чем калибруемая гиря. При калибровке гирь класса точности

эталонная гиря должна иметь такие же или лучшие характеристики (магнитные свойства, шероховатость поверхности), чем калибруемая гиря.
C.2.3.1. Должны быть выполнены требования в соответствии с
5.2 и
5.3.
C.3. Схемы сличений
C.3.1. Прямое сличение
Испытуемая гиря должна быть калибрована сличением с одной или более эталонной гирей. При каждом сличении номинальные массы испытуемой и эталонной гирь должны быть равны. Допускается использовать контрольный эталон (см.
2.5) в процессе измерений по
[28].
Примечание. Могут возникнуть особые проблемы при калибровке гирь класса

номинальной массой менее 1 г. Это частично обусловлено относительно большой неопределенностью эталонных гирь в данном диапазоне. Кроме того, нестабильность весов и большие площади поверхности гирь отрицательно влияют на неопределенность измерения. Поэтому настоятельно рекомендуется метод подекадной калибровки для таких гирь.
C.3.2. Подекадная калибровка
Набор гирь допускается калибровать по одной или более эталонной гире в соответствии с
[29],
[30],
[31],
[32]. Метод подекадной калибровки требует проведения нескольких сличений в каждой декаде из набора. При этом сличают различные комбинации гирь с равной общей номинальной массой. Этот метод используют, главным образом, для калибровки наборов гирь класса

, когда требуется наивысшая точность. При использовании в этом методе только одной эталонной гири число уравнений сличений должно быть больше, чем число неизвестных гирь, и должны быть выполнены соответствующие аппроксимирующие вычисления для контроля распространения погрешностей. При использовании более одной эталонной гири число уравнений сличений может быть равно числу неизвестных гирь. В этом случае не требуется никаких дополнительных вычислений. Преимущество такого метода заключается в том, что он предусматривает определенную избыточность, которая вызывает большую достоверность результатов. Однако этот метод требует более сложных математических вычислений по
[29],
[30]. Наиболее распространенные схемы сличения для набора гирь 5, 2, 2*, 1, 1*

приведены в
[30],
[31]:
Таблица C.2
Схема сличений
Эталонная гиря | = | 5 + 2 + 2* + 1 |
Эталонная гиря | = | 5 + 2 + 2* + 1* |
5 | = | 2 + 2* + 1 |
5 | = | 2 + 2* + 1* |
2 + 1 | = | 2* + 1* |
2 + 1 | = | 2* + 1* |
2 + 1* | = | 2* + 1 |
2 + 1* | = | 2* + 1 |
2 | = | 1 + 1* |
2 | = | 1 + 1* |
2* | = | 1 + 1* |
2* | = | 1 + 1* |
В этом примере эталонная гиря должна иметь номинальное значение 10

, где 2* может быть любой комбинацией масс, объединенных для образования номинального значения 2. Гиря 1* может быть комбинацией гирь

, или она может быть контрольным эталоном (см.
2.5). Некоторые сличения должны быть дублированы для упрощения вычислений. Приведенную выше схему сличений, как правило, применяют только тогда, когда один и тот же компаратор (весы) используют во всех сличениях.
C.4. Циклы взвешиваний
В C.4.1 и
C.4.2 приведены примеры трех различных циклов для единичного сличения.
Примечание. Могут быть применены и другие методы замещения и циклы взвешивания. В частности, при использовании взаимозависимых циклов взвешивания, т.е.

,

, ..., должна быть оценена неопределенность путем рассмотрения членов ковариационной матрицы, а формула, приведенная в
C.6.1, должна быть скорректирована соответствующим образом по
[33].
В циклах взвешивания: A - эталонная гиря, B - поверяемая гиря или сумма поверяемых гирь при калибровке набора. При калибровке гирь классов E и F, как правило, применяют циклы ABBA и ABA.
Цикл

часто используется при калибровке гирь класса M, но не рекомендуется для гирь классов E и F. Однако при использовании компаратора массы с автоматическим механизмом замены гирь при установке системы в защитном кожухе это сличение также допускается применять для калибровок гирь классов E и F.
Для подекадной калибровки набора гирь применяют только циклы ABBA и ABA. Может быть использовано более одной эталонной гири. В этом случае цикл взвешивания может быть применен для каждой эталонной гири по отдельности. Затем эталонные гири могут быть сличены одна с другой.
C.4.1. Сличение испытуемой гири с одной эталонной гирей (рекомендуется для гирь классов E и F)
Допускается использовать различные циклы взвешивания по
[34]. Для сличения двух гирь применяют циклы ABBA и ABA. Сличения при использовании этих циклов позволяют устранить линейный дрейф.
Цикл

:

, (C.4.1-1)
где i = 1, ..., n.
Цикл

:

, (C.4.1-2)
где i = 1, ..., n;
n - число циклов взвешиваний;
r и t - подстрочные символы для обозначения эталонной и испытуемой гирь соответственно;

- разность показаний в
i-м цикле взвешиваний.
Значения i приведены в таком порядке, в котором гири должны быть помещены на чашку весов.
C.4.1.1. При использовании любого из приведенных выше циклов взвешивания промежутки времени между нагружениями компаратора должны быть всегда примерно одинаковыми.
C.4.1.2. При необходимости определения чувствительности весов
(механических) во время процесса взвешивания цикл ABBA может быть преобразован:

, где

- гиря для определения чувствительности.
C.4.2. Сличение нескольких испытуемых гирь с одинаковой номинальной массой с одной эталонной гирей (цикл
)
Если необходимо одновременно калибровать несколько испытуемых гирь

с одинаковой номинальной массой, цикл ABA допускается преобразовать в

, как представлено ниже:
Цикл

:

,
где i = 1, ..., n;

, (C.4.2-1)
где i = 1, ..., n.
Если дрейф показаний весов мал, т.е. менее или равен одной трети требуемой неопределенности, нет необходимости менять порядок испытуемых гирь в цикле

при повторении циклов взвешиваний.
Число гирь должно быть не более шести (

).
C.4.3. Число циклов взвешивания
Число циклов взвешивания
n выбирают с учетом требований к неопределенности, сходимости и воспроизводимости измерений. Минимальное число циклов взвешивания, проводимых для классов с

по

, представлено в таблице C.3.
Таблица C.3
Минимальное число циклов взвешивания
Класс точности | Минимальное число циклов | Класс точности | Минимальное число циклов |
ABBA | ABA | AB1...BnA | ABBA | ABA | AB1...BnA |
E1 | 3 | 5 | 5 | F1 | 1 | 2 | 2 |
F2 | 1 | 1 | 1 |
E2 | 2 | 3 | 3 | M1, M2, M3 | 1 | 1 | 1 |
C.5. Обработка результатов сличений
C.5.1. Среднее значение результата измерений разности масс сличаемых гирь - одна испытуемая гиря
При использовании циклов ABBA и ABA результат измерения разности условных масс

между испытуемой гирей и эталонной гирей
i-го цикла составляет:

; (C.5.1-1)

, (C.5.1-2)
где

. (C.5.1-3)
Среднее значение результата измерений разности масс сличаемых гирь для n циклов составляет:

. (C.5.1-4)
C.5.1.1. Если плотности

или

гирь не известны, но известен материал, следует использовать соответствующую плотность из
таблицы B.7. Если только известно, что плотность гири находится в допустимых пределах, то используют значение плотности материала, равное

.
C.5.1.2. Если оценено, что поправка на действие выталкивающей силы воздуха пренебрежимо мала, т.е. если выполнено неравенство

, (C.5.1-5)
то вышеуказанную поправку

допускается не учитывать. Однако составляющая неопределенности C может не быть пренебрежимо малой (см.
C.6.3.1). Если имеется лишь среднее или единственное значение плотности воздуха, поправка на действие выталкивающей силы воздуха

может быть введена после усреднения результатов измерений.
C.5.2. Среднее значение результата измерений разности масс сличаемых гирь - несколько испытуемых гирь
Если одновременно калибруют несколько испытуемых гирь в соответствии с циклом взвешивания

, среднее значение разности массы для гири
j вычисляют по
формуле (C.5.1-4) путем замены

на

в
формуле (C.5.1-2).
C.5.3. Среднее значение результата измерений разности масс сличаемых гирь - несколько серий измерений
Если существует несколько идентичных серий измерений (
J) со средними значениями

и с приблизительно равными средними квадратическими отклонениями, среднее значение всех измерений составляет:

. (C.5.3-1)
C.5.3.1. Несколько серий измерений, как правило, выполняют только при калибровке гирь класса E, когда необходимо исследовать воспроизводимость взвешиваний.
C.5.4. Условная масса испытуемой гири
Условную массу испытуемой гири находят по формуле

. (C.5.4-1)
C.5.4.1. При проверке условная масса эталонной гири не всегда известна. В этом случае следует использовать ее номинальное значение.
C.6. Вычисления неопределенностей
Вычисления неопределенностей основаны на
[7] и соответствующем документе
[35]. В работах
[28],
[29],
[30],
[31] и
[36] приведены вычисления неопределенностей, используемые для сличения масс. Неопределенность оценивают по методу оценки: либо по типу A, либо по типу B. Оценка по типу A основана на статистическом анализе серии измерений, в то время как оценка по типу B основана на априорных знаниях.
C.6.1. Стандартная неопределенность процесса взвешивания
(тип A)
Стандартная неопределенность

представляет собой среднее квадратическое отклонение разности масс. Для
n циклов измерений:

, (C.6.1-1)
где

определено ниже для гирь различных классов.
C.6.1.1. Для классов

,

,

и

используют циклы ABBA, ABA или

. Для этих классов точности, если среднее квадратическое отклонение измерений разности масс не известно, его можно оценить как

, (C.6.1-2)
из

циклов измерений.
Среднее квадратическое отклонение может быть также рассчитано в соответствии с C.6.1.2.
C.6.1.2. Для гирь классов

,

и

дисперсию разности масс

процесса взвешивания

оценивают по
n циклам измерений по формуле

(C.6.1-3)
с числом степеней свободы n - 1.
C.6.1.3. При выполнении небольшого числа измерений оценка

может быть ненадежной. В этом случае следует использовать суммарную оценку, полученную из результатов измерений, выполненных ранее в подобных условиях [см.
D.1.2 (Приложение D)]. В противном случае
n должно быть не менее пяти.
C.6.1.4. В случае серии измерений (где
J > 1) дисперсию

вычисляют путем сложения всех оценок

серий
J, так что:

(C.6.1-4)
с числом степеней свободы
J(
n - 1) [
D.2 (Приложение D)].
Примечание. Подстрочный символ "
j" добавляют к

, чтобы различать средние квадратические отклонения для каждой серии.
C.6.2. Неопределенность эталонной гири
(тип B)
Стандартную неопределенность

массы эталонной гири вычисляют, используя сведения, приведенные в сертификате о калибровке
(свидетельстве о поверке), путем деления расширенной неопределенности
U на коэффициент охвата
k (как правило,
k = 2) и сложения с неопределенностью, обусловленной нестабильностью массы эталонной гири

:

. (C.6.2-1)
Неопределенность, обусловленная нестабильностью эталонной гири

, может быть оценена по наблюдаемым изменениям массы после того, как эталонная гиря была калибрована несколько раз. Если значения предшествующих калибровок отсутствуют, оценка неопределенности должна быть выполнена на основании опыта.
C.6.2.1. Если проверенную гирю

или более низкого класса точности используют в качестве эталонной гири и сопровождают сертификатом
(свидетельством), в котором не указаны ее масса и неопределенность, то неопределенность может быть оценена исходя из пределов допускаемой погрешности

данного конкретного класса точности:

. (C.6.2-2)
C.6.2.2. Если для сличения используют комбинацию эталонных гирь, а их ковариации неизвестны, допускается предположить коэффициент корреляции равным 1
[37]. Это приведет к арифметическому суммированию неопределенностей:

, (C.6.2-3)
где

- стандартная неопределенность
i-й эталонной гири.
Это максимальное значение неопределенности при использовании суммы эталонных гирь.
C.6.3. Неопределенность поправки на выталкивающую силу воздуха
(тип B)
Неопределенность поправки на действие выталкивающей силы воздуха может быть рассчитана по формуле
[38]
где

- плотность воздуха во время (предыдущей) калибровки эталонной гири с использованием эталонной гири более высокого разряда.
При использовании формулы (C.6.3-1) следует убедиться, что в нее включено то же значение неопределенности плотности эталонной гири

, которое было применено при вычислении неопределенности предыдущей калибровки.

неопределенность невозможно выбрать произвольно.
C.6.3.1. Даже если поправка на выталкивающую силу воздуха пренебрежимо мала (см.
C.5.1.2), составляющая неопределенности от действия выталкивающей силы не может быть пренебрежимо малой и должна быть учтена, если

(см. формулу (C.6.3-1)).
C.6.3.2. Для классов

,

и

неопределенность, обусловленная поправкой на действие выталкивающей силы воздуха, пренебрежимо мала, и ее, как правило, не учитывают.
C.6.3.3. Для классов

и

плотности гирь должны быть известны с достаточной точностью (см.
таблицу 5).
C.6.3.4. Если плотность воздуха не измеряют, а используют среднюю плотность воздуха для данной местности, тогда неопределенность плотности воздуха должна быть оценена как

. (C.6.3-2)
Может быть использовано более низкое значение неопределенности, если представлены подтверждающие данные.
На уровне моря плотность воздуха предполагается равной

.
C.6.3.5. Для гирь класса точности E плотность воздуха должна быть определена. Ее неопределенность, как правило, оценивают по неопределенностям температуры, давления и влажности воздуха. Для класса точности

формула МКМВ (1981/91)
[3] (Приложение E) или аппроксимация может быть использована для вычисления плотности воздуха (см.
Приложение E).
C.6.3.6. Дисперсия плотности воздуха

. (C.6.3-3)
При относительной влажности

, температуре 20 °C и давлении 101325 Па используют приблизительно следующие числовые значения:

, (для формулы МКМВ

);

;

;

,
где hr - относительная влажность как доля влаги.
C.6.3.7. Плотность эталонной гири

и ее неопределенность должны быть известны из сертификата о калибровке
(свидетельства о поверке).
C.6.3.8. Для гирь класса точности

плотность

не всегда известна, поэтому она должна либо быть измерена, либо взята из
таблицы B.7 [см. B.7.9.3 (Приложение B)].
C.6.4. Неопределенность весов
(тип B)
C.6.4.1. Неопределенность, обусловленная испытанием весов и компараторов масс
Рекомендованный метод определения этой составляющей заключается в испытании весов и компараторов массы с надлежащим временными интервалами и использовании результатов испытания при вычислениях неопределенностей. При калибровке гирь класса

рекомендуется выполнить несколько измерений в процессе испытания в разное время, с целью гарантировать, что существует достаточно информации о неопределенности во время измерения.
C.6.4.2. Неопределенность, обусловленная чувствительностью весов
Если весы калибруют с использованием гири (или гирь) для определения чувствительности массой

и со стандартной неопределенностью

, составляющую неопределенности, обусловленную чувствительностью, находят по формуле

, (C.6.4-1)
где

- изменение показаний весов, обусловленное гирей для определения чувствительности;

- неопределенность

;

- среднее значение разности масс сличаемых гирь.
Если чувствительность не постоянна по времени, температуре и нагрузке, ее изменение необходимо включить в неопределенность.
C.6.4.3. Неопределенность, обусловленная разрешением дисплея цифровых весов
Для весов с цифровым отсчетным устройством с действительным интервалом шкалы d неопределенность, обусловленная разрешением

. (C.6.4-2)
Коэффициент

получают из двух показаний: одно - при использовании эталонной гири, а другое - при использовании испытуемой гири.
C.6.4.4. Неопределенность, обусловленная нецентральным положением нагрузки на грузоприемной платформе
Если известно, что данная составляющая значима, ее значение должно быть оценено, и, если необходимо, составляющая должна быть включена в бюджет неопределенности.
C.6.4.4.1. Приемлемое решение для неопределенности, обусловленной нецентральным положением нагрузки на грузоприемной платформе:

, (C.6.4-3)
где D - разность между максимальным и минимальным значениями, полученными в результате испытания на нецентральное положение нагрузки на грузоприемной платформе, выполненного в соответствии с международной рекомендацией МОЗМ МР 76-2 [OILM R 76-2 (далее - R 76-2)] "Весы неавтоматического действия. Часть 2. Формы протоколов испытаний";

- оцененное расстояние между центрами гирь;

- расстояние от центра чашки до одного из углов.
В большинстве случаев составляющей неопределенности

процесса взвешивания

(см.
6.1) допускается пренебречь.
C.6.4.4.2. При использовании компаратора с механизмом автоматической замены гирь разность показаний

между двумя гирями может быть различной, когда положения взаимозаменяемые:

. Это может быть объяснено как погрешность от нецентрального положения нагрузки на грузоприемной платформе, и соответствующая неопределенность должна быть оценена с использованием формулы (C.6.4-4). Эту составляющую неопределенности используют, если она известна из предыдущих измерений взаимозаменяемых гирь с одинаковым номинальным значением. В случаях, когда взаимную замену выполняют во время процедуры калибровки, среднее арифметическое двух разностей показаний должно быть принято как результат взвешивания, а составляющей неопределенности

допускается пренебречь.

. (C.6.4-4)
Примечание. Математическая основа формулы (C.6.4-4) та же, что и формулы (15), и примечания 6 в
[3].
C.6.4.5. Неопределенность, обусловленная магнетизмом 
Если гиря обладает высокой магнитной восприимчивостью и/или намагничена, магнитное взаимодействие часто допускается уменьшить, поместив немагнитную прокладку между гирей и грузоприемной платформой. Если гири удовлетворяют требованиям настоящего стандарта, допускается предположить, что неопределенность, обусловленная магнетизмом

, равна нулю.
C.6.4.6. Суммарная стандартная неопределенность компаратора 
Суммарную стандартную неопределенность компаратора

находят по формуле

. (C.6.4-5)
C.6.5. Расширенная неопределенность 
Суммарную стандартную неопределенность условной массы испытуемой гири

находят по формуле

. (C.6.5-1)
Если поправку на действие выталкивающей силы

не учитывают
(C.5.1.2), то в формулу (C.6.5-1) необходимо добавить соответствующую составляющую для неучтенного значения поправки на действие выталкивающей силы

в дополнение к

(см. формулу (15) и примечание 6 в
[3]):

. (C.6.5-2)
Расширенную неопределенность

условной массы испытуемой гири находят по формуле

. (C.6.5-3)
C.6.5.1. При доверительной вероятности 0,95 используют коэффициент охвата
k = 2. Однако если суммарное среднее квадратическое отклонение процесса взвешивания неизвестно и число измерений невозможно увеличить до 10 (как для очень больших гирь и длительных процедур взвешивания), а неопределенность

- доминирующая составляющая при расчете неопределенности, т.е.

, тогда коэффициент охвата
k должен быть рассчитан по
t-распределению, предполагающему доверительный уровень 95,5% и эффективные степени свободы

(как рассчитано по формуле Велча-Саттертвейта
[35]). Коэффициент охвата
k для различного числа степеней свободы

приведен в таблице C.4. При допущении, что оценки неопределенности по типу B консервативны с бесконечным числом степеней свободы, формула принимает вид:

. (C.6.5-4)
Более подробно см. в
[8].
Таблица C.4
Коэффициент охвата k для различного
числа степеней свободы

Число степеней свободы  | Коэффициент охвата k | Число степеней свободы  | Коэффициент охвата k |
1 | 13,97 | 6 | 2,52 |
2 | 4,53 | 8 | 2,37 |
3 | 3,31 | 10 | 2,28 |
4 | 2,87 | 20 | 2,13 |
5 | 2,65 | | 2,00 |
(справочное)
СТАТИСТИЧЕСКИЙ КОНТРОЛЬ
D.1. Контрольный эталон
D.1.1. Контрольный эталон, как правило, представляет собой гирю такого же типа и такой же номинальной массы, как у калибруемой испытуемой гири. Его включают в схему сличений как "неизвестную" гирю. Процедура контроля эффективнее при использовании сличений, где контрольный эталон может быть легко введен в схему как неизвестная гиря. Например, для испытуемых гирь с обозначениями 5, 2, 2, 1 контрольный эталон с обозначением 1 будет введен в схему сличения таким образом, чтобы калибруемыми гирями были гири 5, 2, 2, 1, 1. Для килограммовых гирь, калибруемых по двум образцовым килограммам по схеме 1, 1, 1, 1, разность массы между двумя эталонными гирями может быть использована для контроля.
D.1.2. Цель применения контрольного эталона заключается в подтверждении добротности отдельных калибровок. Для этой цели требуются данные о значениях контрольного эталона во времени. Принятое значение разности массы

для контрольного эталона (как правило, среднее арифметическое) вычисляют по ранее полученным данным и основывают, по крайней мере, на результатах 10 - 15 измерений. Значение массы эталона для контроля для любой новой калибровки

проверяют на соответствие принятому значению с использованием метода статистического контроля. Проверка основана на
t-статистике:

, (D.1.2-1)
где
S - среднее квадратическое отклонение
для n ранее полученных значений массы, со степенями свободы

, оцениваемое по формуле

. (D.1.2-2)
Считают, что процесс калибровки находится под контролем, если:
t <= критического значения
t-распределения Стьюдента с

степенями свободы.
D.1.3. Критические значения, которые зависят от степеней свободы при определении
S, показаны в таблице D.1 для двустороннего критерия с уровнем значимости

. Если степени свободы большие (> 15), будет приемлемым использовать коэффициент 2 вместо критического значения из таблицы. Если полагают, что калибровка вышла из-под контроля проверки по критерию Стьюдента, тогда необходимо выяснить причину и устранить ее перед тем, как сообщать о результатах калибровки. Этот критерий имеет большое значение для выявления аномалий или резких сдвигов в средней величине процесса, включая изменения значения эталонной гири, порядка двух и более средних квадратических отклонений. Критерий неэффективен против небольших изменений от половины до одного среднего квадратического отклонения либо против плавного дрейфа.
Таблица D.1
Критические значения t-распределения Стьюдента
для двустороннего критерия с

(

- степени свободы)
| Критическое значение | | Критическое значение | | Критическое значение | | Критическое значение | | Критическое значение |
1 | 12,706 | 11 | 2,201 | 21 | 2,080 | 31 | 2,040 | 41 | 2,020 |
2 | 4,303 | 12 | 2,179 | 22 | 2,074 | 32 | 2,037 | 42 | 2,018 |
3 | 3,182 | 13 | 2,160 | 23 | 2,069 | 33 | 2,035 | 43 | 2,017 |
4 | 2,776 | 14 | 2,145 | 24 | 2,064 | 34 | 2,032 | 44 | 2,015 |
5 | 2,571 | 15 | 2,131 | 25 | 2,060 | 35 | 2,030 | 45 | 2,014 |
6 | 2,447 | 16 | 2,120 | 26 | 2,056 | 36 | 2,028 | 46 | 2,013 |
7 | 2,365 | 17 | 2,110 | 27 | 2,052 | 37 | 2,026 | 47 | 2,012 |
8 | 2,306 | 18 | 2,101 | 28 | 2,048 | 38 | 2,024 | 48 | 2,011 |
9 | 2,262 | 19 | 2,093 | 29 | 2,045 | 39 | 2,023 | 49 | 2,010 |
10 | 2,228 | 20 | 2,086 | 30 | 2,042 | 40 | 2,021 | 50 | 2,009 |
D.1.4. Принятое значение контрольного эталона обновляется по мере накопления данных о нем. Допускается следовать нескольким методам, однако данные должны быть всегда нанесены на график и проверены на дрейф или изменение. Значение контрольного эталона изменилось со "старого" значения

на "новое" значение

, базирующееся на последних 10 - 15 измерениях, если

, (D.1.4-1)
где
J и
K - число, соответственно, "старых" и "новых" измерений, и

.
Точность весов допускается также контролировать с использованием метода статистического контроля. Остаточное среднее квадратическое отклонение из схемы сличений или среднее квадратическое отклонение повторных измерений с одиночной гирей служит основой для критерия. Критерий может быть рассчитан исходя из ранее полученных данных значения среднего квадратического отклонения. Если по историческим данным существуют
m стандартных отклонений

, то суммарное стандартное отклонение

, (D.2-1)
считают наилучшей оценкой стандартного отклонения весов. Приведенное выше уравнение предполагает, что отдельные стандартные отклонения имеют

степени свободы, и в этом случае суммарное стандартное отклонение имеет степени свободы

. Для каждой новой схемы или серии измерений стандартное отклонение

может быть проверено по суммарному значению. Статистика, лежащая в основе критерия:

. (D.2-2)
D.2.1. Как правило, проверяют только ухудшение точности. Считают, что точность компаратора находится под контролем, если:
F <= критического значения из F-распределения
с

степенями свободы для

и степенями свободы

для

. Критические значения
F для одностороннего критерия с уровнем значимости

приведены в таблице D.2. Если полагают, что стандартное отклонение ухудшилось, тогда должна быть выяснена и устранена причина этого.
Таблица D.2
Критические значения распределения F для одностороннего
критерия (

- степени свободы) не превышают

при уровне значимости

F | |
1 | 2 | 3 | 4 | 5 | 6 | 7 | 8 | 9 | 10 |
1 | 161,448 | 19,000 | 9,277 | 6,388 | 5,050 | 4,284 | 3,787 | 3,438 | 3,179 | 2,978 |
2 | 18,513 | 6,944 | 4,757 | 3,838 | 3,326 | 2,996 | 2,764 | 2,591 | 2,456 | 2,348 |
3 | 10,128 | 5,143 | 3,863 | 3,259 | 2,901 | 2,661 | 2,488 | 2,355 | 2,250 | 2,165 |
4 | 7,709 | 4,459 | 3,490 | 3,007 | 2,711 | 2,508 | 2,359 | 2,244 | 2,153 | 2,077 |
5 | 6,608 | 4,103 | 3,287 | 2,866 | 2,603 | 2,421 | 2,285 | 2,180 | 2,096 | 2,026 |
6 | 5,987 | 3,885 | 3,160 | 2,776 | 2,534 | 2,364 | 2,237 | 2,138 | 2,059 | 1,993 |
7 | 5,591 | 3,739 | 3,072 | 2,714 | 2,485 | 2,324 | 2,203 | 2,109 | 2,032 | 1,969 |
8 | 5,318 | 3,634 | 3,009 | 2,668 | 2,449 | 2,295 | 2,178 | 2,087 | 2,013 | 1,951 |
9 | 5,117 | 3,555 | 2,960 | 2,634 | 2,422 | 2,272 | 2,159 | 2,070 | 1,998 | 1,938 |
10 | 4,965 | 3,493 | 2,922 | 2,606 | 2,400 | 2,254 | 2,143 | 2,056 | 1,986 | 1,927 |
11 | 4,844 | 3,443 | 2,892 | 2,584 | 2,383 | 2,239 | 2,131 | 2,045 | 1,976 | 1,918 |
12 | 4,747 | 3,403 | 2,866 | 2,565 | 2,368 | 2,227 | 2,121 | 2,036 | 1,968 | 1,910 |
13 | 4,667 | 3,369 | 2,845 | 2,550 | 2,356 | 2,217 | 2,112 | 2,029 | 1,961 | 1,904 |
14 | 4,600 | 3,340 | 2,827 | 2,537 | 2,346 | 2,209 | 2,104 | 2,022 | 1,955 | 1,899 |
15 | 4,543 | 3,316 | 2,812 | 2,525 | 2,337 | 2,201 | 2,098 | 2,016 | 1,950 | 1,894 |
16 | 4,494 | 3,295 | 2,798 | 2,515 | 2,329 | 2,195 | 2,092 | 2,011 | 1,945 | 1,890 |
17 | 4,451 | 3,276 | 2,786 | 2,507 | 2,322 | 2,189 | 2,087 | 2,007 | 1,942 | 1,887 |
18 | 4,414 | 3,259 | 2,776 | 2,499 | 2,316 | 2,184 | 2,083 | 2,003 | 1,938 | 1,884 |
19 | 4,381 | 3,245 | 2,766 | 2,492 | 2,310 | 2,179 | 2,079 | 2,000 | 1,935 | 1,881 |
20 | 4,351 | 3,232 | 2,758 | 2,486 | 2,305 | 2,175 | 2,076 | 1,997 | 1,932 | 1,878 |
30 | 4,171 | 3,150 | 2,706 | 2,447 | 2,274 | 2,149 | 2,053 | 1,977 | 1,915 | 1,862 |
40 | 4,085 | 3,111 | 2,680 | 2,428 | 2,259 | 2,136 | 2,042 | 1,967 | 1,906 | 1,854 |
50 | 4,034 | 3,087 | 2,665 | 2,417 | 2,250 | 2,129 | 2,036 | 1,962 | 1,901 | 1,850 |
60 | 4,001 | 3,072 | 2,655 | 2,409 | 2,244 | 2,124 | 2,031 | 1,958 | 1,897 | 1,846 |
70 | 3,978 | 3,061 | 2,648 | 2,404 | 2,240 | 2,120 | 2,028 | 1,955 | 1,895 | 1,844 |
80 | 3,960 | 3,053 | 2,642 | 2,400 | 2,237 | 2,117 | 2,026 | 1,953 | 1,893 | 1,843 |
90 | 3,947 | 3,046 | 2,638 | 2,397 | 2,234 | 2,115 | 2,024 | 1,951 | 1,891 | 1,841 |
100 | 3,936 | 3,041 | 2,635 | 2,394 | 2,232 | 2,114 | 2,023 | 1,950 | 1,890 | 1,840 |
| 3,841 | 2,996 | 2,605 | 2,372 | 2,214 | 2,099 | 2,010 | 1,938 | 1,880 | 1,831 |
(справочное)
ФОРМУЛА МКМВ И ПРИБЛИЖЕННАЯ ФОРМУЛА
В 1981 г. Международный комитет мер и весов (МКМВ) в соответствии с
[39] рекомендовал следующее уравнение для определения плотности влажного воздуха

:

, (E.1-1)
где p - давление;

- молярная масса сухого воздуха;
Z - сжимаемость;
R - молярная газовая постоянная;
T - термодинамическая температура по МТШ-90;

- молярная масса водяного пара;

- молярная масса воды.
Эта формула стала известна как уравнение МКМВ-81. С момента ее опубликования в 1981 г. было внесено несколько изменений в рекомендованные значения используемых констант. Формула в настоящее время называется "уравнением для определения плотности влажного воздуха 1981/91" или "уравнением 1981/91", после того как Консультативный комитет по массе (CCM) на своем заседании в 1991 г. внес несколько поправок в константы, используемые в данной формуле.
E.2. Константы
E.2.1. Молярная масса сухого воздуха 
Молярная масса сухого воздуха

может быть рассчитана, с использованием

как молярной доли оксида углерода, следующим образом:

. (E.2.1-1)
Таблица E.1
Рекомендованное значение для

при

Константа | Рекомендованное значение 1991 г. | Единица |
| 3,48349 | 10-3 кг·кДж-1 |
E.2.2. Молярная масса водяного пара 
Молярную массу водяного пара

как функцию относительной влажности
hr или точки росы

, коэффициента усиления
f и давления насыщенного пара влажного воздуха

находят по формуле

, (E.2.2-1)
где hr - относительная влажность, выраженная как доля;
p - давление;
t - температура в градусах Цельсия;

- давление насыщенного пара влажного воздуха;

- точка росы.
E.2.2.1. Давление насыщенного пара влажного воздуха

находят по формуле

, (E.2.2-2)
где A, B, C и D - константы для расчета давления пара при насыщении. Рекомендованные значения констант приведены в таблице E.2.
Таблица E.2
Рекомендованные значения констант A, B, C и D
Константа | Рекомендованное значение 1991 г. | Единица |
A | 1,2378847 | 10-5·К-2 |
B | -1,9121316 | 10-2·К-1 |
C | 33,93711047 | - |
D | -6,3431645 | 103·К |
E.2.2.2. Коэффициент усиления f
Коэффициент усиления
f является функцией трех констант

и температуры
t в градусах Цельсия. Коэффициент находят по формуле

. (E.2.2-3)
Таблица E.3
Рекомендованные значения констант

Константа | Рекомендованное значение 1991 г. | Единица |
| 1,00062 | - |
| 4,14 | 10-8 Па-1 |
| 5,6 | 10-7 К-2 |
E.2.3. Коэффициент сжимаемости Z
Коэффициент сжимаемости Z находят по формуле

. (E.2.3-1)
Таблица E.4
Рекомендованные значения констант

Константа | Рекомендованное значение 1991 г. | Единица |
| 1,58123 | 10-6 К·Па-1 |
| -2,9331 | 10-8·Па-1 |
| 1,1043 | 10-10·К-1·Па-1 |
b0 | 5,707 | 10-6·К·Па-1 |
b1 | -2,051 | 10-8·Па-1 |
c0 | 1,9898 | 10-4·К·Па-1 |
c1 | -2,376 | 10-6·Па-1 |
d | 1,83 | 10-11·К2·Па-2 |
e | -0,765 | 10-8·К2·Па-2 |
E.3. Приближенная формула для расчета плотности воздуха
Наиболее точной формулой для расчета плотности воздуха является формула МКМВ (1981/91) по
[39].
Значение плотности воздуха, кг/м3, во время измерений может быть вычислено также по приближенной формуле

, (E.3-1)
где P - атмосферное давление, мбар или гПа;
hr - относительная влажность, %;
t - температура окружающего воздуха, °C.
Если 900 мбар <=
P <= 1100 мбар, 15 °C <=
t <= 25 °C и
hr <= 80%, то относительная неопределенность определения плотности воздуха, вычисленная по
формуле (E.3-1), не превышает

.
Для гирь класса точности

плотность воздуха всегда определяют на основе соответствующих измерений. Если лаборатория не располагает приборами для измерения параметров окружающей среды, то значение плотности воздуха допускается вычислить по формуле

, (E.3-2)
где

;

- нормальная плотность воздуха,

;
g = 9,81 м/с2 - ускорение свободного падения;
h - высота над уровнем моря, м.
При этом необходимо знать значение высоты над уровнем моря h, где расположена лаборатория.
| International Vocabulary of Basic and General Terms in Metrology (VIM) 1993, ISO | (Международный словарь основополагающих терминов в метрологии) |
| International Vocabulary of Terms in Legal Metrology (VIML) (2000), OIML | (Международный словарь терминов в законодательной метрологии) |
| OIML D 28 | Conventional value of the result of weighing in air (2004) (D 28 was previosly published as OIML R 33) (Условное значение результата взвешивания в воздухе) |
| ISO 4287:1997 | Geometrical product specifications (GPS) - Surface texture: Profile method - Terms, definition, and surface parameters (Геометрические характеристики изделий (GPS). Структура поверхности. Профильный метод. Термины. Определения и параметры структуры) |
| ISO/IEC Guide 2:2004 <*> | Standartization and related activities - General vocabulary (Стандартизация и смежные виды деятельности. Общий словарь) |
-------------------------------- <*> Действует взамен ISO/IEC Guide 2:1996. |
| Davis, R.S., "Determining the magnetic properties of 1 kg mass standards" J. Res. National Institute of Standards and Technology (USA), 100, 209-25, May - June 1995; Errata, 109, 303, March - April 2004 |
| Guide to the expression of uncertainty in measurement (GUM), first edition, 1993, corrected and reprinted 1995, ISO | (Руководства по выражению неопределенности измерения) |
| Myklebust T.,  H., Lau P., Nielsen L. and Riski K., "Testing of weights: Part 3 - Magnetism and convection", OIML Bulletin XXXVIII (1997), pp. 5 - 10 |
|  , M., "Magnetic interactions between weights and weighing instruments" Meas. Sci. Technol. 12 (2001), pp. 709 - 715 |
[10] | ISO 261:1998-ISO general-purpose metric screw threads-General plan | (Резьбы метрические ИСО общего назначения. Общий вид) |
|  , M., "Chang of the apparent mass of weights arising from temperature differences", Metrologia 36 (1999), pp. 183 - 197 |
| Jean M. Bennett and Lars Mattsson, "Introduction to Surface Roughness and Scattering" Optical Society of America (1989) |
| | Geometrical Product Specifications (GPS). Surface texture: Profile method. Measurement standards. Part 1. Material measures (Геометрические параметры продукции (ГПП). Текстура поверхности: профильный метод. Эталоны. Часть 1. Материальные меры) |
| | Geometrical Product Specifications (GPS). Surface texture: Profile method. Measurement standards. Part 2. Software measurement standards (Геометрические характеристики изделий. Текстура поверхности: профильный метод; эталоны. Часть 2. Эталоны программного обеспечения) Calibration specimens - Stylus instruments - Types, calibration and use of specimens (Ed. 1; 20 p; K) (Образцы для калибрования. Щуповые приборы. Типы, калибрование и использование образцов) |
-------------------------------- <*> Действуют взамен ISO 5436:1985. |
| ISO 3274:1996 | Geometrical Product Specifications (GPS) - Surface texture: Profile method - Nominal characteristics of contact (stylus) instruments (Ed. 2; 13 p; G). ISO 3274:1996/Cor 1:1998 (Ed. 1; 1 p;*) (Геометрические характеристики изделий (GPS). Структура поверхности. Профильный метод. Номинальные характеристики контактных (щуповых) приборов) |
| ISO 4288:1996 | Geometrical Product Specifications (GPS) - Surface texture: Profile method - Rules and procedures for the assessment of surface texture (Ed. 2; 8 p; D). ISO 4288:1996/Cor 1:1998 (Ed. 1; 1 p;*) (Геометрические характеристики изделий (GPS). Структура поверхности. Профильный метод. Определение и параметры структуры) |
| Myklebust, T., "Methods to determine magnetic properties of weights and magnetic field and field gradients of weights" National Measurement Service, Norway (1995) |
| Myklebust, T. 1997 "Intercomparison: Measurement of the volume magnetic susceptibility and magnetization of two cylindrical (kg) weights. EUROMET project 324", Justervesenet (NO) |
| Myklebust, T. and Davis, R.S., "Comparison between JV and BIPM to determine the volume susceptibility of one 20 g weight and two 1 g weights", Justervesenet (1996) |
| Myklebust, T. and  , L., "Comparison of two instruments based on attracting method" National Measurement Service, Norway (1995) |
| Ueki, M., Nezu, Y. and Ooiwa, A., "New facility for weight calibration service", Proceedings of the 14th IMEKO World Congress and Bulletin of NRLM vol. 46, No 4, pp. 223 - 228 (1997) |
| Schoonover, R.M. and Davis, R.S., "Quick and Accurate Density Determination of Laboratory Weights". (Proceedings. 8th Conference. IMEKO Technical Committee TC3 on Measurement of Force and Mass, Krakow, Poland. September 9 - 10, 1980) (Paper in "Weighing Technology", pp. 1123 - 1127 (Druk, Zaklad Poligraficzny Wydawnictwa SIGMA, Warsaw, Poland (1980)) |
| Kobata, T., Ueki, M., Nezu, Y., Ooiwa, A., and Ishii, Y., "Characterization of an Acoustic Volume of Weights", Proceedings of 15th IMEKO World Congress (1999) |
| Ueki, M., Kobata, T., Mizushima, S., Nezu, Y. and Ooiwa, A. and Ishii, Y., "Application of an Acoustic Volumeter to Standard Weights", Proceedings of 15th IMEKO World Congress (1999) |
| Bettin, H., Spieweck, E., "Die Dichte des Wassers als Funktioner Temperaturnach infuhrung der Internationalen Temperaturskala von 1990", PTB-Mitt. 1003/90, pp. 195 - 196 |
| Tanaka, M., Girard, G., Davis, R., Peuto, Bignell, N., [NMIJ, BIPM, IMGC, NML], "Recommended table for the density of water between 0 °C and 40 °C based on recent experimental reports", Metrologia, 2001, 38, n°4, pp. 301 - 309 |
| Gorski, W., Toth, H.G., "Destilliertes Wasser als Dichtereferenzmaterial - Die elektrische  als Kriterium seiner Gute" - PTB-Mitt. 98 5/88, pp. 324 - 325 |
| Lau, P., "Weight Volume and Centre of Gravity", SP-AR to be published. (Secretariat is updating this reference (9/6/02)) |
| Croarkin, C., "An Extended Error Model for Comparison Calibration", Metrologia 26, 107 (1989) |
| Schwartz, R. "Guide to mass determination with high accuracy" PTB-Bericht MA-40, Braunschweig (1995). See also Kochsiek, M.,  , M., "Comprehensive Mass Metrology", Wiley, New York, Sec.3.4, "Mass determination with balances" (Roman Schwartz) (2000) |
| Chapman, G.D., "Orthogonal designs for calibrating kilogram submultiples", NRCC25819. 27 April 1995, National Research Council Canada, Canada |
| Morris, E.C., "Decade Design for Weighing of Non-uniform Variance", Metrologia 29, 373 (1992) |
| Cameron, J.M., Croarkin, M.C., Raybold, R.C.R., "Designs for the calibration of standards of mass", NBS TN 952 (1977) |
|  , M., "Cycles of comparison measurements, uncertainties and efficiencies", Meas. Sci. Technol 11 (2000), pp. 20 - 24 |
| Sutton, C.M. and Clarkson, M.T., "A general approach to comparisons in the presence of drift", Metrologia 30, 487 (1993/94) |
| Expression of Uncertainty of Measurement in Calibration, EA-4/02 (1999) |
| Bich, W., Cox, M.G., and Harris, P.M., "Uncertainty modeling in mass comparisons", Metrologia 30, 495 (1993/4) |
| Bich, W., "Covariances and restraints in mass metrology", Metrologia 27, 111 (1990) |
|  , M., "Covariances in the determination of conventional mass", Metrologia 37, 249 - 251 (2000) |
| Davis, R.S., "Equation for the determination of the density of moist air" (1981/91), Metrologia 29, 67 (1992). Giacomo, P., "Equation for the determination of the density of moist air" (1981), Metrologia 18, 33 (1982) |
| Chung, J.W., Ryu, K.S., Davis, R.S. "Uncertainty analysis of the BIPM susceptometer", Metrologia 38 (2001), pp. 553 - 541 |
(рекомендуемое)
(Настоящее дополнительное Приложение, основанное на всех положениях настоящего стандарта, относящихся к поверке гирь, введено для удобства пользования стандартом.)
ДА.1. Область применения
Настоящее Приложение распространяется на гири и наборы гирь по настоящему стандарту, эталонные гири и наборы эталонных гирь по
ГОСТ 8.021, а также на гири и наборы гирь, изготовленные до введения в действие настоящего стандарта, и аналогичные импортные, находящиеся в эксплуатации и относящиеся к сфере государственного контроля и надзора, и устанавливает основные методы и средства их поверки.
ДА.2. Требования безопасности
При проведении поверки должны быть соблюдены общие правила техники безопасности в соответствии с требованиями
ГОСТ 12.2.003, а также требования безопасности и меры предосторожности, указанные в эксплуатационной документации на применяемые средства поверки.
ДА.3. Операции и средства поверки
ДА.3.1. При проведении первичной и периодической поверок должны быть выполнены операции и применены средства поверки, указанные в таблице ДА.1.
Таблица ДА.1
Операции, выполняемые при поверке,
основные и вспомогательные средства поверки
Наименование операции | Наименование основного или вспомогательного средства поверки | Обязательность проведения операции при поверке |
первичной | периодической |
| Визуальный контроль | Да | Да |
2. Определение шероховатости поверхности гирь | Образцы шероховатости по ГОСТ 9378. В соответствии с B.5 (Приложение B) | Да (только визуальный контроль) | Да (только визуальный контроль) |
3. Определение плотности материала гирь | В соответствии с B.7 (Приложение B) | Да (только для гирь класса точности E1) | Нет |
4. Проверка магнитной восприимчивости | В соответствии с B.6 (Приложение B) | Да (только для гирь классов точности E и F) | Нет |
5. Проверка остаточной намагниченности | В соответствии с B.6 (Приложение B) | Да | Да в случае сомнения |
6. Определение условной массы гирь | Эталоны-копии; рабочие эталоны (РЭ); эталонные гири 1а, 1, 2, 3, 4-го разрядов; компараторы массы; термометр с ценой деления не более 0,1 °C при поверке гирь класса E1 <1>, не более 0,2 °C при поверке гирь разряда/класса 1/E2; более 0,5 °C при поверке остальных гирь; барометр с ценой деления не более 1 мбар (гПа); психрометр (гигрометр) с погрешностью не более 5% | Да | Да |
<1> Здесь и далее эталонные гири 1а-разряда, выпущенные до введения в действие настоящего стандарта, проверяют аналогично гирям класса точности E1. |
ДА.3.2. Компараторы массы, используемые для поверки гирь, выбирают в соответствии с
ГОСТ 8.021.
ДА.3.3. Все средства измерений, применяемые при поверке, должны иметь действующие свидетельства о поверке, за исключением компараторов массы. При этом среднее квадратичное отклонение (СКО) компараторов и весов, используемых при поверке гирь в режиме компарирования, должно быть подвергнуто статистическому контролю в соответствии с Приложением D настоящего стандарта.
ДА.4. Условия поверки
ДА.4.1. При проведении поверки должны быть соблюдены следующие условия:
ДА.4.1.1. Помещение для поверки эталонных гирь 1, 2, 3-го разрядов и гирь классов

,

,

,

должно состоять из двух комнат. В одной комнате проводят подготовку гирь к поверке и оформление результатов поверки, в другой (весовой) - определение массы гирь.
ДА.4.1.2. Весовая комната должна быть оборудована виброзащитными фундаментами для установки компараторов массы. Допускается для установки компараторов массы использовать стеллажи, установленные на кронштейнах, укрепленных на капитальных стенах, и устойчивые прочные столы.
ДА.4.1.3. Должно быть исключено одностороннее нагревание гирь и компараторов массы. Воздух в помещении не должен содержать вредных примесей и газов, вызывающих коррозию деталей компараторов и гирь. Содержание пыли в воздухе не должно превышать установленных санитарных норм.
ДА.4.1.4. Температура воздуха в весовой комнате должна быть от 18 °C до 27 °C. Изменение значений температуры воздуха и относительной влажности в весовой комнате должно быть не более значений, указанных в
таблице C.1 (Приложение C).
ДА.5. Подготовка к поверке
ДА.5.1. Перед проведением поверки поверхность гирь должна быть очищена в соответствии с
B.4 (Приложение B).
ДА.5.1.1. Поверхность эталонных гирь 1, 2, 3-го разрядов и гирь классов

,

,

,

должна быть протерта замшей или полотняной салфеткой, смоченной этиловым ректификованным спиртом. Допускается поверхность эталонных гирь 2-го, 3-го разрядов и гирь классов

,

протирать замшей или полотняной салфеткой, смоченной дистиллированной водой по
ГОСТ 6709. Эталонные гири 4-го разряда, гири классов точности

,

,

и условные гири очищают от пыли кисточкой, щеткой или протирают салфеткой, смоченной бензином.
Типовое время просушки гирь после очистки приведено в
таблице B.1 (Приложение B).
ДА.5.1.2. Очищенные гири после просушки должны пройти температурную стабилизацию в весовой комнате. Время температурной стабилизации должно быть не менее указанного в
таблице B.2 (Приложение B).
ДА.5.1.3. До проведения измерений поверяемую и эталонную гири помещают рядом с компаратором или внутри витрины компаратора (при ее наличии) не менее чем на 2 ч. Допускается во время температурной стабилизации гири сразу помещать рядом с компаратором или внутри его витрины.
ДА.6. Проведение поверки
При поверке определяют значение условной массы гири.
Условная масса гири

(определенная с расширенной неопределенностью
U в соответствии с
5.2) должна удовлетворять неравенству
(5.3-1) настоящего стандарта.
Если плотность воздуха

во время измерений отличается от нормальной плотности воздуха

более чем на 10%, то при поверке определяют значение массы гири
m, а значение условной массы гири

вычисляют из значения массы гири
m.
Условная масса гири

и масса гири
m с фактической плотностью

связаны между собой соотношением

.
ДА.6.1. Внешний осмотр
ДА.6.1.1. При внешнем осмотре должно быть установлено соответствие следующим требованиям:
- форма, маркировка, комплектность и состав набора гирь должны соответствовать требованиям настоящего стандарта;
- качество футляров должно соответствовать требованиям настоящего стандарта;
- на поверхности пинцетов не должно быть острых кромок, царапин и заусенцев;
- на поверхности гирь не должно быть трещин, сколов, следов коррозии, забоин, царапин, пятен.
ДА.6.2. Определение шероховатости поверхности гирь
Шероховатость поверхности гирь определяют путем сравнения с образцами шероховатости в соответствии с
B.5 (Приложение B).
Шероховатость поверхности гирь должна соответствовать требованиям настоящего стандарта.
Примечание. Допускаются другие методы неразрушающего контроля.
ДА.6.3. Определение плотности материала гирь
Определение плотности материала гирь проводят в соответствии с
B.7 (Приложение B).
Плотность материала гирь должна соответствовать требованиям настоящего стандарта.
ДА.6.4. Проверка магнитной восприимчивости
Проверку магнитной восприимчивости гирь проводят для гирь классов E и F при первичной поверке в соответствии с
B.6 (Приложение B).
Магнитная восприимчивость гирь должна соответствовать требованиям настоящего стандарта.
ДА.6.5. Проверка остаточной намагниченности
Проверку остаточной намагниченности гирь проводят при первичной поверке в соответствии с
B.6 (Приложение).
При периодической поверке проверку остаточной намагниченности гирь проводят только в случае сомнения.
Остаточная намагниченность гирь должна соответствовать требованиям настоящего стандарта.
ДА.6.6. Определение массы гирь
ДА.6.6.1. Определение массы гирь при поверке проводят сличением с помощью компаратора. При этом применяют один из методов точного взвешивания:
- метод двойного взвешивания (метод Гаусса);
- методы замещения: метод Д.И. Менделеева; метод Борда (взвешивание на одном плече).
При применении метода Борда выполняют сличения по циклам взвешивания (сличения): ABBA (A - образцовая гиря, B - поверяемая гиря или сумма поверяемых гирь при калибровке набора), ABA и модификации

.
Цикл ABBA:
где n - число циклов взвешивания.
Цикл ABA:
где n - число циклов взвешивания.
Цикл ABABA:
где n - число циклов взвешивания.
При использовании любого из приведенных выше циклов взвешивания промежутки времени между нагружениями компаратора должны быть всегда одинаковыми. Тарирование и фиксацию показаний рекомендуется проводить через одинаковое время после стабилизации показаний.
Для получения точных результатов измерения рекомендуется проводить в разные дни.
ДА.6.6.2. Определение массы гирь класса точности 
<1>
--------------------------------
<1> Аналогично проводят поверку образцовых гирь 1а-разряда, выпущенных до введения в действие настоящего стандарта.
ДА.6.6.2.1. Массу гирь класса точности

номинальной массой 1 кг определяют сличением с эталоном-копией или с РЭ единицы массы.
Сличение проводят методом Гаусса или методом Борда, выполняя три (или более) цикла сличений ABBA, пять (или более) циклов ABA. За результат измерений принимают среднее арифметическое значение из результатов измерений.
Примеры определения массы гирь методом Гаусса и методом Борда приведены в
Приложении ДВ.
ДА.6.6.2.2. Массу гирь кратных и дольных единиц килограмма класса

определяют сличением или подекадной калибровкой набора по РЭ единицы массы. При этом массу гирь номинальной массой менее 1 г определяют только подекадной калибровкой набора.
Сличение проводят методом Гаусса или методом Борда, выполняя три (или более) циклов сличений ABBA, пять (или более) циклов ABA. За результат измерений принимают среднее арифметическое значение из результатов измерений.
Подекадную калибровку набора выполняют в последовательности: с эталонной гирей (A) сличают соответствующую по массе сумму гирь (B) поверяемого набора. Затем последовательно каждую гирю поверяемого набора сличают с суммой гирь соответствующей номинальной массы этого же набора.
Калибровку набора проводят один раз (или более). Сличение каждой гири набора с соответствующей по массе суммой гирь проводят методом Гаусса или методом Борда, выполняя три (или более) цикла сличений ABBA, пять (или более) циклов ABA.
По полученным при сличении результатам измерений рассчитывают массу каждой гири набора. За результат измерений принимают среднее арифметическое значение из результатов измерений.
Последовательность выполнений операций при подекадной калибровке наборов и вычисление массы гирь для наборов различного состава проводят в соответствии с
Приложением ДГ. Пример определения массы гирь посредством калибровки набора приведен в
Приложении ДВ.
ДА.6.6.3. Определение массы эталонных гирь 1-го разряда и гирь класса точности 
Массу эталонных гирь 1-го разряда и гирь класса

определяют посредством сличения или подекадной калибровки набора (в соответствии с ДА.6.6.2.2).
Каждое сличение проводят методом Гаусса не менее двух раз; методом Борда, выполняя не менее двух циклов при использовании схемы ABBA и не менее трех циклов при использовании схемы ABA.
За результат измерений принимают среднее арифметическое значение из результатов выполненных измерений.
ДА.6.6.4. Определение массы эталонных гирь 2-го разряда и гирь класса точности 
Массу эталонных гирь 2-го разряда и гирь класса точности

определяют посредством калибровки набора (в соответствии с
ДА.6.6.2.2) или сличением с эталонными гирями 1-го разряда.
Каждое сличение выполняют методом Гаусса не менее двух раз, методом Борда, выполняя не менее двух циклов при использовании схем ABBA, ABA и не менее трех циклов при использовании схемы ABABA.
За результат измерений принимают среднее арифметическое значение из результатов выполненных измерений.
ДА.6.6.5. Определение массы эталонных гирь 3-го разряда и гирь класса точности 
ДА.6.6.5.1. Массу эталонных гирь 3-го разряда и гирь класса точности

определяют сличением с эталонными гирями 2-го разряда.
Каждое сличение проводят одним из методов замещения, выполняя один (или более) цикл измерений.
ДА.6.6.5.2. После определения массы эталонных гирь 3-го разряда и гирь класса точности

методом Д.И. Менделеева необходимо провести контрольные сличения, которые обнаружат возможные ошибки измерения. Для этого отдельную гирю из поверяемого набора сличают с несколькими гирями из этого же набора, соответствующими по номинальной массе этой отдельной гире. Определение массы гири проводят одним из методов точного взвешивания. В контрольном сличении должны участвовать все гири поверяемого набора.
Расхождение между отклонением значения массы поверяемой гири от номинального значения, полученным при определении массы методом Д.И. Менделеева и при контрольном взвешивании, не должно превышать значения расширенной неопределенности массы гири.
ДА.6.6.6. Определение массы эталонных гирь 4-го разряда и гирь классов
,
, 
ДА.6.6.6.1. Массу эталонных гирь 4-го разряда и гирь классов точности

определяют сличением с эталонными гирями 3-го разряда.
Массу гирь классов точности

и

определяют сличением с эталонными гирями 4-го разряда.
Каждое сличение проводят одним из методов замещения, выполняя один (или более) цикл измерений.
При поверке гирь устанавливают, находится ли отклонение значения условной массы гири от номинального значения в допускаемых пределах.
Если отклонение значения условной массы гири от номинального значения превышает допускаемые пределы, то гири бракуют.
При поверке эталонных гирь 4-го разряда допускается определять значение условной массы гирь.
ДА.6.6.6.2. Определение отклонения значения условной массы гири от номинального значения при использовании механического компаратора проводят следующим образом: на правую чашку помещают соответствующую эталонную гирю и уравновешивают ее тарой, помещаемой на левую чашку, а затем эталонную гирю снимают с правой чашки и вместо нее помещают поверяемую гирю. Если поверяемая гиря окажется легче эталонной при поверке гирь, то к ней следует добавить гирю, по массе равную допускаемому отклонению от номинальной массы поверяемой гири, - гирю-допуск. При этом коромысло должно возвратиться к начальному положению равновесия или сместиться от него в противоположную сторону. Если поверяемая гиря окажется тяжелее эталонной, то гирю-допуск помещают на левую чашку (к таре). При этом коромысло компаратора должно возвратиться к начальному положению равновесия или сместиться от него в противоположную сторону.
Примечание. При поверке гирь класса

номинальной массой 20 кг в форме параллелепипеда и гирь номинальной массой от 50 до 5000 кг, выпускаемых из производства и после ремонта, гирю-допуск добавляют только на левую чашку (к таре), так как допустимы отклонения от номинальной массы только со знаком плюс.
ДА.7. Обработка результатов измерений
ДА.7.1. Вычисление значения условной массы поверяемой гири
Значение условной массы

поверяемой гири находят с учетом поправки на действие выталкивающей силы воздуха по формуле

, (ДА.7.1-1)
где

, (ДА.7.1-2)

, (ДА.7.1-3)

, (ДА.7.1-4)
или

. (ДА.7.1-5)
Таким образом, значение

поверяемой гири с учетом поправки на действие выталкивающей силы воздуха находят (при использовании

и

) по формуле

(ДА.7.1-6)
или находят (при использовании

и

) по формуле

. (ДА.7.1-7)
| | ИС МЕГАНОРМ: примечание. Нумерация пунктов дана в соответствии с официальным текстом документа. | |
ДА.7.1.2. Если значения

и

или

и

не известны, то действуют по одному из следующих вариантов:
- значения

и

определяют методом гидростатического взвешивания;
- значения

и

выбирают из
таблицы B.7 (Приложение B) при условии, что известен материал, из которого изготовлены гири, или запрашивают у изготовителя;
- используют значение плотности материала, равное

(далее следует учесть
ДА.7.2.9).
ДА.7.1.3. Поправку на действие выталкивающей силы воздуха

допускается не учитывать:
ДА.7.1.3.1. Если выполнено неравенство

(ДА.7.1-8)
или выполнено неравенство

. (ДА.7.1-9)
ДА.7.1.3.2. Если при расчетах используют значение плотности материала, равное

(далее следует учесть
ДА.7.2.9).
ДА.7.1.3.3. Для гирь класса

номинальной массой от 1 мг до 2 г; класса

номинальной массой от 1 мг до 100 мг; класса

номинальной массой от 1 мг до 5 г; класса

номинальной массой от 1 мг до 10 г и для всех гирь класса

поправку на действие выталкивающей силы воздуха

допускается не учитывать.
ДА.7.1.4. Значение условной массы

поверяемой гири без учета поправки на действие выталкивающей силы воздуха находят по формуле

. (ДА.7.1-10)
ДА.7.2. Определение неопределенности значения условной массы при калибровке гирь непосредственным сличением
ДА.7.2.1. Стандартную неопределенность процесса взвешивания

(оценка по типу A) вычисляют по формуле
| | ИС МЕГАНОРМ: примечание. Нумерация формул дана в соответствии с официальным текстом документа. | |

, (ДА.7.2-13)
где

- СКО результатов единичных измерений на компараторе массы (СКО компаратора).
ДА.7.2.2. Стандартную неопределенность массы эталонной (эталонной) гири

(оценка по типу B) рассчитывают по формуле

. (ДА.7.2-11)
Примечание. В расчетах используют максимальное допускаемое значение нестабильности (изменение массы) эталонов

или значение нестабильности, полученное в результате нескольких поверок.
При определении значения условной массы гири допускается использование до трех эталонных гирь, тогда

вычисляют по формуле

. (ДА.7.2-12)
ДА.7.2.3. Стандартную неопределенность определения поправки на действие выталкивающей силы воздуха

(при использовании

и

) вычисляют (оценка по типу B) по формуле

(ДА.7.2-14)
или вычисляют (при использовании

и

) по формуле

. (ДА.7.2-15)
ДА.7.2.3.1. Если

, то

вычисляют по формуле

(ДА.7.2-16)
или по формуле

. (ДА.7.2-17)
ДА.7.2.3.2. Если

, то

вычисляют по формуле

(ДА.7.2-18)
или по формуле

. (ДА.7.2-19)
ДА.7.2.3.3. Если

, то

вычисляют по формуле

(ДА.7.2-20)
или по формуле

. (ДА.7.2-21)
ДА.7.2.4. Стандартную неопределенность определения плотности воздуха

вычисляют в соответствии с
C.6.3.4 -
C.6.3.6 (Приложение C).
ДА.7.2.5. Стандартную неопределенность определения объема поверяемой гири

(оценка по типу B) вычисляют по формуле

. (ДА.7.2-22)
ДА.7.2.6. Стандартная неопределенность весов
(оценка по типу B)
ДА.7.2.6.1. Неопределенность, обусловленная чувствительностью весов
Если весы юстируют с использованием гири (или гирь) для определения чувствительности массой

и со стандартной неопределенностью

, составляющую неопределенности, обусловленную чувствительностью, находят по формуле

, (ДА.7.2-23)
где

- изменение показаний весов, обусловленное использованием гири для определения чувствительности;

- неопределенность

;

- среднее значение разности масс сличаемых гирь.
ДА.7.2.6.2. Неопределенность, обусловленная разрешением дисплея цифровых весов
Для весов с цифровым отсчетным устройством с действительным интервалом шкалы d неопределенность, обусловленную разрешением, находят по формуле

. (ДА.7.2-24)
ДА.7.2.6.3. Суммарную стандартную неопределенность измерений на компараторе

находят по формуле

. (ДА.7.2-25)
ДА.7.2.7. Суммарную стандартную неопределенность определения значения условной массы гирь находят по формуле

. (ДА.7.2-26)
ДА.7.2.7.1. Если неравенства
(ДА.7.1-8) и
(ДА.7.1-9) выполнены и при этом

, то при расчете

в формуле (ДА.7.2-26)

не учитывают.
ДА.7.2.7.2. Также

в формуле (ДА.7.2-26) не учитывают при калибровке гирь класса

.
ДА.7.2.8. Расширенную неопределенность

определения значения условной массы гирь при доверительной вероятности 0,95 находят по формуле

. (ДА.7.2-27)
ДА.7.2.9. Если при расчетах используют значение плотности материала, равное

, то значение условной массы

поверяемой гири находят без учета поправки на действие выталкивающей силы воздуха по формуле
(ДА.7.1-10). При этом неучтенное значение поправки на действие выталкивающей силы воздуха может находиться с одинаковой вероятностью в диапазоне
от

до

или
от

до

.
В этом случае

может быть вычислено по формуле

, (ДА.7.2-28)
где

,

- значения объемов поверяемой и эталонной гирь в соответствии с
таблицей 5 и/или свидетельством о поверке, при которых разность

может достигать максимального значения;
или может быть вычислено по формуле

, (ДА.7.2-29)
где

,

- значения плотностей материала поверяемой и эталонной гирь в соответствии с
таблицей 5 и/или свидетельством о поверке, соответственно, при которых разность

может достигать максимального значения.
Примечание. Как правило, если средства и условия поверки соответствуют требованиям настоящего стандарта, значение расширенной неопределенности

не превышает значений, установленных настоящим стандартом. В этом случае в свидетельстве о поверке гирь классов F и M допускается указывать расширенную неопределенность в соответствии с
5.2.
ДА.7.2.10. Значение расширенной неопределенности

определения условной массы гирь при доверительной вероятности 0,95 не должно превышать значений, установленных настоящим стандартом
(5.2).
ДА.7.2.11. По результатам измерений составляют отчет о неопределенности значения условной массы гирь.
ДА.8. Оформление результатов поверки <1>
--------------------------------
<1> В Российской Федерации - в соответствии с правилами по метрологии
[1].
ДА.8.1. Положительные результаты поверки эталонных гирь 1, 2, 3-го разрядов и гирь классов

,

,

,

оформляют:
- при выпуске из производства гирь классов

,

- выдачей свидетельства о поверке;
- при выпуске из производства гирь классов точности

,

- записью в паспорте предприятия-изготовителя, удостоверенной поверителем;
- после ремонта и при периодической поверке - выдачей свидетельства о поверке.
Эталонные гири 3-го разряда и гири класса

с подгоночной полостью после выпуска из производства подлежат клеймению. Поверительное клеймо наносят на уплотнительный диск подгоночной полости. Для гирь без подгоночных полостей поверительное клеймо должно быть нанесено на их основание или на футляр, в котором хранятся гири.
В свидетельстве о поверке для гирь класса

, как минимум, должны быть приведены номинальное значение массы, а также значения: условной массы

, расширенной неопределенности
U, коэффициента расширения
k, плотности или объема для каждой гири. Кроме того, должно быть отражено, была ли плотность (или объем) измерена или оценена.
В свидетельстве о поверке для гирь класса точности

, как минимум, должно быть приведено следующее:
a) номинальное значение массы, значения условной массы

, расширенной неопределенности
U, коэффициента расширения
k;
b) или информация, необходимая для включения в свидетельство о поверке для гирь класса

(в соответствии с
1.3.1), если гири класса

используются в качестве гирь класса

.
В свидетельстве о поверке для гирь классов

,

, как минимум, должны быть приведены: номинальное значение массы, значение условной массы каждой гири

, с указанием о подгонке гири перед поверкой, значение ее расширенной неопределенности
U и значение коэффициента расширения
k.
Примечание. По согласованию с потребителем для гирь классов точности

,

на оборотной стороне свидетельства допускается не приводить условное значение массы гирь и погрешность массы гирь, а лишь указывать, что погрешность массы гирь соответствует требованиям настоящего стандарта.
ДА.8.2. Положительные результаты поверки эталонных гирь 4-го разряда и гирь класса

оформляют:
- при выпуске из производства - записью в паспорте предприятия-изготовителя, удостоверенной поверителем, а также клеймением гирь;
- после ремонта и в эксплуатации - выдачей свидетельства о поверке на эталонные гири 4-го разряда.
На оборотной стороне свидетельства и в паспорте указывают, что погрешность массы гирь соответствует требованиям настоящего стандарта.
Примечание. По согласованию с потребителем допускается на оборотной стороне свидетельства и в паспорте на эталонные гири 4-го разряда приводить: номинальное значение массы, значение условной массы каждой гири

, указание на подгонку гири перед поверкой, значение ее расширенной неопределенности
U и значение коэффициента расширения
k.
Эталонные гири 4-го разряда и гири класса

подлежат клеймению. Поверительное клеймо наносят на уплотнительный диск подгоночной полости. Для гирь без подгоночных полостей поверительное клеймо должно быть нанесено на их основание.
Для эталонных гирь 4-го разряда и гирь класса

в виде тонких пластин и проволочных гирь поверительное клеймо должно быть нанесено на футляр, в котором хранятся гири.
На эталонных гирях 4-го разряда и гирях класса

номинальной массой от 10 мг до 10 г включительно поверительное клеймо сохраняют при последующих поверках, если значение погрешности гирь не превышает допускаемых значений, указанных в настоящем стандарте.
ДА.8.3. Положительные результаты государственной поверки гирь классов точности

и

оформляют нанесением поверительного клейма.
ДА.8.4. При отрицательных результатах поверки гири к выпуску и применению не допускают, поверительные клейма гасят, свидетельство о поверке аннулируют, выдают извещение о непригодности с указанием причин.
Эталонные гири 4-го разряда и гири класса точности

номинальной массой от 10 мг до 10 г, не прошедшие поверку и не подлежащие ремонту, к применению не допускают; поверительные клейма гасят и выдают извещение о непригодности с указанием причин.
ДА.9. Нормативные ссылки
(Настоящий дополнительный раздел обусловлен требованиями национальной стандартизации.)
В настоящем стандарте использованы нормативные ссылки на следующие стандарты:
ГОСТ 8.021-2005 Государственная система обеспечения единства измерений. Государственная поверочная схема для средств измерений массы
ГОСТ 12.2.003-91 Система стандартов безопасности труда. Оборудование производственное. Общие требования безопасности
ГОСТ 9378-93 Образцы шероховатости поверхности (сравнения). Общие технические условия
Примечание. При пользовании настоящим стандартом целесообразно проверить действие ссылочных стандартов в информационной системе общего пользования - на официальном сайте Федерального агентства по техническому регулированию и метрологии в сети Интернет или по ежегодно издаваемому информационному указателю "Национальные стандарты", который опубликован по состоянию на 1 января текущего года, и по соответствующим ежемесячно издаваемым информационным указателям, опубликованным в текущем году. Если ссылочный стандарт заменен (изменен), то при пользовании настоящим стандартом следует руководствоваться заменяющим (измененным) стандартом. Если ссылочный стандарт отменен без замены, то положение, в котором дана ссылка на него, применяется в части, не затрагивающей эту ссылку.
(справочное)
МЕТОДЫ ТОЧНОГО ВЗВЕШИВАНИЯ
ДБ.1. Метод двойного взвешивания (метод Гаусса)
Метод измерения Гаусса применяют при калибровке гирь с использованием механических (двучашечных) весов-компараторов (далее - компаратор).
Результаты сличений гирь округляют в соответствии с пределами допускаемой погрешности массы гирь согласно настоящему стандарту.
ДБ.1.1. Эталонную гирю A, с которой проводят сличение, помещают на левую чашку компаратора, калибруемую гирю B - на правую чашку (при калибровке набора - сумму гирь). Если при этом равновесия не будет (указатель выходит за пределы шкалы), то на соответствующую чашку добавляют эталонную гирю
a такой массы, чтобы отклонения стрелки были приблизительно одинаковы в одну и другую сторону от средней отметки шкалы. Определяют положение равновесия

.
ДБ.1.2. Сличаемые гири переносят вместе с добавленной гирей
a с одной чашки на другую (т.е. гирю B переносят на левую чашку, а гирю A - на правую). Если после переноса гирь равновесие нарушается (указатель выходит за пределы шкалы), то его восстанавливают добавлением на соответствующую чашку эталонной гири
k такой массы, чтобы отклонения стрелки были приблизительно одинаковы в одну и другую сторону от средней отметки шкалы. Определяют положение равновесия

.
ДБ.1.3. Операции по
ДА.1.1 и
ДА.1.2 повторяют и определяют положение равновесия

и

.
ДБ.1.4. Для определения цены деления
d шкалы на одну из чашек помещают эталонную гирю
r, после чего вновь определяют положение равновесия

. Гиря
r должна изменять положение равновесия компаратора не меньше, чем на 1/10 диапазона шкалы.
Примечание. Цену деления d шкалы следует определять при каждом взвешивании.
ДБ.1.5. Положение равновесия
L компараторов без успокоителей колебаний при определении массы гирь классов

,

,

определяют по формуле

; (ДБ.1-1)
компараторов с успокоителями колебаний - по формуле

, (ДБ.1-2)
где

,

,

,

- отсчеты крайних положений указателя шкалы в делениях;

,

,

- отсчеты положения равновесия компаратора в делениях шкалы (или в миллиграммах).
Положение равновесия компараторов без успокоителей колебаний при определении массы гирь классов точности

,

определяют по формуле

; (ДБ.1-3)
компараторов с успокоителями колебаний - по формуле

. (ДБ.1-4)
ДБ.1.6. Разность между значениями массы калибруемой и эталонной гирь

, полученными на компараторе, находят по формуле

, (ДБ.1-5)
где

; (ДБ.1-6)

; (ДБ.1-7)

. (ДБ.1-8)
Примечания. 1. Если во время температурной стабилизации гири сразу были помещены внутри витрины компаратора, то замену гирь следует проводить, не вынося их за пределы витрины.
2. Значения массы гирь a и k/2 берут со знаком "плюс", если они добавлены к эталонной гире A, и со знаком минус, если они добавлены к поверяемой гире B.
3. Перед членом

ставят знак "плюс", если нулевая отметка шкалы расположена на ее правом конце.
4. Разность

берут без учета знака.
5. При использовании компараторов с именованной шкалой положение равновесия L определяют непосредственно в единицах массы (цену деления при этом не определяют).
6. При определении массы гирь класса точности

определение положения равновесия

и

не проводят.
ДБ.2. Методы замещения
ДБ.2.1. Метод Борда для механических компараторов
ДБ.2.1.1. Эталонную гирю A, с которой проводят сличение, помещают на правую чашку компаратора и уравновешивают ее соответствующей тарой T, помещаемой на левую чашку, после чего определяют положение равновесия

.
ДБ.2.1.2. Затем эталонную гирю A снимают и на ее место ставят калибруемую гирю B. Если при указанной замене положение равновесия нарушится, то оно должно быть восстановлено добавлением на соответствующую чашку эталонной гири
a. Определяют положение равновесия

.
ДБ.2.1.3. Снимают гирю B, выносят ее за пределы витрины, снова устанавливают ее на чашку и определяют положение равновесия

.
ДБ.2.1.4. Снимают гирю B и на ее место ставят эталонную гирю A. Определяют положение равновесия

.
ДБ.2.1.5. Определяют цену деления
d, как указано в
ДБ.1.4.
ДБ.2.1.6. Положение равновесия определяют, как указано в
ДБ.1.5.
ДБ.2.1.7. Разность между значениями массы калибруемой и эталонной гирь

, полученными на компараторе, находят по формуле

, (ДБ.2-9)
где

; (ДБ.2-10)

; (ДБ.2-11)

. (ДБ.2-12)
Примечания. 1. Если во время температурной стабилизации гири сразу были помещены внутри витрины компаратора, то замену гирь следует проводить, не вынося их за пределы витрины.
2. Значение массы гири a берут со знаком "плюс", если они добавлены к таре T, и со знаком минус, если они добавлены к поверяемой гире A.
3. Перед членом

ставят знак "плюс", если нулевая отметка шкалы расположена на ее правом конце.
4. Разность

берут без учета знака.
5. При использовании компараторов с именованной шкалой положение равновесия L определяют непосредственно в единицах массы (цену деления при этом не определяют).
6. При определении массы гирь класса точности

определение положения равновесия

и

не проводят.
7. При определении массы гирь с использованием двухпризменных компараторов допускается встроенные гири использовать в качестве эталонных, если погрешность взвешивания при любых включениях встроенных гирь не превышает 1/3 допускаемой погрешности определения массы поверяемой гири. В противном случае встроенные гири используют как тару для уравновешивания эталонных гирь. При использовании встроенных гирь в качестве эталонных гири применяют по номинальной массе (поправки к гирям не учитывают).
ДБ.2.2. Метод замещения по схеме ABBA для электронных компараторов
ДБ.2.2.1. Устанавливают на чашку компаратора эталонную гирю A соответствующего номинала и после стабилизации показаний обнуляют дисплей. Снимают гирю A, выносят ее за пределы витрины. Вновь устанавливают гирю на чашку и записывают показание

.
ДБ.2.2.2. Помещают на чашку вместо эталонной гири A калибруемую гирю B, записывают показание

.
ДБ.2.2.3. Снимают гирю B, выносят ее за пределы витрины и снова устанавливают ее на чашку и записывают показание

.
ДБ.2.2.4. Снимают гирю B и устанавливают на чашку эталонную гирю A. Записывают показания

.
ДБ.2.2.5. Повторяют операции по ДБ.2.2.1 - ДБ.2.2.4 до получения необходимого числа циклов ABBA, снимая показания через равные промежутки времени.
ДБ.2.2.6. Разность между значениями массы калибруемой и эталонной гирь

, полученной на компараторе, находят по формуле

, (ДБ.2-13)
где

и

- показания компаратора при измерении эталонной гири для
i-го цикла;

и

- показания компаратора при измерении калибруемой гири для
i-го цикла;
n - число циклов ABBA;
i = 1; 2; 3, ..., n.
Примечание. Если во время температурной стабилизации гири сразу были помещены внутри витрины компаратора, то замену гирь следует выполнять, не вынося их за пределы витрины.
ДБ.2.3. Метод замещения по схеме ABA для электронных компараторов
ДБ.2.3.1. Устанавливают на чашку компаратора эталонную гирю A соответствующего номинального значения и после стабилизации показаний обнуляют дисплей. Снимают гирю A, выносят ее за пределы витрины, вновь устанавливают ее на чашку и записывают показание

.
ДБ.2.3.2. Помещают на чашку вместо эталонной гири A калибруемую гирю B, записывают показание

.
ДБ.2.3.3. Снимают поверяемую гирю B и устанавливают на чашку эталонную гирю A. Записывают показания

.
ДБ.2.3.4. Повторяют операции по ДБ.2.3.1 - ДБ.2.3.3 до получения необходимого числа циклов ABA, снимая показания через равные промежутки времени.
ДБ.2.3.5. Разность между массой калибруемой и эталонной гирей

, полученной на компараторе, находят по формуле

, (ДБ.2-14)
где

и

- показания компаратора при измерении эталонной гири для
i-го цикла;

- показания компаратора при измерении калибруемой гири для
i-го цикла;
n - число циклов ABA;
i = 1, 2, 3, ..., n.
Примечание. Если во время температурной стабилизации гири сразу были помещены внутри витрины компаратора, то замену гирь следует проводить, не вынося их за пределы витрины.
ДБ.2.4. Метод замещения по схеме ABABA... для электронных компараторов
Данный метод может быть использован как модификация схемы ABA при калибровке одной гири, а также при калибровке нескольких гирь одного номинального значения (не более пяти гирь).
ДБ.2.4.1. При поверке одной гири процедура определения массы следующая:
ДБ.2.4.1.1. Устанавливают на чашку компаратора эталонную гирю A соответствующего номинального значения и после стабилизации показаний обнуляют дисплей. Снимают гирю A, выносят ее за пределы витрины, вновь устанавливают ее на чашку и записывают показание

.
ДБ.2.4.1.2. Помещают на чашку вместо эталонной гири A калибруемую гирю B, записывают показание

.
ДБ.2.4.1.3. Снимают гирю B и устанавливают на чашку эталонную гирю A, записывают показания

.
ДБ.2.4.1.4. Повторяют операции по ДБ.2.4.1.2 и ДБ.2.4.1.3 до получения необходимого числа циклов сличений.
ДБ.2.4.1.5. Разность между значениями массы калибруемой и эталонной гирь

, полученными на компараторе, находят по формуле

, (ДБ.2-15)
где

и

- показания компаратора при измерении эталонной гири для 1-го цикла;

- показание компаратора при измерении калибруемой гири для 1-го цикла;

и

- показания компаратора при измерении эталонной гири для
i-го цикла;

- показание компаратора при измерении калибруемой гири для
i-го цикла;
n - число циклов ABA;
i = 2, 3, ..., n.
ДБ.2.4.2. При калибровке нескольких гирь одного номинального значения разность между значениями массы калибруемой и эталонной гирь

, полученными на компараторе, для первой гири находят по формуле

, (ДБ.2-16)
где

и

- показания компаратора при измерении эталонной гири для 1-го цикла;

- показание компаратора при измерении первой калибруемой гири.
Разность между значениями массы калибруемой и эталонной гирь

, для второй и последующих гирь находят по формуле

, (ДБ.2-17)
где

и

- показания компаратора при измерении эталонной гири;

- показание компаратора при измерении
i-й калибруемой гири;
n - число циклов ABA и число калибруемых гирь B;
i = 2, 3, ...,
n (

).
Примечание. Если во время температурной стабилизации гири сразу были помещены внутри витрины компаратора, то замену гирь следует проводить, не вынося их за пределы витрины.
ДБ.2.5. Метод замещения по схеме
для электронных компараторов
Данный метод может быть использован при калибровке нескольких гирь одного номинального значения. При этом число калибруемых гирь в одном цикле

должно быть не более пяти.
ДБ.2.5.1. Устанавливают на чашку компаратора эталонную гирю A соответствующего номинального значения и после стабилизации показаний обнуляют дисплей. Снимают гирю A, выносят ее за пределы витрины, вновь устанавливают на чашку и записывают показание

.
ДБ.2.5.2. Помещают на чашку вместо эталонной гири A калибруемую гирю B, записывают показание

.
ДБ.2.5.3. Снимают первую калибруемую гирю и устанавливают на чашку вторую гирю, записывают показание

.
ДБ.2.5.4. Повторяют операцию по ДБ.2.5.3 для остальных гирь до получения значений

,

,

. Число гирь в одном цикле калибровки должно быть не более пяти.
ДБ.2.5.5. Снимают последнюю калибруемую гирю и устанавливают на чашку эталонную гирю. Записывают показание

.
ДБ.2.5.6. Разность между значениями массы калибруемой и эталонной гирь

, полученными на компараторе, находят по формуле

, (ДБ.2-18)
где

и

- показания компаратора при измерении эталонной гири;

- показание компаратора при измерении
i-й калибруемой гири;
n - номер испытуемой гири (от 1 до 5).
Примечание. Если во время температурной стабилизации гири сразу были помещены внутри витрины компаратора, то замену гирь следует проводить, не вынося их за пределы витрины.
ДБ.2.6. Метод Д.И. Менделеева для механических компараторов
ДБ.2.6.1. На правую чашку компаратора помещают совокупность эталонных гирь A, общая масса которых не превышает наибольшего предела измерения компаратора, уравновешивают их тарой, помещаемой на левую чашку, и определяют положение равновесия

.
ДБ.2.6.2. Затем последовательно каждую из эталонных гирь заменяют соответствующей по массе калибруемой гирей B. Если при указанной замене положение равновесия нарушится, то его восстанавливают добавлением на соответствующую чашку эталонной гири
a, затем определяют положения равновесия

,

, ...,

.
ДБ.2.6.3. Для увеличения числа гирь, калибруемых одновременно методом Д.И. Менделеева, на левую чашку вместо тары помещают эталонную гирю, номинальная масса которой соответствует наибольшей нагрузке компаратора, а на правую соответствующую по массе совокупность эталонных гирь. Сначала с эталонной гирей, помещенной на левую чашку, сличают методом Борда соответствующие по массе калибруемые гири, а в дальнейшем поступают в соответствии с ДБ.2.6.1.
ДБ.2.6.4. Определяют цену деления
d, как указано в
ДБ.1.4.
ДБ.2.6.5. Разность между значениями массы калибруемой и эталонной гирь

, полученными на компараторе, находят по формулам
.........

, (ДБ.2-19)
где

,

, ...,

- проверяемые гири;

. (ДБ.2-20)
Примечания. 1. Правило применения знаков перед обозначением гирь
a и членом

такое же, как и при методе Борда.
2. Если калибруемая гиря помещена на левую чашку, в скобках в формуле (ДБ.2-19) берут обратную разность, т.е.

.
(справочное)
ПРИМЕРЫ ОПРЕДЕЛЕНИЯ МАССЫ ГИРЬ
ДВ.1. Пример 1
Определение массы гирь методом Гаусса.
Гирю класса

с номинальным значением массы 100 г сличают с эталонной гирей 1-го разряда с номинальным значением массы 100 г с использованием механического (двучашечного) компаратора.
A (эталонная гиря) = 100 г + 0,14 мг;
B - поверяемая (калибруемая) гиря.
Таблица ДВ.1
Число взвешиваний | Нагрузка на чашку | | Положение равновесия L | Среднее из взвешиваний 1 и 3, 2 и 4 | Добавлено на чашку компаратора, мг | Цена деления d, мг | Масса эталонной гири A, г | Масса поверяемой гири B, г |
левую | правую | L' | L" | L"' |
Число делений шкалы | левую | правую |
1 | A | B + a | -8,0 | -8,0 | -8,1 | | | - | a = 1,00 | | 100,00014 | 99,99979 |
2 | B + a | A | +5,0 | +5,1 | +4,9 | | a = 1,00 | - |
3 | A | B + a | -8,0 | -7,9 | -8,1 | | - | a = 1,00 |
4 | B + a | A | +5,0 | +5,2 | +4,8 | | a = 1,00 | - |
5 | B + a | A + r | -35,0 | -35,0 | -35,1 | Lr = -35,03 | a = 1,00 | a = 4,00 |
<1> При снятии отсчетов по шкале компараторов без успокоителей колебаний в графах вместо значений L', L", L''' проставляют значения l1, l2, l3, l4. |
ДВ.2. Пример 2
Сличение гирь методом Борда.
Гирю класса

с номинальным значением массы 500 г сличают с эталонной гирей 1-го разряда с номинальным значением массы 500 г с помощью механического (двучашечного) компаратора.
A (эталонная гиря) = 500 г + 0,25 мг;
B - поверяемая гиря;
T - тара.
Таблица ДВ.2
Число взвешиваний | Нагрузка на чашку | | Положение равновесия L | Среднее из взвешиваний 1 и 5, 2 и 4 | Добавлено на чашку компаратора, мг | Цена деления d, мг | Масса эталонной гири A, г | Масса поверяемой гири B, г |
левую | правую | l1 | l2 | l3 | l4 |
Число делений шкалы | левую | правую |
1 | T | A | 68,0 | 135,4 | 68,4 | 134,6 | | | - | - | | 500,00025 | 500,0000 |
2 | T | B + a | 65,4 | 126,4 | 66,0 | 126,0 | | - | a = 2,01 |
3 | T + r | B + a | 87,0 | 168,4 | 87,8 | 168,0 | Lr = 127,95 | r = 10,01 | a = 2,01 |
4 | T | B + a | 58,0 | 133,4 | 58,4 | 133,0 | | - | a = 2,01 |
5 | T | A | 64,0 | 138,4 | 65,0 | 138,0 | | - | - |
<1> При снятии отсчетов по шкале компараторов без успокоителей колебаний в графах вместо значений L', L", L''' проставляют значения l1, l2, l3, l4. |
ДВ.3. Пример 3
Определение массы гирь методом Д.И. Менделеева.
Набор гирь (1 - 200) г класса точности

сличают с эталонными гирями 2-го разряда с помощью (двучашечного) компаратора.
A - эталонная гиря;
B - поверяемая гиря.
Таблица ДВ.3
Число взвешиваний | Нагрузка на чашку | Номинальное значение массы поверяемой гири, г | | Положение равновесия Lср | Разность  | Добавлено на чашку компаратора, мг | Отклонение от номинального значения массы, мг | Масса поверяемой гири, г |
левую | правую | L' | L" |
Число делений шкалы | мг | левую | правую | эталонной гири | поверяемой гири |
1 | T | | - | 0 | 0 | 0 | - | - | - | - | - | - | - |
2 | T | | - | 99,8 | -99,8 | -99,8 | - | - | - | r = 9,95 | - | - | - |
3 | T | B100 | 100 | +1,9 | +1,9 | +1,9 | +1,9 | +0,19 | - | - | +1,05 | +0,86 | 100,0009 |
4 | T | B50 | 50 | -5,9 | -5,5 | -5,7 | -5,7 | -0,57 | - | - | +0,12 | +0,69 | 50,0007 |
5 | T | B20 | 20 | +1,1 | +1,0 | +1,05 | +1,05 | +0,10 | - | - | +0,37 | +0,27 | 20,0003 |
6 | T | B20 | 20 | -2,5 | -2,5 | -2,5 | -2,5 | -0,25 | - | - | +0,37 | +0,62 | 20,0006 |
7 | T | B10 | 10 | -3,0 | -3,0 | -3,0 | -3,0 | -0,30 | - | - | +0,19 | +0,49 | 10,00049 |
8 | T | B5 | 5 | -4,0 | -4,0 | -4,0 | -4,0 | -0,40 | - | - | +0,08 | +0,48 | 5,00048 |
9 | T | B2 | 2 | -2,0 | -2,2 | -2,1 | -2,1 | -0,21 | - | - | -0,05 | +0,16 | 2,00016 |
10 | T | B2 | 2 | -1,5 | -1,5 | -1,5 | -1,5 | -0,15 | - | - | -0,05 | +0,10 | 2,00010 |
11 | T | B1 | 1 | -1,0 | +1,0 | +1,0 | +1,0 | +0,10 | - | - | +0,11 | +0,01 | 1,00001 |
<1> При снятии отсчетов по шкале компараторов без успокоителей колебаний в графах вместо значений L', L" проставляют значения l1, l2, l3. |
Определяют цену деления компаратора

.
Массу каждой из поверяемых гирь определяют по
формуле (ДБ.2-19).

. Полученное значение округляют в соответствии с пределами допускаемой погрешности определения массы гири (+/- 0,5). Окончательный результат:

;

;

. Аналогично рассчитывают массу остальных гирь. Результаты расчета приведены в последней графе таблицы.
После определения массы гирь необходимо провести контрольное сличение, которое обнаружит возможные ошибки измерения.
В настоящем случае гирю номинальной массой 100 г (

) сличают с суммой гирь 50, 20,

и 10 г (

) и гирю 10 г (

) - с суммой гирь 5, 2,

и 1 г (

). Сличения проводят методом Борда. Результаты сличений приведены в таблице ДВ.4.
Таблица ДВ.4
Нагрузка на чашку | Отсчет | | Добавлено на чашку компаратора, мг | Сумма отклонений от номинальной массы поверяемых гирь B |
левую | правую | L' | L" | Lср | левую | правую |
Число делений шкалы | Деления шкалы | мг |
T | | -1,0 | -1,0 | -1,0 | +11,1 | +1,11 | - | - | +2,1 |
T | B100 | +10,2 | +10,0 | +10,0 | +2,1 | +0,21 | - | - |
T | B100 + r | -40,0 | -40,0 | -40,0 | +11,1 | +1,11 | r = 5,00 | - |
T | | 0 | 0 | 0 | +2,1 | +0,21 | - | - | +0,8 |
T | B10 | +2,0 | +2,2 | +2,1 | - | - |
T | B10 + r | -48,0 | -47,8 | -47,9 | r = 5,00 | - |
Определяют массу гирь 100 и 10 г по результатам контрольных сличений:

;

;

;

.
ДВ.4. Пример 4
Определение массы гирь подекадной калибровкой набора.
Проводят подекадную калибровку набора гирь, состоящего из гирь массой, номинальные значения которой составляют

. Значение условной массы рабочего эталона (РЭ) составляет 1 кг + 1,11 мг. В результате последовательных сличений гирь получены следующие уравнения:

;

;

;

;

;

;

;

;

;

;

;

;

.
Из вышеуказанных уравнений рассчитывают значение условной массы гирь:

;

;

;

;

;

;

;

;

;

;

;

;

.
Для проверки правильности выполненных вычислений следует сложить полученные значения массы гирь набора

и к сумме прибавить значение

. В результате должно быть получено значение условной массы эталонной гири.
В приведенном примере:

; при прибавлении

получают значение условной массы РЭ, равное 1000001,11 мг.
Аналогично проверяют правильность вычисления массы остальных гирь путем сравнения полученных масс суммы гирь с массой соответствующей гири с учетом a.
(обязательное)
СХЕМЫ СЛИЧЕНИЯ ГИРЬ И ФОРМУЛЫ ДЛЯ ВЫЧИСЛЕНИЯ
ИХ МАССЫ ПРИ ПОДЕКАДНОЙ КАЛИБРОВКЕ НАБОРА
ДГ.1. Сличение гирь, входящих в набор 1 - 500 г, с рабочим эталоном (РЭ) единицы массы проводят посредством подекадной калибровки в последовательности: сумму гирь из набора 1 - 500 г сличают с РЭ единицы массы с номинальным значением массы 1 кг. Затем последовательно каждую гирю из набора сличают с соответствующей по массе суммой гирь из этого же набора.
Набор 1 - 500 г, состоящий из гирь

, сличают по следующей схеме:

;

;

;

;

;

;

;

;

;

;

;

;

,
где

,

, ...,

- разность между массой наибольшей гири и массой соответствующей суммы гирь.
Примечание. Гирю в 1 г, обозначенную

и не входящую в набор, берут из другого набора и вводят в серию уравнений для обеспечения полноты калибровки.
Массу поверяемых гирь набора вычисляют по следующим формулам:

;

;

;

;

;

;

;

;

;

;

;

;

,
где m - значение массы гирь, а индекс при m показывает их номинальную массу.
Примечания. 1.

- масса эталонной гири, указанная в свидетельстве о поверке.
2. Формула для

здесь и далее в ДГ.2 -
ДГ.6 введена в целях проверки правильности калибровки набора.
3. По приведенной схеме калибруют миллиграммовые наборы гирь 1 - 500 мг.
ДГ.2. Граммовый набор гирь 1 - 200 г, состоящий из гирь

, сличают с эталонной гирей номинальной массой 500 г по следующей схеме:

;

;

;

;

;

;

;

;

;

;

;

.
Массу поверяемых гирь набора вычисляют по следующим формулам:

;

;

;

;

;

;

;

;

;

;

;

.
ДГ.3. Граммовый набор гирь 1 - 100 г, состоящий из гирь

, сличают с эталонной гирей номинальной массой 200 г по следующей схеме:

;

;

;

;

;

;

;

;

;

.
Массу поверяемых гирь набора вычисляют по следующим формулам:

;

;

;

;

;

;

;

;

;

.
ДГ.4. Граммовый набор гирь 1 - 50 г, состоящий из гирь

, сличают с эталонной гирей номинальной массой 100 г по следующей схеме:

;

;

;

;

;

;

;

;

.
Массу поверяемых гирь набора вычисляют по следующим формулам:

;

;

;

;

;

;

;

;

.
ДГ.5. Граммовый набор гирь 1 - 20 г, состоящий из гирь

, сличают с эталонной гирей номинальной массой 50 г по следующей схеме:

;

;

;

;

;

;

;

.
Массу поверяемых гирь набора вычисляют по следующим формулам:

;

;

;

;

;

;

;

.
ДГ.6. Граммовый набор гирь 1 - 10 г, состоящий из гирь

, сличают с эталонной гирей с номинальной массой 20 г по следующей схеме:

;

;

;

;

;

.
Массу поверяемых гирь набора вычисляют по следующим формулам:

;

;

;

;

;

.
ДГ.7. Килограммовый набор гирь 1 - 10 кг, состоящий из гирь

, сличают с РЭ с номинальным значением массы

по следующей схеме:

;

;

;

;

;

.
Массу поверяемых гирь набора вычисляют по следующим формулам:

;

;

;

;

;

.
ДГ.8. Килограммовые наборы гирь: набор 1 - 20 кг, состоящий из гирь

; набор 1 - 10 кг, состоящий из гирь

; набор 1 - 5 кг, состоящий из гирь

; набор 1 - 2 кг, состоящий из гирь

, - сличают с эталонной гирей номинальной массы

. Схемы сличений и расчетные формулы будут такими же, как указано в
ДГ.7 для гирь соответствующей массы.
(обязательное)
СВЕДЕНИЯ О СООТВЕТСТВИИ ССЫЛОЧНЫХ МЕЖДУНАРОДНЫХ ДОКУМЕНТОВ
ССЫЛОЧНЫМ НАЦИОНАЛЬНЫМ СТАНДАРТАМ РОССИЙСКОЙ ФЕДЕРАЦИИ
Таблица ДД.1
Обозначение ссылочного международного документа | Степень соответствия | Обозначение и наименование соответствующего национального стандарта |
OIML R 76-1:2006 | MOD | ГОСТ Р 53228-2008 "Весы неавтоматического действия. Часть 1. Метрологические и технические требования. Испытания" |
OIML R 76-2:2007 | IDT | ГОСТ Р 54071-2010/OIML R 76-2:2007 "Весы неавтоматического действия. Часть 2. Формы протоколов испытаний" |
OIML R 111-2:2004 "Weights of classes E1, E2, F1, F2, M1, M1-2, M2, M2-3 and M3. Part 2: Test Report Format" | - | <*> |
OIML B 3 "OIML. Certificate System for Measuring Instruments" | - | <*> |
<*> Соответствующий национальный стандарт отсутствует. До его утверждения рекомендуется использовать перевод на русский язык данного международного документа. Перевод данного международного документа находится в Федеральном информационном фонде технических регламентов и стандартов. |
Примечание. В настоящей таблице использованы следующие условные обозначения степени соответствия стандартов: - MOD - модифицированные стандарты; - IDT - идентичные стандарты. |
| | Государственная система обеспечения единства измерений. Порядок проведения поверки средств измерений |