Главная // Актуальные документы // ГОСТ (Государственный стандарт)СПРАВКА
Источник публикации
В данном виде документ опубликован не был.
Первоначальный текст документа опубликован в издании
М.: Издательство стандартов, 1980.
Информацию о публикации документов, создающих данную редакцию, см. в справке к этим документам.
Примечание к документу
Документ утратил силу в части определения влажности в связи с изданием Постановления Госстандарта СССР от 07.08.1980. Взамен введен в действие ГОСТ 13496.3-80.
С 1 июля 2003 года до вступления в силу технических регламентов акты федеральных органов исполнительной власти в сфере технического регулирования носят рекомендательный характер и подлежат обязательному исполнению только в части, соответствующей целям, указанным в
пункте 1 статьи 46 Федерального закона от 27.12.2002 N 184-ФЗ.
Ограничение срока действия снято по Протоколу N 4-93 Межгосударственного совета по стандартизации, метрологии и сертификации ("ИУС", N 4, 1994).
Изменение N 1 введено в действие с 1 января 1985 года Постановлением Госстандарта СССР от 20.07.1984 N 2565.
Взамен ГОСТ 18663-73.
Название документа
"ГОСТ 18663-78. Государственный стандарт Союза ССР. Витамин B12 кормовой. Технические условия"
(введен Постановлением Госстандарта СССР от 21.11.1978 N 3062)
(ред. от 20.07.1984)
"ГОСТ 18663-78. Государственный стандарт Союза ССР. Витамин B12 кормовой. Технические условия"
(введен Постановлением Госстандарта СССР от 21.11.1978 N 3062)
(ред. от 20.07.1984)
Введен
Постановлением Государственного
комитета СССР по стандартам
от 21 ноября 1978 г. N 3062
ГОСУДАРСТВЕННЫЙ СТАНДАРТ СОЮЗА ССР
ВИТАМИН

КОРМОВОЙ
ТЕХНИЧЕСКИЕ УСЛОВИЯ
Vitamin

feed grade. Specifications
ГОСТ 18663-78
| | Список изменяющих документов Госстандарта СССР от 20.07.1984 N 2565) | |
Группа С05
(код введен
Изменением N 1, введенным Постановлением Госстандарта СССР от 20.07.1984 N 2565)
Взамен
ГОСТ 18663-73
Постановлением Государственного комитета СССР по стандартам от 21 ноября 1978 г. N 3062 срок действия установлен
с 1 января 1980 года
до 1 января 1985 года
Переиздание. Январь 1980 г.
Настоящий стандарт распространяется на кормовой витамин

, получаемый сбраживанием барды ацетоно-бутилового производства метанобразующими бактериями с последующим концентрированием путем выпаривания и сушки.
Кормовой витамин

предназначен для витаминизации кормов, используемых в животноводстве и птицеводстве.
1. ТЕХНИЧЕСКИЕ ТРЕБОВАНИЯ
1.1. Кормовой витамин

должен изготовляться в соответствии с требованиями настоящего стандарта по технологическому регламенту с соблюдением санитарных норм и правил, утвержденных в установленном порядке.
1.2. Для производства кормового витамина

должны применяться следующие сырье и вспомогательные материалы:
барда ацетоно-бутилового производства с массовой долей сухих веществ 1,4 - 2,5% и с pH, равным 4,0 - 6,0;
(в ред.
Изменения N 1, введенного Постановлением Госстандарта СССР от 20.07.1984 N 2565)
метанол-яд синтетический по ГОСТ 2222-78;
(в ред.
Изменения N 1, введенного Постановлением Госстандарта СССР от 20.07.1984 N 2565)
| | ИС МЕГАНОРМ: примечание. Постановлением Госстандарта России от 27.02.1996 N 117 с 1 июля 1996 года введен в действие ГОСТ 857-95. | |
кислота соляная синтетическая техническая по ГОСТ 857-78 или
кислота соляная техническая или
(в ред.
Изменения N 1, введенного Постановлением Госстандарта СССР от 20.07.1984 N 2565)
кислота олеиновая по ГОСТ 10475-75 или
соапсток из саломаса и животных жиров, из светлых масел и жиров, кроме соапстока из масел арахисового, хлопкового, соапсового и маргаринового;
(в ред.
Изменения N 1, введенного Постановлением Госстандарта СССР от 20.07.1984 N 2565)
(введено
Изменением N 1, введенным Постановлением Госстандарта СССР от 20.07.1984 N 2565)
меласса;
(введено
Изменением N 1, введенным Постановлением Госстандарта СССР от 20.07.1984 N 2565)
(введено
Изменением N 1, введенным Постановлением Госстандарта СССР от 20.07.1984 N 2565)
сульфит натрия кристаллический по ГОСТ 903-76 или
гидросульфит натрия технический по ГОСТ 246-76 или
(в ред.
Изменения N 1, введенного Постановлением Госстандарта СССР от 20.07.1984 N 2565)
(в ред.
Изменения N 1, введенного Постановлением Госстандарта СССР от 20.07.1984 N 2565)
1.3. В зависимости от содержания витамина

препарат кормового витамина

подразделяют на марки А, Б.
(в ред.
Изменения N 1, введенного Постановлением Госстандарта СССР от 20.07.1984 N 2565)
1.4. По органолептическим, физико-химическим и биологическим показателям кормовой витамин

должен соответствовать требованиям и нормам, указанным в таблице.
Наименования показателя | Норма для марки |
А | Б |
Внешний вид и свойства | Однородный сыпучий порошок коричневого цвета |
Запах | Свойственный для данного продукта |
Массовая доля влаги, %, не более | 8,0 |
Массовая концентрация витамина  , мг/кг | 100,0 - 500,0 | Не менее 500,0 |
Крупность: | |
остаток на сите из шелковой ткани N 27, %, не более, | 10,0 |
Безвредность в тест-дозе: | |
на одного цыпленка, мг | 800,0 - 1200,0 |
на одну мышь, мг | 100,0 |
Число микробных клеток, тыс/г, не более | 300,0 |
(таблица в ред.
Изменения N 1, введенного Постановлением Госстандарта СССР от 20.07.1984 N 2565)
2.1. Кормовой витамин

принимают партиями. Партией считают любое количество однородного по органолептическим, физико-химическим и биологическим показателям кормового витамина

, фасованное и упакованное в однородную тару и оформленное одним документом о качестве.
2.2. В документе о качестве должны быть указаны:
наименование предприятия-изготовителя и его товарный знак;
наименование препарата;
номер партии;
масса нетто партии;
дата изготовления препарата;
номер документа о качестве;
дата выдачи документа о качестве;
количество мест в партии;
результаты анализа;
штамп ОТК;
обозначение настоящего стандарта.
2.3. Для проверки качества кормового витамина

от каждой партии до 100 единиц продукции делают выборку в количестве 10%, но не менее четырех упаковочных единиц. Если в партии более 100 единиц продукции, отбирают 5% упаковочных единиц. Выборку составляют из единиц продукции, отобранных из разных мест партии.
(в ред.
Изменения N 1, введенного Постановлением Госстандарта СССР от 20.07.1984 N 2565)
2.4. При неудовлетворительных результатах испытаний хотя бы по одному из показателей по нему проводят повторные испытания на удвоенном количестве выборки, взятой от той же партии кормового витамина

. Результаты повторных испытаний распространяются на всю партию.
2.5. Изготовитель определяет число микробных клеток и безвредность в каждой десятой партии препарата.
(п. 2.5 введен
Изменением N 1, введенным Постановлением Госстандарта СССР от 20.07.1984 N 2565)
3.1. Методы отбора проб
Отбор проб - по
ГОСТ 13496.0-80. Масса объединенной пробы должна быть не менее 300 г.
(п. 3.1.1 в ред.
Изменения N 1, введенного Постановлением Госстандарта СССР от 20.07.1984 N 2565)
3.1.2. Исключен с 1 января 1985 года. -
Изменение N 1, введенное Постановлением Госстандарта СССР от 20.07.1984 N 2565.
3.1.3. Исключен с 1 января 1985 года. -
Изменение N 1, введенное Постановлением Госстандарта СССР от 20.07.1984 N 2565.
3.2. Внешний вид и цвет кормового витамина

определяют визуально в каждой единице продукции в момент отбора точечной пробы.
(в ред.
Изменения N 1, введенного Постановлением Госстандарта СССР от 20.07.1984 N 2565)
3.3. Определение запаха
3.3.1. Навеску массой 20 г высыпают на чистую бумагу и органолептически определяют запах. Для усиления ощущения запаха навеску помещают в фарфоровую чашку, которую накрывают стеклом, ставят на предварительно нагретую до кипения водяную баню (или сосуд с водой) и прогревают в течение 5 мин.
3.4. Определение массовой доли влаги кормового витамина

- по ГОСТ 13496.3-80.
(п. 3.4 в ред.
Изменения N 1, введенного Постановлением Госстандарта СССР от 20.07.1984 N 2565)
3.4.1. Исключен с 1 января 1985 года. -
Изменение N 1, введенное Постановлением Госстандарта СССР от 20.07.1984 N 2565.
3.4.2. Исключен с 1 января 1985 года. -
Изменение N 1, введенное Постановлением Госстандарта СССР от 20.07.1984 N 2565.
3.4.3. Исключен с 1 января 1985 года. -
Изменение N 1, введенное Постановлением Госстандарта СССР от 20.07.1984 N 2565.
3.5. Определение содержания витамина

микробиологическим методом с использованием в качестве тест-микроба E. coli штамм 113-3
Метод основан на способности культуры E. coli штамм 113-3 расти только в присутствии витамина

.
Примечание. При разногласиях между поставщиками и потребителем и при поставке продукции на экспорт определение массовой доли витамина

проводят с использованием цианистого калия.
(примечание введено
Изменением N 1, введенным Постановлением Госстандарта СССР от 20.07.1984 N 2565)
3.5.1. Аппаратура, реактивы и материалы
Для проведения испытания применяют:
весы технические I, II классов типов Т-1, Т-2;
весы аналитические с разновесами марки АДВ-200 или других аналогичных марок;
холодильник стеклянный лабораторный по ГОСТ 9499-70;
плитку электрическую по ГОСТ 306-76;
термостат;
автоклав;
pH-метр или бумагу индикаторную универсальную pH 1 - 10;
фотоэлектроколориметр или нефелометр;
баню водяную;
колбы мерные по
ГОСТ 1770-74 вместимостью 50, 100 и 1000, 500 и 250 см3;
(в ред.
Изменения N 1, введенного Постановлением Госстандарта СССР от 20.07.1984 N 2565)
колбы стеклянные лабораторные по
ГОСТ 25336-82 вместимостью 100 см3;
(в ред.
Изменения N 1, введенного Постановлением Госстандарта СССР от 20.07.1984 N 2565)
(в ред.
Изменения N 1, введенного Постановлением Госстандарта СССР от 20.07.1984 N 2565)
(в ред.
Изменения N 1, введенного Постановлением Госстандарта СССР от 20.07.1984 N 2565)
петлю микробиологическую;
(в ред.
Изменения N 1, введенного Постановлением Госстандарта СССР от 20.07.1984 N 2565)
(в ред.
Изменения N 1, введенного Постановлением Госстандарта СССР от 20.07.1984 N 2565)
агар микробиологический по ГОСТ 17206-71 или агар пищевой по ГОСТ 16280-70;
(в ред.
Изменения N 1, введенного Постановлением Госстандарта СССР от 20.07.1984 N 2565)
(в ред.
Изменения N 1, введенного Постановлением Госстандарта СССР от 20.07.1984 N 2565)
l-аспарагин;
цианокобаламин (витамин

) по Государственной фармакопее, изд. X, ст. 192 или раствор цианокобаламина для инъекций по Государственной фармакопее, изд. X, ст. 193;
(в ред.
Изменения N 1, введенного Постановлением Госстандарта СССР от 20.07.1984 N 2565)
натрия гидрат окиси (натр едкий) по
ГОСТ 4328-77, 0,2; 0,5 и 1,5 н. растворы;
(в ред.
Изменения N 1, введенного Постановлением Госстандарта СССР от 20.07.1984 N 2565)
| | ИС МЕГАНОРМ: примечание. В официальном тексте документа, видимо, допущена опечатка: возможно, имеется в виду азотистокислый, а не азотнокислый. | |
натрий азотнокислый по
ГОСТ 4197-74 или калий цианистый технический по ГОСТ 8465-79;
(в ред.
Изменения N 1, введенного Постановлением Госстандарта СССР от 20.07.1984 N 2565)
dl-метионин;
спектрофотометр СФ-26 или других аналогичных марок.
(абзац введен
Изменением N 1, введенным Постановлением Госстандарта СССР от 20.07.1984 N 2565)
3.5.2. Подготовка к испытанию
3.5.2.1. Приготовление 10%-ного казеинового кислотного гидролизата
100 г размолотого казеина, взвешенного с погрешностью не более 0,01 г, помещают в колбу вместимостью 1000 см3, добавляют 500 см3 20%-ной соляной кислоты и перемешивают. К колбе присоединяют обратный холодильник и нагревают в течение 24 ч. Первые 5 - 8 ч нагревание проводят на водяной бане при температуре 100 °C, а затем на плитке с асбестовой сеткой.
(в ред.
Изменения N 1, введенного Постановлением Госстандарта СССР от 20.07.1984 N 2565)
Из полученного гидролизата под вакуумом отгоняют соляную кислоту до получения густого сиропа. Затем добавляют 300 см3 бидистиллированной воды и снова отгоняют до получения густого сиропа. Указанную операцию повторяют еще раз.
(в ред.
Изменения N 1, введенного Постановлением Госстандарта СССР от 20.07.1984 N 2565)
Оставшуюся массу растворяют в 100 см3 бидистиллированной воды, доводят pH до 3,5 5 н. раствором едкого натра, помещают в мерную колбу вместимостью 1000 см3 и доливают до метки бидистиллированной водой.
(в ред.
Изменения N 1, введенного Постановлением Госстандарта СССР от 20.07.1984 N 2565)
Добавляют 20 см3 активированного угля и периодически встряхивают в течение 1 ч, затем полученную смесь фильтруют на воронке Бюхнера. Фильтрат еще раз обрабатывают углем до получения бесцветного или слабо-желтого раствора, который разливают в колбы вместимостью до 100 см3 и стерилизуют в автоклаве при 1 кгс/см2 в течение 20 мин и затем охлаждают. Раствор хранят в холодильнике под слоем толуола.
(в ред.
Изменения N 1, введенного Постановлением Госстандарта СССР от 20.07.1984 N 2565)
3.5.2.2. Выращивание чистой культуры E. coli штамм 113-3
Культуру выращивают в пробирках на агаровых косяках и хранят в холодильнике при температуре 3 - 5 °C.
Состав агаровой среды в расчете на 100 см3:
(в ред.
Изменения N 1, введенного Постановлением Госстандарта СССР от 20.07.1984 N 2565)
казеиновый кислотный 10%-ный гидролизат - 6 см3;
(в ред.
Изменения N 1, введенного Постановлением Госстандарта СССР от 20.07.1984 N 2565)
калий фосфорнокислый двузамещенный - 20 мг;
железо сернокислое - 0,5 мг;
магний сернокислый - 20 мг;
l-аспарагин - 20 мг;
глицерин - 200 мг;
агар - 1,5 г;
витамин

- 10 мкг;
вода бидистиллированная - до 100 см3.
(в ред.
Изменения N 1, введенного Постановлением Госстандарта СССР от 20.07.1984 N 2565)
В колбу вместимостью 100 см3 наливают бидистиллированную воду и последовательно растворяют в ней первые четыре компонента.
(в ред.
Изменения N 1, введенного Постановлением Госстандарта СССР от 20.07.1984 N 2565)
l-аспарагин отдельно растворяют в бидистиллированной воде с прибавлением нескольких капель 1 н. соляной кислоты, а затем приливают к раствору в колбе. 1 н. раствором едкого натра доводят pH раствора до 7,0. Избыток щелочи нейтрализуют 1 н. раствором соляной кислоты.
(в ред.
Изменения N 1, введенного Постановлением Госстандарта СССР от 20.07.1984 N 2565)
К раствору добавляют глицерин, агар и доливают бидистиллированной водой до метки. Затем колбу с содержимым подогревают на водяной бане до растворения агара, вносят витамин

и смесь тщательно перемешивают. Смесь разливают по 5 см3 в пробирки и стерилизуют 15 мин под давлением 1 кгс/см2.
(в ред.
Изменения N 1, введенного Постановлением Госстандарта СССР от 20.07.1984 N 2565)
Культуру раз в месяц пересевают на свежую агаровую среду и выдерживают в термостате в течение 24 ч при температуре 37 °C.
3.5.2.3. Приготовление основной среды
Состав среды в расчете на 1000 см3:
(в ред.
Изменения N 1, введенного Постановлением Госстандарта СССР от 20.07.1984 N 2565)
калий фосфорнокислый двузамещенный - 7 г;
калий фосфорнокислый однозамещенный - 3 г;
натрий лимоннокислый - 0,5 г;
магний сернокислый - 0,1 г;
аммоний сернокислый - 1 г;
глюкоза - 2 г;
натрий хлористый - 0,5 г;
натрий азотистокислый - 0,5 г или калий цианистый - 0,02%-ный раствор - 5 см3;
(в ред.
Изменения N 1, введенного Постановлением Госстандарта СССР от 20.07.1984 N 2565)
вода бидистиллированная - до 1000 см3.
(в ред.
Изменения N 1, введенного Постановлением Госстандарта СССР от 20.07.1984 N 2565)
В колбу вместимостью 1000 см3 наливают бидистиллированную воду и последовательно растворяют в ней все компоненты. Затем доводят содержимое колбы бидистиллированной водой до метки. Конечное значение pH среды устанавливают 6,8 - 7,0.
(в ред.
Изменения N 1, введенного Постановлением Госстандарта СССР от 20.07.1984 N 2565)
3.5.2.4. Приготовление посевной культуры
Посевную культуру готовят за сутки до постановки опыта. Для этого пробирки с 10 см3 основной среды и витамином

(из расчета 0,025 мкг в 1 см3 среды) или dl-метионином (из расчета 1 мкг в 1 см3 среды) стерилизуют в автоклаве при 1 кгс/см2 в течение 20 мин и после охлаждения петлей вносят культуру с агаровой среды.
(в ред.
Изменения N 1, введенного Постановлением Госстандарта СССР от 20.07.1984 N 2565)
Пробирки выдерживают в термостате 16 - 20 ч при температуре 37 °C. Полученную бактериальную суспензию разводят стерильным 0,9%-ным раствором хлористого натрия или стерильной основной средой, разбавленной вдвое стерильной бидистиллированной водой в соотношении одна капля суспензии на 10 см3 раствора или среды.
(в ред.
Изменения N 1, введенного Постановлением Госстандарта СССР от 20.07.1984 N 2565)
3.5.2.5. Приготовление разведений стандартного раствора витамина

Перед приготовлением стандартного раствора витамина

определяют его содержание в кристаллическом цианкобаламине или в его растворе на спектрофотометре.
Для этого около 0,1 г кристаллического цианкобаламина, взвешенного с погрешностью не более 0,0001 г, растворяют в бидистиллированной воде в мерной колбе вместимостью 500 см3 и доводят объем раствора до метки.
25 см3 полученного раствора переносят в мерную колбу вместимостью 250 см3 и доводят объем раствора бидистиллированной водой до метки. Оптическую плотность определяют на спектрофотометре при длине волны 361 нм в кювете с толщиной слоя 1 см.
Массовую долю цианкобаламина (X) в процентах вычисляют по формуле

,
где D - оптическая плотность испытуемого раствора;
207 - удельный показатель поглощения

чистого безводного цианкобаламина при длине волны 361 нм;
m - масса навески, г.
Раствор цианкобаламина из ампулы разводят бидистиллированной водой до содержания около 0,02 мг цианкобаламина в 1 см3, измеряют оптическую плотность полученного раствора на спектрофотометре при длине волны 361 нм в кювете с толщиной слоя 1 см. В качестве контрольного раствора применяют бидистиллированную воду. Содержание цианкобаламина

в мг в см3 вычисляют по формуле

,
где

- конечный объем раствора, см3;
V - объем раствора цианкобаламина, взятый для разведения, см3.
(абзац введен
Изменением N 1, введенным Постановлением Госстандарта СССР от 20.07.1984 N 2565)
Стандартный раствор готовят из расчета 10 мкг витамина

на 1 см3 бидистиллированной воды.
(в ред.
Изменения N 1, введенного Постановлением Госстандарта СССР от 20.07.1984 N 2565)
Раствор хранят в холодильнике в темной стеклянной посуде с притертой пробкой под слоем толуола в течение месяца. По истечении срока хранения раствор подлежит проверке на спектрофотометре по методике для раствора цианкобаламина.
(в ред.
Изменения N 1, введенного Постановлением Госстандарта СССР от 20.07.1984 N 2565)
В день опыта раствор разводят в

(последовательно в 100, 100, а затем в 20 раз). Затем из этого разведения готовят четыре рабочих разведения и одно контрольное. Каждое из них готовят в трех повторностях, для чего в 15 пробирок (по три для каждого разведения и контроля) пипеткой вносят по 5 см3 основной среды и следующие количества раствора витамина

: 0,0; 0,5; 1,0; 1,5; 2,0 см3. Затем объем содержимого каждой пробирки доводят до 10 см3 добавлением бидистиллированной воды.
(в ред.
Изменения N 1, введенного Постановлением Госстандарта СССР от 20.07.1984 N 2565)
3.5.2.6. Подготовка исследуемой пробы кормового витамина

для анализа
Навеску препарата массой 1 г, взвешенную с погрешностью не более 0,0001 г, измельчают и суспензируют в 50 см3 бидистиллированной воды. Для стабилизации добавляют 0,05 - 0,10 г азотистокислого натрия или 1 - 2 см3 0,02%-ного раствора цианистого калия и несколькими каплями 1 н. соляной кислоты доводят pH суспензии до 5,0 - 5,5. Избыток кислоты нейтрализуют 0,5 н. раствором едкого натра.
(в ред.
Изменения N 1, введенного Постановлением Госстандарта СССР от 20.07.1984 N 2565)
Затем суспензию кипятят в течение 20 мин на водяной бане или помещают в автоклав на 15 мин при давлении 0,5 - 1,0 кгс/см2, после чего охлаждают.
(в ред.
Изменения N 1, введенного Постановлением Госстандарта СССР от 20.07.1984 N 2565)
Охлажденную суспензию переносят в мерную колбу вместимостью 100 см3, доводят pH до 6,8 - 7,0 добавлением 0,5 н. раствора едкого натра и 1 н. раствора соляной кислоты и доливают колбу бидистиллированной водой до метки.
(в ред.
Изменения N 1, введенного Постановлением Госстандарта СССР от 20.07.1984 N 2565)
Смесь фильтруют через бумажный фильтр и часть профильтрованного экстракта разбавляют водой до такой концентрации, чтобы в 1 см3 содержалось приблизительно 0,02 - 0,05 нг витамина

.
(в ред.
Изменения N 1, введенного Постановлением Госстандарта СССР от 20.07.1984 N 2565)
3.5.2.7. Приготовление контрольной пробы
В исследуемой пробе может содержаться метионин, к которому чувствителен штамм E. coli 113-3, поэтому проводят контрольный анализ исследуемого экстракта, где витамин

предварительно разрушают. Для этого 5 см3 экстракта смешивают с 5 см3 0,2 н. едкого натра и кипятят в течение 20 мин на водяной бане с обратным холодильником. После охлаждения раствор нейтрализуют добавлением 1 н. соляной кислоты и разбавляют водой до такой же степени, как и в опыте с неразрушенным витамином

.
(в ред.
Изменения N 1, введенного Постановлением Госстандарта СССР от 20.07.1984 N 2565)
3.5.2.8. Приготовление разведений исследуемого раствора кормового витамина

Из исследуемой пробы готовят три разведения (в двух повторностях каждое), для чего в 6 пробирок (по две для каждого разведения) вносят по 5 см3 основной среды и следующие количества экстракта: 0,5; 1,0; 2,0 см3. Кроме того, готовят три разведения контрольного раствора. Для этого в три пробирки вносят по 5 см3 основной среды и следующие количества контрольного раствора: 3; 4; 5 см3. Затем объем содержимого каждой пробирки доводят до 10 см3 добавлением бидистиллированной воды.
(в ред.
Изменения N 1, введенного Постановлением Госстандарта СССР от 20.07.1984 N 2565)
3.5.3. Проведение испытания
Испытание состоит из составления калибровочной кривой для чистого витамина

и непосредственного испытания исследуемой пробы.
Пробирки с разведением стандартного и исследуемого растворов помещают в автоклав на 20 мин при давлении 1 кгс/см2, после чего охлаждают. Затем засевают каждую пробирку одной каплей бактериальной суспензии (приготовленной по
п. 3.5.2.4) и ставят в термостат на 20 - 24 ч при температуре 37 °C.
По истечении указанного времени пробирки прогревают в автоклаве текучим паром 15 мин и охлаждают. После охлаждения содержимое пробирок взбалтывают и замеряют мутность на фотоэлектроколориметре или нефелометре. При использовании фотоэлектроколориметра замеры делают при синем светофильтре. Контрольным раствором для определения мутности является бидистиллированная вода.
(в ред.
Изменения N 1, введенного Постановлением Госстандарта СССР от 20.07.1984 N 2565)
По полученным данным на миллиметровой бумаге строят калибровочный график. На оси ординат откладывают значение мутности для каждого стандартного разведения (среднее из трех пробирок), а на оси абсцисс - соответствующее количество витамина

. При соединении полученных точек получают калибровочную линию.
(в ред.
Изменения N 1, введенного Постановлением Госстандарта СССР от 20.07.1984 N 2565)
При незначительном разбросе точек калибровочную линию проводят между ними на расстоянии, равноудаленном от большинства точек.
(абзац введен
Изменением N 1, введенным Постановлением Госстандарта СССР от 20.07.1984 N 2565)
3.5.4. Обработка результатов
Содержание витамина

определяют отдельно в каждой пробирке исследуемой пробы при помощи калибровочной линии. Данные, которые не укладываются в калибровочную линию, отбрасывают. По данным, которые уложились в линию (не менее двух разведений), определяют количество витамина

в исследуемой пробе, затем вычисляют среднее арифметическое результатов двух разведений.
(в ред.
Изменения N 1, введенного Постановлением Госстандарта СССР от 20.07.1984 N 2565)
Если наблюдается рост бактерий в контрольных пробирках, где витамин разрушен, то находят по калибровочному графику соответствующие росту значения, которые вычитают из найденного количества витамина

в исследуемой пробе.
(в ред.
Изменения N 1, введенного Постановлением Госстандарта СССР от 20.07.1984 N 2565)
За окончательный результат испытания принимают среднее арифметическое результатов двух параллельных определений.
Допускаемые расхождения между результатами двух параллельных определений не должны превышать 4,5 отн. %. Погрешность метода - +/- 15%.
(в ред.
Изменения N 1, введенного Постановлением Госстандарта СССР от 20.07.1984 N 2565)
3.6. Определение безвредности
3.6.1. Аппаратура и реактивы
Для проведения испытания применяют:
шприц медицинский инъекционный типа "Рекорд" по ГОСТ 18137-77;
(в ред.
Изменения N 1, введенного Постановлением Госстандарта СССР от 20.07.1984 N 2565)
ступку по ГОСТ 9147-73;
| | ИС МЕГАНОРМ: примечание. Взамен ГОСТ 2874-73 Постановлением Госстандарта СССР от 18.10.1982 N 3989 с 1 января 1985 года введен в действие ГОСТ 2874-82. | |
воду питьевую по ГОСТ 2874-73.
3.6.2. Проведение испытания
Для проведения испытания отбирают пять цыплят 6 - 8-недельного возраста массой по 400 - 600 г или пять белых мышей массой по 18 - 20 г. Кормовой витамин

тщательно растирают в ступке с водой. Воду добавляют с таким расчетом, чтобы 1 см3 готовой суспензии содержал 100 мг препарата. Суспензию вводят цыплятам шприцем с тонким резиновым зондом через рот в течение пяти суток в дозе 8 - 12 см3 на каждого (из расчета 2 см3 на 100 г живой массы). Мышам взвесь вводят через рот с помощью иглы, на конец которой наплавлена олива диаметром не более 1 мм. Препарат вводят ежедневно в течение пяти суток в дозе 1 см3 на каждую мышь (из расчета 100 мг препарата на одну мышь).
(в ред.
Изменения N 1, введенного Постановлением Госстандарта СССР от 20.07.1984 N 2565)
3.6.3. Обработка результатов
Препарат считают безвредным, если все цыплята остаются живыми в течение пяти, а мыши в течение двух последующих суток наблюдения. При гибели части их проверку повторяют на удвоенном количестве цыплят и мышей. При гибели хотя бы одного цыпленка или мыши в повторном опыте препарат бракуют. Каждого цыпленка или мышь используют в опыте один раз.
3.7. Определение крупности частиц
3.7.1. Аппаратура
Для проведения испытания применяют:
рассев лабораторный с электрическим или ручным приводом с частотой вращения 180 - 200 об/мин;
сито лабораторное с сеткой из облегченной шелковой ткани N 27 по ГОСТ 4403-77;
весы технические I, II классов типов Т-1, Т-2.
3.7.2. Проведение испытания
50 г препарата, взвешенного с погрешностью не более 0,01 г, просеивают через сито в течение 8 мин. Затем слегка постукивают по обечайке сита и вновь просеивают в течение 2 мин. Для очистки сит при просеивании применяют 5 резиновых кружочков массой около 0,5 г каждый. Допускается просеивание ручным способом при 110 - 120 движениях в минуту и размахе колебаний сита около 10 см.
Остаток на сите взвешивают на технических весах с погрешностью не более 0,01 г.
3.7.3. Обработка результатов
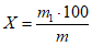
Крупность частиц (остаток на сите) (X) в процентах вычисляют по формуле

,
где m - масса навески, г;

- масса остатка на сите, г.
Вычисление производят до 0,01%.
За окончательный результат испытания принимают среднее арифметическое результатов двух параллельных определений. Допускаемые расхождения между результатами двух параллельных определений не должны превышать 0,2 абс. %.
3.8. Определение числа микробных клеток
(п. 3.8 введен
Изменением N 1, введенным Постановлением Госстандарта СССР от 20.07.1984 N 2565)
3.8.1. Аппаратура и реактивы
Для проведения испытания применяют:
| | ИС МЕГАНОРМ: примечание. Взамен ГОСТ 24104-80 с 1 января 1989 года Постановлением Госстандарта СССР от 23.06.1988 N 2472 введен в действие ГОСТ 24104-88. Взамен ГОСТ 24104-88 с 1 июля 2002 года Постановлением Госстандарта России от 26.10.2001 N 439-ст введен в действие ГОСТ 24104-2001. | |
весы лабораторные рычажные 1-го или 2-го класса точности с наибольшим пределом взвешивания 200 г по ГОСТ 24104-80 или других аналогичных типов;
термостат типа ТС-80 или других аналогичных типов для поддержания температуры с отклонением +/- 0,2 °C от заданной;
лупу с увеличением в 8 - 10 раз;
прибор для подсчета колоний бактерий;
колбы стеклянные лабораторные по
ГОСТ 25336-82 вместимостью 250 см3;
пипетки по
ГОСТ 20292-74 4-го или 5-го исполнения, 1-го или 2-го класса точности, вместимостью 1 см3;
чашки стеклянные лабораторные по
ГОСТ 25336-82 типа ЧБП, исполнения 2;
агар микробиологический по ГОСТ 17206-71 или агар пищевой по ГОСТ 16280-70;
(п. 3.8.1 введен
Изменением N 1, введенным Постановлением Госстандарта СССР от 20.07.1984 N 2565)
3.8.2. Подготовка к испытанию
| | ИС МЕГАНОРМ: примечание. Взамен ГОСТ 9225-68, кроме части примечания к п. 1.5, Постановлением Госстандарта СССР от 24.09.1984 N 3280 с 1 января 1986 года введен в действие ГОСТ 9225-84. | |
Мясо-пептонный агар готовят по ГОСТ 9225-68.
(п. 3.8.2 введен
Изменением N 1, введенным Постановлением Госстандарта СССР от 20.07.1984 N 2565)
3.8.3. Проведение испытания
1 г препарата, взвешенного с погрешностью не более 0,01 г, помещают в колбу с 99 см3 стерильного физиологического раствора, получают разведение 1:100 и тщательно встряхивают. Из полученной взвеси готовят последующие разведения 1:1000 и 1:10000. После оседания взвешенных частиц из верхнего слоя жидкости берут суспензию каждого разведения и засевают на 2 - 3 чашки следующим образом:
1 см3 суспензии, взятый стерильной пипеткой, помещают в центр каждой чашки и заливают около 15 см3 расплавленного и охлажденного до 45 °C мясо-пептонного агара. При посеве и заливке агаром крышку чашки Петри быстро приоткрывают и закрывают. Сразу после заливки агара содержимое тщательно перемешивают, делая чашками круговые движения на гладкой поверхности стола, для равномерного распределения посевного материала. После застывания агара чашки переворачивают крышками вниз, помещают в термостат и выдерживают в течение 48 ч при температуре 37 °C.
(п. 3.8.3 введен
Изменением N 1, введенным Постановлением Госстандарта СССР от 20.07.1984 N 2565)
3.8.4. Обработка результатов
Число выросших колоний подсчитывают в каждой чашке, поместив ее вверх дном (без крышки), пользуясь лупой и прибором для подсчета колоний. Каждую подсчитанную колонию отмечают на дне чашки чернилами. При большом числе колоний и равномерном их распределении дно чашки делят на 4 одинаковых сектора, подсчитывают число колоний в 2 - 3 секторах, находят среднее арифметическое и умножают на общее число секторов. Таким образом находят общее число колоний, выросших на одной чашке. Для подсчета общего числа микробных клеток в 1 г препарата число колоний, выросших на каждой чашке, умножают на соответствующее разведение.
Полученные результаты по отдельным чашкам складывают, делят на количество подсчитанных чашек и выводят среднее арифметическое, которое принимают за окончательный результат.
(п. 3.8.4 введен
Изменением N 1, введенным Постановлением Госстандарта СССР от 20.07.1984 N 2565)
4. УПАКОВКА, МАРКИРОВКА, ТРАНСПОРТИРОВАНИЕ И ХРАНЕНИЕ
| | ИС МЕГАНОРМ: примечание. Взамен ГОСТ 10354-73 Постановлением Госстандарта СССР от 02.06.1982 N 2253 с 1 июля 1983 года введен в действие ГОСТ 10354-82. | |
| | ИС МЕГАНОРМ: примечание. Взамен ГОСТ 2226-75 Постановлением Госстандарта СССР от 29.06.1988 N 2501 с 1 января 1990 года введен в действие ГОСТ 2226-88. | |
4.1. Кормовой витамин

фасуют по 10, 12 и 15 кг с погрешностью не более 1,25% в мешки из полиэтиленовой пленки по ГОСТ 10354-73, которые затем запаивают и упаковывают в бумажные четырехслойные мешки марок НМ, ВМ, ПМ или ВМП по ГОСТ 2226-75.
(в ред.
Изменения N 1, введенного Постановлением Госстандарта СССР от 20.07.1984 N 2565)
4.2. На каждый бумажный мешок наклеивают, пришивают или наносят трафаретом этикетку, содержащую данные об упакованной продукции:
наименование предприятия-изготовителя и его товарный знак;
наименование препарата;
марку препарата;
массовую долю витамина

;
массу нетто;
номер партии;
дату изготовления;
назначение препарата;
норму ввода;
срок хранения;
условия хранения;
обозначение настоящего стандарта.
(п. 4.2 в ред.
Изменения N 1, введенного Постановлением Госстандарта СССР от 20.07.1984 N 2565)
4.2.1. Маркировка транспортной тары - по
ГОСТ 14192-77 с нанесением манипуляционного знака "Боится сырости".
(п. 4.2.1 введен
Изменением N 1, введенным Постановлением Госстандарта СССР от 20.07.1984 N 2565)
4.2.2. Витамин

кормовой, предназначенный для экспорта, маркируют по
ГОСТ 14192-77 и в соответствии с заказом-нарядом внешнеторгового объединения.
(п. 4.2.2 введен
Изменением N 1, введенным Постановлением Госстандарта СССР от 20.07.1984 N 2565)
4.3. Транспортирование - по ГОСТ 23462-79.
(п. 4.3 в ред.
Изменения N 1, введенного Постановлением Госстандарта СССР от 20.07.1984 N 2565)
4.4. Хранение - по ГОСТ 23462-79.
(п. 4.4 в ред.
Изменения N 1, введенного Постановлением Госстандарта СССР от 20.07.1984 N 2565)
5.1. Изготовитель гарантирует соответствие кормового витамина

требованиям настоящего стандарта при соблюдении потребителем условий применения и хранения.
(в ред.
Изменения N 1, введенного Постановлением Госстандарта СССР от 20.07.1984 N 2565)
5.2. Гарантийный срок хранения кормового витамина

- 1 год со дня изготовления.