Главная // Актуальные документы // ГОСТ Р (Государственный стандарт)СПРАВКА
Источник публикации
М.: Стандартинформ, 2014
Примечание к документу
Документ
введен в действие с 1 июля 2015 года.
Название документа
"ГОСТ Р 55982-2014. Национальный стандарт Российской Федерации. Кислота уксусная для пищевой промышленности. Технические условия"
(утв. и введен в действие Приказом Росстандарта от 31.03.2014 N 266-ст)
"ГОСТ Р 55982-2014. Национальный стандарт Российской Федерации. Кислота уксусная для пищевой промышленности. Технические условия"
(утв. и введен в действие Приказом Росстандарта от 31.03.2014 N 266-ст)
Утвержден и введен в действие
по техническому регулированию
и метрологии
от 31 марта 2014 г. N 266-ст
НАЦИОНАЛЬНЫЙ СТАНДАРТ РОССИЙСКОЙ ФЕДЕРАЦИИ
КИСЛОТА УКСУСНАЯ ДЛЯ ПИЩЕВОЙ ПРОМЫШЛЕННОСТИ
ТЕХНИЧЕСКИЕ УСЛОВИЯ
Acetic acid for the food industry. Specifications
ГОСТ Р 55982-2014
Дата введения
1 июля 2015 года
1 РАЗРАБОТАН Государственным научным учреждением Всероссийским научно-исследовательским институтом пищевой биотехнологии Российской академии сельскохозяйственных наук (ГНУ ВНИИПБТ Россельхозакадемии)
2 ВНЕСЕН Техническим комитетом по стандартизации ТК 176 "Спиртовая, дрожжевая и ликероводочная продукция"
3 УТВЕРЖДЕН И ВВЕДЕН В ДЕЙСТВИЕ
Приказом Федерального агентства по техническому регулированию и метрологии от 31 марта 2014 г. N 266-ст
4 ВВЕДЕН ВПЕРВЫЕ
Правила применения настоящего стандарта установлены в ГОСТ Р 1.0-2012
(раздел 8). Информация об изменениях к настоящему стандарту публикуется в годовом (по состоянию на 1 января текущего года) информационном указателе "Национальные стандарты", а официальный текст изменений и поправок - в ежемесячно издаваемом информационном указателе "Национальные стандарты". В случае пересмотра (замены) или отмены настоящего стандарта соответствующее уведомление будет опубликовано в ближайшем выпуске ежемесячного информационного указателя "Национальные стандарты". Соответствующая информация, уведомление и тексты размещаются также в информационной системе общего пользования - на официальном сайте Федерального агентства по техническому регулированию и метрологии в сети Интернет (gost.ru)
Настоящий стандарт распространяется на уксусную кислоту, предназначенную для использования в пищевой промышленности (далее - уксусная кислота), получаемую из синтетической уксусной кислоты путем очистки ее и разбавления водой.
Уксусную кислоту, предназначенную для использования в качестве сырья при производстве столового уксуса и для промышленной переработки на предприятиях пищевой промышленности, вырабатывают массовой долей 20%, 30%, 70% и 80%. Уксусная кислота концентрацией 70% подлежит реализации в розничной торговле для пищевых целей.
Требования к показателям безопасности изложены в
4.1.4, требования к качеству продукта - в
4.1.2,
4.1.3, к маркировке - в
4.3, к упаковке - в
4.4.
В настоящем стандарте использованы нормативные ссылки на следующие стандарты:
ГОСТ 8.579-2001 Требования к количеству фасованных товаров в упаковках любого вида при их производстве, расфасовке, продаже и импорте
ГОСТ 12.1.004-91 Система стандартов безопасности труда. Пожарная безопасность. Общие требования
ГОСТ 12.1.005-88 Система стандартов безопасности труда. Общие санитарно-гигиенические требования к воздуху рабочей зоны
ГОСТ 12.1.007-76 Система стандартов безопасности труда. Вредные вещества. Классификация и общие требования безопасности
ГОСТ 12.1.008-76 Система стандартов безопасности труда. Биологическая безопасность. Общие требования
ГОСТ 12.1.044-89 (ИСО 4589-84) Система стандартов безопасности труда. Пожаровзрывобезопасность веществ и материалов. Номенклатура показателей и методы их определения
ГОСТ 12.4.021-75 Система стандартов безопасности труда. Система вентиляционная. Общие требования
ГОСТ 12.4.068-79 Система стандартов безопасности труда. Средства индивидуальной защиты дерматологические. Классификация и общие требования
ГОСТ 12.4.121-83 Система стандартов безопасности труда. Противогазы промышленные фильтрующие. Технические условия
ГОСТ 61-75 Реактивы. Кислота уксусная. Технические условия
ГОСТ 481-80 Паронит и прокладки из него. Технические условия
ГОСТ 1770-74 (ИСО 1042-83, ИСО 4788-80) Посуда мерная лабораторная стеклянная. Цилиндры, мензурки, колбы, пробирки. Общие технические условия
ГОСТ 4328-77 Реактивы. Натрия гидроокись. Технические условия
ГОСТ 4919.1-77 Реактивы и особо чистые вещества. Методы приготовления растворов индикаторов
ГОСТ 5445-79 Продукты коксования химические. Правила приемки и методы отбора проб
ГОСТ 5541-2002 Средства укупорочные корковые. Общие технические условия
ГОСТ 5632-72 Стали высоколегированные и сплавы коррозионностойкие, жаростойкие и жаропрочные. Марки и технические требования
ГОСТ 9218-86 Цистерны для пищевых жидкостей, устанавливаемые на автотранспортные средства. Общие технические условия
ГОСТ 9557-87 Поддон плоский деревянный размером 800 x 1200 мм. Технические условия
ГОСТ 10117.2-2001 Бутылки стеклянные для пищевых жидкостей. Типы, параметры и основные размеры
ГОСТ 12082-82 Обрешетки дощатые для грузов массой до 500 кг. Общие технические условия
ГОСТ 12290-89 Картон фильтровальный для пищевых жидкостей. Технические условия
ГОСТ 12301-2006 Коробки из картона, бумаги и комбинированных материалов. Общие технические условия
ГОСТ 15846-2002 Продукция, отправляемая в районы Крайнего Севера и приравненные к ним местности. Упаковка, маркировка, транспортирование и хранение
ГОСТ 18251-87 Лента клеевая на бумажной основе. Технические условия
ГОСТ 19814-74 Кислота уксусная синтетическая и регенерированная. Технические условия
ГОСТ 20477-86 Лента полиэтиленовая с липким слоем. Технические условия
ГОСТ 22702-96 Ящики из гофрированного картона для бутылок с пищевыми жидкостями, поставляемыми на экспорт. Общие технические условия
ГОСТ 22831-77 Поддоны плоские деревянные массой брутто 3,2 т размером 1200 x 1600 и 1200 x 1800 мм. Технические условия
ГОСТ 24597-81 Пакеты тарно-штучных грузов. Основные параметры и размеры
ГОСТ 24634-81 Ящики деревянные для продукции, поставляемой для экспорта. Общие технические условия
ГОСТ 24831-81 Тара-оборудование. Типы, основные параметры и размеры
ГОСТ 25336-82 Посуда и оборудование лабораторные стеклянные. Типы и основные параметры и размеры
ГОСТ 25794.1-83 Реактивы. Методы приготовления титрованных растворов для кислотно-основного титрования
ГОСТ 25776-83 Продукция штучная и в потребительской таре. Упаковка групповая в термоусадочную пленку
ГОСТ 25951-83 Пленка полиэтиленовая термоусадочная. Технические условия
ГОСТ 26095-84 Ткани полиэфирные технические фильтровальные. Технические условия
ГОСТ 26155-84 Бочки из коррозионностойкой стали. Технические условия
ГОСТ 26929-94 Сырье и продукты пищевые. Подготовка проб. Минерализация для определения содержания токсичных элементов
ГОСТ 26930-86 Сырье и продукты пищевые. Метод определения мышьяка
ГОСТ 26932-86 Сырье и продукты пищевые. Методы определения свинца
ГОСТ 28498-90 Термометры жидкостные стеклянные. Общие технические требования. Методы испытаний
ГОСТ 29227-91 (ИСО 835-1-81) Посуда лабораторная стеклянная. Пипетки градуированные. Часть 1. Общие требования
ГОСТ 29251-91 (ИСО 385-1-84) Посуда лабораторная стеклянная. Бюретки. Часть 1. Общие требования
ГОСТ 30178-96 Сырье и продукты пищевые. Атомно-абсорбционный метод определения токсичных элементов
ГОСТ 30538-97 Продукты пищевые. Методика определения токсичных элементов атомно-эмиссионным методом
ГОСТ 32129-2013 Бутылки стеклянные. Венчики горловин. Типы и размеры. Часть 1. Венчик типа КПМ-30
ГОСТ 32131-2013 Бутылки стеклянные для алкогольной и безалкогольной пищевой продукции. Общие технические условия
ГОСТ Р 12.1.019-2009 Система стандартов безопасности труда. Электробезопасность. Общие требования и номенклатура видов защиты
ГОСТ Р 50962-96 Посуда и изделия хозяйственного назначения из пластмасс. Общие технические условия
ГОСТ Р 51214-98 Средства укупорочные. Общие положения по безопасности, маркировке и правилам приемки
| | ИС МЕГАНОРМ: примечание. ГОСТ Р 51477-99 утратил силу с 1 июня 2018 года в связи с введением в действие ГОСТ 34037-2016 (Приказ Росстандарта от 19.09.2017 N 1153-ст). | |
ГОСТ Р 51477-99 Тара стеклянная для химических реактивов и особо чистых веществ. Технические условия
ГОСТ Р 51766-2001 Сырье и продукты пищевые. Атомно-адсорбционный метод определения мышьяка
ГОСТ Р 52898-2007 Бутылки стеклянные для пищевой уксусной кислоты и пищевых уксусов. Технические условия
ГОСТ Р 53228-2008 Весы неавтоматического действия. Часть 1. Метрологические и технические требования. Испытания
ГОСТ Р 54463-2011 Тара из картона и комбинированных материалов для пищевой продукции. Технические условия
ГОСТ Р 54470-2011 Тара стеклянная для консервной пищевой продукции. Общие технические условия
Примечание - При пользовании настоящим стандартом целесообразно проверить действие ссылочных стандартов в информационной системе общего пользования - на официальном сайте Федерального агентства по техническому регулированию и метрологии в сети Интернет или по ежегодно издаваемому информационному указателю "Национальные стандарты", который опубликован по состоянию на 1 января текущего года, и по выпускам ежемесячно издаваемого информационного указателя "Национальные стандарты" за текущий год. Если заменен ссылочный стандарт, на который дана недатированная ссылка, то рекомендуется использовать действующую версию стандарта с учетом всех внесенных в данную версию изменений. Если заменен ссылочный стандарт, на который дана датированная ссылка, то рекомендуется использовать версию этого стандарта с указанным выше годом утверждения (принятия). Если после утверждения настоящего стандарта в ссылочный стандарт, на который дана датированная ссылка, внесено изменение, затрагивающее положение, на которое дана ссылка, то это положение рекомендуется применять без учета данного изменения. Если ссылочный стандарт отменен без замены, то положение, в котором дана ссылка на него, рекомендуется применять в части, не затрагивающей эту ссылку.
В настоящем стандарте применены следующие термины с соответствующими определениями:
3.1 кислота уксусная синтетическая: Уксусная кислота, полученная методом карбонилирования из метанола и окиси углерода на родиевом катализаторе.
3.2 кислота уксусная для пищевой промышленности: Раствор уксусной кислоты, полученный из уксусной синтетической кислоты путем ее очистки и разбавления водой.
4. Технические требования
4.1 Характеристики
4.1.1 Уксусная кислота должна быть изготовлена в соответствии с требованиями настоящего стандарта с соблюдением требований
[1].
4.1.2 По органолептическим показателям уксусная кислота должна соответствовать требованиям, указанным в таблице 1.
Таблица 1
Наименование показателя | Характеристика |
Внешний вид и цвет | Бесцветная прозрачная жидкость без посторонних включений и осадка |
Вкус | Кислый, характерный для уксусной кислоты |
Запах | Характерный для уксусной кислоты, без постороннего запаха |
Растворимость в дистиллированной воде | Полная, в любом соотношении, без помутнения и опалесценции |
4.1.3 Уксусная кислота по физико-химическим показателям должна соответствовать требованиям, указанным в таблице 2.
Таблица 2
Наименование показателя | Значение показателя для уксусной кислоты массовой долей, % |
20 | 30 | 70 | 80 |
Массовая доля органических кислот в пересчете на уксусную <*>, % | 20 | 30 | 70 | 80 |
Массовая доля уксусного альдегида, %, не более | 0,002 | 0,004 |
Массовая доля органических веществ в пересчете на муравьиную кислоту, %, не более | 0,01 | 0,04 |
Массовая доля сульфатов, %, не более | 0,0001 | 0,0003 |
Массовая доля хлоридов, %, не более | 0,0001 |
Массовая доля железа, %, не более | 0,0001 |
Массовая доля нелетучего остатка, %, не более | 0,05 | 0,04 | 0,03 | 0,02 |
Устойчивость окраски раствора марганцовокислого калия, мин, не менее | 60 |
Массовая доля веществ, окисляемых двухромовокислым калием, см3, раствора тиосульфата натрия концентрации 0,1 моль/дм3, не более | 1,0 | 2,0 |
<*> Допускается отклонение +/- 1% от значения показателя. |
4.1.4 По показателям безопасности (содержанию свинца, кадмия, мышьяка, ртути) уксусная кислота должна соответствовать требованиям, установленным
[1].
4.2 Требование к сырью и материалам
4.2.1 Для изготовления уксусной кислоты используют следующее сырье и материалы:
- кислоту уксусную ледяную по
ГОСТ 61, х.ч.;
- воду питьевую, соответствующую требованиям
[2];
- ткани фильтровальные по ГОСТ 26095.
Допускается использование сырья с аналогичными характеристиками (или по качеству не ниже указанного).
4.3.1 Маркирование потребительской упаковки с уксусной кислотой проводят в соответствии с требованиями
[3] и
ГОСТ Р 51074 с нанесением предупредительных надписей: "Осторожно - без разбавления водой опасно для жизни", "Хранить в местах, исключающих случайное употребление".
4.3.2 Транспортная маркировка - в соответствии с требованиями
[3] и
ГОСТ 14192 с нанесением манипуляционных знаков: "Хрупкое. Осторожно", "Беречь от влаги" (для картонных ящиков), "Верх" (для закрытых ящиков), знаков опасности: "Едкое вещество" по ГОСТ 19433,
класс 8, подкласс 8.1.
4.3.3 Маркировку на бочки и коррозионностойкую упаковку допускается наносить несмываемой краской при помощи трафарета.
4.3.4 Информацию на этикетку наносят типографским или иным способом, обеспечивающим четкое прочтение на протяжении всего срока хранения. Текст маркировки должен быть на русском языке.
4.4.1 Упаковка уксусной кислоты должна соответствовать требованиям
[4] и
ГОСТ 26319.
4.4.2 Уксусную кислоту разливают:
- для розничной торговли - в мелкую потребительскую упаковку:
в стеклянные специализированные бутылки, имеющие в верхней части три кольцеобразные полоски, вместимостью от 0,1 до 1,0 дм
3 по
ГОСТ Р 52898,
ГОСТ 10117.2,
- промышленного использования - в крупную потребительскую упаковку:
в стеклянные бутыли вместимостью 10 и 20 дм3 по ГОСТ Р 51477,
полиэтиленовые бочки, "евробочки" вместимостью до 150 дм
3 по
ГОСТ Р 52620, изготовленные из пищевого полиэтилена по
ГОСТ 16338,
бутылки из полиэтилентерефталата 1,5 - 5,0 дм
3 по
ГОСТ Р 51695,
кубовые среднетоннажные контейнеры с завинчивающимися крышками, снабженные кольцом контроля вскрытия по
ГОСТ Р 50962,
полиэтиленовые банки вместимостью до 10 дм
3 по
ГОСТ Р 51760,
канистры и бидоны из нержавеющей стали вместимостью до 60 дм3,
бочки из коррозионно-стойкой стали вместимостью до 150 дм
3 по
ГОСТ 26155,
емкости или бочки вместимостью до 275 дм
3, изготовленные из нержавеющей стали марки типа 12Х18Н10Т по
ГОСТ 5632,
4.4.3 Для перевозки и хранения уксусной кислоты допускается использовать полиэтиленовые канистры, фляги, бидоны вместимостью до 60 дм
3 по
ГОСТ Р 52620, изготовленные из пищевого полиэтилена марок 15303-003 и 15803-020
ГОСТ 16337. Для уксусной кислоты в стеклянных бутылках допускается использовать многооборотные ящики из полимерных материалов по
ГОСТ Р 51695, а также потребительскую полимерную упаковку по
ГОСТ Р 51760 и
ГОСТ Р 50962, предназначенную для пищевых продуктов и разрешенную для контакта с уксусной кислотой, авто- и железнодорожные цистерны по
ГОСТ 9218.
4.4.4 Уксусную кислоту разливают в бутылки по объему.
При розливе по объему допускаемое среднее отклонение от номинального количества для 10 бутылок, отобранных при определении полноты налива, при температуре (20,0 +/- 0,5) °C составляет в процентах:
+/- 0,5 - для бутылок вместимостью от 200 до 1000 см3;
+/- 1,0 - для бутылок вместимостью 100 см3.
При розливе уксусной кислоты по объему отклонение содержимого нетто каждой бутылки при температуре (20,0 +/- 0,5) °C от номинального количества не должно превышать значений предела допускаемых отрицательных отклонений по
ГОСТ 8.579.
4.4.5 При проверке полноты налива среднее содержимое 10 бутылок из партии фасованной продукции в упаковках при температуре (20,0 +/- 0,5) °C должно быть не менее номинального количества, указанного на упаковке.
4.4.6 Количество бутылок в партии, отрицательное отклонение содержимого нетто которых при температуре (20,0 +/- 0,5) °C от номинального количества, указанного на упаковке, превышает значение, приводимое в
ГОСТ 8.579, не должно превышать 2% партии.
4.4.7 Особенности розлива в другую потребительскую упаковку должны быть предусмотрены технологическими инструкциями.
4.4.8 Укупоривание стеклянных бутылок с уксусной кислотой проводится полиэтиленовыми пробками по
ГОСТ Р 51958 с дозирующим устройством или без, изготовленными из пищевого полиэтилена по
ГОСТ 16337 и
ГОСТ 16338, алюминиевыми колпачками с перфорацией, полиэтиленовыми пробками, изготовленными из полимерных материалов, корковыми пробками по
ГОСТ 5541, комбинированными укупорочными средствами для бутылок и другими видами укупорочных средств из материалов, разрешенных для контакта с уксусной кислотой.
Стеклянные бутыли с уксусной кислотой вместимостью 10 и 20 дм
3 укупоривают стеклянными притертыми пробками, полимерными укупорочными средствами или завинчивающимися крышками (с прокладкой) по
ГОСТ Р 51958 из полимерных материалов, разрешенных для контакта с уксусной кислотой.
Допускается проводить укупоривание бутылей корковыми пробками по
ГОСТ 5541 или деревянными (мягких пород).
Укупорочные средства должны соответствовать требованиям безопасности по
ГОСТ Р 51214.
Горловины укупоренных бутылей должны быть покрыты полиэтиленовой пленкой и обвязаны шпагатом или другим обвязочным материалом и опломбированы или опечатаны предприятием-изготовителем.
Укупоривание стеклянных банок с уксусной кислотой проводят металлическими крышками с лаковым покрытием.
Канистры вместимостью от 10 до 60 дм3 укупоривают завинчивающимися крышками с прокладкой и пломбируют.
4.4.9 Определяют герметичность укупоривания бутылок, банок и т.п. визуально в наклонном или горизонтальном положении. При отсутствии герметичности наблюдается поток (цепочка) воздушных пузырьков у отверстия бутылки, банки и т.п., такие единицы продукции отбраковывают.
4.4.10 Бутылки с уксусной кислотой укладывают в упаковку по
ГОСТ 24831, деревянные ящики по
ГОСТ 13358 и
ГОСТ 24634, ящики из гофрированного картона по
ГОСТ 22702, пластмассовые многооборотные ящики для бутылок с пищевыми жидкостями, в картонные коробки, в термоусадочную пленку по
ГОСТ 25951,
ГОСТ 25776 и другие виды упаковки для уксусной кислоты.
При упаковывании бутылок с уксусной кислотой в картонные ящики применяют гнезда, нижнюю и верхнюю прокладки. Соединение стыков клапанов и крышки дна ящиков из гофрированного картона проводят клеевой лентой на бумажной основе по
ГОСТ 18251 или полиэтиленовой лентой с липким слоем по
ГОСТ 20477.
Бутыли и банки с уксусной кислотой упаковывают в обрешетки по
ГОСТ 12082 или корзины, дно и боковые стенки которых выстланы упаковочным материалом, или полиэтиленовые барабаны.
Допускается перед упаковкой в ящики бутылки комплектовать по две и завертывать в оберточную бумагу.
4.4.11 Допускается использование других видов, типов и типоразмеров потребительской и транспортной упаковки и упаковочных материалов, разрешенных для контакта с уксусной кислотой, и обеспечивающих сохранность и качество продукции при транспортировании и хранении.
4.4.12 Ящики или коробки укладывают на плоские поддоны по
ГОСТ 9557, универсальные поддоны по
ГОСТ 22831, а также применяют другую транспортную упаковку, разрешенную для транспортирования уксусной кислоты.
При укрупнении грузовых мест формирование пакетов с готовой продукцией проводят по
ГОСТ 24597.
4.4.13 Упаковывание продукции, отправляемой в районы Крайнего Севера и приравненные к ним районы, проводят по
ГОСТ 15846.
5. Правила приемки и методы отбора проб
5.1 Уксусную кислоту принимают партиями.
Партией считается определенное количество уксусной кислоты, одинаково упакованной, произведенное одним изготовителем по одному документу в определенный промежуток времени, сопровождаемое товаросопроводительной документацией, обеспечивающей прослеживание данной продукции.
При транспортировании уксусной кислоты в автоцистернах и бочках партией считают каждую цистерну, бочку.
5.2 Для проверки качества уксусной кислоты в бутылках проводят отбор единиц продукта в выборку методом случайного отбора по таблице 3.
Таблица 3
Объем партии уксусной кислоты, шт. | Объем выборки, шт. | Приемочное число, шт. | Браковочное число, шт. |
До 150 включ. | 14 | 1 | 2 |
От 151 до 1200 включ. | 20 | 2 | 3 |
От 1201 до 10000 включ. | 32 | 3 | 4 |
От 10001 до 35000 включ. | 50 | 5 | 6 |
От 35001 до 50000 включ. | 80 | 7 | 8 |
Св. 50000 | 125 | 10 | 11 |
5.3 Партию уксусной кислоты в бутылках принимают, если количество бутылок, имеющих дефекты, в том числе деформацию, разрывы, перекосы этикеток, в выборке меньше или равно приемочному числу, и бракуют, если оно больше или равно браковочному числу.
5.4 Качество уксусной кислоты, разлитой в банки, бутыли, бочки, устанавливают по анализу объединенной пробы, для чего предварительно отбирают единицы упаковки уксусной кислоты от выборки следующим образом:
- если выборка состоит из пяти и менее единиц упаковки уксусной кислоты, анализу подвергают каждую банку, бутыль, бочку;
- если в выборке количество единиц свыше пяти, для составления объединенной пробы отбирают каждую пятую банку, бутыль, бочку, но не менее четырех единиц упаковки уксусной кислоты.
5.5 Для определения органолептических и физико-химических показателей уксусной кислоты отбирают:
- от каждой автомобильной цистерны, емкости, бочки с уксусной кислотой объединенную пробу, объем которой должен быть не менее 2 дм3;
- из единиц упаковки уксусной кислоты в банках, бутылях - объединенную пробу, объем которой должен быть не менее 2 дм3;
- из единиц упаковки продукта в бутылках - объединенную пробу в количестве четырех бутылок.
5.6 Для определения полноты налива из выборки отбирают 10 бутылок. Полноту налива банок вместимостью 3 дм
3 определяют в трех банках, отобранных из партии методом случайного отбора проб. Полноту налива банок вместимостью 10 дм
3 и бутылей вместимостью 10 и 20 дм
3 определяют в единице упаковки, отобранной из партии методом случайного отбора проб.
5.7 При получении неудовлетворительных результатов контроля хотя бы по одному показателю проводят повторный контроль на удвоенной выборке от той же партии. Из выборки выделяют четыре бутылки, две из которых используют для контроля, а две сохраняют в течение одного месяца на случай возникновения разногласий в оценке качества. Результаты повторного контроля считаются окончательными и распространяются на всю партию.
5.8.1 При отборе проб уксусной кислоты, разлитой в автоцистерны, емкости, бочки применяют пробоотборник в виде стеклянной трубки диаметром 15 - 18 мм с оттянутым концом по
ГОСТ 5445, который предварительно ополаскивают уксусной кислотой, подлежащей проверке. Пробы отбирают равными порциями из верхнего, среднего и нижнего слоев.
5.8.2 Из отобранных для составления объединенной пробы банок, бутылей после тщательного перемешивания отбирают стеклянной трубкой точечные пробы в объеме, пропорциональном количеству уксусной кислоты в банках, бутылях.
5.8.3 Точечные пробы соединяют вместе, перемешивают и составляют объединенную пробу. Объем объединенной пробы должен быть не менее 2 дм
3.
5.8.4 Объединенные пробы, составленные по
5.8.3, разливают в четыре бутылки, вместимостью по 0,5 дм
3, которые предварительно ополаскивают уксусной кислотой. Бутылки с объединенной пробой укупоривают пробками, обертывают куском пленки или ткани и опечатывают.
5.8.5 Составляют акт каждой объединенной пробы с указанием:
- даты, времени и места составления акта;
- фамилии и должности лиц, принимавших участие в отборе пробы;
- наименования и адреса изготовителя;
- наименования и адреса получателя;
- наименования и количества уксусной кислоты в партии, от которой отобрана проба;
- вида упаковки;
- номера автоцистерны или емкости;
- номера партии;
- количества и вместимости бутылок с отобранной объединенной пробой.
Акт отбора проб подписывают лица, принимавшие участие в отборе.
5.8.6 Бутылки с объединенной пробой уксусной кислоты (см.
5.8.4) снабжают этикеткой, на которой должно быть указано:
- наименование изготовителя и потребителя;
- наименование продукта;
- дата изготовления;
- дата и место отбора пробы;
- номер партии;
- количество продукта в партии;
- фамилии и подписи лиц, отобравших пробу.
5.8.7 От партии продукта в бутылках отбирают объединенную пробу методом случайного отбора от выборки, указанной в
5.2, в количестве по
5.5.
5.8.8 Объединенную пробу хорошо перемешивают и разливают в четыре сухие стеклянные бутылки вместимостью по 0,5 дм
3, которые снабжают этикетками по
5.8.5 и оформляют актом отбора проб по
5.8.6.
5.8.9 Для контроля уксусной кислоты по органолептическим и физико-химическим показателям используют две бутылки из отобранных четырех (см.
5.5 и
5.8.4), две другие предназначены для направления в аккредитованную испытательную лабораторию при возникновении разногласий по качеству уксусной кислоты.
5.9 Контроль уксусной кислоты по показателям безопасности (содержание свинца, кадмия, мышьяка, ртути) осуществляют с периодичностью, установленной в программе производственного контроля предприятия-изготовителя.
6.2 Определение внешнего вида и цвета
6.2.1 Средства измерений, посуда и реактивы
Пробирка из бесцветного стекла вместимостью 10 см
3 по
ГОСТ 25336.
Допускается применение других средств измерений, не уступающих вышеуказанным по метрологическим и техническим характеристикам, а также реактивов и посуды, по качеству не хуже вышеуказанных.
6.2.2 Требования к условиям определения:
- температура окружающего воздуха........................... | (20,0 +/- 1,0) °C; |
- относительная влажность воздуха............................ | (60,0 +/- 20,0) %; |
- атмосферное давление............................................... | 84,0 - 106,7 кПа. |
6.2.3 Отсутствие посторонних и взвешенных частиц в уксусной кислоте проверяют на световом экране: в уксусной кислоте, разлитой в бутылки - непосредственно в уксусной кислоте, разлитой в другую упаковку - в бутылках с объединенной пробой (см.
5.8).
Для определения прозрачности и цвета в две одинаковые по размеру и однородные по цвету стекла пробирки вместимостью 20 см3 наливают по 10 см3: в одну - уксусную кислоту, в другую - дистиллированную воду. Сравнивают содержимое пробирок в проходящем и рассеянном свете.
6.3 Определение вкуса и запаха
6.3.1 Посуда и реактивы - по
6.2.1, требования к условиям определения - по
6.2.2.
6.3.2 5 - 10 см3 уксусной кислоты помещают в пробирку и определяют вкус и запах органолептически.
При определении вкуса уксусную кислоту предварительно разбавляют дистиллированной водой до концентрации 3%. При этом проверяют отсутствие помутнения. Кислота не должна иметь постороннего привкуса и запаха.
6.4 Определение полноты налива
6.4.1 Полноту налива бутылок, банок, бутылей определяют измерением объема уксусной кислоты при температуре (20,0 +/- 0,5) °C в десяти единицах упаковки, отобранных по
5.6.
6.4.1.1 Средства измерений и посуда
Термометр ртутный стеклянный по
ГОСТ 28498 с диапазоном измерений от 0 °C до 100 °C и ценой деления 0,1 °C.
Колбы мерные 1-100-2, 1-200-2, 1-250-2, 1-500-2, 1-1000-2 по
ГОСТ 1770.
Цилиндры 1-250 или 3-250, 1-500, 1-1000 по
ГОСТ 1770.
Допускается применение других средств измерений, не уступающих вышеуказанным по метрологическим и техническим характеристикам, а также посуды, по качеству не хуже вышеуказанной.
6.4.2 Уксусную кислоту из бутылки (банки, бутыли) осторожно переливают по стенке в чистую, предварительно ополоснутую уксусной кислотой, мерную колбу или цилиндр соответствующей вместимости. После слива и выдержки бутылки над воронкой мерной колбы в течение 30 с проверяют объем слитой уксусной кислоты.
Недолив количественно определяют введением дополнительного объема уксусной кислоты в мерную колбу или цилиндр до метки пипеткой с ценой деления 0,1 см3.
Перелив количественно определяют изъятием избыточного количества уксусной кислоты из мерной колбы или цилиндра до метки пипеткой с ценой деления 0,1 см3.
6.4.3 За результат отклонения от номинального объема уксусной кислоты принимают среднеарифметическое значение из десяти определений.
6.5 Определение растворимости в дистиллированной воде
6.6 Определение массовой доли органических кислот в пересчете на уксусную
6.6.1 Массовую долю органических кислот в пересчете на уксусную (титруемую кислотность) определяют по количеству гидроокиси натрия, израсходованной на титрование пробы уксусной кислоты.
6.6.2 Требования к условиям определений - по
6.2.2.
6.6.3 Средства измерений, вспомогательное оборудование, посуда и реактивы
Весы неавтоматического действия 1-го класса точности по
ГОСТ Р 53228.
Секундомер.
Стаканы В-2-5 ТХС, Н-1-50 ТС, В-2-100 ТС, Н-1-100 ТХС по
ГОСТ 25336.
Колбы Кн-1-50-14/23 ТС, Кн-2-100-18 ТС по
ГОСТ 25336.
Фенолфталеин (индикатор), спиртовой раствор массовой долей 1%, готовят по
ГОСТ 4919.1.
Натрия гидроокись (едкий натр) по
ГОСТ 4328, раствор молярной концентрации
c(NaOH) = 1 моль/дм
3, готовят по
ГОСТ 25794.1 или из стандарт-титра, х.ч.
Допускается применение других средств измерений и вспомогательного оборудования, не уступающих вышеуказанным по метрологическим и техническим характеристикам, а также реактивов и посуды, по качеству не хуже вышеуказанных.
6.6.4 Около 2 г уксусной кислоты взвешивают, и результаты взвешивания записывают с точностью до четвертого десятичного знака. Определяемую пробу помещают в коническую колбу с притертой пробкой, растворяют в 50 см3 воды и титруют раствором гидроокиси натрия молярной концентрации c(NaOH) = 1 моль/дм3 в присутствии фенолфталеина до появления слабо-розовой окраски, не исчезающей в течение 30 с.
6.6.5 Обработка результатов
Массовую долю органических кислот в пересчете на уксусную X, %, вычисляют по формуле

, (1)
где V - объем раствора гидроокиси натрия молярной концентрации c(NaOH) = 1 моль/дм3, израсходованной на титрование, см3;
0,06005 - масса уксусной кислоты, соответствующая 1 см3 раствора гидроокиси натрия молярной концентрации c(NaOH) = 1 моль/дм3;
100 - коэффициент пересчета в проценты;
m - масса уксусной кислоты, г;
1,3 - коэффициент пересчета муравьиной кислоты на уксусную кислоту;
X2 - массовая концентрация муравьиной кислоты, %, определяемая по
ГОСТ 19814.
Вычисления проводят до второго десятичного знака.
6.6.6 Оформление результатов
За окончательный результат принимают среднеарифметическое значение результатов двух параллельных определений

, выполненных в условиях повторяемости, если выполняется условие приемлемости

, при
P = 0,95, (2)
где

- значение границ абсолютной погрешности результата определений, вычисляемое по формуле

, (3)
где

- границы относительной погрешности результата определений при
P = 0,95 составляют +/- 7%;
P - доверительная вероятность.
Результат округляют до первого десятичного знака.
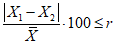
6.6.7 Сходимость и воспроизводимость результатов определений
Результаты определений, полученные в условиях повторяемости (сходимости) признают удовлетворительными, если выполняется условие приемлемости

, (4)
где X1 и X2 - результаты двух параллельных результатов определений, полученные в условиях повторяемости при P = 0,95;

- среднеарифметическое значение результатов двух параллельных результатов определений;
100 - коэффициент пересчета в проценты;
r - предел повторяемости (сходимости), равный 5%.
Результаты определений, полученные в условиях воспроизводимости, признают удовлетворительными, если выполняется условие приемлемости

, (5)
где X1 и X2 - окончательные результаты определений, полученные в двух лабораториях в точном соответствии с методикой;

- среднеарифметическое значение двух окончательных результатов определений, полученных в условиях воспроизводимости;
CD0,95 - критическая разность, равная 10%.
6.7 Определение массовой доли уксусного альдегида, сульфатов, хлоридов, железа, нелетучего остатка, устойчивости к раствору марганцевокислого калия, содержания веществ, окисляемых двухромовокислым калием - по
ГОСТ 19814.
Подготовка проб для определения содержания токсичных элементов - по
ГОСТ 26929.
6.8 Определение массовой доли органических веществ в пересчете на муравьиную кислоту - по
ГОСТ 19814.
6.9 Подготовка проб для определения содержания токсичных элементов - по
ГОСТ 26929.
6.10 Определение содержания токсичных элементов:
7. Транспортирование и хранение
7.1 Уксусную кислоту транспортируют в мелкой и крупной потребительской упаковке (см.
4.4.1) в соответствии с правилами перевозок пищевых грузов, действующими на каждом виде транспорта.
7.2 Уксусную кислоту хранят в упакованном виде или герметичных резервуарах, емкостях, чистых проветриваемых помещениях, защищенных от воздействия прямых солнечных лучей.
7.3 Наливные люки цистерн, контейнеров и емкостей герметизируют прокладками из фторопласта по
ГОСТ 14906 или паронита по
ГОСТ 481 или другими прокладками из материала, стойкого к уксусной кислоте, пломбируют.
7.4 Емкости, бочки, бутыли и канистры с уксусной кислотой хранят в закрытых помещениях или под навесом. В условиях длительного хранения относительная влажность воздуха должна быть не более 80%, температура от 0 °C до 35 °C.
7.5 Срок годности уксусной кислоты устанавливает изготовитель. Рекомендуемый срок годности - два года.
8. Требования безопасности
8.1 Уксусная кислота - бесцветная легковоспламеняющаяся жидкость с резким запахом. Согласно классификации вредных веществ по
ГОСТ 12.1.007 уксусную кислоту 70%-ной и 80%-ной концентрации относят к 3-му классу опасности.
Меры безопасности при работе с уксусной кислотой обеспечиваются по
ГОСТ 12.1.008. Работу при производстве уксусной кислоты осуществляют согласно правилам, действующим на предприятии. Инструктаж по правилам безопасной работы проводят с каждым вновь поступающим на производство сотрудником, повторный инструктаж проводят все сотрудники один раз в квартал и регистрируют в "Журнале вводного инструктажа" и "Журнале инструктажа на рабочем месте".
Предельно допустимая концентрация (ПДК) паров уксусной кислоты в воздухе рабочей зоны производственных помещений в соответствии с
ГОСТ 12.1.005 составляет 5 мг/м
3 (3-й класс опасности).
Содержание уксусной кислоты в воздухе рабочей зоны должно соответствовать требованиям
[5], контроль осуществляют по
[6].
8.3 Первая помощь при попадании уксусной кислоты:
- на слизистые оболочки глаз - промывание большим количеством воды;
- на кожу - смывание обильной струей воды в течение 10 мин, применение мыла, слабого содового раствора (0,5% - 1%);
- при ожоге - на один - два дня повязка с 2% - 3%-ным раствором гидрокарбоната натрия;
- через рот - промывание желудка теплой водой.
Все работы с уксусной кислотой должны проводиться в помещениях, снабженных механической приточно-вытяжной вентиляцией, отвечающей требованиям
ГОСТ 12.4.021, и противопожарными средствами. Вентиляция должна обеспечивать чистоту воздуха, в котором содержание уксусной кислоты не должно превышать установленную ПДК.
8.4 Уксусную кислоту, поступающую на производство, хранят в герметичных резервуарах, емкостях, изготовленных из нержавеющей стали марок типа 12Х18Н10Т или 10Х17Н13М2Т по
ГОСТ 5632. Бутыли, канистры, фляги с уксусной кислотой хранят в закрытых складских помещениях или под навесом, защищенных от действия прямых солнечных лучей и атмосферных осадков.
Защита окружающей среды при приготовлении, транспортировании и хранении уксусной кислоты обеспечивается герметизацией оборудования и упаковки.
8.5 Контроль за состоянием воздушной среды в производственных помещениях и сточных вод осуществляют в соответствии с программой санитарно-производственного контроля.
Сточные воды при производстве должны соответствовать требованиям
[7]. Контроль предельно допустимых выбросов в рабочую зону осуществляют по
ГОСТ 12.1.005.
Контроль предельно допустимых выбросов в атмосферу осуществляют по
[8].
8.6 При работе с уксусной кислотой работающие должны быть обеспечены дерматологическими защитными средствами по
ГОСТ 12.4.068, спецодеждой, спецобувью и средствами индивидуальной защиты, противогазом марок В, М или БКФ по
ГОСТ 12.4.121 на случай аварийной ситуации.
8.7 При розливе продукта необходимо засыпать место разлива песком, собрать и вынести в специально отведенное место. Место разлива необходимо смыть водой.
| | Технический регламент "О безопасности пищевой продукции" |
| | Питьевая вода. Гигиенические требования к качеству воды централизованных систем питьевого водоснабжения. Контроль качества |
| | Технический регламент "Пищевая продукция в части ее маркировки" |
| | Технический регламент "О безопасности упаковки" |
| | Гигиенические нормативы. Предельно допустимые концентрации (ПДК) вредных веществ в воздухе рабочей зоны |
| | Методические указания по измерению концентраций вредных веществ (концентрации уксусной кислоты) в воздухе рабочей зоны |
| | Водоотведение населенных мест, санитарная охрана водных объектов, гигиенические требования к охране поверхностных вод |
| | Гигиенические требования к обеспечению качества атмосферного воздуха населенных мест |