Главная // Актуальные документы // ГОСТ (Государственный стандарт)СПРАВКА
Источник публикации
М.: Стандартинформ, 2005
Примечание к документу
По сведениям, размещенным на Информационном портале Росстандарта по адресу http://standard.gost.ru/, данный документ утратил силу с 01.04.2023 в связи с изданием Приказа Росстандарта от 26.10.2022 N 1190-ст. Взамен введен в действие
ГОСТ 16337-2022.
С 1 июля 2003 года до вступления в силу технических регламентов акты федеральных органов исполнительной власти в сфере технического регулирования носят рекомендательный характер и подлежат обязательному исполнению только в части, соответствующей целям, указанным в
пункте 1 статьи 46 Федерального закона от 27.12.2002 N 184-ФЗ.
Документ
введен в действие с 01.01.1979.
Взамен ГОСТ 16337-70, ГОСТ 5.1308-72.
Название документа
"ГОСТ 16337-77. Межгосударственный стандарт. Полиэтилен высокого давления. Технические условия"
(утв. и введен в действие Постановлением Госстандарта СССР от 11.10.1977 N 2425)
(ред. от 01.06.1988)
"ГОСТ 16337-77. Межгосударственный стандарт. Полиэтилен высокого давления. Технические условия"
(утв. и введен в действие Постановлением Госстандарта СССР от 11.10.1977 N 2425)
(ред. от 01.06.1988)
Утвержден и введен в действие
Постановлением Госстандарта СССР
от 11 октября 1977 г. N 2425
МЕЖГОСУДАРСТВЕННЫЙ СТАНДАРТ
ПОЛИЭТИЛЕН ВЫСОКОГО ДАВЛЕНИЯ
ТЕХНИЧЕСКИЕ УСЛОВИЯ
High-pressure polyethylene. Specifications
ГОСТ 16337-77
| | Список изменяющих документов (в ред. Изменения N 1, утв. в мае 1979 г., Изменения N 2, утв. в декабре 1983 г., Изменения N 3, утв. в июне 1988 г.) | |
Дата введения
1 января 1979 года
1. Разработан и внесен Министерством химической промышленности СССР.
2. Утвержден и введен в действие Постановлением Государственного комитета стандартов Совета Министров СССР от 11.10.1977 N 2425.
3. Взамен ГОСТ 16337-70, ГОСТ 5.1308-72.
4. Ссылочные нормативно-технические документы
───────────────────────────────────┬──────────────────────────────
Обозначение НТД, на который │ Номер пункта, подпункта
дана ссылка │
───────────────────────────────────┼──────────────────────────────
ИС МЕГАНОРМ: примечание.
ГОСТ 12423-66 утратил силу с 1 января 2015 года в связи с
22.11.2013 N 1069-ст).
ИС МЕГАНОРМ: примечание.
ГОСТ 16782-92 утратил силу с 1 января 2017 года в связи с
введением в действие ГОСТ 16782-2015 (Приказ Росстандарта
от 20.11.2015 N 1917-ст).
5. Ограничение срока действия снято по Протоколу N 3-93 Межгосударственного совета по стандартизации, метрологии и сертификации (ИУС 5-6-93).
6. Издание (август 2005 г.) с Изменениями N 1, 2, 3, утвержденными в мае 1979 г., декабре 1983 г., июне 1988 г. (ИУС 7-79, 4-84, 10-88), Поправками (ИУС 5-89, 1-99).
Настоящий стандарт распространяется на полиэтилен высокого давления (низкой плотности), получаемый полимеризацией этилена при высоком давлении в трубчатых реакторах и реакторах с перемешивающим устройством с применением инициаторов радикального типа, и устанавливает требования к полиэтилену высокого давления, изготовляемому для нужд народного хозяйства и экспорта.
Стандарт не распространяется на композиции полиэтилена для кабельной промышленности.
1. МАРКИ И ТЕХНИЧЕСКИЕ ТРЕБОВАНИЯ
1.1. Полиэтилен выпускают без добавок - базовые марки - и в виде композиций на их основе со стабилизаторами и другими добавками в окрашенном и неокрашенном виде.
1.2. В зависимости от свойств и назначения установлены базовые марки полиэтилена, указанные в табл. 1.
Таблица 1
───────────────────────────────────────────────────────────────────────────
Марка полиэтилена, полученного в реакторах
─────────────────────────┬─────────────────────────────────────────────────
с перемешивающим │ трубчатого типа
устройством │
─────────────────────────┼────────────────────────┬────────────────────────
10204-003 │ 15003-002 │ 16204-020
│ 15303-003 │ 16405-020
10604-007 │ 15503-004 │ 18003-030
│ 16305-005 │ 18103-035
10703-020 │ 17603-006 │ 16904-040
10803-020 │ 17504-006 │ 18203-055
11304-040 │ 16005-008 │ 16803-070
11503-070 │ 17703-010 │ 18303-120
12003-200 │ 16603-011 │ 17403-200
12103-200 │ 17803-015 │ 18404-200
│ 15803-020 │
(Измененная редакция, Изм. N 2, 3).
1.4. Композиции выпускают на основе базовых марок полиэтилена с различными добавками в соответствии с табл. 2 и
Приложением 3. Марку композиции выбирают в соответствии с табл. 2 и
Приложениями 1,
2 и
3.
──────┬───────────┬───────────┬───────────────────┬────────────────────────
Номер │ Базовая │Вид добавки│Свойство композиции│Рекомендуемое назначение
рецеп-│ марка │ │ │
туры │полиэтилена│ │ │
──────┼───────────┼───────────┼───────────────────┼────────────────────────
01 │ Любая, │ Термо- │ Стойкая к │ Для неокрашиваемых
│рекомендуе-│стабили- │термоокислительному│технических изделий,
│мая для │затор │старению, │в том числе
│данного │ │не рекомендуется │электротехнических
│назначения │ │к окрашиванию │изделий
02 │ То же │ То же │ Стойкая к │ Для окрашиваемых
│ │ │термоокислительному│и неокрашиваемых
│ │ │старению │технических изделий,
│ │ │ │в том числе
│ │ │ │электротехнических
│ │ │ │изделий
03 │ " │ " │ То же │ Для окрашиваемых
│ │ │ │и неокрашиваемых
│ │ │ │технических изделий и
│ │ │ │изделий, предназначенных
│ │ │ │для контакта с пищевыми
│ │ │ │продуктами, для игрушек
04 │ " │ " │ " │ Для окрашиваемых
│ │ │ │и неокрашиваемых
│ │ │ │технических изделий,
│ │ │ │в том числе электро-
│ │ │ │технических изделий
06 │ " │ Термо- │ Стойкая к │ Для сельскохозяйствен-
│ │и свето- │фотоокислительному │ной пленки,
│ │стабили- │и термоокислитель- │неокрашиваемых и
│ │затор │ному старению │окрашиваемых технических
│ │ │ │изделий
07 │ " │ То же │ То же │ Для окрашиваемых
│ │ │ │и неокрашиваемых
│ │ │ │технических изделий,
│ │ │ │а также изделий,
│ │ │ │предназначенных для
│ │ │ │контакта с пищевыми
│ │ │ │продуктами, игрушек,
│ │ │ │для сельскохозяйственной
│ │ │ │пленки
08 │ " │ Свето- │ Стойкая к │ То же
│ │стабили- │фотоокислительному │
│ │затор │старению │
09 │ " │ Термо- │ Стойкая к │ Для технических
│ │и свето- │термоокислительному│изделий, в том числе
│ │стабили- │и фотоокислитель- │электротехнических
│ │затор │ному старению, │изделий
│ │ │черного цвета │
10 │ " │ То же │ Стойкая к │ То же
│ │ │термоокислительному│
│ │ │и фотоокислитель- │
│ │ │ному старению при │
│ │ │эксплуатации на │
│ │ │открытом воздухе, │
│ │ │черного цвета │
12 │ " │ " │ Стойкая к │ Для технических изделий
│ │ │термоокислительному│
│ │ │и фотоокислитель- │
│ │ │ному старению в │
│ │ │атмосферных │
│ │ │условиях для │
│ │ │ответственных │
│ │ │целей, черного │
│ │ │цвета │
14 │ " │ Свето- │ Стойкая к │ Для технических
│ │стабили- │фотоокислительному │изделий, в том числе
│ │затор │старению, черного │труб холодного
│ │ │цвета │хозяйственного
│ │ │ │водоснабжения, пленок
79 │ 10803-020 │ Скользящая│ Пониженный │ Для пленок,
│ │добавка │коэффициент трения │предназначенных для
│ │ │ │упаковки промышленных
│ │ │ │товаров
93 │ Любая, │ Термо- │ Стойкая к │ Для окрашиваемых
│рекомендуе-│стабили- │термоокислительному│и неокрашиваемых
│мая для │затор │старению │технических изделий,
│данного │ │ │в том числе электро-
│назначения │ │ │технических изделий
94 │ То же │ То же │ То же │ То же
95 │ " │ " │ " │ "
96 │ " │ Термо- │Стойкая к │ Для технических
│ │и свето- │термоокислительному│изделий, в том числе
│ │стабили- │и фотоокислитель- │и электрических изделий
│ │затор │ному старению, │
│ │ │черного цвета │
97 │ " │ То же │ Стойкая к │ То же
│ │ │термоокислительному│
│ │ │и фотоокислитель- │
│ │ │ному старению при │
│ │ │эксплуатации на │
│ │ │открытом воздухе, │
│ │ │черного цвета │
98 │ " │ " │ То же │ Для технических
│ │ │ │изделий, в том числе
│ │ │ │труб холодного
│ │ │ │хозяйственно-питьевого
│ │ │ │водоснабжения
99 │ " │ " │ Стойкая к │ Для технических
│ │ │термоокислительному│изделий, в том числе
│ │ │и фотоокислитель- │и электротехнических
│ │ │ному старению, │изделий
│ │ │черного цвета │
100 │ " │ " │ Стойкая к │ То же
│ │ │термоокислительному│
│ │ │и фотоокислитель- │
│ │ │ному старению при │
│ │ │эксплуатации на │
│ │ │открытом воздухе, │
│ │ │черного цвета │
Примечание. Для изготовления тонких и термоусадочных пленок, а также пленок специального назначения предназначен полиэтилен высшего сорта, а для изготовления напорных труб предназначены композиции 102-14, 102-98, 153-14, 153-98 высшего и 1-го сортов. Для экспорта предназначен полиэтилен высшего и 1-го сортов.
(Измененная редакция, Изм. N 3).
1.5. Базовые марки полиэтилена и композиции на их основе выпускают высшего, 1-го и 2-го сортов.
1.6. Полиэтилен должен выпускаться в виде гранул одинаковой геометрической формы в пределах одной партии, размер их в любом направлении должен быть 2 - 5 мм. Для базовых марок и композиций полиэтилена допускаются гранулы размером свыше 5 до 8 мм, массовая доля которых не должна превышать 0,25%, и гранулы размером свыше 1 до 2 мм, массовая доля которых не должна превышать 0,5%, а для полиэтилена, предназначенного для изготовления пленок специального назначения, - 0,25%. Для полиэтилена 2-го сорта допускаются серые и окисленные гранулы, массовая доля которых не должна превышать 0,1%. В окрашенном и неокрашенном полиэтилене не допускаются гранулы другого цвета, кроме полиэтилена 2-го сорта, в котором массовая доля гранул другого цвета не должна превышать 0,04%.
1.7. Цвет окрашенного полиэтилена должен соответствовать образцу цвета, утвержденному в установленном порядке.
(Измененная редакция, Изм. N 2).
1.8. Показатели базовых марок и композиций с добавками рецептур 01 - 04, 06 - 10, 12, 14, 79, 93 - 100 и композиций с добавками для окраски должны соответствовать требованиям, указанным в табл. 3 -
5, а композиций, содержащих только добавки для окраски, - требованиям, указанным в табл. 3 и
5, как для негомогенизированного, так и гомогенизированного полиэтилена.
──────────────┬─────────────────────────────────────────────────────────────────────────────
Наименование │ Норма для марки
показателя ├──────────────────────────────────────┬──────────────────────────────────────
│ 10204-003 │ 10604-007
├────────────┬────────────┬────────────┼────────────┬────────────┬────────────
│Высший сорт │Первый сорт │Второй сорт │Высший сорт │Первый сорт │Второй сорт
│ ОКП │ ОКП │ ОКП │ ОКП │ ОКП │ ОКП
│22 1111 0101│22 1111 0102│22 1111 0103│22 1111 0301│22 1111 0302│22 1111 0303
──────────────┼────────────┴────────────┴────────────┼────────────┴────────────┴────────────
1. Плотность,│ 0,9230 +/- 0,001 │ 0,9235 +/- 0,0015
г/см3 │ │
2. Показатель│ 0,3 +/- 15 │ 0,3 +/- 20 │ 0,7 +/- 20
текучести │ │ │
расплава │ │ │
(номинальное │ │ │
значение) │ │ │
с допуском, │ │ │
%, г/10 мин │ │ │
3. Разброс │ +/- 5 │ +/- 8 │ +/- 10 │ +/- 5 │ +/- 10 │ +/- 10
показателей │ │ │ │ │ │
текучести │ │ │ │ │ │
расплава │ │ │ │ │ │
в пределах │ │ │ │ │ │
партии, %, │ │ │ │ │ │
не более │ │ │ │ │ │
4. Количество│ 2 │ 5 │ 10 │ 2 │ 5 │ 12
включений, │ │ │ │ │ │
шт., не более │ │ │ │ │ │
5. Технологи-│ По
табл. 5 │ B │ B │ C
ческая проба │ │ │ │
на внешний вид│ │ │ │
пленки │ │ │ │
к растрески- │ │
ванию, ч, │ │
не менее │ │
Продолжение табл. 3
──────────────┬─────────────────────────────────────────────────────────────────────────────
Наименование │ Норма для марки
показателя ├──────────────────────────────────────┬──────────────────────────────────────
│ 10703-020 │ 10803-020
├────────────┬────────────┬────────────┼────────────┬────────────┬────────────
│Высший сорт │Первый сорт │Второй сорт │Высший сорт │Первый сорт │Второй сорт
│ ОКП │ ОКП │ ОКП │ ОКП │ ОКП │ ОКП
│22 1111 0501│22 1111 0502│22 1111 0503│22 1111 0601│22 1111 0602│22 1111 0603
──────────────┼────────────┴────────────┴────────────┼────────────┴────────────┴────────────
1. Плотность,│ 0,9185 +/- 0,0015 │ 0,9185 +/- 0,0015
г/см3 │ │
2. Показатель│ 2,0 +/- 10 │ 2,0 +/- 15 │ 2,0 +/- 10 │ 2,0 +/- 15
текучести │ │ │ │
расплава │ │ │ │
(номинальное │ │ │ │
значение) │ │ │ │
с допуском, │ │ │ │
%, г/10 мин │ │ │ │
3. Разброс │ +/- 5 │ +/- 8 │ +/- 12 │ +/- 5 │ +/- 8 │ +/- 12
показателей │ │ │ │ │ │
текучести │ │ │ │ │ │
расплава │ │ │ │ │ │
в пределах │ │ │ │ │ │
партии, %, │ │ │ │ │ │
не более │ │ │ │ │ │
4. Количество│ 2 │ 5 │ 15 │ 2 │ 5 │ 15
включений, │ │ │ │ │ │
шт., не более │ │ │ │ │ │
ческая проба │ │
на внешний вид│ │
пленки │ │
к растрески- │ │
ванию, ч, │ │
не менее │ │
Продолжение табл. 3
──────────────┬─────────────────────────────────────────────────────────────────────────────
Наименование │ Норма для марки
показателя ├──────────────────────────────────────┬──────────────────────────────────────
│ 11304-040 │ 11503-070
├────────────┬────────────┬────────────┼────────────┬────────────┬────────────
│Высший сорт │Первый сорт │Второй сорт │Высший сорт │Первый сорт │Второй сорт
│ ОКП │ ОКП │ ОКП │ ОКП │ ОКП │ ОКП
│22 1111 1001│22 1111 1002│22 1111 1003│22 1111 1101│22 1111 1102│22 1111 1103
──────────────┼────────────┴────────────┴────────────┼────────────┴────────────┴────────────
1. Плотность,│ 0,9240 +/- 0,001 │ 0,9180 +/- 0,001
г/см3 │ │
2. Показатель│ 4,0 +/- 15 │ 7,0 +/- 15
текучести │ │
расплава │ │
(номинальное │ │
значение) │ │
с допуском, │ │
%, г/10 мин │ │
3. Разброс │ +/- 5 │ +/- 10 │ +/- 12 │ +/- 5 │ +/- 10 │ +/- 12
показателей │ │ │ │ │ │
текучести │ │ │ │ │ │
расплава │ │ │ │ │ │
в пределах │ │ │ │ │ │
партии, %, │ │ │ │ │ │
не более │ │ │ │ │ │
4. Количество│ 2 │ 5 │ 10 │ 2 │ 5 │ 10
включений, │ │ │ │ │ │
шт., не более │ │ │ │ │ │
ческая проба │ │
на внешний вид│ │
пленки │ │
6. Стойкость │ - │ -
к растрески- │ │
ванию, ч, │ │
не менее │ │
Продолжение табл. 3
──────────────┬─────────────────────────────────────────────────────────────────────────────
Наименование │ Норма для марки
показателя ├──────────────────────────────────────┬──────────────────────────────────────
│ 12003-200 │ 12103-200
├────────────┬────────────┬────────────┼────────────┬────────────┬────────────
│Высший сорт │Первый сорт │Второй сорт │Высший сорт │Первый сорт │Второй сорт
│ ОКП │ ОКП │ ОКП │ ОКП │ ОКП │ ОКП
│22 1111 1401│22 1111 1402│22 1111 1403│22 1111 1501│22 1111 1502│22 1111 1503
──────────────┼────────────┴────────────┴────────────┼────────────┴────────────┴────────────
1. Плотность,│ 0,9170 +/- 0,001 │ 0,9210 +/- 0,001
г/см3 │ │
2. Показатель│ 20,0 +/- 15 │ 20,0 +/- 15
текучести │ │
расплава │ │
(номинальное │ │
значение) │ │
с допуском, │ │
%, г/10 мин │ │
3. Разброс │ +/- 5 │ +/- 12 │ +/- 12 │ +/- 5 │ +/- 12 │ +/- 12
показателей │ │ │ │ │ │
текучести │ │ │ │ │ │
расплава │ │ │ │ │ │
в пределах │ │ │ │ │ │
партии, %, │ │ │ │ │ │
не более │ │ │ │ │ │
4. Количество│ 2 │ 5 │ 10 │ 2 │ 5 │ 10
включений, │ │ │ │ │ │
шт., не более │ │ │ │ │ │
5. Технологи-│ - │ -
ческая проба │ │
на внешний вид│ │
пленки │ │
6. Стойкость │ - │ -
к растрески- │ │
ванию, ч, │ │
не менее │ │
Продолжение табл. 3
──────────────┬─────────────────────────────────────────────────────────────────────────────
Наименование │ Норма для марки
показателя ├──────────────────────────────────────┬──────────────────────────────────────
│ 15003-002 │ 15303-003
├────────────┬────────────┬────────────┼────────────┬────────────┬────────────
│Высший сорт │Первый сорт │Второй сорт │Высший сорт │Первый сорт │Второй сорт
│ ОКП │ ОКП │ ОКП │ ОКП │ ОКП │ ОКП
│22 1111 1801│22 1111 1802│22 1111 1803│22 1111 2001│22 1111 2002│22 1111 2003
──────────────┼────────────┴────────────┴────────────┼────────────┴────────────┴────────────
1. Плотность,│ 0,9190 +/- 0,0015 │ 0,9205 +/- 0,0015
г/см3 │ │
2. Показатель│ 0,2 +/- 30 │ 0,3 +/- 30
текучести │ │
расплава │ │
(номинальное │ │
значение) │ │
с допуском, │ │
%, г/10 мин │ │
3. Разброс │ +/- 6 │ +/- 12 │ +/- 15 │ +/- 6 │ +/- 12 │ +/- 15
показателей │ │ │ │ │ │
текучести │ │ │ │ │ │
расплава │ │ │ │ │ │
в пределах │ │ │ │ │ │
партии, %, │ │ │ │ │ │
не более │ │ │ │ │ │
4. Количество│ 2 │ 8 │ 30 │ 2 │ 8 │ 30
включений, │ │ │ │ │ │
шт., не более │ │ │ │ │ │
ческая проба │ │
на внешний вид│ │
пленки │ │
к растрески- │ │
ванию, ч, │ │
не менее │ │
Продолжение табл. 3
──────────────┬────────────────────────────────────────────────────────────────────────────────────────────────────────────────────
Наименование │ Норма для марки
показателя ├──────────────────────────────────────┬──────────────────────────────────────┬──────────────────────────────────────
│ 15503-004 │ 16305-005 │ 17603-006
├────────────┬────────────┬────────────┼────────────┬────────────┬────────────┼────────────┬────────────┬────────────
│Высший сорт │Первый сорт │Второй сорт │Высший сорт │Первый сорт │Второй сорт │Высший сорт │Первый сорт │Второй сорт
│ ОКП │ ОКП │ ОКП │ ОКП │ ОКП │ ОКП │ ОКП │ ОКП │ ОКП
│22 1111 2301│22 1111 2302│22 1111 2303│22 1111 2401│22 1111 2402│22 1111 2403│22 1111 2501│22 1111 2502│22 1111 2503
──────────────┼────────────┴────────────┴────────────┼────────────┴────────────┴────────────┼────────────┴────────────┴────────────
1. Плотность,│ 0,9190 +/- 0,0015 │ 0,9285 +/- 0,002 │ 0,9190 +/- 0,002
г/см3 │ │ │
2. Показатель│ 0,4 +/- 25 │ 0,5 +/- 25 │ 0,6 +/- 25
текучести │ │ │
расплава │ │ │
(номинальное │ │ │
значение) │ │ │
с допуском, │ │ │
%, г/10 мин │ │ │
3. Разброс │ +/- 6 │ +/- 12 │ +/- 15 │ +/- 6 │ +/- 12 │ +/- 15 │ +/- 6 │ +/- 12 │ +/- 15
показателей │ │ │ │ │ │ │ │ │
текучести │ │ │ │ │ │ │ │ │
расплава │ │ │ │ │ │ │ │ │
в пределах │ │ │ │ │ │ │ │ │
партии, %, │ │ │ │ │ │ │ │ │
не более │ │ │ │ │ │ │ │ │
4. Количество│ 2 │ 8 │ 30 │ 2 │ 8 │ 30 │ 2 │ 8 │ 30
включений, │ │ │ │ │ │ │ │ │
шт., не более │ │ │ │ │ │ │ │ │
5. Технологи-│ B │ B │ C │ - │ -
ческая проба │ │ │ │ │
на внешний вид│ │ │ │ │
пленки │ │ │ │ │
к растрески- │ │ │
ванию, ч, │ │ │
не менее │ │ │
Продолжение табл. 3
──────────────┬────────────────────────────────────────────────────────────────────────────────────────────────────────────────────
Наименование │ Норма для марки
показателя ├──────────────────────────────────────┬──────────────────────────────────────┬──────────────────────────────────────
│ 17504-006 │ 16005-008 │ 17703-010
├────────────┬────────────┬────────────┼────────────┬────────────┬────────────┼────────────┬────────────┬────────────
│Высший сорт │Первый сорт │Второй сорт │Высший сорт │Первый сорт │Второй сорт │Высший сорт │Первый сорт │Второй сорт
│ ОКП │ ОКП │ ОКП │ ОКП │ ОКП │ ОКП │ ОКП │ ОКП │ ОКП
│22 1111 2601│22 1111 2602│22 1111 2603│22 1111 2701│22 1111 2702│22 1111 2703│22 1111 2801│22 1111 2802│22 1111 2803
──────────────┼────────────┴────────────┴────────────┼────────────┴────────────┴────────────┼────────────┴────────────┴────────────
1. Плотность,│ 0,9250 +/- 0,002 │ 0,9270 +/- 0,002 │ 0,9190 +/- 0,002
г/см3 │ │ │
2. Показатель│ 0,6 +/- 25 │ 0,8 +/- 25 │ 1,0 +/- 20
текучести │ │ │
расплава │ │ │
(номинальное │ │ │
значение) │ │ │
с допуском, │ │ │
%, г/10 мин │ │ │
3. Разброс │ +/- 6 │ +/- 12 │ +/- 15 │ +/- 6 │ +/- 12 │ +/- 15 │ +/- 8 │ +/- 12 │ +/- 15
показателей │ │ │ │ │ │ │ │ │
текучести │ │ │ │ │ │ │ │ │
расплава │ │ │ │ │ │ │ │ │
в пределах │ │ │ │ │ │ │ │ │
партии, %, │ │ │ │ │ │ │ │ │
не более │ │ │ │ │ │ │ │ │
4. Количество│ 2 │ 8 │ 30 │ 2 │ 8 │ 30 │ 5 │ 8 │ 30
включений, │ │ │ │ │ │ │ │ │
шт., не более │ │ │ │ │ │ │ │ │
5. Технологи-│ По
табл. 5 │ B │ B │ C │ B │ B │ C
ческая проба │ │ │ │ │ │ │
на внешний вид│ │ │ │ │ │ │
пленки │ │ │ │ │ │ │
к растрески- │ │
ванию, ч, │ │
не менее │ │
Продолжение табл. 3
──────────────┬────────────────────────────────────────────────────────────────────────────────────────────────────────────────────
Наименование │ Норма для марки
показателя ├──────────────────────────────────────┬──────────────────────────────────────┬──────────────────────────────────────
│ 16603-011 │ 17803-015 │ 15803-020
├────────────┬────────────┬────────────┼────────────┬────────────┬────────────┼────────────┬────────────┬────────────
│Высший сорт │Первый сорт │Второй сорт │Высший сорт │Первый сорт │Второй сорт │Высший сорт │Первый сорт │Второй сорт
│ ОКП │ ОКП │ ОКП │ ОКП │ ОКП │ ОКП │ ОКП │ ОКП │ ОКП
│22 1111 2901│22 1111 2902│22 1111 2903│22 1111 3001│22 1111 3002│22 1111 3003│22 1111 3201│22 1111 3202│22 1111 3203
──────────────┼────────────┴────────────┴────────────┼────────────┴────────────┴────────────┼────────────┴────────────┴────────────
1. Плотность,│ 0,9190 +/- 0,0015 │ 0,9190 +/- 0,002 │ 0,9190 +/- 0,002
г/см3 │ │ │
2. Показатель│ 1,1 +/- 25 │ 1,5 +/- 25 │ 2,0 +/- 25
текучести │ │ │
расплава │ │ │
(номинальное │ │ │
значение) │ │ │
с допуском, │ │ │
%, г/10 мин │ │ │
3. Разброс │ +/- 6 │ +/- 12 │ +/- 15 │ +/- 6 │ +/- 12 │ +/- 15 │ +/- 6 │ +/- 12 │ +/- 15
показателей │ │ │ │ │ │ │ │ │
текучести │ │ │ │ │ │ │ │ │
расплава │ │ │ │ │ │ │ │ │
в пределах │ │ │ │ │ │ │ │ │
партии, %, │ │ │ │ │ │ │ │ │
не более │ │ │ │ │ │ │ │ │
4. Количество│ 2 │ 8 │ 30 │ 2 │ 8 │ 30 │ 2 │ 8 │ 30
включений, │ │ │ │ │ │ │ │ │
шт., не более │ │ │ │ │ │ │ │ │
ческая проба │ │
на внешний вид│ │
пленки │ │
6. Стойкость │ По
табл. 5 │ 2,5 │ -
к растрески- │ │ │
ванию, ч, │ │ │
не менее │ │ │
Продолжение табл. 3
──────────────┬────────────────────────────────────────────────────────────────────────────────────────────────────────────────────
Наименование │ Норма для марки
показателя ├──────────────────────────────────────┬──────────────────────────────────────┬──────────────────────────────────────
│ 16204-020 │ 16405-020 │ 18003-030
├────────────┬────────────┬────────────┼────────────┬────────────┬────────────┼────────────┬────────────┬────────────
│Высший сорт │Первый сорт │Второй сорт │Высший сорт │Первый сорт │Второй сорт │Высший сорт │Первый сорт │Второй сорт
│ ОКП │ ОКП │ ОКП │ ОКП │ ОКП │ ОКП │ ОКП │ ОКП │ ОКП
│22 1111 3401│22 1111 3402│22 1111 3403│22 1111 3501│22 1111 3502│22 1111 3503│22 1111 3601│22 1111 3602│22 1111 3603
──────────────┼────────────┴────────────┴────────────┼────────────┴────────────┴────────────┼────────────┴────────────┴────────────
1. Плотность,│ 0,9230 +/- 0,002 │ 0,9270 +/- 0,002 │ 0,9180 +/- 0,002
г/см3 │ │ │
2. Показатель│ 2,0 +/- 25 │ 2,0 +/- 25 │ 3,0 +/- 30
текучести │ │ │
расплава │ │ │
(номинальное │ │ │
значение) │ │ │
с допуском, │ │ │
%, г/10 мин │ │ │
3. Разброс │ +/- 6 │ +/- 12 │ +/- 15 │ +/- 6 │ +/- 12 │ +/- 15 │ +/- 8 │ +/- 12 │ +/- 15
показателей │ │ │ │ │ │ │ │ │
текучести │ │ │ │ │ │ │ │ │
расплава │ │ │ │ │ │ │ │ │
в пределах │ │ │ │ │ │ │ │ │
партии, %, │ │ │ │ │ │ │ │ │
не более │ │ │ │ │ │ │ │ │
4. Количество│ 2 │ 8 │ 30 │ 2 │ 8 │ 30 │ 5 │ 10 │ 30
включений, │ │ │ │ │ │ │ │ │
шт., не более │ │ │ │ │ │ │ │ │
5. Технологи-│ По
табл. 5 │ A │ B │ C │ -
ческая проба │ │ │ │ │
на внешний вид│ │ │ │ │
пленки │ │ │ │ │
6. Стойкость │ - │ - │ 1,5
к растрески- │ │ │
ванию, ч, │ │ │
не менее │ │ │
Продолжение табл. 3
──────────────┬────────────────────────────────────────────────────────────────────────────────────────────────────────────────────
Наименование │ Норма для марки
показателя ├──────────────────────────────────────┬──────────────────────────────────────┬──────────────────────────────────────
│ 18103-035 │ 16904-040 │ 18203-055
├────────────┬────────────┬────────────┼────────────┬────────────┬────────────┼────────────┬────────────┬────────────
│Высший сорт │Первый сорт │Второй сорт │Высший сорт │Первый сорт │Второй сорт │Высший сорт │Первый сорт │Второй сорт
│ ОКП │ ОКП │ ОКП │ ОКП │ ОКП │ ОКП │ ОКП │ ОКП │ ОКП
│22 1111 3701│22 1111 3702│22 1111 3703│22 1111 3801│22 1111 3802│22 1111 3803│22 1111 4001│22 1111 4002│22 1111 4003
──────────────┼────────────┴────────────┴────────────┼────────────┴────────────┴────────────┼────────────┴────────────┴────────────
1. Плотность,│ 0,9185 +/- 0,0015 │ 0,9240 +/- 0,0015 │ 0,9180 +/- 0,001
г/см3 │ │ │
2. Показатель│ 3,5 +/- 30 │ 4,0 +/- 25 │ 5,5 +/- 25
текучести │ │ │
расплава │ │ │
(номинальное │ │ │
значение) │ │ │
с допуском, │ │ │
%, г/10 мин │ │ │
3. Разброс │ +/- 8 │ +/- 12 │ +/- 15 │ +/- 6 │ +/- 12 │ +/- 15 │ +/- 8 │ +/- 12 │ +/- 15
показателей │ │ │ │ │ │ │ │ │
текучести │ │ │ │ │ │ │ │ │
расплава │ │ │ │ │ │ │ │ │
в пределах │ │ │ │ │ │ │ │ │
партии, %, │ │ │ │ │ │ │ │ │
не более │ │ │ │ │ │ │ │ │
4. Количество│ 5 │ 10 │ 30 │ 2 │ 8 │ 30 │ 5 │ 10 │ 30
включений, │ │ │ │ │ │ │ │ │
шт., не более │ │ │ │ │ │ │ │ │
5. Технологи-│ - │ B │ B │ C │ -
ческая проба │ │ │ │ │
на внешний вид│ │ │ │ │
пленки │ │ │ │ │
6. Стойкость │ - │ - │ -
к растрески- │ │ │
ванию, ч, │ │ │
не менее │ │ │
Продолжение табл. 3
──────────────┬─────────────────────────────────────────────────────────────────────────────
Наименование │ Норма для марки
показателя ├──────────────────────────────────────┬──────────────────────────────────────
│ 16803-070 │ 18303-120
├────────────┬────────────┬────────────┼────────────┬────────────┬────────────
│Высший сорт │Первый сорт │Второй сорт │Высший сорт │Первый сорт │Второй сорт
│ ОКП │ ОКП │ ОКП │ ОКП │ ОКП │ ОКП
│22 1111 4101│22 1111 4102│22 1111 4103│22 1111 4401│22 1111 4402│22 1111 4403
──────────────┼────────────┴────────────┴────────────┼────────────┴────────────┴────────────
1. Плотность,│ 0,9185 +/- 0,0015 │ 0,9170 +/- 0,001
г/см3 │ │
2. Показатель│ 7,0 +/- 25 │ 12,0 +/- 25
текучести │ │
расплава │ │
(номинальное │ │
значение) │ │
с допуском, │ │
%, г/10 мин │ │
3. Разброс │ +/- 6 │ +/- 10 │ +/- 15 │ +/- 8 │ +/- 12 │ +/- 15
показателей │ │ │ │ │ │
текучести │ │ │ │ │ │
расплава │ │ │ │ │ │
в пределах │ │ │ │ │ │
партии, %, │ │ │ │ │ │
не более │ │ │ │ │ │
4. Количество│ 2 │ 8 │ 30 │ 5 │ 10 │ 30
включений, │ │ │ │ │ │
шт., не более │ │ │ │ │ │
5. Технологи-│ - │ -
ческая проба │ │
на внешний вид│ │
пленки │ │
6. Стойкость │ - │ -
к растрески- │ │
ванию, ч, │ │
не менее │ │
Продолжение табл. 3
──────────────┬─────────────────────────────────────────────────────────────────────────────┬──────────────
Наименование │ Норма для марки │ Метод
показателя ├──────────────────────────────────────┬──────────────────────────────────────┤ испытаний
│ 17403-200 │ 18404-200 │
├────────────┬────────────┬────────────┼────────────┬────────────┬────────────┤
│Высший сорт │Первый сорт │Второй сорт │Высший сорт │Первый сорт │Второй сорт │
│ ОКП │ ОКП │ ОКП │ ОКП │ ОКП │ ОКП │
│22 1111 4501│22 1111 4502│22 1111 4503│22 1111 4601│22 1111 4602│22 1111 4603│
──────────────┼────────────┴────────────┴────────────┼────────────┴────────────┴────────────┼──────────────
1. Плотность,│ 0,9190 +/- 0,0015 │ 0,9230 +/- 0,002 │ По
ГОСТ 15139
│ │ │настоящего
│ │ │стандарта
2. Показатель│ 20,0 +/- 20 │ 20,0 +/- 20 │ По
ГОСТ 11645
расплава │ │ │настоящего
(номинальное │ │ │стандарта
значение) │ │ │
с допуском, │ │ │
%, г/10 мин │ │ │
3. Разброс │ +/- 6 │ +/- 12 │ +/- 15 │ +/- 6 │ +/- 12 │ +/- 15 │ По
п. 3.13
показателей │ │ │ │ │ │ │
текучести │ │ │ │ │ │ │
расплава │ │ │ │ │ │ │
в пределах │ │ │ │ │ │ │
партии, %, │ │ │ │ │ │ │
не более │ │ │ │ │ │ │
4. Количество│ 2 │ 8 │ 30 │ 2 │ 8 │ 30 │ По
п. 3.14
включений, │ │ │ │ │ │ │
шт., не более │ │ │ │ │ │ │
ческая проба │ │ │
на внешний вид│ │ │
пленки │ │ │
6. Стойкость │ - │ - │ По ГОСТ 13518
ванию, ч, │ │ │настоящего
не менее │ │ │стандарта
Примечания. 1. Показатель по
подпункту 1 для композиций полиэтилена на основе рецептур 08, 09, 10, 12, 14, 96 - 100 и окрашенных композиций не нормируют.
2. Показатель по
подпункту 4 для композиций на основе рецептур 09, 10, 12, 14, 96 - 100 и для окрашенных композиций по рецептурам 101, 405, 504, 701, 703, 901
Приложения 2 не нормируют.
3. По соглашению с потребителем допускается увеличение нормы по
подпункту 4 для полиэтилена 2-го сорта до 40 шт.
4. Показатель по
подпункту 6 для композиций полиэтилена на основе рецептур 06 - 08 не нормируют.
5. (Исключен, Изм. N 2).
6. Допускается выпуск полиэтилена (Казанского ПО "Оргсинтез" и Северодонецкого ПО "Азот") плотностью (0,9200 +/- 0,0020) г/см3 - для марки 15803-020 и (0,9210 +/- 0,0020) г/см3 - для марки 16803-070.
7.
Показатель 5 для композиций на основе рецептур 09, 10, 12, 14, 96 - 100 и 901 не нормируют;
показатель 5 нормируют для базовых марок, используемых для изготовления указанных композиций, предназначенных для пленок.
8. Не допускается смешение полиэтилена, отличающегося по
показателям 1 и
2 более, чем это предусмотрено допуском на эти показатели, и
показателем 3 (суммарно) при формировании партии полиэтилена, получаемого в реакторах с перемешивающим устройством.
───────────────────┬─────────────────────────────────────────────────────────────────────────
Наименование │ Норма для рецептуры
показателя ├──┬──┬──┬──┬──┬──┬──┬─────────────┬────────────┬────────────┬────────────
│01│02│03│04│06│07│08│ 09 │ 10 │ 12 │ 14
───────────────────┼──┼──┼──┼──┼──┼──┼──┼─────────────┼────────────┼────────────┼────────────
1. Стойкость к │8 │8 │6 │8 │4 │6 │- │ 8 │ 8 │ 8 │ -
термоокислитель- │ │ │ │ │ │ │ │ │ │ │
ному старению, ч, │ │ │ │ │ │ │ │ │ │ │
не менее │ │ │ │ │ │ │ │ │ │ │
2. Стойкость к │ │ │ │ │ │ │ │ │ │ │
фотоокислительному │ │ │ │ │ │ │ │ │ │ │
старению: │ │ │ │ │ │ │ │ │ │ │
методом облучения,│- │- │- │- │- │- │- │ 240 │ 500 │ 500 │ 500
ч, не менее: │ │ │ │ │ │ │ │ │ │ │
по массовой доле │ │ │ │ │ │ │ │ │ │ │
сажи, % │ │ │ │ │ │ │ │ │ │ │
марки К-354 │- │- │- │- │- │- │- │0,50 +/- 0,05│2,0 +/- 0,2 │2,5 +/- 0,25│2,0 +/- 0,25
марки П-234 │- │- │- │- │- │- │- │0,50 +/- 0,05│2,5 +/- 0,25│3,0 +/- 0,3 │2,5 +/- 0,25
по равномерности │- │- │- │- │- │- │- │ - │ - │ - │ Тип I
распределения сажи │ │ │ │ │ │ │ │ │ │ │ или тип II
3. Массовая доля │ │ │ │ │ │ │ │ │ │ │
летучих веществ, %,│ │ │ │ │ │ │ │ │ │ │
не более: │ │ │ │ │ │ │ │ │ │ │
для высшего сорта │- │- │- │- │- │- │- │ 0,07 │ 0,07 │ 0,07 │ 0,07
для 1-го сорта │- │- │- │- │- │- │- │ 0,1 │ 0,1 │ 0,1 │ 0,1
для 2-го сорта │- │- │- │- │- │- │- │ - │ - │ - │ -
Продолжение табл. 4
───────────────────┬───────────────────────────────────────────────────────────────────────────┬───────
Наименование │ Норма для рецептуры │Метод
показателя ├──┬──┬──┬─────────────┬────────────┬────────────┬─────────────┬────────────┤испыта-
│93│94│95│ 96 │ 97 │ 98 │ 99 │ 100 │ния
───────────────────┼──┼──┼──┼─────────────┼────────────┼────────────┼─────────────┼────────────┼───────
1. Стойкость к │8 │8 │8 │ 8 │ 8 │ 6 │ 8 │ 8 │ По
термоокислитель- │ │ │ │ │ │ │ │ │
п. 3.19
ному старению, ч, │ │ │ │ │ │ │ │ │
не менее │ │ │ │ │ │ │ │ │
2. Стойкость к │ │ │ │ │ │ │ │ │ По
фотоокислительному │ │ │ │ │ │ │ │ │
п. 3.20
старению: │ │ │ │ │ │ │ │ │
методом облучения,│- │- │- │ 240 │ 500 │ 500 │ 240 │ 500 │
ч, не менее: │ │ │ │ │ │ │ │ │
по массовой доле │ │ │ │ │ │ │ │ │
сажи, % │ │ │ │ │ │ │ │ │
марки К-354 │- │- │- │0,50 +/- 0,05│2,0 +/- 0,2 │2,0 +/- 0,2 │0,50 +/- 0,05│2,0 +/- 0,2 │
марки П-234 │- │- │- │0,50 +/- 0,05│2,5 +/- 0,25│2,5 +/- 0,25│0,50 +/- 0,05│2,5 +/- 0,25│
по равномерности │- │- │- │ - │ - │ - │ - │ - │
распределения сажи │ │ │ │ │ │ │ │ │
3. Массовая доля │ │ │ │ │ │ │ │ │ По
летучих веществ, %,│ │ │ │ │ │ │ │ │
п. 3.21
не более: │ │ │ │ │ │ │ │ │
для высшего сорта │- │- │- │ 0,07 │ 0,07 │ 0,07 │ 0,07 │ 0,07 │
для 1-го сорта │- │- │- │ 0,1 │ 0,1 │ 0,1 │ 0,1 │ 0,1 │
для 2-го сорта │- │- │- │ - │ - │ - │ - │ - │
Примечание.
Показатель 2 по равномерности распределения сажи нормируют только для рецептуры пленочного назначения.
────────────────────────────┬──────────────────────────────────────────────
Наименование показателя │ Норма для марки
├──────────┬───────────┬───────────┬───────────
│10204-003 │ 10604-007 │ 10703-020 │ 10803-020
────────────────────────────┼──────────┼───────────┼───────────┼───────────
│ 5 │ 5 │ 5 │ 5
1. Предел текучести при │113 x 10 │ 108 x 10 │ 93 x 10 │ 93 x 10
растяжении, Па (кгс/см2), │ (115) │ (110) │ (95) │ (95)
не менее │ │ │ │
│ 5 │ 5 │ 5 │ 5
2. Прочность при разрыве, │147 x 10 │ 142 x 10 │ 122 x 10 │ 122 x 10
Па (кгс/см2), не менее │ (150) │ (145) │ (125) │ (125)
│ │ │ │
3. Относительное удлинение │ 600 │ 550 │ 550 │ 550
при разрыве, %, не менее │ │ │ │
4. Стойкость к │ 500 │ 5 │По
табл. 3 │ 2
растрескиванию, ч, не менее │ │ │ │
экстрагируемых веществ, │ │ │ │
%, не более: │ │ │ │
высшего сорта │ 1,4 │ 1,4 │ 0,9 │ 0,9
1-го и 2-го сорта │ 1,7 │ 1,7 │ 1,1 │ 1,1
6. Технологическая проба │ │ │ │
на внешний вид пленки: │ │ │ │
высшего сорта │ C │По
табл. 3 │ - │ B
7. Запах и привкус водных │ 1 │ 1 │ 1 │ 1
вытяжек, балл, не выше │ │ │ │
Продолжение табл. 5
────────────────────────────┬──────────────────────────────────────────────
Наименование показателя │ Норма для марки
├──────────┬───────────┬───────────┬───────────
│11304-040 │ 11503-070 │ 12003-200 │ 12103-200
────────────────────────────┼──────────┼───────────┼───────────┼───────────
│ │ 5 │ │
1. Предел текучести при │ - │ 93 x 10 │ - │ -
растяжении, Па (кгс/см2), │ │ (95) │ │
не менее │ │ │ │
│ │ 5 │ │
2. Прочность при разрыве, │ - │ 98 x 10 │ - │ -
Па (кгс/см2), не менее │ │ (100) │ │
3. Относительное удлинение │ - │ 450 │ - │ -
при разрыве, %, не менее │ │ │ │
4. Стойкость к │ - │ - │ - │ -
растрескиванию, ч, не менее │ │ │ │
5. Массовая доля │ │ │ │
экстрагируемых веществ, %, │ │ │ │
не более: │ │ │ │
высшего сорта │ 0,9 │ 1,2 │ 1,2 │ 1,4
1-го и 2-го сорта │ 1,2 │ 1,2 │ 1,2 │ 1,7
6. Технологическая проба │ │ │ │
на внешний вид пленки: │ │ │ │
высшего сорта │ - │ B │ - │ -
1-го сорта │ - │ B │ - │ -
2-го сорта │ - │ C │ - │ -
7. Запах и привкус водных │ - │ 1 │ - │ -
вытяжек, балл, не выше │ │ │ │
Продолжение табл. 5
───────────────────┬───────────────────────────────────────────────────────────
Наименование │ Норма для марки
показателя ├─────────┬─────────┬─────────┬─────────┬─────────┬─────────
│15003-002│15303-003│15503-004│16305-005│17603-006│17504-006
───────────────────┼─────────┼─────────┼─────────┼─────────┼─────────┼─────────
│ 5 │ 5 │ 5 │ 5│ 5 │ 5
1. Предел │98 x 10 │98 x 10 │98 x 10 │122 x 10 │98 x 10 │118 x 10
текучести при │ (100) │ (100) │ (100) │ (125) │ (100) │ (120)
растяжении, Па │ │ │ │ │ │
(кгс/см2), не менее│ │ │ │ │ │
│ 5│ 5│ 5│ 5│ 5│ 5
2. Прочность │142 x 10 │137 x 10 │137 x 10 │132 x 10 │137 x 10 │142 x 10
при разрыве, Па │ (145) │ (140) │ (140) │ (135) │ (140) │ (145)
(кгс/см2), не менее│ │ │ │ │ │
3. Относительное │ 600 │ 600 │ 600 │ 600 │ 600 │ 600
удлинение при │ │ │ │ │ │
разрыве, %, │ │ │ │ │ │
не менее │ │ │ │ │ │
4. Стойкость │ 500 │ 500 │ 10 │ 5 │ 10 │ 1,0
к растрескиванию, │ │ │ │ │ │
ч, не менее │ │ │ │ │ │
5. Массовая доля │ │ │ │ │ │
экстрагируемых │ │ │ │ │ │
веществ, %, │ │ │ │ │ │
не более: │ │ │ │ │ │
высшего сорта │ 0,4 │ 0,4 │ 0,4 │ 0,4 │ 0,4 │ 0,4
1-го и 2-го сорта │ 0,4 │ 0,6 │ 0,4 │ 0,4 │ 0,6 │ 0,4
6. Технологическая│ │ │ │ │ │
проба на внешний │ │ │ │ │ │
вид пленки: │ │ │ │ │ │
высшего сорта │ - │ A или B │ По │ - │ - │ B
1-го сорта │ - │ B │ По │ - │ - │ C
2-го сорта │ - │ C │ По │ - │ - │ C
7. Запах и привкус│ - │ 1 │ - │ - │ - │ 1
водных вытяжек, │ │ │ │ │ │
балл, не выше │ │ │ │ │ │
Продолжение табл. 5
───────────────────┬───────────────────────────────────────────────────────────
Наименование │ Норма для марки
показателя ├─────────┬─────────┬─────────┬─────────┬─────────┬─────────
│18003-030│18103-035│16904-040│18203-055│16803-070│18303-120
───────────────────┼─────────┼─────────┼─────────┼─────────┼─────────┼─────────
│ 5 │ │ 5│ │ 5 │
1. Предел │93 x 10 │ - │108 x 10 │ - │88 x 10 │ -
текучести при │ (95) │ │ (110) │ │ (90) │
растяжении, Па │ │ │ │ │ │
(кгс/см2), не менее│ │ │ │ │ │
│ 5│ │ 5│ │ 5 │
2. Прочность │108 x 10 │ - │103 x 10 │ - │88 x 10 │ -
при разрыве, Па │ (110) │ │ (105) │ │ (90) │
(кгс/см2), не менее│ │ │ │ │ │
3. Относительное │ 600 │ - │ 500 │ - │ 450 │ -
удлинение при │ │ │ │ │ │
разрыве, %, │ │ │ │ │ │
не менее │ │ │ │ │ │
4. Стойкость │ По │ - │ - │ - │ - │ -
к растрескиванию, │
табл. 3 │ │ │ │ │
ч, не менее │ │ │ │ │ │
5. Массовая доля │ │ │ │ │ │
экстрагируемых │ │ │ │ │ │
веществ, %, │ │ │ │ │ │
не более: │ │ │ │ │ │
высшего сорта │ 0,5 │ 0,5 │ 0,4 │ 0,5 │ 0,55 │ 0,5
1-го и 2-го сорта │ 0,6 │ 0,6 │ 0,4 │ 0,6 │ 0,6 │ 0,6
6. Технологическая│ │ │ │ │ │
проба на внешний │ │ │ │ │ │
вид пленки: │ │ │ │ │ │
высшего сорта │ - │ - │ По │ - │ - │ -
1-го сорта │ - │ - │ По │ - │ - │ -
2-го сорта │ - │ - │ По │ - │ - │ -
7. Запах и привкус│ - │ 1 │ 1 │ - │ 1 │ 1
водных вытяжек, │ │ │ │ │ │
балл, не выше │ │ │ │ │ │
Продолжение табл. 5
───────────────────┬─────────────────────────────────────────────────────────────────────
Наименование │ Норма для марки
показателя ├─────────┬─────────┬─────────┬─────────┬─────────┬─────────┬─────────
│16005-008│17703-010│16603-011│17803-015│15803-020│16204-020│16405-020
───────────────────┼─────────┼─────────┼─────────┼─────────┼─────────┼─────────┼─────────
│ 5│ 5 │ 5 │ 5 │ 5 │ 5│ 5
1. Предел │127 x 10 │98 x 10 │93 x 10 │93 x 10 │93 x 10 │108 x 10 │127 x 10
текучести при │ (130) │ (100) │ (95) │ (95) │ (95) │ (110) │ (130)
растяжении, Па │ │ │ │ │ │ │
(кгс/см2), не менее│ │ │ │ │ │ │
│ 5│ 5│ 5│ 5│ 5│ 5│ 5
2. Прочность │127 x 10 │122 x 10 │122 x 10 │118 x 10 │113 x 10 │113 x 10 │113 x 10
при разрыве, Па │ (130) │ (125) │ (125) │ (120) │ (115) │ (115) │ (115)
(кгс/см2), не менее│ │ │ │ │ │ │
3. Относительное │ 600 │ 600 │ 600 │ 600 │ 600 │ 600 │ 600
удлинение при │ │ │ │ │ │ │
разрыве, %, │ │ │ │ │ │ │
не менее │ │ │ │ │ │ │
4. Стойкость │ 1,0 │ - │ 2,5 │ По │ - │ - │ -
к растрескиванию, │ │ │ │
табл. 3 │ │ │
ч, не менее │ │ │ │ │ │ │
5. Массовая доля │ │ │ │ │ │ │
экстрагируемых │ │ │ │ │ │ │
веществ, %, │ │ │ │ │ │ │
не более: │ │ │ │ │ │ │
высшего сорта │ 0,4 │ 0,5 │ 0,4 │ 0,4 │ 0,4 │ 0,4 │ 0,4
1-го и 2-го сорта │ 0,4 │ 0,6 │ 0,4 │ 0,6 │ 0,6 │ 0,4 │ 0,4
6. Технологическая│ │ │ │ │ │
проба на внешний │ │ │ │ │ │
вид пленки: │ │ │ │ │ │
высшего сорта │ По
табл. 3 │ - │ B │ A или B │ B │ По
1-го сорта │ По
табл. 3 │ - │ B │ B │ B │ По
2-го сорта │ По
табл. 3 │ - │ C │ C │ C │ По
7. Запах и привкус│ - │ 1 │ - │ 1 │ 1 │ -
водных вытяжек, │ │ │ │ │ │
балл, не выше │ │ │ │ │ │
Продолжение табл. 5
───────────────────────────────────┬────────────────────┬──────────────────
Наименование показателя │ Норма для марки │ Метод испытания
├─────────┬──────────┤
│17403-200│18404-200 │
───────────────────────────────────┼─────────┼──────────┼──────────────────
растяжении, Па (кгс/см2), не менее │ │ │
п. 3.17 настоящего
│ │ │стандарта
2. Прочность при разрыве, │ - │ - │ То же
Па (кгс/см2), не менее │ │ │
3. Относительное удлинение │ - │ - │ "
при разрыве, %, не менее │ │ │
4. Стойкость к растрескиванию, ч, │ - │ - │ По ГОСТ 13518
не менее │ │ │
5. Массовая доля экстрагируемых │ │ │ По
п. 3.18
веществ, %, не более: │ │ │
высшего сорта │ 0,4 │ 0,4 │
1-го и 2-го сорта │ 0,4 │ 0,4 │
6. Технологическая проба │ │ │ По
п. 3.15
на внешний вид пленки: │ │ │
высшего сорта │ - │ - │
1-го сорта │ - │ - │
2-го сорта │ - │ - │
7. Запах и привкус водных вытяжек,│ - │ - │ По
п. 3.24
балл, не выше │ │ │
Примечания. 1. Для композиций рецептур 09, 10, 12, 14, 96 - 100, 901 допускается снижение разрушающего напряжения при растяжении на 10% от установленной нормы, относительного удлинения при разрыве на 10% для композиций с показателем текучести расплава менее 2 г/10 мин и на 20% для композиций с показателем текучести расплава 2 г/10 мин и выше установленной нормы.
2. Для композиций полиэтилена показатель по
подпункту 5 не нормируют.
3. (Исключен, Изм. N 2).
4. Для полиэтилена 2-го сорта показатель по
подпункту 7 не нормируют.
5. По показателю подпункта 6 полиэтилен
марки 15303-003 и
15803-020, предназначенный для изготовления пленки специального назначения, должен соответствовать виду A.
(Измененная редакция, Изм. N 2, 3; Поправка, ИУС 1-99).
1.9. По электрическим показателям композиции полиэтилена должны соответствовать требованиям, указанным в табл. 6.
─────────────────────────┬─────────────────────────────┬───────────────────
Наименование показателя │ Норма для рецептуры │ Методы испытаний
├───────────┬────────┬────────┤
│01, 02, 93,│ 04 │09, 96, │
│ 94, 95 │ │ 99 │
─────────────────────────┼───────────┼────────┼────────┼───────────────────
ИС МЕГАНОРМ: примечание.
В официальном тексте документа, видимо, допущена опечатка: пункт 3.2.2
отсутствует. Возможно, имеется в виду пункт 3.22.
│ -4 │ -4│ -4│
1. Тангенс угла │ 3 x 10 │5 x 10 │6 x 10 │ По ГОСТ 22372 и
диэлектрических потерь │ │ │ │
п. 3.2.2 настоящего
6 │ │ │ │стандарта
при частоте 10 Гц, │ │ │ │
не более │ │ │ │
2. Диэлектрическая │ 2,3 │ 2,3 │ 2,4 │ То же
проницаемость при частоте│ │ │ │
6 │ │ │ │
10 Гц, не более │ │ │ │
проницаемость (при │ │ │ │
п. 3.23 настоящего
толщине образца 1 мм) │ │ │ │стандарта
при переменном напряжении│ │ │ │
частоты 50 Гц, кВ/мм, │ │ │ │
не менее │ │ │ │
(Измененная редакция, Изм. N 3).
1.10. По технологической пробе на внешний вид пленки (вид A, B, C) полиэтилен должен соответствовать требованиям табл. 7, при этом сорт пленочных марок определяют показателями качества и видом технологической пробы.
В случае несоответствия полиэтилена виду технологической пробы на внешний вид пленки, предусмотренной в табл. 7, он может быть использован для других назначений, при этом сорт определяют показателями качества.
─────────────────────────────┬─────────────────────────────────────────────
Наименование показателя │ Норма на 1 м2 пленки вида
├──────────────┬───────────────┬──────────────
│ A │ B │ C
│ │ для полиэтилена, полученного
│ │ в реакторах
│ ├───────┬───────┬───────┬──────
│ │с пере-│труб- │с пере-│труб-
│ │меши- │чатого │меши- │чатого
│ │вающим │типа │вающим │типа
│ │устрой-│ │устрой-│
│ │ством │ │ством │
─────────────────────────────┼──────────────┼───────┼───────┼───────┼──────
1. Гели, шт., не более │ │ │ │ │
размером от 0,5 до 1,0 мм │ 6 │ 15 │ 15 │ 40 │ 40
включ. │ │ │ │ │
размером св. 1,0 до 2,0 мм │Не допускаются│ 5 │ 5 │ 10 │ 10
включ. │ │ │ │ │
2. Ворсинки размером, шт., │ │ │ │
не более │ │ │ │
от 0,5 до 2,0 мм включ. │ 12 │ 20 │ 20 │ Не нормируют
св. 2,0 до 3,0 мм │Не допускаются│ 2 │ 3 │ Не нормируют
3. Посторонние включения │Не допускаются│ 3 │ 5 │ Не нормируют
размером от 0,2 до 0,5 мм, │ │ │ │
шт., не более │ │ │ │
Примечания. 1. "Гели" - круглые и овальные включения полиэтилена на пленке, имеющие сплавленные грани.
2. "Ворсинки" - вытянутые гелеобразные включения на пленке, в основе которых лежат нитевидные вещества минерального, органического или полимерного происхождения.
3. Не допускаются металлические включения, скопления гелей и непроплавы, а также гели, ворсинки и посторонние включения размером более указанных.
4. Для изготовления спецпленки допускается по соглашению с потребителем увеличение норм для вида A по
подпункту 1 размером от 0,5 до 1,0 мм до 8 шт., по
подпункту 2 размером от 0,5 до 2,0 мм до 15 шт., по
подпункту 3 размером 0,2 - 0,5 мм до 2 шт., при 100%-ном соответствии всех разовых проб этим нормам.
1.11. Базовые марки, рецептуры добавок и окраски, разрешенные Министерством здравоохранения для изготовления изделий, контактирующих с пищевыми продуктами, игрушек, для водоснабжения, использования в медицине, указаны в
Приложении 1.
Для этого используют базовые марки полиэтилена высшего и 1-го сортов, запах и привкус которых должны соответствовать требованиям
табл. 5.
При несоответствии полиэтилена требованиям
табл. 5 по запаху и привкусу он должен быть использован в соответствии с
Приложением 2 для других назначений, для которых этот показатель не нормируют.
(Измененная редакция, Изм. N 2).
1.12. Обозначение базовых марок полиэтилена состоит из названия "полиэтилен", восьми цифр, сорта и обозначения настоящего стандарта. Первая цифра - 1 указывает на то, что процесс полимеризации этилена протекает при высоком давлении в трубчатых реакторах и реакторах с перемешивающим устройством с применением инициаторов радикального типа. Две следующие цифры обозначают порядковый номер базовой марки. Четвертая цифра указывает на степень гомогенизации полиэтилена:
0 - без гомогенизации в расплаве;
1 - гомогенизированный в расплаве.
Пятая цифра условно определяет группу плотности полиэтилена, г/см3.
1-0,900-0,909 4-0,922-0,926
2-0,910-0,916 5-0,927-0,930
3-0,917-0,921 6-0,931-0,939
При определении группы плотности берут номинальное значение плотности данной марки.
Следующие цифры, написанные через тире, указывают десятикратное значение показателя текучести расплава.
Пример обозначения полиэтилена порядкового номера марки 15, без гомогенизации в расплаве, плотностью 0,917 - 0,921 г/см3 и номинальным значением показателя текучести расплава 7 г/10 мин 1-го сорта:
Полиэтилен 11503-070, сорт 1, 16337-77
1.12.1. Обозначение композиций состоит из наименования материала "полиэтилен", трех первых цифр обозначения базовой марки, номера рецептуры добавки по
табл. 2, написанного через тире, цвета и рецептуры окрашивания по
Приложению 3, сорта и обозначения настоящего стандарта.
Пример обозначения композиции полиэтилена базовой марки 10204-003 с добавками в соответствии с рецептурой 03, 1-го сорта:
Полиэтилен 102-03, сорт 1, ГОСТ 16337-77
В случае окрашенных композиций к обозначению добавляется цвет и трехзначное число, обозначающее рецептуру окраски по
Приложению 3.
Пример обозначения композиций полиэтилена базовой марки 10204-003, окрашенной в розовый цвет по рецептуре 104, 1-го сорта:
Полиэтилен 102, розовый 104, сорт 1, ГОСТ 16337-77
Полиэтилен 102-03, розовый 104, сорт 1, ГОСТ 16337-77
1.12, 1.12.1. (Измененная редакция, Изм. N 3).
1.12.2. В обозначении полиэтилена, предназначенного для изготовления пленок различного назначения, изделий, контактирующих с пищевыми продуктами, питьевой водой, косметическими и лекарственными препаратами, игрушек, а также полиэтилена, подлежащего длительному хранению, дополнительно указывают соответствующее назначение.
(Введен дополнительно, Изм. N 3).
1.13. Показатели качества полиэтилена, определение которых не установлено настоящим стандартом, указаны в
Приложении 4.
2.1. Полиэтилен принимают партиями. Партией считают количество полиэтилена одной марки и одного сорта массой не менее 1 т, сопровождаемое одним документом о качестве. Допускается формирование партии в бункере готовой продукции.
Документ о качестве должен содержать:
наименование и товарный знак предприятия-изготовителя;
обозначение полиэтилена по
п. 1.12, сорт, цвет;
дату изготовления;
номер партии;
массу нетто;
результаты проведенных испытаний или подтверждение о соответствии полиэтилена требованиям настоящего стандарта. Для марок полиэтилена, предназначенного для контакта с пищевыми продуктами, изготовления игрушек, водоснабжения, медицинского назначения, указывают соответствие
подпункту 7 табл. 5.
(Измененная редакция, Изм. N 2).
2.2. Для проверки качества полиэтилена объем выборки (X) вычисляют по формуле

,
где m - масса партии полиэтилена, кг;
25 - масса условной единицы продукции, кг.
При массе партии 2 т число точечных проб должно быть не менее 6.
(Измененная редакция, Изм. N 3).
2.3. Для проверки технологической пробы на внешний вид пленки полиэтилена марок 15303-003 и 15803-020 высшего сорта, предназначенного для изготовления пленки специального назначения, дополнительно отбирают 15% единиц продукции при массе партии до 2 т, 10% - при массе партии свыше 2 до 5 т и при массе партии свыше 5 т - 20 проб, из которых после смешения каждых произвольно взятых двух проб изготовляют 10 проб.
(Измененная редакция, Изм. N 2).
2.4 - 2.7. (Исключены, Изм. N 3).
2.8. При получении неудовлетворительных результатов испытаний хотя бы по одному из показателей, проверяемых для каждой партии, проводят по нему повторные испытания удвоенной выборки от той же партии.
Результаты повторной проверки распространяются на всю партию.
2.9. При получении неудовлетворительных результатов испытаний хотя бы по одному из показателей, проверяемых периодически, проводят по нему повторные испытания удвоенной выборки от той же партии.
При получении неудовлетворительных результатов поставка полиэтилена потребителю должна быть прекращена до выяснения и устранения причин несоответствия их требованиям настоящего стандарта и получения удовлетворительных результатов испытаний новых партий.
2.10. Число точечных проб для определения разброса показателя текучести расплава в зависимости от массы партии составляет:
при массе партии до 15 т включ. - 6;
" " " св. 15 до 25 т включ. - 8;
" " " " 25 " 45 т " - 10;
" " " " 45 т - 15.
(Измененная редакция, Изм. N 3).
2.11. Приемо-сдаточные и периодические испытания полиэтилена проводят в соответствии с табл. 7а.
Таблица 7а
───────────────────────────────┬────────────┬──────────────────────────────
Наименование показателя │Номер пункта│ Периодичность испытаний
│технических │
│ требований │
───────────────────────────────┼────────────┼──────────────────────────────
1. Массовая доля гранул │ По
п. 1.6 │ Не реже чем на одной партии
размером св. 1 до 2 мм и св. 5 │ │от каждой выпускаемой марки
до 8 мм │ │в квартал
2. Массовая доля серых │ По
п. 1.6 │ То же
и окисленных гранул │ │
3. Цвет окрашенных композиций │ По
п. 1.6 │ "
4. Плотность │ По
п. 1 │ На каждой партии. Для
│табл. 3 │полиэтилена, получаемого в
│ │реакторах с перемешивающим
│ │устройством всех производств,
│ │также реакторах трубчатого
│ │типа 1 очереди с рабочим
│ │давлением не более 145 МПа
│ │допускается не реже чем
│ │на одной партии от каждой
│ │выпускаемой марки в квартал
5. Показатель текучести │ По
п. 2 │ На каждой партии
расплава (номинальное значение)│табл. 3 │
6. Разброс показателя │ По
п. 3 │ То же
текучести расплава в пределах │табл. 3 │
партии │ │
7. Количество включений │ По
п. 4 │ "
│табл. 3 │
8. Технологическая проба │ По
п. 5 │ На каждой партии,
на внешний вид пленки │табл. 3. │предназначенной для пленок
│ По
п. 6 │специального назначения,
│табл. 5 │термоусадочных, тонких.
│ │Для пленок других назначений
│ │не реже чем на одной партии
│ │от каждой выпускаемой марки
│ │в квартал
9. Стойкость к растрескиванию │ По
п. 6 │ Не реже чем на одной партии
│табл. 3. │от каждой выпускаемой марки
│табл. 5 │
10. Предел текучести │ По
п. 1 │ То же
при растяжении │табл. 5 │
11. Прочность при разрыве │ По
п. 2 │ "
│табл. 5 │
12. Относительное удлинение │ По
п. 3 │ "
│табл. 5 │
13. Массовая доля │ По
п. 5 │ "
экстрагируемых веществ │табл. 5 │
14. Запах и привкус водных │ По
п. 7 │ "
вытяжек │табл. 5 │
15. Стойкость к │ По
п. 1 │ "
термоокислительному старению │табл. 4 │
16. Стойкость к │ По
п. 2 │ "
фотоокислительному старению: │табл. 4 │
методом облучения, по массовой │ │
доле сажи и по равномерности │ │
распределения сажи │ │
17. Массовая доля летучих │ По
п. 3 │ "
веществ │табл. 4 │
18. Тангенс угла │ По
п. 1 │ Не реже чем на каждой пятой
диэлектрических потерь │табл. 6 │партии композиции полиэтилена
│ │электротехнического назначения
19. Диэлектрическая │ По
п. 2 │ То же
проницаемость │табл. 6 │
20. Электрическая прочность │ По
п. 3 │ "
│табл. 6 │
(Введен дополнительно, Изм. N 3).
3.1. Точечные пробы из мешков отбирают совком или щупом, а из контейнера или цистерны - щупом из трех слоев по высоте.
Допускается отбирать точечные пробы во время упаковывания или в потоке перед бункером готовой продукции.
3.2. Отобранные точечные пробы соединяют в объединенную пробу и перемешивают на чистом поддоне не менее 5 мин.
Допускается получать объединенную пробу непрерывным отбором из потока полиэтилена, поступающего на формирование партии.
3.3. Масса объединенной пробы должна быть не менее 700 г.
3.4. Масса объединенной пробы, а также каждой точечной пробы для марок 15303-003 и 15803-020 для технологической пробы на внешний вид пленки должна быть не менее 1,5 кг.
3.5. Масса точечной пробы для определения разброса показателя текучести расплава должна быть не менее 20 г.
3.6. Объединенную пробу и точечные пробы помещают в плотно закрытую чистую сухую тару. На каждую тару наклеивают или вкладывают в нее этикетку с условным обозначением продукта, номера и массы партии, даты отбора проб.
3.7. Образцы для определения плотности, предела текучести при растяжении, прочности при разрыве, относительного удлинения при разрыве, температуры хрупкости, стойкости к растрескиванию, электрических характеристик и цвета окрашенных композиций вырубают из пластин. Для этого объединенную пробу полиэтилена прессуют в открытой пресс-форме типа ограничительной рамки, шириной от края рамки до гнезда (45 +/- 10) мм с необходимым числом гнезд при условиях, предусмотренных
ГОСТ 12019.
Для предотвращения прилипания полиэтилена при прессовании к поверхности пресс-формы допускается использование прокладок из непластифицированной триацетатной или целлюлозной пленки
(ГОСТ 7730) или алюминиевой фольги
(ГОСТ 618) толщиной (0,075 +/- 0,025) мм. Допускается использование других пленок, не влияющих на результаты испытаний. При разногласиях в оценке качества полиэтилена при прессовании используют непластифицированную триацетатную или целлюлозную пленки или алюминиевую фольгу.
Массу навески полиэтилена

в граммах вычисляют по формуле

,
где V - объем прессуемой пластины, см3;

- плотность полиэтилена, г/см3.
Пресс-форму с навеской полиэтилена устанавливают в пресс; допускаемая температура пресс-формы - от комнатной до +50 °C. Плиты пресса сближают так, чтобы полиэтилен находился под давлением не более 0,4 МПа, и пресс-форму нагревают в течение (12,5 +/- 2,5) мин до температуры выдержки, которую выбирают в зависимости от показателя текучести расплава по табл. 8.
Таблица 8
───────────────────────────────────────┬───────────────────────────────────
Показатель текучести расплава, г/10 мин│ Температура выдержки, °C
───────────────────────────────────────┼───────────────────────────────────
До 1,0 включ. │ 160 - 150
Св. 1,0 " 4,0 " │ 150 - 145
" 4,0 │ 145 - 110
Пресс-форму выдерживают при этой температуре из расчета 5 мин на 1 мм толщины пластины. Затем усилие пресса повышают до требуемого, рассчитываемого исходя из давления 3,4 МПа на прессуемые пластины и их площади, и выдерживают под давлением из расчета 5 мин на 1 мм толщины пластины. После этого, не снижая давления, пресс-форму охлаждают со средней скоростью (20 +/- 3) °C в 1 мин до (45 +/- 5) °C. Температуру контролируют в верхней и нижней плитах пресса или листах пресс-формы.
Толщина пластин, из которых изготовляют образцы, должна быть: для определения электрических показателей и плотности (1,0 +/- 0,1) мм; для определения температуры хрупкости (1,6 +/- 0,1) мм; для физико-механических испытаний и определения цвета окрашенных композиций (2,0 +/- 0,2) мм; для определения стойкости к растрескиванию (3,0 +/- 0,3) мм.
Поверхность образцов должна быть гладкой, без вздутий, сколов, трещин, раковин и других видимых дефектов.
Допускается перед прессованием вальцевать объединенную пробу в течение (6 +/- 1) мин до образования сплошного полотна при температуре, которую выбирают в зависимости от показателя текучести по табл. 9.
Таблица 9
───────────────────────────────────────┬───────────────────────────────────
Показатель текучести расплава, г/10 мин│ Температура выдержки, °C
───────────────────────────────────────┼───────────────────────────────────
До 0,5 включ. │ 160 - 150
Св. 0,5 " 1,0 " │ 150 - 140
" 1,0 " 6,0 " │ 140 - 120
" 6,0 │ 120 - 105
Температура заднего валка должна быть на 5 - 10 °C ниже переднего. Полиэтилен вальцуют при зазоре между валками (0,75 +/- 0,25) мм, частоте вращения валков (25 +/- 5) об/мин, фрикции 1:1,2.
Полотно во время вальцевания подрезают не менее двух раз в минуту.
| | ИС МЕГАНОРМ: примечание. ГОСТ 12423-66 утратил силу с 1 января 2015 года в связи с введением в действие ГОСТ 12423-2013 (Приказ Росстандарта от 22.11.2013 N 1069-ст). | |
Перед испытанием полиэтилена по показателям "стойкость к растрескиванию", "предел текучести", "прочность при разрыве" и "относительное удлинение" образцы кондиционируют по ГОСТ 12423 при температуре (20 +/- 2) °C в течение 3 ч, при этом относительная влажность не нормируется, а перед испытанием по электрическим показателям образцы нормализуют по
ГОСТ 6433.1 в комнатной среде в течение 4 ч.
3.8. Определение массовой доли гранул размером свыше 1 до 2 мм и свыше 5 до 8 мм
(200 +/- 1) г объединенной пробы распределяют однослойно, осматривают по
п. 3.14 в течение 5 мин и отбирают гранулы размером, в любом направлении, свыше 1 до 2 мм и свыше 5 до 8 мм. Отобранные гранулы взвешивают с погрешностью не более 0,01 г.
Размер гранул устанавливают при помощи десятикратной измерительной лупы или визуально сопоставлением с гранулами, размер которых установлен по предварительным измерениям.
Массовую долю гранул размером свыше 1 до 2 мм

или гранул размером свыше 5 до 8 мм

в процентах вычисляют по формуле

,
где m - масса гранул размером свыше 1 до 2 мм или гранул размером свыше 5 до 8 мм, г;

- масса объемной пробы, г.
3.7, 3.8. (Измененная редакция, Изм. N 2, 3).
3.9. Определение массовой доли серых и окисленных гранул
(200 +/- 1) г объединенной пробы осматривают по
п. 3.14. Отбирают гранулы серого цвета и окисленные от светло-желтого до темно-коричневого цвета и взвешивают с погрешностью не более 0,01 г.
Массовую долю серых и окисленных гранул

в процентах вычисляют по формуле

,
где m - масса серых и окисленных гранул, г;

- масса навески объединенной пробы, г.
3.10. Определение цвета окрашенных композиций
Образцы из окрашенного полиэтилена для определения цвета в виде диска диаметром 50 или 100 мм вырубают из пластин, отпрессованных по
п. 3.7.
Образцы после изготовления хранят в защищенном от света месте.
Цвет образцов определяют визуально при дневном отраженном свете сравнением с образцом, утвержденным в установленном порядке.
3.11. Плотность определяют по
ГОСТ 15139 флотационным методом или методом градиентной колонки при температуре (20,0 +/- 0,1) °C. Пластину полиэтилена, отпрессованную по
п. 3.7, подвергают термообработке в кипящей дистиллированной воде в течение 1 ч с последующим охлаждением в этой воде до 40 °C в течение 30 - 40 мин в условиях окружающей среды.
Термообработку и охлаждение проводят в стакане типа В-1 (2)-150 или В-1 (2)-250 по
ГОСТ 25336, закрытом крышкой; объем воды должен быть не менее 100 см3. Из охлажденной до комнатной температуры пластины, отступив от ее края на (10 +/- 5) мм, вырезают не менее трех образцов для каждой пробы: квадраты или треугольники, или прямоугольники площадью (10 +/- 2) мм2. Максимальный линейный размер образца не должен превышать 5 мм. Образцы вырезают острым режущим инструментом на деревянной или полиэтиленовой подложке так, чтобы они имели ровные края без заусенцев. Вырезанные образцы промывают в ванночке этиловым спиртом
(ГОСТ 18300), извлекают пинцетом, сушат фильтровальной бумагой и осматривают. Образцы не должны иметь неравномерностей окраски, раковин, пузырьков, инородных включений или каких-либо других дефектов. Любое изменение окраски кромки, например побеление, недопустимо.
Для обеспечения полного смачивания образцов при приготовлении основного раствора (этиловый спирт-вода) плотностью 0,910 г/см3 к нему добавляют 1 см3 поверхностно-активного вещества ОП-7
(ГОСТ 8433) на 1600 см3 основного раствора.
3.12. Показатель текучести расплава определяют по
ГОСТ 11645 при (190 +/- 0,5) °C и нагрузке 21,17 Н (2,16 кгс) на экструзионном пластометре диаметром сопла (2,095 +/- 0,005) мм после выдержки материала в нагретом приборе в течение 4 - 5 мин. При определении показателя текучести расплава от 25 до 200 г/10 мин применяют сопло диаметром (1,180 +/- 0,005) мм. При этом показатель текучести расплава полиэтилена (I), г/10 мин, вычисляют по формуле

,
где m - средняя масса отрезка, г;
t - время вытекания одного отрезка, мин;
K - коэффициент пересчета, который вычисляют как среднеарифметическое коэффициентов пересчета, полученных на отдельных образцах.
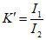
Для определения коэффициента пересчета берут не менее 10 образцов полиэтилена с показателем текучести расплава около 20 г/10 мин и для них определяют показатель текучести расплава параллельно с соплом диаметром (2,095 +/- 0,005) мм и (1,180 +/- 0,005) мм. Коэффициент пересчета (K') для каждого образца вычисляют по формуле

,
где

- показатель текучести расплава с соплом диаметром (2,095 +/- 0,005) мм, г/10 мин;

- показатель текучести расплава с соплом диаметром (1,180 +/- 0,005) мм, г/10 мин.
3.13. Определение разброса показателя текучести расплава в пределах одной партии
Показатель текучести расплава для каждой точечной пробы, отобранной по
п. 3.5, определяют по
п. 3.12.
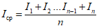
Среднеарифметическое показателя текучести расплава

в г/10 мин вычисляют по формуле

,
где

,

,...,

,

- показатель текучести расплава каждой из точечных проб, г/10 мин;
n - число проб.
Разброс показателя текучести расплава

в процентах вычисляют по формуле

,
где

- максимальный показатель текучести расплава, г/10 мин;

- минимальный показатель текучести расплава, г/10 мин;

- среднеарифметическое показателя текучести расплава, г/10 мин.
3.14. Определение количества включений
На лист белой бумаги размером не менее 400 x 700 мм отбирают от объединенной пробы (200 +/- 1) г полиэтилена. Затем по (25 +/- 5) г гранул распределяют однослойно и внимательно просматривают, отбирая все гранулы, имеющие посторонние включения, загрязнения, вкрапления другого цвета с максимальным размером не менее 0,3 мм (0,2 мм для пленочных марок полиэтилена). Таким образом просматривают всю пробу в течение 5 мин.
Осмотр осуществляется невооруженным глазом при освещении рабочего места электрической лампой мощностью 100 Вт, находящейся от листа на расстоянии примерно 250 мм. Отобранные гранулы классифицируют по размерам включений на 3 группы, указанные в табл. 10.
Таблица 10
──────────────────────────────┬────────────────────────────────────────────
Группа │ Максимальный размер включений, мм
──────────────────────────────┼────────────────────────────────────────────
1 │От 0,3 до 0,5 включ.
2 │Св. 0,5 " 1,0 "
3 │ " 1,0 " 2,0 "
Примечания. 1. Нижний предел размера включений 1-й группы для пленочных марок полиэтилена должен быть 0,2 мм.
2. Металлические включения и включения размером свыше 2 мм не допускаются.
Размер включений определяют при помощи десятикратной измерительной лупы
(ГОСТ 25706) или сопоставлением с гранулами, имеющими включения размером, соответствующим трем указанным группам.
Количество включений (B) в штуках вычисляют по формуле

,
где

- количество включений 1-й группы;

- количество включений 2-й группы;

- количество включений 3-й группы.
3.15. Технологическая проба полиэтилена на внешний вид пленки
3.12 - 3.15. (Измененная редакция, Изм. N 2).
3.15.1. Экструзионный агрегат с отношением длины червяка к диаметру 11 - 25, степенью сжатия от 1:1 до 1:4, степенью раздува 1,0 - 2,5, одно- или двухчервячный.
(Измененная редакция, Изм. N 3).
3.15.2. Проведение испытания
Пленку изготовляют методом экструзии через круглую щель с последующим пневматическим растяжением без фильтрации расплава в виде рукава шириной 200 или 400 мм (в зависимости от типа установки) толщиной (0,06 +/- 0,015) мм по технологическим режимам, указанным в табл. 11.
Таблица 11
───────────────────────┬───────────────────────────────────────────────────
Показатель текучести │ Температурная зона червячного пресса, °C
расплава, г/10 мин ├──────────────────────────────────────┬────────────
│ Цилиндр │ Головка
├────────────┬────────────┬────────────┤(на выходе)
│ I │ II │ III, IV │
───────────────────────┼────────────┼────────────┼────────────┼────────────
От 0,2 до 1,0 включ. │ 120 - 160 │ 130 - 170 │ 170 - 200 │ 170 - 200
Св. 1,0 " 2,5 " │ 80 - 160 │ 120 - 160 │ 130 - 170 │ 130 - 170
" 3,5 " 4,5 " │ 75 - 120 │ 120 - 140 │ 120 - 150 │ 120 - 150
" 6,0 " 8,0 " │ 75 - 100 │ 100 - 110 │ 110 - 130 │ 110 - 130
Примечание. Допустимые отклонения от заданной температуры по зонам должны быть не более +/- 10 °C.
Образец пленки, подлежащий испытанию, отбирают не ранее чем через 5 мин после выхода на заданный режим.
Количество включений (по
табл. 7) в полиэтилене пленочных марок подсчитывают визуально, осматривая пленку в проходящем свете на образцах длиной 1,25 м при ширине рукава пленки 400 мм и длиной 2,5 м при ширине рукава 200 мм.
Для полиэтилена пленочных марок, кроме марок, предназначенных для изготовления пленки специального назначения, допускается подсчет количества включений на образце длиной 0,3 м с последующим пересчетом на 1 м2.
В зависимости от включений, содержащихся на 1 м2, и их величины устанавливают три вида технологической пробы - A, B, C
(табл. 7).
Для полиэтилена высшего сорта марок 15303-003 и 15803-020, предназначенных для изготовления пленки специального назначения, требованиям вида A должны удовлетворять не менее 75% разовых проб, остальные 25% - в пределах норм, указанных в
примечании 4 к табл. 7.
Допускается проводить определение технологической пробы на внешний вид пленки на промышленных экструзионных агрегатах при ширине образца, равной ширине развернутого рукава, и длине, определенной при расчете на 1 м2.
При возникновении разногласий в оценке технологической пробы на внешний вид пленки определение проводят на агрегатах, указанных в
п. 3.15.1.
(Измененная редакция, Изм. N 2, 3).
3.16. Стойкость полиэтилена к растрескиванию под напряжением определяют по ГОСТ 13518.
3.17. Предел текучести и прочность при разрыве, относительное удлинение при разрыве определяют по
ГОСТ 11262 на образцах типа 1 при (20 +/- 2) °C, при этом относительная влажность не нормируется. Образцы вырубают из пластин, отпрессованных по
п. 3.7.
Скорость перемещения подвижного захвата должна быть (500 +/- 50) мм/мин.
3.16, 3.17. (Измененная редакция, Изм. N 2).
3.18. Массовую долю экстрагируемых веществ определяют по ГОСТ 26393.
(Измененная редакция, Изм. N 3).
3.19. Определение стойкости композиции к термоокислительному старению
(200 +/- 1,0) г композиции рецептуры 06 вальцуют 4 ч, композиций рецептур 03, 07, 98 - 6 ч и композиций рецептур 01, 02, 04, 09, 10, 12, 93 - 97, 99, 100 - 8 ч при следующих условиях:
температура переднего валка - (160 +/- 5) °C для композиций с показателем текучести расплава не более 5,5 г/10 мин, (140 +/- 5) °C - для композиций с показателем текучести расплава свыше 5,5 до 7,0 г/10 мин; (120 +/- 5) °C - для композиций с показателем текучести расплава свыше 7,0 до 12,0 г/10 мин.
Температура заднего валка - ниже на 5 - 10 °C.
Зазор между валками - (0,25 +/- 0,05) мм.
Частота вращения ведущего валка - 30 об/мин.
Фрикция - 1:1,2.
Диаметр валка - 150 - 200 мм.
Длина валка - 320 - 450 мм.
Полотно подрезают каждые 30 мин. Температуру валков измеряют непрерывно автоматически. Допускается измерять температуру каждые 30 мин при помощи термоэлектрического преобразователя ТХК. Зазор между валками измеряют щупом по ТУ 2-034-225.
Из вальцованного полотна прессуют пластины в соответствии с
п. 3.7 и определяют предел текучести и прочность при разрыве, относительное удлинение при разрыве, а для композиций рецептур 01, 02, 04, 09, 93, 94, 95, 96, 99 - дополнительно тангенс угла диэлектрических потерь.
Композицию считают выдержавшей испытание, если снижение предела текучести при растяжении, прочность при разрыве и относительного удлинения при разрыве составит не более 10%, а увеличение тангенса угла диэлектрических потерь - не более 25% по сравнению с нормами, указанными в
табл. 5 и
6.
(Измененная редакция, Изм. N 2, 3).
3.20. Определение стойкости композиций к фотоокислительному старению методом облучения, по равномерности распределения сажи и массовой доле сажи
(Измененная редакция, Изм. N 3).
3.20.1. Стойкость композиции к фотоокислительному старению определяют при облучении образцов, отпрессованных по
п. 3.7, лампой ДРТ-400 (ДРТ-375), установленной в центре камеры. Вокруг лампы вращается барабан с частотой 10 об/мин.
Испытуемые образцы закрепляют прижимными планками на внутренней поверхности барабана на расстоянии 200 мм от лампы. Температура воздуха внутри барабана на уровне образцов должна быть (50 +/- 5) °C, а освещенность поверхности образцов, измеряемая по люксметру, - (20000 +/- 2000) лк. Облучение должно осуществляться при исправной приточно-вытяжной вентиляции. Продолжительность работы лампы составляет 500 ч. До начала облучения новая лампа ДРТ-400 (ДРТ-375) должна отработать вхолостую 50 ч. Допускается прерывность облучения. Допускается использование другой конструкции установки для облучения, но с применением лампы ДРТ-400 (ДРТ-375) того же светового и температурного режима.
| | ИС МЕГАНОРМ: примечание. ГОСТ 16782-92 утратил силу с 1 января 2017 года в связи с введением в действие ГОСТ 16782-2015 (Приказ Росстандарта от 20.11.2015 N 1917-ст). | |
После облучения образцов в течение времени, указанного в
табл. 4, определяют температуру хрупкости по ГОСТ 16782 при скорости движения пуансона (2,0 +/- 0,2) м/с по ускоренному методу испытания, при этом образец устанавливают облученной поверхностью вниз (облученная поверхность подвергается деформации сжатия).
Композиция считается выдержавшей испытание, если температура хрупкости составит:
для композиций с показателем текучести расплава менее 0,6 г/10 мин - не выше минус 70 °C;
для композиций с показателем текучести расплава от 0,6 до 4,0 г/10 мин - не выше минус 60 °C;
для композиций с показателем текучести расплава до 5,5 г/10 мин - не выше минус 50 °C.
3.20.2. Определение стойкости к фотоокислительному старению композиций, содержащих сажу, по равномерности распределения сажи
Метод основан на микроскопическом исследовании микропрепаратов, полученных с испытуемых образцов.
Из объединенной пробы композиций, содержащих сажу, берут 3 - 5 гранул, которые закрепляют в микротоме модели "X" специальным держателем, сконструированным взамен замораживающего устройства.
С каждой гранулы ножом микротома делают 3 - 4 микросреза толщиной (0,045 +/- 0,005) мм и помещают их между чистыми предметными стеклами на расстоянии 0,5 см друг от друга.
Предметные стекла с микросрезами помещают на ровную чистую поверхность электрической плитки (по
ГОСТ 14919), нагретой до температуры (185 +/- 5) °C, измеряемой термометром с ценой деления 1 °C, и выдерживают 1 мин без давления и 1 мин под давлением груза массой 2,5 кг, имеющего ровную поверхность.
Для предупреждения растрескивания стекло перед установкой груза покрывают слоем асбеста.
После прессования предметные стекла с микропрепаратами в виде пленок толщиной 0,025 - 0,03 мм охлаждают на воздухе и просматривают под микроскопом МБИ-3 (или другого типа) при

увеличении.
Допускается делать снимки испытуемых микропрепаратов под микроскопом с помощью микрофотонасадки МФН-12 или другого типа.
Качество распределения сажи в композиции подразделяется на 4 типа (см.
чертеж):
I - лучшее распределение сажи, характеризующееся однородным темным фоном без отдельных агломератов сажи;
II - хорошее распределение сажи, характеризующееся однородным темным фоном с незначительным числом агломератов сажи;
III - удовлетворительное распределение сажи, характеризующееся темным фоном с незначительным числом агломератов сажи и небольшим количеством светлых точек (слабоокрашенные участки) или темным фоном с большим числом мелких агломератов сажи;
IV - плохое распределение сажи, характеризующееся неоднородным фоном с большим числом агломератов сажи.
Стойкость к фотоокислительному старению композиций полиэтилена, содержащих 2,0% сажи и более, эквивалентна 500 ч облучения лампой ДРТ-400 (ДРТ-375) при (50 +/- 5) °C, если распределение сажи соответствует I и II типам полиэтилена; содержащего 0,5% сажи - 240 ч облучения лампой ДРТ-400 (ДРТ-375) при (50 +/- 5) °C, если распределение сажи соответствует III типу.
При этом температуры хрупкости должны соответствовать значениям, указанным в
п. 3.20.1.
3.20.1, 3.20.2. (Измененная редакция, Изм. N 2, 3).
3.20.3. При разногласиях, возникших в оценке стойкости композиций полиэтилена к фотоокислительному старению, определение проводят методом облучения лампой ДРТ-400 (ДРТ-375).
(Измененная редакция, Изм. N 2).
3.20.4. Массовую долю сажи определяют по ГОСТ 26311.
(Введен дополнительно, Изм. N 3).
3.21. Массовую долю летучих веществ определяют по ГОСТ 26359. При этом пробы взвешивают и хранят в стакане (бюксе), закрытом крышкой.
(Измененная редакция, Изм. N 3).
3.22. Тангенс угла диэлектрических потерь и диэлектрическую проницаемость при частоте

определяют по ГОСТ 22372 на дисках толщиной (1,0 +/- 0,1) мм, диаметром (50 +/- 0,5) мм. Образцы вырубают из пластин, отпрессованных по
п. 3.7.
3.23. Электрическую прочность при переменном напряжении частотой 50 Гц определяют по
ГОСТ 6433.3 в трансформаторном масле
(ГОСТ 982) с применением цилиндрических электродов из нержавеющей стали или латуни
(ГОСТ 17711) при плавном подъеме напряжения, при этом напряжение должно повышаться от нуля равномерно таким образом, чтобы пробой происходил в интервале времени от 10 до 20 с с момента начала подъема напряжения. Диаметр электродов должен быть (25 +/- 0,5) мм, радиус закругления - 2,5 мм, высота - не менее 25 мм. Образцы в форме дисков диаметром (100 +/- 1) мм вырубают из пластин, отпрессованных по
п. 3.7.
3.22, 3.23. (Измененная редакция, Изм. N 2).
3.24. Запах и привкус водных вытяжек определяют по
ГОСТ 22648 после выдержки в течение 24 ч объединенной пробы в рассыпанном состоянии в комнатной среде.
(Измененная редакция, Изм. N 2, 3).
4. УПАКОВКА, МАРКИРОВКА, ТРАНСПОРТИРОВАНИЕ И ХРАНЕНИЕ
4.1. Полиэтилен упаковывают в пяти-, четырехслойные мешки по
ГОСТ 2226 марки НМ с открытой горловиной и внутренним полиэтиленовым вкладышем или в мешки пяти-, четырехслойные по
ГОСТ 2226 марки ПМ с открытой или закрытой горловиной, или в полиэтиленовые мешки по
ГОСТ 17811, или в специальные бумажные мешки, имеющие клапан, или в полиэтиленовые мешки, размеры и форма которых определяются возможностями специальной упаковочной установки, обеспечивающие сохранность и качество продукции.
По соглашению с потребителем допускается полиэтилен упаковывать в другие мешки, по качеству соответствующие требованиям вышеуказанной нормативно-технической документации.
При упаковывании полиэтилена, предназначенного на экспорт, число слоев бумажных мешков должно быть не менее пяти.
Горловину вкладыша и полиэтиленовых мешков заваривают или прошивают машинным способом, горловину бумажных мешков прошивают машинным способом. Клапаны должны быть заправлены внутрь.
Полиэтилен упаковывают в мягкие специализированные контейнеры для сыпучих продуктов, в том числе разового использования типа МКР-1,ОС или МКР-1,ОМ.
Масса полиэтилена в мешке должна быть (20,0 +/- 0,3) или (25 +/- 0,3) кг.
4.2. Полиэтилен, предназначенный для районов Крайнего Севера, упаковывают в специальные пятислойные бумажные мешки с внутренним полиэтиленовым покрытием, обеспечивающие сохранность и качество продукции.
Для длительного хранения полиэтилен упаковывают в пяти-, четырехслойные мешки по
ГОСТ 2226 марки НМ с открытой горловиной с внутренним полиэтиленовым вкладышем или в мягкие контейнеры.
По соглашению с потребителем допускается упаковывать полиэтилен в пяти-, четырехслойные мешки по
ГОСТ 2226 марки ПМ или в полиэтиленовые мешки по
ГОСТ 17811.
Полиэтилен, предназначенный для экспорта, упаковывают в соответствии с требованиями заказа-наряда внешнеторгового объединения.
4.1, 4.2. (Измененная редакция, Изм. N 2).
4.3. Транспортная маркировка - по
ГОСТ 14192 с указанием манипуляционных знаков "Беречь от влаги", "Беречь от нагрева" и следующих данных:
наименования и товарного знака предприятия-изготовителя;
обозначения полиэтилена (без указания сорта и назначения);
номера партии;
года изготовления;
массы нетто.
Допускается на полиэтиленовые мешки, получаемые на специальной упаковочной установке, вместо манипуляционных знаков наносить соответствующие надписи.
Полиэтилен, предназначенный для экспорта, маркируют несмываемой краской в соответствии с заказом-нарядом внешнеторгового объединения.
Размеры букв должны быть не менее 7 мм.
Обозначение полиэтилена наносят шрифтом большего размера, чем остальные обозначения.
Маркировку полиэтилена, упакованного в мягкие контейнеры, наносят на его боковую поверхность.
На боковой поверхности контейнера-цистерны, вагона для гранулированных полимеров, специальных цистерн грузоотправителя и автоцистерны несмываемой краской должна быть нанесена надпись: "Полиэтилен" и трафареты приписки.
(Измененная редакция, Изм. N 2, 3; Поправка, ИУС 5-89).
4.4. Полиэтилен транспортируют всеми видами транспорта в крытых транспортных средствах в соответствии с правилами перевозки грузов, действующими на данном виде транспорта.
При транспортировании морским транспортом бумажные мешки должны дополнительно вкладываться в полиэтиленовые мешки.
Допускается по соглашению с потребителем транспортировать полиэтилен насыпью в железнодорожных вагонах моделей 17-495 и 17-917, а также в контейнерах-цистернах по ГОСТ 26380 и специальных цистернах грузоотправителя, предназначенных для перевозки полиэтилена, автоцистернах типа К104ОЭ, принадлежащих предприятию-изготовителю.
Пакетирование полиэтилена - по правилам перевозки грузов, утвержденным соответствующими ведомствами, размеры пакета должны соответствовать
ГОСТ 24597, средства скрепления -
ГОСТ 21650.
(Измененная редакция, Изм. N 2).
4.5. Полиэтилен хранят в закрытом помещении, исключающем попадание прямых солнечных лучей, на расстоянии не менее 1 м от нагревательных приборов.
4.6. Условия хранения полиэтилена, обеспечивающие гарантийные сроки хранения, указанные в разд. 5, - температура не выше 25 °C, относительная влажность - 40% - 80%.
4.7. Перед вскрытием мешки с полиэтиленом должны быть выдержаны не менее 12 ч в производственном помещении.
5.1. Изготовитель гарантирует соответствие полиэтилена требованиям настоящего стандарта при соблюдении условий транспортирования и хранения.
5.2. Гарантийный срок хранения полиэтилена с показателем текучести расплава до 12 г/10 мин устанавливается со дня изготовления для базовых марок - 3 года, для композиций, в зависимости от рецептуры, - в соответствии с табл. 13.
Таблица 13 <*>
--------------------------------
<*> Табл. 12. (Исключена, Изм. N 2).
─────────────────────────────────────────┬─────────────────────────────────
Рецептура │ Гарантийный срок хранения, годы
─────────────────────────────────────────┼─────────────────────────────────
08 │ 3
03, 06, 07, 14, 98 │ 5
01, 02, 04, 09, 10, 12, 93 - 97, 99, 100 │ 7
(Измененная редакция, Изм. N 3).
5.3. (Исключен, Изм. N 2).
6. ТРЕБОВАНИЯ БЕЗОПАСНОСТИ
6.1. Базовые марки полиэтилена и композиций на их основе при комнатной температуре не выделяют в окружающую среду токсичных веществ и не оказывают при непосредственном контакте влияния на организм человека. Работа с ними не требует особых мер предосторожности.
6.2. При затаривании и механической обработке полиэтилена возможно образование мелкой пыли, а при нагревании в процессе переработки выше 140 °C возможно выделение в воздух летучих продуктов термоокислительной деструкции, содержащих органические кислоты, карбонильные соединения, в том числе формальдегид и ацетальдегид, окись углерода.
6.3. Предельно допустимые концентрации в воздухе рабочей зоны, мг/м3:
Класс опасности
формальдегида ....................... 0,5 ................. 2
ацетальдегида ....................... 5,0 ................. 3
органических кислот
(в пересчете на уксусную кислоту) ... 5,0 ................. 3
окиси углерода ...................... 20,0 ................ 4
аэрозоля полиэтилена ................ 10,0 ................ 3
6.2, 6.3. (Измененная редакция, Изм. N 2).
6.4. Переработка полиэтилена должна проводиться при работающей местной вытяжной и общеобменной вентиляции, при строгом соблюдении технологического режима.
6.5. При поднесении открытого пламени полиэтилен загорается без взрыва и горит коптящим пламенем с образованием расплава и выделением газообразных продуктов, указанных в
п. 6.2.
Температура воспламенения полиэтилена около 300 °C, температура самовоспламенения около 400 °C. При возникновении пожара тушить всеми известными средствами пожаротушения.
Максимальное давление взрыва пыли полиэтилена дисперсностью 0,071 мм составляет 50 кПа, максимальная скорость нарастания давления при взрыве -

, минимальная энергия зажигания - 5,6 мДж, минимальное взрывоопасное содержание кислорода при разбавлении пылевоздушной смеси азотом - 9% объемных.
(Измененная редакция, Изм. N 2).
6.6. В соответствии с правилами защиты от статического электричества оборудование должно быть заземлено, относительная влажность в рабочих помещениях должна быть не ниже 50%. Рабочие места должны быть снабжены резиновыми ковриками.
Обязательное
БАЗОВЫХ МАРОК И РЕЦЕПТУР ДОБАВОК, ДОПУЩЕННЫХ ДЛЯ КОНТАКТА
С ПИЩЕВЫМИ ПРОДУКТАМИ, ИЗГОТОВЛЕНИЯ ИГРУШЕК,
ДЛЯ ВОДОСНАБЖЕНИЯ И ДЛЯ ИСПОЛЬЗОВАНИЯ В МЕДИЦИНЕ
───────────────────┬───────────────────────┬───────────────────────────────
Базовые марки │ Рецептуры добавок │ Рецептуры окрашивания
───────────────────┴───────────────────────┴───────────────────────────────
Для контакта с пищевыми продуктами
ИС МЕГАНОРМ: примечание.
В официальном тексте документа, видимо, допущена опечатка: рецептуры
под номерами 301, 305, 701, 703 в Приложении 3 отсутствуют.
10703-020 │ │
10803-020 │ │
11304-040 │ │
11503-070 │ │
15303-003 │ │
15803-020 │ │
16204-020 │ │
16803-070 │ │
16904-040 │ │
17504-006 │ │
17703-010 │ │
18103-035 │ │
18303-120 │ │
10713-020 │ │
10813-020 │ │
11513-070 │ │
15813-020 │ │
Для покрытия изделий, допущенных для контакта
с пищевыми продуктами
16803-070 │ │
18303-120 │ │
10713-020 │ │
10813-020 │ │
11513-070 │ │
15813-020 │ │
Для изготовления игрушек
ИС МЕГАНОРМ: примечание.
В официальном тексте документа, видимо, допущена опечатка: рецептуры
под номерами 109, 301, 305, 701, 703 в Приложении 3 отсутствуют.
10604-007 │ │
17703-010 │ │
10703-020 │ │
10803-020 │ │
15803-020 │ │
16204-020 │ │
16904-040 │ │
18103-035 │ │
11304-040 │ │
11503-070 │ │
16803-070 │ │
17504-006 │ │
18303-120 │ │
Для изготовления труб и фитингов, допущенных
для холодного хозяйственно-питьевого водоснабжения
ИС МЕГАНОРМ: примечание.
В официальном тексте документа, видимо, допущена опечатка: рецептуры
под номерами 301, 305, 703 в Приложении 3 отсутствуют.
10204-003 │
14,
98 │ 301, 305, 703
15303-003 │ │
Для изготовления изделий медицинского назначения узлов
и деталей медицинской аппаратуры,
приборов и инструментов
17603-006 │ │
17703-010 │ │
15803-020 │ │
18103-035 │ │
16803-070 │ │
18303-120 │ │
Для изготовления изделий, допущенных для упаковки
и укупорки лекарственных средств
ИС МЕГАНОРМ: примечание.
В официальном тексте документа, видимо, допущена опечатка: рецептуры
под номерами 301, 305, 703 в Приложении 3 отсутствуют.
10703-020 │
03,
07 │ 301, 305, 703
10803-020 │ │
11503-070 │ │
15803-020 │ │
16803-070 │ │
17603-006 │ │
17703-010 │ │
18103-035 │ │
18303-120 │ │
Для контакта с тканями организма,
в том числе для внутреннего протезирования
17603-006 │ │
17703-010 │ │
15803-020 │ │
18103-035 │ │
16803-070 │ │
18303-120 │ │
| | ИС МЕГАНОРМ: примечание. В официальном тексте документа, видимо, допущена опечатка: рецептура 401 в Приложении 3 отсутствует. | |
Примечание. Рецептуры 401,
403, предназначенные для контакта с пищевыми продуктами, могут применяться только для контакта с сухими и сыпучими пищевыми продуктами и изделиями разового пользования для затаривания жидких пищевых продуктов при температуре не выше плюс 20 °C в течение 24 ч.
Перечисленные базовые марки полиэтилена и композиции на их основе могут быть использованы для изготовления:
деталей машин, оборудования и инвентаря, предназначенных для переработки всех пищевых продуктов, за исключением жиров и жиросодержащих продуктов, при температуре окружающей среды и времени контакта не более 2 ч;
пленок, предназначенных для упаковки всех пищевых продуктов (включая герметичную упаковку), за исключением продуктов, содержащих более 30% жира;
тары и упаковочных материалов типа лотков, ящиков и других открытых емкостных изделий, предназначенных для контакта с сухими и сыпучими пищевыми продуктами и пищевыми концентратами, не содержащими жира, при температуре окружающей среды;
лотков и ящиков, предназначенных для хранения всех пищевых продуктов, за исключением жиров и жиросодержащих продуктов, в течение суток при охлаждении до плюс 5 °C;
пробок для укупорки бутылок с алкогольными и безалкогольными напитками.
Базовые марки полиэтилена и композиции на их основе, перечисленные в данном приложении, могут перерабатываться только в конкретные виды изделий, которые разрешены Министерством здравоохранения.
Рекомендуемое
──────────────────┬───────────────────┬────────────────────────────────────
Марка полиэтилена │ Метод переработки │ Рекомендуемое назначение
──────────────────┼───────────────────┼────────────────────────────────────
15003-002 │ Прессование │ Для листов, плит, фитингов
15503-004 │ │и других технических изделий
15003-002 │ Экструзия │ Для напорных труб (только в виде
15303-003 │ │композиций)
10204-003 │ │
15503-004 │ То же │ Для профильно-погонажных изделий
16305-005 │ │
17603-006 │ │
17504-006 │ │
10604-007 │ │
16005-008 │ │
17703-010 │ │
16603-011 │ │
10703-020 │ │
10803-020 │ │
16204-020 │ │
16405-020 │ │
15303-003 │ Литье │ Для фитингов
10204-003 │ │
15503-004 │ │
16305-005 │ │
17603-006 │ │
17504-006 │ │
10604-007 │ │
17603-006 │ То же │ Для малогабаритных изделий:
17504-006 │ │ а) со стенками толщиной 3 мм
10604-007 │ │и более
16005-008 │ │
17703-010 │ │
16603-011 │ │
17803-015 │ │
15803-020 │ │
10703-020 │ │
10803-020 │ │
16204-020 │ │
16405-020 │ │
17803-015 │ │ б) со стенками толщиной 1,5 мм
15803-020 │ │и более
10703-020 │ │
10803-020 │ │
16204-020 │ │
16405-020 │ │
11304-040 │ │ в) со стенками толщиной 0,5 мм
16904-040 │ │и более
11503-070 │ │
16803-070 │ │
17305-070 │ │
17803-015 │ " │ Для крупногабаритных изделий:
10703-020 │ │ а) со стенками толщиной 3 мм
10803-020 │ │и более
15803-020 │ │
16204-020 │ │
10404-020 │ │
16405-020 │ │
18003-030 │ │
18103-035 │ │
16904-040 │ │
11304-040 │ │
18203-055 │ │
16803-070 │ │
11503-070 │ │
17305-070 │ │
18003-030 │ │ б) со стенками толщиной 1,5 мм
18103-035 │ │и более
11304-040 │ │
16904-040 │ │
18203-055 │ │
11503-070 │ │
16803-070 │ │
17305-070 │ │
11503-070 │ │ в) со стенками толщиной 0,8 мм
16803-070 │ │и более
17305-070 │ │
18303-120 │ │
18303-120 │ │ г) со стенками толщиной 0,5 мм
17403-200 │ │и более, с улучшенной глянцевой
12003-200 │ │поверхностью и хорошими эластичными
12103-200 │ │свойствами
18404-200 │ │
18705-200 │ │
10803-020 │ Выдувание │ Для формования выдувных изделий:
10703-020 │ │ а) вместимостью до 10 дм3
15803-020 │ │
16204-020 │ │
16405-020 │ │
15303-003 │ │ б) вместимостью до 30 дм3
10204-003 │ │
15503-004 │ │
16305-005 │ │
17603-006 │ │
10604-007 │ │
16005-008 │ │
17703-010 │ │
16603-011 │ │
17803-015 │ │
10703-020 │ │
10803-020 │ │
15803-020 │ │
16204-020 │ │
16405-020 │ │
15303-003 │ │ в) вместимостью более 30 дм3
10204-003 │ │
15503-004 │ │
16305-005 │ │
17603-006 │ │
15303-003 │ │ г) с большим сопротивлением к
10204-003 │ │растрескиванию для дезинфицирующих
15503-004 │ │и моющих средств
16305-005 │ │
17603-006 │ │
10604-007 │ │
10703-020 │ То же │ д) сосудов и бутылей
10803-020 │ │для химических реактивов
15803-020 │ │
16204-020 │ │
16405-020 │ │
16803-070 │ Ротационное │ Крупногабаритные изделия
11503-070 │формование │технического назначения,
17305-070 │ │вместимостью свыше 200 дм3
11503-070 │ Экструзия │ Для нанесения на бумагу, ткани
16803-070 │ │и др.
17305-070 │ │
18303-120 │ │
11503-070 │ Напыление │ Для покрытия различных изделий
16803-070 │ │
17305-070 │ │
18303-120 │ │
12003-200 │ │
12103-200 │ │
17403-200 │ │
18404-200 │ │
18705-200 │ │
18203-055 │ Заливка │ Заливочные компаунды
16803-070 │ │для заполнения деталей
11503-070 │ │электрооборудования
17305-070 │ │
18303-120 │ │
17403-200 │ │
12003-200 │ │
12103-200 │ │
18404-200 │ │
18705-200 │ │
15303-003 │ Экструзия │ Для пленок и пленочных изделий:
15803-020 │ │ а) специального назначения
16405-020 │ │
15303-003 │ │ б) термоусадочных
15503-004 │ │
10604-007 │ │
16005-008 │ │
17703-010 │ │
17504-006 │ │
17603-006 │ │
15803-020 │ │
15303-003 │ │ в) тонких
15803-020 │ │
16904-040 │ │
17305-070 │ │
17803-015 │ │ г) общего назначения (технические
16204-020 │ │для укрытия теплиц и кормов и
10803-020 │ │других сельскохозяйственных нужд)
15803-020 │ │
11503-070 │ │
10204-003 │ │
15303-003 │ │
15003-002 │ │ д)
<*> для изготовления мешков
10204-003 │ │под удобрения и других
15303-003 │ │сельскохозяйственных изделий
15803-020 │ │
15303-003 │ │
15503-004 │ │
17504-006 │ │
17603-006 │ │
10604-007 │ │
17703-010 │ │
17703-010 │ │ е) для контакта с пищевыми
10803-020 │ │продуктами (включая герметичную
15803-020 │ │упаковку)
11503-070 │ │
15303-003 │ │
17504-006 │ │
16204-020 │ │
16904-040 │ │
--------------------------------
<*> Для изготовления сварных закрытых (клапанных) мешков рекомендуется использовать полиэтилен марки 10204-003.
Рекомендуемое
РЕЦЕПТУРЫ ОКРАШИВАНИЯ ПОЛИЭТИЛЕНА ВЫСОКОГО ДАВЛЕНИЯ
──────────────────┬──────┬──────────────────────┬──────────────┬───────────
Наименование цвета│Номер │Наименование пигмента │Массовая доля │Обозначение
│рецеп-│ │ пигмента в │ стандарта
│туры │ │ окрашенном │
│ │ │полиэтилене, %│
──────────────────┼──────┼──────────────────────┼──────────────┼───────────
Светло-розовый │ 105 │ Кадмий красный │ 0,02 │ -
│ │светлый │ │
│ │пигментная марки Р-02 │ │
│ │ │ │
Красный │ 135 │ Лак красный ЖБ │ 0,2 │ГОСТ 8573
│ │ │ │
Красный │ 134 │ Лак красный ЖБ │ 0,4 │ГОСТ 8573
│ │пигментная марки Р-02 │ │
│ │ │ │
Красный │ 103 │ Лак рубиновый СК │ 0,2 │ГОСТ 7436
│ │пигментная марки Р-02 │ │
│ │ │ │
Красный │ 139 │ Кадмий красный темный│ 0,4 │ -
│ │ Лак рубиновый СК │ 0,012 │ГОСТ 7436
│ │ Литапон сухой │ 0,12 │ -
│ │ │ │
Красный │ 155 │ Кадмий красный темный│ 0,8 │ -
│ │ │ │
Темно-красный │ 174 │ Лак рубиновый СК │ 0,2 │ГОСТ 7436
│ │ │ │
Оранжевато- │ 127 │ Кадмий красный │ 0,6 │ -
красный │ │светлый │ │
│ │ │ │
Красновато- │ 244 │ Лак оранжевый │ 0,4 │ГОСТ 1338
оранжевый │ │ Титана двуокись │ 0,2 │
ГОСТ 9808
│ │пигментная марки Р-02 │ │
│ │ │ │
Светло-оранжево- │ 106 │ Кадмий оранжевый │ 0,05 │ -
│ │пигментная марки Р-02 │ │
│ │ │ │
Слоновая кость │ 300 │ Кадмий желтый средний│ 0,3 │ -
│ │пигментная марки Р-02 │ │
│ │ │ │
Желтый │ 328 │ Кадмий желтый средний│ 0,3 │ -
│ │пигментная марки Р-02 │ │
│ │ │ │
Желтый │ 329 │ Кадмий желтый средний│ 0,6 │ -
│ │пигментная марки Р-02 │ │
│ │ │ │
Лимонный │ 325 │ Кадмий лимонный │ 0,6 │ -
│ │пигментная марки Р-02 │ │
│ │ │ │
Красновато- │ 743 │ Железоокисный пигмент│ 0,6 │ -
коричневый │ │красный марки "К" │ │
│ │ │ │
Коричневый │ 759 │ Железоокисный пигмент│ 0,8 │ -
│ │красный "К" │ │
│ │фталоцианиновый │ │
│ │ │ │
Темный серовато- │ 780 │ Кадмий желтый средний│ 0,2 │ -
коричневый │ │ Железоокисный пигмент│ 0,4 │ -
│ │красный "К" │ │
│ │ Углерод технический │ 0,2 │ГОСТ 7885
│ │(сажа) марки ДГ-100 │ │
│ │ │ │
Ярко-желтовато- │ 412 │ Кадмий лимонный │ 0,3 │ -
зеленый │ │ Пигмент зеленый │ 0,008 │ -
│ │фталоцианиновый │ │
│ │пигментная марки Р-02 │ │
│ │ │ │
Ярко-зеленый │ 414 │ Кадмий лимонный │ 0,1 │ -
│ │ Пигмент зеленый │ 0,015 │ -
│ │фталоцианиновый │ │
│ │ │ │
Зеленый │ 442 │ Кадмий желтый средний│ 0,5 │ -
│ │ Пигмент зеленый │ 0,08 │ -
│ │фталоцианиновый │ │
│ │пигментная марки Р-02 │ │
│ │ │ │
Темный желтовато-│ 471 │ Окись хрома │ 0,8 │
ГОСТ 2912
зеленый │ │техническая марки │ │
│ │ОХП-1 │ │
│ │ │ │
Бирюзовый │ 403 │ Пигмент зеленый │ 0,01 │ -
│ │фталоцианиновый │ │
│ │пигментная марки Р-02 │ │
│ │ │ │
Ярко-голубой │ 530 │ Пигмент голубой │ 0,015 │
ГОСТ 6220
│ │фталоцианиновый │ │
│ │пигментная марки Р-02 │ │
│ │ │ │
Синий │ 530 │ Пигмент голубой │ 0,2 │ -
│ │фталоцианиновый 2 "ЗУ"│ │
│ │пигментная марки Р-02 │ │
│ │ │ │
Синий │ 504 │ Ультрамарин синий │ 0,8 │
ГОСТ 9808
│ │сухой марки УС │ │
│ │ │ │
Белый │ 002 │ Титана двуокись │ 0,5 │
ГОСТ 9808
│ │пигментная марки Т-02 │ │
│ │ │ │
Белый │ 001 │ Титана двуокись │ 0,8 │
ГОСТ 9808
│ │пигментная марки Р-02 │ │
│ │ │ │
Серебристо-серый │ 803 │ Пудра алюминиевая │ 0,5 │
ГОСТ 5494
│ │пигментная марки ПАП-2│ │
│ │ │ │
Серый │ 802 │ Углерод технический │ 0,03 │ГОСТ 7885
│ │(сажа) марки ДГ-100 │ │
│ │ │ │
│ │пигментная марки Р-02 │ │
│ │ │ │
Светло-серый │ 801 │ Углерод технический │ 0,003 │ГОСТ 7885
│ │(сажа) марки ДГ-100 │ │
│ │пигментная марки Р-02 │ │
│ │ │ │
Черный │ 901 │ Углерод технический │ 0,4 │ГОСТ 7885
│ │(сажа) марки ДГ-100 │ │
Справочное
Таблица 2 <*>
--------------------------------
<*> Табл. 1. (Исключена, Изм. N 3).
Показатели марок полиэтилена с показателем текучести
расплава свыше 0,2 до 20 г/10 мин
─────────────────────────────────────────────────┬─────────────────────────
Наименование показателя │ Норма
─────────────────────────────────────────────────┼─────────────────────────
1. Температура плавления, °C │ 103 - 110
2. Насыпная плотность, г/см3 │ 0,5 - 0,6
3. Твердость по вдавливанию шарика под заданной │
нагрузкой, │
│ 5
Па │ (1,66 - 2,25) x 10
(кгс/см2) │ (1,7 - 2,3)
4. Усадка при литье, % │ 1,0 - 3,5
5. Водопоглощение за 30 сут, % │ 0,020
6. Разрушающее напряжение при изгибе, │
│ 5
Па │ (117,6 - 196,07) x 10
(кгс/см2) │ (120 - 200)
7. Предел прочности при срезе, │
│ 5
Па │ (137,2 - 166,6) x 10
(кгс/см2) │ (140 - 170)
│ 16 17
8. Удельное объемное электрическое │ 1 x 10 - 1 x 10
сопротивление, Ом x см │
│ 15
9. Удельное поверхностное электрическое │ 10
сопротивление, Ом │
10. Температура хрупкости, °C, не выше, для │
полиэтилена с показателем текучести расплава │
в г/10 мин │
0,2 - 0,3 │ Минус 120
0,6 - 1,0 │ Минус 110
1,5 - 2,2 │ Минус 100
3,5 │ Минус 80
5,5 │ Минус 70
7 - 8 │ Минус 60
12 │ Минус 55
20 │ Минус 45
11. Модуль упругости (секущий), Па (кгс/см2), │
для полиэтилена плотностью в г/см3 │
│ 5
0,917 - 0,921 │ (882,3 - 1274,5) x 10
│(900 - 1300)
│ 5
0,922 - 0,926 │ (1372 - 1764,7) x 10
│(1400 - 1800)
│ 5
0,928 │ 2107,8 x 10 (2150)
12. Тангенс угла диэлектрических потерь │ 0,0002 - 0,0005
10 │
при частоте 10 Гц │
13. Диэлектрическая проницаемость при частоте │ 2,25 - 2,31
10 │
10 Гц │
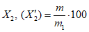
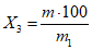
Приложения 1 - 4. (Измененная редакция, Изм. N 1, 3).