Скачать ОНТП 01-86 Общесоюзные нормы технологического проектирования складов тарно-штучных и длинномерных грузовДата актуализации: 01.01.2021 ОНТП 01-86
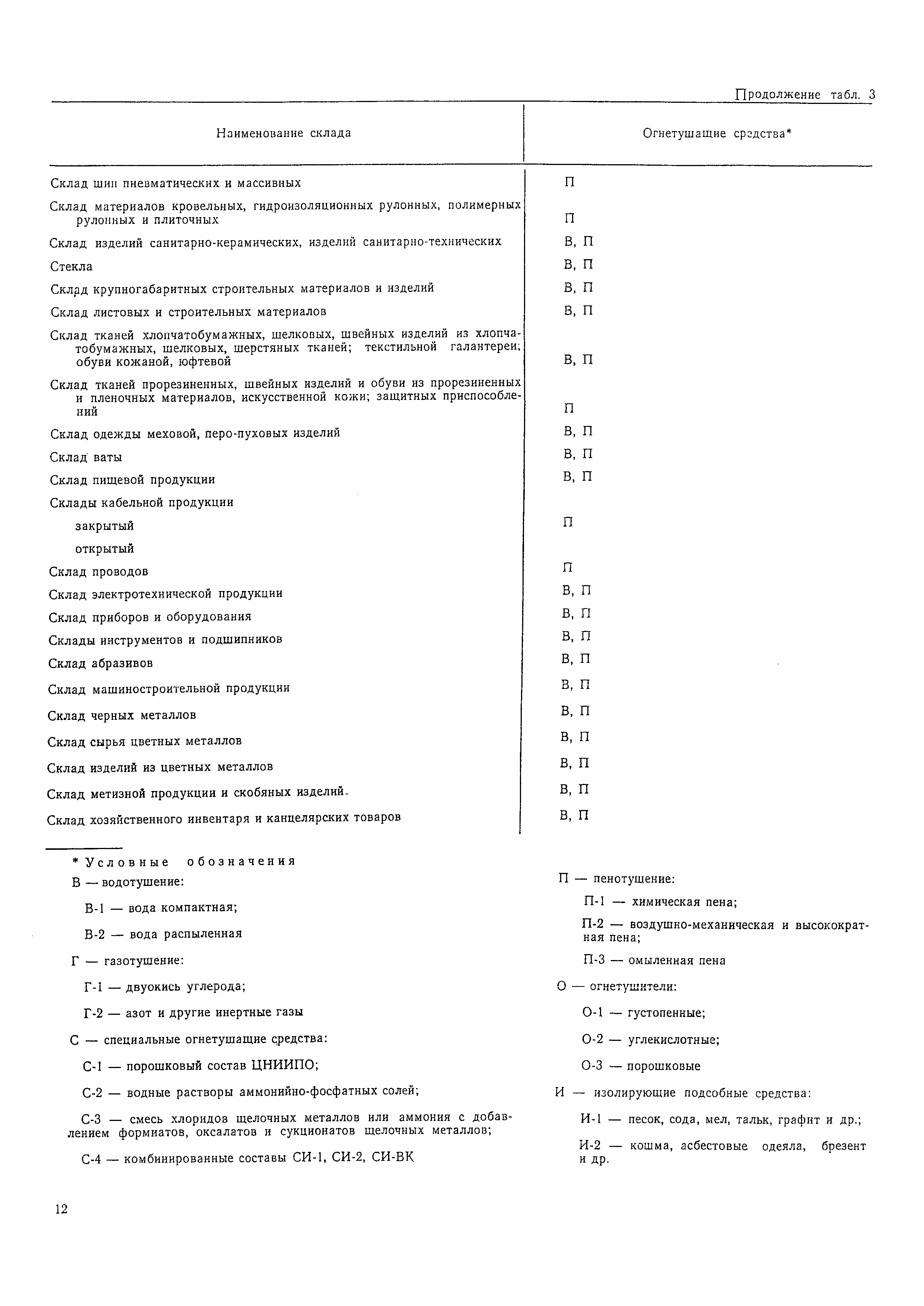
Общесоюзные нормы технологического проектирования складов тарно-штучных и длинномерных грузов| Обозначение: | ОНТП 01-86 | | Обозначение англ: | ONTP 01-86 | | Статус: | действует | | Название рус.: | Общесоюзные нормы технологического проектирования складов тарно-штучных и длинномерных грузов | | Дата добавления в базу: | 01.09.2013 | | Дата актуализации: | 01.01.2021 | | Дата введения: | 01.10.1986 | | Область применения: | Общесоюзные нормы технологического проектирования применяются при проектировании новых складов, реконструкции, техническом перевооружении и расширении действующих предприятий по поставкам продукции системы Госснаба СССР, центральных и материальных складов главснабов министерств и ведомств. Нормы не распространяются на проектирование складов каучука, взрывчатых веществ I класса опасности по ГОСТ 12.1.007-76, внутрицеховых складов, грузовых складов на железнодорожном, морском и речном транспорте, складов строительных организаций, баз и складов Госагропрома. | | Оглавление: | 1 Общие положения 2 Требования к генеральным планам 3 Требования к параметрам складских зданий и сооружений 4 Требования к объемно-планировочным и конструктивным решениям складских зданий и сооружений 5 Условия хранения продукции. Классификация складов по взрывопожарной и пожарной опасности 6 Классификация взрыво- и пожароопасной продукции по совместимости хранения 7 Требования к технологическому оборудованию 8 Производительность труда, уровень механизации, уровень автоматизации, себестоимость грузопереработки продукции 9 Нормативная численность основных производственных рабочих, инженерно-технических работников, служащих, вспомогательных рабочих и МОП 10 Специфика складов в районах Севера 11 Требования к инженерному оборудованию и условиям труда 12 Требования к вспомогательным и подсобным помещениям 13 Требования безопасности труда 14 Требования охраны окружающей среды 15 Нормативные распределенные поверхностные нагрузки на 1 м2 площади складирования 16 Нормативы по ширине проездов и проходов в складах 17 Нормативные коэффициенты использования рабочей площади складов и площади участков хранения и нормативные коэффициенты использования объема склада 18 Нормативы для расчета вместимости, площадей склада и длины грузового фронта 19 Нормативы для расчета потребности в подъемно-транспортных машинах 20 Нормативы для расчета потребности в таре 21 Годовой фонд времени рабочих и оборудования Приложение 1. Перечень стандартов на универсальные и специализированные контейнеры и подъемные устройства к ним Приложение 2. Перечень основных стандартов на поддоны, пакеты и тару производственную Приложение 3. Классификация складов по взрывопожарной и пожарной опасности. Условия хранения продукции | | Разработан: | Промтрансниипроект Госстроя СССР Гипроснаб Госснаба СССР Проектно-конструкторский технологический институт складского хозяйства (Оргснаб) Госснаба СССР
| | Утверждён: | 11.07.1986 Госснаб СССР (USSR Gossnab 74)
| | Принят: | 14.02.1986 Госстрой СССР (Государственный комитет Совета Министров СССР по делам строительства) (USSR Gosstroy 45) 14.02.1986 ГКНТ СССР (USSR GKNT 249)
| | Заменяет собой: | | | Нормативные ссылки: |   СНиП 2.01.02-85* «Противопожарные нормы» СНиП 2.04.09-84 «Пожарная автоматика зданий и сооружений»  СНиП II-89-80* «Генеральные планы промышленных предприятий» СНиП 2.09.02-85* «Производственные здания»  СНиП 2.11.01-85 «Складские здания»  ПУЭ «Правила устройства электроустановок»  ТП 101-81* «Технические правила по экономному расходованию основных строительных материалов (издание 1985 года)» СНиП II-106-79 «Склады нефти и нефтепродуктов. Нормы проектирования» ТУ 6-19-231-87 «Трубы напорные из непластифицированного поливинилхлорида» СНиП II-4-79 «Естественное и искусственное освещение» СНиП II-30-76 «Внутренний водопровод и канализация зданий» СНиП II-32-74 «Канализация. Наружные сети и сооружения» СНиП 1.02.01-85 «Инструкция о составе, порядке разработки, согласования и утверждения проектно-сметной документации на строительство предприятий, зданий и сооружений» СН 305-77 «Инструкция по проектированию и устройству молниезащиты зданий и сооружений» СНиП III-В.14-72 «Полы. Правила производства и приемки работ» СНиП II-92-76 «Вспомогательные здания и помещения промышленных предприятий» «Единые нормы выработки и времени на вагонные, автотранспортные и складские погрузочно-разгрузочные работы» СНиП II-33-75 «Отопление, вентиляция и кондиционирование воздуха» СН 429-71 «Указания по размещению объектов строительства и ограничению этажности зданий в сейсмических районах» СНиП II-39-76 «Железные дороги колеи 1520 мм»  СН 174-75 «Инструкция по проектированию электроснабжения промышленных предприятий»  СН 245-71 «Санитарные нормы проектирования промышленных предприятий»  ГОСТ 15102-75 «Контейнер универсальный металлический закрытый номинальной массой брутто 5,0 т. Технические условия»  ГОСТ 9238-83 «Габариты приближения строений и подвижного состава железных дорог колеи 1520 (1524) мм»  ГОСТ 18579-79 «Устройства подъемные среднетоннажных универсальных и специализированных контейнеров массой брутто до 6,0 т включ. Технические условия» ГОСТ 19667-74 «Контейнер специализированный групповой массой брутто 5,0 т для штучных грузов» ГОСТ 19668-74 «Контейнер специализированный групповой массой брутто 5 (7) т для сыпучих грузов» ГОСТ 19848-74 «Транспортирование грузов в ящичных и стоечных поддонах. Общие требования» ГОСТ 20259-80 «Контейнеры универсальные. Общие технические условия» ГОСТ 20260-80 «Контейнеры универсальные. Правила приемки. Методы испытаний» ГОСТ 20435-75 «Контейнер универсальный металлический закрытый номинальной массой брутто 3,0 т. Технические условия»  ГОСТ 20527-82 «Фитинги угловые крупнотоннажных контейнеров. Конструкция и размеры» ГОСТ 21133-87 «Поддоны ящичные специализированные для картофеля, овощей, фруктов и бахчевых культур. Технические условия» ГОСТ 23002-87 «Единая контейнерная транспортная система. Спредеры для контейнеров серии 1. Общие технические требования»  ГОСТ 18343-80 «Поддоны для кирпича и керамических камней. Технические условия»  ГОСТ 15150-69 «Машины, приборы и другие технические изделия. Исполнения для различных климатических районов. Категории, условия эксплуатации, хранения и транспортирования в части воздействия климатических факторов внешней среды»  ГОСТ 16140-77 «Стеллажи сборно-разборные. Технические условия»  ГОСТ 14861-91 «Тара производственная. Типы»  ГОСТ 19434-74 «Грузовые единицы, транспортные средства и склады. Основные присоединительные размеры»  ГОСТ 12.1.007-76 «Система стандартов безопасности труда. Вредные вещества. Классификация и общие требования безопасности»  ГОСТ 12.3.009-76 «Система стандартов безопасности труда. Работы погрузочно-разгрузочные. Общие требования безопасности»  ГОСТ 17.2.3.02-78 «Охрана природы. Атмосфера. Правила установления допустимых выбросов вредных веществ промышленными предприятиями»  СН 357-77 «Инструкция по проектированию силового и осветительного электрооборудования промышленных предприятий»  ППБО 114-84 «Правила пожарной безопасности для предприятий и организаций системы Госснаба СССР»  ГОСТ 9078-84 «Поддоны плоские. Общие технические условия»  ГОСТ 22831-77 «Поддоны плоские деревянные массой брутто 3,2 т, размером 1200х1600 и 1200х1800 мм. Технические условия»  ГОСТ 24597-81 «Пакеты тарно-штучных грузов. Основные параметры и размеры»  ОНД 1-84 «Инструкция о порядке рассмотрения, согласования и экспертизы воздухоохранных мероприятий и выдачи разрешений на выброс загрязняющих веществ в атмосферу по проектным решениям»  ГОСТ 15846-79 «Продукция, отправляемая в районы Крайнего Севера и труднодоступные районы. Упаковка, маркировка, транспортирование и хранение»  СНиП 2.03.11-85 «Защита строительных конструкций от коррозии»  СНиП 3.05.06-85 «Электротехнические устройства»  СНиП 2.05.02-85* «Автомобильные дороги»  СНиП 2.04.02-84* «Водоснабжение. Наружные сети и сооружения»  ГОСТ 14757-81 «Стеллажи сборно-разборные. Типы, основные параметры и размеры»  ГОСТ 9557-87 «Поддон плоский деревянный размером 800х1200 мм. Технические условия»  ГОСТ 22225-76 «Контейнеры универсальные массой брутто 0,625 и 1,25 т. Технические условия»  ГОСТ 18477-79 «Контейнеры универсальные. Типы, основные параметры и размеры»
|
                                                   
|