Скачать Единые нормы выработки и времени на вагонные, автотранспортные и складские погрузочно-разгрузочные работыДата актуализации: 01.01.2021
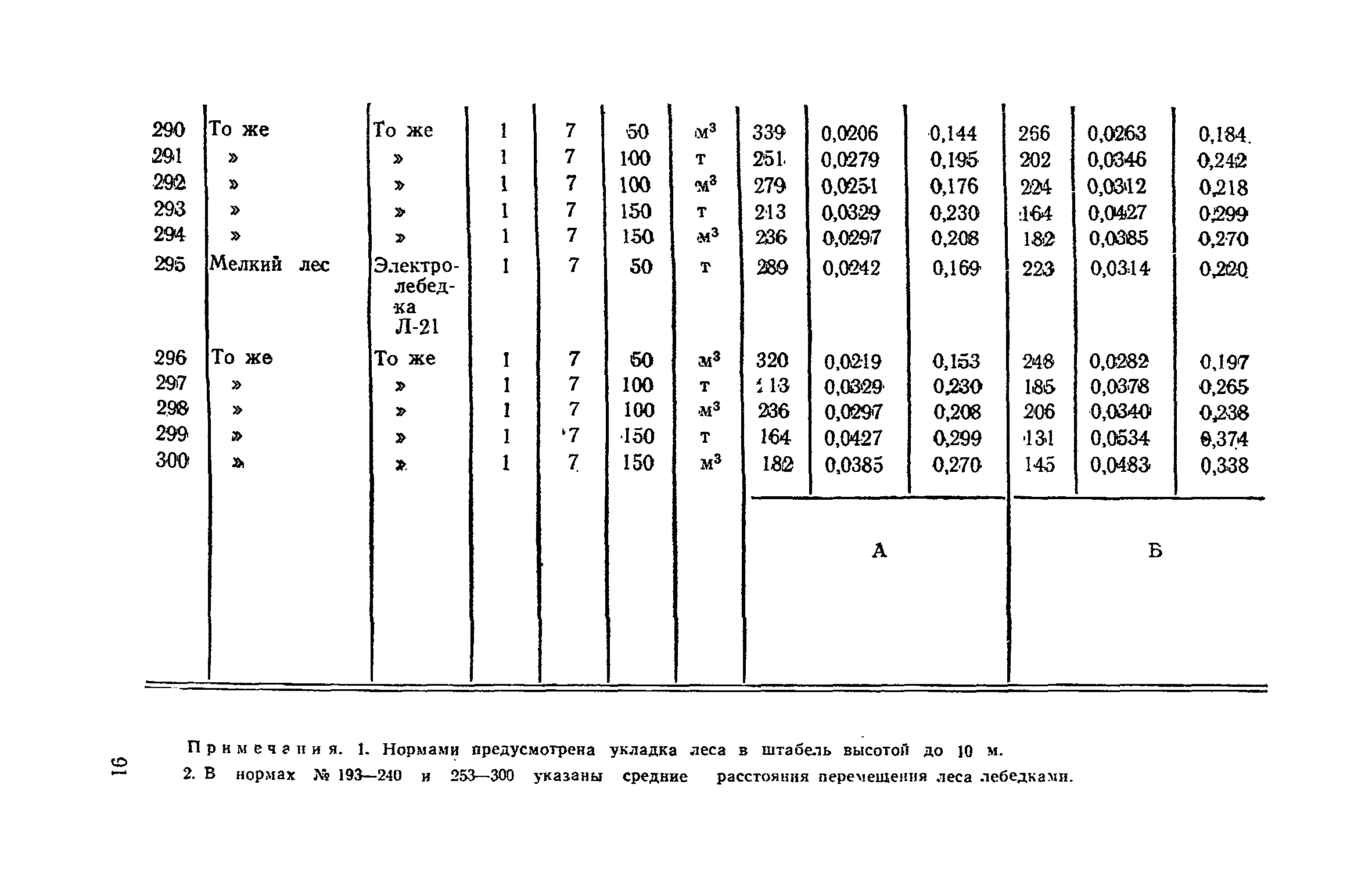
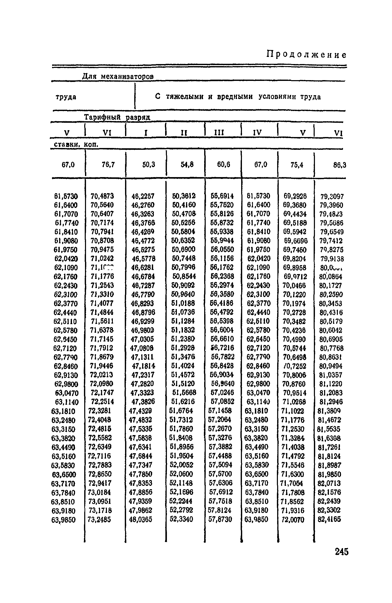
Единые нормы выработки и времени на вагонные, автотранспортные и складские погрузочно-разгрузочные работы| Статус: | не действует | | Название рус.: | Единые нормы выработки и времени на вагонные, автотранспортные и складские погрузочно-разгрузочные работы | | Дата добавления в базу: | 01.09.2013 | | Дата актуализации: | 01.01.2021 | | Дата введения: | 15.07.1986 | | Область применения: | Единые нормы выработки и времени на вагонные, автотранспортные и складские погрузочно-разгрузочные работы установлены на 7-часовой рабочий день и обязательны для применения на предприятиях и в организациях народного хозяйства СССР. | | Оглавление: | Предисловие Общая часть Организация труда рабочих при выполнении погрузочно-разгрузочных работ Раздел 1. Механизированные погрузочно-разгрузочные работы Тарно-упаковочные и штучные грузы § 1. Погрузка или выгрузка тарно-упаковочных и штучных грузов погрузчиками грузоподъемностью до 1,5 т § 1А. Погрузка или выгрузка тарно-упаковочных и штучных грузов погрузчиками грузоподъемностью свыше 1,5 до 5 т § 1Б. Погрузка или выгрузка тарно-упаковочных и штучных грузов погрузчиками грузоподъемностью свыше 1,5 до 5 т (готовыми пакетами) § 2. Погрузка-выгрузка тарно-упаковочных и штучных грузов ленточными транспортерами (стационарными и передвижными) Мясные грузы без упаковки § 3. Погрузка или выгрузка мясных грузов без упаковки с применением электрокаров Тяжеловесные грузы § 4. Погрузка или выгрузка тяжеловесных грузов на железнодорожные платформы, в полувагоны и на автомашины кранами и автомобильными погрузчиками Металлы и металлические изделия § 5. Погрузка или выгрузка металлов и металлических изделий на железнодорожные платформы, в полувагоны и на автомашины кранами и автомобильными погрузчиками , § 6. Погрузка или выгрузка металлов в чушках и металлолома на железнодорожные платформы, в полувагоны и на автомашины кранами, оборудованными электромагнитной плитой Зерновые грузы россыпью § 7. Погрузка-выгрузка зерновых грузов в железнодорожные вагоны и на автомашины с применением скребкового самоподавателя и передвижных ленточных транспортеров (без взвешивания) § 8. Погрузка-выгрузка зерновых грузов в железнодорожные вагоны узкой колеи с применением скребкового самоподавателя и передвижных ленточных транспортеров § 9. Выгрузка зерновых грузов из железнодорожных вагонов с автомашин с применением вагоноразгрузчиков или передвижных механических лопат ВНИТО § 10, Выгрузка зерновых грузов из железнодорожных вагонов и автомашин с применением стационарных механических лопат ТПЛ-1. ТПЛ-2, ВНИТО § 11. Погрузка зерновых грузов в вагон или на автомашину с применением отпускных труб элеваторов Лесные грузы § 12. Погрузка лесных грузов кранами А. Погрузка с формированием пачки груза (подъем) при помощи крана Б. Погрузка лесных грузов кранами с формированием пачки груза (подъема) § 13. Выгрузка лесных грузов кранами А. Выгрузка с укладкой груза на складе Б. Выгрузка с укладкой груза на складе и перемещением вручную на расстояние до 20 м § 14. Выгрузка круглого леса из воды кранами § 15. Выгрузка круглого леса из воды транспортерами § 16. Выгрузка круглого леса из воды лебедками § 17. Погрузка круглого леса с эстакады на железнодорожный подвижной состав вручную с подтаскиванием леса лебедками ТЛ-3, ТЛ-5, Л-20, Л-21 § 18. Погрузка коротья в железнодорожные вагоны секционными транспортерами ВКФ § 19. Погрузка круглого леса из штабеля в железнодорожный подвижной состав лебедками § 20. Погрузка круглого леса из воды в железнодорожные полувагоны кранами Навалочные грузы § 21. Погрузка-выгрузка навалочных грузов кранами, экскаваторами и погрузчиками § 22. Погрузка-выгрузка навалочных грузов транспортерами § 23. Погрузка или выгрузка навалочных грузов ленточными транспортерами § 24. Погрузка торфа в железнодорожный подвижной состав узкой колеи Огнеупорные грузы § 25. Погрузка и выгрузка огнеупорных изделий с применением транспортера и автомобильного погрузчика Раздел II. Погрузочно-разгрузочные работы, выполняемые вручную без применения или с применением простейших приспособлений Тарно-упаковочные и штучные грузы § 26. Погрузка или выгрузка тарно-упаковочных и штучных грузов в железнодорожные вагоны и автотранспорт § 27. Погрузка и выгрузка тарно-упаковочных и штучных грузов на платформу, в крытый вагон, на автомашину Мясные грузы без упаковки § 28. Погрузка или выгрузка мясных грузов без упаковки с применением тележек Хлебобулочные изделия § 29. Погрузка хлебобулочных изделий на автомашину § 30. Выгрузка тары (лотков) с автомашины § 31. Перекладка груза, комплектование заказов и перемещение на тележках Тяжеловесные грузы . § 32. Погрузка-выгрузка тяжеловесных грузов на железнодорожный подвижной состав и на автотранспорт § 33. Погрузка-выгрузка автомашин и тракторов на железнодорожный подвижной состав Металлы и металлические изделия § 34. Погрузка-выгрузка металлов и металлических изделий на железнодорожный подвижной состав и на автотранспорт § 35. Выгрузка металла, металлолома и отходов металлообработки в бункера и на эстакадах с решетками § 36. Выгрузка металла, металлолома и отходов металлообработки в траншеи, котлованы и бункера без решеток • Зерновые грузы § 37. Выгрузка зерновых грузов из железнодорожных вагонов вручную § 38. Выгрузка зерновых грузов из автомашин вручную § 39. Погрузка или выгрузка зерновых грузов в железнодорожные вагоны и на автомашины вручную без применения или с применением простейших приспособлений Овощные грузы § 40. Погрузка-выгрузка овощных грузов на железнодорожный подвижной состав и на автотранспорт Лесные грузы § 41. Погрузка и выгрузка лесных грузов вручную без применения или с применением простейших приспособлений Навалочные грузы § 42. Погрузка навалочных грузов на железнодорожный подвижной состав и автотранспорт § 43. Погрузка навалочных грузов на железнодорожный подвижной состав § 44. Выгрузка завалочных грузов из полувагонов и с железнодорожных платформ на повышенных путях и на эстакадах высотой до 4 м без решеток § 45. Выгрузка навалочных грузов с железнодорожного подвижного состава и автотранспорта § 46. Выгрузка навалочных грузов с железнодорожного подвижного состава в бункера и на эстакадах с решетками § 47. Выгрузка навалочных грузов с железнодорожного подвижного состава в траншеи, котлованы, бункера и на эстакадах высотой более 4 м без решеток Огнеупорные грузы § 48. Погрузка-выгрузка огнеупорных изделий вручную со складских площадок, расположенных на уровне головки рельсов § 49. Погрузка-выгрузка огнеупорных изделий вручную со складских площадок, расположенных на уровне пола вагона § 50. Погрузка огнеупорных изделий с помощью тележек и тачек со складских площадок, расположенных на уровне пола вагона Раздел III. Складские работы, выполняемые с применением погрузочно-разгрузочных машин и вручную без применения или с применением простейших приспособлений . . . • Тарно-упаковочные и штучные грузы § 51. Перемещение тарно-упаковочных и штучных грузов с применением погрузчиков § 52. Перемещение тарно-упаковочных и штучных грузов транспортерами § 53. Перемещение тарно-упаковочных и штучных грузов вручную без применения или с применением простейших приспособлений (тележек, точек, тележек-медведок, носилок и т.п.) § 54. Перетаривание тарно-упаковочных и штучных грузов Мясные грузы без упаковки § 55. Перемещение iясных грузов без упаковки вручную без применения или с применением простейших приспособлений Тяжеловесные грузы § 56. Перемещение тяжеловесных грузов вручную без применения или с применением простейших приспособлений Металлы и металлические изделия § 57. Перекладка и .штабелирование металлов и металлических изделий вручную без применения или с применением простейших приспособлений Зерновые грузы § 58. Перемещение зерновых грузов передвижными ленточными транспортерами без применения или с применением скребковых-самоподавателей § 59. Перемещение зерновых грузов вручную § 60. Затаривание и перемещение зерновых грузов вручную без применения или с применением простейших приспособлений Овощные грузы § 61. Перемещение и укладка овощных грузов вручную Лесные грузы § 62. Отвозка лесных. Грузов с фронта выгрузки в запас автопогрузчиками марки 4000М и 4003 § 63. Перемещение лесных грузов вручную без применения или с применением простейших приспособлений Навалочные грузы § 64. Перемещение навалочных грузов транспортерами § 65. Перекидка и штабелирование навалочных грузов Приложение 1. Приведение уклонов к горизонтальному пути при перемещенiи грузов Приложение 2. Перечень грузов, погрузка и выгрузка которых оплачивается по повышенным тарифным ставкам в связи с вредными условиями труда Приложение 3. Коэффициенты к нормам времени при выполнения погрузочно-разгрузочных работ в зимнее время и перечень районов (областей) по температурным зонам Приложение 4. Таблица стоимости нормо-часа для исчисления сдельного заработка рабочих, занятых на погрузочно-разгрузочных работах | | Разработан: | НИИ труда Госкомтруда СССР
| | Утверждён: | 02.10.1975 Государственный комитет Совета Министров СССР по труду и социальным вопросам (242)
| | Принят: | 28.08.1975 Секретариат ВЦСПС (21 п. 53)
| | Издан: | Издательство Транспорт (1976 г. )
|
                                                                                                                                                                                                                                                              
|