Скачать ГОСТ 30324.1.2-2012 Изделия медицинские электрические. Часть 1-2. Общие требования безопасности. Электромагнитная совместимость. Требования и методы испытанийДата актуализации: 01.01.2021
|
| Обозначение: | ГОСТ 30324.1.2-2012 |
| Обозначение англ: | GOST 30324.1.2-2012 |
| Статус: | отменен в рф |
| Название рус.: | Изделия медицинские электрические. Часть 1-2. Общие требования безопасности. Электромагнитная совместимость. Требования и методы испытаний |
| Название англ.: | Medical electrical equipment. Part 1-2. General requirements for safety. Electromagnetic compatibility. Requirements and test methods |
| Дата добавления в базу: | 01.10.2014 |
| Дата актуализации: | 01.01.2021 |
| Дата введения: | 01.01.2015 |
| Дата окончания срока действия: | 01.03.2015 |
| Область применения: | Стандарт применяют для обеспечения электромагнитной совместимости медицинских электрических изделий и медицинских электрических систем. Стандарт устанавливает требования к изделиям и системам по обеспечению электромагнитной совместимости и методы их испытаний и служит основой для установления требований электромагнитной совместимости и методов испытаний в частных стандартах, распространяющихся на медицинские изделия конкретного вида. |
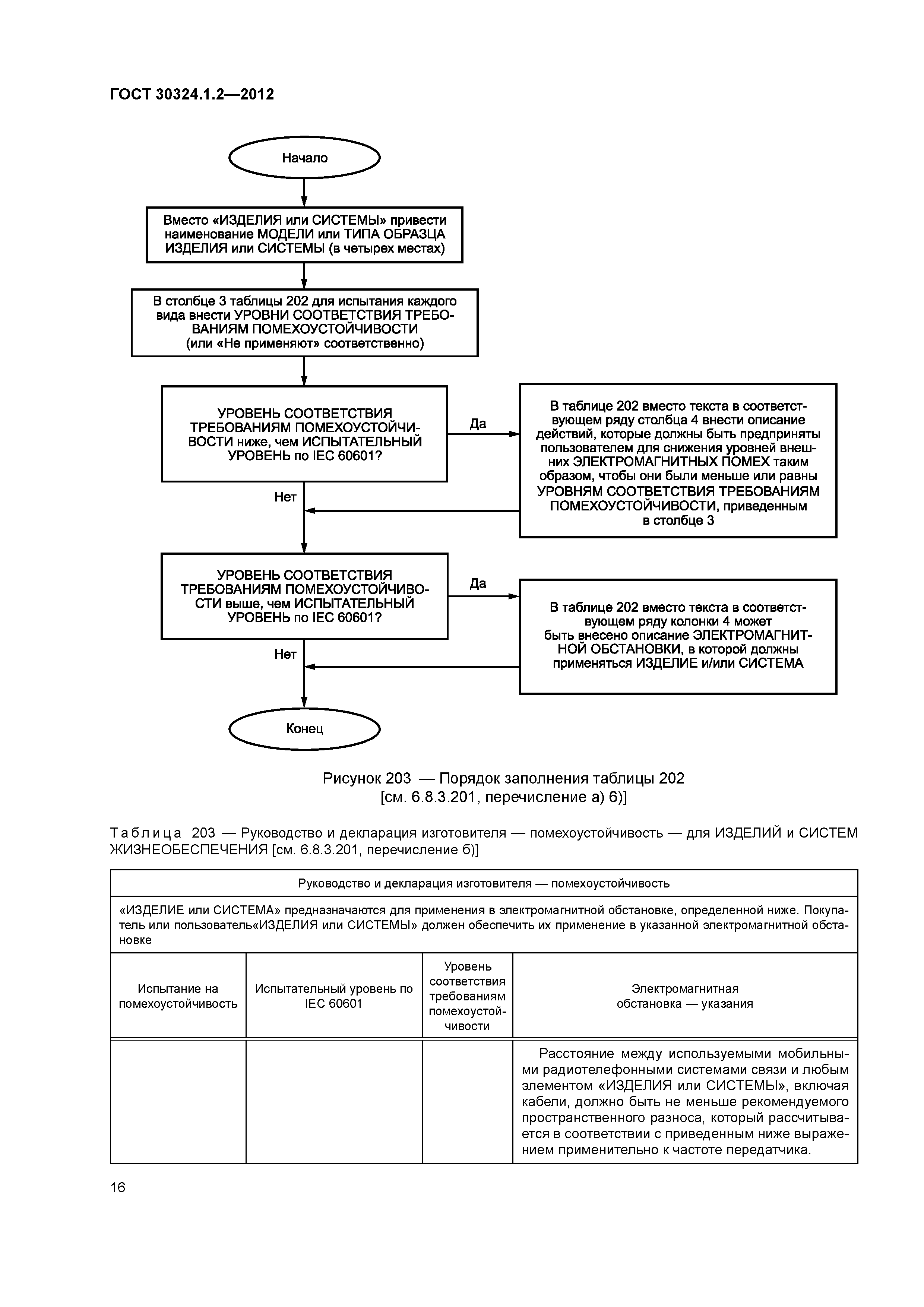
| Оглавление: | ПРЕДИСЛОВИЕ ВВЕДЕНИЕ Раздел первый. Общие положения 1 Область применения и цель 1.201 Область применения 1.202 Цель 2 Термины и определения 3 Общие требования 3.201 Общие требования ЭЛЕКТРОМАГНИТНОЙ СОВМЕСТИМОСТИ ИЗДЕЛИЙ и СИСТЕМ 6 Идентификация, маркировка и документация РАЗДЕЛЫ ВТОРОЙ - ЧЕТВЕРТЫЙ. НЕ ИСПОЛЬЗОВАНЫ РАЗДЕЛ ПЯТЫЙ. ЗАЩИТА ОТ ОПАСНОСТЕЙ НЕЖЕЛАТЕЛЬНОГО ИЛИ ЧРЕЗМЕРНОГО ИЗЛУЧЕНИЯ 36 ЭЛЕКТРОМАГНИТНАЯ СОВМЕСТИМОСТЬ 36.201 ПОМЕХОЭМИССИЯ 36.202 ПОМЕХОУСТОЙЧИВОСТЬ РАЗДЕЛЫ ШЕСТОЙ - ДЕСЯТЫЙ. НЕ ИСПОЛЬЗОВАНЫ Приложение ААА (справочное) Общее руководство и обоснования Приложение БББ (справочное) Примеры заполнения таблиц 201-208 Приложение ВВВ (справочное) Руководство по классификации в соответствии с ГОСТ 30805.11 Приложение ГГГ (справочное) Руководство по применению настоящего стандарта при разработке частных стандартов Приложение ДДД (справочное) ЭЛЕКТРОМАГНИТНАЯ ОБСТАНОВКА Приложение ЕЕЕ (обязательное) Нормативные ссылки Библиография Рисунок 201 - Порядок заполнения таблицы 201 для ИЗДЕЛИЙ и СИСТЕМ, относящихся к области применения ГОСТ 30805.15 Рисунок 202 - Порядок заполнения таблицы 201 для ИЗДЕЛИЙ, относящихся к области применения ГОСТ Р 51318.14.1 и ГОСТ 30805.15 Рисунок 203 - Порядок заполнения таблицы 202 Рисунок 204 - Порядок заполнения таблиц 203 и 205 для ИЗДЕЛИЙ и СИСТЕМ ЖИЗНЕОБЕСПЕЧЕНИЯ Рисунок 205 - Порядок заполнения таблиц 204 и 206 для ИЗДЕЛИЙ и СИСТЕМ, не относящихся к ЖИЗНЕОБЕСПЕЧЕНИЮ Рисунок ААА.1 - Пример размещения кабелей при проведении испытаний на УСТОЙЧИВОСТЬ к радиочастотному электромагнитному полю Рисунок ААА.2 - Примеры определения максимальных размеров ИЗДЕЛИЙ с одним и двумя кабелями Таблица 201 - Руководство и декларация изготовителя - помехоэмиссия - для всех ИЗДЕЛИЙ и СИСТЕМ Таблица 202 - Руководство и декларация изготовителя - помехоустойчивость - для всех ИЗДЕЛИЙ и СИСТЕМ Таблица 203 - Руководство и декларация изготовителя - помехоустойчивость - для ИЗДЕЛИЙ и СИСТЕМ ЖИЗНЕОБЕСПЕЧЕНИЯ Таблица 204 - Руководство и декларация изготовителя - помехоустойчивость - для ИЗДЕЛИЙ и СИСТЕМ, не относящихся к ЖИЗНЕОБЕСПЕЧЕНИЮ Таблица 205 - Рекомендуемые значения пространственного разноса между портативными и подвижными радиочастотными средствами связи и ИЗДЕЛИЕМ или СИСТЕМОЙ ЖИЗНЕОБЕСПЕЧЕНИЯ Таблица 206 - Рекомендуемые значения пространственного разноса между портативными и подвижными радиочастотными средствами связи и ИЗДЕЛИЕМ или СИСТЕМОЙ, не относящимися к ЖИЗНЕОБЕСПЕЧЕНИЮ Таблица 207 - Руководство и декларация изготовителя - помехоустойчивость - для ИЗДЕЛИЙ и СИСТЕМ ЖИЗНЕОБЕСПЕЧЕНИЯ, предназначенных для применения только в экранированных помещениях Таблица 208 - Руководство и декларация изготовителя - помехоустойчивость - для ИЗДЕЛИЙ и СИСТЕМ, не относящихся к ЖИЗНЕОБЕСПЕЧЕНИЮ, предназначенных для применения только в экранированных помещениях Таблица 209 - Частота модуляции, ИМИТИРОВАННАЯ ФИЗИОЛОГИЧЕСКАЯ ЧАСТОТА и рабочая частота Таблица 210- ИСПЫТАТЕЛЬНЫЕ УРОВНИ при испытаниях на УСТОЙЧИВОСТЬ к провалам, прерываниям и выбросам напряжения Таблица 211 - ИСПЫТАТЕЛЬНЫЙ УРОВЕНЬ при испытаниях на УСТОЙЧИВОСТЬ к прерываниям напряжения увеличенной длительности Таблица БББ.1 - Пример 1 заполнения таблицы 201 Таблица БББ.2 - Пример 2 заполнения таблицы 201 Таблица БББ.3 - Пример З заполнения таблицы 201 Таблица БББ.4 - Пример заполнения таблицы 202 Таблица БББ.5 - Соотношение ИСПЫТАТЕЛЬНЫХ УРОВНЕЙ при испытаниях на ПОМЕХОУСТОЙЧИВОСТЬ, УРОВНЕЙ ПОМЕХОУСТОЙЧИВОСТИ и УРОВНЕЙ СООТВЕТСТВИЯ ТРЕБОВАНИЯМ ПОМЕХОУСТОЙЧИВОСТИ (вариант 1) Таблица БББ.6 - Пример заполнения таблицы 203 Таблица БББ.7 - Пример заполнения таблицы 205 Таблица БББ.8 - Пример заполнения таблицы 204 Таблица БББ.9 - Пример заполнения таблицы 206 Таблица БББ.10 - Соотношение ИСПЫТАТЕЛЬНЫХ УРОВНЕЙ при испытаниях на ПОМЕХОУСТОЙЧИВОСТЬ, УРОВНЕЙ ПОМЕХОУСТОЙЧИВОСТИ и УРОВНЕЙ СООТВЕТСТВИЯ ТРЕБОВАНИЯМ ПОМЕХОУСТОЙЧИВОСТИ (вариант 2) Таблица БББ.11 - Пример заполнения таблицы 207 Таблица БББ.12 - Соотношение ИСПЫТАТЕЛЬНЫХ УРОВНЕЙ при испытаниях на ПОМЕХОУСТОЙЧИВОСТЬ, УРОВНЕЙ ПОМЕХОУСТОЙЧИВОСТИ и УРОВНЕЙ СООТВЕТСТВИЯ ТРЕБОВАНИЯМ ПОМЕХОУСТОЙЧИВОСТИ (вариант 3) Таблица БББ.13 - Пример заполнения таблицы 208 Таблица ДДД.1 - ЭЛЕКТРОМАГНИТНАЯ ОБСТАНОВКА |
| Разработан: | ФГУП ВНИИНМАШ |
| Утверждён: | 24.05.2012 Межгосударственный Совет по стандартизации, метрологии и сертификации (Inter-Governmental Council on Standardization, Metrology, and Certification 41) 01.11.2012 Федеральное агентство по техническому регулированию и метрологии (619-ст) |
| Издан: | Стандартинформ (2013 г. ) |
| Нормативные ссылки: |
|





















































































