Скачать ГОСТ Р 51318.22-2006 Совместимость технических средств электромагнитная. Оборудование информационных технологий. Радиопомехи индустриальные. Нормы и методы измеренийДата актуализации: 01.01.2021
|
| Обозначение: | ГОСТ Р 51318.22-2006 |
| Обозначение англ: | GOST R 51318.22-2006 |
| Статус: | отменен |
| Название рус.: | Совместимость технических средств электромагнитная. Оборудование информационных технологий. Радиопомехи индустриальные. Нормы и методы измерений |
| Название англ.: | Electomagnetic compatibility of technical equipment. Man-made radio disturbance. Limits and methods of measurement |
| Дата добавления в базу: | 01.09.2013 |
| Дата актуализации: | 01.01.2021 |
| Дата введения: | 01.07.2007 |
| Дата окончания срока действия: | 01.01.2014 |
| Область применения: | Стандарт распространяется на оборудование информационных технологий (ОИТ) в соответствии с определением ОИТ, приведенным в 3.1. Стандарт устанавливает нормы и методы измерений индустриальных радиопомех (ИРП ) от ОИТ классов А и Б в полосе частот от 0,15 МГц до 6 ГГц. Измерения на частотах, применительно к которым нормы не установлены, не проводят. Целью стандарта является: установление единообразных требований к уровням ИРП от оборудования, соответствующего области применения настоящего стандарта и фиксированных норм радиопомех; описание методов измерений, стандартизация рабочих условий при проведении испытаний; определение порядка оценки результатов испытаний. Стандарт не распространяется на оборудование, для которого нормы ИРП в полосе частот от 0,15 МГц до 6 ГГц установлены в других национальных стандартах, разработанных на основе применения международных стандартов МЭК или СИСПР. |
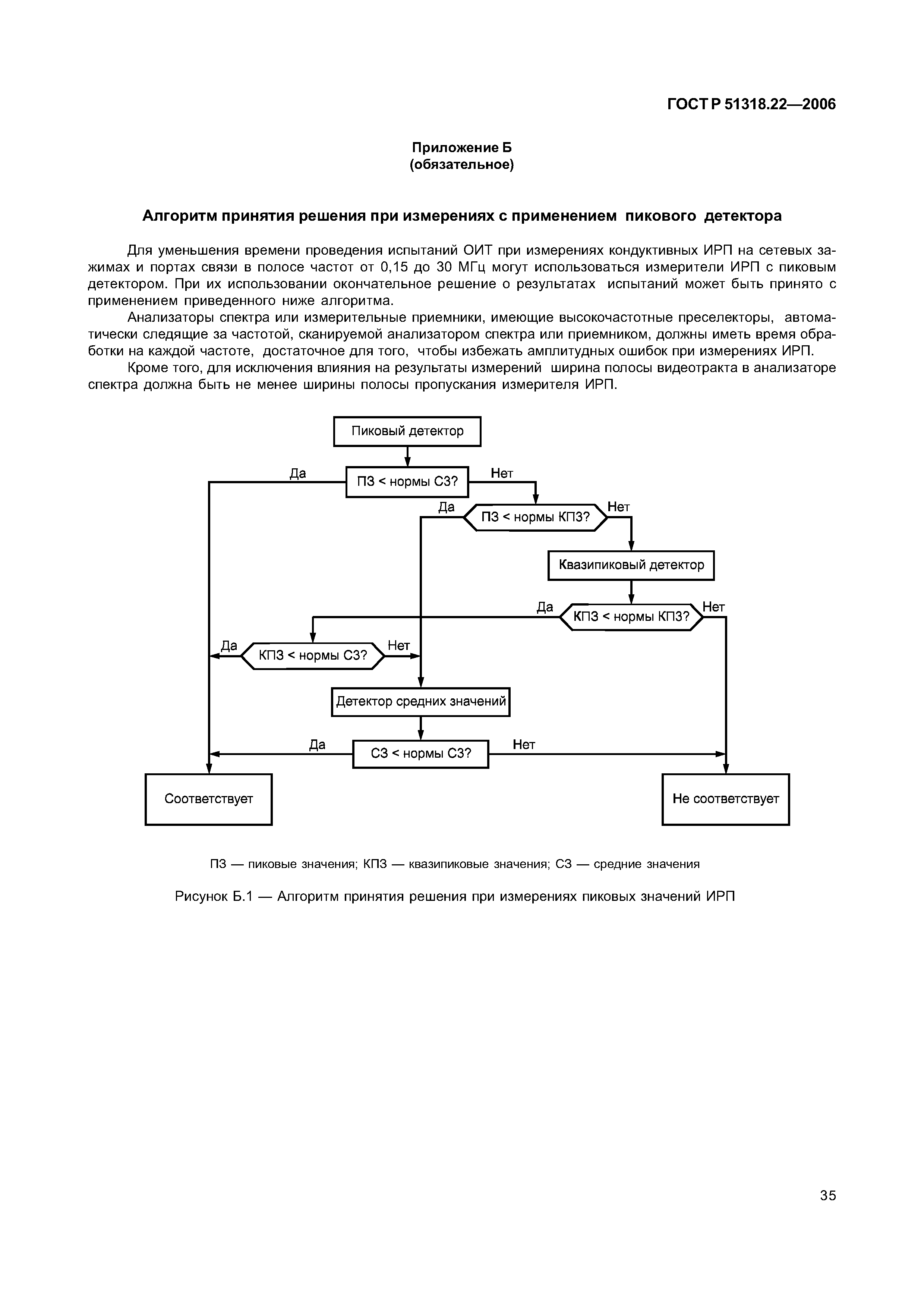
| Оглавление: | 1 Область применения 2 Нормативные ссылки 3 Термины и определения 4 Классификация ОИТ 4.1 ОИТ класса Б 4.2 ОИТ класса А 5 Нормы кондуктивных ИРП на сетевых зажимах и портах связи 5.1 Нормы напряжения ИРП на сетевых зажимах 5.2 Нормы общего несимметричного напряжения и общего несимметричного тока ИРП на портах связи 6 Нормы излучаемых ИРП 6.1 Нормы на частотах не выше 1 ГГц 6.2 Нормы на частотах свыше 1 ГГц 7 Интерпретация норм ИРП, установленных СИСПР 7.1 Значимость норм СИСПР 7.2 Применение норм при испытаниях серийной продукции 8 Общие условия испытаний 8.1 Посторонние помехи 8.2 Общие требования к размещению 8.3 Размещение ИО 8.4 Функционирование ИО 9 Метод измерения кондуктивных ИРП на сетевых зажимах и портах связи 9.1 Измерительные детекторы 9.2 Измерители ИРП 9.3 Эквивалент сети электропитания 9.4 Пластина заземления 9.5 Размещение ИО 9.6 Измерения ИРП на портах связи 9.7 Регистрация результатов измерений 10 Метод измерения излучаемых ИРП 10.1 Измерительные детекторы 10.2 Измерительные приемники на частотах не выше 1 ГГц 10.3 Антенна на частотах не выше 1 ГГц 10.4 Измерительная площадка на частотах не выше 1 ГГц 10.5 Размещение ИО на частотах не выше 1 ГГц 10.6 Измерения излучаемых ИРП на частотах свыше 1 ГГц 10.7 Регистрация результатов измерений 10.8 Измерения в присутствии мощных посторонних сигналов 10.9 Испытание оборудования на месте установки 11 Неопределенность измерений Приложение А (обязательное) Определение затухания альтернативных измерительных площадок Приложение Б (обязательное) Алгоритм принятия решения при измерениях с применением пикового детектора Приложение В (обязательное) Испытательные установки для измерения общего несимметричного напряжения и общего несимметричного тока ИРП Приложение Г (справочное) Схемы образцов эквивалентов полного сопротивления сети Приложение Д (справочное) Параметры сигналов на портах связи Приложение Е (справочное) Обоснование методов измерения ИРП на портах связи Приложение Ж (справочное) Режимы функционирования ОИТ некоторых видов при испытаниях Приложение И (справочное) Сведения о соответствии ссылочных международных стандартов национальным стандартам Российской Федерации, использованным в настоящем стандарте в качестве нормативных ссылок Библиография |
| Разработан: | ЗАО НИЦ САМТЭС ТК 30 Электромагнитная совместимость технических средств |
| Утверждён: | 27.12.2006 Федеральное агентство по техническому регулированию и метрологии (464-ст) |
| Издан: | Стандартинформ (2007 г. ) |
| Нормативные ссылки: |
|
































































