Главная // Актуальные документы // ГОСТ (Государственный стандарт)СПРАВКА
Источник публикации
М.: Стандартинформ, 2016
Примечание к документу
Документ
введен в действие с 1 ноября 2016 года.
Название документа
"ГОСТ 27981.5-2015. Межгосударственный стандарт. Медь высокой чистоты. Фотометрические методы анализа"
(введен в действие Приказом Росстандарта от 17.02.2016 N 52-ст)
"ГОСТ 27981.5-2015. Межгосударственный стандарт. Медь высокой чистоты. Фотометрические методы анализа"
(введен в действие Приказом Росстандарта от 17.02.2016 N 52-ст)
Приказом Федерального
агентства по техническому
регулированию и метрологии
от 17 февраля 2016 г. N 52-ст
МЕЖГОСУДАРСТВЕННЫЙ СТАНДАРТ
МЕДЬ ВЫСОКОЙ ЧИСТОТЫ
ФОТОМЕТРИЧЕСКИЕ МЕТОДЫ АНАЛИЗА
Copper of high purity. Photometric methods of analysis
ГОСТ 27981.5-2015
Дата введения
1 ноября 2016 года
Цели, основные принципы и основной порядок проведения работ по межгосударственной стандартизации установлены
ГОСТ 1.0-92 "Межгосударственная система стандартизации. Основные положения" и
ГОСТ 1.2-2009 "Межгосударственная система стандартизации. Стандарты межгосударственные, правила и рекомендации по межгосударственной стандартизации. Правила разработки, принятия, применения, обновления и отмены"
1 РАЗРАБОТАН Техническим комитетом по стандартизации ТК 368 "Медь"
2 ВНЕСЕН Межгосударственным техническим комитетом по стандартизации МТК 503 "Медь"
3 ПРИНЯТ Межгосударственным советом по стандартизации, метрологии и сертификации (протокол от 27 августа 2015 г. N 79-П)
За принятие проголосовали:
Краткое наименование страны по МК (ИСО 3166) 004-97 | Код страны по МК (ИСО 3166) 004-97 | Сокращенное наименование национального органа по стандартизации |
Армения | AM | Минэкономики Республики Армения |
Беларусь | BY | Госстандарт Республики Беларусь |
Казахстан | KZ | Госстандарт Республики Казахстан |
Киргизия | KG | Кыргызстандарт |
Россия | RU | Росстандарт |
Таджикистан | TJ | Таджикстандарт |
4 Приказом Федерального агентства по техническому регулированию и метрологии от 17 февраля 2016 г. N 52-ст межгосударственный стандарт ГОСТ 27981.5-2015 введен в действие в качестве национального стандарта Российской Федерации с 1 ноября 2016 г.
Информация об изменениях к настоящему стандарту публикуется в ежегодном информационном указателе "Национальные стандарты", а текст изменений и поправок - в ежемесячном информационном указателе "Национальные стандарты". В случае пересмотра (замены) или отмены настоящего стандарта соответствующее уведомление будет опубликовано в ежемесячном информационном указателе "Национальные стандарты". Соответствующая информация, уведомление и тексты размещаются также в информационной системе общего пользования - на официальном сайте Федерального агентства по техническому регулированию и метрологии в сети Интернет (www.gost.ru)
Настоящий стандарт устанавливает фотометрические методы определения компонентов в меди высокой чистоты, приведенных в таблице 1.
Таблица 1
В процентах
Наименование определяемого компонента | Диапазон массовой доли компонента | Наименование определяемого компонента | Диапазон массовой доли компонента |
Висмут | От 0,00020 до 0,0050 включ. | Никель | От 0,00010 до 0,0050 включ. |
Марганец | От 0,0002 до 0,0050 включ. | Селен | От 0,00010 до 0,0100 включ. |
Кобальт | От 0,00002 до 0,0010 включ. | Сурьма | От 0,0003 до 0,010 включ. |
Мышьяк | От 0,00010 до 0,006 включ. | Фосфор | От 0,00010 до 0,006 включ. |
Кремний | От 0,0005 до 0,0050 включ. |
В настоящем стандарте использованы нормативные ссылки на следующие межгосударственные стандарты:
ГОСТ 61-75 Реактивы. Кислота уксусная. Технические условия
ГОСТ 84-76 Реактивы. Натрий углекислый 10-водный. Технические условия
ГОСТ 1770-74 (ИСО 1042-83, ИСО 4788-80) Посуда мерная лабораторная стеклянная. Цилиндры, мензурки, колбы, пробирки. Общие технические условия
ГОСТ 3652-69 Реактивы. Кислота лимонная моногидрат и безводная. Технические условия
ГОСТ 3765-78 Реактивы. Аммоний молибденовокислый. Технические условия
ГОСТ 3773-72 Реактивы. Аммоний хлористый. Технические условия
ГОСТ 4197-74 Реактивы. Натрий азотистокислый. Технические условия
ГОСТ 4198-75 Реактивы. Калий фосфорнокислый однозамещенный. Технические условия
ГОСТ 4328-77 Реактивы. Натрия гидроокись. Технические условия
| | ИС МЕГАНОРМ: примечание. ГОСТ 4465-74 утратил силу с 1 января 2018 года в связи с введением в действие ГОСТ 4465-2016 (Приказ Росстандарта от 16.03.2017 N 143-ст). | |
ГОСТ 4465-74 Реактивы. Никель (II) сернокислый 7-водный. Технические условия
ГОСТ 5456-79 Реактивы. Гидроксиламина гидрохлорид. Технические условия
ГОСТ ИСО 5725-6-2003 Точность (правильность и прецизионность) методов и результатов измерений. Часть 6. Использование значений точности на практике <1>
--------------------------------
<1> В Российской Федерации действует
ГОСТ Р ИСО 5725-6-2002 "Точность (правильность и прецизионность) методов и результатов измерений. Часть 6. Использование значений точности на практике".
ГОСТ 5845-79 Реактивы. Калий-натрий виннокислый 4-водный. Технические условия
ГОСТ 5848-73 Реактивы. Кислота муравьиная. Технические условия
ГОСТ 6008-90 Марганец металлический и марганец азотированный. Технические условия
ГОСТ 6552-80 Реактивы. Кислота ортофосфорная. Технические условия
ГОСТ 6563-75 Изделия технические из благородных металлов и сплавов. Технические условия
ГОСТ 9147-80 Посуда и оборудование лабораторные фарфоровые. Технические условия
ГОСТ 9428-73 Реактивы. Кремний (IV) оксид. Технические условия
ГОСТ 10652-73 Реактивы. Соль динатриевая этилендиамин-N,N,N',N'-тетрауксусной кислоты, 2-водная (трилон Б). Технические условия
ГОСТ 11125-84 Кислота азотная особой чистоты. Технические условия
ГОСТ 11773-76 Реактивы. Натрий фосфорнокислый двузамещенный. Технические условия
ГОСТ 12026-76 Бумага фильтровальная лабораторная. Технические условия
ГОСТ 14261-77 Кислота соляная особой чистоты. Технические условия
ГОСТ 18300-87 Спирт этиловый ректификованный технический. Технические условия <2>
--------------------------------
<2> В Российской Федерации действует
ГОСТ Р 55878-2013 "Спирт этиловый технический гидролизный ректификованный. Технические условия".
ГОСТ 20288-74 Реактивы. Углерод четыреххлористый. Технические условия
ГОСТ 20478-75 Реактивы. Аммоний надсернокислый. Технические условия
ГОСТ 20490-75 Реактивы. Калий марганцовокислый. Технические условия
ГОСТ 22280-76 Реактивы. Натрий лимоннокислый 5,5-водный. Технические условия
ГОСТ 22867-77 Реактивы. Аммоний азотнокислый. Технические условия
--------------------------------
<3> В Российской Федерации действует
ГОСТ Р 53228-2008 "Весы неавтоматического действия. Часть 1. Метрологические и технические требования. Испытания".
ГОСТ 25336-82 Посуда и оборудование лабораторные стеклянные. Типы, основные параметры и размеры
ГОСТ 29169-91 (ИСО 648-77) Посуда лабораторная стеклянная. Пипетки с одной отметкой
ГОСТ 29227-91 (ИСО 835-1-81) Посуда лабораторная стеклянная. Пипетки градуированные. Часть 1. Общие требования
ГОСТ 29251-91 (ИСО 385-1-84) Посуда лабораторная стеклянная. Бюретки. Часть 1. Общие требования
Примечание - При пользовании настоящим стандартом целесообразно проверить действие ссылочных стандартов в информационной системе общего пользования - на официальном сайте Федерального агентства по техническому регулированию и метрологии в сети Интернет или по ежегодному информационному указателю "Национальные стандарты", который опубликован по состоянию на 1 января текущего года, и по выпускам ежемесячного информационного указателя "Национальные стандарты" за текущий год. Если ссылочный стандарт заменен (изменен), то при пользовании настоящим стандартом следует руководствоваться заменяющим (измененным) стандартом. Если ссылочный стандарт отменен без замены, то положение, в котором дана ссылка на него, применяется в части, не затрагивающей эту ссылку.
3.1 Общие требования к методам измерений - по
ГОСТ 31382.
4. Фотометрический метод измерений
массовой доли висмута
4.1 Характеристики показателей точности измерений
Показатели точности измерений массовой доли висмута соответствуют характеристикам, приведенным в таблице 2 (при P = 0,95).
Значения пределов повторяемости и воспроизводимости измерений при доверительной вероятности P = 0,95 приведены в таблице 2.
Таблица 2
Значения показателя точности, пределов повторяемости
и воспроизводимости измерений массовой доли висмута
при доверительной вероятности P = 0,95
В процентах
Диапазон измерений массовой доли висмута | Показатель точности  | Пределы (абсолютные значения) |
повторяемости r (n = 2) | воспроизводимости R |
От 0,00020 до 0,00050 включ. | 0,00006 | 0,00007 | 0,00009 |
Св. 0,0005 " 0,0010 " | 0,0001 | 0,0001 | 0,0002 |
" 0,0010 " 0,0020 " | 0,0004 | 0,0003 | 0,0005 |
" 0,0020 " 0,0050 " | 0,0005 | 0,0005 | 0,0007 |
4.2 Средства измерений, вспомогательные устройства, материалы, растворы
При выполнении измерений применяют следующие средства измерений и вспомогательные устройства:
- спектрофотометр или фотоколориметр со всеми принадлежностями, обеспечивающий проведение измерений при длине волны 450 нм;
- плиту нагревательную по
[1], обеспечивающую температуру нагрева до 400 °C, или аналогичную;
- стекло часовое;
- весы лабораторные специального класса точности по
ГОСТ 24104;
- колбы мерные 2-25-2, 2-100-2, 2-250-2, 2-1000-2 по
ГОСТ 1770;
При выполнении измерений применяют следующие материалы и растворы:
- кислоту соляную по
ГОСТ 3118, разбавленную 1:1;
- кислоту винную по
ГОСТ 5817, раствор массовой концентрации 250 г/дм
3;
- кислоту аскорбиновую по
[2], свежеприготовленный раствор массовой концентрации 50 г/дм
3;
- аммиак водный по
ГОСТ 3760, разбавленный 1:99;
- порошок железный по
ГОСТ 9849, раствор массовой концентрации 10 г/дм
3;
- калий йодистый по
ГОСТ 4232, свежеприготовленный раствор массовой концентрации 200 г/дм
3;
- фильтры обеззоленные по
[3] или аналогичные.
Примечания
1 Допускается применение других средств измерений утвержденных типов, вспомогательных устройств и материалов, технические и метрологические характеристики которых не уступают указанным выше.
2 Допускается использование реактивов, изготовленных по другим нормативным документам при условии обеспечения ими метрологических характеристик результатов измерений, приведенных в настоящем стандарте.
4.3 Метод измерений
Метод основан на измерении оптической плотности при длине волны от 420 до 450 нм окрашенного йодного комплекса висмута, образованного в солянокислом растворе в присутствии винной кислоты и восстановителя.
Висмут дополнительно выделяют на гидроксиде железа.
4.4 Подготовка к выполнению измерений
4.4.1 Приготовление растворов для построения градуировочного графика
При приготовлении раствора А массовой концентрации висмута 0,1 мг/см3 навеску висмута массой 0,1000 г помещают в стакан вместимостью 100 см3, приливают от 5 до 10 см3 азотной кислоты, нагревают до удаления оксидов азота. Раствор охлаждают и переносят в мерную колбу вместимостью 1000 см3, приливают 65 см3 азотной кислоты, доливают водой до метки и перемешивают.
При приготовлении раствора Б массовой концентрации висмута 0,01 мг/см3 аликвоту 25 см3 раствора А помещают в мерную колбу вместимостью 250 см3, приливают 5 см3 азотной кислоты, доливают водой до метки и перемешивают.
Раствор пригоден для применения в течение 5 ч.
4.4.2 Приготовление раствора железа массовой концентрации 10 г/дм3
Навеску железа массой 1,0 г помещают в стакан вместимостью 100 см3, приливают от 10 до 15 см3 соляной кислоты и растворяют при нагревании. После охлаждения раствор переносят в мерную колбу вместимостью 100 см3, доливают водой до метки и перемешивают.
4.4.3 Построение градуировочного графика
В шесть конических колб вместимостью 250 см3 каждая помещают 0,0; 1,0; 2,0; 3,0; 4,0 и 5,0 см3 раствора Б, что соответствует 0,0; 0,01; 0,02; 0,03; 0,04 и 0,05 мг висмута, приливают 5 см3 азотной кислоты, 20 см3 соляной кислоты. Растворы нагревают и выпаривают до объема от 3 до 5 см3. Приливают 5 см3 раствора железа, от 100 до 120 см3 воды, нагревают до температуры от 60 °C до 70 °C и приливают аммиак до перехода меди в аммиачный комплекс и после этого еще 5 см3. Продолжают нагревание в течение 5 - 7 мин и оставляют раствор до коагуляции осадка в теплом месте плиты.
Осадок гидроксидов фильтруют на неплотный фильтр и промывают его от 3 до 5 раз горячим аммиаком, разбавленным 1:99. Осадок с фильтра смывают в колбу, в которой проводили осаждение, и приливают от 15 до 20 см3 горячей соляной кислоты, разбавленной 1:1. Полученный раствор разбавляют водой до объема от 80 до 100 см3 и вновь осаждают гидроксиды аммиаком. Осадок фильтруют на тот же фильтр и промывают от 3 до 4 раз горячим аммиаком, разбавленным 1:99. Воронку с фильтром помещают над колбой, в которой проводили осаждение, к осадку приливают от 10 до 15 см3 горячей соляной кислоты, разбавленной 1:1, промывают фильтр 2 - 3 раза горячей водой. Фильтр отбрасывают. Фильтрат упаривают до объема 10 см3, после охлаждения его помещают в мерную колбу вместимостью 25 см3, приливают 4 см3 раствора винной кислоты, 5 см3 раствора йодистого калия, от 1,0 до 1,5 см3 раствора аскорбиновой кислоты и доливают водой до метки.
Через 10 - 15 мин измеряют оптическую плотность растворов на спектрофотометре или фотоколориметре при длине волны от 420 до 450 нм в кювете с оптимальной толщиной слоя. Раствором сравнения служит вода.
По полученным значениям оптических плотностей и соответствующим им концентрациям висмута строят градуировочной график.
4.5 Выполнение измерений
Навеску меди массой 2,0000 г помещают в стакан вместимостью 400 см3, приливают от 25 до 30 см3 азотной кислоты, накрывают часовым стеклом и выдерживают без нагревания до прекращения бурной реакции выделения оксидов азота.
Стекло снимают, обмывают водой над стаканом, приливают от 20 до 25 см3 соляной кислоты и выпаривают раствор при нагревании до объема от 3 до 5 см3.
Затем приливают в стакан от 80 до 100 см
3 воды и 5 см
3 раствора железа. Нагревают и далее продолжают измерение, как указано в
4.4.3.
Выполнение измерений осуществляют в соответствии с инструкцией по эксплуатации спектрофотометра или фотоколориметра, массу висмута устанавливают по градуировочному графику.
4.6 Обработка результатов измерений
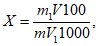
4.6.1 Массовую долю висмута X, %, вычисляют по формуле

(1)
где m1 - масса висмута, найденная по градуировочному графику, мкг;
m2 - масса висмута, полученная в результате холостого опыта, мкг;
m - масса навески меди, г.
4.6.2 За результат измерений принимают среднеарифметическое значение двух параллельных определений при условии, что абсолютная разность между ними в условиях повторяемости не превышает значений (при доверительной вероятности
P = 0,95) предела повторяемости
r, приведенных в
таблице 2.
Если расхождение между наибольшим и наименьшим результатами параллельных определений превышает значение предела повторяемости, выполняют процедуры, изложенные в ГОСТ ИСО 5725-6 (подпункт 5.2.2.1).
4.6.3 Расхождения между результатами измерений, полученными в двух лабораториях, не должны превышать значений предела воспроизводимости, приведенных в
таблице 2. В этом случае за окончательный результат может быть принято их среднеарифметическое значение. При невыполнении этого условия могут быть использованы процедуры, изложенные в ГОСТ ИСО 5725-6 (пункт 5.3.3).
5. Фотометрический метод измерений массовой доли марганца
5.1 Характеристики показателей точности измерений
Показатели точности измерений массовой доли марганца соответствуют характеристикам, приведенным в таблице 3 (при P = 0,95).
Значения пределов повторяемости и воспроизводимости измерений при доверительной вероятности P = 0,95 приведены в таблице 3.
Таблица 3
Значения показателя точности, пределов повторяемости
и воспроизводимости измерений массовой доли марганца
при доверительной вероятности P = 0,95
В процентах
Диапазон измерений массовой доли марганца | Показатель точности  | Пределы (абсолютные значения) |
повторяемости r (n = 2) | воспроизводимости R |
От 0,0002 до 0,0005 включ. | 0,0001 | 0,0001 | 0,0002 |
Св. 0,0005 " 0,0010 " | 0,0002 | 0,0002 | 0,0003 |
" 0,0010 " 0,0020 " | 0,0005 | 0,0005 | 0,0007 |
" 0,0020 " 0,0050 " | 0,0006 | 0,0007 | 0,0009 |
5.2 Средства измерений, вспомогательные устройства, материалы, растворы
При выполнении измерений применяют следующие средства измерений и вспомогательные устройства:
- спектрофотометр или фотоколориметр со всеми принадлежностями, обеспечивающий проведение измерений при длине волны от 520 до 540 нм;
- плиту нагревательную по
[1], обеспечивающую температуру нагрева до 400 °C, или аналогичную;
- баню водяную;
- весы лабораторные специального класса точности по
ГОСТ 24104;
- колбы конические Кн-1-250-14/23 ТХС по
ГОСТ 25336;
- колбы мерные 2-50-2, 2-100-2, 2-1000-2 по
ГОСТ 1770;
При выполнении измерений применяют следующие материалы и растворы:
- кислоту азотную по
ГОСТ 4461 или кислоту азотную особой чистоты по
ГОСТ 11125 и разбавленную 1:1, 1:3;
- калий йоднокислый по
[4], раствор массовой концентрации 50 г/дм
3;
Примечания
1 Допускается применение других средств измерений утвержденных типов, вспомогательных устройств и материалов, технические и метрологические характеристики которых не уступают указанным выше.
2 Допускается использование реактивов, изготовленных по другим нормативным документам, при условии обеспечения ими метрологических характеристик результатов измерений, приведенных в настоящем стандарте.
5.3 Метод измерений
Метод основан на измерении оптической плотности окрашенного комплексного соединения семивалентного марганца при длине волны от 520 до 540 нм.
5.4 Подготовка к выполнению измерений
5.4.1 Приготовление растворов для построения градуировочного графика
При приготовлении раствора А массовой концентрации марганца 0,1 мг/см3 навеску марганца массой 0,1 г помещают в стакан вместимостью 100 см3, приливают от 10 до 15 см3 азотной кислоты, разбавленной 1:1, нагревают до удаления оксидов азота. Раствор охлаждают, переносят в мерную колбу вместимостью 1000 см3 и доливают водой до метки.
При приготовлении раствора Б массовой концентрации марганца 0,01 мг/см3 аликвоту 10 см3 раствора А помещают в мерную колбу вместимостью 100 см3, приливают 1 см3 азотной кислоты, разбавленной 1:1, и доливают водой до метки.
При приготовлении раствора В массовой концентрации 0,005 мг/см3 аликвоту 50 см3 раствора Б помещают в мерную колбу вместимостью 100 см3, приливают 0,5 см3 азотной кислоты, разбавленной 1:1, и доливают водой до метки.
5.4.2 Приготовление раствора йоднокислого калия массовой концентрации 50 г/дм3
Навеску йоднокислого калия массой 50 г растворяют в растворе азотной кислоты, разбавленной 1:3, и доливают этим же раствором до 100 см3.
5.4.3 Построение градуировочного графика
В стаканы вместимостью 250 см3 каждый помещают 0,0; 1,0; 2,0 и 5,0 см3 раствора В и 1,0; 2,0; 3,0; 4,0 и 5,0 см3 стандартного раствора Б, что соответствует 0,0; 0,005; 0,010; 0,025; 0,100; 0,200; 0,300; 0,400; 0,500 мг марганца. Во все стаканы приливают воды до объема 20 см3, затем кипятят в течение 5 мин.
В кипящий раствор приливают 5 см3 раствора йоднокислого калия и продолжают кипячение еще в течение 5 мин. Затем стакан помещают на кипящую водяную баню и выдерживают 20 мин.
После охлаждения переносят раствор в мерную колбу вместимостью 50 см3, доливают водой до метки (основной раствор) и перемешивают.
Оптическую плотность растворов измеряют на спектрофотометре при длине волны 530 нм или фотоколориметре со светофильтром, имеющим длину волны, соответствующую максимуму светопропускания от 520 до 540 нм в кювете с толщиной слоя 20 или 30 мм.
Раствором сравнения служит часть основного раствора пробы, в которой марганец (VII) восстанавливают до марганца (II) прибавлением от 1 до 2 капель раствора азотистокислого натрия.
По полученным значениям оптических плотностей растворов и соответствующим им концентрациям марганца строят градуировочный график в прямоугольных координатах.
5.5 Выполнение измерений
Навеску меди массой 2,0000 г (при массовой доле марганца от 0,0002% до 0,001%) или 1,0000 г (при массовой доле марганца от 0,001% до 0,005%) помещают в коническую колбу вместимостью 250 см
3, приливают от 20 до 25 см
3 азотной кислоты и кипятят до прекращения бурной реакции выделения оксидов азота и растворения навески. Раствор выпаривают до половины и далее продолжают, как указано в
5.4.3.
Выполнение измерений осуществляют в соответствии с инструкцией по эксплуатации спектрофотометра или фотоколориметра, массу марганца в миллиграммах устанавливают по градуировочному графику.
5.6 Обработка результатов измерений
5.6.1 Массовую долю марганца X, %, вычисляют по формуле

(2)
где m1 - масса марганца, найденная по градуировочному графику, мг;
m2 - масса марганца, полученная в результате холостого опыта, мг;
m - масса навески меди, г.
5.6.2 За результат измерений принимают среднеарифметическое значение двух параллельных определений при условии, что абсолютная разность между ними в условиях повторяемости не превышает значений (при доверительной вероятности
P = 0,95) предела повторяемости
r, приведенных в
таблице 3.
Если расхождение между наибольшим и наименьшим результатами параллельных определений превышает значение предела повторяемости, выполняют процедуры, изложенные в ГОСТ ИСО 5725-6 (подпункт 5.2.2.1).
5.6.3 Расхождения между результатами измерений, полученными в двух лабораториях, не должны превышать значений предела воспроизводимости, приведенных в
таблице 3. В этом случае за окончательный результат может быть принято их среднеарифметическое значение. При невыполнении этого условия могут быть использованы процедуры, изложенные в ГОСТ ИСО 5725-6 (пункт 5.3.3).
6. Фотометрический метод измерений массовой доли кобальта
6.1 Характеристики показателей точности измерений
Показатели точности измерений массовой доли кобальта соответствуют характеристикам, приведенным в таблице 4 (при P = 0,95).
Значения пределов повторяемости и воспроизводимости измерений при доверительной вероятности P = 0,95 приведены в таблице 4.
Таблица 4
Значения показателя точности, пределов повторяемости
и воспроизводимости измерений массовой доли кобальта
при доверительной вероятности P = 0,95
В процентах
Диапазон измерений массовой доли кобальта | Показатель точности  | Пределы (абсолютные значения) |
повторяемости r (n = 2) | воспроизводимости R |
От 0,00002 до 0,00005 включ. | 0,00001 | 0,00002 | 0,00002 |
Св. 0,00005 " 0,00010 " | 0,00003 | 0,00003 | 0,00004 |
" 0,00010 " 0,00050 " | 0,00007 | 0,00007 | 0,00010 |
" 0,0005 " 0,0010 " | 0,0002 | 0,0002 | 0,0003 |
6.2 Средства измерений, вспомогательные устройства, материалы, растворы
При выполнении измерений применяют следующие средства измерений и вспомогательные устройства:
- спектрофотометр или фотоколориметр со всеми принадлежностями, обеспечивающий проведение измерений при длине волны 410 нм;
- плиту нагревательную по
[1], обеспечивающую температуру нагрева до 400 °C, или аналогичную;
- стекло часовое;
- весы лабораторные специального класса точности по
ГОСТ 24104;
- колбы мерные 2-100-2, 2-500-2 по
ГОСТ 1770;
- воронки делительные ВД-1-250 (100) ХС по
ГОСТ 25336;
При выполнении измерений применяют следующие материалы и растворы:
- кислоту азотную по
ГОСТ 4461 (прокипяченную до удаления оксидов азота), разбавленную 1:1;
- кислоту соляную по
ГОСТ 3118 и раствор молярной концентрации 4 моль/дм
3;
- кислоту лимонную по
ГОСТ 3652, раствор массовой концентрации 250 г/дм
3;
- калия гидроокись по
ГОСТ 24363, раствор массовой концентрации 50 г/дм
3;
- 1-нитрозо-2-нафтол по
[5], раствор массовой концентрации 0,5 г/дм
3;
- водорода пероксид по
ГОСТ 10929 (стабилизированный продукт);
- медь по
ГОСТ 859, не содержащую кобальт.
Примечания
1 Допускается применение других средств измерений утвержденных типов, вспомогательных устройств и материалов, технические и метрологические характеристики которых не уступают указанным выше.
2 Допускается использование реактивов, изготовленных по другим нормативным документам, при условии обеспечения ими метрологических характеристик результатов измерений, приведенных в настоящем стандарте.
6.3 Метод измерений
Метод основан на измерении оптической плотности при длине волны 410 нм окрашенного соединения кобальта с 1-нитрозо-2-нафтолом после экстракции его толуолом и предварительного отделения меди на металлическом алюминии.
6.4 Подготовка к выполнению измерений
6.4.1 Приготовление растворов для построения градуировочного графика
При приготовлении раствора А массовой концентрации кобальта 1,0 мг/см3 навеску металлического кобальта массой 0,1000 г помещают в стакан вместимостью 100 см3, приливают 20 см3 смеси азотной и соляной кислот (в соотношении 1:3), нагревают до удаления оксидов азота. Раствор выпаривают до влажных солей. Приливают 10 см3 соляной кислоты и выпаривают досуха. Обработку соляной кислотой повторяют еще 2 раза.
К сухому остатку приливают от 30 до 50 см3 горячей воды, охлаждают, переносят в мерную колбу вместимостью 100 см3, доливают водой до метки и перемешивают.
При приготовлении раствора Б массовой концентрации кобальта 0,01 мг/см3 аликвоту 5 см3 раствора А помещают в мерную колбу вместимостью 500 см3, доливают водой до метки и перемешивают.
При приготовлении раствора В массовой концентрации кобальта 0,001 мг/см3 аликвоту 10 см3 раствора Б помещают в мерную колбу вместимостью 100 см3, доливают водой до метки и перемешивают. Раствор применяют свежеприготовленным.
При приготовлении раствора Г массовой концентрации кобальта 0,0001 мг/см3 аликвоту 10 см3 раствора В помещают в мерную колбу вместимостью 100 см3, доливают водой до метки и перемешивают. Раствор применяют свежеприготовленным.
6.4.2 Построение градуировочного графика
6.4.2.1 Построение градуировочного графика при массовой доле кобальта от 0,00002% до 0,0001%
К двум навескам меди массой по 1,0000 г (для каждой из точек градуировочного графика) прибавляют 2,0; 3,0; 4,0; 5,0 и 10,0 см
3 раствора Г, что соответствует 0,0002; 0,0003; 0,0004; 0,0005 и 0,0010 мг кобальта и далее продолжают измерения, как указано в
6.5.1.
По полученным значениям оптической плотности и соответствующим им концентрациям кобальта строят градуировочный график.
6.4.2.2 Построение градуировочного графика при массовой доле кобальта от 0,0001% до 0,0005%
К двум навескам меди массой по 1,0000 г (для каждой из точек градуировочного графика) приливают 1,0 и 5,0 см
3 раствора В и 1,0; 2,5; 5,0 см
3 раствора Б, что соответствует 0,001; 0,005; 0,010; 0,025 и 0,050 мг кобальта и далее продолжают измерения, как указано в
6.5.1.
6.4.2.3 Приготовление раствора 1-нитрозо-2-нафтол массовой концентрации 0,5 г/дм3
Навеску реагента массой 0,25 г растворяют в 50 см3 раствора гидроокиси калия массовой концентрации 50 г/дм3, помещают в мерную колбу вместимостью 500 см3, приливают 100 см3 уксусной кислоты, разбавляют водой до метки и перемешивают.
6.5 Выполнение измерений
6.5.1 Навеску меди массой 1,0000 г помещают в коническую колбу вместимостью 250 см
3, приливают 15 см
3 азотной кислоты, разбавленной 1:1, и нагревают до растворения навески и удаления оксидов азота. Раствор выпаривают на плите с асбестом до объема 2 см
3 и затем трижды обрабатывают соляной кислотой порциями по 10 см
3 для полного удаления оксидов азота, выпаривая дважды до влажных солей, а последний раз - досуха. К сухому остатку приливают 100 см
3 воды и нагревают до растворения солей.
В раствор вводят от 7 до 8 гранул металлического алюминия, общая масса которых составляет от 3,5 до 4,0 г, и нагревают при температуре от 80 °C до 90 °C в течение от 2 до 3 ч до полного выделения меди (раствор должен быть прозрачным без голубого оттенка).
После цементации меди раствор декантацией переносят в стакан вместимостью 100 см3, осторожно обмывают стенки колбы и выделившуюся медь водой, присоединяя промывные воды к основному раствору так, чтобы медь не попала в раствор, и упаривают на асбесте до объема от 20 до 30 см3.
После охлаждения к раствору приливают при перемешивании смесь 5 см3 раствора лимонной кислоты и 10 см3 раствора 1-нитрозо-2-нафтола (смесь готовят перед прибавлением для каждой пробы). Раствор нейтрализуют таблетированной гидроокисью калия до pH от 4,0 до 4,5, нагревают до кипения и прибавляют 0,3 см3 пероксида водорода. Стакан накрывают часовым стеклом, раствор кипятят в течение 10 мин и затем охлаждают до комнатной температуры.
Раствор переливают в делительную воронку вместимостью 100 см3, приливают 10 см3 толуола и экстрагируют в течение 2 мин. Экстракт промывают 10 см3 соляной кислоты молярной концентрации 4 моль/дм3 в течение 1 мин, затем 10 см3 раствора гидроокиси калия массовой концентрации 50 г/дм3 в течение 1 мин. Экстракт сливают в сухой стакан и измеряют оптическую плотность на спектрофотометре или фотоколориметре при длине волны 410 нм в кювете с толщиной слоя 20 мм. Раствором сравнения служит толуол.
Выполнение измерений осуществляют в соответствии с инструкцией по эксплуатации спектрофотометра или фотоколориметра, массу кобальта в миллиграммах устанавливают по градуировочному графику.
6.5.2 Проведение холостого опыта
Медь, выделившуюся на алюминии, свободную от кобальта, растворяют в азотной кислоте, разбавленной 1:1. Раствор выпаривают до объема от 2 до 3 см
3 и далее продолжают, как указано в
6.5.1.
6.6 Обработка результатов измерений
6.6.1 Массовую долю кобальта X, %, вычисляют по формуле

(3)
где m1 - масса кобальта в растворе анализируемой пробы, мкг;
m2 - масса висмута, полученная в результате холостого опыта, мкг;
m - масса навески меди, г.
6.6.2 За результат измерений принимают среднеарифметическое значение двух параллельных определений при условии, что абсолютная разность между ними в условиях повторяемости не превышает значений (при доверительной вероятности
P = 0,95) предела повторяемости
r, приведенных в
таблице 4.
Если расхождение между наибольшим и наименьшим результатами параллельных определений превышает значение предела повторяемости, выполняют процедуры, изложенные в ГОСТ ИСО 5725-6 (подпункт 5.2.2.1).
6.6.3 Расхождения между результатами измерений, полученными в двух лабораториях, не должны превышать значений предела воспроизводимости, приведенных в
таблице 4. В этом случае за окончательный результат может быть принято их среднеарифметическое значение. При невыполнении этого условия могут быть использованы процедуры, изложенные в ГОСТ ИСО 5725-6 (пункт 5.3.3).
7. Фотометрический метод измерений массовой доли мышьяка
7.1 Характеристики показателей точности измерений
Показатели точности измерений массовой доли мышьяка соответствуют характеристикам, приведенным в таблице 5 (при P = 0,95).
Значения пределов повторяемости и воспроизводимости измерений при доверительной вероятности P = 0,95 приведены в таблице 5.
Таблица 5
Значения показателя точности, пределов повторяемости
и воспроизводимости измерений массовой доли мышьяка
при доверительной вероятности P = 0,95
В процентах
Диапазон измерений массовой доли мышьяка | Показатель точности  | Пределы (абсолютные значения) |
повторяемости r (n = 2) | воспроизводимости R |
От 0,00010 до 0,00030 включ. | 0,00006 | 0,00006 | 0,00008 |
Св. 0,00030 " 0,00060 " | 0,00014 | 0,00012 | 0,00020 |
" 0,0006 " 0,0012 " | 0,0004 | 0,0004 | 0,0005 |
" 0,0012 " 0,0030 " | 0,0006 | 0,0005 | 0,0008 |
" 0,003 " 0,006 " | 0,001 | 0,001 | 0,002 |
7.2 Средства измерений, вспомогательные устройства, материалы, растворы
При выполнении измерений применяют следующие средства измерений и вспомогательные устройства:
- спектрофотометр или фотоколориметр со всеми принадлежностями, обеспечивающий проведение измерений при длине волны 610 нм;
- плиту нагревательную по
[1], обеспечивающую температуру нагрева до 400 °C, или аналогичную;
- весы лабораторные специального класса точности по
ГОСТ 24104;
- стаканы Н-1-250 ТХС, Н-1-400 ТХС, В-1-250 ТХС, В-1-400 ТХС по
ГОСТ 25336;
- воронки делительные ВД-1-250 ХС, ВД-1-1000 ХС по
ГОСТ 25336;
- колбы конические Кн-2-500-24/29 ТХС; Кн-2-750-24/29 ТХС по
ГОСТ 25336;
- колбы мерные 2-50-2, 2-100-2, 2-200-2 по
ГОСТ 1770;
- воронки для фильтрования лабораторные по
ГОСТ 25336;
- баню водяную;
При выполнении измерений применяют следующие материалы и растворы:
- кислоту серную по
ГОСТ 4204, разбавленную 1:3 и 1:10, растворы молярной концентрации 0,5 и 3 моль/дм
3;
- кислоту соляную особой чистоты по
ГОСТ 14261, плотностью 1,19 г/см
3, разбавленную 1:1, раствор молярной концентрации 9 моль/дм
3;
- углерод четыреххлористый по
ГОСТ 20288, перегнанный;
- спирт этиловый ректификованный технический по
ГОСТ 18300;
- аммоний молибденовокислый по
ГОСТ 3765, раствор 10 г/дм
3 в растворе серной кислоты 3 моль/дм
3;
- гидразин сернокислый по
ГОСТ 5841, раствор массовой концентрации 5 г/дм
3;
- квасцы железоаммонийные по
[6], раствор массовой концентрации 100 г/дм
3;
- натрий углекислый 10-водный по
ГОСТ 84, насыщенный раствор;
- натрия гидроокись по
ГОСТ 4328, раствор молярной концентрации 1 моль/дм
3;
- калий марганцовокислый по
ГОСТ 20490, раствор молярной концентрации 0,06 моль/дм
3;
- аммоний хлористый по
ГОСТ 3773, раствор массовой концентрации 20 г/дм
3;
- титан треххлористый по
[7], раствор массовой концентрации 400 г/дм
3;
- фильтры обеззоленные по
[3] или аналогичные.
Примечания
1 Допускается применение других средств измерений утвержденных типов, вспомогательных устройств и материалов, технические и метрологические характеристики которых не уступают указанным выше.
2 Допускается использование реактивов, изготовленных по другим нормативным документам при условии обеспечения ими метрологических характеристик результатов измерений, приведенных в настоящем стандарте.
7.3 Метод измерений
Метод основан на фотометрировании окрашенного мышьяково-молибденового комплекса. Мышьяк предварительно выделяют аммиаком осаждением его совместно с гидроксидом железа и последующей экстракцией мышьяка четыреххлористым углеродом.
7.4 Подготовка к выполнению измерений
7.4.1 Приготовление растворов для построения градуировочного графика
При приготовлении раствора А массовой концентрации мышьяка 0,1 мг/см3 навеску мышьяковистого ангидрида массой 0,0266 г помещают в мерную колбу вместимостью 200 см3, приливают 2 см3 раствора гидроокиси натрия и 50 см3 воды, перемешивают до растворения навески. После этого добавляют 3 см3 раствора серной кислоты молярной концентрации 0,5 моль/дм3, доливают водой до метки и перемешивают.
При приготовлении раствора Б массовой концентрации мышьяка 0,01 мг/см3 аликвоту 10 см3 раствора А помещают в мерную колбу вместимостью 100 см3, доливают водой до метки и перемешивают.
7.4.2 Построение градуировочного графика
В семь мерных колб вместимостью 50 см
3 каждая помещают 0,0; 0,5; 1,0; 1,5; 2,0; 2,5 и 3,0 см
3 раствора Б, что соответствует 0,00; 0,005; 0,010; 0,015; 0,020; 0,025 и 0,030 мг мышьяка. В каждую колбу приливают по 40 см
3 воды и продолжают, как указано в
7.5. Раствором сравнения служит раствор, не содержащий мышьяк.
По полученным значениям оптических плотностей и соответствующим массовым долям мышьяка строят градуировочный график в прямоугольных координатах.
7.4.3 Приготовление раствора соляной кислоты молярной концентрации 9 моль/дм3
При приготовлении раствора соляной кислоты молярной концентрации 9 моль/дм3 кислоту очищают от мышьяка: 10 г йодистого калия растворяют в 500 см3 соляной кислоты, переносят раствор в делительную воронку вместимостью 1000 см3, приливают 25 см3 четыреххлористого углерода, встряхивают в течение 2 мин. Органический слой после отстаивания отбрасывают. Затем к раствору в делительной воронке приливают 25 см3 четыреххлористого углерода и встряхивают 2 мин. Органический слой отбрасывают. Очистку кислоты проводят перед применением.
7.4.4 Приготовление раствора молибденовокислого аммония массовой концентрации 10 г/дм3
При приготовлении раствора молибденовокислого аммония массовой концентрации 10 г/дм3 реактив перед применением дважды перекристаллизовывают из спиртового раствора: навеску соли массой 70 г помещают в коническую колбу вместимостью 750 см3, приливают 400 см3 горячей воды и дважды фильтруют через плотный фильтр. К фильтрату приливают 250 см3 этилового спирта и выдерживают в течение 1 ч при комнатной температуре, после чего кристаллы отсасывают на воронке Бюхнера. Полученный молибденовокислый аммоний растворяют и снова перекристаллизовывают. Кристаллы вновь отсасывают на воронке Бюхнера, промывают 2 - 3 раза этиловым спиртом порциями от 20 до 30 см3, после чего кристаллы высушивают на воздухе.
7.4.5 При приготовлении раствора молибдатного гидразина 50 см3 раствора молибденовокислого аммония помещают в мерную колбу вместимостью 100 см3, приливают 5 см3 раствора гидразина, доливают водой до метки и перемешивают. Раствор используют свежеприготовленным.
7.4.6 При приготовлении раствора железоаммонийных квасцов навеску соли массой 10 г помещают в стакан вместимостью 250 см3, приливают 5 см3 азотной кислоты и 70 см3 воды. Раствор нагревают до растворения навески, охлаждают и фильтруют через фильтр средней плотности. Фильтр отбрасывают, а фильтрат разбавляют водой до объема 100 см3.
7.4.7 При приготовлении раствора сернокислого титана 2,0 г титана помещают в колбу Кьельдаля вместимостью 100 см3 с обратным холодильником, приливают 40 см3 серной кислоты, разбавленной 1:3. После растворения приливают серную кислоту, разбавленную 1:10, до объема 100 см3. Раствор хранят в атмосфере углекислого газа.
Навеску меди массой, указанной в таблице 6, помещают в стакан вместимостью 400 см3 или коническую колбу вместимостью 500 см3, приливают азотную кислоту, разбавленную 1:1, в количестве, указанном в таблице 6. Нагревают до растворения навески и удаления оксидов азота.
Таблица 6
Массовая доля мышьяка, % | Масса навески, г | Объем азотной кислоты, см3 |
От 0,0001 до 0,0003 включ. | 5,00 | 50 |
Св. 0,0003 " 0,0005 " | 2,00 | 30 |
" 0,0005 " 0,001 " | 1,00 | 20 |
" 0,001 " 0,006 " | 0,50 | 15 |
К полученному раствору приливают 100 см3 воды, 1 см3 раствора железоаммонийных квасцов, нагревают до температуры от 60 °C до 70 °C и осаждают мышьяк и гидроксид железа раствором углекислого натрия. Раствор с осадком доводят до кипения и оставляют при температуре от 40 °C до 50 °C на 20 мин до коагуляции осадка.
Осадок фильтруют на фильтр средней плотности и промывают 3 - 4 раза раствором хлористого аммония. Затем осадок растворяют на фильтре в 25 см3 соляной кислоты, разбавленной 1:1, промывают фильтр 2 - 3 раза горячей водой. К фильтрату приливают 100 см3 воды, нагревают до температуры от 60 °C до 70 °C и вновь осаждают мышьяк и гидроксид железа. Осадок фильтруют через тот же фильтр и промывают 3 - 4 раза горячей водой.
Растворяют осадок на фильтре в 25 см3 соляной кислоты, разбавленной 1:1, собирая фильтрат в стакан, в котором велось осаждение. Фильтр промывают 3 - 4 раза горячей водой и отбрасывают.
В фильтрате восстанавливают железо и мышьяк, прибавляя по каплям раствор сернокислого или хлористого титана до обесцвечивания раствора и затем еще 1 - 2 капли.
Раствор помещают в делительную воронку вместимостью 250 см3, приливают трехкратный объем очищенной соляной кислоты, добавляют 30 см3 четыреххлористого углерода и экстрагируют в течение 2 мин. После отстаивания органический слой сливают в другую делительную воронку, а в первую добавляют еще 15 см3 четыреххлористого углерода и повторяют экстракцию.
Объединенные органические экстракты промывают 20 см3 соляной кислоты молярной концентрации 9 моль/дм3 в течение 20 с, затем к органическому слою приливают 15 см3 воды и проводят реэкстракцию мышьяка в течение 2 мин. Отделяют органический слой и повторяют реэкстракцию в тех же условиях.
Водные слои сливают в мерную колбу вместимостью 50 см3, приливают по каплям раствор марганцовокислого калия до получения устойчивой розовой окраски, которую затем разрушают, приливая по каплям раствор гидразина. В колбу добавляют 4 см3 свежеприготовленного гидразин-молибденового раствора и помещают колбу в кипящую водяную баню на 15 мин.
Затем раствор охлаждают и доливают водой до метки. Измеряют оптимальную плотность на спектрофотометре или фотоколориметре при длине волны 610 нм в кювете с оптимальной толщиной слоя. В качестве раствора сравнения используют воду.
Выполнение измерений осуществляют в соответствии с инструкцией по эксплуатации спектрофотометра или фотоколориметра, массу мышьяка в миллиграммах устанавливают по градуировочному графику.
7.6 Обработка результатов измерений
7.6.1 Массовую долю мышьяка X, %, вычисляют по формуле

(4)
где m1 - масса мышьяка, найденная по градуировочному графику, мг;
m2 - масса мышьяка, полученная по результатам холостого опыта, мг;
m - масса навески меди, г.
7.6.2 За результат измерений принимают среднеарифметическое значение двух параллельных определений при условии, что абсолютная разность между ними в условиях повторяемости не превышает значений (при доверительной вероятности
P = 0,95) предела повторяемости
r, приведенных в
таблице 5.
Если расхождение между наибольшим и наименьшим результатами параллельных определений превышает значение предела повторяемости, выполняют процедуры, изложенные в ГОСТ ИСО 5725-6 (подпункт 5.2.2.1).
7.6.3 Расхождения между результатами измерений, полученными в двух лабораториях, не должны превышать значений предела воспроизводимости, приведенных в
таблице 5. В этом случае за окончательный результат может быть принято их среднеарифметическое значение. При невыполнении этого условия могут быть использованы процедуры, изложенные в ГОСТ ИСО 5725-6 (пункт 5.3.3).
8. Фотометрический метод измерений массовой доли кремния
8.1 Характеристики показателей точности измерений
Показатели точности измерений массовой доли кремния соответствуют характеристикам, приведенным в таблице 7 (при P = 0,95).
Значения пределов повторяемости и воспроизводимости измерений при доверительной вероятности P = 0,95 приведены в таблице 7.
Таблица 7
Значения показателя точности, пределов повторяемости
и воспроизводимости измерений массовой доли кремния
при доверительной вероятности P = 0,95
В процентах
Диапазон измерений массовой доли кремния | Показатель точности  | Пределы (абсолютные значения) |
повторяемости r (n = 2) | воспроизводимости R |
От 0,0005 до 0,0010 включ. | 0,0002 | 0,0002 | 0,0003 |
Св. 0,0010 " 0,0020 " | 0,0006 | 0,0005 | 0,0008 |
" 0,0020 " 0,0050 " | 0,0007 | 0,0008 | 0,0010 |
8.2 Средства измерений, вспомогательные устройства, материалы, растворы
При выполнении измерений применяют следующие средства измерений и вспомогательные устройства:
- спектрофотометр или фотоколориметр со всеми принадлежностями, обеспечивающий проведение измерений при длине волны от 750 до 800 нм;
- установку для электролиза;
- электроды платиновые сетчатые по
ГОСТ 6563;
- pH-метр;
- стекло часовое;
- весы лабораторные специального класса точности по
ГОСТ 24104;
- колбы мерные 2-50-2, 2-100-2, 2-1000-2 по
ГОСТ 1770;
При выполнении измерений применяют следующие материалы и растворы:
- кислоту азотную особой чистоты по
ГОСТ 11125, разбавленную 2:1, 1:1;
- кислоту серную по
ГОСТ 4204, разбавленную 1:1;
- кислоту лимонную по
ГОСТ 3652, раствор массовой концентрации 500 г/дм
3;
- аммоний молибденовокислый по
ГОСТ 3765, дважды перекристаллизованный; раствор массовой концентрации 100 г/дм
3, содержащий 25 см
3 аммиака в 500 см
3;
- олово двухлористое по
[8], раствор массовой концентрации 10 г/дм
3 в соляной кислоте, разбавленной 1:1;
- кремния (IV) оксид по
ГОСТ 9428, прокаленный при 1000 °C до постоянной массы;
- бумагу индикаторную универсальную по
[9].
Примечания
1 Допускается применение других средств измерений утвержденных типов, вспомогательных устройств и материалов, технические и метрологические характеристики которых не уступают указанным выше.
2 Допускается использование реактивов, изготовленных по другим нормативным документам, при условии обеспечения ими метрологических характеристик результатов измерений, приведенных в настоящем стандарте.
8.3 Метод измерений
Метод основан на измерении оптической плотности при длине волны от 750 до 800 нм окрашенного синего комплекса кремния с молибденовокислым аммонием.
8.4 Подготовка к выполнению измерений
8.4.1 Приготовление растворов для построения градуировочного графика
При приготовлении раствора А массовой концентрации кремния 0,04 мг/см3 навеску диоксида кремния массой 0,0856 г помещают в платиновый тигель и сплавляют с 1,0 г углекислого натрия при температуре от 900 °C до 1000 °C. Сплав выщелачивают горячей водой, охлаждают, помещают в мерную колбу вместимостью 1000 см3, доливают водой до метки и перемешивают.
При приготовлении раствора Б массовой концентрации кремния 0,004 мг/см3 аликвоту 10 см3 раствора А помещают в мерную колбу вместимостью 100 см3 и доливают водой до метки. Раствор готовят перед применением, хранят в посуде из полиэтилена.
8.4.2 Построение градуировочного графика
В шесть мерных колб вместимостью 50 см3 каждая помещают 0,0; 0,5; 1,0; 2,0; 5,0 и 10 см3 раствора Б, что соответствует 0,0; 0,002; 0,004; 0,008; 0,020 и 0,040 мг кремния. В каждую колбу приливают от 15 до 20 см3 воды и нейтрализуют аммиаком или азотной кислотой до pH от 1,2 до 1,4 (по индикаторной бумаге или на pH-метре). Затем приливают 2 см3 раствора лимонной кислоты и дают растворам постоять еще 5 мин. После этого в колбы приливают по 5 см3 раствора молибденовокислого аммония, по 0,2 см3 раствора двухлористого олова, доливают водой до метки и перемешивают.
Измеряют оптическую плотность раствора на спектрофотометре или фотоколориметре при длине волны от 750 до 800 нм в кювете с оптимальной толщиной слоя. Раствором сравнения служит раствор холостого опыта.
По полученным значениям оптической плотности и соответствующим им концентрациям кремния строят градуировочный график.
8.5 Выполнение измерений
8.5.1 Навеску меди массой 2,0000 г (при массовой доле кремния до 0,002%) или 0,5000 г (при массовой доле кремния свыше 0,002%) помещают в стакан вместимостью 250 см3, приливают 20 см3 азотной кислоты, разбавленной 1:1, и 5 см3 серной кислоты, разбавленной 1:1, накрывают стакан стеклом и оставляют без нагревания до прекращения выделения оксидов азота. Стекло снимают, обмывают его водой над стаканом и нагревают раствор до растворения навески. Затем приливают от 150 до 180 см3 воды, нагревают раствор до температуры 40 °C, погружают в раствор сетчатые платиновые электроды и проводят электролиз в течение 2 - 2,5 ч при плотности тока от 2 до 3 А/дм2, напряжении от 2,2 до 2,5 В при перемешивании.
Когда раствор обесцветится, электроды вынимают, промывают водой, а электролит упаривают до объема от 10 до 15 см3. Охлаждают, добавляют воду до объема 20 см3 и нейтрализуют аммиаком или азотной кислотой, разбавленной 2:1, до значения pH от 1,2 до 1,4 (по индикаторной бумаге или на pH-метре). Приливают 2 см3 лимонной кислоты и дают постоять 5 мин. Раствор переводят в мерную колбу вместимостью 50 см3, приливают 5 см3 раствора молибденовокислого аммония, 0,2 см3 раствора двухлористого олова, доливают водой до метки и перемешивают.
Измеряют оптическую плотность раствора на спектрофотометре или фотоколориметре при длине волны от 750 до 800 нм в кювете с оптимальной толщиной слоя. Раствором сравнения служит раствор холостого опыта.
Выполнение измерений осуществляют в соответствии с инструкцией по эксплуатации спектрофотометра или фотоколориметра, массу кремния в миллиграммах устанавливают по градуировочному графику.
8.6 Обработка результатов измерений
8.6.1 Массовую долю кремния X, %, вычисляют по формуле

(5)
где m1 - масса кремния, найденная по градуировочному графику, мг;
m - масса навески меди, г.
8.6.2 За результат измерений принимают среднеарифметическое значение двух параллельных определений при условии, что абсолютная разность между ними в условиях повторяемости не превышает значений (при доверительной вероятности
P = 0,95) предела повторяемости
r, приведенных в
таблице 7.
Если расхождение между наибольшим и наименьшим результатами параллельных определений превышает значение предела повторяемости, выполняют процедуры, изложенные в ГОСТ ИСО 5725-6 (подпункт 5.2.2.1).
8.6.3 Расхождения между результатами измерений, полученными в двух лабораториях, не должны превышать значений предела воспроизводимости, приведенных в
таблице 7. В этом случае за окончательный результат может быть принято их среднеарифметическое значение. При невыполнении этого условия могут быть использованы процедуры, изложенные в ГОСТ ИСО 5725-6 (пункт 5.3.3).
9. Экстракционно-фотометрический метод
измерений массовой доли никеля
9.1 Характеристики показателей точности измерений
Показатели точности измерений массовой доли никеля соответствуют характеристикам, приведенным в таблице 8 (при P = 0,95).
Значения пределов повторяемости и воспроизводимости измерений при доверительной вероятности P = 0,95 приведены в таблице 8.
Таблица 8
Значения показателя точности, пределов повторяемости
и воспроизводимости измерений массовой доли никеля
при доверительной вероятности P = 0,95
В процентах
Диапазон измерений массовой доли никеля | Показатель точности  | Пределы (абсолютные значения) |
повторяемости r (n = 2) | воспроизводимости R |
От 0,00010 до 0,00020 включ. | 0,00006 | 0,00007 | 0,00009 |
Св. 0,0002 " 0,0005 " | 0,0001 | 0,0001 | 0,0002 |
" 0,0005 " 0,0010 " | 0,0002 | 0,0002 | 0,0003 |
" 0,0010 " 0,0020 " | 0,0004 | 0,0004 | 0,0006 |
" 0,0020 " 0,0050 " | 0,0007 | 0,0008 | 0,0010 |
9.2 Средства измерений, вспомогательные устройства, материалы, растворы
При выполнении измерений применяют следующие средства измерений и вспомогательные устройства:
- спектрофотометр или фотоколориметр со всеми принадлежностями, обеспечивающий проведение измерений при длине волны от 520 до 540 нм;
- установку для электролиза;
- плиту нагревательную по
[1], обеспечивающую температуру нагрева до 400 °C или аналогичную;
- электроды платиновые сетчатые по
ГОСТ 6563;
- весы лабораторные специального класса точности по
ГОСТ 24104;
- колбы мерные 2-50-2, 2-100-2, 2-1000-2 по
ГОСТ 1770;
- колбы конические Кн-2-1000-29/32 ТХС по
ГОСТ 25336;
- воронки делительные ВД-1-50 ХС, ВД-1-100 ХС по
ГОСТ 25336;
При выполнении измерений применяют следующие материалы и растворы:
- кислоту серную по
ГОСТ 4204, разбавленную 1:1;
- кислоту соляную по
ГОСТ 3118 и раствор массовой концентрации 0,5 моль/дм
3;
- аммиак водный по
ГОСТ 3760, разбавленный 2:98;
- натрия гидроокись по
ГОСТ 4328, раствор молярной концентрации 40 моль/дм
3;
- диметилглиоксим по
ГОСТ 5828, раствор массовой концентрации 10 г/дм
3 в этиловом спирте и такой же в растворе гидроокиси натрия;
- спирт этиловый ректификованный технический по
ГОСТ 18300;
- аммоний надсернокислый по
ГОСТ 20478, раствор массовой концентрации 100 г/дм
3;
- гидроксиламина гидрохлорид по
ГОСТ 5456, раствор массовой концентрации 100 г/дм
3;
- натрий лимоннокислый трехзамещенный по
ГОСТ 22280, раствор массовой концентрации 100 г/дм
3;
- триэтаноламин по
[10], раствор массовой концентрации 100 г/дм
3;
- калий-натрий виннокислый по
ГОСТ 5845, раствор массовой концентрации 100 г/дм
3;
- аммоний хлористый по
ГОСТ 3773, раствор массовой концентрации 60 г/дм
3;
- соль динатриевую этилендиамин-N,N,N',N'-тетрауксусной кислоты, 2-водную (трилон Б) по
ГОСТ 10652, раствор молярной концентрации 0,05 моль/дм
3;
- фенолфталеин по
[11], раствор массовой концентрации 0,10 г/дм
3 в этиловом спирте;
| | ИС МЕГАНОРМ: примечание. ГОСТ 4465-74 утратил силу с 1 января 2018 года в связи с введением в действие ГОСТ 4465-2016 (Приказ Росстандарта от 16.03.2017 N 143-ст). | |
- никель (II) сернокислый по ГОСТ 4465.
Примечания
1 Допускается применение других средств измерений утвержденных типов, вспомогательных устройств и материалов, технические и метрологические характеристики которых не уступают указанным выше.
2 Допускается использование реактивов, изготовленных по другим нормативным документам при условии обеспечения ими метрологических характеристик результатов измерений, приведенных в настоящем стандарте.
9.3 Метод измерений
Метод основан на измерении оптической плотности окрашенного комплексного соединения никеля с диметилглиоксимом при длине волны от 520 до 540 нм. Медь предварительно отделяют электролизом.
9.4 Подготовка к выполнению измерений
9.4.1 Приготовление растворов для построения градуировочного графика
При приготовлении раствора А массовой концентрации никеля 0,1 мг/см3 навеску металлического никеля массой 0,1000 г помещают в коническую колбу вместимостью 1000 см3, приливают от 5 до 10 см3 соляной кислоты с добавлением 2 - 3 см3 пероксида водорода. После растворения навески раствор охлаждают и приливают от 5 до 7 см3 серной кислоты, разбавленной 1:1, раствор выпаривают до появления густых белых паров серной кислоты. Раствор охлаждают, приливают от 100 до 120 см3 воды, нагревают до растворения солей и снова охлаждают. Помещают раствор в мерную колбу вместимостью 1000 см3, доливают водой до метки и перемешивают.
Такой же раствор может быть приготовлен из сернокислого никеля: навеску соли массой 0,4784 г помещают в мерную колбу вместимостью 1000 см3, приливают от 100 до 200 см3 воды, 1 см3 серной кислоты, перемешивают до растворения навески, доливают водой до метки и перемешивают.
При приготовлении раствора Б массовой концентрации никеля 0,01 мг/см3 аликвоту 10 см3 раствора А помещают в мерную колбу вместимостью 100 см3, приливают 1 см3 серной кислоты, разбавленной 1:1, доливают водой до метки и перемешивают.
При приготовлении раствора В массовой концентрации никеля 0,002 мг/см3 аликвоту 10 см3 раствора Б помещают в мерную колбу вместимостью 50 см3, приливают 0,5 см3 серной кислоты, разбавленной 1:1, доливают водой до метки и перемешивают.
9.4.2 При приготовлении смеси кислот для растворения смешивают 500 см3 серной кислоты с 1250 см3 воды, после охлаждения добавляют 350 см3 азотной кислоты и перемешивают.
9.4.3 Построение градуировочного графика
В шесть мерных колб вместимостью 50 см3 каждая помещают 0,0; 1,0; 2,0; 3,0; 4,0 и 6,0 см3 раствора В, что соответствует 0,0; 0,002; 0,004; 0,006; 0,008 и 0,012 мг никеля. В каждую колбу приливают воду до объема 10 см3, затем последовательно приливают 2 см3 раствора виннокислого калия-натрия, 5 см3 раствора гидроокиси натрия, 5 см3 раствора диметилглиоксима в растворе гидроокиси натрия и после прибавления каждого реактива перемешивают. Через 5 - 7 мин приливают 5 см3 раствора трилона Б и 5 см3 раствора хлористого аммония, доливают водой до метки и перемешивают.
Измеряют оптическую плотность раствора через 7 - 10 мин на спектрофотометре или фотоколориметре при длине волны от 520 до 540 нм в кювете с оптимальной толщиной слоя. Раствором сравнения служит вода.
По полученным значениям оптической плотности и соответствующим им концентрациям никеля строят градуировочный график.
9.5 Выполнение измерений
9.5.1 Навеску меди массой 2,0000 г помещают в мерный стакан вместимостью 400 см3, приливают от 20 до 25 см3 смеси кислот для растворения и нагревают до растворения навески и удаления оксидов азота. Раствор охлаждают, приливают от 150 до 160 см3 воды, помещают в стакан сетчатые платиновые электроды и проводят электролиз при силе тока от 2 до 2,5 А и напряжении от 2 до 2,5 В. По окончании электролиза электроды вынимают из раствора и промывают спиртом (из расчета 10 см3 спирта на одно определение), затем водой.
Электролит упаривают при нагревании до объема от 50 до 70 см3 и после охлаждения помещают в мерную колбу вместимостью 100 см3 и доливают до метки водой.
В зависимости от массовой доли никеля в меди отбирают аликвоту 5, 10, 20 см3. Помещают ее в делительную воронку вместимостью 100 см3, разбавляют водой до объема 50 см3 и приливают 1 см3 раствора триэтаноламина, 5 см3 раствора лимоннокислого натрия, 2 см3 раствора солянокислого гидроксиламина и перемешивают раствор. Затем приливают 2 - 3 капли раствора фенолфталеина и нейтрализуют аммиаком до появления розовой окраски и затем еще 2 - 3 капли аммиака.
В делительную воронку приливают 10 см3 спиртового раствора диметилглиоксима, через 2 - 3 мин 10 см3 хлороформа и экстрагируют в течение 1 мин. Органический слой сливают в другую делительную воронку вместимостью 50 см3, а к водному слою приливают еще 5 см3 хлороформа и повторяют экстракцию. Экстракт присоединяют к первой порции, а водный слой отбрасывают.
К объединенным экстрактам добавляют 15 см3 аммиака, разбавленного 2:98, и экстрагируют в течение 1 мин. Водный слой отбрасывают, а к органическому слою приливают 15 см3 раствора аммиака и экстракцию повторяют. Водный слой снова отбрасывают.
Для извлечения никеля из хлороформного экстракта в делительную воронку приливают 15 см3 раствора соляной кислоты молярной концентрации 0,5 моль/дм3 и энергично встряхивают в течение 1 мин. Органический слой сливают в другую делительную воронку вместимостью 50 см3 и повторяют реэкстракцию с 15 см3 раствора соляной кислоты молярной концентрации 0,5 моль/дм3. Органический слой отбрасывают, а солянокислый сливают в стакан вместимостью 100 см3 и выпаривают до сухих солей.
К сухому остатку приливают от 1 до 2 см3 смеси азотной и соляной кислот (1:3) и снова выпаривают до густых солей. Затем добавляют 1 см3 соляной кислоты и выпаривают досуха. К сухому остатку приливают от 0,5 до 1 см3 соляной кислоты молярной концентрации 0,5 моль/дм3, приливают от 8 до 10 см3 воды и переносят раствор в мерную колбу вместимостью 50 см3.
К раствору в колбе приливают последовательно, перемешивая после добавления каждого реактива, по 2 см
3 раствора виннокислого калия-натрия, 5 см
3 раствора надсернокислого аммония и далее продолжают измерение, как описано в
9.4.3.
Выполнение измерений осуществляют в соответствии с инструкцией по эксплуатации спектрофотометра или фотоколориметра, массу никеля в миллиграммах устанавливают по градуировочному графику.
9.6 Обработка результатов измерений
9.6.1 Массовую долю никеля X, %, вычисляют по формуле

(6)
где m1 - масса никеля, найденная по градуировочному графику, мг;
m2 - масса никеля, полученная по результатам холостого опыта, мг;
m - масса навески меди, г.
9.6.2 За результат измерений принимают среднеарифметическое значение двух параллельных определений при условии, что абсолютная разность между ними в условиях повторяемости не превышает значений (при доверительной вероятности
P = 0,95) предела повторяемости
r, приведенных в
таблице 8.
Если расхождение между наибольшим и наименьшим результатами параллельных определений превышает значение предела повторяемости, выполняют процедуры, изложенные в ГОСТ ИСО 5725-6 (подпункт 5.2.2.1).
9.6.3 Расхождения между результатами измерений, полученными в двух лабораториях, не должны превышать значений предела воспроизводимости, приведенных в
таблице 8. В этом случае за окончательный результат может быть принято их среднеарифметическое значение. При невыполнении этого условия могут быть использованы процедуры, изложенные в ГОСТ ИСО 5725-6 (пункт 5.3.3).
10. Спектрофотометрический метод
измерений массовой доли селена
10.1 Характеристики показателей точности измерений
Показатели точности измерений массовой доли селена соответствуют характеристикам, приведенным в таблице 9 (при P = 0,95).
Значения пределов повторяемости и воспроизводимости измерений при доверительной вероятности P = 0,95 приведены в таблице 9.
Таблица 9
Значения показателя точности, пределов повторяемости
и воспроизводимости измерений массовой доли селена
при доверительной вероятности P = 0,95
В процентах
Диапазон измерений массовой доли селена | Показатель точности  | Пределы (абсолютные значения) |
повторяемости r (n = 2) | воспроизводимости R |
От 0,00010 до 0,00020 включ. | 0,00006 | 0,00005 | 0,00007 |
Св. 0,0002 " 0,0005 " | 0,0001 | 0,0001 | 0,0002 |
" 0,0005 " 0,0010 " | 0,0002 | 0,0002 | 0,0003 |
" 0,0010 " 0,0020 " | 0,0004 | 0,0003 | 0,0005 |
" 0,0020 " 0,0040 " | 0,0005 | 0,0004 | 0,0007 |
" 0,0040 " 0,0100 " | 0,0007 | 0,0008 | 0,0010 |
10.2 Средства измерений, вспомогательные устройства, материалы, растворы
При выполнении измерений применяют следующие средства измерений и вспомогательные устройства:
- спектрофотометр или фотоколориметр со всеми принадлежностями, обеспечивающий проведение измерений при длине волны 335 нм;
- плиту нагревательную по
[1], обеспечивающую температуру нагрева до 400 °C, или аналогичную;
- баню водяную;
- стекло часовое;
- весы лабораторные специального класса точности по
ГОСТ 24104;
- колбы мерные 2-100-2, 2-500-2 по
ГОСТ 1770;
- колбы конические Кн-2-100 ТХС, Кн-2-250 ТХС по
ГОСТ 25336;
При выполнении измерений применяют следующие материалы и растворы:
- кислоту серную по
ГОСТ 4204, разбавленную 1:1;
- кислоту азотную по
ГОСТ 4461, разбавленную 1:1;
- соль динатриевую этилендиамин-N,N,N',N'-тетрауксусной кислоты 2-водную (трилон Б) по
ГОСТ 10652, раствор молярной концентрации 0,1 моль/дм
3;
- орто-фенилендиамин солянокислый по
[12], раствор массовой концентрации 10 г/дм
3 (использовать свежеприготовленным). Допускается использование реактива квалификации ниже ч.д.а.;
- бумагу индикаторную универсальную по
[9].
Примечания
1 Допускается применение других средств измерений утвержденных типов, вспомогательных устройств и материалов, технические и метрологические характеристики которых не уступают указанным выше.
2 Допускается использование реактивов, изготовленных по другим нормативным документам при условии обеспечения ими метрологических характеристик результатов измерений, приведенных в настоящем стандарте.
10.3 Метод измерений
Метод основан на измерении оптической плотности комплексного соединения селена с орто-фенилендиамином, экстрагируемого бензолом или толуолом. Мешающее влияние меди устраняют прибавлением избытка реагента, железа - фосфорной кислотой, висмута - трилоном Б.
10.4 Подготовка к выполнению измерений
10.4.1 Приготовление растворов для построения градуировочного графика
При приготовлении раствора А массовой концентрации селена 0,1 мг/см3 навеску селена массой 0,0500 г помещают в стакан вместимостью 100 см3, приливают от 7 до 10 см3 азотной кислоты, растворяют селен при нагревании на водяной бане, приливают 10 см3 соляной кислоты. К раствору приливают от 15 до 20 см3 воды, охлаждают и переносят в мерную колбу вместимостью 500 см3, приливают от 15 до 20 см3 соляной кислоты, доливают водой до метки и перемешивают.
При приготовлении раствора Б массовой концентрации селена 0,001 мг/см3 аликвоту 5 см3 раствора А помещают в мерную колбу вместимостью 500 см3, приливают 5 см3 соляной кислоты, доливают водой до метки и перемешивают.
10.4.2 Построение градуировочного графика
В девять конических колб вместимостью 100 см3 каждая помещают 0,0; 0,5; 1,0; 2,0; 3,0; 5,0; 7,0; 10,0 и 15,0 см3 раствора Б, что соответствует 0; 0,0005; 0,0010; 0,0020; 0,0030; 0,0050; 0,0070; 0,0100 и 0,0150 мг селена. Растворы разбавляют водой до объема от 30 до 35 см3, приливают 1 см3 муравьиной кислоты, 5 см3 ортофосфорной кислоты, 0,5 см3 раствора трилона Б и затем по каплям аммиак до pH 1 (по универсальной индикаторной бумаге). После этого приливают 3 см3 раствора орто-фенилендиамина и оставляют на 20 - 25 мин.
Полученный раствор помещают в делительную воронку вместимостью 100 см3, приливают из бюретки 5 см3 бензола или толуола и экстрагируют в течение 2 мин. Экстракт сливают в сухой стакан и измеряют его оптическую плотность на спектрофотометре при длине волны 335 нм в кювете с толщиной слоя 10 мм.
Раствором сравнения служит бензол (толуол).
По полученным значениям оптических плотностей и соответствующим им концентрациям селена строят градуировочный график.
10.5 Выполнение измерений
Две навески меди массой от 1,0000 до 2,0000 г в соответствии с таблицей 10 помещают в стаканы вместимостью 250 см3. В один стакан вводят добавку раствора селена с массовой концентрацией 0,1 мг/см3, объем которого выбирают таким образом, чтобы аналитический сигнал компонента увеличился от 2 до 3 раз по сравнению с данным аналитическим сигналом в отсутствие добавки.
Массовая доля селена, % | Масса навески, г | Объем серной кислоты, см3 | Вместимость мерной колбы, см3 | Объем аликвоты раствора, см3 |
До 0,001 включительно | 1,0000 | 10 | - | Весь раствор |
Св. 0,001 | 2,0000 | 20 | 100 | 10 - 20 |
В стаканы приливают от 20 до 25 см3 азотной кислоты, разбавленной 1:1, и оставляют без нагревания на 5 - 10 мин. Затем раствор нагревают и выпаривают до объема от 4 до 5 см3. Охлаждают, приливают от 10 до 20 см3 серной кислоты, разбавленной 1:1, и нагревают до выделения паров серной кислоты. Раствор охлаждают, приливают от 5 до 10 см3 воды и снова выпаривают до появления паров кислоты. После охлаждения приливают от 20 до 40 см3 воды, накрывают стакан стеклом и нагревают до кипения. Раствор охлаждают и в зависимости от взятой навески помещают его в коническую или мерную колбу вместимостью 100 см3. Раствор в мерной колбе разбавляют водой до метки и перемешивают.
Весь раствор или аликвоту раствора в соответствии с
таблицей 10 объемом от 10 до 20 см
3 переносят в коническую колбу вместимостью 100 см
3, разбавляют водой так, чтобы конечный объем не превышал 30 - 35 см
3, приливают 1 см
3 муравьиной кислоты, 5 см
3 ортофосфорной кислоты, 0,5 см
3 раствора трилона Б, затем по каплям аммиак до pH 1, 3 см
3 орто-фенилендиамина и оставляют на 20 - 25 мин. Затем раствор переливают в делительную воронку, приливают из бюретки 5 см
3 бензола или толуола и экстрагируют в течение 2 мин. Экстракт сливают в сухой стакан и измеряют оптическую плотность на спектрофотометре при длине волны 335 нм в кювете с толщиной слоя 10 мм. Раствором сравнения служит бензол (толуол).
Выполнение измерений осуществляют в соответствии с инструкцией по эксплуатации спектрофотометра или фотоколориметра, массу селена в миллиграммах устанавливают по градуировочному графику.
10.6 Обработка результатов измерений
10.6.1 Массовую долю селена X, %, вычисляют по формуле

(7)
где m1 - масса селена, найденная по градуировочному графику, мг;
V - вместимость мерной колбы, см3;
V1 - объем аликвоты раствора, см3;
m - масса навески меди, г.
10.6.2 За результат измерений принимают среднеарифметическое значение двух параллельных определений при условии, что абсолютная разность между ними в условиях повторяемости не превышает значений (при доверительной вероятности
P = 0,95) предела повторяемости
r, приведенных в
таблице 9.
Если расхождение между наибольшим и наименьшим результатами параллельных определений превышает значение предела повторяемости, выполняют процедуры, изложенные в ГОСТ ИСО 5725-6 (подпункт 5.2.2.1).
10.6.3 Расхождения между результатами измерений, полученными в двух лабораториях, не должны превышать значений предела воспроизводимости, приведенных в
таблице 9. В этом случае за окончательный результат может быть принято их среднеарифметическое значение. При невыполнении этого условия могут быть использованы процедуры, изложенные в ГОСТ ИСО 5725-6 (пункт 5.3.3).
11. Экстракционно-фотометрический метод
измерений массовой доли сурьмы
11.1 Характеристики показателей точности измерений
Показатели точности измерений массовой доли сурьмы соответствуют характеристикам, приведенным в таблице 11 (при P = 0,95).
Значения пределов повторяемости и воспроизводимости измерений при доверительной вероятности P = 0,95 приведены в таблице 11.
Таблица 11
Значения показателя точности, пределов повторяемости
и воспроизводимости измерений массовой доли сурьмы
при доверительной вероятности P = 0,95
В процентах
Диапазон измерений массовой доли сурьмы | Показатель точности  | Пределы (абсолютные значения) |
повторяемости r (n = 2) | воспроизводимости R |
От 0,0003 до 0,0005 включ. | 0,0001 | 0,0001 | 0,0002 |
Св. 0,0005 " 0,0010 " | 0,0002 | 0,0002 | 0,0003 |
" 0,0010 " 0,0030 " | 0,0004 | 0,0004 | 0,0006 |
" 0,003 " 0,010 " | 0,001 | 0,001 | 0,002 |
11.2 Средства измерений, вспомогательные устройства, материалы, растворы
При выполнении измерений применяют следующие средства измерений и вспомогательные устройства:
- спектрофотометр или фотоколориметр со всеми принадлежностями, обеспечивающий проведение измерений при длине волны 590 нм;
- плиту нагревательную по
[1], обеспечивающую температуру нагрева до 400 °C, или аналогичную;
- стекло часовое;
- весы лабораторные специального класса точности по
ГОСТ 24104;
- колбы мерные 2-50-2, 2-100-2, 2-1000-2 по
ГОСТ 1770;
- воронки для фильтрования лабораторные по
ГОСТ 25336;
При выполнении измерений применяют следующие материалы и растворы:
- кислоту азотную по
ГОСТ 4461, разбавленную 3:97;
- кислоту соляную по
ГОСТ 3118, разбавленную 3:1, 7:3;
- кислоту серную по
ГОСТ 4204 и разбавленную 1:10;
- аммоний азотнокислый по
ГОСТ 22867, раствор массовой концентрации 150 г/дм
3;
- индикатор бриллиантовый зеленый
[13], водно-спиртовой раствор массовой концентрации 5 г/дм
3;
- порошок железный по
ГОСТ 9849, раствор массовой концентрации 15 г/дм
3 в соляной кислоте, разбавленной 1:10;
- натрий азотистокислый по
ГОСТ 4197, раствор массовой концентрации 100 г/дм
3;
- олово двухлористое по
[8], раствор массовой концентрации 100 г/дм
3 в соляной кислоте, разбавленной 1:1;
- спирт этиловый ректификованный технический по
ГОСТ 18300;
- фильтры обеззоленные по
[3] или аналогичные;
Примечания
1 Допускается применение других средств измерений утвержденных типов, вспомогательных устройств и материалов, технические и метрологические характеристики которых не уступают указанным выше.
2 Допускается использование реактивов, изготовленных по другим нормативным документам при условии обеспечения ими метрологических характеристик результатов измерений, приведенных в настоящем стандарте.
11.3 Метод измерений
Метод основан на измерении оптической плотности при длине волны 590 нм окрашенного хлоридного комплекса сурьмы (V) с бриллиантовым зеленым после отделения сурьмы соосаждением с метаоловянной кислотой, окислении сурьмы (III) азотистокислым натрием и экстракции комплекса толуолом (бензолом).
11.4 Подготовка к выполнению измерений
11.4.1 Приготовление растворов для построения градуировочного графика
При приготовлении раствора А массовой концентрации сурьмы 0,1 мг/см3 навеску сурьмы массой 0,1000 г помещают в коническую колбу вместимостью 250 см3, приливают 20 см3 серной кислоты, разбавленной 1:10, и нагревают до растворения навески. После охлаждения раствор помещают в мерную колбу вместимостью 1000 см3, снабженную дефлегматором. Приливают 200 см3 соляной кислоты, разбавленной 7:3, и нагревают до растворения навески. После охлаждения раствор упаривают до объема от 5 до 10 см3, помещают в мерную колбу вместимостью 1000 см3 и доливают до метки серной кислотой, разбавленной 1:10.
При приготовлении раствора Б массовой концентрации сурьмы 0,01 мг/см3 аликвоту 10 см3 раствора А помещают в мерную колбу вместимостью 100 см3 и доливают до метки серной кислотой, разбавленной 1:10. Раствор используют свежеприготовленным.
При приготовлении раствора В массовой концентрации сурьмы 0,002 мг/см3 аликвоту 20 см3 раствора А помещают в мерную колбу вместимостью 100 см3 и доливают до метки серной кислотой, разбавленной 1:10. Раствор используют свежеприготовленным.
11.4.2 При приготовлении водно-спиртового раствора бриллиантового зеленого индикатора массовой концентрации 5 г/дм3 0,5 г индикатора растворяют в 100 см3 смеси спирта с водой в соотношении 1:3.
11.4.3 При приготовлении насыщенного раствора карбамида 50 г карбамида растворяют при нагревании в 50 см3 воды, затем раствор фильтруют.
Раствор применяют свежеприготовленным.
11.4.4 Построение градуировочного графика
В семь стаканов из восьми вместимостью 50 см3 каждый помещают 1,0; 2,0; 3,0; 4,0 и 5,0 см3 раствора В и 2,0 и 3,0 см3 раствора Б, что соответствует 0,002; 0,004; 0,006; 0,008; 0,010; 0,020; 0,030 мг сурьмы. Растворы выпаривают до влажных солей, охлаждают, приливают 10 см3 соляной кислоты, разбавленной 3:1, нагревают до растворения солей, охлаждают, приливают три капли раствора хлорного железа, раствор двухлористого олова до восстановления железа, 1 см3 раствора азотистокислого натрия и оставляют на 5 мин. Обмывают стенки стакана водой и приливают 1 см3 раствора карбамида. Переносят растворы в делительные воронки вместимостью 100 см3, доливают водой до объема 75 см3, приливают от 1 до 2 см3 раствора бриллиантового зеленого, 10 см3 толуола или бензола и экстрагируют в течение 1 мин. Толуольный (бензольный) слой отделяют и через 15 - 20 мин измеряют оптическую плотность экстракта на спектрофотометре или фотоколориметре при длине волны 590 нм в кювете с толщиной слоя 10 мм. Раствором сравнения служит толуол (бензол).
По полученным значениям оптических плотностей и соответствующим им концентрациям сурьмы строят градуировочной график.
11.5 Выполнение измерений
Навеску меди массой 2,0000 г помещают в стакан (коническую колбу) вместимостью 250 см3, добавляют от 0,01 до 0,02 г олова, приливают от 20 до 25 см3 азотной кислоты, накрывают стакан или колбу стеклом и нагревают до растворения навески. Стекло снимают, обмывают водой над стаканом (колбой) и упаривают раствор до объема от 5 до 7 см3. Затем приливают от 100 до 120 см3 горячей воды, от 20 до 25 см3 раствора азотнокислого аммония, добавляют немного фильтробумажной массы и кипятят от 10 до 20 мин. Оставляют раствор с осадком в теплом месте плиты от 2 до 2,5 ч.
После этого фильтруют раствор через фильтр, в конус которого вложено немного фильтробумажной массы. Колбу и фильтр промывают от 10 до 15 раз горячей азотной кислотой, разбавленной 3:97.
Фильтр с осадком помещают в стакан или колбу, в которой проводили осаждение, приливают 20 см3 азотной кислоты и 10 см3 серной кислоты, разбавленной 1:10, накрывают покрывным стеклом и нагревают до удаления оксидов азота. Стекло снимают, обмывают его водой над стаканом (колбой) и выпаривают раствор до появления густых паров серной кислоты. Если в этот момент раствор темнеет, то добавляют азотнокислый аммоний до обесцвечивания раствора.
Охлаждают, помещают раствор в мерную колбу вместимостью 50 см3, доливают до метки серной кислотой, разбавленной 1:10, и перемешивают.
Отбирают аликвоту 25 см
3 и помещают ее в стакан вместимостью 50 см
3. Упаривают при нагревании до влажных солей, приливают 10 см
3 соляной кислоты, разбавленной 3:1, и нагревают до растворения солей. Далее продолжают, как указано в
11.4.4.
Выполнение измерений осуществляют в соответствии с инструкцией по эксплуатации спектрофотометра или фотоколориметра, массу сурьмы в миллиграммах устанавливают по градуировочному графику.
11.6 Обработка результатов измерений
11.6.1 Массовую долю сурьмы X, %, вычисляют по формуле

(8)
где m1 - масса сурьмы, найденная по градуировочному графику, мг;
V - вместимость мерной колбы, см3;
m - масса навески меди, г;
V1 - объем аликвоты раствора, см3.
11.6.2 За результат измерений принимают среднеарифметическое значение двух параллельных определений при условии, что абсолютная разность между ними в условиях повторяемости не превышает значений (при доверительной вероятности
P = 0,95) предела повторяемости
r, приведенных в
таблице 11.
Если расхождение между наибольшим и наименьшим результатами параллельных определений превышает значение предела повторяемости, выполняют процедуры, изложенные в ГОСТ ИСО 5725-6 (подпункт 5.2.2.1).
11.6.3 Расхождения между результатами измерений, полученными в двух лабораториях, не должны превышать значений предела воспроизводимости, приведенных в
таблице 11. В этом случае за окончательный результат может быть принято их среднеарифметическое значение. При невыполнении этого условия могут быть использованы процедуры, изложенные в ГОСТ ИСО 5725-6 (пункт 5.3.3).
12. Экстракционно-фотометрический метод
измерений массовой доли фосфора
12.1 Характеристики показателей точности измерений
Показатели точности измерений массовой доли фосфора соответствуют характеристикам, приведенным в таблице 12 (при P = 0,95).
Значения пределов повторяемости и воспроизводимости измерений при доверительной вероятности P = 0,95 приведены в таблице 12.
Таблица 12
Значения показателя точности, пределов повторяемости
и воспроизводимости измерений массовой доли фосфора
при доверительной вероятности P = 0,95
В процентах
Диапазон измерений массовой доли фосфора | Показатель точности  | Пределы (абсолютные значения) |
повторяемости r (n = 2) | воспроизводимости R |
От 0,00010 до 0,00030 включ. | 0,00007 | 0,00008 | 0,00010 |
Св. 0,0003 " 0,0006 " | 0,0002 | 0,0002 | 0,0003 |
" 0,0006 " 0,0012 " | 0,0004 | 0,0004 | 0,0005 |
" 0,0012 " 0,0030 " | 0,0006 | 0,0006 | 0,0008 |
" 0,003 " 0,006 " | 0,001 | 0,001 | 0,002 |
12.2 Средства измерений, вспомогательные устройства, материалы, растворы
При выполнении измерений применяют следующие средства измерений и вспомогательные устройства:
- спектрофотометр или фотоколориметр со всеми принадлежностями, обеспечивающий проведение измерений при длине волны от 620 до 630 нм или 720 нм;
- плиту нагревательную по
[1], обеспечивающую температуру нагрева до 400 °C, или аналогичную;
- весы лабораторные специального класса точности по
ГОСТ 24104;
- стаканы В-1-100 ТХС или Н-1-100 ТХС, В-1-250 ТХС по
ГОСТ 25336;
- колбы мерные 2-25-2, 2-100-2, 2-1000-2 по
ГОСТ 1770;
- воронки делительные ВД-1-50 ХС, ВД-1-100 ХС, ВД-1-150 ХС по
ГОСТ 25336;
- чашки из стеклоуглерода по
[14].
При выполнении измерений применяют следующие материалы и растворы:
- кислоту азотную по
ГОСТ 4461 или кислоту азотную особой чистоты по
ГОСТ 11125, разбавленную 2:1;
- кислоту соляную по
ГОСТ 3118 и разбавленную 1:9;
- кислоту серную по
ГОСТ 4204, раствор молярной концентрации 0,5 моль/дм
3;
- олово двухлористое по
[8], раствор массовой концентрации 100 г/дм
3 в глицерине, раствор массовой концентрации 40 г/дм
3 в соляной кислоте, разбавленной 1:9;
- калий марганцовокислый по
ГОСТ 20490, раствор массовой концентрации 50 г/дм
3;
- бутанол-1 по
ГОСТ 6006, перегнанный при температуре 118 °C;
- смесь для экстракции: 30 см3 бутанола-1 смешивают с 70 см3 хлороформа;
- натрий фосфорнокислый двузамещенный по
ГОСТ 11773, высушенный до постоянной массы при температуре от 102 °C до 105 °C;
- калий фосфорнокислый однозамещенный по
ГОСТ 4198, высушенный до постоянной массы при температуре от 102 °C до 105 °C;
- аммоний молибденовокислый по
ГОСТ 3765 (перекристаллизованный), раствор массовой концентрации 100 г/дм
3;
- смесь восстановительную;
- бумагу индикаторную универсальную по
[9].
Примечания
1 Допускается применение других средств измерений утвержденных типов, вспомогательных устройств и материалов, технические и метрологические характеристики которых не уступают указанным выше.
2 Допускается использование реактивов, изготовленных по другим нормативным документам при условии обеспечения ими метрологических характеристик результатов измерений, приведенных в настоящем стандарте.
12.3 Метод измерений
Метод основан на измерении оптической плотности при длине волны от 620 до 630 нм или 720 нм окрашенного комплексного соединения молибдофосфорной гетерополикислоты после избирательной экстракции смесью бутанола с хлороформом.
12.4 Подготовка к выполнению измерений
12.4.1 Приготовление растворов для построения градуировочного графика
При приготовлении раствора А массовой концентрации фосфора 0,1 мг/см3 навеску двузамещенного фосфорнокислого натрия массой 0,4580 г или однозамещенного фосфорнокислого калия массой 0,4393 г помещают в мерную колбу вместимостью 1000 см3, приливают от 100 до 150 см3 воды, доливают водой до метки и перемешивают.
При приготовлении раствора Б массовой концентрации фосфора 0,01 мг/см3 аликвоту 10 см3 раствора А помещают в мерную колбу вместимостью 100 см3, доливают водой до метки и перемешивают. Раствор готовят в день выполнения измерений.
12.4.2 При приготовлении восстановительной смеси смешивают 50 см3 свежеприготовленного раствора двухлористого олова в соляной кислоте и 450 см3 серной кислоты молярной концентрации 0,5 моль/дм3. Готовят перед применением.
12.4.3 Построение градуировочного графика
В семь делительных воронок вместимостью 50 см3 каждая помещают 0,0; 0,10; 0,20; 0,50; 1,00; 1,5 и 2,0 см3 раствора Б, что соответствует 0,0; 0,001; 0,002; 0,005; 0,010; 0,015 и 0,020 мг фосфора.
В каждую воронку приливают по 3 см3 соляной кислоты, по 7 см3 воды, по 5 см3 раствора молибденовокислого аммония и далее проводят экстракцию, как описано в 12.5.1.
По полученным значениям оптических плотностей и соответствующим им концентрациям фосфора строят градуировочный график.
12.5 Выполнение измерений
12.5.1 Две навески меди массой 1,0000 г помещают в чашки из стеклоуглерода или стаканы (конические колбы) вместимостью 100 см3. В одну чашку или стакан вводят добавку раствора фосфора массовой концентрации фосфора 0,1 мг/см3, объем которого выбирают таким образом, чтобы аналитический сигнал компонента увеличился от 2 до 3 раз по сравнению с данным аналитическим сигналом в отсутствие добавки. Приливают от 0,1 до 0,3 см3 раствора марганцовокислого калия и 10 см3 азотной кислоты, разбавленной 2:1. Нагревают до растворения навески и затем выпаривают до сухих солей. Остаток растворяют в 3 см3 соляной кислоты и 7 см3 воды. К полученному раствору добавляют 5 см3 раствора молибденовокислого аммония и выдерживают от 5 до 7 мин.
Затем переводят в делительную воронку вместимостью от 100 до 150 см3, добавляют 20 см3 смеси для экстракции и экстрагируют в течение 2 мин. После разделения слоев органическую фазу помещают в мерную колбу вместимостью 25 см3, приливают одну каплю раствора двухлористого олова, доливают до метки смесью для экстракции и перемешивают.
Измеряют оптическую плотность экстракта на спектрофотометре или фотоколориметре при длине волны от 620 до 630 нм в кювете с толщиной слоя 50 или 30 мм. Раствором сравнения служит смесь для экстракции.
Выполнение измерений осуществляют в соответствии с инструкцией по эксплуатации спектрофотометра или фотоколориметра, массу фосфора в миллиграммах устанавливают по градуировочному графику.
12.5.2 Навеску меди массой 1,0000 г помещают в стакан (коническую колбу) вместимостью 250 см3, приливают от 0,1 до 0,3 см3 марганцовокислого калия и 20 см3 смеси кислот для растворения. Нагревают до растворения навески. Охлаждают, приливают от 20 до 30 см3 воды, перемешивают. Помещают в делительную воронку вместимостью от 100 до 150 см3, разбавляют водой до объема 50 см3, нейтрализуют раствором аммиака до pH ~ 5 (по универсальной индикаторной бумаге), приливают 4 см3 прокипяченной азотной кислоты, 5 см3 раствора молибденовокислого аммония, перемешивают и выдерживают 10 мин.
Затем добавляют 10 см3 смеси для экстракции и экстрагируют 2 мин. После расслоения жидкостей органический слой сливают в другую делительную воронку вместимостью 100 см3, а к водному слою добавляют 10 см3 смеси для экстракции и повторяют экстракцию. Органический слой сливают в делительную воронку, в которой находился первый экстракт, а водный слой отбрасывают.
К объединенным экстрактам приливают 20 см3 восстановительной смеси и энергично встряхивают в течение 1 мин. После расслоения водный слой помещают в мерную колбу вместимостью 25 см3 и доливают водой до метки. Органический слой отбрасывают.
Через 5 мин измеряют оптическую плотность раствора на спектрофотометре при длине волны 720 нм в кювете с толщиной слоя 10 мм. Раствором сравнения служит раствор холостого опыта.
Выполнение измерений осуществляют в соответствии с инструкцией по эксплуатации спектрофотометра или фотоколориметра, массу фосфора в миллиграммах устанавливают по градуировочному графику.
12.6 Обработка результатов измерений
12.6.1 Массовую долю фосфора X, %, вычисляют по формуле

(9)
где m1 - масса фосфора, найденная по градуировочному графику, мг;
m - масса навески меди, г.
12.6.2 За результат измерений принимают среднеарифметическое значение двух параллельных определений при условии, что абсолютная разность между ними в условиях повторяемости не превышает значений (при доверительной вероятности
P = 0,95) предела повторяемости
r, приведенных в
таблице 12.
Если расхождение между наибольшим и наименьшим результатами параллельных определений превышает значение предела повторяемости, выполняют процедуры, изложенные в ГОСТ ИСО 5725-6 (подпункт 5.2.2.1).
12.6.3 Расхождения между результатами измерений, полученными в двух лабораториях, не должны превышать значений предела воспроизводимости, приведенных в
таблице 12. В этом случае за окончательный результат может быть принято их среднеарифметическое значение. При невыполнении этого условия могут быть использованы процедуры, изложенные в ГОСТ ИСО 5725-6 (пункт 5.3.3).
13 Массовую долю примесей в меди определяют параллельно в двух навесках. Одновременно с проведением измерений в тех же условиях проводят контрольный опыт для внесения соответствующей поправки в результаты измерений. При определении примесей в меди число параллельных определений при контрольном опыте должно соответствовать числу параллельных определений, указанному в методе измерений.
| Технические условия ТУ 4389-001-44330709-2008 | Плита нагревательная стеклокерамическая встраиваемая LOIP LH-304 |
| Фармакопейная статья ФС 42-2668-95 | Аскорбиновая кислота фармакопейная |
| Технические условия ТУ 264221-001-05015242-07 <1> | Фильтры обеззоленные (белая, красная, синяя ленты) |
| Технические условия ТУ 6-09-364-83 | Калий йоднокислый мета, чистый для анализа, ЧДА |
| Технические условия ТУ 6-09-07-1689-89 | 1-Нитрозо-2-нафтол. Технические условия |
| Технические условия ТУ 6-09-5359-87 | Квасцы железоаммонийные, ЧДА |
| Технические условия ТУ 6-09-01-756-86 | Титан треххлористый |
| Технические условия ТУ 6-09-5393-88 | Олово двухлористое |
| Технические условия ТУ 6-09-1181-89 | Бумага индикаторная универсальная для определения pH 1 - 10 и 7 - 14 |
| Технические условия ТУ 2423-61-05807977-2002 | Триэтаноламин |
| Технические условия ТУ 6-09-5360-88 | Фенолфталеин |
| Технические условия ТУ 6-09-05-0512-91 | Орто-фенилендиамин |
| Технические условия ТУ 6-09-01-4278-88 | Бриллиантовый зеленый, индикатор, ЧДА |
| Технические условия ТУ 48-20-117-92 | Посуда лабораторная из стеклоуглерода марки СУ-2000 |
--------------------------------
<1> Действуют только на территории Российской Федерации.