Главная // Актуальные документы // ГОСТ Р (Государственный стандарт)СПРАВКА
Источник публикации
М.: ФГБУ "РСТ", 2022
Примечание к документу
Документ
введен в действие с 01.04.2022.
Название документа
"ГОСТ Р 59626-2022. Национальный стандарт Российской Федерации. Дороги автомобильные общего пользования. Специальные вспомогательные сооружения и устройства для строительства мостов. Правила проектирования. Общие требования"
(утв. и введен в действие Приказом Росстандарта от 19.01.2022 N 26-ст)
"ГОСТ Р 59626-2022. Национальный стандарт Российской Федерации. Дороги автомобильные общего пользования. Специальные вспомогательные сооружения и устройства для строительства мостов. Правила проектирования. Общие требования"
(утв. и введен в действие Приказом Росстандарта от 19.01.2022 N 26-ст)
Утвержден и введен в действие
агентства по техническому
регулированию и метрологии
от 19 января 2022 г. N 26-ст
НАЦИОНАЛЬНЫЙ СТАНДАРТ РОССИЙСКОЙ ФЕДЕРАЦИИ
ДОРОГИ АВТОМОБИЛЬНЫЕ ОБЩЕГО ПОЛЬЗОВАНИЯ
СПЕЦИАЛЬНЫЕ ВСПОМОГАТЕЛЬНЫЕ СООРУЖЕНИЯ И УСТРОЙСТВА
ДЛЯ СТРОИТЕЛЬСТВА МОСТОВ
ПРАВИЛА ПРОЕКТИРОВАНИЯ.
ОБЩИЕ ТРЕБОВАНИЯ
Automobile roads of general use. Special auxiliary
structures and devices for the construction of bridges.
Design rules. General requirements
ГОСТ Р 59626-2022
Дата введения
1 апреля 2022 года
1 РАЗРАБОТАН Обществом с ограниченной ответственностью "Мастерская мостов" (ООО "Мастерская мостов"), Открытым акционерным обществом по проектированию строительства мостов "Институт Гипростроймост" (ОАО "Институт Гипростроймост")
2 ВНЕСЕН Техническим комитетом по стандартизации ТК 418 "Дорожное хозяйство"
3 УТВЕРЖДЕН И ВВЕДЕН В ДЕЙСТВИЕ
Приказом Федерального агентства по техническому регулированию и метрологии от 19 января 2022 г. N 26-ст
4 ВВЕДЕН ВПЕРВЫЕ
Правила применения настоящего стандарта установлены в статье 26 Федерального закона от 29 июня 2015 г. N 162-ФЗ "О стандартизации в Российской Федерации". Информация об изменениях к настоящему стандарту публикуется в ежегодном (по состоянию на 1 января текущего года) информационном указателе "Национальные стандарты", а официальный текст изменений и поправок - в ежемесячном информационном указателе "Национальные стандарты". В случае пересмотра (замены) или отмены настоящего стандарта соответствующее уведомление будет опубликовано в ближайшем выпуске ежемесячного информационного указателя "Национальные стандарты". Соответствующая информация, уведомление и тексты размещаются также в информационной системе общего пользования - на официальном сайте Федерального агентства по техническому регулированию и метрологии в сети Интернет (www.rst.gov.ru)
Настоящий стандарт распространяется на специальные вспомогательные сооружения и устройства, применяемые для строительства, реконструкции и капитального ремонта мостовых сооружений на автомобильных дорогах общего пользования, и устанавливает общие требования к правилам проектирования таких устройств.
В настоящем стандарте использованы нормативные ссылки на следующие документы:
ГОСТ 12.4.107 Система стандартов безопасности труда. Строительство. Канаты страховочные. Технические условия
ГОСТ 380 Сталь углеродистая обыкновенного качества. Марки
ГОСТ 535 Прокат сортовой и фасонный из стали углеродистой обыкновенного качества. Общие технические условия
ГОСТ 1050 Металлопродукция из нелегированных конструкционных качественных и специальных сталей. Общие технические условия
ГОСТ 2695 Пиломатериалы лиственных пород. Технические условия
ГОСТ 2789 Шероховатость поверхности. Параметры и характеристики
ГОСТ 6564 Пиломатериалы и заготовки. Правила приемки, методы контроля, маркировка и транспортирование
ГОСТ 6713 Прокат низколегированный конструкционный для мостостроения. Технические условия
ГОСТ 7564 Прокат. Общие правила отбора проб, заготовок и образцов для механических и технологических испытаний
ГОСТ 7565 (ИСО 377-2-89) Чугун, сталь и сплавы. Метод отбора проб для определения химического состава
ГОСТ 7566 Металлопродукция. Правила приемки, маркировка, упаковка, транспортирование и хранение
ГОСТ 8509 Уголки стальные горячекатаные равнополочные. Сортамент
ГОСТ 8510 Уголки стальные горячекатаные неравнополочные. Сортамент
ГОСТ 8486 Пиломатериалы хвойных пород. Технические условия
ГОСТ 9238 Габариты железнодорожного подвижного состава и приближения строений
ГОСТ 9462 Лесоматериалы круглые лиственных пород. Технические условия
ГОСТ 9463 Лесоматериалы круглые хвойных пород. Технические условия
ГОСТ 13015 Изделия бетонные и железобетонные для строительства. Общие технические требования. Правила приемки, маркировки, транспортирования и хранения
ГОСТ 13580 Плиты железобетонные ленточных фундаментов. Технические условия
ГОСТ 14637 (ИСО 4995-78) Прокат толстолистовой из углеродистой стали обыкновенного качества. Технические условия
ГОСТ 15150 Машины, приборы и другие технические изделия. Исполнения для различных климатических районов. Категории, условия эксплуатации, хранения и транспортирования в части воздействия климатических факторов внешней среды
ГОСТ 16338 Полиэтилен низкого давления. Технические условия
ГОСТ 19041 Транспортные пакеты и блок-пакеты пилопродукции. Пакетирование, маркировка, транспортирование и хранение
ГОСТ 19281 Прокат повышенной прочности. Общие технические условия
ГОСТ 23118 Конструкции стальные строительные. Общие технические условия
ГОСТ 26633 Бетоны тяжелые и мелкозернистые. Технические условия
ГОСТ 27321 Леса стоечные приставные для строительно-монтажных работ. Технические условия
ГОСТ 27372 Люльки для строительно-монтажных работ. Технические условия
ГОСТ 27751 Надежность строительных конструкций и оснований. Основные положения
ГОСТ 27772 Прокат для стальных строительных конструкций. Общие технические условия
ГОСТ 32870 Дороги автомобильные общего пользования. Мастики битумные. Технические требования
ГОСТ 32960 Дороги автомобильные общего пользования. Нормативные нагрузки, расчетные схемы нагружения
ГОСТ 33179 Дороги автомобильные общего пользования. Изыскания мостов и путепроводов. Общие требования
ГОСТ 33272 Безопасность машин и оборудования. Порядок установления и продления назначенных ресурса, срока службы и срока хранения. Основные положения
ГОСТ 33384-2015 Дороги автомобильные общего пользования. Проектирование мостовых сооружений. Общие требования
ГОСТ 33390-2015 Дороги автомобильные общего пользования. Мосты. Нагрузки и воздействия
ГОСТ 33391 Дороги автомобильные общего пользования. Мостовые сооружения. Габариты приближения конструкций
ГОСТ 33558.1 (EN 12158-1:2000+A1:2010) Подъемники строительные грузовые вертикальные. Общие технические условия
ГОСТ Р 12.3.048-2002 Система стандартов безопасности труда. Строительство. Производство земляных работ способом гидромеханизации. Требования безопасности
ГОСТ Р 12.3.053 Система стандартов безопасности труда. Строительство. Ограждения предохранительные временные. Общие технические условия
ГОСТ Р 15.301 Система разработки и постановки продукции на производство. Продукция производственно-технического назначения. Порядок разработки и постановки продукции на производство
ГОСТ Р 21.101 Система проектной документации для строительства. Основные требования к проектной и рабочей документации
ГОСТ Р 27.403 Надежность в технике. Планы испытаний для контроля вероятности безотказной работы
ГОСТ Р 51248 Пути наземные рельсовые крановые. Общие технические требования
ГОСТ Р 52289 Технические средства организации дорожного движения. Правила применения дорожных знаков, разметки, светофоров, дорожных ограждений и направляющих устройств
ГОСТ Р 52748 Дороги автомобильные общего пользования. Нормативные нагрузки, расчетные схемы нагружения и габариты приближения
ГОСТ Р 53629 Шпунт и шпунт-сваи из стальных холодногнутых профилей. Технические условия
ГОСТ Р 53664 Болты высокопрочные цилиндрические и конические для мостостроения, гайки и шайбы к ним. Технические условия
ГОСТ Р 55374-2012 Прокат из стали конструкционной легированной для мостостроения. Общие технические условия
ГОСТ Р 57942 Шпунт композитный полимерный. Общие технические требования и методы испытаний
ГОСТ Р 57837 Двутавры стальные горячекатаные с параллельными гранями полок. Технические условия
ГОСТ Р 58752 Средства подмащивания. Общие технические условия
ГОСТ Р 58755 Подмости передвижные сборно-разборные. Технические условия
ГОСТ Р 58758 Площадки и лестницы для строительно-монтажных работ. Общие технические условия
СП 21.13330.2012 "СНиП 2.01.09-91 Здания и сооружения на подрабатываемых территориях и просадочных грунтах"
СП 25.13330.2012 "СНиП 2.02.04-88 Основания и фундаменты на вечномерзлых грунтах"
СП 38.13330.2018 "СНиП 2.06.04-82* Нагрузки и воздействия на гидротехнические сооружения (волновые, ледовые и от судов)"
СП 42.13330.2016 "СНиП 2.07.01-89* Градостроительство. Планировка и застройка городских и сельских поселений"
СП 49.13330.2010 "СНиП 12-03-2001 Безопасность труда в строительстве. Часть 1. Общие требования"
СП 63.13330.2018 "СНиП 52-01-2003 Бетонные и железобетонные конструкции. Основные положения"
СП 101.13330.2012 "СНиП 2.06.07-87 Подпорные стены, судоходные шлюзы, рыбопропускные и рыбозащитные сооружения"
СП 354.1325800.2017 "Фундаменты опор мостов в районах распространения многолетнемерзлых грунтов. Правила проектирования и строительства"
Примечание - При пользовании настоящим стандартом целесообразно проверить действие ссылочных стандартов (сводов правил) в информационной системе общего пользования - на официальном сайте Федерального агентства по техническому регулированию и метрологии в сети Интернет или по ежегодному информационному указателю "Национальные стандарты", который опубликован по состоянию на 1 января текущего года, и по выпускам ежемесячного информационного указателя "Национальные стандарты" за текущий год. Если заменен ссылочный документ, на который дана недатированная ссылка, то рекомендуется использовать действующую версию этого документа с учетом всех внесенных в данную версию изменений. Если заменен ссылочный документ, на который дана датированная ссылка, то рекомендуется использовать версию этого документа с указанным выше годом утверждения (принятия). Если после утверждения настоящего стандарта в ссылочный документ, на который дана датированная ссылка, внесено изменение, затрагивающее положение, на которое дана ссылка, то это положение рекомендуется применять без учета данного изменения. Если ссылочный документ отменен без замены, то положение, в котором дана ссылка на него, рекомендуется применять в части, не затрагивающей эту ссылку. Сведения о действии сводов правил целесообразно проверить в Федеральном информационном фонде стандартов.
3 Термины, определения и сокращения
3.1 Термины и определения
В настоящем стандарте применены следующие термины с соответствующими определениями:
3.1.1
мостовое сооружение: Инженерное сооружение, состоящее из опор и пролетных строений, предназначенное для пропуска через препятствие разных видов транспортных средств, пешеходов, водотоков, селей и коммуникаций различного назначения (мосты, путепроводы, пешеходные мосты, виадуки, эстакады, акведуки, селедуки); часто подменяется термином "мост". |
3.1.2 индивидуальные конструкции: Конструкции, изделия вспомогательных сооружений и устройств, разработанные для условий конкретных мостовых сооружений.
3.1.3 повторно применяемые конструкции: Конструкции, изделия вспомогательных сооружений и устройств, выведенные из первичной (предыдущей) эксплуатации, прошедшие подготовку к приемке и приемку.
3.1.4 инвентарные конструкции: Принадлежащие хозяйствующему субъекту конструкции вспомогательных сооружений и устройств из элементов заводской готовности, многократно используемые при строительстве мостовых сооружений, без внесения в них конструктивных изменений.
3.1.5 модифицированные конструкции: Конструкции, изделия вспомогательных сооружений и устройств, использованные на конкретных мостовых сооружениях в качестве индивидуальных, демонтированные, прошедшие подготовку к приемке и приемку.
3.1.6 устройства скольжения: Пути или устройства, предназначенные для передвижки по ним пролетного строения методом скольжения, в том числе с помощью антифрикционных прокладок.
3.1.7 пирс: Опорное сооружение, предназначенное для передвижки по нему и перестановки пролетных строений с него на плавучие или капитальные опоры.
3.1.8 плавсистема: Плавучее средство, состоящее из понтонов и/или барж, предназначенное для выполнения работ, размещения и перевозки строительных конструкций, оборудования, механизмов, машин и др.
3.1.9 накаточные пути: Пути или устройства, предназначенные для передвижки по ним пролетного строения методом качения по валкам или с помощью катков и тележек.
3.1.10 пеленажная лебедка: Лебедка, устанавливаемая на палубе плавучей опоры и используемая для подъема и отдачи якорей-присосов.
3.1.11 стапель: Комплекс вспомогательных обустройств, предназначенный для сборки и надвижки пролетного строения в проектное положение или для погрузки на плавсистему.
3.1.12 массивный фундамент: Фундамент опор мостов, сооружаемый в виде жесткого компактного железобетонного массива сплошного сечения.
3.1.13 оборачиваемость конструкций: Количество использования конструкций, изделий вспомогательных сооружений и устройств, выведенных из первичной (предыдущей) эксплуатации, прошедших подготовку к приемке и приемку.
3.1.14 железобетонный якорь-присос: Изделие из железобетона, применяемое для длительного удержания плавучих средств.
3.1.15 монтажные элементы: Элементы, устанавливаемые на период монтажа конструкции для обеспечения ее целостности и проектных характеристик.
3.1.16 ковш: Углубление дна, устраиваемое для возможности подхода плавсредств к береговому пирсу, а также П-образный затон, огражденный шпунтовой стенкой, в акватории водного объекта, предназначенный для размещения плавсистемы.
3.1.17 контртело: Элемент настила, по которому перемещается антифрикционная прокладка.
3.1.18 скула: Участок перехода подводной части корпуса плавсредства от бортов к днищу.
3.1.19 арьербек: Вспомогательная конструкция, которая присоединяется к заднему концу надвигаемого пролетного строения в качестве противовеса и для "доталкивания" плети пролетного строения в проектное положение.
3.1.20 аванбек: Вспомогательная конструкция, которая присоединяется к переднему (лидерному) концу надвигаемого пролетного строения для облегчения консоли пролетного строения и обеспечения заезда пролетного строения на опоры.
3.2 Сокращения
В настоящем стандарте применены следующие сокращения:
ВПТ - вертикально перемещаемая труба;
ГР - уровень головки рельса;
ИПРС - инвентарные подмости ручной сборки, собираемые из инвентарных сборно-разборных конструкций;
МИК-П - мостовые инвентарные конструкции пакетные;
МИК-С - мостовые инвентарные конструкции стоечные;
ПОС - проект организации строительства;
РУ - рабочий уровень воды, принимаемый в расчетах;
СВСиУ - специальные вспомогательные временные сооружения и устройства для строительства мостовых сооружений;
СПП - самоподъемная плавучая платформа;
УГВ - уровень грунтовых вод.
4 Основные требования к проектированию
4.1.1 Документация на СВСиУ разрабатывается в разделе ПОС проектной документации и учитывается при разработке проекта производства работ строительной организацией. Проектная и рабочая документация на СВСиУ оформляется в соответствии с требованиями
ГОСТ Р 21.101.
4.1.2 Обоснование конструктивных решений и объемов СВСиУ в проектной документации увязывается с конструктивными решениями и технологией строительства основных конструкций мостового сооружения. Примерный перечень СВСиУ, используемых для строительства мостового сооружения, приведен в
приложении А.
4.1.3 Рабочая документация СВСиУ разрабатывается в соответствии с заданием на проектирование на основе утвержденной проектной документации, получившей положительное заключение экспертизы, а также на основе рабочей документации основных конструкций мостового сооружения. Кроме того, допускается разработка документации в соответствии с уточненной технологией сооружения объекта строительства и фактически применяемого оборудования.
4.1.4 СВСиУ относятся в основном к классу сооружений КС-2 с нормальным уровнем ответственности согласно
ГОСТ 27751. При проектировании СВСиУ коэффициент надежности по ответственности

, как правило, принимается равным 1,0.
В зависимости от условий строительства для отдельных СВСиУ класс сооружения, уровень ответственности и численные значения коэффициента надежности по ответственности могут устанавливаться генпроектировщиком по согласованию с заказчиком в задании на проектирование.
4.1.5 СВСиУ проектируется из стали, железобетона, дерева и других материалов. При этом используются как индивидуальные, так и повторно применяемые конструкции - инвентарные и модифицированные, пригодные к использованию.
Правила приемки, методы контроля, маркировки конструкций предусмотрены:
- для бетонных и железобетонных конструкций - в соответствии с
ГОСТ 13015;
- для стальных конструкций - в соответствии с
ГОСТ 7566 и также
13.16.
4.1.6 Проектирование СВСиУ на естественном основании при необходимости сопровождается разработкой специальных мероприятий по отводу поверхностных вод с указанием на то, что все не предусмотренные проектом земляные работы вблизи СВСиУ выполняются только после проведения соответствующих расчетов на прочность и устойчивость грунтового основания и их согласования с разработчиком СВСиУ.
4.1.7 Заглубление оснований шпунтовых ограждений, перемычек, оснований временных и технологических мостов и других подводных сооружений назначается с учетом размыва грунта при расчетном паводке с вероятностью превышения 10%.
4.1.8 Для СВСиУ, размещаемых в пределах судового хода, при необходимости выполняются:
- разработка документации для судовой сигнализации;
- разработка специальных защитных ограждений;
- расчет конструкций на навал судов.
4.1.9 Проектированием учитывается влияние запланированного и незапланированного водосброса гидротехническими сооружениями, определяющими уровень воды в створе строительства СВСиУ.
4.1.10 При использовании судов или плавучих систем допускается минимальное расстояние от днища до дна 0,2 м при условии максимальной осадки и с учетом возможного колебания уровня, в том числе и за счет ветрового и волнового режимов.
4.1.11 Плавучие системы проектируются с применением понтонов, барж и других плавсредств, которые могут воспринимать необходимое загружение с допустимой осадкой в воде.
4.1.12 Перед установкой в плавучую систему предусматривается испытание каждого понтона и освидетельствование баржи согласно установленным требованиям в
ГОСТ Р 15.301 и
ГОСТ Р 27.403.
4.1.13 Перемещение плавучих систем по внутренним судоходным водным бассейнам, включая участки с морским режимом судоходства, выполняется с учетом
[1].
4.1.14 Для плавучих систем, перемещаемых с помощью буксиров, предусматриваются аварийные якоря, а также приспособления для непосредственного закрепления якорных тросов на корпусе.
4.1.15 Перед загружением конструкций СВСиУ расчетной нагрузкой в рабочей документации может составляться требование о проведении натурных испытаний в соответствии с
ГОСТ Р 15.301 и
ГОСТ Р 27.403. Требование становится обязательным при повторном использовании инвентарных и модифицированных конструкций, а также и других повторно применяемых конструкций, изделий.
К таким конструкциям СВСиУ относятся:
- анкерные устройства и пригрузы для навесного монтажа пролетного строения и закрепления монтажного и иного оборудования;
- фермоподъемники и аналогичные устройства для подъемки-опускания конструкций;
- строповочные приспособления, предназначенные для перемещения крупногабаритных и особо тяжелых конструкций и элементов;
- сваи, якоря и т.п.
Примечание - Для проведения натурных испытаний основных конструкций могут проектироваться соответствующие СВСиУ, например обустройства для испытания свай.
4.1.16 Проектированием предусматривается перечень СВСиУ, подлежащих освидетельствованию перед вводом в эксплуатацию, а также перечень скрытых работ, требующих составления соответствующих актов.
4.1.17 Для СВСиУ, отнесенных к повышенному уровню ответственности, оказывающих влияние на надежность основных конструкций в процессе монтажа, генеральным проектировщиком может назначаться мониторинг напряженно-деформированного состояния, учитываемый в рабочей документации и в сводном сметном расчете.
4.1.18 Для консолей, состоящих из основных конструкций и совместно работающих с ними СВСиУ, необходимо учитывать требования СП 35.13330.2011
(пункт 5.48) и других нормативных документов, обеспечивающие аэродинамическую устойчивость монтируемых (демонтируемых) консолей.
При проектировании обустройств, обеспечивающих устойчивость и пространственную жесткость консолей (гасители колебаний, обтекатели и т.п.), производятся соответствующие расчеты или аэродинамические исследования.
4.1.19 Указания по защите СВСиУ от воздействий ледохода и карчехода предусматриваются
9.4.
4.2 Требования к габаритам
| | ИС МЕГАНОРМ: примечание. В официальном тексте документа, видимо, допущена опечатка: имеется в виду СП 34.13330.2021, а не СП 34.13330.2011. | |
4.2.1 Габариты приближения конструкций, проектируемых СВСиУ в непосредственной близости от автомобильных дорог, должны соответствовать требованиям
ГОСТ 33391. Габариты приближения конструкций в нестесненных условиях принимаются согласно требованиям
ГОСТ Р 52748, по правилам
СП 35.13330.2011,
СП 34.13330.2011,
СП 42.13330.2016, а при строительстве вблизи железнодорожных путей - также
ГОСТ 9238.
4.2.2 Для реконструируемых мостовых сооружений габариты приближения конструкций СВСиУ принимаются согласно
ГОСТ 33391 с учетом
[2].
4.2.3 При необходимости перемещения грузов в пределах ширины защитной полосы, принимаемой от лицевой поверхности ограждения до конструкции сбоку, защита конструкций назначается в соответствии с
ГОСТ Р 52748.
4.2.4 На судоходных реках в навигационный период СВСиУ располагаются за пределами судоходных габаритов, согласованных с Бассейновыми управлениями, эксплуатирующими данный участок водного пути.
4.2.5 Возвышение конструкций СВСиУ и величины просветов между опорами на водотоках проектируются в зависимости от местных условий с учетом следующих требований:
а) в период производства работ за рабочий уровень принимается возможный наивысший сезонный уровень воды, соответствующий расчетному расходу вероятностью превышения 10%, при этом по согласованию с подрядной организацией для выполнения конкретного вида работ может приниматься рабочий уровень воды, соответствующий расходу с более низкой вероятностью превышения до 50%, с разработкой мероприятий по пропуску паводка и по восстановлению СВСиУ после пропуска паводка с уровнем выше расчетного; кроме того, учитываются:
1) возможные превышения уровня от воздействия нагонных ветров, подпора от стеснения русла, набега волны на откосы сооружений, динамического воздействия на опоры (ударного воздействия течения), приливно-отливных явлений;
2) назначения рабочего уровня на реках с регулируемым стоком на основе данных организаций, регулирующих сток, с учетом превышения уровня от воздействия сгонно-нагонных явлений, набега волны на откосы сооружений, приливно-отливных явлений;
3) возможный наинизший в период перевозки уровень воды обеспеченностью 90% при проектировании причалов и плавучих опор, предназначенных для перевозки пролетных строений;
б) верх шпунтовых ограждений, бездонных ящиков, грунтовых перемычек должен возвышаться над рабочим уровнем не менее чем на 0,7 м, а при ледоставе - не менее чем на 0,3 м;
в) поверхности технологических площадок, в том числе островков для опускания колодцев, должны возвышаться над рабочим уровнем не менее чем на 0,5 м;
г) возвышение низа пролетных строений рабочих мостиков, подкрановых эстакад, подмостей на несудоходных и несплавных реках, а также в несудоходных пролетах судоходных рек должно быть не менее 0,7 м над рабочим уровнем;
д) на переходах водотоков с селями малой интенсивности не рекомендуется устраивать вспомогательные сооружения в пролетах между капитальными опорами (при необходимости их устройства расстояние между вспомогательными опорами в свету должно быть не менее 10 м, и они должны устраиваться в период наименьшей вероятности появления опасных воздействий);
е) на водотоках с карчеходами и селевыми потоками возвышение низа конструкций пролетных строений подкрановых эстакад, рабочих мостиков, сборочных подмостей и т.п. над уровнем воды должно быть не менее 1,0 м с обязательным учетом динамического воздействия (ударного воздействия течения) селевого потока на опоры и сооружения в русле;
ж) на водотоках с карчеходами должны быть предусмотрены защитные мероприятия на период строительства, включающие установку экранов и решеток на безопасном расстоянии выше по течению с соответствующими мероприятиями по их очистке от карчей;
и) на переходах с наледями низ вспомогательных конструкций должен возвышаться не менее чем на 0,5 м над рабочим уровнем, соответствующим высоте

(

- расчетная мощность льда наледи).
Примечания
1 Проведение строительных работ на водотоках с селями средней и высокой интенсивности возможно только при организации специального мониторинга возникновения селей и разработке специальных мероприятий по охране труда.
2 Как правило, необходимо избегать устройства промежуточных опор в пределах наледи.
3 Применение всех параметров для водотоков осуществляется с учетом высоты волны.
4.3 Требования к расчетам
4.3.1 Конструкции СВСиУ и их основания рассчитываются по методу предельных состояний на нагрузки и воздействия, указанных в
разделе 5, в соответствии с требованиями
ГОСТ 32960 и
ГОСТ 27751. Основания и фундаменты проектируются по
СП 22.13330.2016,
СП 24.13330.2011 и с учетом требований настоящего стандарта.
4.3.2 При необходимости обоснования принимаемых конструктивных и технологических решений по решению проектировщика выполняются также:
- расчеты тяговых усилий для перемещения конструкций;
- теплотехнические расчеты технологических укрытий и других устройств;
- фильтрационные расчеты ограждений котлованов;
- расчеты размывов у оснований вспомогательных опор и шпунтовых ограждений;
- электротехнические расчеты заземления монтируемых конструкций и вспомогательных сооружений;
- другие расчеты, необходимые для обеспечения безопасности и надежности ведения работ.
4.3.3 Расчетная схема конструкций СВСиУ должна соответствовать ее проектной геометрической схеме с учетом конструктивных решений для каждого этапа производства работ и порядка загружения конструкции, включая этап разборки СВСиУ.
4.3.4 Определение усилий в элементах конструкций производится в предположении упругой работы материала. При этом допускается пространственную конструкцию расчленять на отдельные плоские системы.
4.3.6 Расчеты СВСиУ выполняются по двум группам предельных состояний:
- по первому предельному состоянию на расчетные нагрузки и воздействия, определяемые умножением нормативных значений на коэффициенты надежности по нагрузке

и динамические коэффициенты

;
- по второму предельному состоянию на нормативные нагрузки и воздействия.
4.3.7 Величины напряжений (деформаций), определяемые в элементах конструкций на различных стадиях их эксплуатации, не должны превышать расчетных сопротивлений материалов (предельных деформаций), установленных в нормах на проектирование соответствующих конструкций.
4.3.8 При необходимости расчетные сопротивления материалов понижаются или увеличиваются умножением на коэффициент условий работы
m, учитывающий приближенность расчетных схем, а также уменьшаются независимо от значений
m делением на коэффициент надежности по назначению

, учитывающий степень ответственности и значимость последствий наступления тех или иных предельных состояний. Для СВСиУ, работающих на стадии монтажа совместно с основной конструкцией, коэффициент надежности по назначению

принимается не ниже значений, принятых для монтируемой конструкции.
4.3.9 Нагрузки, используемые в расчетах, принимаются в наиболее неблагоприятных положениях и сочетаниях, возможных на отдельных этапах производства работ, как для отдельных элементов и конструкций сооружений или их оснований, так и в целом для сооружения. При выполнении расчетов взвешивающее действие воды учитывается в случаях, когда оно создает более неблагоприятные расчетные условия.
4.3.10 Расчет СВСиУ на выносливость и на сейсмические воздействия не производится.
4.3.11 Расчетные сопротивления материалов вспомогательных элементов, работающих на стадии монтажа совместно с основной конструкцией (соединительные элементы между пролетными строениями, аванбеки, шпренгели, приемные консоли, обстройки постоянных опор, анкерные устройства пролетных строений на постоянных опорах и другие необходимые устройства), определяются по
СП 35.13330.2011.
4.3.12 Устойчивость конструкций против опрокидывания рассчитывается в соответствии с ГОСТ 33384-2015
[пункт 7.4; формула (1)]. При этом в
формуле (1) коэффициент условий работы
m принимается:
0,9 - для конструкций, опирающихся на отдельные опоры;
0,85 - для массивных опор, ряжей, временных ледорезов, клеток;
0,8 - при расчете раздельных анкеров в плоскостях каждой фермы пролетного строения при условии выполнения испытаний анкеров.
Коэффициент надежности по назначению

принимается равным 1,0.
4.3.13 Опрокидывающие силы учитываются с коэффициентами надежности по нагрузке

.
Удерживающие силы для постоянных нагрузок учитываются с коэффициентами надежности по нагрузке

; для временных вертикальных нагрузок - в соответствии с требованиями
ГОСТ 33390.
Примечания
1 Силы трения в основании определяются по минимальным значениям коэффициентов трения подошвы фундамента по грунту, приведенным в ГОСТ 33384-2015
(таблица 4).
2 Расчет устойчивости наземных якорей выполняется с учетом
9.6.
4.3.14 Расчет анкерных соединений и заделки анкеров в железобетонных конструкциях производится в соответствии с
13.7 -
13.10.
4.3.15 Устойчивость конструкций против сдвига проверяется в соответствии с ГОСТ 33384-2015
(пункт 7.5).
5 Правила определения нагрузок и воздействий
5.1.1 Нагрузки и воздействия, а также их сочетания, учитываемые при расчетах СВСиУ по предельным состояниям, установлены
ГОСТ 33390 и
СП 20.13330.2016.
При определении расчетных значений нагрузок и воздействий коэффициенты надежности

и динамические коэффициенты

принимаются по
таблице 1.
Таблица 1
Коэффициенты к нагрузкам и воздействиям, влияющим на СВСиУ
Номер нагрузки | Наименования нагрузок и воздействий | Коэффициент надежности по нагрузке  | Динамический коэффициент  |
Постоянные нагрузки |
| Собственный вес вспомогательных сооружений, в том числе: | | - |
- металлических конструкций | 1,1 (0,9) |
- деревянных конструкций | 1,2 (0,9) |
- полимерных конструкций и утепляющих слоев опалубки | 1,3 (0,8) |
| Давление от веса грунта: | | - |
- вертикальное | 1,2 (0,9) |
- горизонтальное | 1,2 (0,8) |
| Гидростатическое давление воды | 1,0 | - |
| Гидродинамическое давление воды (включая волновое) | 1,2 (0,75) | - |
| Вес возводимых конструкций. | 1,1 (0,9) | - |
Вес устанавливаемых или укладываемых кранами на вспомогательные сооружения (подмости и т.п.) элементов и грузов | 1,1 (0,9) | 1,1 |
Временные технологические нагрузки |
| Вес складируемых материалов и грузов | 1,3 (0,8) | - |
| Вес людей, инструмента и мелкого технологического оборудования | 1,3 (0,7) | - |
| Вес монтажного (кранового, копрового и технологического) оборудования. | 1,1 (0,9) | |
Вес наклоняющейся стрелы крана с подвешенным к ней грузом весом до 200 кН. | | 1,2 |
То же, при весе груза более 200 кН. | | 1,1 |
Вес наклоняющейся стрелы копра. | | 1,2 |
Вес поднимаемой копровой лебедкой сваи. | | 1,4 |
Вес молота при подъеме | | 1,3 |
| Горизонтальные инерционные нагрузки от монтажного оборудования | 1,1 (1,0) | - |
| Вес транспортных средств | 1,2 (0,9) | - |
| Горизонтальные нагрузки от транспортных средств | 1,1 (1,0) | - |
| Воздействие домкратов при регулировании усилий в возводимых конструкциях | 1,3 (1,0) | - |
| Воздействие искусственного регулирования в конструкции СВСиУ | 1,3 (0,8) | - |
| Сила трения при перемещении возводимых конструкций и других грузов: | | - |
- на катках | 1,1 |
- на салазках | 1,3 |
- на тележках | 1,2 |
- на полимерных устройствах скольжения | 1,3 |
| Поперечные горизонтальные силы при перемещении возводимых конструкций и других грузов | 1,1 | - |
| Нагрузки от бетонной смеси при ее укладке и вибрировании | 1,3 | - |
Дополнительные нагрузки |
| Ветровая нагрузка для конструкций со сроком службы менее 5 лет (см. 5.4.1 - 5.4.8) | 1,0 | - |
| Ледовая нагрузка | 1,0 | - |
| Нагрузка от навала судов | 1,0 | - |
| Воздействия температуры и солнечной радиации | 1,0 | - |
| Воздействие осадки грунта | 1,0 | - |
| Нагрузка от наезда автомашин | 1,0 | - |
23 | Нагрузка от карчехода | 1,0 | - |
24 | Снеговые нагрузки | |
Примечания 1 Значения  , указанные в скобках, применяются в случаях, когда это приводит к более невыгодному суммарному воздействию на элементы конструкции. 2 Расчет поддерживающих конструкций на воздействие крановой нагрузки, а также нагрузки от транспортных средств в необходимых случаях производится с учетом веса вспомогательных и монтируемых мостовых конструкций, а также строительных материалов и оборудования, подвешенных к крану либо погруженных на транспортные средства. Веса этих конструкций, материалов и оборудования принимаются с соответствующими коэффициентами надежности, приведенными в таблице. Вышеизложенное применяется и в случае использования грузоподъемных кранов номенклатуры Ростехнадзора; в таком случае соблюдается паспортная грузоподъемность крана при данном вылете стрелы (для стреловых кранов). |
5.1.2 Указанные в таблице коэффициенты в каждой строке принимаются одинаковыми в пределах целой части сооружения (пролетного строения, подмостей, пирсов, промежуточных опор, призм обрушения и т.п.), за исключением расчета на устойчивость положения конструкции и усилия в анкерах; в этом случае коэффициенты надежности по нагрузке

принимаются также в соответствии с
4.3.13 и
4.3.14.
5.1.3 Значения динамических коэффициентов

, коэффициентов условий работы
m и сочетаний нагрузок

принимаются в соответствии с величинами, установленными в настоящем разделе и
разделах 6 -
10.
5.2.1 Вертикальная нагрузка от собственного веса конструкций вспомогательных сооружений
(номер 1 в таблице 1) и от веса возводимых конструкций
(номер 5 в таблице 1) определяется по проектным объемам элементов и частей конструкции, включая водный балласт плашкоутов.
5.2.1.1 Распределение нагрузки от собственного веса в рассчитываемых конструкциях принимается:
а) в настилах, поперечинах, прогонах, насадках, балочных и кружальных фермах, коробах опалубки и т.п. линейных элементах - равномерным по длине конструкции, при условии, если действительная неравномерность не превышает 10% средней величины;
б) в стойках подмостей, пирсов, опор, подкрановых эстакад и т.п. поддерживающих конструкциях - между всеми стойками рамы или опоры с учетом эксцентриситета;
в) в прочих конструкциях - по фактическому весу отдельных ее частей.
5.2.1.2 Вес сварных швов принимается в процентах к общему весу металла:
- 0,5% - для болтосварных конструкций;
- 1,0% - для сварных конструкций.
5.2.1.3 Вес выступающих частей высокопрочных болтов с гайками и двумя шайбами принимается равным 4% от собственного веса конструкции.
5.2.2 Давление от веса грунта, кПа
(номер 2 в таблице 1), определяется по нормативному значению его удельного веса.
5.2.2.2 Нормативные значения прочностных и деформационных характеристик грунтов принимаются по данным инженерно-геологических изысканий, выполняемых в соответствии с
ГОСТ 33179. Для предварительных расчетов допускается использовать характеристики грунтов по СП 22.13330.2016
(приложение А).
5.2.3 Гидродинамическое давление от воздействия текущей воды на подводную часть конструкции или плавсредства
(номер 4 в таблице 1) Nвп, Н, вычисляют по формуле
Nвп = Nл + Nт, (5.1)
где Nл - лобовое давление воды, Н, вычисляемое по формуле

(5.2)
Nт - сила трения воды по поверхности обтекаемого тела, Н, вычисляемая по формуле
Nт = fSV2, (5.3)
где V - средняя скорость течения воды, принимаемая по данным инженерных изысканий, выполненных на стадии проектирования объекта (для неподвижных конструкций), или относительная скорость перемещения воды и плавающего тела (для перемещающихся конструкций), м/с; в случае, если подводная часть конструкции или плавсистемы стесняет живое сечение более чем на 10%, учитывается возрастание скорости водного потока;

- коэффициент, учитывающий степень обтекаемости погруженного в воду тела, принимаемый для заостренных или закругленных в плане очертаний равным 0,75, для прямоугольных очертаний - 1,0;
f - коэффициент, характеризующий трение воды по поверхности погруженного тела, Н·с2/м4, принимаемый:
1,70 - для металлических поверхностей;
2,00 - для бетонных;
2,50 - для деревянных;
F - подводная площадь по миделю, характеризующаяся по наиболее широкому поперечному сечению, м2;
S - площадь смоченной поверхности или поверхность, охваченная омыванием водой, м2.
Значения F и S принимают по формулам:
а) для плашкоутов и барж:
F = tB, (5.4)
S = L(2t + B), (5.5)
б) для бездонных ящиков, кессонов и т.п.:
F = BH, (5.6)
S = L(2H + B), (5.7)
где t - осадка плашкоута, баржи, понтона и т.п., м;
H - глубина воды в месте опускания бездонного ящика и др., м, принимаемая с запасом, больше фактической глубины от 0,5 до 1 м;
B - ширина плашкоута, баржи, бездонного ящика и др., м;
L - длина плашкоута, баржи, бездонного ящика, м.
При скорости выше 2 м/с при определении F и S учитывается возрастание уровня воды у сооружения по формуле

(5.8)
где g - ускорение силы тяжести, м/с2.
Примечание - При наличии косины течения, когда продольная ось тела, погруженного в воду, составляет с направлением струй угол, отличный от 0°, лобовое давление воды исчисляется не по площади миделя, а по проекции погруженной в воду части плавучего тела на плоскость, нормальную к направлению течения.
5.2.4 Гидродинамическое давление от воздействия волн определяется:
- при строительстве на акваториях с высотой волны более 2 м - по
СП 38.13330.2018;
- для прочих случаев давление воды на 1 пог. м ширины проекции, перпендикулярной направлению воды, принимается приближенно:
0,30 кН/м - для рек шириной от 300 до 500 м;
1,20 кН/м - для рек шириной 500 м и более.
Примечание - Степень волнения на водоемах и водотоках принимается по десятибалльной шкале в соответствии с
таблицей В.1 приложения В.
5.2.5 Вес возводимых конструкций, передаваемый на вспомогательные сооружения (сборочные клетки, прогоны и т.п.), принимается согласно расчетной схеме вспомогательного сооружения.
5.2.6 Вес устанавливаемых или укладываемых кранами на вспомогательные сооружения (подмости и т.п.) элементов и грузов учитывается с динамическим коэффициентом

.
5.2.7 При реконструкции мостов вес конструкций определяется с учетом их фактического состояния, включая элементы усилений конструкций, обустройства и т.п.
5.3 Временные технологические нагрузки
5.3.1 Вес складируемых материалов и грузов
(номер 6 в таблице 1) определяется по количеству и физическим характеристикам материалов и грузов, складируемых на рассматриваемой конструкции, согласно принимаемым проектным решениям.
Таблица 2
Нормативная нагрузка от веса людей, инструмента
и мелкого оборудования
Вид конструкции | Вид и величина нагрузок |
Неинвентарные средства подмащивания: подмости сборно-разборные, подмости навесные, площадки, навешиваемые на конструкции | Поверхностная, равномерно распределенная, статическая нагрузка величиной 2500 Па <1> |
Все горизонтальные несущие элементы средств подмащивания (независимо от расчета на нагрузку по 5.1) | Вертикальная сосредоточенная статическая нагрузка величиной 1300 Н, приложенная в центре тяжести элемента (независимо от общей поверхностной нагрузки) |
Собираемые пролетные строения автодорожных мостов | Поверхностная, равномерно распределенная, статическая вертикальная нагрузка величиной 100 Па |
<1> По условиям проектирования может назначаться другая величина. |
5.3.3 Монтажное оборудование в расчетной схеме принимается в положении, оказывающем наибольшее силовое воздействие на рассчитываемую конструкцию. Вес монтажного технологического оборудования
(номер 8 в таблице 1) принимается:
- для стандартизированного - по паспортным данным и каталогам;
- для нестандартизированного - по проектной документации, разработанной для такого оборудования.
Примечание - Если отсутствие груза на кране или копре может оказать более неблагоприятное влияние, чем его наличие, воздействие крана или копра в расчете принимается без груза.
5.3.4 Горизонтальные инерционные нагрузки от монтажного оборудования
(номер 9 в таблице 1) определяются по правилам, которые перечислены в настоящем пункте.
5.3.4.1 Нагрузка, вызванная торможением электрического козлового, башенного крана и направленная вдоль кранового пути, принимается по паспорту крана или в размере 10% полного нормативного значения вертикальной нагрузки на тормозные колеса рассматриваемой стороны крана. Аналогично принимается продольная тормозная нагрузка для копров с электрическим приводом ходовой части.
5.3.4.2 Нагрузка, вызванная ударом крана о тупиковый упор и направленная вдоль оси пути, определяется по
СП 20.13330.2016 и учитывается только при расчете упоров и их креплений к подкрановым конструкциям.
5.3.4.3 Нагрузка, вызванная торможением электрической крановой тележки или козлового крана и направленная поперек кранового пути, принимается с нормативным значением, определенным по паспорту крана или в размере 5% суммы подъемной силы крана и веса тележки. Нагрузка передается на одну нитку кранового пути, распределяется поровну между всеми колесами, опирающимися на нее, и может быть направлена как внутрь, так и наружу колеи.
5.3.4.4 Нагрузка, вызванная перекосом или забеганием одной плоскости не более чем на 5 градусов, принимается 12% от нормативной вертикальной нагрузки на колесо.
5.3.4.5 Горизонтальные нагрузки от торможения крана, торможения крановой тележки и перекоса ног считаются приложенными в месте контакта ходовых колес крана с рельсом и распределяются между колесами пропорционально вертикальному давлению на них.
5.3.4.6 Инерционные горизонтальные нагрузки T, возникающие при остановке механизма вращения крана или копра, принимают:
а) от веса стрелы по формуле

(5.9)
б) от суммы весов груза, грузового блока и канатов грузового полиспаста по формуле

(5.10)
где Gс - вес стрелы, приведенный к оголовку, тс;
Gгр - сумма весов груза, грузового блока и канатов грузового полиспаста, тс;
a' - величина замедления вращательного движения, м/с2, вычисляемая по формуле

(5.11)
где n - скорость вращения платформы крана или копра с грузом, об/мин;
l - вылет стрелы, м;
t - время остановки в секундах, с, определяемое по
таблице 3.
Примечания
1 Вес груза считается с учетом веса грузозахватных устройств, траверс и оттяжек.
2 При подъеме груза двумя или более грузозахватными механизмами учитывается неравномерность передачи веса груза в случае, если она может иметь место по условиям производства работ.
3 Сила T прикладывается к оголовку стрелы.
Таблица 3
Зависимость времени остановки стрелы крана от ее длины
Вылет стрелы l, м | 5 | 7,5 | 10 | 15 | 20 | 25 | 30 |
Время остановки t, с | 1 | 1,5 | 2,5 | 4 | 5 | 8 | 10 |
Примечание - Для промежуточных значений l величины t определяют по интерполяции. |
Реактивный момент M, Н·м, возникающий при пуске и остановке механизма вращения крана, копра или буровой машины, при известной мощности двигателя поворота механизма допускается вычислять по формуле

(5.12)
где Nпов - мощность двигателя поворота в кВт;
n - число оборотов в минуту поворотной части механизма.
5.3.4.7 Крутящие моменты буровых машин, передаваемые на рабочий орган или обсадную трубу, принимаются по паспорту буровой машины.
5.3.4.8 Реактивный момент поворота и реактивный крутящий момент передаются на поддерживающие конструкции СВСиУ в точках опирания или закрепления механизма в виде пары или пар сил, величина которых определяется в зависимости от характера опирания (гусеницы, колеса, аутригеры) и координат точек опирания относительно центра вращения.
5.3.6 Горизонтальные нагрузки от транспортных средств
(номер 11 в таблице 1) вдоль направления движения принимаются:
- для автомашин и автокранов при скоростях не выше 30 км/ч - 0,25Pа (Pа - вес автомашины или автокрана);
- для гусеничных транспортных средств - равными 0,3Pт (Pт - вес транспортного средства);
Примечание - Тормозная нагрузка не учитывается для скоростей транспортных средств менее 5 км/ч.
5.3.7 Воздействие домкратов при регулировании усилий или выправке положения и строительного подъема возводимых конструкций
(номер 12 в таблице 1) определяется как опорное давление на домкраты от нормативных нагрузок плюс дополнительное, устанавливаемое при проектировании конструкции, усилие, необходимое для регулирования в них напряжений и положения.
5.3.7.1 Определение опорных давлений или реакций на домкраты от монтируемой конструкции производится по расчетной схеме, установившейся к началу регулирования напряжений или выправки положения и строительного подъема, независимо от предшествовавшего порядка монтажа и распределения усилий.
5.3.7.2 Указанные в
5.3.7.1 факторы учитываются при расчете самой монтируемой конструкции или ее усиления в процессе монтажа.
5.3.8 Воздействие искусственного регулирования усилий в конструкциях вспомогательных сооружений
(номер 13 в таблице 1) учитывается в случаях придания плашкоутам первоначально обратного выгиба соответствующим порядком их балластировки и т.п. Величина усилий устанавливается при разработке документации.
5.3.9 Сила трения

, кН
(номер 14 в таблице 1), при перемещении пролетных строений, бездонных ящиков, подкрановых и подкопровых мостиков и др. по горизонтальной плоскости вычисляется по формулам:
а) при перемещении по рельсам на подкладках, салазках или бетонному, грунтовому и деревянному основанию

(5.13)
б) при перемещении по рельсам на катках

(5.14)
в) при перемещении по рельсам на тележках с подшипниками скольжения

(5.15)
г) при перемещении по рельсам на тележках с подшипниками качения

(5.16)
д) при перемещении по полимерным устройствам скольжения

(5.17)
где P - нормативная нагрузка от веса перемещаемой конструкции или механизма, кН;
f1 - коэффициент трения скольжения, принимаемый по
таблице 4;
f2 - коэффициент трения качения катка или колеса по рельсам, принимаемый по
таблице 5;
f3 - коэффициент трения скольжения в подшипниках, принимаемый равным от 0,05 до 0,10;
f4 - коэффициент трения качения в подшипниках, равный 0,02;
f5 - коэффициент трения скольжения для полимерных материалов, принимаемый по
таблице 6;
R1 - радиус катка, см;
R2 - радиус колеса, см;
k = 2 - коэффициент, учитывающий влияние местных неровностей рельсов и катков, перекоса катков, непараллельности накаточных путей и прочих факторов, вызывающих возрастание сопротивления движению;
r - радиус оси колеса или в подшипнике, см.
Таблица 4
Значения коэффициентов трения скольжения
различных материалов
Пара трущихся тел | Коэффициенты трения скольжения (при трогании с места) |
сухие поверхности | поверхности, смоченные водой | смазанные поверхности |
Сталь по стали (без обработки) | 0,20 | 0,45 | 0,15 |
Дерево по дереву: | 0,60 | 0,70 | 0,15 |
при параллельных волокнах | 0,48 (для дуба) | - | - |
при взаимно перпендикулярных волокнах | 0,55 | 0,71 | 0,20 |
торцом | 0,45 | - | - |
Дерево: по стали | 0,50 | - | - |
по льду | 0,04 | 0,65 | 0,20 |
по грунту | 0,50 - 0,60 | - | - |
по бетону | 0,40 | 0,1 - 0,25 | - |
Бетон: по глине | 0,25 | 0,10 | - |
по суглинкам и супесям | 0,30 | 0,25 | - |
по песку | 0,40 | 0,25 | - |
по гравию и гальке | 0,50 | - | - |
по скале | 0,60 | 0,25 | - |
по бетону | 0,60 | - | - |
по тиксотропной рубашке из глинистого раствора | - | 0,01 | - |
Сталь по льду | 0,02 | - | - |
Полимерные прокладки по стали | | |
Сталь по асфальту | 0,35 | 0,40 | - |
Сталь по неопалубленной поверхности бетона | 0,45 | - | 0,25 |
Сталь по гладкой бетонной поверхности | 0,35 | - | 0,20 |
Примечание - Коэффициенты трения стали по стали указаны для давления до 2 МПа. Для обработанных поверхностей в стыках на высокопрочных болтах. |
Таблица 5
Коэффициенты трения качения катка (колеса) по рельсам
Диаметр катка (колеса), мм | Коэффициент трения качения f2 |
200 - 300 мм и менее | 0,04 |
400 - 500 | 0,06 |
600 - 700 | 0,08 |
800 | 0,10 |
900 - 1000 | 0,12 |
Таблица 6
Коэффициенты трения скольжения для полимерных материалов
Материал трущейся пары | Давление, МПа | Коэффициент трения полимерных устройств скольжения f5 при температуре |
отрицательной | положительной |
Полированный лист - фторопласт | <= 10 | 0,12 | 0,07 |
> 10 | 0,09 | 0,06 |
Полированный лист - нафтлен | <= 10 | 0,12 | 0,07 |
> 10 | 0,10 | 0,06 |
Полированный лист - полиэтилен ВП | <= 10 | 0,18 | 0,10 |
> 10 | 0,12 | 0,06 |
Полированный лист - карточки скольжения с покрытием тефлоном: | | | |
без смазки | 19,6 | 0,07 | 0,06 |
с силиконовой смазкой | 19,6 | 0,04 | 0,03 |
Примечания 1 Значения коэффициента трения указаны при трогании с места. При скольжении значения коэффициента трения понижаются в среднем на 20% по сравнению со значениями, указанными в таблице. 2 Коэффициенты трения по карточке скольжения с тефлоном уточняются по данным поставщика. 3 Коэффициенты трения приведены для случая применения нового полированного листа с шероховатостью поверхности не ниже десятого класса в состоянии поставки. |
5.3.10 Воздействие электрических лебедок при подъеме, опускании грузов и конструкций принимается равным паспортной грузоподъемности лебедок с коэффициентом по нагрузке

, если не предусмотрены специальные конструктивные решения по ограничению этого воздействия.
5.3.11 Боковое усилие
Nб, Н
(номер 15 в таблице 1), от перекоса катков, от давления на боковые ограждения и от непараллельности накаточных путей, действующее в направлении, перпендикулярном к направлению передвижки надвигаемой конструкции, определяется в соответствии с условиями:
а) при поперечном перемещении по пирсам на тележках с устройством подвижного опирания на тележку одного конца пролетного строения
Nб = 0,015R, (5.18)
б) то же, при неподвижном опирании обоих концов пролетного строения
Nб = 0,15R, (5.19)
в) при продольном перемещении на катках
Nб = 0,03R, (5.20)
г) при перемещении на полимерных устройствах скольжения
Nб = f5R, (5.21)
где R - нормативная опорная реакция от веса надвигаемой конструкции, Н.
Примечание - При поперечной передвижке элементов распорных арок (сводов) устройство подвижного опирания одного конца передвигаемого элемента и его проверка на прочность при измененной статической схеме выполняются обязательно.
5.3.13 Давление бетонной смеси определяется путем умножения горизонтального давления бетонной смеси на синус угла наклона поверхности формы к горизонту. При угле наклона менее 30° к горизонтали горизонтальное давление бетонной смеси на форму не учитывается.
5.4 Дополнительные нагрузки
5.4.1.1 Величина ветровой нагрузки
W (номер 17 в таблице 1) определяется как сумма нормативных значений средней
Wm и пульсационной
Wg составляющих
W = Wm + Wg. (5.22)
Значение средней составляющей Wm, кПа, вычисляется по формуле
Wm = w0kc, (5.23)
где
w0 - нормативное значение ветрового давления, принимаемое в зависимости от ветрового района по
ГОСТ 33390.
Для горных и малоизученных районов нормативное значение ветрового давления w0 вычисляют по формуле

(5.24)
где
V0 - расчетная или допустимая по условиям производства работ скорость ветра, м/с, на уровне 10 м над уровнем воды или над поверхностью земли для местности А по данным метеостанции, соответствующая 10-минутному интервалу осреднения и превышению один раз в 5 лет. Параметры ветра и значения
V0 для видов и условий производства работ принимаются согласно
5.4.1.2 и приложению В
(таблица В.2);
k - коэффициент, учитывающий изменение ветрового давления по высоте от уровня земли, определяемый согласно ГОСТ 33390-2015
(таблица 5), в зависимости от типа местности;
c - аэродинамический коэффициент, принимаемый согласно ГОСТ 33390-2015
(таблица 6).
В
приложении Г приведены величины геометрических и аэродинамических параметров, стальных элементов конструкций для наиболее распространенных в инженерной практике типов поперечных сечений.
5.4.1.2 Для случаев, когда по условиям безопасности строительства или безопасного производства работ учитываются ограниченные скорости ветра, нормативное ветровое давление принимается равным:
а) 60 Па - при расчете мощности тяговых обустройств и буксиров для установки пролетных строений на плавучих опорах из условия производства работ при ветре со скоростью до 10 м/с;
б) 135 Па - из условия производства работ при ветре до 15 м/с при расчете:
1) подмостей, опор, подкрановых эстакад и других устройств в процессе работы монтажных кранов;
2) тяговых средств в процессе перекатки или надвижки пролетного строения;
3) подъемных устройств и средств в процессе подъемки пролетного строения;
4) устройств, воспринимающих воздействие домкратов в процессе регулирования напряжений при выправке, положения и строительного подъема монтируемых конструкций.
5.4.1.3 Расчетная ветровая поверхность принимается по проектным контурам, т.е. по площади проекции частей сооружения, силуэта судна, крана, копра на вертикальную поверхность, перпендикулярную к направлению ветра.
5.4.1.4 Для решетчатых конструкций, ферм с однотипными элементами расчетная поверхность принимается равной площади фермы, вычисленной по ее наружному габариту, умноженному на коэффициент заполнения

, вычисляемый по формуле

(5.25)
где Ai - площадь проекции i-го элемента на плоскость конструкции, м2;
Ak - площадь, ограниченная контуром конструкции, м2.
Коэффициент

принимают:
а) для монтируемых балочных пролетных строений со сквозными фермами:
0,2 - для первой с наветренной стороны фермы;
0,15 - для второй и последующих ферм;
б) для вспомогательных сооружений:
0,5 - из двух плоскостей решетчатых башен из инвентарных конструкций;
0,9 - из четырех и более плоскостей решетчатых башен из инвентарных конструкций;
0,8 - для решетчатых башен и стрел кранов и копров.
Для других видов решетчатых конструкций значения коэффициента

принимаются по
СП 20.13330.2016.
5.4.1.5 Горизонтальная продольная ветровая нагрузка на сквозные фермы монтируемых сооружений принимается в размере 60% и на балки со сплошной стенкой в размере 20% от полной нормативной поперечной ветровой нагрузки.
На остальные сооружения и подъемно-транспортное оборудование продольная ветровая нагрузка принимается равной поперечной ветровой нагрузке.
5.4.1.6 Для конструкций с горизонтальными и наклонными плоскостями, таких как настилы, опалубки, навесы, учитывается образование зон разрежения и скоростного напора у горизонтальных и наклонных плоскостей, вызывающих образование вертикальных подъемных усилий. Такие усилия определяются по
СП 20.13330.2016.
5.4.1.7 Нормативное значение пульсационной составляющей ветровой нагрузки
Wg при проектировании СВСиУ на высоте
Z от действия порывов ветра определяется по СП 20.13330.2016
(раздел 11).
5.4.1.8 В зависимости от значений первой и второй частоты собственных колебаний f1 и f2 вдоль направления ветрового потока в сравнении с предельным значением частоты собственных колебаний flim конструкции СВСиУ, для которых рассчитывается нормативное значение пульсационной составляющей основной ветровой нагрузки, условно принимаются:
- жесткими при f1 >= flim;
- гибкими при f2 < flim;
- средней гибкости при f1 < flim и f2 >= flim.
Предельное значение частоты собственных колебаний
flim определяется по СП 20.13330.2016
(пункт 11.1.10), при этом коэффициент надежности

принимается согласно
5.4.1.9.
При определении пульсационной составляющей ветровой нагрузки на конструкции СВСиУ допускается руководствоваться положениями СП 35.13330.2011
(пункт 6.24) для конструкций мостов.
5.4.1.9 Коэффициент надежности по ветровой нагрузке

при расчете СВСиУ со сроком службы менее 5 лет допускается принимать равным 1,0; во всех остальных случаях

.
5.4.2 Ледовую нагрузку
(номер 18 в таблице 1) на защитные конструкции СВСиУ
Fв.р, подвергающиеся по условиям производства работ ледовым воздействиям на реках с ледоходом, кН, вычисляют по формуле
Fв.р = Rcbhd, (5.26)
где
Rc - нормативное сопротивление льда сжатию, МПа, по
таблице 7;
b - ширина сооружения по фронту действия льда, м;
hd - расчетная толщина льда, м, принимаемая для речного льда 0,8 от максимальной толщины льда за зимний период, вероятностного превышения 10%.
Таблица 7
Нормативное сопротивление льда сжатию
Климатическая зона | Значение Rc, МПа, для сооружений |
с вертикальным режущим ребром | без режущего ребра |
Районы БАМ и севернее линии Красноярск - Воркута | 0,40 | 0,55 |
Остальные районы России | 0,35 | 0,50 |
5.4.2.1 На реках, промерзающих до дна, принимается толщина льда, наблюдаемая при осеннем ледоставе.
5.4.2.2 За уровень приложения ледовой нагрузки на сооружение принимается уровень высокого ледохода вероятностного превышения 10%.
5.4.2.3 На ледорезы с наклонным режущем ребром давление льда учитывается в виде:
- вертикальной составляющей, кН, по формуле

(5.27)
- горизонтальной составляющей, кН, по формуле

(5.28)
где

- угол наклона режущего ребра к горизонту, град.
5.4.2.4 Толщина льда, принятая в расчете, указывается в проектной и рабочей документации с пояснением, что в случае отличия фактических ледовых усилий от проектных должны быть приняты дополнительные меры при пропуске ледохода.
5.4.2.5 Для особо ответственных сооружений, например для опор при полунавесной сборке, а также при действии заторных масс льда и нагрузки от ледяных полей ледовая нагрузка определяется по
СП 35.13330.2011 или
СП 38.13330.2018.
5.4.3 Нагрузка от навала судов и плавсистем на СВСиУ или устройства, защищающие их от обращающихся судов и плавсистем, которые используются на объекте строительства
(номер 19 в таблице 1), принимается согласно
таблице 8.
Таблица 8
Класс внутренних водных путей | Нагрузки от навала судов, кН |
вдоль оси моста со стороны пролета | поперек оси моста |
судоходного | несудоходного | с верховой стороны | с низовой стороны или при отсутствии течения |
I | 1000 | 500 | 1250 | 1000 |
II | 700 | 400 | 900 | 700 |
III | 650 | 350 | 800 | 650 |
IV | 550 | 300 | 700 | 550 |
V | 250 | 150 | 300 | 250 |
VI | 150 | 100 | 200 | 150 |
VII | 100 | 50 | 150 | 100 |
5.4.3.1 Кинетическую энергию навала судна Eg, кДж, при подходе его к причальному сооружению вычисляют по формуле

(5.29)
где

- коэффициент, учитывающий поглощение кинетической энергии подходящего судна и равный значению 0,45 для сооружений на сваях;
Dc - расчетное водоизмещение судна, кН;
V - нормальная к поверхности сооружения составляющая скорости подхода судна, м/с, принимаемая в обычных условиях равной 0,2 м/с.
5.4.3.2 Энергию деформации причальных сооружений Ei, кДж, вычисляют по формуле

(5.30)
где Fg - поперечная горизонтальная сила от навала судов на причал при подходе к сооружению, кН/м;
ki - коэффициент жесткости причального сооружения в горизонтальном направлении, кН/м. В расчетах допускается принимать ki = 2000 кН/м.
5.4.3.3 Продольную силу Fn от навала судов, кН, при подходе к сооружению вычисляют по формуле

(5.31)
где

- коэффициент трения, принимаемый, в зависимости от материала лицевой поверхности отбойного устройства, равным:
0,5 - при поверхности из бетона или резины;
0,4 - при деревянной поверхности;
0,15 - при полиэтиленовых брусьях.
5.4.3.4 Нагрузка от навала на вспомогательные сооружения считается приложенной посередине их длины или ширины на уровне рабочего горизонта воды, за исключением случаев, когда имеются выступы, фиксирующие уровень действия этой нагрузки, и когда при более низком уровне нагрузка вызывает более значительные воздействия.
5.4.4 Нагрузку от воздействия карчехода на защитные устройства H, кН, вычисляют для уровня воды с вероятностью превышения 10% от удара одиночного бревна по формуле
где V - скорость течения воды, м/с.
5.4.5 Нормативное температурно-климатическое воздействие
(номер 20 в таблице 1) учитывается при расчете перемещений и при определении усилий во внешне статически неопределимых системах.
Средняя по сечению нормативная температура элементов СВСиУ или их частей, а также влияние солнечной радиации на температуру элементов принимаются и учитываются по
СП 35.13330.2011.
5.4.6 Воздействие осадки грунта
(номер 21 в таблице 1) в основаниях вспомогательных сооружений принимается по результатам расчета оснований.
Осадка грунта учитывается при расчетах сборочных стапелей на насыпях, опор сборочных подмостей при сборке или надвижке по неразрезной схеме в тех случаях, когда осадка не исключается конструктивными мерами.
5.4.7 Нагрузка от наезда автомашин
(номер 22 в таблице 1) учитывается при расчете незащищенных вспомогательных опор, расположенных в пределах проезжей части действующей автомобильной дороги. Она принимается в виде сосредоточенной горизонтальной силы величиной 200 кН, приложенной на высоте 1,0 м над уровнем проезжей части. При этом в проектной и рабочей документации указывается условие ограничения скорости автомашин - не более 30 км/ч.
Примечание - По
рекомендациям [2] для проведения работ, связанных с необходимостью временного изменения движения транспортных потоков на автомобильных дорогах, требуется разработка проекта "Организация движения и ограждение мест производства дорожных работ", в котором регламентируются параметры проезжей части, допустимые скорости автотранспорта и соответствующие ограждения проезжей части.
5.4.8 Существующие и временные сооружения ограждаются в соответствии с
ГОСТ Р 52289.
6 Проектирование оснований и фундаментов
6.1.1 Проектирование оснований и фундаментов СВСиУ выполняется в соответствии с требованиями настоящего раздела и с учетом правил
СП 24.13330.2011 и
СП 45.13330.2017. При этом учитывается имеющийся опыт проектирования, строительства и эксплуатации сооружений в аналогичных условиях. Кроме того, учитываются данные о производственных возможностях строительных организаций, парке оборудования, ожидаемых климатических условиях на весь период строительства.
6.1.2 Выбор типов оснований и фундаментов осуществляется на основании результатов инженерных изысканий. Проектирование СВСиУ допускается с использованием данных геологического разреза, построенного для основного мостового сооружения. В случае неполноты данных или для их уточнения используются дополнительные горные выработки. Такое условие становится обязательным для СВСиУ, отнесенных к классу КС-3.
6.1.3 Проектирование фундаментов определяется расчетами. Предварительно могут назначаться фундаменты:
- в русле водотока или в акватории водоема - из забивных свай сплошного сечения и труб с открытыми или закрытыми концами (применение ряжевых или свайно-ряжевых фундаментов, засыпанных камнем, допускается при невозможности заглубления свай в неразмываемую толщу либо при необходимости восприятия тяжелой ледовой нагрузки);
- вне русла водотока или в акватории водоема - как свайные, так и на естественном основании в виде деревянных лежней, бетонной или железобетонной плиты.
6.2 Фундаменты на естественном основании
6.2.1 Фундаменты на естественном основании рассчитываются по несущей способности во всех случаях проектирования, по деформациям - при следующих условиях:
а) если на основание передаются значительные горизонтальные нагрузки;
б) если сооружение расположено на откосе или вблизи откоса;
в) если основание сложено медленно уплотняющимися водонасыщенными пылевато-глинистыми и биогенными грунтами (при степени влажности Sr >= 0,85 и коэффициенте консолидации Cv <= 107 см2/год).
6.2.2 Для оснований из нескальных грунтов под фундаменты мелкого заложения, рассчитываемые без учета заделки в грунт, положение равнодействующей расчетных нагрузок характеризуется относительным эксцентриситетом

(

- эксцентриситет приложения равнодействующей нагрузок относительно центра тяжести подошвы фундамента;

- радиус ядра сечения по подошве фундамента, причем момент сопротивления
W определяется в плоскости действия момента).
Относительный эксцентриситет

ограничивается следующими пределами:
а) на нескальных грунтах без бокового давления грунта на фундамент:
0,2 - при учете только постоянных нагрузок;
1,0 - при учете постоянных и временных нагрузок;
б) на нескальных грунтах при наличии бокового давления грунта на фундамент:
0,5 - при учете только постоянных нагрузок;
0,6 - при учете постоянных и временных нагрузок;
в) на скальных грунтах:
1,2 - при учете постоянных и временных нагрузок.
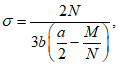
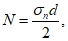
6.2.3 Наибольшее расчетное давление фундамента на основание вычисляют по формуле

(6.1)
где

- наибольшее давление от расчетных нагрузок в уровне подошвы фундамента;
M - момент от расчетных нагрузок в уровне подошвы фундамента относительно его центра тяжести;
A и W - соответственно площадь и момент сопротивления подошвы фундамента.
Формула действительна при условии

, что соответствует условию

. При несоблюдении этих условий, когда

, максимальное давление фундамента на основание следует определять исходя из треугольной формы эпюры, построенной в пределах сжимаемой части основания по формуле

(6.2)
где b - длина подошвы фундамента - размер в направлении, перпендикулярном плоскости действия момента M, м.
В частном случае при

максимальное давление

(6.3)
6.2.4 При проектировании фундаментов на естественном основании рекомендуется применять:
а) в лежневых фундаментах:
1) металлические пакеты на железобетонных плитах и др.;
2) окантованные бревна местных хвойных и лиственных пород, преимущественно короткомер, шпалы и брусья, отвечающие требованиям
раздела 12;
б) в ряжевых фундаментах - лес местных хвойных и лиственных пород, отвечающий требованиям
раздела 12;
в) фундаменты из монолитного и сборного железобетона.
6.2.5 Применение монолитного бетона согласно
ГОСТ 26633 и железобетона в соответствии с
ГОСТ 13015 и
ГОСТ 13580 допускается в массивных фундаментах на естественном основании, как правило, не подлежащих последующей разборке после демонтажа СВСиУ.
6.2.6 Глубина заложения фундаментов назначается по СП 22.13330.2016
[формула (5.5)].
6.2.7 Подошва фундамента сборного, ряжевого и лежневого типов заглубляется:
- на суходолах и неразмываемых поймах при пучинистых грунтах - не менее чем на расчетную глубину промерзания, равную нормативной глубине промерзания, умноженной на коэффициент kh = 1,1;
- на суходолах и неразмываемых поймах при непучинистых крупнопесчаных, гравелистых и галечниковых грунтах и при скальных породах - независимо от глубины промерзания грунтов;
- на размываемых поймах - на 0,5 м ниже глубины местного размыва у данной опоры с соблюдением вышеприведенных указаний относительно промерзания (в случае принятия защитных мер от подмыва в виде каменной обсыпки, укрепления фашинами, шпунтовых ограждений и т.п.);
- в руслах рек при размываемых грунтах - на 0,5 м ниже глубины местного размыва у данной опоры (в случае принятия защитных мер от подмыва или при неразмываемом грунте допускается непосредственное опирание фундамента на выровненную поверхность грунта).
Примечание - Для мест, не испытывающих подмыв грунтов основания, допускается подошву фундамента мелкого заложения заглублять на подсыпках толщиной не менее 0,3 м, устраиваемых из щебенистых, песчаных, гравелистых или галечниковых грунтов.
6.2.8 Фундаменты, сооружаемые в пределах суходолов, проектируются на очищенных от растительного покрова площадках. Уплотнение грунтов предусматривается по правилам
СП 45.13330.2017.
6.2.9 Под фундамент предусматривается подготовка из тощего бетона марки не менее B7,5, толщиной не менее 100 мм или из щебня толщиной не менее 200 мм. Щебеночный слой или подушка уплотняется методом заклинки до коэффициента уплотнения, соответствующего требованиям
СП 45.13330.2017, или применяется его проливка цементно-песчаным раствором. Размеры в плане назначаются больше размеров фундамента на удвоенную величину толщины подготовки.
6.2.10 Взвешивающее действие воды на грунты и части сооружения, расположенные ниже уровня поверхностных или подземных вод, учитывается при расчетах по несущей способности оснований и по устойчивости положения фундаментов. Уровень вод принимается максимальный, создающий худшие условия - наинизший или наивысший.
6.2.11 Для проверки устойчивости фундаментов против сдвига применяются коэффициенты трения, предусмотренные ГОСТ 33384-2015
(таблица 4). Для глин и скальных грунтов с омыливающейся поверхностью (глинистые известняки, глинистые сланцы и т.п.) при затоплении водой применяется коэффициент трения 0,1.
6.3.2 Расчет свайных фундаментов выполняется в соответствии с
ГОСТ 27751 по предельным состояниям первой и второй группы.
7 Проектирование шпунтовых ограждений
7.1.1 Временные ограждения из забивных шпунтовых свай проектируются для крепления стенок котлованов при сооружении опор, причальных стенок, ограждений технологических площадок, при устройстве искусственных островков и в других случаях, требующих повышенной водонепроницаемости конструкции ограждения, а также для обеспечения прочности, устойчивости высоких откосов, насыпей и т.п.
7.1.2 Ограждение из деревянного шпунта проектируется при глубине погружения в грунт в зависимости от его плотности до 6 м, если в грунте нет включений в виде камней, затонувших деревьев и т.п.
Примечание - Применение свай из дерева предусмотрено
[3] (приложение F).
7.1.3 Стальной шпунт, как правило, проектируется с учетом его извлечения для повторного использования. Потребность в шпунте и его оборачиваемость определяются индивидуальными условиями. При соответствующем технико-экономическом обосновании допускается использование неизвлекаемого шпунта, при этом принимается его однократная оборачиваемость.
7.1.4 Ограждения котлованов мостовых опор применяются из стального шпунта необходимого профиля, в том числе из профиля в соответствии с
ГОСТ Р 53629,
ГОСТ Р 52664. При необходимости может применяться шпунт композитный полимерный в соответствии с
ГОСТ Р 57942.
7.1.5 Шпунт плоского профиля ввиду его незначительного момента сопротивления применяется преимущественно для образования стенок ограждения искусственных островков, цилиндрических в плане.
7.1.6 Внутренние размеры в плане шпунтового ограждения фундаментов, сооружаемых как с применением тампонажной подушки, так и без нее, имеющих вертикальные сваи или при отсутствии свай, принимаются исходя из условий установки опалубки, обеспечения технологического прохода рабочего персонала, а также с учетом конструктивных решений по обвязке и раскреплению шпунтового ограждения котлована.
Вблизи наклонных свай фундамента шпунтовое ограждение проектируется с таким расчетом, чтобы острие шпунтин отстояло от свай не менее чем на 1 м.
- 0,3 м выше уровня грунтовых вод в котловане;
- 0,4 м выше уровня планировочной отметки вокруг ограждения на суходоле;
- 0,7 м выше рабочего уровня воды при устройстве ограждения в русле реки.
7.1.8 Отметки низа шпунта и необходимость горизонтальных обвязок для раскрепления шпунта по контуру котлована определяются расчетами.
7.1.9 Места установки обвязок по высоте назначаются с учетом способа и последовательности разработки котлована.
7.1.10 Каждый ярус обвязки может состоять из системы поперечных, продольных и угловых распорок. Размещение распорок в плане назначается в зависимости от конструкции опоры и технологии производства работ.
7.1.11 При использовании шпунта для сооружения свайных фундаментов распорные конструкции по возможности проектируются с учетом использования их одновременно в качестве направляющих каркасов для погружения свай.
7.1.12 Для упрощения и облегчения распорных креплений ограждения из стального шпунта в необходимых случаях проектируется кольцевое очертание в плане с креплением из кольцевых поясов-обвязок без поперечных распорок. Количество поясов и места установки их по высоте котлована определяются расчетом.
7.1.13 Для удобства установки и разборки поясов применяются как болтовые, так и сварные стыки. Под обвязки предусматриваются столики.
7.1.14 Для отдельных случаев, подтвержденных расчетами, допускается замена распорок стальными оттяжками с фиксацией их на анкерных устройствах (сваях, грунтовых якорях и т.п.) за пределами призмы обрушения котлована с учетом неблагоприятных нагрузок и грунтовых условий.
7.1.15 При низком горизонте грунтовых вод, в нестесненных условиях, допускается разработка котлованов до отметки, близкой к горизонту грунтовых вод, без крепления, но с устройством бермы, ширина которой должна обеспечивать удобное производство всех работ по забивке шпунта и сооружению фундамента.
7.1.16 При устройстве шпунтового ограждения на местности, покрытой водой, для шпунта предусматривается направляющий каркас или обвязка, служащие для фиксации положения шпунта в плане и включающие пояса креплений, необходимые по расчету.
7.1.17 Направляющие каркасы и обвязки проектируются с опиранием на маячные сваи, спланированное основание, подводный ростверк. При необходимости предусматривается их удержание в процессе забивки на специальных плашкоутах.
7.2 Общие правила расчетов шпунтовых ограждений
7.2.1 Расчеты шпунтовых ограждений котлованов выполняются:
а) на устойчивость положения и прочность по материалу их элементов на стадиях:
1) разработки котлована и установки распорных креплений;
2) полного удаления грунта и воды из котлована;
3) обратной засыпки грунта и снятия креплений;
4) возможной установки временной нагрузки на край ограждения котлована;
б) на устойчивость дна котлована против выпучивания и фильтрационного выпора - для шпунтовых ограждений, заглубленных в пески, супеси и песчаные илы, в случае откачки воды из ограждения.
7.2.2 Проверку на выпучивание выполняют по условию

(7.1)
где Pв - предельное сопротивление грунта дна котлована силам выпучивания, кПа, вычисляемое по формуле

(7.2)
где
k и
M - коэффициенты, принимаемые по
таблице 9;
c - расчетное сцепление в грунте, кН/м2;

- удельный вес грунта, кН/м
3;

- удельный вес воды, кН/м
3;
Nc,
Ng,
Ny - опытные коэффициенты несущей способности грунта в пределах шпунтового ограждения, зависящие от расчетного угла внутреннего трения грунта
(таблица 10);
A - расстояние от дна котлована до нижнего края шпунта, м;
B - меньшая сторона прямоугольного котлована, сторона квадратного или радиус круглого котлована, м;
h - глубина котлована от расчетного горизонта воды, слой воды над дном котлована, м;

- коэффициент надежности по назначению, принимаемый не менее 1,4;

- давление столба грунтовой массы высотой
h2 и слоя воды высотой
h1 на основание

(сила выпучивания), кПа, вычисляемое по формуле

(7.3)
где
h1 и
h2 - высота слоя воды и слоя грунта, м, обозначенные на
рисунке 7.1.
Таблица 9
Коэффициенты для разных форм котлована
Форма котлована | k | M |
Прямоугольная | 0,7 | 0,5 |
Квадратная | 0,8 | 0,5 |
Круглая | 0,9 | 0,6 |
Таблица 10
Опытные коэффициенты несущей способности
 , град | Nc | Ng | Ny |
0 | 5,0 | 1,5 | 0 |
5 | 6,2 | 1,8 | 0 |
10 | 7,6 | 2,1 | 0 |
15 | 9,3 | 3,0 | 0,5 |
20 | 11,5 | 4,0 | 1,0 |
25 | 14,0 | 5,5 | 2,5 |
30 | 18,0 | 8,0 | 5,0 |
35 | 23,0 | 12,5 | 8,0 |
Примечание - Для промежуточных значений угла внутреннего трения опытные коэффициенты несущей способности определяются по линейной интерполяции. |
1 - фильтрационный выпор
Рисунок 7.1 - Расчетная схема к проверке дна котлована
на выпучивание
Расчетные значения величин

и
c определяются по материалам инженерно-геологических изысканий. В условиях гидродинамического воздействия (для случаев откачки воды из котлованов) значения

уменьшаются в два раза.
7.2.3 Фильтрационный выпор грунта котлована происходит только при откачке из него воды в песчаных грунтах, супесях и песчаных илах. Выпор образуется около шпунтового ограждения.
Проверку на фильтрационный выпор выполняют по формуле

(7.4)
где

- коэффициент надежности по назначению, принимаемый не менее 1,4;
Aф - суммарная высота столба речной и грунтовой воды внутри котлована, считая от низа шпунта, м;
H - разность высот столбов речной и грунтовой воды снаружи и внутри котлована, считая от низа шпунта, м.
Глубина погружения шпунта ниже дна котлована может также определяться зависящим от нее дебитом грунтовой воды, фильтрующейся через дно котлована.
7.2.4 Минимальная глубина забивки шпунта, считая от дна котлована или отметки размыва, обеспечивающая устойчивость стенок против опрокидывания, определяется по условию, определенному в ГОСТ 33384-2015
[формула (1)], с применением коэффициентов условий работы
m в
7.2.9 и
Д.1.9 приложения Д.
Независимо от результатов расчета глубина забивки шпунта t, считая от дна котлована или отметки размыва, принимается:
- не менее 2 м в случаях текучих и текучепластичных глин, суглинков, супесей, водонасыщенных илов, пылеватых и мелких песков;
- не менее 1 м в остальных случаях, в т.ч. в ограждениях с тампонажным слоем бетона.
7.2.5 Расчетное активное и пассивное давление воды и грунта определяется умножением нормативных давлений на коэффициенты надежности по нагрузке, принимаемые для активного давления грунта

, а для пассивного

.
7.2.6 При проектировании ограждения в водопроницаемых грунтах с укладкой подводной тампонажной подушки в расчете шпунтовой стенки на стадии ее работы до бетонирования подушки учитывается гидростатическое давление, соответствующее стадии откачки воды из котлована на глубину, необходимую для постановки верхнего яруса обвязки.
7.2.7 Ограждение из шпунта, забиваемого в водонепроницаемый грунт, например суглинок или глину, расположенного ниже горизонта воды, показанного на
рисунке 7.2, рассчитывается на горизонтальные нагрузки, соответствующие двум схемам:
а) в первой схеме принимается условие, что ниже поверхности водонепроницаемого грунта горизонтальное давление на шпунтовую стенку обусловлено только гидростатическим давлением воды, проникающей между стенкой и грунтом на глубину hв;
б) во второй схеме не предусмотрена возможность проникания воды между стенкой и водонепроницаемым грунтом, поэтому принимается условие, что такой грунт оказывает горизонтальное давление на стенку, будучи пригруженным сверху гидростатическим давлением, а при наличии над водонепроницаемым грунтом водопроницаемого - весом последнего.
Во второй схеме вес слоя водопроницаемого грунта, расположенного ниже горизонта воды, определяется с учетом его взвешивания в воде.
В обеих схемах выше поверхности водонепроницаемого грунта учитывается горизонтальная нагрузка на стенку от гидростатического давления и, в необходимых случаях, от давления водопроницаемого грунта.
Глубина проникания воды между стенкой и водонепроницаемым грунтом (считая от его поверхности) принимается:
а) для ограждений, не имеющих распорных креплений, показанных на
рисунке 7.2 а, по формуле

(7.5)
где h' - глубина погружения шпунта в водонепроницаемый грунт, м;
б) для ограждений с одним ярусом креплений, показанных на
рисунке 7.2 б, по формуле

(7.6)
где t - глубина погружения шпунта ниже дна котлована, м;
в) для ограждения с несколькими ярусами креплений, показанных на
рисунке 7.2 в, - на 0,5 м ниже уровня грунта в котловане с применением верхнего яруса креплений, расположенного в пределах водонепроницаемого грунта.
а - при ограждениях, не имеющих распорных креплений;
б - при ограждениях с одним ярусом крепления;
в - при ограждениях с несколькими ярусами креплений
Рисунок 7.2 - Схемы для определения глубины проникания воды
между шпунтовой стенкой и водонепроницаемым грунтом
7.2.8 Все конструкции обвязок рассчитываются на соответствующие нагрузки и воздействия, включая собственный вес и вес оборудования. Изгибающий момент в элементе от веса обустройств и конструкций принимается не менее наибольшего изгибающего момента от равномерно распределенной нагрузки интенсивностью

(7.7)
где q1 - нагрузка, принимаемая равной 500 Па для верхнего яруса креплений и 250 Па для остальных ярусов;
F - площадь стенки котлована, приходящаяся на рассчитываемый элемент крепления, м2;
l - длина элемента, м.
7.2.9 Расчеты элементов шпунтовых ограждений на прочность выполняются с применением коэффициентов:
а) надежности по назначению:

- для шпунтовых ограждений на местности, покрытой водой;

- во всех остальных случаях;
б) по условиям работы, учитывающим возможность относительных смещений шпунтин в замках:
m = 0,7 - в случае слабых грунтов и отсутствия обвязок, прикрепленных к шпунту;
m = 0,8 - в случае тех же грунтов и наличия обвязок, прикрепленных к шпунту;
m = 1,0 - в остальных случаях;
в) по условиям работы, применяемым для расчета прочности шпунтовых стенок (но не креплений):
m = 1,15 - для стенок кольцевых в плане ограждений;
m = 1,10 - для стенок длиной менее 5 м, замкнутых в плане ограждений прямоугольной формы с промежуточными ярусами распорных креплений;
m = 1,0 - в остальных случаях.
7.2.10 Расчетные сопротивления элементов шпунтовых ограждений принимаются в зависимости от материала по условиям
разделов 11 -
13.
7.2.11 Расчетные геометрические характеристики стальных шпунтовых свай принимаются в соответствии с нормативными документами на их изготовление.
7.2.12 Для некоторых способов креплений шпунтовых ограждений рекомендуется применять методы расчета, предусмотренные в
приложении Д.
При соответствующей валидации расчетных моделей шпунтовых ограждений расчеты допускается выполнять с использованием специализированных программных расчетных комплексов.
7.2.13 Деформации шпунтовых ограждений не должны превышать допустимых значений, определяемых расчетом. При необходимости для минимизации деформаций допускается использовать обвязочно-распорные системы и другие конструкции аналогичного характера.
7.3 Проектирование тампонажной подушки
7.3.1 В случае превышения открытого водоотлива 0,2 м3/ч на 1 м2 площади котлована для обеспечения производства работ внутри котлована с максимальным ограничением водопритока через грунтовое дно проектируется тампонажная подушка, бетонируемая с помощью ВПТ.
7.3.2 При проектировании тампонажной подушки определяются:
- толщина тампонажного слоя бетона, принимаемая не менее 1 м;
- требуемая прочность тампонажного бетона;
- проверка прочности бетона тампонажа как изгибаемой плиты в случае, если наибольшее расстояние в свету между сваями и стенками ограждения котлована превышает минимальную толщину подушки в три раза и более;
- необходимость устройства разделительных щитов для бетонирования тампонажной подушки на большой площади котлована, когда невозможно обеспечить равномерность подачи бетона при подводном бетонировании;
- местоположение и конструкция водоприемного колодца для откачки воды из котлована, при необходимости.
7.3.3 Тампонажный слой бетона устраивается после сооружения всего свайного поля в котловане. Прочность бетона тампонажной подушки принимается не менее B15. При расчете тампонажного слоя на изгиб прочность бетона принимается на основании данного расчета, но не менее B15.
7.3.4 Тампонажный слой бетона не включается в состав основной конструкции ростверка или плиты фундамента, поэтому при устройстве фундаментов на естественном основании тампонажная подушка под плитой фундамента, как правило, не предусматривается.
7.3.5 Минимально необходимая толщина тампонажного слоя, показанного на
рисунке 7.3, определяется расчетом из условия равновесия тампонажной подушки и ограждения котлована в целом от воздействия гидростатического давления воды, вытесненной из всего объема ограждения котлована.
1 - тампонажный слой; 2 - свая фундамента;
3 - ограждение котлована
Рисунок 7.3 - Схема к расчету тампонажной подушки
7.3.6 Для определения минимально необходимой толщины тампонажного слоя
hб согласно
7.3.5 допускается использовать следующие формулы:
а) для проверки на сцепление свай фундамента с бетоном

(7.8)
где

- площадь котлована (без учета площади сечения свай), м
2;
h - глубина котлована от рабочего горизонта воды до низа тампонажной подушки, м;

- коэффициент надежности по нагрузке, принимаемый равным 0,9;

- удельный вес бетона, принимаемый 2,4 тс/м
3;

- удельный вес воды, принимаемый 1,0 тс/м
3;
k - количество свай;
U - периметр сечения сваи, м;

- удельное сцепление бетона тампонажной подушки со сваями, которое допускается принимать для железобетонных свай равным 20 тс/м
2, для металлических свай - 100 тс/м
2;
m - коэффициент условий работы, принимаемый равным 0,9;
б) для проверки на сцепление свай фундамента с грунтом

(7.9)
где Pсв - собственный вес сваи, тс;
Fсц - минимальное усилие сцепления сваи с грунтом, тс.
Примечание - Для соответствия единиц измерения величин в
формулах (7.8) и
(7.9) применяется размерность в тонна-силах.
7.3.7 Отметка верха тампонажного слоя бетона принимается с учетом туфообразного слоя подводного бетона, составляющего от 0,1 до 0,15 м при устройстве тампонажной подушки без разделительных щитов.
7.3.8 При проектировании тампонажной подушки также выполняется расчет прочности стенки и креплений, соответствующий полной откачке воды из котлована. Такой расчет производится при условии, что стенка рассматривается как многопролетная неразрезная балка, но нижняя опора принимается расположенной не менее чем на 0,5 м ниже верха тампонажной подушки.
7.3.9 Применение тампонажного слоя в котлованах с замкнутым шпунтовым ограждением при залегании глинистых грунтов ниже уровня подземных вод определяется фильтрационными характеристиками прорезаемых слоев.
8 Проектирование вспомогательных устройств, используемых для сооружения фундаментов
8.1 Для сооружения фундаментов СВСиУ требуется проектировать вспомогательные устройства. К таким устройствам относятся:
- шпунтовые ограждения;
- грунтовые перемычки;
- искусственные островки;
- закладные крепления;
- рабочие и буровые мостики;
- бездонные ящики и водонепроницаемые перемычки;
- направляющие каркасы;
- устройства, используемые для машин и оборудования при бурении скважин и погружении свай, оболочек, столбов;
- вспомогательные устройства для укладки подводного бетона;
- другие вспомогательные устройства.
8.2 Общие правила проектирования вспомогательных устройств для сооружения фундаментов приведены в
приложении Е.
9 Проектирование вспомогательных сооружений, устройств, приспособлений общего назначения
9.1.1 Положения настоящего подраздела распространяются на проектирование конструкций эстакад, предназначенных для установки и передвижения по ним в процессе строительства монтажных кранов на рельсовом ходу: козловых, башенных, дерриков и других (кроме железнодорожных).
9.1.2 Подкрановый рельсовый путь на эстакаде и на ее подходах располагается горизонтально и прямолинейно в плане. Предельный уклон пути, возникающий от прогибов пролетных строений длиной более 10 м на длине, равной половине длины пролета, допускается не более

.
9.1.3 Рабочая документация конструкции подкрановой эстакады должна включать: верхнее строение пути и путевое оборудование, нижнее строение, допуски, контролируемые при устройстве пути и его эксплуатации, а также указания по устройству и эксплуатации эстакады и, при необходимости, расчеты всех элементов эстакады.
9.1.3.1 При необходимости заезда крана с берега и/или технологических площадок в состав документации эстакады включаются подходы, сооружаемые из земляной насыпи высотой, как правило, не более 2 - 3 м с рельсовым путем.
9.1.3.2 Для верхнего строения эстакады составляется документация на мостовое полотно, включая рельсы, скрепления, поперечины, элементы прикрепления рельс к поперечинам, охранные и противоугонные элементы.
9.1.3.3 Для путевого оборудования в документации предусматриваются: тупиковые упоры, ограничители передвижения, лотки для предотвращения износа кабеля, питающего электроэнергией краны, двусторонние перильные ограждения, настилы, предусмотренные
9.3, предупреждающие знаки.
9.1.3.4 Для нижнего строения разрабатывается документация на пролетные строения, прогоны, опоры и фундаменты опор, для мостовых кранов - на колонны, стены, фундаменты.
9.1.4 Конструкция мостового полотна эстакады должна обеспечивать стабильное положение рельсовых нитей, передавать усилия на пролетные строения, обеспечивая безопасную работу эксплуатации кранов.
9.1.5 При любом положении кранов, в том числе и в условиях их работы, все элементы мостового полотна, такие как тип рельса и его крепления, сечение подкладок и поперечин, расстояние между поперечинами, проектируются по расчету с учетом указаний паспорта крана и с учетом следующих требований:
а) рельсы на эстакаде применяются новые или старогодние групп годности I и II, прошедшие проверку и ремонт в рельсосварочных организациях РЖД или в организациях, имеющих соответствующие паспорта и сертификаты;
б) рельсы устанавливаются на плоские металлические подкладки, возможность применения которых подтверждается расчетом (подкладки с наклонной опорной площадкой для подкрановых путей не допускаются);
в) соединение рельсов с деревянными поперечинами наиболее предпочтительно клеммно-шурупного типа;
г) стыки рельсов перекрываются парными двухголовыми шестидырными накладками на болтах с пружинными шайбами;
д) рельсовые зазоры в стыках назначаются в соответствии с предполагаемой температурой рельсов (максимальный зазор при устройстве пути допускается не более 6 мм, при эксплуатации пути - не более 12 мм);
е) брусья-поперечины прикрепляются к пролетному строению лапчатыми болтами с пружинными шайбами;
ж) шурупы и костыли устанавливаются в просверленные гнезда, заполненные битумной мастикой по
ГОСТ 32870 с учетом дорожно-климатической зоны строительства;
и) стыки рельсов и соединения рельсов с поперечинами должны обеспечивать возможность продольного перемещения пролетных строений относительно рельсового пути, для чего рельсы объединяются в звенья, закрепленные у неподвижных концов пролетного строения затяжкой клемм и противоугонными устройствами, а на подвижных участках клеммы не должны препятствовать передвижению рельс по рельсовым подкладкам;
к) деревянные брусья-поперечины применяются из сосны первого сорта по
ГОСТ 8486 (для предупреждения трещин брусья укрепляются болтами, проволокой или скобами);
л) профиль пути со строительным подъемом на пролетных строениях длиной более 12 м обеспечивается врубками или прокладками из досок, прикрепляемых снизу бруса-поперечины гвоздями;
м) на внешних сторонах подкранового пути предусматриваются охранные брусья или уголки;
н) предусматриваются проходы шириной не менее 80 см и двусторонние перила согласно
9.3 (при проектировании козловых кранов это требование относится к каждой ноге крана);
п) расстояние в свету от перильного ограждения до движущихся частей крана должно быть не менее 80 см;
р) требования к другим видам путевого оборудования и устройствам геодезической основы для планово-высотного положения рельсового пути принимаются в соответствии с
ГОСТ Р 51248 и с учетом
[4] и
[5].
9.1.6 При оформлении документации эстакады указываются места монтажа кранов, взаимное расположение кранов на эстакаде, места установки кранов в нерабочем положении с соответствующими расчетами прочности и устойчивости элементов эстакады.
9.1.7 Проектирование рельсового пути на подходах к эстакаде, верхнего строения, нижнего строения и путевого оборудования выполняется в соответствии с
ГОСТ Р 51248, по
[5], с учетом
[6] и
[7].
9.1.8 Предельно допустимые величины отклонений рельсовых путей от проектного положения в плане и профиле при устройстве и эксплуатации принимаются по
[5].
При назначении предельно допустимых отклонений колеи рельсового пути учитываются поперечные деформации пролетных строений и опор от усилий в соответствующих сочетаниях нагрузок, приведенных в
таблицах 11 и
12.
Таблица 11
Сочетания нагрузок для поворотных кранов
(башенных и дерриков)
| Нагрузки и воздействия | Сочетание нагрузок |
1 | 2 | | | |
| Собственный вес рассчитываемых элементов опоры (эстакады) | + | + | + | + | + |
| Вес монтажного крана | + | + | + | + | + |
| Номинальный вес груза: | | | | | |
- без динамики | + | - | + | - | - |
- с динамикой | - | + | - | + | - |
| Инерционные силы при торможении и вращении крана | + | - | + | - | - |
| Давление ветра: | | | | | |
- на рассчитываемый элемент | - | - | + | + | + |
- на кран | - | - | + | + | + |
- на груз | - | - | + | + | - |
Примечание - Интенсивность давления ветра в третьем и четвертом сочетаниях нагрузок принимается при V = 15 м/с, а в пятом - по расчетной интенсивности. |
Таблица 12
Сочетания нагрузок для козловых кранов
| Нагрузки и воздействия | Сочетание нагрузок |
| 2 | | | 5 | 6 | 7 | 8 | | |
| Вес номинального груза Gгр | + | + | + | + | + | + | - | - | + | + |
| Собственный вес монтажного крана Gi | + | + | + | + | + | + | + | + | + | + |
| Собственный вес элементов эстакады | + | + | + | + | + | + | + | + | + | + |
| Инерционная сила при торможении грузовой тележки H'i | + | - | + | + | - | - | - | - | - | - |
| Инерционная сила при торможении крана Hi | - | + | - | - | + | + | - | - | - | - |
Продольная сила при заклинке одной из ног крана (перекос крана) Tпер | - | - | - | - | - | - | - | - | + | - |
| Продольный ветер Wi при V = 15 м/с | - | - | + | - | + | - | - | - | - | - |
| Поперечный ветер Wi при V = 15 м/с | - | - | - | + | - | + | - | - | - | - |
| Продольный ветер расчетной интенсивности W'i | - | - | - | - | - | - | + | - | - | - |
| Поперечный ветер расчетной интенсивности (перекос крана) W't | - | - | - | - | - | - | - | + | - | - |
9.1.9 Подкрановые эстакады рассчитываются по первому и второму предельным состояниям на нагрузки и воздействия в их невыгодном сочетании.
9.1.10 Расчет эстакад под козловые краны типов К-451, К-651 и др. производится отдельно под жесткую и гибкую или шарнирную ноги крана в продольном и поперечном направлениях, показанных на
рисунке 9.1, на следующие нагрузки:
а) собственный вес пролетных строений эстакады Gпс;
б) собственный вес опор эстакады Gо;
в) давление на эстакаду ветра через пролетные строения Wпс и опоры Wо;
г) нагрузки от перемещающегося по эстакаде крана:
1) вертикальная P;
2) горизонтальная продольная N;
3) горизонтальная поперечная Q от перекоса крана.
а - к пролетному строению; б - к опоре в продольном
направлении; в - к опоре в поперечном направлении
Рисунок 9.1 - Схемы приложения нагрузок
в подкрановых эстакадах
9.1.11 Усилия
P,
Q и
N, показанные на
рисунке 9.1, считаются приложенными в уровне головки рельса подкранового пути и определяются под гибкой и жесткой ногами крана с учетом положения и особенностей передачи горизонтальных воздействий на гибкую и жесткую ноги в козловых кранах.
9.1.12 При определении усилий по сочетаниям 3, 4, 5 и 6, предусмотренным в
таблицах 11 и
12, временные нагрузки учитываются с коэффициентом сочетаний

.
9.1.13 Вес груза учитывается без динамического коэффициента в
сочетаниях 1 -
9, в
сочетании 10 - с динамическим коэффициентом.
Gжн, Gгн, Gр, Gхт, Gг, Gгр - веса собственно жесткой ноги, гибкой ноги, ригеля, ходовой тележки, грузового полиспаста, груза;
Wт, Wр, Wжн, Wгн, Wгр - усилия от продольно направленного ветра, приходящиеся соответственно на грузовую тележку, ригель, жесткую и гибкую ноги, груз;
W'т, W'р, W'жн, W'гн, W'гр - усилия от поперечно направленного ветра, приходящиеся соответственно на грузовую тележку, ригель, жесткую и гибкую ноги, груз;
Hт, Hр, Hжн, Hгн, Hгр - инерционные силы при торможении крана, приложенные соответственно к грузовой тележке, ригелю, жесткой ноге, гибкой ноге, грузу;
H'т, H'гр - инерционные силы при торможении тележки и груза.
Направление инерционной силы от торможения грузовой тележки принимается совпадающим с направлением поперечного ветра, а положение тележки принимается максимально приближенным к ноге крана, в сторону которой действует сила торможения тележки, показанная на
рисунке 9.2.
а - на жесткую ногу; б - на гибкую ногу
Рисунок 9.2 - Схема приложения нагрузок к козловому крану
9.1.15 При учете воздействия на опоры ледохода и волновой нагрузки последние в сочетаниях с технологической нагрузкой принимаются с коэффициентом сочетаний

, в сочетании с ветровой нагрузкой

.
9.1.16 Величина продольных усилий от кранов, передаваемых через рельсы и пролетные строения на опоры эстакады, определяется с учетом величины вертикальных реакций, длины рельсовых путей, пролетов эстакады и их прикрепления к опорным элементам, типа опорных частей, а также жесткости опор и температурных воздействий.
| | ИС МЕГАНОРМ: примечание. В официальном тексте документа, видимо, допущена опечатка: сочетания 6, 7 и 8 в таблице 11 отсутствуют. | |
9.1.17 Для поворотных кранов башенных и дерриков в
сочетаниях 5 и 6 таблицы 11 направление стрелы крана принимается совпадающим с направлением ветра, а в сочетаниях 7 и 8 - перпендикулярно направлению ветра.
9.1.18 Наибольшие прогибы от временной нагрузки пролетных строений подкрановых эстакад для кранов, перемещающихся на рельсовом ходу, не должны превышать величины 1/500L, где L - расчетный пролет балки эстакады.
9.1.19 Обеспечение предельно допустимого уклона
i <= 0,003 для пролетов более 12 м от суммарной нагрузки на половине длины пролета производится с учетом
10.1.5.
9.2 Рабочие технологические мосты
9.2.1 Рабочие технологические мосты предназначены для выполнения с них монтажных работ, проезда техники и прохода людей, выполняющих работы по строительству мостовых сооружений, проектируются прямыми в плане и с продольным уклоном не более 1,0%.
Рабочие технологические мосты на реках с ледоходом располагаются с низовой стороны строящегося моста, если сам рабочий мост не предназначен для сооружения опор такого моста.
9.2.2 Ширина проезда по рабочему технологическому мосту определяется габаритами используемой для проезда строительной техники и принимается:
- не менее 3,8 м между колесоотбоями для проезда в одном направлении;
- не менее 7,6 м между колесоотбоями для проезда в двух направлениях.
9.2.3 Сопряжение рабочего технологического моста с насыпью разрешается выполнять в виде аппарели или въездного щита соответствующей несущей способности.
9.2.4 Пролетные строения рабочего технологического моста рекомендуется проектировать металлическими, разрезной конструкции, с опиранием на опорные деревянные брусья, стальные балки. При длине пролетных строений более 18 м - с опиранием на опорные части. При закреплении пролетных строений должны учитываться возможные температурные перемещения и тормозные силы.
9.2.5 Опоры рабочего технологического моста в зависимости от условий строительства проектируются свайными с надстройкой преимущественно из инвентарных элементов, а при невозможности забивки свай - ряжевыми или рамно-ряжевыми. Как исключение допускается применение клеточных опор.
9.2.6 Крепление пролетных строений к опорным деревянным брусьям предусматривается штырями на каждом конце, а к металлическим балкам ростверка - болтами, пропущенными через овальные отверстия. При этом тормозные силы допускается принимать равномерно распределенными между двумя опорами.
9.2.7 Для обеспечения общей устойчивости пролетных строений (прогонов, пакетов) в необходимых по расчету случаях предусматривается постановка жестких поперечных связей сжатых поясов и неизменяемых продольных связей с учетом следующих условий:
- распорки между сжатыми поясами применяются в качестве поперечных связей лишь в том случае, если они являются элементами неизменяемых поперечных и продольных связей;
- допускается принимать узлы сбалчивания пакетов из двутавров через деревянные прокладки, размещенные по всей высоте балки;
- не допускается принимать деревянные настилы и деревянные распорки-прокладки в качестве жестких закреплений в системе продольных и поперечных связей для соединений пакетов в пролетные строения.
9.2.8 Проезжая часть рабочего технологического моста из сборных железобетонных плит проектируется с учетом следующих правил:
- используются типовые дорожные или индивидуальные железобетонные плиты в зависимости от заданных условий;
- опирание плит на пояса стальных главных балок осуществляется через прокладки (деревянные, резиновые, полимерные и др.), при необходимости зафиксированные на плитах эластичным клеевым составом;
- закрепление плит на главных балках от горизонтального смещения производится при помощи фиксаторов, соответствующих конструкции плит;
- колесоотбойный брус фиксируется в проектном положении при помощи анкерного крепления.
9.2.9 Проезжая часть рабочего технологического моста из настила на деревянных поперечинах проектируется колейного типа:
- поперечины применяются из деревянного бруса или из бревен, опиленных на два канта с шириной канта не менее 1/3 диаметра;
- колейный настил устраивается из досок, пришитых не реже чем через 1,5 м к поперечинам гвоздями диаметром от 4 до 4,5 мм и длиной от 100 мм;
- закрепление на настиле колесоотбойного бруса высотой от 15 см предусматривается связующими болтами диаметром от 20 мм, устанавливаемыми с шагом не более 1 м;
- сечение и шаг поперечин и толщина досок настила определяются расчетом;
- внутреннее расстояние между проезжими частями колей не должно быть более 0,8 м;
- межколейный промежуток предусматривается из щитов настила или огражденным внутренними колесоотбоями;
- для пропуска техники преимущественно с гусеничной нагрузкой вместо колейного настила допускается покрытие из слоя гравия толщиной не менее 10 см по сплошному настилу из поперечин.
9.2.10 На рабочем технологическом мосте проектируются односторонние или двухсторонние проходы шириной от 0,75 м и двухстороннее перильное ограждение высотой не менее 1,1 м.
9.2.11 Для конструкции рабочего технологического моста под стреловые самоходные краны в необходимых случаях проектируются специальные площадки для установки выносных опор-аутригеров крана в местах, предусмотренных технологической схемой монтажных работ.
9.2.12 Расчет рабочего технологического моста производится на сочетания нагрузок, приведенных в
таблице 13, с учетом коэффициентов сочетаний нагрузок

.
Таблица 13
Сочетания нагрузок для рабочих мостиков
| Нагрузки и воздействия | Пролетные строения | Опоры и основания |
сочетания нагрузок |
| |
Постоянные нагрузки и воздействия |
| Собственный вес конструкции | + | + |
| Давление от веса грунта (горизонтальная нагрузка от активного давления или вертикальная нагрузка от грунта, расположенного на каких-либо уступах) | - | + |
Временные подвижные нагрузки и их воздействия |
| Вертикальная нагрузка от транспорта или кранов | + | + |
| Давление грунта от воздействия временной вертикальной нагрузки | - | + |
| Тормозная нагрузка | - | + |
Прочие временные нагрузки и воздействия |
| Ветровая нагрузка (расчетная) | + | + |
| Горизонтальное давление льда | - | + |
Примечания 1 Тормозная нагрузка не учитывается при ограничении скоростей движения до 5 км/ч. 2 При определении нагрузок на колесо или выносную опору стрелового крана расположение стрелы принимается самым невыгодным из двух вариантов: - наибольший вылет с минимальным грузом; - наименьший вылет с максимальным грузом. 3 Расчет рабочих технологических мостов производится с учетом следующих коэффициентов для некоторых сочетаний и нагрузок: |
9.2.13 Рабочие технологические мосты рассчитываются на нагрузки по первой и второй группам предельных состояний. Динамический коэффициент к временной нагрузке принимается 1,05 при скорости движения до 10 км/ч, при скорости более 10 км/ч - по СП 35.13330.2011
[формула (6.19)].
9.2.14 Наибольшие прогибы пролетных строений от временной нагрузки не должны превышать 1/300L, где L - расчетный пролет балки.
9.3 Средства подмащивания
9.3.1 Рабочие места, предназначенные для производства строительно-монтажных работ на высоте или глубине более 1,8 м от уровня земли или поверхности сплошной строительной конструкции (ростверк, верх опоры, плита проезжей части и т.п.), проектируются оснащенными средствами подмащивания с ограждениями. Основные характеристики средств подмащивания установлены в
ГОСТ Р 58752.
9.3.3 К стандартным или инвентарным средствам подмащивания и ограждения, используемым при производстве мостостроительных работ, относятся:
- леса стоечные приставные в соответствии с
ГОСТ 27321;
- люльки для строительно-монтажных работ в соответствии с
ГОСТ 27372;
Примечание - Инвентарные средства подмащивания используются на основании паспорта организации-изготовителя по форме, предусмотренной
ГОСТ Р 58752.
9.3.4 Средства подмащивания индивидуальной конструкции применяются в случаях, учитывающих специфические условия и требования, а также особенности технологии мостостроительных работ на определенных участках.
9.3.5 Размеры средств подмащивания по настилу должны обеспечивать удобные и безопасные условия производства строительно-монтажных работ с учетом габаритов применяемых инструментов и технологической оснастки.
9.3.6 Независимо от технологических условий ширина подмостей в свету должна быть не менее 1,0 м, ширина проходов в рабочей зоне - не менее 0,8 м, а между участками работ и в подвесных люльках - не менее 0,6 м. Высота проходов в свету должна быть не менее 1,8 м.
В особо стесненных условиях, на ограниченных участках, при необходимости допускается предусматривать меньшие габариты подмостей и проходов.
На протяженных участках подмостей лестницы должны быть расположены на расстоянии не более 40 м друг от друга. На подмостях длиной менее 40 м устанавливается не менее двух лестниц.
9.3.7 Настилы подмостей всех видов и люлек предусматриваются без щелей и зазоров. Зазор между краем настила и монтируемой конструкцией должен быть не более 10 см.
9.3.8 На подмостях в зонах сборки болтовых стыков предусматривается сплошное мелкосетчатое ограждение высотой от 1,8 до 2,0 м.
9.3.9 Высота перильного ограждения принимается не менее 1,1 м. Расстояние между горизонтальными элементами ограждения в вертикальной плоскости должно быть не более 0,45 м. Допускается применять в качестве ограждения сетчатое или решетчатое заполнение.
Высота бортового ограждения настила должна быть не менее 0,15 м.
9.3.10 Для подъема работающих на рабочие места, расположенные на высоте, в соответствии с
ГОСТ Р 58752 и с учетом положений
[8] проектируются лестницы определенной высоты:
- до 10 м - навесные, неподвижно прикрепленные к конструкциям сооружения;
- до 20 м - приставные, закрепленные к конструкциям сооружения вертикально и наклонно;
- до 30 м - маршевые.
9.3.11 Для обеспечения подъема на высоту более 30 м, как правило, проектируются пассажирские или грузопассажирские подъемники в соответствии с
ГОСТ 33558.1; также допускается проектирование лестниц необходимой высоты.
9.3.12 Лестницы высотой более 5 м проектируются с ограждением из металлических дуг с вертикальными связями, надежно прикрепленных к конструкциям. Для всех лестниц проектируются площадки отдыха не реже чем через каждые 10 м по высоте.
9.3.13 Угол наклона приставных лестниц должен быть более 60° к горизонтальной поверхности. Наклон переходных трапов не должен быть более 1:3.
9.3.14 Несущие элементы средств подмащивания, как правило, выполняются из металла, деревянный настил - из древесины хвойных и лиственных пород первого и второго сорта по
ГОСТ 8486 и
ГОСТ 2695.
9.3.15 Вес сборочных элементов, приходящихся на одного работника, при ручной сборке средств подмащивания не должен быть более:
- 28 кг - при монтаже на высоте;
- 50 кг - при монтаже на земле или перекрытии.
9.3.16 Элементы средств подмащивания и конструкция в целом рассчитываются по прочности и устойчивости положения и по деформациям.
9.3.17 Равномерно распределенная вертикальная
<*> нагрузка принимается равной:
- 2,5 кПа - при расчете горизонтальных элементов подмостей;
- 2,0 кПа - при расчете вспомогательных опор, пирсов, рабочих мостиков и т.п. с длиной загружаемого участка менее 60 м;
- 1,0 кПа - то же, с длиной загружаемого участка 60 м и более.
--------------------------------
<*> Загружаются участки подмостей, не занятые монтируемой или бетонируемой конструкцией.
9.3.18 Сосредоточенная нагрузка принимается равной:
1300 Н - вертикальная, приложенная в середине пролета несущих горизонтальных элементов, - при расчете по предельным состояниям первой группы (при ширине досок менее 15 см, сплоченных поперечными планками, нагрузка распределяется на две доски);
600 Н - вертикальная, приложенная в середине пролета, - при расчете досок настила по предельным состояниям второй группы (при ширине досок опалубки, настила, ступеней лестниц и т.п. менее 15 см нагрузка распределяется на две доски);
700 Н - поочередно вертикальная и горизонтальная, приложенная в середине пролета ограждений, и горизонтальная, а также приложенная к верху стоек ограждений - при расчете по предельным состояниям второй группы (по гибкости).
9.3.19 Нагрузка для подвесных подмостей принимается с учетом веса материалов и инструмента:
- 1200 Н - на одного рабочего;
- 2500 Н - на двух рабочих.
9.3.20 Величины нормативных нагрузок указываются в соответствующих рабочих чертежах.
9.3.21 Для расчетов средств подмащивания и ограждений принимаются следующие коэффициенты:
а) коэффициенты надежности по нагрузке:

- от веса людей и материалов (

для подмостей сборно-разборных);

- от собственного веса;
б) коэффициенты надежности по назначению:

- при расчете креплений средств подмащивания к строительным конструкциям;

- при расчете стержневых подвесок;
в) коэффициент условий работы m = 1,5 - при расчете перильного ограждения.
9.3.22 Предельные значения прогибов горизонтальных элементов не должны превышать:
- 0,5 см - для поручней ограждений;
- 0,25 см - для досок и настилов.
9.4 Ледорезы и карчеотбойники
9.4.1 Для защиты рабочих мостиков, монтажных подмостей подкрановых эстакад, шпунтовых ограждений от ледохода впереди них применяются ледорезы. Ледорезы, как правило, располагаются отдельно от опор, защищаемых СВСиУ, на расстоянии до 3 м.
9.4.2 Ширина ледореза назначается равной или более ширины опоры. Верх ледорезов располагается не менее чем на 0,5 м выше уровня ледохода с вероятностью превышения 10%. Передний конец режущего ребра ледореза должен быть ниже уровня низкого ледохода не менее чем на 0,5 м. Наружные поверхности ледореза не должны иметь выступающих углов.
9.4.3 На реках, промерзающих до дна, применяются ряжевые ледорезы или шатровые с ряжевым основанием.
9.4.4 Сваи шатровых ледорезов в продольном направлении располагаются с шагом от 2 до 3 м.
9.4.5 Уклон режущего ребра шатра в направлении ледового воздействия должен быть от 1:1,5 до 1:1,75. Уклоны боковых граней - от 1:1,5 до 1:2,5.
9.4.6 Режущее ребро ледореза проектируется из трех сплоченных бревен, усиленных уголком или листовым железом толщиной не менее 6 мм на ширине не менее 20 см.
9.4.7 На водотоках со слабым ледоходом и грунтами, допускающими забивку свай, применяются кустовые ледорезы с крыльями и без них по четыре - семь свай. Глубина забивки свай ледорезов без крыльев должна быть, как правило, не менее 4 м.
9.4.8 Сваи кустового ледореза предусматривается объединять болтами и хомутами из полосовой стали, устанавливаемыми через 1 м.
9.4.9 Задние сваи кустовых ледорезов с крыльями располагают на расстоянии 2,5 м от куста свай и связывают их подкосами и обшивкой, образующей крылья.
9.4.10 На водотоках с грунтами, допускающими забивку свай, применяются цилиндрические ледорезы из сплошного ряда деревянных или стальных свай, забитых по контуру круга диаметром, равным ширине опоры моста. Внутри ледореза предусматривается каменная засыпка, снаружи ледореза - хомуты из полосового металла с расстоянием между ними 1,5 м.
9.4.11 Элементы шатра проектируются объединенными в продольном и поперечном направлениях схватками и подкосами. В узлах примыкания применяются металлические хомуты и болты.
9.4.12 Обшивка шатровой части предусматривается сплошной с направлением пластин обшивки толщиной не менее 8 см в направлении ледового воздействия. Пластины прикрепляются к раме гвоздями длиной не менее 200 мм.
9.4.13 Для рамы надстройки шатрового ледореза применяются бревна диаметром не менее 24 см.
9.4.14 При необходимости подводная часть ледореза защищается ряжевой рубашкой с каменной засыпкой.
9.4.15 Предусматривается соединение ледореза с защищаемой конструкцией переходами.
9.4.16 Ледорезы рассчитываются на действие собственного веса с коэффициентом надежности по нагрузке

и расчетное давление льда.
9.4.17 Перед опорами на горных и полугорных реках, несущих в период паводков карчи, предусматриваются карчеотбойники на расстоянии от 2,5 до 3,0 м.
9.4.18 Карчеотбойник проектируется из двух рядов деревянных свай диаметром от 26 до 30 см, расположенных под углом друг к другу, соединенных схватками и обшитых снаружи в два слоя досками толщиной 5 см.
При необходимости карчеотбойник проектируют с применением других материалов и конструкций.
9.4.19 По переднему ребру карчеотбойника, обращенному против течения, закрепляется вертикально рельс. Внутри предусматривается каменная засыпка. Высота карчеотбойника назначается не менее чем на 0,5 м выше рабочего уровня воды.
9.4.20 Карчеотбойники рассчитываются на удар одиночного бревна по
формуле (5.32).
9.5.1 Причалы предусматриваются для перегрузки грузов и конструкций, заезда строительной техники на плавсредства и перевозки людей во время строительства моста.
9.5.2 Расположение причалов назначается из условия обеспечения длины свободного пространства акватории с каждой стороны причала, которая должна быть, как правило, не менее двойной длины наибольшего судна. Местоположение причала выбирается в основном с низовой стороны строящегося моста с учетом естественных условий, обеспечивающих удобный подъезд к нему и защиту сооружения от ледохода и волны.
9.5.3 Причалы проектируются как сплошные шпунтовые стенки, ряжевые, на сваях или плавучие. Выбор типа конструкции причала производится в зависимости от геологических и гидрогеологических условий, грузоподъемности и типа применяемых кранов, от конструкции и назначения обслуживаемых плавсредств и, при необходимости, с учетом положений
[9].
9.5.4 Расчетный судоходный уровень назначается с учетом планируемого характера движения судов и, как правило, должен соответствовать межпаводковому уровню межени.
При необходимости эксплуатации причала в паводковый период за расчетный судоходный уровень принимается отметка паводкового горизонта с вероятностью превышения расхода 50% на основании данных гидрометеорологических изысканий, а в случае отсутствия таковых определяется по рекомендациям
[10].
9.5.5 Глубина акватории у причала определяется исходя из наибольшей осадки судна, навигационного запаса глубины, равного 0,2 м, запаса на засорение акватории, равного 0,3 м, а также запаса на сгон воды. При необходимости предусматриваются дноуглубительные работы.
На реках с регулируемым стоком учитываются суточные и сезонные колебания уровня.
9.5.6 Отметка верха причала назначается с учетом высоты швартующихся плавсредств. Разность между отметкой палубы пассажирского судна и отметкой площадки, как правило, должна находиться в пределах +/- 0,75 м.
Примечание - В случае швартовки плавсредств с разной высотой или в случае значительной разности в уровнях воды, на которых эксплуатируется причал, он проектируется с площадками в разных уровнях или предусматривается оборудование причала лестничными сходами.
9.5.7 На причалах предусматриваются швартовные и отбойные устройства, колесоотбои высотой не менее 20 см, леерные и перильные ограждения высотой не менее 1,1 м.
Отбойные устройства предусматриваются навесными из отдельных секций, без жестких креплений к причалу.
9.5.8 Закрепление плашкоута, предназначенного под причал, предусматривается установкой не менее чем на четыре якоря или возможностью швартоваться за тумбы на берегу.
9.5.9 При навесных отбойных устройствах верхняя часть деревянной свайной причальной стенки обшивается деревянными пластинами толщиной не менее 12 см. Сваи защищаются от истирающего действия льда.
9.5.10 Съезды от причала к береговой территории предусматриваются крутизной не более 10%. Лестничные сходы с причалов на берег должны иметь уклон не более 1:3 и иметь двустороннее боковое ограждение.
Переходные мостики с причальных плашкоутов должны шарнирно крепиться к плашкоуту и свободно опираться на береговую опору.
9.5.11 Конструкция причала в целом и отдельных узлов рассчитывается на действие следующих нагрузок:
- собственного веса;
- от навала судна при причаливании в уровне отбойных устройств;
- от гидродинамического и ветрового воздействия на ошвартованные суда;
- от веса людей, инструмента и оборудования интенсивностью до 4 кПа;
- от веса складируемых грузов, предусмотренных для грузовых причалов;
- от подъемных и транспортных механизмов, передающих вертикальные и горизонтальные нагрузки;
- от давления грунта, действующего на причальные стенки.
9.5.12 Конструкция узлов ростверков свайных причалов должна обеспечивать передачу горизонтальных швартовых нагрузок через насадки и балки ростверка на сваи.
9.5.13 Расчет свайных фундаментов причальных сооружений, включая определение нагрузки от горизонтального давления грунта на причальные стенки, производится с учетом
8.2.
9.5.14 Плавучие причалы рассчитываются на остойчивость и плавучесть по
10.7.
9.5.15 Причалы оборудуются противопожарным и спасательным инвентарем.
9.6.1 Для закрепления вант, оттяжек, блоков полиспастов, отводных роликов, тяговых и анкерных тросов на суше предусматриваются полузакопанные, закопанные якоря, в том числе свайные и закладные, и наземные якоря.
9.6.2 Свайные якоря проектируют из одиночных бревен или брусьев, пакетов из них, железобетонных и стальных свай-стоек, забиваемых или закапываемых в грунт с соблюдением условий:
- якорь усиливается плитами или щитами в верхней части, расположенными со стороны внешнего усилия;
- сваи якоря закапываются или забиваются в грунт под углом около 90° к направлению внешнего усилия;
- отдельные бревна свайных якорей объединяются между собой и со щитом болтами диаметром не менее 20 мм;
- опирание тяжей или тросов на деревянные элементы производится перпендикулярно направлению усилия через металлические прокладки (тросы или тяжи закрепляются скобами для предотвращения соскальзывания).
9.6.3 При проектировании свайных якорей выполняются расчеты на прочность сечения столбов, плиты, щита и др., на глубину заделки столбов.
9.6.4 Расчет прочности свайного якоря производится на уровне на 0,75 м ниже поверхности грунта и без учета отпора верхней части грунта с соблюдением условий:
- момент сопротивления якоря из пакета бревен или брусьев принимается равным сумме моментов сопротивления отдельных бревен или брусьев, т.е. без учета их совместной работы;
- при устройстве врубки в месте опирания троса или тяжа дополнительно проверяется опорное сечение.
9.6.5 Свайные якоря проверяют на выдергивание от действия составляющей, направленной вдоль свай, как для висячей сваи, работающей на трение, по формуле

(9.1)
Значения

и

для закопанных якорей принимаются по данным СП 22.13330.2016
(приложение А), как для насыпного грунта. Глубину
t0, м, рекомендуется определять по
Д.1 приложения Д.
9.6.6 Величина заглубления столба якоря
h, м, и размеры опорной плиты
a,
b,
d, м, показанные на
рисунке 9.3, назначаются из условия
h > 1,15
t0.
Рисунок 9.3 - Свайный якорь
9.6.7 Сечение элементов плиты рассчитывается в предположении равномерного реактивного давления по всей площади плиты.
9.6.8 Расчет закапываемых закладных якорей в виде зарытой в землю плиты, или горизонтального бревна, или пакета бревен со щитом или без него, показанных на
рисунке 9.3, по несущей способности проводят по формуле

(9.2)
где

- расчетная выдергивающая сила, передаваемая на плиту якоря;

- коэффициент надежности по назначению:
1,0 - для устройств горизонтальной перекатки;
1,2 - для сухопутных анкеров плавучих систем и анкеров лебедок, работающих на подъем;
gф - вес плиты якоря, т;

- угол наклона силы

к вертикали;
Nн - несущая способность основания плиты якоря, определяемая по формуле

(9.3)
где

- удельный вес насыпного грунта засыпки, кН/м
3;
V - объем обелиска выпирания, м
3, определяемый по
рисунку 9.4;

- площадь боковой поверхности грани обелиска выпирания, м
2;
c0 = 0,5c, где c - удельное сцепление грунта;

- углы наклона к вертикали граней обелиска выпирания, показанные на
рисунке 9.4 (

- угол внутреннего трения насыпного грунта засыпки).
Рисунок 9.4 - Расчетная схема закопанного закладного якоря
9.6.9 Расчет прочности сечений самой плиты или пакета бревен производится на равномерно распределенную по площади нагрузку, определяемую по формуле

(9.4)
где F - площадь плиты или пакета, м2.
9.6.10 Наземные якоря проверяются на подъем и сдвиг:
а) на подъем якорь проверяют по формуле

(9.5)
где Q - вес якоря;
P - расчетное усилие на якорь;

- угол наклона усилия
P к горизонту;
б) проверку якоря на сдвиг выполняют по формуле

(9.6)
где f - коэффициент трения нижней поверхности якоря о грунт.
Примечание - Коэффициент трения для якоря-присоса принимается по
таблице 4.
9.7 Специальные устройства для производства работ со льда
9.7.1 Для производства работ на строительстве мостового сооружения зимой в акватории водоемов допускается устраивать ледовые переправы, дороги и размещать на льду грузоподъемные краны, копры и технологическое оборудование с применением специальных устройств для производства работ со льда.
9.7.2 Проектирование специальных устройств, предназначенных для производства работ со льда, выполняется в соответствии с требованиями ГОСТ Р 12.3.048-2002
(подраздел 5.5) и, при необходимости, с учетом данных
таблицы 14.
Таблица 14
Требуемые параметры ледяного покрова в зависимости
от нагрузки
Наименование груза | Наибольшая нормативная нагрузка Qn, кН | Толщина ледяного покрова, см, при температуре воздуха от -20 °C до -30 °C | Минимальное расстояние между нагрузками, м, на льду |
речного | морского | речном | морском |
Человек со снаряжением | 1 | 6 | 9 | 3 | 4 |
Автомашина (трактор) | 30 | 27 | 38 | 11 | 15 |
60 | 37 | 52 | 15 | 21 |
80 | 43 | 61 | 17 | 25 |
100 | 49 | 69 | 19 | 28 |
200 | 71 | 101 | 28 | 40 |
320 | 91 | 129 | 36 | 51 |
Примечания 1 Данные Qn для стабильной отрицательной температуры воздуха от -20 °C до -30 °C. 2 Грузоподъемность льда весной уменьшается вдвое. При появлении на льду воды нагрузка на лед снижается на 80%. 3 При измерениях учитывается только толщина прочных слоев льда. Слой снежного и пористого, пропитанного водой, льда из общей толщины исключается. |
9.7.3 Требуемая толщина льда принимается на 30% больше значений, приведенных в
таблице 14 при забивке шпунта, свай и в других случаях, когда нагрузка длительное время будет находиться на льду.
9.7.4 Допускаемое время t, ч, нахождения на льду фактической нормативной нагрузки Qнф вычисляют по формуле

(9.7)
где
Qn - наибольшая нормативная нагрузка по
таблице 14.
9.7.5 Для увеличения грузоподъемности применяется послойное намораживание льда поверх ледяного покрова на толщину не более 30% его начальной толщины. Способы намораживания льда при необходимости принимают с учетом
[11].
9.7.6 Для расчетов грузоподъемности ледяного покрова учитывают приведенную толщину льда h
h = h1 + 0,7h2, (9.8)
где h1 - толщина естественного льда;
h2 - толщина искусственно полученного льда.
9.7.7 Для повышения грузоподъемности ледяного покрова, имеющего толщину менее 30 см, укладывается верхнее строение из деревянных поперечин и прогонов с заливкой их водой и замораживанием.
Длина поперечин должна быть не менее чем на 2 м больше ширины груза. Поперечины укладываются с шагом не более 0,5 м. Для перемещения техники поверх поперечин укладывают колеи из бревен или брусьев со стыками вразбежку.
Долю нагрузки Qл, кН, приходящейся на ледяной покров, вычисляют по формуле

(9.9)
где

(9.10)
где P - общая нагрузка, кН;
JnEn - жесткость поперечины, Н·см2;
bn - шаг укладки поперечин, см;
hл - толщина льда, см;
Eл - модуль упругости льда, равный 107 Н/см2.
9.7.8 При установке копров на льду под передние, наиболее нагруженные их части укладывают щиты из бревен диаметром от 20 см длиной, не менее чем на 3 м превышающей ширину копра.
9.7.9 Майна для опускания свай устраивается с минимально необходимыми размерами и раскрывается по мере забивки свай.
9.7.10 Ледовые дороги и переправы проектируются при необходимости по указаниям
[12] с односторонним движением, расположением дороги противоположного направления на расстоянии 100 м и на расстоянии не менее 100 м от полыней.
9.7.11 Сопряжения дорог с берегом должны обеспечивать надежность переходного участка. В зависимости от условий принимаются различные типы сопряжения дорог с берегом, показанные на
рисунке 9.5.
Размеры в метрах
а - шпальная клетка на льду; б - шпальная клетка на берегу;
1 - намороженный лед; 2 - прогоны; 3 - валик из снегового
льда; 4 - ледяной покров
Рисунок 9.5 - Сопряжение ледовой дороги с берегом
9.8 Технологические площадки
9.8.1 Проектирование технологических площадок включает в себя разработку комплекса мероприятий, обеспечивающих безопасное производство работ с использованием положений
СП 45.13330.2017.
9.8.2 Размеры технологических площадок и их расположение должны быть оптимизированы в соответствии с назначенной технологией строительства моста и обеспечивать безопасное ведение строительно-монтажных работ.
9.8.3 В общем случае размеры технологических площадок проектируются таким образом, чтобы они могли обеспечивать безопасное перемещение специальной строительной техники в процессе выполнения строительно-монтажных работ. При этом зона безопасности должна составлять не менее 2 м от ее крайних занимаемых положений.
9.8.4 Продольный и поперечный уклоны технологической площадки не должны превышать допустимые для необходимого вида техники и должны приниматься в соответствии с ее паспортными характеристиками.
9.8.5 Покрытие технологических площадок, как правило, принимается из сборных железобетонных плит, укладываемых на дренирующий подстилающий слой, выполняемый из песка толщиной 15 см либо щебня или гравия толщиной 10 см - в зависимости от максимальных вертикальных нагрузок, передаваемых плитами на подстилающий слой.
9.8.6 При использовании в качестве покрытия типовых дорожных плит их объединение между собой, как правило, не производится. Незначительные участки нестандартных размеров между плитами заполняются щебнем, более крупные - монолитным железобетоном с соответствующим армированием для конкретной нагрузки.
9.8.7 При размещении технологических площадок на проезжей части автодорог, на территории промышленных предприятий или в условиях городской застройки в качестве покрытия допускается использование существующего бетонного или асфальтобетонного дорожного покрытия с последующим его восстановлением по окончании работ.
9.8.8 При размещении технологических площадок в водоохранных зонах рекомендуется устройство твердого покрытия из асфальтобетона, который обеспечивает организованный водоотвод и защиту от смыва грунта в водный объект.
10 Проектирование специальных вспомогательных сооружений и устройств для монтажа стальных и сталежелезобетонных конструкций
10.1 Сборочные подмости и промежуточные опоры для полунавесной и навесной сборки пролетных строений
10.1.1 Способ монтажа пролетных строений предусматривается проектной, рабочей и организационно-технологической документацией. В зависимости от способа монтажа определяется выбор схемы подмостей, конструкции оснований и надстройки с учетом конструкции пролетного строения, а также в зависимости от гидрогеологических, судоходных и других местных условий мостового перехода.
10.1.2 Сборка балочных пролетных строений может осуществляться:
- полунавесным способом с опиранием собираемой конструкции на систему опорных устройств, состоящую из участков сплошных подмостей, временных промежуточных опор и капитальных опор моста, показанным на
рисунке 10.1 а;
- навесным способом без временных опор в пролетах между капитальными опорами, показанным на
рисунке 10.1 б.
а - с опиранием на временную опору; б - закрепляемые
за постоянную опору; 1 - сборочные краны; 2 - опорное
устройство; 3 - временная опора; 4 - постоянная опора
Рисунок 10.1 - Опорные устройства для уравновешенной сборки
10.1.3 Длина опорных устройств для сборки базовой части пролетного строения, собираемого уравновешенно-навесным способом, показанным на
рисунке 10.1, назначается из условий обеспечения его устойчивости против опрокидывания относительно крайних граней опорных устройств в процессе двусторонней навесной сборки и прочности его элементов перед опиранием собираемых консолей на постоянные или временные опоры.
10.1.4 Количество, расположение в пролетах моста и размеры промежуточных опор для полунавесной сборки назначаются из условий обеспечения:
- устойчивости положения и прочности элементов собранной части пролетного строения в момент перед опиранием его переднего конца на последующую опору или приемную консоль;
- прочности и устойчивости положения промежуточной опоры при действии вертикальных и горизонтальных нагрузок в их невыгодном сочетании.
10.1.5 Опоры подмостей для сборки пролетных строений располагаются:
- под основными узлами ферм;
- в согласованных местах с разработчиком главных балок.
10.1.6 Отметка настила подмостей назначается с учетом установки под нижними поясами пролетного строения домкратов и сборочных или страховочных клеток высотой от 0,7 до 1,0 м. Опирание домкратов предусматривается по
10.6.
10.1.7 Домкраты и клетки устанавливаются в местах, где исключена опасность потери местной устойчивости или повреждения монтируемой и поддерживающей конструкции. В необходимых, определяемых расчетом случаях, конструкции усиливаются, рабочие чертежи усиления согласовываются с разработчиком основной конструкции пролетного строения.
10.1.8 На оголовках промежуточных опор и опорных устройствах при полунавесной сборке при необходимости предусматриваются распределительные ростверки с домкратными батареями и опорными или страховочными клетками для регулирования положения монтируемого пролетного строения.
10.1.9 Отметка верха распределительных ростверков промежуточных опор при полунавесной сборке назначается из условия обеспечения проектного положения опорных узлов пролетного строения с учетом возможных деформаций опоры и прогиба монтируемой консоли, а также связанного с ним допустимого уклона пути сборочного крана.
10.1.10 При возникновении большого прогиба монтируемой консоли предусматривается монтаж в повышенном уровне, устройство столиков, аванбека, подъемных приспособлений на конце консоли и т.п.
10.1.11 При навесной и полунавесной сборке, а также при продольной надвижке пролетных строений должна быть обеспечена аэродинамическая устойчивость монтируемых консолей в соответствии с требованиями СП 35.13330.2011
(пункт 5.48) и других нормативных документов.
10.1.12 Монтажные агрегаты обеспечиваются устройствами перемещения и торможения, исключающими самопроизвольное движение гидроцилиндров, тросовых закреплений на лебедках и др. по уклонам монтируемого пролетного строения.
10.1.13 Для замыкания пролетных строений в пролете предусматриваются специальные обустройства, обеспечивающие возможность горизонтального перемещения пролетного строения в пределах, необходимых для установки элементов замыкающей панели, с учетом колебаний температуры и солнечной радиации.
10.1.14 При монтаже пролетных строений обеспечивается свобода их температурных деформаций и упругих перемещений, а при невозможности обеспечения перемещений учитываются возникающие при этом усилия. Как правило, предусматривается обеспечение контроля за опорными реакциями и перемещениями по трем осям.
10.1.15 Оголовки опор и опорные устройства проектируются с рабочими площадками и ограждениями, отвечающими требованиям
9.3.
10.1.16 На судоходных реках и реках с карчеходом предусматривается объединение надстройки опор и нижнего ростверка для предохранения опор от сдвига при ударе.
Для защиты одиночных стоек от повреждения при навале бревен предусматриваются защитные стенки треугольного очертания в плане.
10.1.17 Стойки опор связываются в неизменяемую пространственную конструкцию поперечными, продольными, а в необходимых случаях диагональными и горизонтальными связями. Отдельные опоры из плоских рам связываются с прогонами и ростверками. Продольная устойчивость системы пролетного строения и временных опор обеспечивается закреплением пролетного строения за капитальную опору.
10.1.18 Размеры временных опор поперек моста назначаются из условия обеспечения поперечной устойчивости системы под действием вертикальных и горизонтальных нагрузок, с учетом ширины и конструкции поперечного сечения пролетного строения.
10.1.19 Конструкции опор рассчитываются на прочность и устойчивость положения при воздействии нагрузок в наиболее невыгодных их сочетаниях
(таблица 15), которые могут возникнуть до момента включения в работу монтируемого пролетного строения.
Таблица 15
Сосредоточенные нагрузки и их сочетания, определяемые
под узлами пролетного строения
| Нагрузки и воздействия | Сочетание нагрузок |
на прочность | на устойчивость положения |
1 | | |
| Собственный вес опоры или опорных устройств | + | + | + | + |
| Вес монтируемого пролетного строения | + | + | - | + |
| Вес рештований, передвижных подмостей, подкрановых и транспортных | + | + | - | + |
| Вес сборочного крана: | | | | |
с грузом | + | - | - | - |
без груза | - | + | + | + |
| Вес транспортных средств с грузом | + | - | - | - |
| Вес людей, инструмента и мелкого оборудования | + | + | - | - |
| Давление поперечно направленного ветра на пролетное строение, кран и опору | - | + | + | + |
| Давление от домкратов при регулировании нагрузок между опорами | - | - | + | - |
Примечания 1 Вес передвижных подмостей и транспортных средств с грузом учитывается в зависимости от их наличия и невыгоднейшего положения на пролетном строении. 2 Ветер на кран, перемещающийся по проезжей части пролетного строения, учитывается на ветровую поверхность крана, не закрытую пролетным строением. 3 При расчетах устойчивости положения ветровая нагрузка принимается расчетной интенсивности, при расчетах на прочность в третьем сочетании - соответствующей V = 15 м/с, а во втором сочетании - расчетной интенсивности, но не выше принятой в проекте пролетного строения (для стадии монтажа). 4 При необходимости учитывают температурные воздействия во всех сочетаниях. 5 В зависимости от местных условий опоры рассчитывают также на гидродинамическое воздействие воды и ледоход. Эти нагрузки в сочетании с крановой принимаются с  , а в сочетании с ветровой  . |
10.1.20 Элементы оголовков промежуточных опор и подмостей рассчитываются на нагрузку: передаваемую через сборочные опорные клетки при сборке и домкраты при поддомкрачивании; от собственного веса, а также веса людей, инструмента и мелкого оборудования на рабочих площадках оголовков.
10.1.21 Прогоны сборочных подмостей рассчитываются как однопролетные балки на равномерно распределенную по длине прогона нагрузку и сосредоточенные нагрузки, передающиеся через сборочные клетки при сборке, и домкраты - при поддомкрачивании.
10.1.22 Равномерно распределенная нагрузка слагается из собственного веса настила, поперечин и прогонов; веса людей, инструмента и мелкого оборудования, размещаемого на тротуарах; веса подкрановых и транспортных путей, если они располагаются на настиле подмостей.
10.1.23 Сосредоточенная нагрузка слагается из веса монтируемого пролетного строения и веса рештований на нем; веса подкрановых и транспортных путей, сборочного крана и транспортных средств с грузами, если они расположены на пролетном строении; давления поперечно направленного ветра на пролетное строение.
10.1.24 Величина сосредоточенной нагрузки под узлами пролетного строения определяется для двух случаев монтажа:
а) при опирании пролетного строения на сборочные клетки в предположении его разрезности в узлах учитывают: вес монтируемого пролетного строения; вес рештований, передвижных подмостей, подкрановых и транспортных; вес сборочного крана с грузом и без груза; вес транспортных средств с грузом; давление от домкратов при регулировании нагрузок между опорами;
б) при опирании пролетного строения на домкраты в предположении его неразрезности в узлах учитывают: вес монтируемого пролетного строения; вес рештований, передвижных подмостей, подкрановых и транспортных; давление от домкратов при регулировании нагрузок между опорами.
10.1.25 Промежуточные опоры и опорные обустройства при полунавесной сборке рассчитываются по первому предельному состоянию на прочность и устойчивость положения. В расчетах учитывают следующее:
q - нагрузка, распределенная равномерно от веса пролетного строения, рештований, подкрановых и транспортных путей, трубопроводов, людей, инструмента и мелкого оборудования;
Pкр - равнодействующая собственного веса крана;
Pэл - вес наиболее тяжелого монтажного элемента с динамическим коэффициентом при наибольшем вылете стрелы;
Pтс - равнодействующая веса транспортных средств с грузом, при их наличии;
Pп - равнодействующая веса передвижных подмостей с людьми и инструментом (при наличии);
G - собственный вес промежуточной опоры с опорными устройствами;
Wкр, Wпс, Wо - давление ветра соответственно на кран, пролетное строение и опору.
Прочность и устойчивость положения определяют в соответствии с расчетными схемами, показанными на
рисунке 10.2.
а - при полунавесной сборке;
б - при уравновешенно-навесной сборке
Рисунок 10.2 - Расчетные схемы нагрузок
на промежуточные опоры и опорные устройства
10.1.26 Нагрузки определяются при предельной длине консоли монтируемого пролетного строения и наиболее невыгодных положениях сборочного крана, транспортных средств и подвесных подмостей.
10.1.27 В случае подачи монтажных элементов сбоку от крана при определении нагрузок от крана Pкр учитывается эксцентриситет приложения нагрузки.
10.1.28 Вертикальные нагрузки для каждой из промежуточных опор в пролете при полунавесной сборке определяются в предположении полной разгрузки всех предыдущих промежуточных временных опор.
10.1.29 Вертикальные нагрузки на опорные устройства для уравновешенно-навесного монтажа пролетного строения определяются по схеме двухконсольной балки. При этом за опорную базу балки принимается расстояние между постоянной опорной частью и опорной клеткой со стороны наиболее загруженной консоли, расстояние
C, показанное на
рисунке 10.2 б.
10.1.30 Давление поперечно направленного ветра на пролетное строение и кран передается на опоры подмостей в виде горизонтальных сил
W1(
Wпс) и
W2(
Wкр), а также в виде пары вертикальных сил
PW, показанных на
рисунке 10.3, определяют по формуле

(10.1)
где MW - момент ветровой нагрузки;
b - расстояние между осями балок или фермы, м.
Рисунок 10.3 - Расчетная схема сборочных подмостей
10.1.31 Горизонтальные нагрузки от ветра на пролетное строение и краны передаются на опорные устройства через клетки или домкраты пропорционально приходящейся на них доле вертикальной нагрузки.
10.1.32 Промежуточные опоры проверяются на устойчивость до загрузки пролетным строением и после загрузки. Устойчивость ненагруженных опор проверяется при действии ветровой нагрузки вдоль и поперек моста, а после загрузки - только поперек.
10.1.33 При размещении промежуточных опор в реке или на акватории они проверяются также на устойчивость от действия ветра, или ледохода, или гидродинамического воздействия воды в незагруженном состоянии. При этом горизонтальные нагрузки принимаются с коэффициентом сочетаний

.
10.1.34 Усилия в стойках опор определяются без учета работы стоек на растяжение, если конструкция сопряжений стоек с ростверками и нижнего ростверка с основанием не обеспечивает передачу растягивающих усилий. В случае, когда по расчету в стойках оказываются растягивающие усилия, расчет повторяется с исключением растянутых стоек.
10.1.35 Для конструкции вертикальной анкеровки от опрокидывания монтируемого пролетного строения предусматривается возможность компенсации горизонтальных перемещений анкеруемого конца пролетного строения.
10.1.36 При проектировании подмостей и опор СВСиУ в местах сопряжения отдельных элементов учитываются остаточные деформации, компенсируемые в последующем строительным подъемом с учетом следующих размеров, мм:
0,2 - в местах примыкания металла к металлу, в т.ч. в сжатых фланцевых стыках;
0,5 - в местах примыкания металла к бетону;
1,0 - в местах примыкания дерева к металлу и бетону на одно сопряжение или контакт;
2,0 - в местах примыкания дерева к дереву на одно сопряжение или контакт;
5,0 - при осадке песочниц, заполненных песком;
10,0 - при осадке полотна подбитых лежней.
10.2 Опоры для надвижки пролетных строений
10.2.1 Для монтажа пролетных строений методом продольной надвижки проектируется стапель, на котором предусматривается сборка пролетного строения и последующее его перемещение в проектное положение по перекатанным опорам, оборудованным устройствами скольжения или качения согласно
10.4.3, ось стапеля в вертикальной плоскости должна повторять профиль надвижки пролетного строения.
10.2.2 Количество, размеры и местоположение стапелей, вспомогательных опор, а также тип и количество перекаточных опор назначаются при соблюдении условий:
- прочности и устойчивости против опрокидывания надвигаемого пролетного строения в момент перед опиранием его лидерного конца или аванбеком на очередную перекаточную опору;
- прочности и устойчивости против опрокидывания опоры под действием расчетных нагрузок в их невыгодном сочетании;
- возможности размещения на оголовке опоры комплекса устройств для надвижки пролетного строения в проектное положение и последующего опускания его на капитальные опорные части.
10.2.3 Для сборочного стапеля предусматривается жесткое естественное основание или свайный фундамент. При размещении стапеля на вновь отсыпаемой насыпи предусматриваются работы по уплотнению грунтового основания до коэффициента уплотнения 0,98.
10.2.4 Перекаточные опоры предусматриваются в пределах стапеля, а также на капитальных и вспомогательных опорах. Сборочные опоры на стапеле проектируются с регулируемыми по высоте опорными площадками, позволяющими задать при сборке проектный строительный подъем балки жесткости надвигаемого пролетного строения.
10.2.5 Для продольной надвижки пролетных строений с прерывистыми верхними накаточными путями, например при надвижке сквозной фермы с расположением накаточных устройств только под узлами, размеры оголовков перекаточных опор по фасаду определяются длиной нижних накаточных путей. При этом они должны обеспечивать размещение на перекаточной опоре двух смежных участков верхних накаточных путей.
10.2.6 На оголовках перекаточных опор предусматриваются распределительные ростверки, обеспечивающие восприятие и передачу возникающих при надвижке горизонтальных и вертикальных сил.
10.2.7 Для конструкции распределительных ростверков предусматривается возможность размещения на них необходимого количества устройств скольжения и качения, устройств для ограничения его боковых смещений и выправки в плане с учетом строительного подъема монтируемого пролетного строения, а также устройств для поддомкрачивания пролетного строения.
10.2.8 Для надвижки сквозных ферм с расположением устройств скольжения и качения под продольными балками проезжей части на распределительных ростверках под поясами главных ферм предусматриваются страховочные клетки с зазором не более 3 см.
10.2.9 При надвижке пролетных строений с замыканием консолей в пролете предусматриваются устройства, обеспечивающие возможность горизонтального перемещения консоли вдоль оси пролетного строения над временно заблокированной опорной частью для точной установки на температурную ось.
10.2.10 Оголовки опор проектируются с приспособлениями для возможности замены деталей устройств скольжения.
10.2.11 Отметки распределительных ростверков перекаточных опор назначаются с учетом проектного или повышенного уровня надвижки пролетного строения, прогиба лидерного участка консоли при наезде на перекаточную опору, упругих и остаточных деформаций опор под нагрузкой.
10.2.12 При размере оголовка капитальной опоры, недостаточном для размещения всего комплекса оборудования перекаточной опоры, проектируется временное его уширение временной вспомогательной обстройкой. При этом предусматривается возможность установки опорных частей после надвижки пролетного строения без демонтажа конструкций уширения.
10.2.13 Опоры для надвижки, обстройка капитальных опор, устройства скольжения, накаточные пути рассчитываются на воздействие нагрузок в соответствии с
таблицей 16.
Таблица 16
Нагрузки для расчетов конструкций при надвижке
| Нагрузки и воздействия | Сочетания нагрузок |
1 | 2 | |
| Собственный вес перекаточной опоры | + | + | + |
| Вертикальная нагрузка от надвигаемого пролетного строения | + | + | + |
| Тяговое усилие при надвижке от сил трения | + | + | - |
| Поперечное усилие при надвижке | - | + | + |
| Давление ветра вдоль надвижки | + | - | - |
| Давление ветра поперек надвижки | - | + | + |
Примечания 1 Для третьего сочетания принимается расчетная интенсивность ветровой нагрузки, в первом и втором - соответствующая ветровому давлению 14 кгс/м 2 (при скорости ветра V = 15 м/с). 2 При сборке конструкций, надвигаемых половиной пролета с замыканием в пролете, опоры должны рассчитываться на надвижку вдоль и поперек моста. 3 Величина горизонтального усилия от ветра на пролетное строение распределяется между опорами пропорционально вертикальным давлениям на опоры. |
10.2.14 Дополнительно к расчетам на сочетания нагрузок, приведенных в
таблице 16, опоры проверяются на следующие нагрузки:
а) давление продольного и поперечного ветра расчетной интенсивностью на ненагруженную пролетным строением опору;
б) поперечное гидродинамическое воздействие воды и давление льда на незагруженную опору;
в) воздействие домкратов, если в процессе надвижки предусмотрено поддомкрачивание конца консоли надвигаемого пролетного строения;
г) воздействие пролетного строения и монтажного крана, если после надвижки пролетного строения, например металлической балки сталежелезобетонного пролетного строения, его сборка будет продолжена в пролете с использованием перекаточных опор;
д) усилия, возникающие при выправке пролетного строения в плане, перекосе катков и непараллельности путей.
10.2.15 Опоры рассчитываются на прочность и устойчивость положения в продольном и поперечном направлениях. В расчетах учитывают:
P1 и P2 - удельные давления на накаточные устройства, кН/м;
Wпс и Wо - давление ветра соответственно на пролетные строения и опору, направленное поперек оси моста;
W'пс и W'о - то же, вдоль оси моста;
NТ - тяговое усилие;
G - собственный вес опоры.
Расчеты выполняют в соответствии со схемами приложения нагрузок на опору, показанными на
рисунке 10.4.
а - продольное направление; б - поперечное направление
Рисунок 10.4 - Схема приложения нагрузок
к перекаточной опоре
При расчете опор на прочность и устойчивость учитываются следующие условия:
- удельные давления P1 и P2 определяются с учетом жесткости передвигаемой конструкции и накаточных устройств;
- при определении усилий во втором сочетании по
таблице 16 к нагрузкам от поперечного ветра учитывается коэффициент сочетаний

;
- расчеты по второму предельному состоянию при надвижке металлических пролетных строений выполняются при вычислении их строительного подъема, а также в тех случаях, когда возможно появление осадок опор, опасных для надвигаемого пролетного строения.
10.2.16 Давление от металлического пролетного строения на опоры при числе их не более двух, как показано на
рисунке 10.5, определяется исходя из предположения, что пролетное строение имеет абсолютную жесткость.
а - опирание пролетного строения на одном участке
накаточного пути; б - опирание пролетного строения
на двух участках накаточного пути
Рисунок 10.5 - Расчетные схемы нижнего накаточного пути
при продольной перекатке
При этом условии давление определяется:
а) при опирании пролетного строения на одном участке накаточных путей, показанном на
рисунке 10.5 а, по формулам:
- для первого случая при C < 3a

(10.2)
- для второго случая при C >= 3a
P2 = 0; (10.3)
б) при опирании пролетного строения на двух участках накаточного пути, показанном на
рисунке 10.5 б, по формулам:
- для давления в любой точке накаточного пути

(10.4)
- для наибольшей величины давления

(10.5)
где Q - вес пролетного строения и верхних накаточных путей в центре массы, кН;
Px - удельное давление на накаточный путь, кН/м;
C, C1, C2 - длина участков опирания пролетного строения на накаточный путь, м;
e - расстояние от центра площадок опирания до точки приложения силы Q, м;
x - координаты точки для определения давления Px;
xmax - координаты точки для определения максимального давления Pmax;
| | ИС МЕГАНОРМ: примечание. Текст дан в соответствии с официальным текстом документа. | |
J - момент инерции площадок опирания, м, вычисляемый по формуле

(10.6)
где an - расстояние от центра тяжести площадок опирания до середины каждой площадки, м.
Положение общего центра всех площадок опирания l0 вычисляют по формуле

(10.7)
где l1, l2 - координаты центров площадок опирания.
10.2.17 При количестве опор более двух давление на каждую опору от пролетного строения определяется с учетом его жесткости, податливости опор и взаимного смещения линии отметок накаточных путей и упругой линии сборки пролетного строения.
10.2.18 Для продольной надвижки неразрезных пролетных строений расчет усилий, перемещений, опорных реакций производится на ЭВМ, при этом шаг надвижки принимается не более длины блока или шага изменения расчетных сечений. Проверка стенки на местную устойчивость обязательна. Также при расчете надвижки пролетного строения определяются параметры въезда консоли пролетного строения или аванбека на опоры и съезда конца пролетного строения с накаточных путей.
10.2.19 Тяговое усилие и равнодействующая сила продольного и поперечного ветрового давления от действующего на пролетное строение ветра распределяются между опорами или участками опирания пропорционально вертикальным нагрузкам, приходящимся на опоры от надвигаемого пролетного строения

(10.8)
где
NТ - полное тяговое усилие, удовлетворяющее условиям
10.5.5;
NТn - усилие, приходящееся на n-ю опору;
WД и WП - давление продольного и поперечного ветра на пролетное строение;
WДn и WПn - соответственно равнодействующие продольного и поперечного ветрового давления, приходящиеся на n-ю опору;
Q - полная вертикальная нагрузка от пролетного строения;
Qn - вертикальная нагрузка, приходящаяся на n-ю опору.
Тяговое усилие и давление ветра следует считать приложенными в уровне верха нижних накаточных путей.
10.2.20 Вертикальные нагрузки на опоры от веса пролетного строения и верхних накаточных путей определяются как площадь соответствующих эпюр давления, показанных на
рисунке 10.5, вычисленных по
формуле (10.8).
10.3.1 Береговые пирсы и подмости для сборки пролетных строений, устанавливаемых на плаву, проектируют, как правило, с низовой стороны моста и на расстоянии, обеспечивающем свободный вывод, перемещение плавучей системы вдоль моста, разворот и введение ее в пролет.
10.3.2 Длина береговых пирсов назначается исходя из обеспечения возможности заводки между ними плавучих опор для снятия с пирсов пролетных строений при рабочем горизонте воды с учетом его колебания и запаса глубины ковша под днищем плавучих опор согласно
10.7.
Уклон подводной части откосов ковша для пирса предусматривается от 1:3 до 1:5 в зависимости от грунта дна.
10.3.3 При значительной высоте моста или длине перекатки на мелководье береговые пирсы сооружаются в низком уровне. Перекатка пролетных строений в этом случае выполняется:
- для проектного уровня на специальных перекаточных опорах, являющихся концевыми частями сборочных подмостей;
- для низкого уровня на тележках, катках или специальными передвижными подъемниками. Подъемка пролетных строений с тележек в уровень перевозки на плаву осуществляется подъемниками, сооружаемыми в конце пирсов.
10.3.4 Пирсы для выкатки пролетных строений на плавучие опоры располагаются под опорными узлами перпендикулярно продольной оси сборочных подмостей.
10.3.5 Речные пирсы, смонтированные в пролете параллельно оси моста, проектируют под опорными узлами пролетных строений.
Сопряжение пирсов с капитальными опорами обеспечивается плавным переходом катков или тележек с пирса на опору, для чего для пирсов предусматривается строительный подъем, компенсирующий их деформации под нагрузкой.
10.3.6 На незатапливаемых участках поймы реки пирсы могут располагаться под промежуточными узлами пролетных строений. В этом случае передвинутое по пирсам на проектную ось пролетное строение переставляется на капитальные опоры с помощью домкратов.
10.3.7 Поперечные размеры пирсов определяются количеством накаточных путей и условиями обеспечения их поперечной устойчивости под действием вертикальных и горизонтальных нагрузок. На одиночном пирсе предусматривается размещение накаточного пути под один конец пролетного строения, на совмещенном пирсе - под концы пролетных строений двух смежных пролетов.
10.3.8 Отметка верха пирсов назначается с учетом конструкции накаточного пути, перекаточных и подъемных устройств, упругих деформаций конструкций пирсов и накаточных путей и увязывается с отметкой сборочных подмостей и отметками установки пролетных строений на плавучих или капитальных опорах.
10.3.9 При проектировании конструкции пирсов предусматривается возможность установки на них домкратов для поддомкрачивания пролетного строения при установке его на накаточном пути и снятия с него. В уровне накаточных путей предусматриваются рабочие настилы и тротуары, отвечающие требованиям
9.3.
10.3.10 Пирсы, накаточные пути и подъемные устройства рассчитываются на прочность и устойчивость положения в продольном и поперечном направлениях по сочетаниям, приведенным в
таблице 17. Дополнительно к сочетаниям нагрузок пирсы проверяются расчетом:
- на давление поперечно направленного ветра расчетной интенсивности при отсутствии на них пролетного строения;
- на нагрузки от домкратов в местах поддомкрачивания пролетного строения при установке его на накаточные устройства и снятии с них.
Таблица 17
Сочетание нагрузок для расчетов пирсов
| Нагрузки и воздействия | Сочетания нагрузок |
| 2 | | 4 |
| Собственный вес рассчитываемых элементов пирсов | + | + | + | + |
| Вертикальные нагрузки от перекатываемого пролетного строения | + | + | + | + |
| Тяговое усилие от сил трения при перемещении пролетного строения | + | - | + | - |
| Поперечная сила при перемещении пролетного строения | - | - | + | - |
| Ветер на пролетное строение и пирс вдоль перекатки | + | + | - | - |
| Ветер на пролетное строение и пирсы поперек перекатки | - | - | + | + |
Примечание - Величина ветровой нагрузки в сочетаниях 1 и 3 принимается соответствующей давлению 135 Па (13,8 кгс/м 2) при скорости ветра V = 15 м/с, в остальных сочетаниях - расчетной интенсивности. |
В расчетах учитывают следующее:
Q - нагрузка от перекатываемого пролетного строения;
NТ - тяговое усилие;
Nб - боковое усилие, принимаемое с учетом
5.3.11;
G - собственный вес рассчитываемых элементов пирса;
Wпс, Wо - давление ветра на пролетное строение и опору вдоль перекатки;
W'пс, W'о - то же, поперек перекатки.
а - вдоль пирсов; б - поперек пирсов
Рисунок 10.6 - Схемы приложения нагрузок к пирсам
10.3.11 Нагрузка Q от веса пролетного строения на нижний накаточный путь принимается равномерно распределенной по длине верхних накаточных путей при симметричном относительно середины пролетного строения их расположении.
10.3.12 В поперечном направлении давление
W прикладывается на одиночные пирсы центрально, а на совмещенные - с эксцентриситетом
e, показанным на
рисунке 10.6.
10.3.13 Тяговое усилие NТ, ветровая нагрузка на пролетное строение поперек перекатки W'пс и воздействие от перекоса катков Nб прикладываются в уровне верха нижних накаточных путей.
10.3.14 Распределение между опорами пирса тягового усилия и нагрузки от ветра на пролетное строение вдоль перекатки принимаются:
- при длине пирса 50 м и менее - равномерно между всеми опорами, независимо от величин пролетов в пирсе;
- при большей длине пирса - равномерно между опорами на длине 50 м.
10.3.15 Погонная нагрузка на накаточный путь
Px, Н/м, от воздействия на пролетное строение ветра, показанная на
рисунке 10.7, вдоль перекатки определяется по методу внецентренного сжатия по формуле

(10.9)
где Qп, Wпс - приходящиеся на пирс нагрузки от пролетного строения и давления ветра;
hx - возвышение центра ветрового давления над верхом нижних накаточных путей, м;
m - коэффициент условий работы, принимаемый:
m = 1,1 при
C2 = 0;
m = 1,0 при

.
Рисунок 10.7 - Расчетная схема давления на накаточный путь
10.3.16 При расчете элементов опор и прогонов или ферм пирсов расчетные сопротивления материалов делятся на коэффициент надежности по назначению

. Прогибы прогонов или ферм пирсов от временной нагрузки не должны превышать 1/300
L, где
L - пролет прогонов или ферм пирсов.
10.4 Накаточные пути, устройства скольжения и качения
10.4.1 Общие требования к проектированию
10.4.1.1 Накаточные пути, устройства скольжения, перекаточные устройства, тяговые и тормозные средства, применяемые при надвижке (перекатке) пролетных строений, должны обеспечивать плавное, без рывков и перекосов, движение перемещаемых конструкций, надежность их закрепления и безопасность работы.
10.4.1.2 Конструкция устройств скольжения и накаточных путей проектируется с условием, исключающим появление в пролетном строении недопустимых напряжений, с обеспечением местной устойчивости элементов пролетного строения и возможности контроля деформаций конструкций накаточных опор. Конструкция устройств также должна исключать возможность поворота опорных сечений пролетных строений и смещений надвигаемой конструкции поперек направления надвижки свыше допускаемых.
10.4.1.3 Во всех случаях верхний прерывистый и непрерывный накаточный путь проектируется прямолинейным в горизонтальной и вертикальной плоскостях. Прямолинейность накаточного пути в вертикальной плоскости обеспечивается применением поперечин переменной высоты и их прирубкой к поясам ферм или продольных балок или применением металлических распределительных прокладок переменной высоты.
10.4.1.4 Для конструкции накаточных путей и устройств скольжения предусматривается возможность размещения домкратов для установки пролетного строения на накаточные пути и опорные части и возможность замены деталей устройств скольжения.
10.4.1.5 Нижние накаточные пути на насыпи подходов предусматривается укладывать на щебеночный или крупнозернистый песчаный балласт, толщина которого под подошвой шпалы должна быть не менее 25 см.
10.4.1.6 Шаг шпал в зависимости от погонной нагрузки на накаточный путь принимается:
0,7 м - при погонной нагрузке до 600 кН/м;
0,5 м - при погонной нагрузке от 600 до 1000 кН/м.
При давлении более 1000 кН/м предусматривается сплошная выкладка из шпал или сплошная железобетонная плита.
10.4.1.7 Профиль накаточного пути, включая сборочный стапель, проектируется в соответствии с проектным профилем пролетного строения и обосновывается расчетом на всех стадиях надвижки. Изменение указанного профиля на стапеле обосновывается расчетом пролетного строения для всех стадий надвижки.
Уклон накаточных путей в сторону надвижки принимается по возможности величиной не более половины минимального значения коэффициента трения элементов скольжения в перекаточных устройствах.
10.4.1.8 Нижние накаточные пути или устройства скольжения на оголовках опор должны обеспечивать восприятие горизонтальных нагрузок, возникающих при перекатке или надвижке пролетных строений.
10.4.1.9 Для опирания на накаточные пути берегового конца пролетного строения, надвигаемого с плавучей опорой, предусматривается специальная балансирная каретка, обеспечивающая равномерную передачу нагрузок независимо от вертикальных перемещений плавучей опоры.
10.4.1.10 При выполнении расчетов реакций и удельных давлений на накаточные устройства учитывается возможная перегрузка балок пролетного строения в поперечном направлении, поэтому накаточные пути, устройства скольжения и пролетные строения рассчитываются на наибольшие величины давления. В необходимых случаях предусматривается поперечная балансировка накаточных устройств, а также применение датчиков для контроля фактических величин давления.
10.4.1.11 При продольной надвижке пролетных строений по насыпи подходов или перекаточным опорам величины удельных давлений на перекаточные устройства принимаются по огибающим эпюрам давлений, определяемым для различных участков накаточного пути и стадий надвижки согласно
10.2 -
10.5.
10.4.1.12 При поперечной передвижке пролетных строений величины удельных давлений определяются согласно
формулам (10.6) и
(10.7).
10.4.1.13 Верхние накаточные пути проектируются с плотным прилеганием к нижнему поясу надвигаемой конструкции с учетом его конфигурации.
10.4.1.14 Скорость перемещения пролетных строений по накаточным путям не должна превышать следующие величины:
- 17 мм/с - при перекатке на катках;
- 7 мм/с - при надвижке на карточках скольжения.
10.4.1.15 Скорость подъема и опускания пролетных строений не должна превышать 15 мм/с.
10.4.2 Проектирование устройств скольжения
10.4.2.1 Для надвижки пролетных строений, когда пролетное строение периодически приподнимается при помощи домкратов, для изменения положения кареток и контртел применяются устройства скольжения циклического действия, показанные на
рисунке 10.8.
а - с переставным контртелом; б - с переставной кареткой;
1 - опорная поверхность пути скольжения; 2 - контртело;
3 - каретка; 4 - шарнир; 5 - полимерная прокладка;
6 - надвигаемая конструкция; 7 - домкрат для подъемки;
8 - домкрат для надвижки
Рисунок 10.8 - Устройства скольжения циклического действия
Устройства скольжения непрерывного действия, показанные на
рисунке 10.9, применяются в случае надвижки пролетного строения на значительную часть длины без остановок и поддомкрачивания.
1 - накаточная или балансирная балка; 2 - опорная часть
(шарнир); 3 - резиновая прокладка; 4 - контртело;
5 - полимерные прокладки (карточки скольжения);
6 - надвигаемое пролетное строение; 7 - подферменник опоры
Рисунок 10.9 - Устройства скольжения непрерывного действия
10.4.2.2 Для устройства пути скольжения применяются контртела из стального проката, покрытые атмосферостойкими, имеющими глянцевый блеск, грунтами или эмалями по
ГОСТ 6465. Поверхность проката перед покраской должна быть ровной, без следов ржавчины, с шероховатостью не ниже
Ra 0,20 в соответствии с
ГОСТ 2789.
10.4.2.3 На всей длине пути скольжения применяется непрерывный полированный лист из нержавеющей стали с шероховатостью
Ra 0,10 по
ГОСТ 2789. По концам листа устраиваются уклоны спереди и сзади.
Примечание - В исключительных случаях допускается стыковка листов без выступов, сварные швы зачищаются заподлицо с последующей полировкой или покраской.
10.4.2.4 Антифрикционные прокладки изготавливаются из фторопласта-4 марки А или Б незакаленного в соответствии с
ГОСТ 10007 или полиэтилена ВП в соответствии с
ГОСТ 16338, высокомолекулярного полиэтилена, нафтленовой ткани или применяются готовые карточки скольжения с покрытием тефлоном. Размер прокладок в плане назначается исходя из расчетного сопротивления смятию прокладок скольжения.
10.4.2.5 Для устройств скольжения, показанных на
рисунках 10.8 и
10.9, предусматриваются при положительных температурах номинальные вертикальные давления для фторопласта-4 до 15 МПа, для полиэтилена ВП - до 15 МПа, а при отрицательных температурах соответственно до 20 и 30 МПа. На нафтленовую ткань давление не должно превышать 30 МПа, на карточки скольжения с тефлоном - по данным поставщика.
10.4.2.6 Полимерные прокладки в устройствах скольжения, показанные на
рисунке 10.10 а, располагаются свободно на стальном листе с шероховатостью поверхности
Rz 40 -
Rz 80 или закрепляются в обойму, показанную на
рисунке 10.10 б, с шероховатостью дна
Rz 40 -
Rz 80 в соответствии с
ГОСТ 2789 или закрепляются на фанерных карточках в случае применения нафтленовой ткани.
а - прокладки, свободно опирающиеся на шероховатую
поверхность; б - прокладки, заключенные в обойму;
1 - надвигаемая конструкция; 2 - контртело; 3 - полимерная
прокладка; 4 - опорная поверхность; 5 - обойма
Рисунок 10.10 - Расположение антифрикционных прокладок
в устройствах скольжения циклического действия
10.4.2.7 При свободном расположении прокладок их толщина принимается равной от 2 до 5 мм, при расположении в обойме - от 4 до 20 мм. Листы фторопласта укладываются в обойме на резиновую и стальную прокладки. При этом из обоймы может выступать до половины толщины прокладки, но не менее 2 мм.
При потолочном расположении применяются полимерные прокладки толщиной от 5 до 20 мм. Их монтажные крепления предусматривается выполнять потайными винтами или планками, которые не должны выходить за поверхность обоймы.
10.4.2.8 При надвижке пролетных строений, расположенных на продольном уклоне или вертикальной кривой, уклон плоскости скольжения устройств скольжения на каждой опоре предусматривается равным уклону пролетного строения на этой опоре.
10.4.2.9 Для снижения коэффициента трения по фторопласту и тефлону может применяться силиконовая смазка. При надвижке пролетных строений в условиях температуры ниже 0 °C могут применяться устройства скольжения с обогреваемым контртелом, показанным на
рисунке 10.11. Конструкция устройства скольжения и терморегулятора должна обеспечивать равномерный нагрев контртела и постоянство температуры с точностью +/- 5 °C.
1 - надвигаемая конструкция; 2 - фанера; 3 - фторопласт;
4 - контртело; 5 - стальной лист с пазами;
6 - электронагреватели; 7 - листовой асбест;
8 - стальной лист толщиной от 4 до 6 мм;
9 - резиновая прокладка; 10 - опорная конструкция
Рисунок 10.11 - Деталь устройства скольжения
с обогреваемым контртелом
10.4.2.10 Для обеспечения проектного положения пролетных строений в плане при надвижке их по полимерным устройствам скольжения предусматриваются специальные направляющие устройства, показанные на
рисунке 10.12, рассчитанные на восприятие бокового усилия при надвижке.
1 - балансирная балка накаточного устройства; 2 - устройство
скольжения; 3 - опорная часть балансирной балки;
4 - железобетонный подферменник опоры; 5 - направляющие
ролики; 6 - винтовой домкрат; 7 - опорная конструкция
направляющего устройства; 8 - надвигаемое пролетное строение
Рисунок 10.12 - Направляющее устройство
10.4.2.11 Величина бокового усилия для расчетов принимается равной сумме нагрузок от давления ветра рабочего состояния (
V = 15 м/с) в сочетании с усилиями от бокового смещения надвигаемой конструкции по
5.3.11 или на полное расчетное ветровое усилие для зоны строительства.
10.4.2.12 Боковые устройства также рассчитываются на разность усилия от давления ветра расчетной интенсивности поперек надвижки и горизонтального усилия в устройствах скольжения - третье сочетание нагрузок по
таблице 17.
10.4.2.13 Механизм изменения зазора в направляющем устройстве рассчитывается на усилие бокового смещения надвигаемой конструкции.
10.4.2.14 Установка направляющих устройств, обеспечивающих правильное положение надвигаемой конструкции в плане, предусматривается попарно на всех перекаточных опорах. При этом расстояние между роликами или упорами направляющих устройств при их максимальной раздвижке должно быть не более чем на 30 мм больше габарита надвигаемой конструкции с учетом допусков на изготовление и монтаж.
10.4.2.15 При проектировании полимерных устройств скольжения предусматривается заземление надвигаемой конструкции на всех стадиях сборки и надвижки.
10.4.3 Проектирование накаточных путей и устройств качения
10.4.3.1 Накаточные пути проектируются из железнодорожных рельсов на деревянных поперечинах или из балок с соблюдением следующих условий:
- количество и тип рельсов или балок в накаточных путях, а также шаг поперечин определяются расчетом с учетом конструкции перекаточных устройств;
- при перекатке на катках нижний накаточный путь, как правило, должен иметь на 1 рельс или балку больше, чем верхний;
- стыки рельсов располагаются вразбежку, а рельсы соединяются без зазоров и перекрываются накладками;
- при перекатке на катках концы рельсов или балок накаточных путей должны быть плавно отогнуты по радиусу не менее 50 см в сторону подошвы с уклоном до 15%, в этом случае отгиб рельсов или балок нижних путей предусматривается на длине не менее 1,0 м, верхних - на длине не менее 0,2 м;
- конструкция крепления рельсового пути к шпалам должна обеспечивать передачу продольных усилий;
- рабочие поверхности накаточных путей должны быть ровными, сварные стыки и прочие выступы - зачищены;
- старогодные рельсы должны иметь одинаковую высоту.
10.4.3.2 Верхний накаточный путь проектируется как непрерывным, так и прерывистым.
Прерывистый путь предусматривается под узлами ферм в случаях недостаточной прочности и жесткости поясов пролетных строений, а также при надвижке их по непрерывному нижнему накаточному пути на насыпи подходов или сплошных подмостях.
При использовании нижнего пояса балок со сплошной стенкой верхний накаточный путь может не применяться.
10.4.3.3 Количество рельсов накаточного пути, длина накаточных кареток, диаметр катков и их количество на погонный метр пути назначаются исходя из величин предельных нагрузок на пересечении катка с рельсом или балкой накаточного пути, принимаемых по
таблице 18, и наибольших величин удельных давлений на накаточный путь с учетом коэффициента надежности по нагрузке

.
Таблица 18
Величины предельных нагрузок для катка
Диаметр стального катка | Предельная нагрузка на одно пересечение, кН |
с рельсом типа Р50 и тяжелее | с балкой N 55 и тяжелее |
80 | 30 | 75 |
100 | 50 | 100 |
120 | 60 | 110 |
10.4.3.4 Каретки для поперечной перекатки на катках скрепляются с перекатываемой конструкцией и рассчитываются с учетом возможного бокового усилия (распора).
10.4.3.5 Роликовые опоры составляются из отдельных двухроликовых элементов, последовательно объединяемых шарнирно в группы из двух, четырех, восьми элементов.
10.4.3.6 Распределительные устройства, каретки и роликовые тележки, показанные на
рисунке 10.13, должны обеспечивать балансирное и равномерное распределение нагрузки на катки или ролики.
1 - опорный узел пролетного строения; 2 - опорные части;
3 - каретка; 4 - катки; 5 - нижний накаточный путь
Рисунок 10.13 - Опирание узла пролетного строения
на накаточные пути
10.4.3.7 Конструкция тележек для поперечной перекатки, показанная на
рисунке 10.14, должна обеспечивать: равномерную нагрузку на все ролики тележки и возможность продольного перемещения одного из концов перекатываемого пролетного строения по тележке для уменьшения влияния распора, возникающего от непараллельности накаточных путей, забега тележек и от изменения длины пролетного строения при прогибах и температурных перепадах.
1 - опорный узел пролетного строения; 2 - катки;
3 - перекаточная тележка; 4 - опорные плиты тележки;
5 - ограничители положения катков
Рисунок 10.14 - Опирание узла пролетного строения
при поперечной перекатке на тележках
10.4.3.8 Тележки должны быть устойчивыми в свободном состоянии. Высота реборд колес менее 20 мм не допускается. Тип рельса для перекаточного пути выбирается по
9.1.
10.4.3.9 Катки для перекатки применяются диаметром от 80 до 120 мм из твердых сталей не ниже марки Ст5 в соответствии с
ГОСТ 380, с шероховатостью поверхности катания
Rz 20, в соответствии с
ГОСТ 2789. Катки точеные с минусовым допуском - глубиной наибольшей впадины профиля
Rv - 220 мкм.
Длина катков предусматривается не менее 200 мм и не более 300 мм больше ширины накаточного пути. Расстояние между катками в свету - не менее 50 мм.
10.5 Тяговые, толкающие и тормозные устройства
10.5.1 Надвигаемые пролетные строения и другие конструкции оснащаются тяговыми или толкающими, тормозными и стопорными устройствами. Приложение тягового или тормозного усилия осуществляется за края или свесы нижнего пояса, которые для обеспечения надежного захвата должны быть по ширине не менее 90 мм.
10.5.2 Тормозные устройства проектируются обязательно при надвижке:
- по уклону, тангенс угла которого превышает половину минимального коэффициента трения в накаточных устройствах;
- с помощью тяговых лебедок;
- когда ветровая нагрузка вдоль надвижки больше половины усилия от трения в устройствах скольжения.
Примечание - Для удержания пролетного строения между этапами сборки и надвижки проектируются стопорные (тормозные) устройства, исключающие произвольное перемещение надвигаемого пролетного строения от наибольшей расчетной продольной ветровой нагрузки, от уклона, от самопроизвольной сдвижки пролетного строения от воздействия температурных перепадов и других воздействий.
10.5.3 Тяговые и толкающие устройства должны обеспечивать плавную, без рывков, надвижку конструкции со скоростью:
- от 0,5 до 1,0 м/мин - при перекатке на роликовых каретках или тележках;
- от 0,2 до 0,4 м/мин - при использовании устройств скольжения и катков для возможности своевременной установки прокладок из антифрикционного материала и катков.
10.5.4 При работе тяговых и тормозных устройств и контроле усилий, возникающих при их работе, предусматривается их синхронизация. В процессе надвижки конструкций тормозные устройства должны находиться в постоянной готовности стопорения надвигаемой конструкции.
10.5.5 Для перемещения пролетных строений предусматриваются домкраты или полиспасты. Возможно применение специальных тихоходных редукторных лебедок большой грузоподъемности, обеспечивающих без полиспастов необходимое тяговое усилие и допустимые скорости перемещения. Лебедки предусматриваются с канатоемкостью от 200 м и до 400 м, домкраты - со скоростью рабочего хода приблизительно 5 мм/с.
10.5.6 Тяговые лебедки для перемещения пролетного строения с помощью плавучей опоры на переднем конце располагаются на пролетном строении, а на плавучей опоре - пеленажные лебедки.
10.5.7 При проектировании полиспастов предусматриваются:
- симметричное расположение полиспастов относительно продольной оси перекатки; в этом случае угол между направлением перекатки и осью полиспаста не должен превышать 10°;
- расстояние между блоками при максимальном сближении не менее пяти диаметров роликов;
- при расположении отводных роликов и лебедки подвод троса к барабану снизу под углом не более 5° выше и 90° ниже горизонта;
- возможность быстрого перекрепления блоков и перепасовки полиспаста при длине перекатки, превышающей максимальную длину полиспастов, определяемую канатоемкостью лебедки;
- диаметр отводных роликов и роликов полиспаста не менее 15 диаметров троса.
Паспортная грузоподъемность полиспастов или домкратов должна превышать величину нормативного тягового усилия не менее чем на 30%.
10.5.8 Тяговые и тормозные средства подбираются на суммарную нагрузку, включающую:
- нагрузку от продольного ветра на пролетное строение в процессе его надвижки при скорости V = 15 м/с;
- составляющую веса, направленную вдоль плоскости надвижки по уклону;
- гидродинамическое усилие, возникающее при надвижке с помощью плавучей опоры.
Коэффициент надежности по назначению для тяговых канатов принимается

.
10.5.9 Выбор грузоподъемности лебедок осуществляют по соотношению величин расчетного тягового усилия Nр к усилию S в сбегающем конце троса у лебедки по формуле

(10.10)
где
K - характеристика полиспаста по данным
таблицы 19.
Таблица 19
Характеристика полиспаста
K
Число рабочих нитей в полиспасте | Число рабочих роликов в блоках полиспастов | Значения K при отводных роликах (уточняются в зависимости от типа подшипников роликов) |
0 | 1 | 2 | 3 | 4 | 5 |
1 | 0 | 1,00 | 0,96 | 0,92 | 0,88 | 0,85 | 0,82 |
2 | 1 | 1,96 | 1,88 | 1,81 | 1,73 | 1,65 | 1,60 |
3 | 2 | 2,88 | 2,76 | 2,65 | 2,55 | 2,44 | 2,35 |
4 | 3 | 3,77 | 3,62 | 3,47 | 3,33 | 3,20 | 3,07 |
5 | 4 | 4,62 | 4,44 | 4,26 | 4,09 | 3,92 | 3,77 |
6 | 5 | 5,43 | 5,21 | 5,00 | 4,80 | 4,61 | 4,43 |
7 | 6 | 6,21 | 5,96 | 5,72 | 5,49 | 5,27 | 5,06 |
8 | 1 | 6,97 | 6,69 | 6,42 | 6,17 | 5,92 | 5,68 |
9 | 8 | 7,69 | 7,38 | 7,09 | 6,80 | 6,53 | 6,27 |
10 | 9 | 8,38 | 8,04 | 7,72 | 7,41 | 7,12 | 6,83 |
11 | 10 | 9,04 | 8,68 | 8,33 | 8,00 | 7,68 | 7,37 |
Примечания 1 Ролик неподвижного блока, с которого сбегает конец троса, считается отводным. 2 Данные относятся к полиспастам с блоками на подшипниках трения. |
10.5.10 При проектировании надвижки с помощью домкратов предусматривается:
- расположение домкратов строго симметрично относительно оси надвижки и объединение в общую батарею (толкание пролетного строения одним домкратом не рекомендуется);
- расположение тянущих домкратов на устоях мостов с передачей нагрузки на тягу через рамку или траверсы;
- применение тянущих устройств с необходимой тягой, с вытяжкой при расчетном тяговом усилии не более 10 см (предпочтительно в виде пластинчатых цепей);
- применение передвижных упоров и съемных вставок, устанавливаемых между домкратами и торцом пролетного строения, при опирании домкратов в хвостовую часть пролетного строения;
- применение перемещающихся домкратов с зажимами, типа гидропередвижчика, при использовании сплошных нижних накаточных путей, закрепленных от смещения;
- применение стальных прокладок из высокопрочных материалов с высоким коэффициентом трения или стальных прокладок с насеченной и закаленной поверхностью;
- использование специальных домкратов для возврата поршней тянущих домкратов в исходное положение.
10.5.11 Для продольной надвижки стальных и сталежелезобетонных балочных пролетных строений допускается использование тяговых и тормозных устройств в виде парных гидроцилиндров с ходом штока 200 см и более, оборудованных на концах клещевыми гидрозахватами. При этом:
- приложение тягового или тормозного усилия осуществляется за края или свесы нижнего пояса, которые для обеспечения надежного захвата должны быть по ширине не менее 90 мм;
- неподвижный конец гидроцилиндров закрепляется на стапеле, на капитальной опоре либо на вспомогательной опоре; при расчете каждой из конструкций вводятся максимально возможные усилия от действия тяговых или тормозных устройств.
10.5.12 При надвижке пролетных строений в условиях температуры наружного воздуха ниже минус 40 °C применение механизмов предусматривается в соответствии с требованиями
ГОСТ 15150. При этом требуется предусматривать меры по предотвращению хрупкого разрушения металла основных и вспомогательных конструкций.
10.5.13 При надвижке пролетных строений применяются аванбеки, арьербеки, шпренгели и приемные консоли, входящие в общую надвигаемую систему совместно с надвигаемой конструкцией.
10.5.14 Проектирование аванбека с назначением его длины и жесткости при надвижке неразрезных пролетных строений предусматривается с соблюдением условий:
- обеспечения прочности и устойчивости против опрокидывания надвигаемой системы в момент перед опиранием аванбека на следующую перекаточную опору;
- обеспечения прочности и устойчивости элементов надвигаемого пролетного строения с усилиями не выше предельно допустимых.
10.5.15 Для облегчения заведения аванбека на перекаточную опору в некоторых случаях его конец проектируется с плавным подъемом кверху с учетом прогиба консольной части от собственного веса.
10.5.16 При больших прогибах пролетных строений, в случае необходимости, на переднем конце аванбека предусматриваются устройства для выборки прогиба.
10.5.17 Конструкция аванбека и его крепление к пролетному строению рассчитываются для следующих трех положений:
- нахождение аванбека на весу, когда он работает как консоль;
- поддомкрачивание переднего конца аванбека;
- опирание аванбека в любом из его промежуточных сечений.
10.5.18 При надвижке пролетного строения со шпренгелем может применяться короткий аванбек, предназначенный для приема конца пролетного строения на очередной опоре.
10.5.19 При необходимости конструкция шпренгеля должна обеспечивать возможность регулирования прогиба консоли пролетного строения при его наезде на перекаточные опоры. Как правило, это осуществляется путем поддомкрачивания стойки шпренгеля. При этом в документации указываются способы непосредственного измерения усилий в шпренгеле и стойке на всех стадиях надвижки.
10.5.20 Приемные консоли рассчитываются на воздействие нагрузок, приведенных в
таблице 20 в наиболее невыгодном их сочетании и положении.
10.5.21 Усилия, передаваемые приемными консолями на перекаточную опору, не должны превышать усилий, воспринимаемых этой опорой. При этом в случае размещения приемных консолей на капитальной опоре производится проверка данной опоры, включая основание, на монтажные нагрузки.
10.5.22 Для надвижки пролетного строения на последних стадиях может применяться арьербек.
10.5.23 При использовании тяговых и тормозных устройств с клещевыми гидрозахватами конструкция арьербека предусматривается совместимой с ними для работы в штатном режиме без дополнительного переустройства.
10.5.24 При надвижке необходимо обеспечить устойчивость надвигаемой конструкции от сдвига и опрокидывания на всех этапах работ, в том числе в период сборки на стапеле, а также от продольного смещения при опускании на анкерной опоре.
10.6 Устройства для подъемки и опускания пролетных строений
10.6.1 Проектирование неподвижных устройств подъемки и опускания допускается проектировать по
[11]. К таким устройствам относятся домкратные установки, подъемники, мачты и другие устройства или приспособления, конструкции которых должны обеспечивать:
- устойчивость от сдвига и опрокидывания пролетного строения при подъемке и опускании на всех этапах работ;
- необходимые горизонтальные перемещения узлов опирания пролетного строения, в том числе от температурных воздействий;
- необходимые закрепления пролетного строения на всех этапах его подъемки и опускания;
- удобство и безопасность обслуживания на всех этапах работ.
10.6.2 Расчет прикрепления пролетных строений к полиспастам выполняется по статически определимой схеме, исключающей перегрузку основных и вспомогательных конструкций.
10.6.3 При подъемке пролетного строения за один конец конструкция опирания второго его конца должна представлять собой неподвижный шарнир, воспринимающий горизонтальные усилия, возникающие в опорной точке.
10.6.4 Конструкция узла опирания поднимаемого конца пролетного строения должна предусматривать передачу на домкраты вертикальной составляющей нагрузки с одновременным обеспечением беспрепятственного горизонтального и углового перемещений в пределах величин, определенных геометрическими расчетами.
10.6.5 Порядок работ при подъемке и опускании регламентируется
СП 46.13330.2012. Перекос пролетного строения при подъемке на домкратах (взаимное превышение узлов) не должен превышать 0,005 расстояния между узлами опирания при подъеме на домкратах и 0,01 расстояния между узлами опирания при подъеме на полиспастах.
10.6.6 Для подъемки и опускания пролетных строений на домкратах и металлических песочницах принимаются конструктивные решения, обеспечивающие:
- устойчивость этих устройств (включая домкратные и страховочные клетки);
- восприятие этими устройствами горизонтальных нагрузок от ветра;
- свободу перемещений от температурных воздействий.
10.6.7 Песочницы проектируются цилиндрической формы. Конструкция песочниц должна допускать их демонтаж в процессе опускания пролетного строения. Соединения элементов корпуса песочниц предусматриваются плотными и не допускающими высыпания песка под нагрузкой. Для песочниц предусматриваются:
- чистый и сухой песок, просеянный на сите с ячейками не более 1,2 мм;
- давление на песок, не превышающее 50 кгс/см2;
- защита от попадания в них воды и снега.
10.6.8 При проектировании песочниц выполняются расчеты:
а) поршня - на прочность при действии сосредоточенной нагрузки сверху и равномерно распределенного давления по плоскости опирания на песок;
б) основания песочницы - на равномерно распределенную нагрузку по площади песчаного заполнения;
в) боковых стенок песочниц - на вертикальное и боковое давление (величина вертикальной нагрузки принимается равной весу опускаемого груза).
10.6.9 Величину бокового давления

принимают по формуле

(10.11)
где
- вертикальные напряжения в песке (от внешней нагрузки и веса столба песка);

- коэффициент бокового давления, равный:
- 0,4 для песочниц с выборкой песка сверху;
- 1,0 для песочниц с выпуском песка через нижние отверстия.
10.6.10 Сечение цилиндрических песочниц допускается проверять на прочность в предположении равномерного давления изнутри по периметру окружности. Усилие N, Н/см, радиального сечения вычисляют по формуле

(10.12)
где d - диаметр песочницы, см.
10.6.11 Для подъемки и опускания пролетных строений с помощью клеток предусматривается выполнение условий:
- подъемка пролетных строений на клетках домкратами осуществляется, как правило, при высоте клеток не более 2 м;
- для обеспечения прочности клеток, устойчивости от сдвига и опрокидывания и необходимого расчетного распределения нагрузки на основание подбираются материал, размеры домкратных и страховочных клеток и взаимное соединение элементов клеток;
- деревянные брусья клеток соединяются скобами, а металлические - болтами или сваркой;
- подъемка и опускание пролетных строений без страховочных клеток не допускается.
10.6.12 Для обеспечения подъема конструкций с помощью домкратов применяются:
- страховочные клетки под конструкции, поднимаемые на домкратах;
- страховочные или стопорные кольца на домкратах (при необходимости);
- фанерные прокладки для опирания металлических конструкций и домкратов;
- стальные распределительные плиты для опирания на деревянное основание.
10.6.13 Опирание домкратов на металлическое основание (клетки, оголовок) производится через фанерные прокладки, а на деревянное основание - через распределительную металлическую плиту, например рельсовый пакет.
Опирание пролетных строений на домкраты допускается только через набор листов, или распределительную плиту, или наддомкратные пакеты, обеспечивающие местную прочность и устойчивость пролетного строения в точках опирания. На головы домкратов во всех случаях должны быть уложены фанерные прокладки. Применение металлических прокладок или прокладок из досок не допускается.
10.6.14 Условия по опиранию домкратов, предусмотренные в
10.6.12 и
10.6.13, распространяются и на устройство страховочных клеток.
10.6.15 Применение домкратных установок предусматривается с возможностью централизованного управления, позволяющего регулировать режим работы каждого домкрата или группы домкратов. Для домкратных установок используются приводные гидронасосы с питанием и централизованным управлением, регулирующим режим работы домкрата или группы домкратов.
10.6.16 При проектировании предусматривается, что домкратные установки, представляющие гидравлическую систему, включающую насосную станцию и домкраты, снабжаются опломбированными манометрами и страховочными приспособлениями в виде стопорных гаек или набора полуколец.
10.6.17 При оформлении рабочих чертежей, предусматривающих устройства для подъемки и опускания пролетного строения, указываются средства и способы контроля его положения по отметкам и в плане, а в случаях, предусмотренных заданием на проектирование, - приборы по определению напряжений и прогибов.
10.6.18 Нагрузки и их сочетания для расчета подъемных устройств принимаются по
таблице 20.
Таблица 20
Сочетания нагрузок для расчета подъемных устройств
| Нагрузки и воздействия | Сочетания нагрузок |
| |
| Собственный вес устройств | + | + |
| Вес пролетного строения | + | + |
| Усилия в домкратах | - | + |
| Давление продольного или поперечного ветра | + | + |
Примечания 1 Для первого сочетания пролетное строение установлено на страховочных клетках (или на шарнирах подъемников), учитывается ветер нерабочего состояния, поршни домкратов спущены. 2 Второе сочетание - рабочий случай подъемки (опускания) и ветер рабочего состояния (давление не более 14 кгс/м 2, скорость не более 15 м/с). |
10.6.19 Грузоподъемность домкратов и лебедок должна превышать не менее чем на 30% приходящуюся на них нормативную нагрузку с учетом перегруза от ветра со скоростью 15 м/с (при

).
10.6.20 Коэффициент надежности по назначению в стальных канатах подъемных устройств принимается

.
10.6.21 Элементы обстройки и распределительных конструкций, непосредственно воспринимающие нагрузку от подъемных средств, и узлы подвеса или опирания поднимаемого пролетного строения рассчитываются на восприятие сосредоточенной опорной реакции, увеличенной на 30%.
10.6.22 Опирание разрезного пролетного строения в процессе подъема или опускания предусматривается не менее чем в четырех точках.
10.6.23 При опирании пролетного строения на три и более опоры (неразрезная схема с несколькими пролетами) в процессе его опускания или подъемки в документации должен быть строго определен порядок работ, учитывающий возникающие усилия и деформации с учетом требований, изложенных в соответствующих разделах настоящего стандарта. При этом на опорных клетках предусматриваются:
- обустройства, обеспечивающие подвижное и неподвижное опирание пролетного строения;
- шарнирные опирания для поворота пролетного строения;
- клиновые прокладки для компенсации уклонов на клетках;
- другие устройства, обеспечивающие надежность и безопасность выполнения работ.
10.7 Плавучие опоры и устройства для их перемещения
10.7.1 Для создания плавучих опор используются плавсредства:
- плашкоуты, комплектующиеся из инвентарных металлических понтонов закрытого типа, допускающих балластировку через донные отверстия, а сброс водного балласта - подачей воздуха в балластируемые понтоны;
- другие плашкоуты, плавучие платформы существующих проектов и индивидуальной проектировки;
- металлические палубные баржи;
- несколько барж или плашкоутов, жестко соединенных между собой в плане.
10.7.2 Конструкция применяемых плавсредств должна обеспечивать необходимые прочность и жесткость их корпуса на действия возникающих в процессе перевозки сил. При необходимости предусматривается усиление корпусов, определяемых расчетом.
10.7.3 Размеры и водоизмещение плавсредств, используемых для плавучих опор, и их взаимное расположение принимаются исходя из условия обеспечения необходимой грузоподъемности и остойчивости в продольном и поперечном направлениях как отдельных плавсредств, так и плавучей системы в целом, определяемых согласно
10.7.20 и
10.7.21, также предусматриваются:
- зазоры между бортами плавучих опор и пирсами, а также постоянными опорами, составляющие не менее 0,5 м при выводе плавучей системы из ковша и 1 м - при установке ее в пролете;
- запас глубины воды под днищем плавучих опор, принимаемый не менее 0,2 м с учетом возможного колебания горизонта воды в районе перевозки, определяемого с учетом габаритных размеров железобетонных якорей-присосов для случаев, если плашкоут или баржа проходит над ними.
10.7.4 Плашкоуты плавучих опор из понтонов принимаются преимущественно прямоугольного очертания в плане. Расположение понтонов выполняется симметрично относительно оси опорного давления. Понтоны типа КС при соединении их в плашкоуты располагаются продольной стороной в направлении действия наибольшего изгибающего момента согласно
приложению Ж.
Объединение понтонов типа КС в плашкоуты допускается при высоте борта как 1,80 м, так и 3,60 м при обеспечении достаточных глубин воды на путях перемещения плавучей системы и обеспечении ее остойчивости.
10.7.5 При использовании для плавучих опор барж и других инвентарных плавсредств руководствуются их паспортными данными и исполнительными чертежами с учетом результатов натурного обследования их состояния. Баржи могут использоваться как сухогрузные, так и наливные с продольной и поперечными переборками. Кроме того, при выборе барж учитывается:
- грузоподъемность барж принимается не менее чем на 25% больше расчетной нагрузки на них;
- при образовании плавучей опоры из нескольких барж последние должны быть, как правило, однотипные и одинаковой грузоподъемности.
10.7.6 Плавучие опоры прямоугольного в плане очертания, имеющие значительную ширину и осадку, перемещаемые при скорости течения более 1 м/с, предусматривается оборудовать обтекателями преимущественно закрытого типа.
Плавучие опоры прямоугольного в плане очертания, при необходимости, проектируются в носовой и кормовой части с фальшбортами, продолженными вдоль бортов плашкоута от 3 до 4 м. Высоту фальшборта hф вычисляют по формуле
hф = 1,5hв - hб, (10.13)
где hв - расчетная высота волны, возможная во время перевозки пролетных строений, с вероятностью превышения 10%, м;
hб - высота надводного борта при наклонении плавучей системы на нос или корму от действия расчетной ветровой нагрузки, м.
10.7.7 При значительных сосредоточенных нагрузках на плавучую опору от веса перевозимого пролетного строения или его блока для распределения усилий в плашкоуте плавучей опоры предусматривается:
- применение металлических ферм усиления, включаемых в совместную с корпусом плашкоута работу (в этом случае усилия между плашкоутом и фермами обстройки при расчете плавучих опор должны распределяться из условия совместности деформаций);
- создание предварительного напряжения в плавучей опоре путем придания плашкоуту обратного выгиба посредством балластировки его концевых частей, объединения обстройки с плашкоутом в единую конструкцию и последующего сбрасывания балласта.
10.7.8 Для восприятия горизонтальных поперечных составляющих усилий, передаваемых на плашкоуты или баржи при буксировке, при необходимости предусматривается раскрепление пролетного строения тросовыми расчалками за носовую и кормовую части плашкоутов или барж. В состав этих расчалок включаются натяжные устройства.
10.7.9 При вынужденной передаче нагрузки от веса перевозимого пролетного строения эксцентрично относительно продольной оси плавсредства, отдельно установленного в плавучей системе, обстройку смежных плашкоутов или барж предусматривается объединять соединительными фермами, установленными в средней части плавучих опор.
10.7.10 Обстройка плавучих опор должна распределять вес перевозимого пролетного строения в соответствии с расчетом плашкоута или баржи на прочность корпуса как эквивалентного бруса, а также местную прочность и устойчивость набора. Обстройка плавучих опор предусматривается, как правило, из инвентарных конструкций.
10.7.11 Высота обстройки плавучих опор назначается исходя из возможного максимального уровня воды в период перевозки с учетом длительных и суточных его колебаний. При колебаниях воды более +/- 0,2 м предусматривается регулировка высоты обстройки съемными оголовками и балочными клетками.
10.7.12 На плавучих опорах предусматриваются средства для регулирования и контроля:
- находящегося в них водного балласта;
- положения пролетного строения по высоте перемещения плавучей системы;
- перемещения плавучей системы;
- раскрепления пролетного строения к постоянным опорам при заводке в пролет моста;
- раскрепления плавучих опор между собой, с пролетным строением;
- раскрепления на якорях при сильном ветре, включая при необходимости аварийные якоря;
- закрепления якорных тросов на палубах плавсредств в виде специальных приспособлений, когда конструкция таких приспособлений обеспечивает быстрое и плавное торможение плавучей системы после сброса якорей.
10.7.13 Применяемые балластировочные средства и устройства должны обеспечивать:
а) балластировку плавучих опор не более чем за 2,0 ч и разбалластировку - за 2,5 ч;
б) подачу водного балласта во все балластируемые понтоны и отсеки плавучей опоры;
в) сброс водного балласта из всех без исключения понтонов и отсеков плавучей опоры;
г) безотказную подачу сжатого воздуха в понтоны для отжатия балласта в течение всего периода эксплуатации плавучей системы;
д) минимальную высоту неоткачиваемого или остаточного балласта, указанную в
10.7.26.
10.7.14 Предусматриваются необходимые условия для обеспечения балластировки понтонов.
10.7.14.1 При балластировке понтонов через донные отверстия на каждом плашкоуте предусматривается резервный самовсасывающий насос для откачки воды из глухих понтонов в случае их протечки.
10.7.14.2 При балластировке понтонов через донные отверстия часть понтонов, распределенных равномерно по площади плашкоута, закрывается от поступления воды через донные отверстия. Количество таких понтонов определяется согласно
10.7.20.
10.7.14.3 Остальные понтоны объединяются в четыре симметрично расположенные секции, каждая из которых должна иметь обособленную воздушную разводящую сеть к пульту управления.
10.7.14.4 Конструкция пульта управления проектируется с возможностью допускать подачу сжатого воздуха как от компрессоров, установленных на плавучей опоре, так и от береговых компрессорных станций, при их наличии.
10.7.14.5 При использовании береговых компрессорных станций на плавучей опоре предусматривается установка только рабочего и запасного компрессоров, используемых в особых случаях: при утечке воздуха из балластируемых понтонов в случае пробоины в обшивке небалластируемых понтонов.
10.7.14.6 Мощность рабочего и запасного компрессоров предусматривается не менее 15% мощности компрессоров, определенной согласно
10.7.12.
10.7.14.7 Конструкция пульта управления и воздушной разводящей сети должна обеспечивать подачу и/или выпуск сжатого воздуха:
- одновременно во все секции;
- только в любую секцию;
- только в любой понтон.
10.7.14.8 Для каждого понтона предусматривается отдельный кран на воздушной разводящей сети.
10.7.15 Порядок балластировки и разбалластировки плавучих опор должен обеспечивать равномерное их загружение, не вызывать перенапряжения в конструкциях плавучей опоры или ее обстройки, а также обеспечивать остойчивость отдельных плавучих опор и всей плавучей системы в целом. Для выполнения этих условий проектированием предусматривается:
- до момента приобретения плавучей системой плавучести подача сжатого воздуха может производиться одновременно во все секции плашкоута;
- после приобретения плавучей системой плавучести подача сжатого воздуха может производиться только поочередно в секции, симметрично расположенные относительно осей плашкоута;
- не допускается соединять секции плашкоута между собой воздухопроводной сетью после приобретения системой плавучести.
10.7.16 Порядок погрузки, перевозки и установки пролетных строений на опорные части определяется проектом производства работ с учетом правил
СП 46.13330.2012. Средства для перемещения и закрепления плавучих опор применяются согласно
10.7.29 -
10.7.39.
10.7.17 Для плавучих опор выполняются расчеты:
а) по первому предельному состоянию на расчетные нагрузки, определяющие:
1) прочность плашкоутов или барж, обстройки и соединительных ферм;
2) плавучесть плавучих опор и плавучей системы в целом;
3) остойчивость плавучих опор и плавучей системы в целом;
4) плавучесть отдельной опоры, балластируемой через донные отверстия в понтонах;
б) по второму предельному состоянию на нормативные нагрузки, определяющие объем водного балласта и емкость балластных резервуаров или отсеков, с учетом допустимых осадок, деформации плавучих опор и погрузочных обустройств.
10.7.18 Для расчетов плавучих опор используются следующие нагрузки:
- вес перевозимого пролетного строения с обустройствами;
- вес плавучей опоры с обустройствами и оборудованием;
- вес водного балласта;
- ветровая нагрузка;
- гидростатическое давление воды;
- волновая нагрузка.
10.7.19 Сочетания нагрузок, рассматриваемые при расчете плавучих опор в продольном и поперечном направлениях, принимаются по
таблице 21. При расчете плавучих опор на прочность при втором сочетании нагрузок коэффициенты сочетаний к временным нагрузкам принимаются равными

.
Таблица 21
Сочетание нагрузок для расчета плавучих опор
| Нагрузки и воздействия | При расчете на прочность | При расчете на плавучесть | При расчете на остойчивость |
сочетание нагрузок | плавсистемы в целом | отдельной опоры | плавсистемы в целом | отдельной опоры |
1 | 2 |
| Вес перевозимого пролетного строения с обустройствами P | + | + | + | - | + | - |
| Вес плавучих опор с обустройствами и оборудованием G | + | + | + | + | + | + |
| Вес остаточного балласта Gост | + | + | + | + | + | + |
| Вес регулировочного балласта Gрег | + | + | + | + | + | - |
| Вес рабочего балласта Gраб | + | - | - | + | - | - |
| Давление ветра на пролетное строение Wпр | - | + | - | - | + | - |
| Давление ветра на опору Wоп | - | + | - | - | + | + |
| Гидростатическое давление воды | + | + | + | + | + | + |
| Волновая нагрузка | - | + | - | - | - | - |
Примечания 1 Расчетное значение нагрузки определяется по 5.2. 2 Гидростатическое давление воды определяется по 10.7.20. 3 При условии обеспечения местными организациями гидрометеорологической службы надежного прогноза о скоростях ветра на период перевозки расчет остойчивости плавучей системы в целом может производиться на давление ветра, вычисленное по расчетной ветровой нагрузке, равной 50 кгс/м 2, независимо от высоты. Остойчивость отдельной опоры при ее отстое рассчитывается на давление ветра по 5.4, а при выводе ее из пролета - на нормативное ветровое давление, соответствующее скорости 10 м/с. 4 Дополнительные изгибающие моменты и поперечные силы от воздействия волновой нагрузки определяются согласно приложению И. |
10.7.20 Для определения плавучести плавучих опор применяют формулу

(10.14)
где

- удельный вес воды, равный для пресной воды 10 кН/м
3;
- предельное водоизмещение опор плавучей системы, равное суммарному их водоизмещению при осадке, равной высоте борта по миделю (для плашкоутов, собранных из понтонов, прогиб плашкоута не учитывается);

- расчетный вес плавучей системы, кН, равный сумме расчетных весов:
- перевозимого пролетного строения с обустройствами P;
- плавучих опор с обустройствами и оборудованием G;
- регулировочного и остаточного балласта Gрег + Gост;

- коэффициент надежности по назначению, принимаемый 1,2 независимо от системы балластировки и 1,25 при использовании барж для плавучих опор.
10.7.20.1 Для плавучих опор, собранных из понтонов, балластируемых через донные отверстия, плавучесть от воздействия постоянных нагрузок обеспечивается только глухими небалластируемыми понтонами.
10.7.20.2 Для контроля за фактической осадкой плавучих опор в рабочих чертежах приводятся осадки плавучих опор от нормативных нагрузок.
10.7.21 При выполнении расчетов на остойчивость плавучей опоры, показанной на
рисунке 10.15, предусматриваются определенные условия для проверки.
Рисунок 10.15 - Схема определения остойчивости
плавучей опоры
10.7.21.1 Метацентрическая высота

предусматривается положительной во всех расчетных случаях, т.е. должно выполняться неравенство

(10.15)
где

- метацентрический радиус, равный расстоянию между центром тяжести вытесненного объема воды, центром водоизмещения
Zv и метацентром
Zm, расположенным в точке пересечения вертикали, проходящей через смещенный центр водоизмещения
C'v, с осью
Z плавучей системы или опоры;
a - расстояние от центра тяжести плавучей системы до центра водоизмещения Zv, принимаемое равным тому же расстоянию при начальном положении плавучей опоры или плавучей системы.
10.7.21.2 При крене и дифференте плавучих опор и плавучей системы в целом от действия нормативной ветровой нагрузки кромка палубы в любой точке не должна уходить под воду. Расчет осадок производится согласно
10.7.23 и
10.7.24.
10.7.21.3 Запас надводного борта плавучих опор, образованных из закрытых понтонов и металлических палубных барж, при максимальном крене или дифференте с учетом действия нормативных нагрузок должен быть не менее 20 см.
Примечания
2 Для расчетов остойчивости плавучей системы, а также отдельных плавучих опор в случае применения плашкоутов из понтонов, балластируемых через донные отверстия, принимается условие, что все балластируемые понтоны изолированы от воздухопроводящей сети, т.е. краны у каждого понтона перекрыты. Такое условие обязательно предусматривается в разрабатываемой документации.
10.7.22 Метацентрический радиус

, м, вычисляют по формуле

(10.16)
где J - момент инерции площади плашкоутов и/или барж в уровне ватерлинии плавучей опоры относительно оси ее наклонения, принимаемый при кренах относительно оси с меньшим моментом инерции, а при дифферентах относительно оси с большим моментом инерции площади, м4;

- сумма собственных моментов инерции поверхности балласта в понтонах и/или отсеках барж относительно осей, проходящих через центры тяжести этих поверхностей, параллельно осям наклонения плавучей опоры и/или плавучей системы, м
4;
- объем или водоизмещение, м
3, погруженной части опор плавучей системы или отдельной опоры.
10.7.22.1 Для плашкоутов, образованных из понтонов, балластируемых по
10.7.14 через донные отверстия, собственные моменты инерции поверхности балласта в понтонах учитываются как для балластируемых, так и для небалластируемых понтонов.
10.7.22.2 Примеры определения моментов инерции для различных случаев расположения понтонов в опорах и способов их балластировки приведены в
приложении Ж.
10.7.22.3 Последовательность балластировки в пролете плашкоутов, образованных из понтонов, балластируемых через донные отверстия, указывается в рабочих чертежах.
10.7.23 Осадки плавучих опор определяются с учетом применения определенных плавсредств.
10.7.23.1 Осадку плашкоутов плавучей опоры tв, м, от вертикальных нагрузок вычисляют по формуле

(10.17)
где

- расчетная или нормативная нагрузка, определяемая согласно
10.7.20, приходящаяся на данную плавучую опору, кН;

- площадь плавучей опоры по ватерлинии, м
2;
kв - коэффициент полноты водоизмещения, принимаемый для понтонов типа КС равным значению 0,97.
10.7.23.2 При балластировке понтонов через донные отверстия, с учетом условий согласно
10.7.14, осадку отдельной опоры
t'в, м, вычисляют при отсутствии избыточного давления воздуха в балластируемых понтонах по формуле

(10.18)
где

- суммарная площадь небалластируемых понтонов, м
2.
10.7.23.3 Осадка барж плавучей опоры определяется по паспортным данным в зависимости от расчетной нагрузки на баржу.
10.7.24 Изменение осадки плавучих опор

, м, от расчетных ветровых нагрузок, вызывающих крен или дифферент отдельной опоры или плавучей системы, вычисляют по формуле

(10.19)
где

- угол крена (дифферента) плавучей опоры;
b - половина размера плавучей опоры в плоскости кренящего или дифферентующего момента, показанного на
рисунке 10.14;

вычисляют по формуле

(10.20)
где

- суммарный момент относительно центра водоизмещения от расчетных ветровых нагрузок, кН·м, приходящийся на плавучую опору;

- коэффициент, учитывающий динамическое воздействие ветра при его порывах и инерцию плавучей опоры.
Угол

должен удовлетворять условиям

и

, (10.21)
где

- угол крена (дифферента), соответствующий началу входа кромки палубы в воду;

- угол крена (дифферента), соответствующий началу выхода из воды днища или середины скулы.
10.7.25 Объем водного балласта V, м3, для балластировки плавучих опор вычисляют по формуле
V = Vраб + Vрег + Vост, (10.22)
где Vраб, Vрег, Vост - объемы соответственно рабочего, регулировочного и остаточного балласта, м3.
10.7.25.1 Объем рабочего балласта Vраб, необходимый для погружения или всплытия плавучих опор при погрузке пролетного строения и/или при установке его на опорные части, вычисляют по формуле

(10.23)
где P - нормативный вес пролетного строения, кН;

- погружение или всплытие опоры, м (для предварительных расчетов

принимается от 0,15 до 0,20 м), вычисляемое по формуле

(10.24)
где

- упругие деформации пролетного строения при погрузке или установке его на опорные части;

и

- деформации погрузочных обустройств плавучей опоры;

- зазор между низом пролетного строения и верхом погрузочных обустройств или опорных частей, принимаемый от 0,05 до 0,10 м.
10.7.25.2 Объем регулировочного балласта Vрег вычисляют по формуле

(10.25)
где hрег - величина регулирования осадки плавучих опор на случай возможных колебаний уровня воды за время одного цикла перевозки, но не менее чем за сутки.
Величина hрег принимается не менее максимального суточного изменения уровня воды, зафиксированного за последние 10 лет наблюдений на период перевозки. В необходимых случаях учитывается балласт, применяемый для устранения крена или дифферента несимметричной плавучей опоры или системы.
10.7.25.3 Объем остаточного балласта Vост вычисляют по формуле

(10.26)
где

- толщина слоя остаточного балласта, м, принимаемая для понтонов КС, балластируемых наливом воды насосами, равной 0,10 м, а для барж - в зависимости от конструкции набора днища.
Для понтонов КС, балластируемых через донные отверстия, толщина слоя остаточного балласта принимается равной 0,08 м.
10.7.26 Объем балластных резервуаров плавучей опоры принимается достаточным для размещения расчетного объема балласта, что проверяется расчетом.
При балластировке понтонов через донные отверстия учитывается условие, при котором уровень воды в балластных понтонах не может быть выше уровня воды за бортом.
10.7.27 При расчете плашкоутов и барж на прогиб и поперечную силу от гидростатического давления в уровне днища плашкоутов или барж форма эпюры гидростатического давления должна соответствовать форме эпюры объема, вытесненной плашкоутом или баржей воды.
Определенные изгибающие моменты и поперечные силы алгебраически суммируются с моментами и поперечными силами от волновой нагрузки, вычисляемыми по
приложению Ж.
10.7.28 При проектировании командного пункта плавучей системы предусматривается оборудование радиотелефонной связью с буксирами и береговыми обустройствами и громкоговорящей связью - с плавучими опорами.
10.7.29 Устройства для перемещения плавучей системы, такие как буксиры, лебедки, полиспасты и др., должны обеспечивать перемещение в заданном направлении при скорости ветра до 10 м/с. Якорные и раскрепляющие обустройства, включая аварийные якоря, должны обеспечивать удержание одной плавучей системы при расчетном давлении ветра.
10.7.30 Вывод плавучей системы с акватории пирса или ковша и заводка в пролет моста предусматриваются только с помощью лебедок. Перемещение плавучей системы проводится с помощью буксиров, а при небольших расстояниях - электролебедками.
Точная наводка при установке пролетного строения на опорные части производится с помощью талей, установленных на оголовках опор, и лебедок с короткими тросами, установленных на плашкоутах или баржах.
10.7.31 Лебедки для перемещения плавучих систем предусматривается размещать:
а) при перевозке на плаву пролетных строений с помощью буксиров - на плашкоутах плавучей системы;
б) при перевозке на плаву пролетных строений с помощью лебедок - на плашкоутах плавучей системы и на одном или обоих берегах;
в) при продольной надвижке пролетных строений - с опиранием одного конца на плавучую опору:
1) тяговые лебедки - на пролетном строении;
2) тормозные лебедки - на берегу;
3) пеленажные лебедки - на плашкоуте плавучей опоры.
Количество лебедок и мощность полиспастов выбирают такими, чтобы номинальная грузоподъемность каждой лебедки была на 30% более нормативного усилия в выходной ветви полиспаста.
10.7.32 Прокладывание тросов тяговых лебедок предусматривается через закрепленные к палубе устройства, например киповую планку, обеспечивающие:
а) изменение направления тросов как в плане, так и в вертикальной плоскости;
б) относительно быстрое (5 мин) закрепление тросов и восприятие полностью нагрузок на случай раскрепления плавучей системы на якорях при усилении ветра;
в) закрепление троса без скольжения.
Конструкция соединений тяговых и буксирных тросов предусматривается простой, обеспечивающей быстрое выполнение работ по их соединению и разъединению при наводке.
10.7.33 Для переносных донных якорей предусматриваются следующие требования:
а) обеспечение расчетной грузоподъемности при изменении направления троса в секторе до 120° с начальным перемещением якоря по дну не более 15 м от места его установки;
б) применение поплавков для определения местоположения якоря и размещения на них тросовых соединений. На судоходных реках поплавки должны быть оборудованы сигналами речного флота;
в) донные якоря-присосы испытываются на нагрузку, превышающую расчетную с коэффициентом 1,4.
10.7.34 Расположение якорей не должно нарушать условий судоходства и должно обеспечивать удобное перемещение плавучей системы. Переносные донные якоря, как правило, предусматривается размещать в створе с капитальными опорами.
10.7.35 Лебедки и якоря для перемещения и раскрепления плавучих систем или опор рассчитываются на сочетания нагрузок, приведенных в
таблице 22.
Таблица 22
Расчетные нагрузки для расчета лебедок и якорей
| Расчетные нагрузки | Сочетания нагрузок |
расчет лебедок | расчет якорей |
верховой ветер | низовой ветер | поперечный ветер | верховой ветер | низовой ветер | поперечный ветер |
| Ветровая нагрузка на плавучую систему расчетной интенсивности Wр | - | - | - | + | + | + |
| Ветровая нагрузка при скорости ветра V = 10 м/с | + | + | + | - | - | - |
| Максимальное гидродинамическое давление на подводную часть плавучей системы Nmax | + | - | + | + | - | + |
| Минимальное гидродинамическое давление на подводную часть плавучей системы Nmin | - | + | + | - | + | + |
Примечания 2 Поперечный ветер - ветер поперек течения водотока. 3 Усилия, передаваемые на якоря и лебедки, определяются с учетом принятого расположения якорей (мест закрепления тросов за постоянные опоры) и невыгоднейших углов подхода к ним (в плане) тросов. |
10.7.36 Для подбора якорей учитываются особенности их конструкций и выполняются необходимые расчеты.
10.7.36.1 Якоря и якорные канаты, показанные на
рисунке 10.16, рассчитываются на горизонтальные усилия
S, Н, вычисляемые по формулам
для верховых закреплений - Sв = Wp + Nmax | (10.27) |
и для низовых закреплений - Sн = Wp - Nmin, | (10.28) |
где
Wр,
Nmin и
Nmax принимают по
таблице 22 с соответствующими коэффициентами надежности по нагрузке.
Рисунок 10.16 - Схема определения длины якорного каната
10.7.36.2 Минимальную длину якорного каната lmin, м, вычисляют с учетом условия, чтобы канат подходил к якорю горизонтально, по формуле

(10.29)
где q - погонный вес якорного каната, Н/пог. м;
10.7.36.3 Горизонтальное усилие на якорь адмиралтейского типа принимается не более 6 весов якоря при песчаных и 12 весов якоря при глинистых грунтах.
10.7.36.4 Горизонтальное усилие на железобетонный якорь-присос принимается не более 1,6 веса якоря, или не более 70% предельного усилия, определенного при испытании якоря.
10.7.37 Подбор лебедок и тросов для пеленажных раскреплений производится на максимальные усилия, возникающие в них от действия расчетных нагрузок при указанных в
таблице 22 сочетаниях для различных положений перемещаемой системы.
10.7.38 Коэффициент надежности по назначению для тросов принимается

по отношению к разрывному усилию троса в целом.
10.7.39 При перемещении плавучих систем буксиром его мощность
Nбукс, кВт, вычисляют по формуле

(10.30)
где W10 - расчетное давление ветра на надводную часть плавучей системы при его скорости V = 10 м/с;
Nmax - расчетная гидродинамическая нагрузка на подводную часть плавучей системы, Н;
P - удельная сила тяги буксира, принимаемая от 1,4 до 2 Н/кВт.
10.8.1 Проектирование плашкоутов и других плавсредств для установки сухопутных кранов, копров, буровых машин, а также для перевозки строительных конструкций и материалов выполняется по правилам, установленным в
10.7, с учетом необходимых дополнений настоящего подраздела.
10.8.2 Установка копров и кранов на плавсредства предусматривается при глубине воды, превышающей 1,0 м. Размеры и конструкция плашкоутов в плане при установке на них крана или копра назначаются в зависимости от принятой технологии сооружения фундамента, порядка забивки свай и размеров опоры.
10.8.2.1 На одном плашкоуте предусматривается бортовая установка копров, на двух плашкоутах - центральная, расположенная на мостике или портале, опирающаяся на два плашкоута, располагающиеся с разрывом. В последнем случае плашкоуты должны иметь в носу и корме съемное жесткое раскрепление по палубе.
10.8.2.2 Бортовая установка копра или другой сваебойной машины предусматривается для дизельных пневматических молотов, а также для вибропогружателей или других сваебойных средств, которые в рабочем состоянии закрепляются на голове сваи. При бортовой установке возможно свободное передвижение плашкоута вокруг забиваемой группы свай.
10.8.2.3 Для копров со свободно падающим молотом применяется центральная установка на мостиках или порталах с расположением молота над центром расчетной площади ватерлинии обоих плашкоутов.
10.8.2.4 Высота обстройки плашкоута увязывается с возможной отметкой верха свай после их забивки.
10.8.2.5 Рабочие мостики под машины проектируются, как правило, из инвентарных элементов МИК-П или из индивидуальных металлоконструкций.
10.8.3 Козловые краны устанавливаются на два плашкоута, располагающиеся с разрывом. Установка козлового крана на плашкоуты и раскрепление их друг с другом производятся аналогично случаю установки копра на мостике или портале.
10.8.3.1 При установке на плашкоуте крана с неповоротной стрелой размеры плашкоута в плане определяются плавучестью и остойчивостью плавучей системы.
10.8.3.2 Ширина плашкоута назначается исходя из того, чтобы при подъеме наиболее тяжелого груза при необходимом вылете стрелы, направленной перпендикулярно к продольной оси плашкоута, угол крена плашкоута не превышал предельного угла наклона крана, определяемого по паспортным данным.
10.8.3.3 Углы крена и дифферента при работе крана не должны превышать 2°.
10.8.3.4 Для крана, предусмотренного к установке на плашкоут, прилагается кривая грузоподъемности в зависимости от вылета и длины стрелы.
10.8.3.5 Для крана с поворотной стрелой масса противовеса определяется при стреле крана, развернутой на борт с максимальным грузом, при этом кран не должен иметь дифферент, а должен плавать на ровный киль.
10.8.4 Буровые машины могут устанавливаться на плавсредствах аналогично установке копров - бортовая установка на одном плавсредстве и на мостике между двумя плавсредствами.
При расчете плавсредств и обустройств для установки на них буровой машины учитываются дополнительные нагрузки, возникающие от усилия буровой машины при погружении-извлечении обсадных труб и бурового органа. Величина усилий принимается по паспортным данным буровых машин.
10.8.5 При проектировании плавсредств, применяемых в зимний период, предусматриваются условия взаимодействия их с ледовой нагрузкой. В документации составляются мероприятия, исключающие воздействие ледовых нагрузок, превышающих расчетные.
10.8.6 При прогнозируемом мощном ледоходе предусматривается на этот период либо снимать плавсредства с рабочих стоянок, либо обстраивать их соответствующими ледорезами.
10.8.7 При проектировании плавсредств для размещения на них стреловых кранов, копров, буровых машин и другого аналогичного оборудования, а также перевозки грузов выполняются следующие расчеты:
а) по первому предельному состоянию (на расчетные нагрузки):
1) прочности плашкоута, распределительных ростверков и других элементов;
2) мощности тяговых средств и якорных закреплений;
3) плавучести системы;
4) остойчивости системы;
б) по второму предельному состоянию (на нормативные нагрузки):
1) объема и размещения противовесов из условия, допустимого для данного крана или копра крена (дифферента) плашкоута.
Нагрузки и их сочетания для расчета плавучих средств под краны, копры и другое оборудование принимаются по
таблице 23.
Таблица 23
Нагрузки и их сочетания для расчета плавучих средств
| Нагрузки и воздействия | Сочетания нагрузок |
при расчете прочности плашкоутов | при расчете плавучести и остойчивости |
| | | |
| Собственный вес плашкоута с обстройкой | + | + | + | + |
| Вес крана, копра и другого оборудования | + | + | + | + |
| Вес подвешенного к крану груза (молота, свай к копру): | | | | |
без динамики | - | - | + | - |
с динамикой | + | - | - | - |
| Вес противовесов и балласта | + | + | + | + |
| Давление ветра: | | | | |
на плашкоут | + | + | + | + |
на кран (копер) | + | + | + | + |
на груз (сваю) | + | - | + | - |
| Гидростатическое давление воды | + | + | + | + |
| Волновая нагрузка | + | - | + | - |
Примечания 1 Расчетное значение нагрузки, обозначенное определенным номером в настоящей таблице и таблице 1, определяется по 5.2. 2 Для сочетаний 2 и 4 интенсивность ветровой нагрузки принимается равной расчетной для данного района; для сочетаний 1 и 3 - при V = 10 м/с. 3 Для сочетаний 1 и 3 центр тяжести груза должен приниматься в точке подвеса его к крану (копру) в сочетании с наиболее невыгодным положением копра или крана на плашкоуте. 4 Для сочетаний 1 и 3 рассматривается также случай обрыва груза с копра или крана. В этом случае вес груза условно прилагается к стреле снизу вверх. 5 При расчете плашкоутов для кранов необходимо для сочетаний 1 и 3 рассмотреть случаи с наибольшей высотой подъема груза и с наибольшим вылетом поднимаемого груза. |
10.8.8 Плавучесть плашкоутов допускается определять по
формуле (10.14) при следующих коэффициентах надежности по назначению

:

- при установке на плашкоутах копров и стреловых кранов;

- при установке на плашкоутах козловых кранов, при перевозке строительных конструкций и материалов, при использовании барж в качестве плашкоутов.
10.8.9 Остойчивость плашкоутов проверяется при выполнении условий
10.7.21 с дополнительным требованием о недопущении выхода из воды днища или середины скулы.
10.8.10 При установке на плашкоутах копров, стреловых кранов или буровых машин учитывается наклонение плашкоута (крен и дифферент) от действия, кренящего (дифферентующего) момента. Дополнительную осадку определяют по условиям
10.7.24, а угол крена и дифферента плашкоута вычисляют по формуле

(10.31)
где

- расчетный момент от постоянных нагрузок;

- расчетный момент от временных нагрузок;

- принимается равным 1,2;

- расчетный вес плашкоута, кН, определяемый по условиям
10.7.20.
10.8.11 При проектировании плашкоута в плане применяются минимум три понтона, устанавливаемые вдоль плашкоута, и три поперек его. Не допускается применение одиночных инвентарных понтонов.
10.8.12 Понтоны типа КС с высотой борта 1,80 м рекомендуется устанавливать плашмя.
10.8.13 Плашкоут с копром или краном во время работы расчаливается не менее чем в четырех направлениях к якорям, заложенным на берегу, к якорям, уложенным на дно, или к ранее забитым сваям.
10.8.14 При установке копров на двух раздельных плашкоутах связи между ними рассчитываются на усилие от расчалок при транспортировке и разворотах плавучей установки с помощью лебедок. При этом в расчете учитывается наличие связей между плашкоутами.
10.8.15 При проектировании плашкоутов, предназначенных для установки сухопутных кранов и копров, в документации указывается:
- на углах плашкоута должны быть нанесены несмываемой краской водомерные рейки;
- ноль рейки должен соответствовать уровню днища.
10.8.16 Плашкоуты, предназначенные для перевозки строительных конструкций, машин, оборудования и материалов, должны иметь нанесенную несмываемой краской ватерлинию, располагаемую при высоте борта 1,8 м на высоте 1,40 м от днища.
10.8.17 Проектирование перевозки в морских условиях выполняется с учетом
[13].
10.8.18 Спуск на воду плашкоутов, а также ряжей, колодцев и т.п. предусматривается производить по наклонным стапелям с уклоном не менее 1:10, имеющим надводную и подводную части.
10.8.18.1 Длина надводной части стапеля определяется условиями монтажа или сборки плашкоута, и подготовки его к спуску на воду.
10.8.18.2 Длина подводной части определяется условием перемещения плашкоута по стапелю до момента полного его всплытия.
10.8.18.3 Схема спуска плашкоута высотой 1,8 и 3,6 м из понтонов КС приведена в
приложении К.
10.8.18.4 Для каждого конкретного случая строится диаграмма спуска плашкоута, представляющая зависимость от пути S сил, действующих на плашкоут от собственного веса и гидростатического давления, а также моментов этих сил относительно заднего конца плашкоута.
10.9 Самоподъемные плавучие платформы
10.9.1 Самоподъемная плавучая платформа представляет собой понтон, оснащенный опорными колоннами, которые могут опускаться и подниматься внутри шахт в корпусе понтона. С помощью электромеханических или гидравлических подъемников понтон может быть поднят на опорных колоннах, опертых на дно водоема, и закреплен на них над уровнем плавания.
10.9.2 СПП используется при строительстве мостов на акватории и как плавучее средство и как опора с высоким свайным ростверком.
10.9.3 Функционально СПП применяются в качестве:
- плавучих опор для перевозки пролетных строений при сооружении новых и разборке старых мостов;
- плавучих систем для размещения копрового, кранового и другого необходимого оборудования;
- плашкоутов для размещения на них плавучих бетонных заводов, деррик-кранов и другого оборудования;
- рабочих островков для размещения технологического оборудования при сооружении опор мостов на акваториях;
- временных опор при сооружении способами продольной надвижки, а также при демонтаже, ремонте и восстановлении пролетных строений мостов;
- рабочего мостика для пропуска и работы транспортных средств и механизмов;
- временного причала с размещением на нем тяжелого кранового оборудования.
10.9.4 При выборе расчетных схем конструкций учитываются и отражаются виды функционального назначения проектируемой платформы.
10.9.5 Расчет самоподъемных платформ производится по первому и второму предельным состояниям на нагрузки и воздействия в их невыгодном сочетании.
Сочетание нагрузок принимается по соответствующим разделам настоящего стандарта в зависимости от функциональных качеств применения СПП согласно
10.9.3.
10.9.6 При проектировании СПП в каждом конкретном случае комплексно учитываются конструктивные особенности сооружаемой конструкции, гидрологические характеристики водоема, применяемый набор технологического оборудования.
10.9.7 При проектировании сооружения опор на акваториях с небольшим перепадом уровней в строительный период и небольшими скоростями течения воды предусматривается выполнять работы с платформ, не закрепленных жестко на колоннах. В этом случае необходимо с помощью пригруза или балластировкой ограничить крен и дифферент платформ в пределах, допускаемых техническими нормами применяемого оборудования.
10.9.8 При проектировании сооружения двух рядов свай с одной стоянки одной СПП предусматривается после окончания работ по сооружению ближнего к СПП ряда буровых свай укладывать на него распределительный пакет для увеличения консоли рабочего мостика, позволяющей сооружать буровые сваи второго ряда.
10.9.9 При применении СПП в качестве временных опор для надвижки или перекатки пролетных строений при монтаже в навес предусматривается закрепление СПП на колоннах в уровне плавания. При этом обеспечивается возможность своевременной балластировки всех отсеков понтонов в случае изменения уровня воды в водоеме.
10.9.10 Глубина погружения колонн СПП в грунт дна назначается исходя из расчетных нагрузок и с учетом возможного размыва дна.
10.9.11 При проектировании, в зависимости от вида строительных работ, предусматривается оснащение СПП различными дополнительными обустройствами: рабочими мостиками согласно
10.8.2.5, бортовыми опорными пакетами, устройствами подвески на колоннах, опорами, соединительными элементами.
10.9.12 При использовании двух СПП статическая схема рабочих мостиков принимается как балочная на двух опорах, при использовании одной СПП - как консольная.
10.9.13 Для передачи нагрузки через рабочие мостики на СПП предусматриваются специально устраиваемые по борту опорные пакеты. По таким пакетам рабочие мостики перемещаются с помощью домкратов вдоль борта вместе с установленными на них механизмами.
10.9.14 При консольной схеме рабочего мостика задний конец его предусматривается пригружать противовесом либо заводить под специально устраиваемую анкерную балку.
10.9.15 Для закрепления понтона на колоннах, погруженных в грунт дна, предусматриваются штатные электромеханические или гидравлические подъемники, а также специальные обустройства из индивидуальных или инвентарных металлоконструкций.
10.9.16 Индивидуальным одноразовым креплением понтона могут быть проушины, привариваемые к колонне, выступающей над палубой. Подвеска понтона к проушинам предусматривается серьгами, нижние концы которых заводятся в специальные карманы, приваренные к корпусу понтона, и закрепляются пальцами.
10.9.17 Для инвентарных обустройств применяются закладные пальцы, закрепленные в проушинах, вваренных в понтон. Закрепление понтона к колоннам в этом случае может выполняться заведением концов закладных пальцев в "окна" стальных реек, предусматриваемых на колоннах.
10.9.18 Опоры, размещаемые на палубе СПП, проектируются из элементов МИК-С либо из индивидуальных металлоконструкций.
10.9.19 Под опоры могут предусматриваться железобетонные плиты, укладываемые на песчаную подушку на палубе понтона, при этом для предотвращения выдувания песка из-под плит предусматривается прибетонка по контуру плитного основания либо другие технические решения.
10.9.20 Нагрузки от опор передаются через распределительную обстройку корпуса понтонов в зону расположения шахт, которые усиливаются системой переборок.
10.9.21 При использовании СПП в зимний период предусматриваются условия согласно
10.8.5 и
10.8.6.
11 Проектирование деревянных конструкций
11.1.1 Расчет и конструирование деревянных конструкций СВСиУ и их узлов выполняются по
СП 64.13330.2017 и требованиям настоящего раздела.
Таблица 24
Применение древесины в зависимости от назначения конструкции
Элементы деревянных конструкций | Породы | Сорт |
Прогоны и пакеты подкрановых эстакад и рабочих мостов | Хвойные | 2 |
Элементы прочих несущих конструкций | Хвойные и лиственные | 2 |
Элементы вспомогательного назначения, повреждение которых не нарушает целостности несущих конструкций | Хвойные и лиственные | 3 |
Примечания 1 Для конструкций тепляков, утепления опалубки, ограждений допускается использовать круглый лес или жерди диаметром до 7 см и подтоварник хвойных и лиственных пород. 2 Лесоматериалы, бывшие в употреблении, допускаются к применению при условии, что они удовлетворяют по качеству требованиям нормативных документов. |
11.1.3 Влажность древесины допускается не более 25% для расчетных элементов или элементов, требующих особо тщательного изготовления и плотной подгонки. Для других элементов влажность древесины не ограничивается.
11.1.4 Размеры сечений элементов и соединительных деталей не должны быть менее размеров, указанных в
таблице 25.
Таблица 25
Размеры сечений элементов и соединительных деталей
Наименование элемента и характеристика размера | Наименьшие размеры |
Толщина, см: | |
- настилов | 4 |
- перил | 2 |
Диаметр бревен в тонком конце, см: | |
- основных элементов | 18 |
- второстепенных элементов | 14 |
Размер пластин, см | 18/2 |
Размер большей стороны брусьев или досок, см: | |
- основных элементов | 16 |
- связей, накладок, элементов опалубки, перил | 8 |
Диаметр гвоздей, мм | 3 |
Толщина стальных накладок, мм | 6 |
Диаметр болтов, мм | 16 |
Толщина шайб, мм | 4 |
Диаметр нагелей (штырей), мм | 12 |
11.1.5 При конструировании элементов из круглого леса учитывается естественный сбег бревен, равный 1 см на погонный метр бревна.
11.1.6 В изгибаемых элементах в сечениях с наибольшими изгибающими моментами не допускаются ослабления подрезками крайних растянутых волокон. Глубина подрезки в опорных сечениях предусматривается не более чем на 1/3 толщины элемента, длина опорной площади подрезки не должна превышать толщины элемента.
11.1.7 Глубина врубок и врезок в стойках, насадках и связях предусматривается не более 1/3 толщины элемента и не менее 2 см в брусьях и 3 см в бревнах. Рабочая плоскость смятия, как правило, располагается перпендикулярно к оси примыкающего сжатого элемента.
Несимметричное ослабление сечения стоек не должно превышать 0,4 части площади поперечного сечения и симметричное - 0,5 части такой площади.
11.1.8 Для уменьшения размеров поперечного сечения элементов, работа которых определяется напряжением на смятие древесины поперек волокон, в узлах предусматриваются металлические прокладки. Прокладки рассчитываются на изгиб.
11.1.9 Скобы в узловых сопряжениях применяются только в качестве нерасчетных скреплений.
11.1.10 Неинвентарные деревянные конструкции проектируются без соблюдения требований о проветривании и доступе к местам соединения для осмотра. При сроке использования деревянных конструкций менее пяти лет не обязательна их защита от загнивания.
11.1.11 При назначении расчетных сопротивлений древесины и расчетной несущей способности соединительных деталей влияние условий эксплуатации учитывается умножением их нормативных значений на коэффициенты условий работы
m согласно
таблице 26.
Таблица 26
Коэффициенты условий работы
Вид конструкций, характер воздействия, условия эксплуатации | Коэффициент m |
Расчетные сопротивления древесины |
Конструкции, расположенные под водой | 0,9 |
Элементы тепляков, подвергающиеся воздействию пара | 0,8 |
Элементы закладного крепления котлованов | 1,1 |
Элементы опалубки монолитных конструкций | 1,5 |
Элементы прогонов, пакетов, тротуаров на подкрановых эстакадах и рабочих мостиках при воздействии временной вертикальной нагрузки | 1,1 |
Сопряжение насадок со сваями и стойками (смятие) | 1,2 |
Расчетная несущая способность |
Все виды нагелей при любых нагрузках | 1,25 |
Нагели в соединениях, подвергающихся длительному увлажнению, в том числе пропариванию | 0,85 |
Гвоздевые соединения, работающие на боковое давление бетонной смеси | 1,75 |
11.2 Деревянные опоры, рабочие мостики и монтажные подмости
11.2.1 Опоры проектируются свайными, свайно-рамными, рамно-ряжевыми, ряжевыми, лежневыми или клеточными (для устоев высотой не более 2 м).
11.2.2 При установке опор вне русла реки на лежневое основание предусматриваются меры к отводу от опор поверхностных вод и обеспечению защиты основания от подмыва, пучения и просадки грунта.
11.2.3 При высоте до 6 м и пролетах до 6 м применяются плоские свайные опоры.
При больших высотах и пролетах более 6 м применяются двухрядные башенные свайные опоры с расстоянием по фасаду моста, составляющим не более 1/4 высоты опоры.
11.2.4 При высоте свайной опоры над грунтом более 2 м предусматриваются диагональные схватки, крепящиеся к сваям на врубках с болтами.
11.2.5 При высоте опор более 6 м применяются наклонные сваи или укосины с уклоном не более 4:1. Верхний конец укосины может заводиться под насадку. Нижний конец укосины врубается в вертикальную откосную сваю или нижнюю насадку.
11.2.6 Насадки крепятся к сваям вертикальным штырями и дополнительно с помощью скоб, двухсторонних планок или хомутов.
11.2.7 Свайно-рамные опоры проектируются с насадкой, как правило, из инвентарных элементов, а при соответствующем обосновании - из индивидуальных объемных рамных блоков, изготавливаемых в стороне и устанавливаемых в собранном виде.
11.2.8 Опоры предусматривается обшивать пластинами толщиной 10 см выше на 0,5 м уровня горизонта ледохода с вероятностью превышения 10%, а для защиты от карчехода - ограждать стенкой, заостренной в плане.
11.2.9 Для клеточных опор нижний ряд брусьев предусматривается сплошным. Число брусьев в ряду подбирается по условиям смятия поперек волокон. Каждый брус должен прикрепляться к нижнему ряду двумя скобами.
11.2.10 Деревянные опоры рассчитывают из предположения, что укосины, диагональные связи и раскосы не воспринимают вертикальных сил.
11.2.11 Глубина забивки откосных свай опор, а также свай ледорезов назначается исходя из условной расчетной нагрузки на сваю, принимаемой 100 кН, если не предусмотрена большая нагрузка.
11.2.12 Усилия
D в схватках и диагональных связях деревянных опор вычисляют по формуле

(11.1)
где
- сумма горизонтальных усилий;

- угол наклона связей к горизонтали.
11.2.13 Свободная длина стоек башенных свайных опор принимается равной расстояниям между узлами связей.
11.2.15 Расчеты на устойчивость положения опор против опрокидывания выполняются относительно сроста наружной коренной сваи - при опорах без укосин или наклонных свай относительно нижней точки боковой укосины или наклонной сваи - при опорах с боковыми укосинами или наклонными сваями.
11.2.16 Длина свободного конца лежней и насадок рам, а также опорных элементов, к которым примыкают сжатые стойки, принимается не менее толщины опорного элемента и не может быть менее 20 см.
11.2.17 Стыки стоек предусматриваются впритык на штыре с примыканием торцов всей плоскостью и перекрытием стыка стальными накладками на болтах или обрезком трубы.
11.2.18 При условии расположения стыков стоек в узлах или непосредственно около узлов, имеющих в обоих направлениях горизонтальные и диагональные связи, стыки, указанные в
11.2.12, допускается рассматривать как конструктивные. В противном случае стыки стоек рассчитываются, как стыки сжатых поясов сквозных пролетных строений.
11.2.19 Для соединений связей со стойками предусматривается устройство врубок.
11.2.20 Для всех соединяемых элементов опор предусматривается стяжка болтами, укомплектованными стальными шайбами с обоих концов. При необходимости возможна стяжка хомутами.
11.2.21 При устройстве ряжевого основания предусматриваются ряжевые опоры.
11.2.21.1 Ряжевые опоры проектируют на всю высоту или опорами с рамной надстройкой из инвентарных или индивидуальных конструкций - рамно-ряжевые опоры. Высокие ряжи сооружаются телескопическими.
11.2.21.2 Ширина ряжа (вдоль моста) назначается не менее 1/3 высоты и не менее 2 м. Высота ряжа назначается с запасом 5% на осадку и усушку.
11.2.21.3 На водотоках с сильным ледоходом применяется рамная надстройка с отметки на 1,0 м выше уровня ледохода вероятностного превышения 10%.
11.2.21.4 Ряжи, подверженные действию льда, совмещаются с ледорезами. В этом случае с верховой стороны ряжа предусматривается вертикальное режущее ребро. При сильном ледоходе ряжи совмещаются с ледорезами, имеющими режущее ребро с наклоном от 1:1,5 до 1:1,75. На реках с особо сильным ледоходом предусматриваются аванпостные ледорезы.
11.2.21.5 Ряжи проектируются из брусьев сечением не меньше 18 x 18 см либо из круглых или окантованных на два каната бревен диаметром не меньше 18 см. Диаметр бревен и размеры поперечных сечений брусьев принимаются в зависимости от величин давлений, передаваемых на ряж.
11.2.21.6 Между наружными стенами ряжа предусматриваются поперечные и продольные перегородки или внутренние стены. Размеры сторон ячеек, образуемых внутренними стенами, принимаются не более 2 м.
11.2.21.7 Для углов наружных стен ряжа, а также в местах примыкания перегородок предусматриваются вертикальные брусья или окантованные бревна-сжимы с овальными по высоте отверстиями для болтов, через три венца в четвертом.
11.2.21.8 Выше уровня ледохода ряжи предусматриваются со сквозными наружными стенками без врубок.
11.2.21.9 Для предохранения от подмыва ряжи проектируются на выровненном основании из скальных или крупнообломочных грунтов без мелкого заполнителя. По периметру ряжа применяется каменная наброска высотой от 1,0 до 1,5 м выше его подошвы с горизонтальной бермой шириной не менее 0,5 м и с уклоном откосов от 1:1,5 до 1:2.
12 Проектирование бетонных и железобетонных конструкций
12.1 Проектирование бетонных и железобетонных элементов СВСиУ выполняется по
СП 63.13330.2018 с учетом дополнительных требований настоящего раздела. Коэффициенты условий работы и коэффициенты надежности по назначению принимаются в зависимости от видов и назначения сооружений. Нагрузки от бетонной смеси при ее укладке и вибрировании принимаются согласно ГОСТ 34329-2017
(приложение Д) с учетом СП 70.13330.2012
(таблица С.2).
Расчет железобетонных конструкций выполняется по СП 35.13330.2011
(раздел 7).
12.2 Бетонные и железобетонные конструкции рассчитываются:
- по первой группе предельных состояний на прочность и устойчивость формы;
- по второй группе предельных состояний по деформациям, а также по образованию и раскрытию трещин в зависимости от категории требований по трещиностойкости.
12.3 Из нормируемых показателей качества бетона для конструкций СВСиУ назначается класс по прочности на сжатие, если из технических или других особенностей проектируемого сооружения нет необходимости назначения других показателей качества, определенных в
СП 63.13330.2018.
12.5 В случае назначения арматуры, марки которой предназначены для применения при температуре до минус 40 °C, для применения при температурах ниже минус 40 °C предусматривается снижение на 30% ее расчетного сопротивления. При этом за расчетную температуру принимается температура, ожидаемая в период эксплуатации СВСиУ для наиболее холодной пятидневки обеспеченностью 0,92 по
СП 131.13330.2020.
12.6 При проектировании СВСиУ для зон с расчетной температурой ниже минус 40 °C изготовление бетонных и железобетонных конструкций предусматривается без учета дополнительных технологических требований к конструкциям северного исполнения, за исключением конструкций, воспринимающих подвижную временную нагрузку от железнодорожного или автомобильного транспорта.
12.7 При расчетах закладных анкерных креплений в бетоне вспомогательных сооружений учитывается коэффициент надежности по

для анкеров в соединениях стоек опор с ростверками.
12.8 Для закладных деталей конструкций, эксплуатируемых при температуре выше 40 °C, применяются стали марок, приведенные в
СП 63.13330.2018. При температурах ниже минус 40 °C применяются стали, указанные в
разделе 13.
12.9 Расчет заделки анкеров в бетон производится по
СП 35.13330.2011. Несущая способность анкерного массива проверяется в плоскости конца анкеров. При этом следует учитывать работу бетона и арматуры (при получении достаточной ее заделки) на растяжение за вычетом собственного веса вышележащего массива.
12.10 Конструкция вертикального анкера над подвижной опорной частью должна обеспечивать свободу температурных перемещений.
13 Проектирование стальных конструкций
13.2 При выборе стали для металлических конструкций СВСиУ учитываются группы конструкций и климатический район строительства по
[14] (приложение В).
13.3 За расчетную температуру принимается средняя температура наружного воздуха наиболее холодной пятидневки в районе строительства обеспеченностью 0,98 по
СП 131.13330.2020. Расчетные температуры устанавливаются заданием на проектирование.
13.4 Для проектирования СВСиУ применяются прокат листовой, сортовой, фасонный, трубы и гнутые профили в соответствии с техническими условиями
ГОСТ 27772. Марки сталей для проката применяются в соответствии с приложением Л
(таблица Л.3).
Также может использоваться прокат, выпускаемый по другим стандартам и техническим условиям, с гарантированным уровнем химического состава и механических свойств.
Расчетные сопротивления, материалы для соединений стальных конструкций, физические характеристики материалов и коэффициенты для расчетов принимаются по
СП 16.13330.2017.
13.5 Для СВСиУ, эксплуатируемых в северных климатических районах с расчетной температурой ниже минус 40 °C, а также для вспомогательных конструкций, работающих совместно с основной конструкцией по условиям
4.3.11. Для временных эстакад марки сталей принимаются по
СП 35.13330.2011.
13.6 При отсутствии полных данных в сертификатах или отсутствии сертификатов на металл, предлагаемый для использования в СВСиУ, предусматривается проведение испытаний на химический состав и механических испытаний в соответствии с
ГОСТ 7564,
ГОСТ 7565 и
ГОСТ 7566.
13.7 Для монтажных соединений элементов СВСиУ могут применяться:
- фрикционные соединения, в которых внешние усилия воспринимаются исключительно силами трения, возникающими по соприкасающимся плоскостям соединяемых элементов после натяжения болтов на расчетное осевое усилие;
- фланцевые соединения.
При этом для фрикционных соединений с контролем натяжения следует применять высокопрочные цилиндрические болты согласно
ГОСТ Р 53664 с требованиями по установке и подготовке контактирующих поверхностей.
13.8 Допускается повторное, не более трехкратного, использование во фрикционных соединениях высокопрочных болтов при выполнении следующих условий: на теле, опорных поверхностях и на резьбе болтов и гаек не должно быть задиров, вмятин и трещин; коэффициент закручивания на выборке из пяти болтов должен лежать в интервале от 0,14 до 0,20.
Примечание - Стандартная технологическая подготовка болтов, гаек и шайб к установке в конструкцию включает контрольную проверку, при которой гайка должна навинчиваться на всю длину резьбы болта свободно, от руки, без ощутимого люфта.
13.9 При неполном натяжении высокопрочных болтов, с затяжкой обычным ключом, "от руки", без контроля натяжения, допускается их многократное использование до износа в пределах допусков.
13.10 Для обычных (нефрикционных) болтовых соединений назначаются болты (грубой, нормальной и повышенной точности) по
СП 16.13330.2017 и
[14].
13.11 Для сварки стальных конструкций СВСиУ принимаются электроды и другие материалы по
[14] (приложение Г).
13.12 Основные положения по технологии изготовления элементов стальных конструкций (обработка кромок, гибка и правка, допуски и т.п.) определяются в соответствии с
ГОСТ 23118 и с учетом контроля по
[15].
13.13 Приварка различных вспомогательных деталей (кронштейны, перила и др.) предусматривается, как правило, к ребрам жесткости несущих элементов конструкций. Приварка элементов СВСиУ к основным конструкциям должна быть согласована с проектной организацией, выполняющей проектирование этих конструкций.
13.14 Особенности сварки конструкций в климатических зонах с температурой ниже минус 40 °C
13.14.1 Не допускается приварка диафрагм, связей и ребер жесткости к поясам балок.
13.14.2 По длине элемента со сплошной стенкой не допускается прерывание отдельных его частей. В узлах применяются соединения с плавным переходом к основному металлу.
13.14.3 Прикрепление отдельных элементов по возможности предусматривается без эксцентриситетов. В случае, если предусматривается эксцентриситет, это должно быть учтено в расчетах.
13.14.4 Пояса балок и стоек, как правило, проектируются однолистовыми с постоянным сечением.
13.14.5 Проектированием предусматриваются конструктивно-технологические мероприятия, направленные на предотвращение хрупкого разрушения несущих конструкций, предусмотренных
[14] (раздел 14).
13.15 Возможность применения модифицированных, ранее использованных, а также инвентарных конструкций устанавливается на основе их полного визуального и инструментального освидетельствования на предмет соответствия нормативным документам и технической документации и на основе оценки технического состояния.
13.16 Проектирование ребер жесткости
13.16.1 В примыкании ребер жесткости к поясам предусматриваются треугольные срезы углов ребер со стороны стенки балки, показанные на
рисунке 13.1.
a = 16 - 20; b = 30 - 40
Рисунок 13.1 - Примыкание ребер жесткости к поясам балки
13.16.2 Для плотного прилегания ребер к поясным листам балки предусматривается постановка прокладок толщиной от 16 до 20 мм между концом ребер и поясом.
13.16.3 Для конструкций, работающих в климатических зонах с расчетной температурой ниже минус 40 °C, не допускается приваривать ребра жесткости к листу сжатого пояса балки, а также к листу нижнего пояса на опоре.
13.16.4 Сопряжения углов рамных конструкций выполняются с помощью вставок.
13.16.5 Ребра жесткости, параллельные стыковым швам стенки, удаляются от стыков на расстояния не менее 10 толщин стенки, показанные на
рисунке 13.2.
1 - стык; 2 - ребра жесткости; 3 - толщина стенки
Рисунок 13.2 - Расположение ребер жесткости, параллельных
стыковым швам стенки балки
13.16.6 При пересечении стыковых швов предусматривается зачистка ребер на длину 50 мм, показанную на
рисунке 13.3.
Рисунок 13.3 - Пересечение стыковых швов
13.16.7 В сварных узлах не допускаются пересечения угловых швов.
13.17 В пакетных конструкциях из двутавровых балок отдельные балки связываются между собой поперечными диафрагмами и соединительными планками на поясах балок. Для объединения пакетов в пролетное строение между пакетами предусматриваются продольные связи в плоскостях верхнего и нижнего поясов балок и поперечные связи.
13.18 Сжимающая сила в соединениях с фланцевыми стыками и фрезерованными торцами элементов считается полностью передающейся через торцы.
13.19 Во внецентренно сжатых элементах болты соединений проверяются на наибольшее растягивающее усилие от действия изгибающего момента, соответствующего минимальной продольной силе.
13.20 Расчет прикрепляемых элементов на прочность при применении фрикционных соединений выполняется по сечению нетто в предположении, что 50% усилия, приходящегося на каждый болт в рассматриваемом сечении, уже передано силами трения.
13.21 При определении прогибов изгибаемых конструкций со стыками на обычных болтах прогибы балок увеличиваются на 20%.
13.22 Наименьшие размеры сечений частей стальных конструкций вспомогательных сооружений, за исключением понтонов, допускается определять расчетом с учетом предъявляемых к ним эксплуатационных требований.
13.23 Стальные повторно применяемые конструкции (инвентарные и модифицированные) по требованиям
СП 72.13330.2016 защищаются антикоррозионными покрытиями, назначаемыми исходя из установленного ресурса, срока службы, срока хранения, в том числе до ремонта, в соответствии с
ГОСТ 33272.
13.24 Для тросовых элементов и пучков из высокопрочной проволоки для антикоррозионной защиты предусматривается смазка во всех случаях.
(рекомендуемое)
СПЕЦИАЛЬНЫХ ВСПОМОГАТЕЛЬНЫХ СООРУЖЕНИЙ И УСТРОЙСТВ
Таблица А.1
Примерный перечень СВСиУ
Вспомогательные сооружения и устройства | Область применения |
Вспомогательные опоры | При продольной надвижке и полунавесной сборке пролетных строений |
Пирсы | При поперечной перекатке пролетных строений |
Ограждения, рештования, лестницы, в т.ч. маршевые, подмости, например ИПРС, МИК-С, МИК-П | Для размещения людей, инструмента, оборудования при выполнении технологических операций при сборке и надвижке пролетных строений, а также при сооружении фундаментов и опор |
Ограждающие устройства: | При сооружении фундаментов постоянных и вспомогательных опор |
- шпунтовые стенки; - закладные крепления котлованов; - грунтовые анкеры; - перемычки, включая грунтовые; - бездонные ящики | |
Самоподъемные и переставные платформы | То же |
Направляющие каркасы | При погружении оболочек, устройстве свайных оснований и шпунтовых ограждений |
Сборочные подмости (в т.ч. перемещающиеся) и стапели | Для сборки пролетных строений |
Усиление пролетных строений, включая аванбеки и шпренгели | При продольной надвижке пролетных строений |
Приемные консоли | При продольной надвижке, навесной и полунавесной сборке пролетных строений |
Анкерные устройства | При навесной и полунавесной сборке пролетных строений |
Устройство для выборки прогиба пролетных строений | При продольной надвижке пролетных строений |
Ходовые части и накаточные пути | При продольной надвижке пролетных строений |
Устройства для приведения в движение пролетных строений | При продольной надвижке пролетных строений |
Устройства защиты вспомогательных опор от навала судов и ледохода | При сооружении капитальных опор, при продольной надвижке и полунавесной сборке пролетных строений |
Плавучие опоры с якорными системами | Для перевозки на плаву и установки на опоры пролетных строений В качестве поддерживающей конструкции при продольной надвижке пролетных строений |
Плашкоуты из понтонов марки КС-63 и др. | Для установки монтажных кранов, копров и перевозки строительных конструкций и материалов |
Подкрановые эстакады | Для пропуска и работы монтажных козловых кранов |
Рабочие технологические мосты | Для пропуска и работы транспортных средств, строительных и грузоподъемных машин |
Временные причалы | Для перегрузки массовых грузов и конструкций, а также перевозки людей |
Устройства для подводного бетонирования фундаментов | При подводном бетонировании фундаментов |
Устройства для подъемки и опускания пролетных строений (домкратные клетки, песочницы, фермоподъемники) | При снятии пролетных строений с накаточных устройств и плавучих опор, при опускании на опорные части |
(обязательное)
ОПРЕДЕЛЕНИЕ НОРМАТИВНОГО БОКОВОГО ДАВЛЕНИЯ
НА ОГРАЖДЕНИЕ КОТЛОВАНА <*>
--------------------------------
<*> В настоящем приложении рассматриваются только нормативные величины; в целях избежания повторений слово "нормативное" далее опускается.
Б.1 Давление воды на ограждение котлована принимается распределенным по закону гидростатики. Давление грунта (активное и пассивное) определяют по теории Кулона, учитывая сцепление в суглинках и глинах.
Б.2 Нормативное активное давление и нормативное пассивное давление грунта определяются в зависимости от нормативных характеристик грунта, устанавливаемых на основании данных инженерно-геологических изысканий с учетом природного состояния грунта.
Нормативные значения прочностных и деформационных характеристик грунтов представлены в СП 22.13330.2016
(приложение А).
Для предварительных расчетов допускается нормативные характеристики грунтов принимать по
таблицам Б.1 и
Б.2.
Таблица Б.1
Нормативные значения характеристик песчаных грунтов
Виды песков | Характеристика грунтов | Значения при коэффициенте пористости |
0,45 | 0,55 | 0,65 | 0,75 |
Гравелистые и крупные | | 20,5 | 19,5 | 19,0 | - |
c | 2 | 1 | - | - |
| 43 | 40 | 38 | - |
Средней крупности | | 20,5 | 19,5 | 19,0 | - |
c | 3 | 2 | 1 | - |
| 40 | 38 | 35 | - |
Мелкие | | 19,5 | 19,5 | 19,0 | 19,0 |
c | 6 | 4 | 2 | - |
| 38 | 36 | 32 | 28 |
Пылеватые | | 19,5 | 19,5 | 19,0 | 19,0 |
c | 8 | 6 | 4 | 2 |
| 36 | 34 | 30 | 26 |
Примечание - Для насыпного грунта  принимается на 5° ниже, а  - на 10% меньше. |
Таблица Б.2
Нормативные значения характеристик глинистых грунтов
четвертичных отложений
Наименование грунтов и консистенция JL | Характеристика грунтов | Значения при коэффициенте пористости |
0,45 | 0,55 | 0,65 | 0,75 | 0,85 | 0,95 | 1,05 |
Супеси 0 <= JL <= 0,25 | | 21,0 | 20,0 | 19,5 | - | - | - | - |
c | 21 | 17 | 15 | 13 | - | - | - |
| 30 | 29 | 27 | 24 | - | - | - |
Супеси 0,25 <= JL <= 0,75 | | 21,0 | 20,0 | 19,5 | 19,0 | - | - | - |
c | 19 | 15 | 13 | 11 | 9 | - | - |
| 28 | 26 | 24 | 21 | 18 | - | - |
Суглинки 0 <= JL <= 0,25 | | 21,0 | 20,0 | 19,5 | 19,0 | 18,5 | 18,0 | 17,5 |
c | 47 | 37 | 31 | 25 | 22 | 19 | 15 |
| 26 | 25 | 24 | 23 | 22 | 20 | 20 |
Суглинки 0,25 <= JL <= 0,50 | | 21,0 | 20,0 | 19,5 | 19,0 | 18,5 | 18,0 | - |
c | 39 | 34 | 28 | 23 | 18 | 15 | - |
| 24 | 23 | 22 | 21 | 19 | 17 | - |
Суглинки 0,50 <= JL <= 0,75 | | - | - | 19,5 | 19,0 | 18,5 | 18,0 | 17,5 |
c | - | - | 25 | 20 | 16 | 14 | 12 |
| - | - | 19 | 18 | 16 | 14 | 12 |
Глины 0 <= JL <= 0,25 | | - | 20,0 | 19,5 | 19,0 | 18,5 | 18,0 | 17,5 |
c | - | 81 | 68 | 54 | 47 | 41 | 36 |
| - | 21 | 20 | 19 | 18 | 16 | 14 |
Глины 0,25 <= JL <= 0,50 | | - | - | 19,5 | 19,0 | 18,5 | 18,0 | 17,5 |
c | - | - | 57 | 50 | 43 | 37 | 32 |
| - | - | 18 | 17 | 16 | 14 | 11 |
Глины 0,50 <= JL <= 0,75 | | - | - | 19,5 | 19,0 | 18,5 | 18,0 | 17,5 |
c | - | - | 45 | 41 | 36 | 33 | 29 |
| - | - | 15 | 14 | 12 | 10 | 7 |
Б.3 При определении давлений на ограждение допускается разнородные грунты, различающиеся значениями каждой из характеристик не более чем на 20%, рассматривать как однородный грунт со средневзвешенными значениями характеристик

(Б.1)
где

,

и
ci - значения

,

и
c для
i-го слоя грунта толщиной
hi.
Б.4 Если песок или супесь расположены ниже поверхности воды, то горизонтальное давление на ограждение следует определять, суммируя гидростатическое давление и активное или пассивное давление взвешенного в воде грунта.
Удельный вес грунта во взвешенном состоянии

вычисляют по формуле

(Б.2)
где

- коэффициент пористости грунта;

- удельный вес грунта, принимаемый в среднем 27 кН/м
3;

- удельный вес воды, 10 кН/м
3; допускается принимать

.
Б.5 Для случаев, когда котлован разрабатывают на местности, не покрытой водой, и превышение уровня грунтовых вод над дном котлована составляет не более 2 м и не более трети глубины котлована, допускается в расчете ограждений с одним или несколькими ярусами распорных креплений определять прямой отпор грунта (пассивное давление грунта со стороны котлована) с учетом трения грунта по стенке ограждения. Угол трения грунта по стенке принимается
где

- угол внутреннего трения грунта в котловане.
В остальных случаях активное и пассивное давление грунта на ограждение следует определять, принимая

.
Б.6 Вертикальная нагрузка на призме обрушения принимается:
а) от веса материалов и возможной отсыпки грунта - в виде равномерно распределенной нагрузки интенсивностью, соответствующей предполагаемым проектным размерам материалов и отсыпки, но не менее 10 кН/м2;
б) от строительного оборудования, кранов, копров и транспортных средств, перемещающихся по рельсам, - по паспортным данным, каталогам и справочникам с учетом загружения, наиболее неблагоприятного для рассчитываемой конструкции;
в) от автотранспорта, проходящего по дороге, расположенной вдоль котлована, в виде полосовой нагрузки
p с шириной полосы 3,0 м для каждого ряда машин, показанная на
рисунке Б.1:
Рисунок Б.1 - Вертикальная нагрузка на призме обрушения
от автотранспорта
1) при расстоянии b между краем котлована и бровкой дороги b от 3,0 до 2,0 м и весе машин до 250 кН величина p принимается равной 20 кПа;
2) при расстоянии от 2,0 до 1,0 м p = 30 кПа и при меньшем расстоянии - 40 кПа;
3) при расстоянии между дорогой и котлованом более 3,0 м величина p = 10 кПа;
4) при весе машин до 300 кН значения p увеличиваются в 1,2 раза; при весе до 450 кН - в 1,9 раза и весе 600 кН - в 2,5 раза;
г) от гусеничных и колесных кранов, работающих в непосредственной близости от котлована, в виде полосовой нагрузки
p шириной 1,5 м, показанной на
рисунке Б.2:
Рисунок Б.2 - Вертикальная нагрузка на призме обрушения
от гусеничных и колесных кранов
1) величина p, собственный вес крана и максимального груза, принимается равной:
30 кПа при рабочем весе до 100 кН;
60 кПа при рабочем весе 300 кН;
90 кПа при рабочем весе 500 кН;
120 кПа при рабочем весе 700 кН;
2) промежуточные значения принимаются по интерполяции;
3) при рабочем весе более 700 кН нагрузка определяется по паспортным характеристикам крана и данным о весе и положении груза;
д) от трамвая, проходящего параллельно стенке, принимается в виде полосовой нагрузки, равной 15 кПа при распределении ее на ширине 3,0 м;
е) от железнодорожного пути, проходящего параллельно стенке ограждения, принимается в виде полосовой нагрузки, распределенной на ширине 3,5 м с интенсивностью 280 кН/м на линиях, где проходит нагрузка, близкая к расчетной С14, от тяжелых транспортеров, электровозов.
Б.7 При определении активного давления на ограждение вертикальная нагрузка на призме обрушения, распределенная в пределах двух площадок с общей осью, параллельной стенке, приводится к эквивалентной нагрузке, распределенной по сплошной полосе, имеющей неограниченную протяженность вдоль стенки и ширину
b. Под размером
b, шириной полосы распределения эквивалентной нагрузки, понимается для рельсовой нагрузки длина полушпалы при однорельсовых тележках, показанная на
рисунке Б.3, или длина шпалы при двухрельсовых тележках, показанных на
рисунке Б.4.
Рисунок Б.3 - К определению эквивалентной нагрузки
от однорельсовой тележки на призме обрушения
Рисунок Б.4 - К определению эквивалентной нагрузки
от двухрельсовой тележки на призме обрушения
Б.8 Интенсивность эквивалентной нагрузки, показанную на
рисунке Б.7, вычисляют по формуле

(Б.3)
где
Q - равнодействующая вертикальной нагрузки, распределенной на поверхности призмы обрушения в пределах одной площадки или двух площадок
b x
f с общей осью, параллельной стенке, показанной на
рисунках Б.3 и
Б.4;
l - длина участка стенки, в пределах которого на стенку действует боковое давление грунта от загружения призмы обрушения этой вертикальной нагрузкой, м.
Если нагрузка на призме обрушения приложена по схемам, показанным на
рисунках Б.3 и
Б.4, и при этом удовлетворяется условие

(Б.4)
принимается

(Б.5)
в остальных случаях принимается

(Б.6)
где
c - для рельсовой нагрузки - база тележки крана, рабочего мостика или платформы, показанной на
рисунках Б.3 и
Б.4, м;
f - для рельсовой нагрузки - длина распределения нагрузки рельсом, показанной на
рисунках Б.3 и
Б.4, принимаемая равной 1 м;
a - расстояние от центра площадки передачи нагрузки до стенки ограждения, м;

- угол внутреннего трения грунта за стенкой.
Если в пределах высоты

расположены слои грунта с углами внутреннего трения, отличающимися друг от друга не более чем на 20%, допускается принимать

, где

- средневзвешенное для глубины
h значение угла внутреннего трения грунта. При большем различии в значениях углов внутреннего трения грунта длину
l вычисляют на основе построения, показанного на
рисунке Б.5.
Рисунок Б.5 - К определению эквивалентной нагрузки
при наличии за стенкой нескольких слоев грунта, отличающихся
углами внутреннего трения
Б.9 Если поверхность грунта ограничена плоскостью и на ней равномерно распределена нагрузка интенсивностью
q, то активное давление песка или супеси на стенку ограждения принимается изменяющимся по прямолинейному закону от значения
p1 на уровне верха стенок до значения
p2 на глубину
H, показанную на
рисунке Б.6.
Рисунок Б.6 - К определению активного давления песка
или супеси на стенку ограждения в случае, указанном в
Б.9

(Б.7)

(Б.8)
где
- объемный вес грунта, кН/м
3;

- коэффициент активного давления грунта, определяемый выражением

(Б.9)

- угол внутреннего трения грунта;

- угол между плоскостью, ограничивающей поверхность грунта, и горизонтальной поверхностью

, показанной на
рисунке Б.6.
При горизонтальной поверхности грунта

и без нагрузки (
p1 = 0) давление
p2 вычисляют по формуле

(Б.10)
Б.10 Для случаев, не охваченных
Б.9, активное давление песка или супеси на стенку ограждения определяется излагаемым ниже способом:
а) находят равнодействующую активного давления грунта - силу E, как наибольшее из значений Ei, рассчитанных по формуле

(Б.11)
где
Gi - сумма веса
Gгр, предполагаемой призмы обрушения
ABGi и равнодействующей расположенной над ней нагрузки, показанной на
рисунке Б.7 а;

- угол между предполагаемой плоскостью обрушения и горизонтальной плоскостью, значение которого принимается наибольшее, определенное по
формуле (Б.10);
б) силу
E рассматривают как сумму силы
Eгр от веса призмы обрушения и сил
Eq от каждой из нагрузок
<*> на призме обрушения;
в) силу Eгр вычисляют по формуле

(Б.12)
при этом принимают, что сила
Eгр является равнодействующей давлений, эпюра которых имеет вид треугольника, как показано на
рисунке б) Б.7;
г) силу Eq от нагрузки q, расположенной на призме обрушения и распределенной по ширине b, вычисляют по формуле

(Б.13)
здесь принимается:
1) сила
Eq является равнодействующей давления на стенку, равномерно распределенного между точками
A1 и
A2 на пересечении со стенкой прямых, проведенных параллельно следу плоскости обрушения из начала и конца участка, в пределах которого действует нагрузка
q, показанная на
рисунке Б.7 б;
2) если плоскость обрушения делит участок, на котором расположена нагрузка q, то за конец участка принимается след пересечения плоскости обрушения с поверхностью грунта.
--------------------------------
<*> В целях упрощения
рисунка Б.7 на нем показана лишь одна нагрузка интенсивностью
q, распределенная на ширине
b.
а - вес грунта и нагрузка на призме обрушения;
б - равнодействующая давления на стенку от нагрузки
Рисунок Б.7 - К определению активного давления песка
или супеси на стенку ограждений при произвольном очертании
поверхности грунта и расположении на ней нагрузки
Б.11 Если поверхность грунта горизонтальна и на ней равномерно распределена нагрузка интенсивностью
q, то активное давление грунта нескольких слоев песка или супеси в пределах каждого слоя принимают изменяющимся прямолинейно от давления
p на уровне кровли этого слоя до давления

на уровне его подошвы

(Б.14)
где
hi - толщина
i-го слоя грунта с объемным весом

и углом внутреннего трения

;

- коэффициент активного давления грунта
i-го слоя.
Рисунок Б.8 - К определению активного давления грунта
из нескольких слоев песка или супеси на стенку ограждения
Б.12 Активное давление суглинка или глины допускается определять, учитывая сцепление грунта
c путем уменьшения ординат эпюры, построенной как для несвязного грунта (по объемному весу

и углу внутреннего трения

суглинка или глины) на величину, которая при плоской поверхности грунта, наклоненной к горизонту под углом

, определяется выражением

(Б.15)
где

- коэффициент активного давления грунта, определяемый по
формуле (Б.9).
В пределах участка, на котором величина pc превышает ординаты активного давления, вычисленные как для несвязного грунта, активное давление суглинка или глины не учитывается.
В случае разнородного грунта уменьшение активного давления за счет сцепления учитывается в пределах каждого слоя суглинка или глины, определяя величину
pc по
формуле (Б.15) по характеристикам

и
c соответствующего слоя.
При горизонтальной поверхности грунта
формула (Б.15) может быть представлена в виде

(Б.16)
Б.13 Эпюра пассивного давления супеси или песка на стенку принимается в виде треугольника с наибольшей ординатой.

(Б.17)
где

- коэффициент пассивного давления грунта, вычисляемый по формуле

(Б.18)
где

- угол трения грунта по стенке принимается по
Б.5, при
формула (Б.18) упрощается и принимает вид

(Б.19)
Б.14 Эпюра активного давления однородного грунта в виде суглинка или глины показана на
рисунке Б.9. Эпюра пассивного давления супеси или песка на стенку показана на
рисунке Б.10.
Рисунок Б.9 - Эпюра активного давления суглинка или глины
Рисунок Б.10 - Эпюра пассивного давления песка или супеси
на стенку ограждения
Б.15 Ординаты эпюры пассивного давления суглинка или глины на стенку показаны на
рисунке Б.11.
Рисунок Б.11 - Эпюра пассивного давления суглинка или глины
на стенку ограждения
Такие ординаты получают суммированием соответствующих ординат двух эпюр: эпюры, построенной как для несвязного грунта (по значению угла

внутреннего трения суглинка или глины) и эпюры с ординатами, равными

(Б.20)
Для поверхностного слоя, где возможно нарушение структуры суглинка или глины, расчетное сцепление
c принимается уменьшающимся по линейному закону от полной величины, определяемой по
пункту Б.2, на глубине 1,0 м до нуля у поверхности грунта.
Б.16 При проектировании замкнутых в плане ограждений узких и глубоких котлованов, расположенных в сухих грунтах с углом внутреннего трения более 30°, допускается учитывать снижение активного давления грунта за счет пространственных условий работы. Снижение учитывается коэффициентом

, вводимым к величине давления
E от собственного веса грунта. Коэффициент

принимается равным 0,7 при
k =
B -
H = 0,5 и 1,0 при
k >= 2 (где
B - наибольший размер в плане и
H - глубина котлована). При значениях 0,5 <
k < 2 его величина принимается по интерполяции.
(обязательное)
ХАРАКТЕРИСТИКИ ВОЛНЕНИЯ ПОВЕРХНОСТИ ВОДОЕМОВ
И СИЛЫ ВЕТРА В БАЛЛАХ
Таблица В.1
Волнения на морях, озерах и крупных водохранилищах в баллах
Баллы | Высота волны, м | Характеристика волнения | Состояние водной поверхности |
0 | 0 | Волнение отсутствует | Зеркально-гладкая поверхность |
1 | До 0,25 | Слабое | Рябь, появляются небольшие гребни волн |
2 | 0,25 - 0,75 | Умеренное | Небольшие гребни волн начинаются, но пена не белая, а стекловидная |
3 | 0,75 - 1,25 | Умеренное | Хорошо заметные небольшие волны, гребни некоторых из них опрокидываются, образуя местами белую клубящуюся пену - "барашки" |
4 | 1,25 - 2,00 | Значительное | Волны принимают хорошо выраженную форму, повсюду образуются "барашки" |
5 | 2,0 - 3,5 | Сильное | Появляются гребни большой высоты, их вершины занимают большие площади, ветер начинает срывать пену |
6 | 3,5 - 6,0 | Сильное | Гребни очерчивают длинные валы ветровых волн, пена, срываемая с гребней ветром, начинает вытягиваться полосами по склонам волн |
7 | 6,0 - 8,5 | Очень сильное | Длинные полосы пены, срываемой ветром, покрывают склоны волн и местами, сливаясь, достигают их подошв |
8 | 8,5 - 11,0 | Очень сильное | Пена широкими, плотными, сливающимися полосами покрывает склоны волн, отчего поверхность становится белой, только местами, во впадинах волн, видны свободные от пены участки |
9 - 10 | 11 и более | Исключительное | Поверхность моря покрыта плотным слоем пены, воздух наполнен водяной пылью и брызгами; видимость уменьшена |
Таблица В.2
Характеристика скорости и силы ветра в баллах
Баллы | Характеристика ветра | V0, м/с | W0, Па | Описание явлений, сопровождающих ветер |
0 | Штиль | 0 - 0,5 | 0 | Дым поднимается отвесно или почти отвесно |
1 | Тихий | 0,6 - 1,7 | 1 | Дым легко отклоняется в сторону |
2 | Легкий | 1,8 - 3,3 | 5 | Дуновение ветра чувствуется лицом, листья шелестят |
3 | Слабый | 3,4 - 5,2 | 20 | Колышутся листья и тонкие ветки деревьев, развиваются легкие флаги |
4 | Умеренный | 5,3 - 7,4 | 40 | Поднимается пыль; тонкие ветки деревьев качаются |
5 | Свежий | 7,5 - 9,8 | 60 | Качаются тонкие стволы деревьев, на воде появляются волны с гребешками |
6 | Сильный | 9,9 - 12,4 | 110 | Качаются толстые ветки деревьев; гудят телефонные провода |
7 | Крепкий | 12,5 - 15,2 | 170 | Качаются стволы небольших деревьев; пенятся волны |
8 | Очень крепкий | 15,3 - 18,2 | 250 | Ветер ломает тонкие ветки и сухие ветки деревьев |
9 | Шторм | 18,3 - 21,5 | 360 | Небольшие разрушения; волны на воде покрываются пеной |
10 | Сильный шторм | 21,6 - 25,1 | 470 | Значительные разрушения; деревья вырываются с корнем |
11 | Жесткий шторм | 25,2 - 29,0 | 640 | Большие разрушения на значительном пространстве |
12 | Ураган | Более 29,0 | 740 | Катастрофические разрушения |
Примечания 1 Таблица составлена на основе Шкалы Бофорта для определения силы ветра. 2 Средние значения давления W0 приведены на 1 м2 поверхности, нормальной к ветру. |
Таблица В.3
Параметры волнения поверхности водоемов и силы и ветра,
при которых допускается производство
строительно-монтажных работ
Виды работ | Волнение | Ветер |
баллы | высота волны | баллы | скорость V0, м/с |
Берегоукрепительные работы (наброска массивов и отсыпка камня) с помощью плавкранов | 2 | 0,75 | 6 | 12 |
Погрузка конструкций и материалов на плавсредства и их разгрузка | 3 | 1,25 | 6 | 12 |
Свайные работы, выполняемые плавучими кранами и копрами | 2 | 0,75 | 4 | 7,5 |
Установка оболочек большого диаметра от 2,6 до 3 м | 2 | 0,75 | 4 | 7,5 |
Бетонные работы - подача бетонной смеси в бадьях плавкранами | 2 | 0,75 | 5 | 10 |
Работа на самоподъемных платформах морского типа, сборка стальных пролетных строений на открытых местах и на высоте | 4 | 2 | 6 | 12 |
Сборка стальных пролетных строений на открытых местах и на высоте | - | - | 6 | 12 |
Устройство и разборка временных подмостей (рештований), установка и снятие защитных ограждений и панелей с большой парусностью | - | - | 5 | 10 |
Наводка пролетных строений на плаву | 2 | 0,75 | 5 | 10 |
Примечание - Для расчета мощности тяговых обустройств и буксиров при наводке пролетных строений на плаву средняя скорость принимается V0 = 12 м/с. При штормовом раскреплении плавсистемы на акватории якорные закрепления и канаты должны рассчитываться на нагрузки, действующие при ветре со средней скоростью V0 = 22 м/с. |
(справочное)
АЭРОДИНАМИЧЕСКИЕ КОЭФФИЦИЕНТЫ
ДЛЯ ОТДЕЛЬНЫХ ЭЛЕМЕНТОВ ИЗ ПРОФИЛЕЙ
Таблица Г.1
Аэродинамические коэффициенты
 , град | Cx | Cy | Cx | Cy | Cx | Cy |
Тип профиля |
- | | | |
0 | 1,9 | 0,95 | 1,8 | 1,8 | 1,75 | 0,1 |
45 | 1,8 | 0,8 | 2,1 | 1,8 | 0,85 | 0,85 |
90 | 2,0 | 1,7 | -1,9 | -1,0 | 0,1 | 1,75 |
135 | -1,8 | -0,1 | -2,0 | 0,3 | -0,75 | 0,75 |
180 | -2,0 | 0,1 | -1,4 | -1,4 | -1,75 | -0,1 |
Тип профиля |
- | | | |
0 | 1,6 | 0 | 2,0 | 0 | 2,05 | 0 |
45 | 1,5 | -0,1 | 1,2 | 0,9 | 1,85 | 0,6 |
90 | -0,95 | 0,7 | -1,6 | 2,15 | 0 | 0,6 |
135 | -0,5 | 1,05 | -1,1 | 2,4 | -1,6 | 0,4 |
180 | -1,5 | 0 | -1,7 | 2,1 | -1,8 | 0 |
Тип профиля |
- | | | |
0 | 1,4 | 0 | 2,05 | 0 | 1,6 | 0 |
45 | 1,2 | 1,6 | 1,95 | 0,6 | 1,5 | 1,5 |
90 | 0 | 2,2 | 0,5 | 0,9 | 0 | 1,9 |
Тип профиля |
- | | | |
0 | 2,0 | 0 | 2,1 | 0 | 2,0 | 0 |
45 | 1,8 | 0,1 | 1,4 | 1,7 | 1,55 | 1,55 |
90 | 0 | 0,1 | 0 | 0,75 | 0 | 2,0 |
Таблица Г.2
Значения геометрических и аэродинамических параметров
гибких элементов
Схема формы сечения элемента | i/d | Sh |
| | 0,2 |
| 0,3 | 0,145 |
| 0,15 | 0,105 |
| 0,32 | 0,12 |
| 0,43 | 0,145 |
| 0,21 | 0,145 |
| | 0,15 |
| 0,24 | 0,12 |
| 0,45 | 0,137 |
| 0,1 | 0,13 |
| 0,8 | 0,15 |
Примечание - Значения геометрических параметров i/ d и числа Струхаля Sh для разных форм сечений стальных элементов используются для определения границы предельно допустимых значений относительной длины гибких элементов 1/ d или их гибкости  . |
(рекомендуемое)
ПРИМЕРНЫЕ РАСЧЕТЫ ШПУНТОВЫХ ОГРАЖДЕНИЙ
Д.1 Расчет шпунтовых ограждений, не имеющих распорных креплений
Д.1.1 При устройстве ограждения без тампонажной подушки минимальную глубину забивки шпунта ниже дна котлована
t, м, вычисляют по формуле

(Д.1)
Глубину
t0, м, определяют из условия равенства обеих частей условия по ГОСТ 33384-2015
[формула (1)], считая, что ось поворота стенки точка 0, показанная на
рисунке Д.1, расположена на этой глубине, и пренебрегая давлением на стенку ниже этой точки.
а - при расчете стенки, погружаемой в песок или супесь;
б и в - при расчете стенки, погружаемой в суглинок или глину
Рисунок Д.1 - Схемы, используемые в расчетах шпунтовых
ограждений, не имеющих распорных креплений
В соответствии с этим Mu принимается равным моменту активного давления грунта и гидростатического давления, действующих выше глубины t0, относительно оси поворота стенок, а Mz - моменту пассивного давления, действующего со стороны котлована выше глубины t0 относительно той же оси.
Д.1.2 В общем случае для решения уравнения в соответствии с ГОСТ 33384-2015
(пункт 7.4) принимается способ последовательного приближения, т.е. задается глубина
t0, которая затем уточняется.
Д.1.3 При наличии над глинистым грунтом слоя воды
hв активное давление увеличивается на величину

,
где

(Д.2)
так как глубина
t0 не является полной глубиной погружения шпунта ниже дна котлована, то при учете проникания воды между стенкой и суглинком или глиной глубина, показанная на
рисунке Д.1 в, принимается по формуле

(Д.3)
Д.1.4 Дополнительную глубину

вычисляют по формуле

(Д.4)
где

- равнодействующая пассивного давления грунта с внешней стороны котлована;

- интенсивность такого давления на глубине
t0.
Д.1.5 Равнодействующая пассивного давления грунта с внешней стороны котлована определяется по формуле

(Д.5)
где En, Ea, Eв - равнодействующие соответственно пассивного давления грунта со стороны котлована, активного давления грунта и гидростатического давления, действующих на стенку выше глубины t0.
Д.1.6 Интенсивность

пассивного давления грунта, действующего на стенку с внешней стороны котлована, вычисляют с учетом глубины по формуле
H = hгр + tО. (Д.6)
Д.1.7 Изгибающие моменты, действующие в поперечных сечениях шпунтовой стенки, определяются как для консольного стержня с заделкой на глубине t0 (от дна котлована); за нагрузку принимается гидростатическое давление, а также активное и пассивное давление, действующее на стенку выше глубины заделки.
Д.1.8 При устройстве ограждения в водопроницаемых грунтах с осуществлением тампонажной подушки расчет шпунтовой стенки, отражающей стадию ее работы до бетонирования подушки, выполняют исходя из условий
Д.1.1 -
Д.1.6, а расчет шпунтовой стенки на стадии ее работы после бетонирования подушки выполняют по
Д.1.9 и
Д.1.10.
Д.1.9 По расчетной схеме, показанной на
рисунке Д.2, при определении момента
Mu эпюра пассивного давления грунта считается треугольной с нулевой ординатой на уровне оси поворота стенки и наибольшей ординатой, равной давлению на глубине
H =
hгр +
tО. Глубина
t0 погружения стенки ниже дна котлована определяется из условия обеспечения ее устойчивости против поворота вокруг оси, расположенной на 0,5 м ниже верха тампонажной подушки, показанного точкой 0 на
рисунке Д.2, которое выражается в виде условия равенства обеих частей в ГОСТ 33384-2015
[формула (1)].
Рисунок Д.2 - Схема для расчетов шпунтовых ограждений,
не имеющих распорных креплений в водонепроницаемых грунтах
с применением водозащитной подушки
При этом Mu принимается равным моменту активного давления взвешенного в воде грунта и гидростатического давления, действующих на стенку выше оси ее поворота, относительно этой оси, Mz - моменту пассивного давления взвешенного в воде грунта, действующего на стенку ниже оси ее поворота, относительно этой оси, а коэффициент условий работы m = 0,95.
Д.1.10 Величина наибольшего изгибающего момента в поперечном сечении стенки принимается равной моменту
Mz.
Д.2 Расчет шпунтовых ограждений с одним ярусом распорных креплений
Д.2.1 Для замкнутых в плане шпунтовых ограждений глубину забивки
t, определенную расчетом на устойчивость, допускается уменьшать на 15% для кольцевых ограждений с радиусом менее 5 м и на 10% для прямоугольных с длиной большей стороны менее 5 м.
Д.2.2 Глубина погружения стенки ниже дна котлована (без тампонажной подушки) определяется из условия обеспечения ее устойчивости против поворота вокруг оси опирания стенки на крепление. В соответствии с этим в условии по ГОСТ 33384-2015
[формула (1)] принимается
Mu равным сумме моментов от активного давления грунта и гидростатического давления относительно оси поворота стенки,
Mz - моменту пассивного давления грунта относительно этой оси, коэффициент условий работы
m принимается по
Д.2.4.
Д.2.3 Изгибающие моменты, действующие в поперечных сечениях шпунтовой стенки, определяются по схеме балки, свободно лежащей на двух опорах, одну из которых принимают на уровне оси опирания стенок на крепление - точка 0, показанная на
рисунке Д.3, а другую - на глубине
t0/2 от дна котлована, где
t0 - минимальная глубина погружения стенки для обеспечения ее устойчивости для условия
б по
рисунку Д.1. При этом активное и пассивное давления грунта, а также гидростатическое давление, действующие на стенку ниже глубины
t0/2, показанные на
рисунке Д.3 б, не учитываются.
а - для определения минимальной глубины забивки шпунта;
б - для определения изгибающих моментов
в его поперечных сечениях
Рисунок Д.3 - Схемы расчета шпунтовых ограждений с одним
ярусом распорных креплений
Максимальный изгибающий момент M в сечении шпунтовой стенки с одним ярусом распорных креплений допускается вычислять по формуле
M = Mв + 0,75Mгр, (Д.7)
где Mв - изгибающий момент в поперечном сечении шпунта от гидростатического давления воды, определенный по указанной выше схеме;
Mгр - то же, от давления грунта;
0,75 - коэффициент, учитывающий перераспределение давления грунта.
Усилие в распорке P вычисляют по формуле

(Д.8)
где lл, lпр - пролеты обвязки слева и справа от рассматриваемой распорки;
q - давление стенки на обвязку крепления (как реакция на верхней опоре) определяется по схеме, показанной на
рисунке Д.3 б.
Д.2.4 Коэффициент условий работы
m в расчете устойчивости принимают:
а) в случае связных грунтов, а также несвязных, но при заглублении острия шпунта в слой глины или суглинка - 0,95;
б) в остальных случаях несвязных грунтов:
1) при частичной откачке воды из котлована на глубину (от горизонта воды) не более 0,25
h на водотоках и не более

на местности, не покрытой водой, - 0,95;
2) при полной откачке воды из котлована на открытых водотоках - по графику на
рисунке Д.4;
3) на местности, не покрытой водой, - по графику, показанному на
рисунке Д.5.
Рисунок Д.4 - Схема и график для определения коэффициента
условий работы в расчете устойчивости шпунтового ограждения
на открытом водотоке при одном ярусе распорных креплений
Рисунок Д.5 - Схема и график для определения коэффициента
условий работы в расчете устойчивости шпунтового ограждения
на местности, не покрытой водой

(Д.9)

(Д.10)
где h - глубина котлована, м;

- расстояние от дна котлована до горизонта грунтовых вод, м;
hгр - расстояние от дна котлована до уровня грунта снаружи котлована, м;

- угол внутреннего трения грунта,
при промежуточных значениях
h,
, 
,

величина коэффициента
m определяется линейной интерполяцией.
Д.2.5 При проектировании ограждения с тампонажной подушкой расчет шпунтовой стенки, для стадии ее работы до бетонирования подушки, выполняется по условиям
Д.2.1 -
Д.2.4.
Для условия работы стенки после бетонирования подушки и полной откачки воды из котлована проверяется прочность стенки и крепления, при этом стенка по-прежнему рассматривается по схеме балки, свободно лежащей на двух опорах, но нижняя опора принимается на 0,5 м ниже верха подушки. При этом для участка шпунтовой стенки, расположенного ниже оси поворота, допускается не определять изгибающие моменты.
Д.3 Расчет шпунтовых ограждений с двумя и более ярусами распорных креплений
Д.3.1 Минимальная глубина погружения стенки ниже дна котлована при отсутствии тампонажной подушки определяется из условия обеспечения ее устойчивости против поворота вокруг оси, расположенной на уровне нижнего яруса крепления, показанной точкой 0 на
рисунке Д.6 а.
а - для определения минимальной глубины забивки шпунта;
б - для определения изгибающих моментов
в его поперечных сечениях
Рисунок Д.6 - Схемы расчета шпунтовых ограждений
с двумя и более ярусами распорных креплений
В соответствии с этим, применяя ГОСТ 33384-2015
[формула (1)], принимают
Mu равным сумме моментов активного давления грунта и гидростатического давления, действующих на стенку ниже оси ее поворота, относительно этой оси;
Mz вычисляют по формуле

(Д.11)
где

и

- моменты соответственно активного давления грунта и гидростатического давления, действующих на стенку выше оси ее поворота, относительно этой оси;
Mn - момент пассивного давления грунта на стенку относительно той же оси.
Формула (Д.11) справедлива, если

; при невыполнении этого неравенства
Mz вычисляют по формуле
Mz = Mn + WxR, (Д.12)
где R - расчетное сопротивление материала шпунта;
Wx - момент сопротивления поперечного сечения шпунтовой стенки, определяемого с учетом условия
7.2.9 б).
Примечания
1 Для замкнутых в плане шпунтовых ограждений глубину забивки
t, определенную расчетом на устойчивость, допускается уменьшать согласно
Д.2.1.
2 Уменьшение глубины забивки шпунта по условию обеспечения устойчивости стенки достигается понижением уровня расположения нижнего яруса крепления (если это возможно по условиям производства работ).
3 При многоярусном креплении определение давлений на ярусы креплений проводится с учетом стадийной разработки грунта, порядка установки креплений и перераспределения при этом нагрузки на ярусы креплений и напряжений в шпунте.
Д.3.2 Коэффициент условий работы
m принимается по
Д.2.4 как для ограждения с одним ярусом креплений с той лишь разницей, что при полной откачке воды из котлована, разрабатываемого в несвязных грунтах на открытых водотоках, значение
m принимается по графику, показанному на
рисунке Д.7, обозначения которого соответствуют графику, показанному на
рисунке Д.6.
Рисунок Д.7 - График для определения коэффициента условий
работы в расчете устойчивости шпунтового ограждения
на открытом водотоке при двух и более ярусах креплений
Д.3.3 Изгибающие моменты, действующие в поперечных сечениях шпунтовой стенки, а также давление
q стенки на обвязку каждого из ярусов крепления допускается определять по схеме свободно лежащей многопролетной неразрезной балки, нижняя опора которой принимается расположенной на глубине
t0/2, где
t0 - минимальная глубина погружения стенки, определяемая с учетом
7.2.4,
Д.1.1,
Д.2.1 и
Д.3.1, а остальные опоры расположены на уровне ярусов креплений (активное и пассивное давления грунта, а также гидростатическое давление, действующее на стенку ниже глубины
t0/2, в этом случае не учитываются - такое условие показано на
рисунке Д.6 б.
Примечания
1 Вместо нижней опоры в расчетной схеме допускается применять упругое основание переменной жесткости, рассматривая шпунт как сваю по СП 24.13330.2011
(приложение В).
Д.4 Особые случаи расчета шпунта
Д.4.1 Для случая дополнительного учета вертикальной нагрузки, получаемой от копров, кранов и т.п. и передаваемой на шпунт, глубина забивки шпунтин на участке передачи нагрузки проверяется на восприятие вертикальных усилий в соответствии с нормами проектирования свай. При этом поверхность грунта принимается на отметке дна котлована, а ширина участка ограждения, передающего сосредоточенную нагрузку, определяется из условия распространения усилия в ограждении от точки или границы приложения нагрузки под углом 30° к вертикали.
Д.4.2 Шпунтовые ограждения, подвергающиеся воздействию льда или возможности навала судов, дополнительно проверяются расчетом на такие нагрузки. На уровне приложения нагрузок применяются дополнительные плоскости распорок.
Примечания
1 При разности уровней первой подвижки льда и высокого ледохода более 1,5 м применяются две плоскости распорок.
2 Составляется требование, предусматривающее обколку льда вокруг ограждения до начала ледохода.
Д.4.3 При проектировании шпунтовых ограждений опор на высоком свайном ростверке проверяется прочность и устойчивость ограждения при действии распора изнутри, возникающего от грунта, находящегося внутри ограждения. Отметка поверхности окружающего грунта принимается с учетом размыва. Расчет проводится по методике
Е.2, рекомендованной для расчета искусственных островков.
Д.4.4 Замкнутые шпунтовые ограждения проверяются на всплытие при наивысшей отметке рабочего уровня воды. При определении силы трения грунта по боковой поверхности шпунта горизонтальное давление грунта на ограждение принимается с коэффициентом надежности по нагрузке

.
Д.4.5 При проектировании шпунтовых ограждений вблизи существующих зданий и сооружений, конструкции которых не допускают осадки основания, предусматривается возможность предварительного обжатия распорок клиньями, домкратами и др. усилием, равным расчетному.
Правила по проектированию шпунтовых ограждений в таких условиях определены СП 45.13330.2017
(пункт 12.1.2) и
[16].
Д.4.6 Для крепления шпунтовых ограждений котлованов, опускных колодцев, подпорных стен и стен подземных сооружений, оползневых склонов и откосов, фундаментов высоких сооружений и др. применяются грунтовые анкеры. Грунтовые инъекционные анкеры проектируются по
СП 45.13330.2017.
(рекомендуемое)
ПРОЕКТИРОВАНИЕ ВСПОМОГАТЕЛЬНЫХ УСТРОЙСТВ
ДЛЯ СООРУЖЕНИЯ ФУНДАМЕНТОВ
Е.1 Грунтовые перемычки
Е.1.1 Грунтовые перемычки для ограждения котлована применяются на мало фильтрующем и не размываемом грунте дна при глубине воды до 2 м и скорости течения, не превышающей 0,5 м/с.
Е.1.2 При проектировании учитывается повышение скорости течения, вызываемого стеснением живого сечения водотока перемычками.
В случае необходимости предусматривается защита откосов перемычки от размыва укладкой сборных железобетонных плит либо отсыпкой щебня, гравия или камня крупностью d, см, вычисляемой по формуле
d = 3V2, (Е.1)
где V - скорость течения, м/с.
Е.1.3 Для сооружения перемычек по дну, очищенному от карчей, камней и других препятствий, применяются мелкие пески, супеси и суглинки с содержанием глинистых частиц до 20%.
Е.1.4 Ширина грунтовых перемычек по верху проектируется не менее 1 м. Крутизна откосов назначается в зависимости от угла естественного откоса грунта перемычки в водонасыщенном состоянии, но не круче 1:2. Возвышение верха перемычки над рабочим уровнем воды или ледохода в реке принимается по
4.2.3.
Е.1.5 Для уменьшения стеснения живого сечения реки и фильтрации воды через перемычку грунтовые перемычки проектируются в комбинации с деревянным шпунтовым ограждением, забиваемым внутри перемычки по ее периметру, или в виде двойного ряда с засыпкой грунта между ними.
Е.1.6 Для грунтов, не допускающих забивку шпунта, возможно применение ограждения из ряжево-грунтовых перемычек.
Е.2 Искусственные островки
Е.2.1 Для производства работ по сооружению опускных колодцев, для размещения бурового и сваебойного оборудования применяются в акватории искусственные островки, которые проектируются как без ограждения, так и в ограждении, показанные на
рисунке Е.1.
а - без ограждения; б - с ограждением, не воспринимающим
давления грунта; в - с ограждением, воспринимающим давление
грунта засыпки; г - расчетная схема островка, где H - высота
островка; h - глубина заделки ограждения в грунт основания;
hз - высота загрузки, приведенная к весу грунта засыпки;
D - ширина ограждения островка
Рисунок Е.1 - Схемы искусственных островков
Е.2.2 Проектные размеры рабочей площадки островка назначаются из условия обеспечения удобного и безопасного выполнения строительно-технологических операций по сооружению опоры. Ширина бермы до граней опускного колодца при любых условиях проектируется не менее 2 м. Отметка верха островка назначается по
4.2.5. Крутизна откосов принимается от 1:2 для гравелистых грунтов до 1:5 для мелкого песка.
Е.2.3 Ограждение проектируется:
- с возможностью сопротивляться воздействию водного потока (используются нагрузки, предусмотренные в
разделе 5);
- с учетом сопротивления размыву по всему периметру (возможно применение каменной обсыпки);
- с обтекаемой формой в плане со стороны водного потока;
- из щитов, устанавливаемых в пространство между парными предварительно забитыми в грунт сваями, или козелковых опор при глубине до 2 м.
Е.2.4 Неукрепляемые островки, показанные на
рисунке Е.1 а, применяются при глубине воды не более 2 м, без стеснения живого сечения реки со средними скоростями течения не выше:
0,3 м/с - при отсыпке островка из мелкого песка;
0,8 м/с - при отсыпке из крупного песка;
1,2 м/с и 1,5 м/с - при отсыпке из среднего и крупного гравия соответственно.
При необходимости предусматривается защита островка от волнового воздействия.
Е.2.5 Ограждение островков, предохраняющих подмыв откосов, но не воспринимающих давления засыпки, показанное на
рисунке Е.1 б, проектируется из легкого шпунта, щитов или козелковых опор со щитами, устраиваемых по всему контуру островка или с верховой стороны.
Е.2.6 Ограждение островков, воспринимающих давление засыпки, показанное на
рисунке Е.1 в, проектируется при скорости течения выше 1,5 м/с, а также в случае невозможности стеснения живого сечения реки. Ограждения выполняются щитовыми, ряжевыми и шпунтовыми.
Е.2.7 При слабых грунтах засыпки, с расчетным сопротивлением от 1,2 до 2,0 кгс/см2, на верхней площадке островка для изготовления колодца проектируется покрытие из песчаной подушки толщиной от 0,3 до 0,6 м по контуру ножа.
Е.2.8 Под нож колодца предусматриваются подкладки, размеры и количество которых назначаются из условия, чтобы давление под ними от расчетной нагрузки не превышало 2,0 кгс/см2.
Е.2.9 Расчет шпунтовых ограждений искусственных островков выполняется в соответствии с требованиями
раздела 7 по расчетной схеме, показанной на
рисунке Е.1 г, и с учетом
Е.2.10 -
Е.2.13.
Е.2.10 Глубину забивки шпунта цилиндрического ограждения ниже линии размыва назначают из условий исключения выпирания грунта из-под низа шпунта и вычисляют по формуле

(Е.2)
где q - расчетное давление от веса засыпки и нагрузки на ней в уровне дна реки, кПа;

- угол внутреннего трения грунта на дне реки.
Е.2.11 Минимальная глубина забивки шпунта, ограждающего островок с прямолинейными сторонами в плане, определяется расчетом на выпирание грунта и устойчивость стенки и в любом случае должна быть не менее 2,0 м ниже линии размыва.
Е.2.12 В цилиндрических ограждениях из шпунта плоского профиля проверяют на разрыв замки по условию

(Е.3)
где P - расчетное горизонтальное (окружное) усилие в контуре ограждения, кН/м, вычисляемое по формуле

(Е.4)
где
m,

- коэффициент условий работы и коэффициент надежности по назначению, принимаемые по
7.2.9 а;
Pз - расчетное сопротивление разрыву при растяжении замков шпунтовых свай плоского профиля, кН/м, вычисляемое по формуле

(Е.5)
где D - диаметр контура ограждения островка по осевой линии, м;
emax - интенсивность горизонтального давления грунта на внутреннюю поверхность ограждения на уровне дна водоема с учетом возможного размыва и нагрузки на поверхности островка;
Rз - разрывное усилие замка, кН/м, определяемое для плоских профилей по
таблице Е.1;
- коэффициент надежности по материалу, равный 1,3.
Таблица Е.1
Расчетное сопротивление разрыву
Марка стали | Разрывное усилие Pз, кН/м, для профиля ШП1 | Марка стали | Разрывное усилие Pз, кН/м, для профиля ШП1 |
Ст3 | 2500 | Ст5 | 3500 |
Ст4 | 3000 | 15ХСНД | 3500 |
Е.2.13 При расчете ограждений из шпунта неплоского профиля типа ШК, Ларсен, ПШС растягивающие усилия должны восприниматься объемлющими стальными поясами (обвязками).
Е.3 Закладные крепления
Е.3.1 Закладное крепление стен котлованов проектируется на суходолах в устойчивых неводонасыщенных грунтах (при

).
Е.3.2 Закладное крепление, показанное на
рисунке Е.2, предусматривается из металлических свай приемлемого сечения, забиваемых в грунт по периметру котлована с необходимым шагом по расчету и закладываемых между ними по мере разработки котлована деревянных, стальных или железобетонных элементов забирки. При необходимости сваи раскрепляются системой металлических или деревянных распорок, или оттяжек, фиксируемых на анкерных сваях или грунтовых якорях с наружной стороны котлована вне призмы обрушения.
1 - металлическая двутавровая свая; 2 - элементы забирки
Рисунок Е.2 - Закладное крепление из металлических
двутавровых свай
Е.3.3 Внутренние размеры закладного крепления в плане назначаются из условий установки и снятия опалубки железобетонного фундамента опоры.
Е.3.4 Шаг свай, глубина их забивки ниже дна котлована, расположение распорок, размеры сечения свай, а также распорок и досок забирки определяются расчетом на прочность и устойчивость положения.
Е.3.5 Давление от собственного веса грунта и временной нагрузки на призме обрушения определяется по
приложению Б.
Е.3.6 Для креплений с двумя и более ярусами распорок по высоте допускается не предусматривать заглубление сваи ниже дна котлована, при этом нижний ярус распорок располагается вблизи подошвы котлована.
Е.3.7 При необходимости расположения распорок выше дна котлована глубина забивки определяется расчетом по
Д.2.1 -
Д.2.4. Усилия в распорках определяются с учетом неразрезности свай.
Расчеты прочности и устойчивости крепления выполняются для каждого этапа устройства и разборки крепления.
Е.3.8 Для креплений с одним ярусом распорок минимальная глубина забивки свай определяется по расчету из условия обеспечения ее устойчивости против поворота вокруг оси опирания на крепление.
Расчет выполняется по методике, принятой для расчета шпунтовых ограждений с одним ярусом распорных креплений по
Д.2.1 -
Д.2.4. При этом величина активного давления учитывается в пределах высоты забирки, включая ширину полки сваи, а пассивное давление - в пределах ширины, равной
b + 0,3 м, где
b - ширина полки сваи в метрах.
Е.3.9 Для креплений, не имеющих распорок, минимальная глубина забивки свай

определяется по расчету на устойчивость, считая ось поворота стенки, расположенной на глубине
t0 от подошвы котлована.
Е.3.10 Величины
t0 и

(заглубление сваи ниже оси поворота) определяются по методике, принятой для расчета шпунтовых стенок согласно
7.2.1 -
7.2.4. При этом величина активного давления учитывается в пределах высоты забирки, включая ширину полки сваи, а пассивное давление - в пределах расчетной ширины полки свай, равной:

, м, но не более расстояния между сваями, где
b - ширина полки сваи в метрах.
Е.3.11 Допускается производить расчет свай закладного крепления котлована по СП 24.13330.2011
(приложение В), как для отдельно стоящей сваи с расчетной шириной 1,5
b + 0,5 м, при этом проверяется соответствие горизонтального давления грунта по
формуле (В.7) приложения В.
Е.3.12 Конструкция элементов забирки определяется расчетом на прочность для уровня посередине глубины котлована и для подошвы котлована. При этом во всех случаях толщина деревянных досок принимается не менее 4 см.
Е.3.13 Распорки располагаются по высоте с учетом минимально возможного количества перекреплений при бетонировании фундамента опоры.
При значительной ширине котлованов (более 10 м) с целью сокращения свободной длины распорок применяются дополнительные сваи, забиваемые параллельно основным сваям крепления в их створе.
Е.3.14 На концах свай, используемых в закладных креплениях, предусматривается симметричное заострение под углом 45° с горизонтальным участком стенки на торце от 8 до 10 см. Острие сваи усиливается сварными накладками.
Е.4 Бездонные ящики и водонепроницаемые перемычки
Е.4.1 Съемные и несъемные бездонные ящики для ограждения котлованов опор проектируются, как правило, на водотоках с глубиной до 4 м. В этом случае применяются деревянные или металлические ящики.
Е.4.2 На водотоках с глубиной до 7 м применяются бездонные ящики из понтонов типа КС с ножом в нижней части, показанные на
рисунке Е.3. В этом случае предусматривается требование к соединению ножевой и надножевой конструкции, обеспечивающее возможность их разъема без водолазных работ на случай невозможности извлечения ножа.
а - устройство тампонажного слоя; б - бетонирование
ростверка; 1 - бетонолитная труба;
2 - железобетонный ростверк;
3 - подводный бетон; 4 - понтоны типа КС; 5 - нож
Рисунок Е.3 - Бездонный ящик из понтонов КС
Также могут применяться бездонные ящики, состоящие из железобетонных плит, устанавливаемых из отдельных элементов на месте и объединенных стальным каркасом аналогично устройству закладного крепления.
Примечание - Бездонные ящики, состоящие из железобетонных тонкостенных конструкций, входящих в состав фундамента, разрабатываются в составе проектной и рабочей документации моста по нормам проектирования мостов.
Е.4.3 Конструкция бездонных ящиков проектируется прочной, жесткой и водонепроницаемой. Внутренние размеры ящика в плане (в свету) принимаются с учетом возможных отклонений осей ящика от проектных осей опоры при наводке ящика в условиях течения реки и при всех условиях, не менее чем на 30 см превышающих проектные размеры фундамента. На водотоках, имеющих большие скорости течения, предусматриваются ящики с обтекателями.
Е.4.4 Для деревянных ящиков водонепроницаемая обшивка выполняется из двух слоев досок толщиной не менее 4 см с прослойкой рубероида. Распорки, оставляемые в теле фундамента, устраиваются железобетонными.
В документации предусматриваются требования:
- доски обшивки должны быть тщательно прифугованы и припасованы под конопатку (со стороны давления воды) в три пряди;
- каждый слой после конопатки должен быть просмолен;
- доски для обшивки следует пришивать под углом 45°, используя обшивку в качестве стенки ферм жесткости, поясами которой будут служить брусья каркаса ящика.
Е.4.5 Для облегчения заглубления ящика в грунт внизу его, как правило, предусматривается нож из того же материала, что и ящик. Высота ножа при съемных ящиках принимается равной толщине тампонажной подушки, укладываемой из подводного бетона.
Е.4.6 Бездонные ящики устанавливаются на дно, заранее спланированное до отметки, близкой к проектной (с учетом размыва грунта при опускании и посадке). Для уменьшения притока воды в месте опирания бездонного ящика на дно реки предусматривается обсыпка камнем, укладка мешков с глиной по периметру с внешней стороны, а также укладка изнутри подводного бетона тампонажной подушки.
Е.4.7 Собранный бездонный ящик устанавливают на месте сооружения фундамента, используя его собственную плавучесть или с помощью кранов, судов, барж, а также понтонов КС, обстроенных для опускания ящика в проектное положение.
При использовании понтонов установка ящика в проектное положение по высоте осуществляется балластировкой понтонов.
Примечание - Бездонные ящики, состоящие из отдельных железобетонных тонкостенных конструкций, собираются на месте сооружения фундамента.
Е.4.8 Для погружения на дно и для предотвращения всплытия деревянного бездонного ящика при подъеме уровня воды в акватории применяется пригруз ящика, величина которого определяется расчетом при коэффициенте надежности

.
Е.4.9 При ограждении для устройства плит высоких ростверков применяются перемычки из металлических щитов, стальных шпунтин и понтонов типа КС.
Е.4.10 Для конструкций перемычек, обеспечивающих сооружение плит ростверков, расположенных в воде выше поверхности грунта, предусматривается деревянное, деревометаллическое или железобетонное днище с отверстиями для пропуска свай или оболочек, показанное на
рисунках Е.4 и
Е.5. Диаметр отверстий должен превышать наружный диаметр сваи или оболочки от 4 до 5 см.
1 - тело опоры; 2 - ростверк; 3 - тампонажная бетонная
подушка; 4 - оболочка; 5 - бетонное заполнение;
6 - деревянное днище; 7 - стальные щиты; 8 - приспособление
для подвешивания ограждения на оболочке; 9 - устройство
для подвешивания на забетонированной опоре;
10 - гидравлический домкрат
Рисунок Е.4 - Металлическое щитовое ограждение ростверка
1 - понтоны типа КС; 2 - днище; 3 - тампонажная бетонная
подушка; 4 - распорное крепление; 5 - оболочки
Рисунок Е.5 - Перемычка из понтонов
Е.4.11 Зазоры в местах соединения днища водонепроницаемой перемычки со стенами колодцев (оболочек) уплотняются резиновыми шлангами, пеньковыми канатами, деревянными кружалами, мешками с песком или подводным бетоном.
Е.4.12 При расстоянии от дна водотока до низа плиты ростверка, равном от 3 до 5 м, уточняется целесообразность устройства перемычки до дна с устройством подсыпки из песка или щебня на высоту от дна до плиты ростверка.
Е.4.13 Щиты перемычки или понтоны опираются на днище. Днище прикрепляется к распорно-направляющему каркасу.
Для уменьшения сцепления щитов с тампонажным слоем подводного бетона предусматривается обмазочная изоляция. Стыки щитов или понтонов герметизируются резиновыми прокладками.
Е.4.14 При проектировании перемычек из понтонов в конструкции днища предусматриваются устройства, позволяющие отсоединять понтоны под водой.
Е.4.15 Распорные крепления перемычек и ящиков, воспринимающие давление воды, следует по возможности одновременно использовать в качестве направляющих устройств для погружения оболочек, а также несущих элементов рабочих подмостей.
Е.4.16 При сооружении фундаментов опор в водотоках с применением опускных колодцев используется устройство инвентарных металлических форшахт, демонтируемых после выведения тела опоры выше уровня воды. Для круглых в плане колодцев безростверковых опор применяются форшахты в виде обечаек из листовой стали толщиной от 6 до 12 мм с внутренними распорными креплениями, установленными с шагом от 1 до 2 м, показанные на
рисунке Е.6.
1 - колодец; 2 - обшивка ограждения;
3 - распорные крепления; 4 - резиновый уплотнитель
Рисунок Е.6 - Стальное ограждение верхней части
круглого колодца
Е.4.17 При конструировании съемных распорных креплений учитывается последовательность их разборки или перестановки по мере бетонирования плиты и тела опоры.
Е.4.18 Для бездонных ящиков и водонепроницаемых перемычек выполняются следующие расчеты:
- прочности и устойчивости формы под воздействием гидростатического давления воды, давления подводного бетона фундаментной подушки при укладке и собственного веса рассчитываемой конструкции;
- остойчивости и плавучести при подаче на плаву к месту опускания и устойчивости против опрокидывания после установки ящика или перемычки на дно, расчет пригруза в случае необходимости;
- прочности при установке ящика или перемычки краном;
- мощности буксиров, лебедок и якорного закрепления при транспортировке и опускании ящика или перемычки на дно;
- устойчивости против всплытия при откачке воды.
Е.5 Направляющие каркасы
Е.5.1 Для обеспечения проектного положения погружаемых свай, оболочек и шунта копрами, а также при бескопровой бойке предусматриваются направляющие каркасы, конструкция которых определяется типом сооружения и местными условиями.
Е.5.2 Направляющие каркасы проектируются одновременно в качестве распорных креплений ограждений котлована и для рабочих площадок при производстве работ по погружению свай и оболочек.
Е.5.3 Направляющие каркасы проектируются из дерева, из неинвентарного металла и, при соответствующем обосновании, из инвентарных конструкций.
Е.5.4 Применение каркасов разового использования, остающихся в бетоне фундаментной плиты, допускается в случаях включения их в работу основной конструкции опоры в качестве жесткой арматуры.
Е.5.5 Направляющие каркасы предусматриваются одноярусными, двухъярусными или многоярусными решетчатыми горизонтальными плоскостями с ячейками для пропуска свай или оболочек. Плоскости объединяются системой вертикальных, горизонтальных и диагональных связей в неизменяемую пространственную конструкцию.
Е.5.6 Одноярусные каркасы применяются при погружении свай и вертикальных оболочек на суходолах или водотоках со скоростью течения менее 1 м/с и незначительной глубиной воды. Материал и конструкция одноярусных каркасов принимаются по расчетам.
Е.5.7 На водотоках со скоростью течения воды более 1 м/с, а также при погружении наклонных свай и оболочек предусматриваются двухъярусные или многоярусные каркасы.
Е.5.8 Схема направляющих каркасов из деревянных элементов показана на
рисунке Е.7.
1 - сваи; 2 - поперечные связи
Рисунок Е.7 - Направляющий каркас из деревянных элементов
Е.5.9 Расстояние между плоскостями каркаса при погружении свай без копрового прохода принимается в пределах 3,0 м.
Е.5.10 Для облегчения установки, а также предохранения оболочек от повреждения металлическими элементами в ячейках каркаса предусматриваются направляющие деревянные брусья или специальные антифрикционные материалы, показанные на
рисунке Е.8.
1 - металлические элементы; 2 - направляющие деревянные
брусья; 3 - оболочки; 4 - болты
Рисунок Е.8 - Направляющий каркас из металлических элементов
Е.5.11 Кольцевой зазор между оболочками и направляющими брусьями принимается равным от 2 до 3 см.
Е.5.12 Для сооружения каркасов предусматриваются указания по выверке положения и решения по жесткому закреплению их во время забивки.
Е.5.13 При необходимости направляющие каркасы проектируются:
- устанавливаемыми на деревянные сваи (на суходолах);
- подвешиваемыми на маячные сваи и дополнительно расчаливаемыми тросами с натяжными приспособлениями не менее чем к четырем жестким якорям (на водотоках).
Е.5.14 Каркасы для русловых опор в собранном виде закрепляются в проектном положении, например, на сваях-шпильках, заранее закрепленных на каркасе и опускаемых на дно на месте его установки.
Е.5.15 Каркасы кроме своего прямого назначения могут служить несущей конструкцией для установки на них сваебойного и бурового оборудования.
Е.5.16 Конструкция каркаса рассчитывается на прочность и устойчивость положения при действии следующих нагрузок:
- от собственного веса при установке;
- от веса сваебойного или бурового оборудования;
- возникающих при установке в проектное положение наклонных свай;
- возникающих при установке в проектное положение вертикальных свай (в этом случае горизонтальные усилия принимаются равными 0,03 веса сваи с направлением в любую сторону и приложенными в любом ярусе каркаса);
- усилия давления грунта и воды, передаваемые от шпунта (при использовании направляющего каркаса одновременно в качестве распорных креплений ограждений котлована);
- усилия отжатия при забивке или вибропогружении свай (свай-оболочек), принимаемые равными 0,002Wp кН, где Wp - расчетная энергия удара, кН·см;
- воздействие водного потока (для плавучих направляющих каркасов);
- воздействие ветра.
Е.6 Устройства, используемые при бурении скважин, погружении свай, столбов, оболочек
Е.6.1 Для работы машин и оборудования, используемого при бурении скважин и погружении свай, оболочек, столбов, применяются подкопровые мосты и подмости.
Примечания
1 Проектирование плашкоутов для копров и буровых машин, копров на рельсовом ходу и подкопровых мостов предусмотрено
10.8.
2 Способы установки копров на льду предусмотрены в
9.7.
Е.6.2 Подкопровые мосты оборудуются по концам упорами и концевыми выключателями. Тележки моста должны иметь стопорные устройства.
Е.6.3 Подмости для установки копров и подкрановых мостов рассчитываются с учетом собственного веса, ветровой нагрузки, инерционных сил торможения самоходного копра или тяговых усилий перемещения копров, усилий, возникающих при вращении копров или буровых установок.
Е.6.4 Давление от копра на подкопровый мост и подмости определяется для рабочего состояния при скорости ветра 15 м/с и нерабочего при ветре расчетной интенсивности. Положение стрелы принимается вертикальным или наклонным.
Е.6.5 Отдельные балки подкопрового моста объединяются связями, обеспечивающими устойчивость формы и положения. Балки рассчитываются на восприятие поперечных усилий, возникающих при повороте копра или крана и от воздействия ветровой нагрузки.
Е.6.6 Реактивный момент
M, действующий на копровую тележку, при вращении поворотной платформы копра (крана) определяется в соответствии с
5.3.4.
Примечание - При установке на копровой тележке буровых станков, погружающих обсадные трубы, реактивный момент, действующий на тележку, принимается по паспортным данным бурового станка.
Е.6.7 Реактивный момент, передающийся на мост в виде пары сил, Н, направленных поперек оси пути, определяется по формуле

(Е.6)
где b - расстояние между центрами тележек (ползунов) вдоль оси пути, м.
Е.6.8 Инерционные нагрузки и нагрузки от вращения платформы принимаются в соответствии с
5.3.4.
Е.6.9 Подмости проектируются с жесткостью, гарантирующей устойчивость копра или буровой установки при работе. Для повышения горизонтальной жесткости, предотвращающей раскачивания, предусматривается установка связей между балками ростверка и сваями подмостей при глубине воды более 2 м.
Е.6.10 При опирании подмостей или подкранового моста на шпунтовое ограждение предусматривается повышение его горизонтальной жесткости путем приварки элементов верхнего яруса распорного крепления к шпунтинам и создания таким образом жесткого диска.
Е.7 Вспомогательные устройства для укладки подводного бетона
Е.7.1 При проектировании вспомогательных устройств для укладки подводного бетона методом ВПТ в документации приводится:
- толщина слоя подводного бетона, определяемая расчетом, но не менее 1 м;
- схема расположения бетонолитных труб;
- конструкция бетонолитной трубы с загрузочным бункером на трубе и пробками;
- конструкция подмостей для навешивания, подъема и опускания труб и размещения оборудования, а также подмостей для размещения персонала.
Е.7.2 На верхнем конце бетонолитной трубы предусматривается бункер объемом не менее 1,5 объема трубы и не менее 2 м3.
Е.7.3 Для стенок бункера применяется листовая сталь толщиной не менее 4 мм. Угол наклона листов нижней части бункера к горизонтали должен быть не менее 45°. Один бункер применяется для 1 - 3 бетонолитных труб.
Е.7.4 Трубы используются со стенками от 4 до 5 мм, а при вибрационной укладке - от 6 до 10 мм.
Е.7.5 Часть трубы на высоту, равную толщине слоя бетона плюс 1 м, составляется из звеньев длиной 1 м.
Е.7.6 Звенья труб соединяются замками или фланцами с уплотнительными прокладками из листовой резины или паранита толщиной 6 мм.
Е.7.7 Для случая, если размеры и вес бетонолитной трубы ограничивают объем бункера, а также для улучшения условий подачи бетона предусматривается устраивать вертикально над бункером дополнительный бункер емкостью от 2 до 5 м3 с затвором.
Е.7.8 Бетонолитные трубы с бункером вывешиваются на опорных пакетах, опирающихся либо на стенки обсадной трубы, либо на раму для бетонирования тампонажной подушки. Подъемка бетонолитных труб с бункером производится краном, буровой установкой и т.п.
При этом должны быть выполнены следующие условия:
- общая высота подъема трубы должна быть не менее длины звена бетонолитной трубы плюс 1 м;
- прочность опорных пакетов должна быть рассчитана на нагрузку, равную сумме нагрузок от веса труб с приемным бункером, заполненным бетоном, и нагрузки от людей на подмостях приемного бункера;
- грузоподъемность подъемного оборудования должна соответствовать сумме усилий от веса труб с приемным бункером, заполненным бетоном, и сил трения, возникающих при извлечении труб из уложенного бетона.
Е.7.9 Количество бетонолитных труб назначается из условий:
а) зоны действия соседних труб должны перекрывать друг друга от 10% до 20% радиуса действия труб;
б) расчетный радиус действия трубы r, м, должен удовлетворять условию
r <= 6kJ, (Е.7)
где k - показатель подвижности бетонной смеси в часах, принимаемый не менее от 0,7 до 0,8 ч;
J - интенсивность бетонирования, м3/м2·ч (для водозащитных подушек в котлованах и опускных колодцев принимается J >= 0,3 м3/м2·ч).
Места установки труб определяются с учетом препятствий в виде забитых свай или оболочек и указаний в проекте производства работ.
Е.7.10 Для укладки бетонной смеси в котлованы и опускные колодцы применяются бетонолитные трубы диаметром от 200 до 300 мм, в зависимости от требуемой интенсивности бетонирования: при 11 м3/ч - 200 мм; при 17 м3/ч - 250 мм; при 25 м3/ч - 300 мм.
Е.7.11 Бетонолитные трубы, устанавливаемые в оболочках, проектируются с направляющими устройствами - фонарями, расположенными друг от друга на расстоянии не менее 3 м и обеспечивающими центрирование трубы.
Примечание - В верхней части каждого звена должны быть приварены скобы диаметром 25 мм для фиксации положения трубы в процессе заполнения приемного бункера.
Е.7.12 Сечение бетонолитной трубы и конструкция стыков звеньев проверяются расчетом на усилия, возникающие при подъеме из горизонтального положения в вертикальное, и на нагрузки от веса бетона и усилий выдергивания в рабочем положении.
Е.7.13 У приемных бункеров проектируются площадки с перилами для размещения рабочих, принимающих бетон. При разности уровней затвора бадьи с бетоном и бункера более 1,5 м устанавливаются звеньевые хоботы.
Е.7.14 Для определения нагрузки на стрелу крана, поднимающего бетонолитную трубу, учитывается:
- нагрузка от веса труб и бункера с бетоном должна приниматься с динамическим коэффициентом 1,2 при весе меньше 3 т и 1,1 - при большем весе;
- усилия выдергивания бетонолитных труб из свежеуложенной бетонной смеси принимаются равными 3F, Н, где F - площадь соприкасающихся поверхностей трубы и бетона, м2.
Е.7.15 При бетонировании скважины глубиной более 30 м в дополнение к скользящим пробкам применяется стальная пробка, показанная на
рисунке Е.9 а, которая подвешивается на стальном тросе к крюку крана или буровой машины в устье воронки на глубину не более внутреннего диаметра трубы. Стальная пробка при необходимости может применяться и в других случаях бетонирования методом ВПТ.
а - стальная пробка; б - схема установки пробок;
1 - листовая резина; 2 - направляющие дужки; 3 - стальная
пробка; 4 - подвес стальной пробки; 5 - бетон;
6 - скользящая пробка; L - глубина установки стальной пробки
Рисунок Е.9 - Схема установки скользящей и стальной пробки
в устье бункера над бетонолитной трубой
Е.7.16 Для предохранения бетонной смеси от воды при бетонировании скважины глубиной до 30 м, а также тампонажной подушки предусматривается укладка скользящей пробки из мешковины, пакли, мешков с опилками в устье бункера, заполняемого первой порцией бетонной смеси.
(обязательное)
ОПРЕДЕЛЕНИЕ МОМЕНТОВ ИНЕРЦИИ ПЛАВУЧЕЙ ОПОРЫ ИЗ ПОНТОНОВ КС
Ж.1 Для расчетов плавучей опоры применяются схемы плашкоутов
(таблица Ж.1) в зависимости от условий их балластировки водой.
Таблица Ж.1
Моменты инерции плавучей опоры из понтонов КС
Схема плашкоута опоры | Моменты инерции площади плашкоута |
| При балластировке понтонов наливом воды насосами (балластируемые понтоны заштрихованы). Момент инерции при определении крена Момент инерции при определении дифферента |
| При балластировке понтонов через донные отверстия (балластируемые понтоны заштрихованы). Момент инерции при определении крена Момент инерции при определении дифферента где  при условии разобщения воздухопроводов, идущих к понтонам |
Примечание - В настоящей таблице применены следующие обозначения: a и b - размеры понтона соответственно вдоль оси X-X и оси Y-Y; n и n1 - число понтонов соответственно вдоль оси X-X и оси Y-Y; m - общее количество балластируемых понтонов в опоре;  - площадь поверхности водного балласта в одном понтоне, м 2;  и  - моменты инерции площади  относительно собственных осей xn и yn, параллельных соответствующим осям плашкоута опоры; lx и ly - расстояние от центра тяжести площади  каждого балластируемого понтона соответственно до оси наклонения Y-Y и X-X; k - коэффициент, учитывающий влияние разобщения балластируемых понтонов от воздухопроводной сети, при сообщении внутреннего пространства понтонов с наружным воздухом k = 1;  - разность уровней воды внутри понтона и снаружи для рассматриваемого положения плавучей опоры, м; t - высота надводного борта для рассматриваемого положения плавучей опоры, м (при отстое плавучей опоры воздуховодную сеть рекомендуется держать разобщенной). |
Ж.1.1 Значения коэффициента
k в зависимости от

и
t показаны в графике
рисунка Ж.1.
1-1 - линия kmin для понтонов КС, поставленных плашмя, H = 1,8 м
2-2 - линия kmin для понтонов КС, поставленных на ребро, H = 3,6 м
Рисунок Ж.1 - График коэффициента влияния разобщения
воздухопровода для понтонов H = 1,8 м и H = 3,6 м
(обязательное)
ОПРЕДЕЛЕНИЕ В ПЛАВУЧИХ ОПОРАХ ДОПОЛНИТЕЛЬНЫХ ИЗГИБАЮЩИХ
МОМЕНТОВ И ПОПЕРЕЧНЫХ СИЛ ОТ ВОЛНОВОЙ НАГРУЗКИ
Дополнительный волновой изгибающий момент

, кН, вычисляют по формуле

(И.1)
где k6 - коэффициент полноты водоизмещения;
B - ширина плашкоута в уровне ватерлинии по миделю, м;
L - длина плашкоута в уровне ватерлинии, м;
h - расчетная высота волны во время перевозки пролетных строений, м.
Расчетная высота волны должна назначаться на основании данных местного пароходства, относящихся к району перемещения плавучих опор при строительстве данного моста, и приниматься не менее 0,6 м.
Коэффициент k0 вычисляют по формуле

(И.2)
Коэффициент k1 в зависимости от длины судна L принимается равным:
- 0,0123 - при длине судна 20 м;
- 0,0101 - при длине судна 40 м;
- 0,0085 - при длине судна 60 м;
- 0,0061 - при длине судна 100 м.
При промежуточных значениях L коэффициент k1 определяется по интерполяции.
Коэффициент k2 вычисляют по формуле

(И.3)
где Tн - осадка судна носом, м.
Эпюра дополнительного волнового изгибающего момента

показана на
рисунке И.1.
Рисунок И.1 - Эпюра момента

от волновой нагрузки
Дополнительную волновую перерезывающую силу

, тс, вычисляют по формуле

(И.4)
Эпюра дополнительной волновой перерезывающей силы

показана на
рисунке И.2.
Рисунок И.2 - Эпюра поперечной силы

от волновой нагрузки
(справочное)
ПРИМЕРНЫЕ СХЕМЫ СПУСКА ПЛАШКОУТОВ НА ВОДУ
К.1 Схемы спуска на воду плашкоута
H = 1,8 м и
H = 3,6 м показаны на
рисунках К.1 -
К.6.
Рисунок К.1 - Начало движения плашкоута
H = 1,8 м
Примечание - Давление заднего конца плашкоута на стапель Nст достигает максимального значения.
Рисунок К.2 - Всплытие плашкоута H = 1,8 м, S = Sв
Примечание - Плашкоут отделился от спускового устройства и свободно плавает.
Рисунок К.3 - Задний конец плашкоута H = 1,8 м проходит
над порогом
Рисунок К.4 - Начало движения плашкоута H = 3,6 м
Примечание - Давление заднего конца плашкоута на стапель Nст достигает максимального значения.
Рисунок К.5 - Всплытие плашкоута H = 3,6 м, S = Sв
Примечание - Плашкоут отделился от спускового устройства и свободно плавает.
Рисунок К.6 - Задний конец плашкоута
H = 3,6 м проходит
над порогом
Примечание к
рисункам К.1 -
К.6 - На рисунках применены следующие обозначения:

- длина подводной части спусковых дорожек, м;
T0 - глубина воды на пороге при расчетном горизонте воды в период спуска плашкоута, м;
t0 - осадка свободно плавающего плашкоута, м;
T - глубина воды в реке в месте спуска плашкоута на воду, T = t + 0,20, м;
t - осадка переднего конца плашкоута в момент всплытия (при S = S0);
S - путь, пройденный передним концом плашкоута от момента, когда передний конец плашкоута пересекает плоскость уреза воды, до момента всплытия;
- сила плавучести, т (гидростатическая сила, действующая на подводную часть плашкоута).
К.2 Технические требования:
- спусковые дорожки должны быть параллельны;
- рельсы спусковых дорожек не должны иметь неровностей, мешающих движению;
- рельсы спускового устройства и скользуны перед спуском покрываются смазкой;
- сдвиг с места производится при помощи реечных домкратов.
(обязательное)
ОБЩИЕ ТРЕБОВАНИЯ К МАТЕРИАЛАМ
ДЛЯ ПРОЕКТИРОВАНИЯ СТАЛЬНЫХ КОНСТРУКЦИЙ
Л.1 Сварные и несварные стальные конструкции либо их элементы, работающие в различных условиях, подразделяют на четыре группы.
Группа 1 - Сварные конструкции
<*> или их элементы, работающие в особо тяжелых условиях, в том числе максимально стесняющих развитие пластических деформаций, или подвергающиеся непосредственному воздействию динамических
<**>, вибрационных или подвижных нагрузок (балки крановых путей; балки рабочих площадок; балки путей подвесного транспорта; элементы конструкций эстакад, непосредственно воспринимающих нагрузки от подвижных составов; главные балки и ригели рам при динамической нагрузке; пролетные строения галерей; фасонки ферм).
--------------------------------
<*> Конструкция или ее элемент считаются имеющими сварные соединения, если они расположены в местах действия значительных расчетных растягивающих напряжений (

;

или

) либо в местах, где возможно разрушение сварного соединения, например, из-за значительных остаточных напряжений, что может привести к непригодности к эксплуатации конструкции в целом.
<**> Конструкции относятся к подвергающимся воздействию динамических нагрузок, если их расчет производится с использованием динамических коэффициентов.
Группа 2 - Сварные конструкции либо их элементы, работающие при статической нагрузке при наличии растягивающих напряжений (фермы; ригели рам; балки перекрытий и покрытий; косоуры лестниц и другие растянутые, растянуто-изгибаемые и изгибаемые элементы), а также конструкции и их элементы группы 1 при отсутствии сварных соединений.
Группа 3 - Сварные конструкции либо их элементы, работающие при статической нагрузке, преимущественно на сжатие (колонны; стойки; опорные плиты; элементы настила перекрытий; конструкции, поддерживающие технологическое оборудование; вертикальные связи по колоннам с напряжениями в расчетных сечениях связей свыше 0,4Ry, анкерные, несущие и фиксирующие конструкции), а также конструкции и их элементы группы 2 при отсутствии сварных соединений.
Группа 4 - Вспомогательные конструкции зданий и сооружений (связи, кроме указанных в группе 3; лестницы; трапы; площадки; ограждения; вспомогательные элементы сооружений и т.п.); сооружения класса КС-1 (см.
ГОСТ 27751), здания, в которых не предусматривается постоянное пребывание людей (мобильные сборно-разборные и контейнерного типа, временные склады и сооружения с ограниченным сроком службы, шпунтовые ограждения котлованов, временные опоры и т.п.), а также конструкции и их элементы группы 3 при отсутствии сварных соединений.
Примечания
1 При назначении стали для конструкций зданий и сооружений класса КС-3 (см.
ГОСТ 27751) номер группы конструкций следует уменьшать на единицу (для групп 2 - 4).
2 При толщине проката t > 40 мм номер группы конструкций следует уменьшать на единицу (для групп 2 - 4); при толщине проката t <= 6 мм - увеличивать на единицу (для групп 1 - 3).
Л.2 Показатели ударной вязкости проката и труб приведены в
таблице Л.1, требования по химическому составу сталей приведены в
таблицах Л.2 и
Л.3.
Таблица Л.1
Показатели ударной вязкости проката и труб
Исполнение конструкций | Группа конструкций | Нормативное сопротивление стали, Н/мм2 |
Ryn < 290 | 290 <= Ryn < 390 | 390 <= Ryn < 440 | 440 <= Ryn < 540 | Ryn >= 540 |
Показатели <1> ударной вязкости KCV, Дж/см 2 <2>, <3> |
при температуре испытаний на ударный изгиб, °C |
+20 | 0 | -20 | -40 | -40 | -60 | -40 | -60 | -60 |
Обычное | 1; 2; 3 | - | 34 | 34 | + | 34 | + | | 40 | 66 |
4 | | | + | + | + | + | + | + | - |
Северное, зона А | 1 | - | - | - | 34 | 34 | + | | + | 66 |
2; 3 | - | 34 | 34 | + | 34 | + | | + | 66 |
4 | - | 34 | | + | + | + | + | + | - |
Северное, зона Б | 1; 2; 3 | - | - | - | 34 | - | 34 | - | | 66 |
4 | - | - | 34 | + | + | + | + | + | - |
<1> Нормы устанавливаются на основании испытаний на ударный изгиб образцов с острым V-образным надрезом проката с толщиной не менее 5 мм и труб с толщиной стенки не менее 5 мм. В случае толщины элемента менее 5 мм проведение испытаний не требуется. <2> В листовом прокате испытываются поперечные образцы, в широкополосном универсальном, фасонном, сортовом прокате, в трубах и профилях - продольные. <3> В электросварных трубах нормы распространяются на ударную вязкость основного металла, металла сварного шва и границы сплавления. <4> Числитель - нормативные значения для листовой стали и труб; знаменатель - для фасонного проката. <5> Применяются стали С235 без гарантий по ударной вязкости. <6> Для сооружений с ограниченным сроком службы и пребыванием в них людей. Примечания 1 Знак "-" означает, что применение стали с такими гарантиями не допускается. 2 Знак "+" - допускается использовать фактические результаты механических свойств в поставленной партии проката при нормативных значениях KCV-20, KCV-40 - KCV-60 >= 34 Дж/см2, а для сталей с Ryn >= 440 Н/мм2 при KCV-40 - KCV-60 >= 66/34 Дж/см2. |
Таблица Л.2
Требования по химическому составу
Нормативные сопротивления стали, Н/мм2 | Содержание элементов <1>, %, не более | Cэ, %, не более |
C | P | S |
Ryn < 290 | 0,22 | 0,040 | 0,025 | - |
290 <= Ryn < 390 | 0,14 | 0,025 | 0,025 | 0,45 |
390 <= Ryn < 540 | 0,12 | | | 0,46 |
540 <= Ryn < 590 | 0,13 | 0,015 | 0,010 | 0,47 |
Ryn >= 590 | 0,15 | 0,015 | 0,004 | 0,60 |
<1> Предельные отклонения по химическому составу в готовом прокате принимаются по СП 16.13330.2017 (табл. В.2). Примечания 1 Углеродный эквивалент Cэ, %, вычисляют по формуле где C, Mn, Si, Cr, Ni, Cu, V, Nb, Mo, P - массовые доли элементов, %. 2 Для сталей с нормативным сопротивлением 290 <= Ryn < 390 Н/мм2 допускается повышение содержания углерода до 0,17%. 3 Для двутавров с параллельными гранями полок принимают содержание углерода в соответствии с ГОСТ Р 57837 для сталей С345-1 и С355-1 - до 0,18%; стали С390 - до 0,16%; стали С440 - до 0,17%. |
Таблица Л.3
Марки сталей для конструкций групп 1 - 4
Исполнение конструкций | Вид проката | Толщина проката, мм | Марка и категория стали | Нормативный документ |
Обычное | Листовой | 8 - 14 | 15ХСНД | |
10ХСНД | |
16 - 50 | 15ХСНД-2 | |
16 - 40 | 10ХСНД-2 | |
8 - 50 | 15ХСНДА-2 | |
10ХСНДА-2 | |
Фасонный | 8 - 32 | 15ХСНД | |
8 - 14 | 10ХСНД | |
8 - 32 | 09Г2С-12 | |
09Г2СД-2 | |
Листовой, сортовой, фасонный, трубы, гнутые профили | 4 - 60 | 09Г2С-12 | |
09Г2СД-12 | |
Ст3сп, пс-5,6 | |
Ст3пс2 | |
Северное, зона А | Листовой | 8 - 40 | 15ХСНД-2 | |
15ХСНД-3 | |
10ХСНД-2 | |
10ХСНД-3 | |
8 - 50 | 15ХСНДА-3 | |
10ХСНДА-3 | |
Фасонный | 8 - 32 | 15ХСНД-2 | |
8 - 14 | 10ХСНД-2 | |
| 09Г2С(Д)-14 | |
09Г2СД-3 | |
Листовой, фасонный, сортовой, круглые трубы | 4 - 60 | 09Г2С-13 | |
09Г2СД-13 | |
Северное, зона Б | Листовой | 8 - 40 | 10ХСНД-3 | |
| |
Фасонный | 8 - 32 | 15ХСНД-3 | |
8 - 14 | 10ХСНД-3 | |
09Г2СД-15 | |
Листовой, фасонный, сортовой, круглые трубы | 4 - 60 | 09Г2С-15 | |
09Г2СД-15 | |
Л.3 Для конструкций групп 1 - 4 допускается применять также марки сталей, перечисленные в
таблице Л.3.
Л.4 В сооружениях всех назначений обычного и северного исполнения А и Б допускается применять уголки по
ГОСТ 8509 и
ГОСТ 8510 без термообработки - прокат категории I по
ГОСТ 6713 при условии выполнения требований по ударной вязкости: для зоны А при температуре ниже минус 40 °C до минус 50 °C включительно и плюс 20 °C после механического старения, а для зоны Б - при температуре ниже минус 50 °C и минус 20 °C после механического старения.
Л.5 В конструкциях северного исполнения А и Б допускается применять двутавры, тавры и швеллеры без термообработки при условии выполнения требований по ударной вязкости при температуре минус 60 °C и минус 70 °C соответственно.
Допускается применение других марок сталей по своим характеристикам, соответствующим требованиям таблиц в случае проведения для них комплексных исследований свариваемости в соответствии с требованиями
[18].
| Приказ Министерства транспорта РФ от 19 января 2018 г. N 19 "Об утверждении Правил плавания судов по внутренним водным путям" |
| | Рекомендации по организации движения и ограждению мест производства дорожных работ |
| ЕН 12063:2009 | Выполнение специальных геотехнических работ. Шпунтовые стены (Execution of special geotechnical work - Sheet-pile walls) |
| Приказ Федеральной службы по экологическому, технологическому и атомному надзору от 26 ноября 2020 г. N 461 "Об утверждении федеральных норм и правил в области промышленной безопасности "Правила безопасности опасных производственных объектов, на которых используются подъемные сооружения" |
| | Пути наземные рельсовые крановые. Проектирование, устройство и эксплуатация |
| | Комплексное обследование крановых путей грузоподъемных машин. Часть 1. Общие положения. Методические указания |
| | Конструкция, устройство и безопасная эксплуатация рельсовых путей башенных кранов |
| ОСТ 36-132-86 | Лестницы монтажные приставные. Типы. Конструкция и размеры |
| | Инструкция по проектированию морских причальных и берегоукрепительных сооружений |
| | Пособие к СНиП 2.05.03-84 "Мосты и трубы" по изысканиям и проектированию железнодорожных и автодорожных мостовых переходов через водотоки |
| ОСТ 36-128-85 | Устройства и приспособления монтажные. Методы расчета и проектирования |
| | Инструкция по проектированию, строительству и эксплуатации ледовых переправ |
| РД 31.11.21.16-2003 | Правила безопасности морской перевозки грузов |
| | Общие правила проектирования стальных конструкций |
| СТО 36554501-062-2019 | Конструкции стальные. Изготовление и контроль качества |
| | Проектирование и устройство свайных фундаментов и шпунтовых ограждений в условиях реконструкции промышленных предприятий и городской застройки |
[17] | СТО 13657842-1-2009 (Изм. N 2) | Прокат конструкционный низколегированных марок стали для мостостроения. Общие технические требования |
| СТО-ГК "Трансстрой"-012-2018 | Конструкции стальные мостов. Заводское изготовление. Технические условия |
УДК 624.05:006.354 | |
Ключевые слова: мосты, проектирование, строительство, сооружения, устройства, специальные, вспомогательные, требования, нагрузки, основания, фундаменты, шпунтовые ограждения, перемычки, островки, крепления, ящики, эстакады, мостики, ледорезы, карчеотбойники, причалы, якоря, укрытия, подмости, опоры, пирсы, плашкоуты, платформы плавучие, краны, конструкции деревянные, железобетонные, стальные |