Главная // Актуальные документы // ПравилаСПРАВКА
Источник публикации
В данном виде документ опубликован не был.
Первоначальный текст документа опубликован в издании
М.: Минрегион России, 2011.
Информацию о публикации документов, создающих данную редакцию, см. в справке к этим документам.
Примечание к документу
Документ утратил силу полностью с 01.09.2021 в связи признанием утратившим силу
Постановления Правительства РФ от 04.07.2020 N 985.
Документ утратил силу с 08.04.2021, за исключением пунктов, включенных в
Перечень национальных стандартов и сводов правил (частей таких стандартов и сводов правил), в результате применения которых на обязательной основе обеспечивается соблюдение требований Федерального
закона "Технический регламент о безопасности зданий и сооружений", утвержденный
Постановлением Правительства РФ от 04.07.2020 N 985, до внесения соответствующих изменений в указанный Перечень, в связи с изданием
Приказа Минстроя России от 30.12.2020 N 915/пр, утвердившего новый Свод правил
СП 25.13330.2020.
Отдельные положения данного документа включены в
Перечень национальных стандартов и сводов правил (частей таких стандартов и сводов правил), в результате применения которых на обязательной основе обеспечивается соблюдение требований Федерального
закона "Технический регламент о безопасности зданий и сооружений" (
Постановление Правительства РФ от 04.07.2020 N 985).
Документ был включен в
Перечень документов в области стандартизации, в результате применения которых на добровольной основе обеспечивается соблюдение требований Федерального
закона от 30.12.2009 N 384-ФЗ "Технический регламент о безопасности зданий и сооружений" (
Приказ Росстандарта от 02.04.2020 N 687).
Документ включен в
Перечень документов в области стандартизации, в результате применения которых на добровольной основе обеспечивается соблюдение требований Федерального
закона от 30.12.2009 N 384-ФЗ "Технический регламент о безопасности зданий и сооружений" (
Приказ Росстандарта от 17.04.2019 N 831).
Документ включен в
Перечень документов в области стандартизации, в результате применения которых на добровольной основе обеспечивается соблюдение требований Федерального
закона от 30.12.2009 N 384-ФЗ "Технический регламент о безопасности зданий и сооружений" (
Приказ Росстандарта от 30.03.2015 N 365).
Отдельные положения данного документа включены в
Перечень национальных стандартов и сводов правил (частей таких стандартов и сводов правил), в результате применения которых на обязательной основе обеспечивается соблюдение требований Федерального
закона от 30.12.2009 N 384-ФЗ "Технический регламент о безопасности зданий и сооружений" (
Постановление Правительства РФ от 26.12.2014 N 1521).
При применении данного документа следует учитывать, что в соответствии с
пунктом 32 Правил разработки и утверждения сводов правил, утв. Постановлением Правительства РФ от 19.11.2008 N 858, для соблюдения требований технических регламентов и оценки соответствия своды правил применяют после внесения их в перечни национальных стандартов и (или) сводов правил, подлежащие утверждению и опубликованию в установленном порядке.
Название документа
"СП 25.13330.2012. Свод правил. Основания и фундаменты на вечномерзлых грунтах. Актуализированная редакция СНиП 2.02.04-88"
(утв. Приказом Минрегиона России от 29.12.2011 N 622)
(ред. от 25.11.2019)
"СП 25.13330.2012. Свод правил. Основания и фундаменты на вечномерзлых грунтах. Актуализированная редакция СНиП 2.02.04-88"
(утв. Приказом Минрегиона России от 29.12.2011 N 622)
(ред. от 25.11.2019)
развития Российской Федерации
(Минрегион России)
от 29 декабря 2011 г. N 622
СВОД ПРАВИЛ
ОСНОВАНИЯ И ФУНДАМЕНТЫ НА ВЕЧНОМЕРЗЛЫХ ГРУНТАХ
АКТУАЛИЗИРОВАННАЯ РЕДАКЦИЯ
СНиП 2.02.04-88
Soil bases and foundations on permafrost soils
СП 25.13330.2012
| | Список изменяющих документов Минстроя России от 07.11.2016 N 779/пр, Минстроя России от 09.11.2018 N 710/пр, Минстроя России от 24.01.2019 N 42/пр, Минстроя России от 25.11.2019 N 730/пр) | |
ОКС 93.020
Дата введения
1 января 2013 года
Цели и принципы стандартизации в Российской Федерации установлены Федеральным
законом от 27 декабря 2002 г. N 184-ФЗ "О техническом регулировании", а правила разработки -
Постановлением Правительства Российской Федерации от 19 ноября 2008 г. N 858 "О порядке разработки и утверждения сводов правил".
1. Исполнители - Научно-исследовательский, проектно-изыскательский и конструкторско-технологический институт оснований и подземных сооружений им. Н.М. Герсеванова - институт ОАО "НИЦ "Строительство" (НИИОСП им. Н.М. Герсеванова).
2. Внесен Техническим комитетом по стандартизации (ТК 465) "Строительство".
3. Подготовлен к утверждению Департаментом архитектуры, строительства и градостроительной политики.
4. Утвержден
Приказом Министерства регионального развития Российской Федерации (Минрегион России) от 29 декабря 2011 г. N 622 и введен в действие с 1 января 2013 г.
5. Зарегистрирован Федеральным агентством по техническому регулированию и метрологии (Росстандарт). Пересмотр СП 25.13330.2010 "СНиП 2.02.04-88. Основания и фундаменты на вечномерзлых грунтах".
Информация об изменениях к настоящему своду правил публикуется в ежегодно издаваемом информационном указателе "Национальные стандарты", а текст изменений и поправок - в ежемесячно издаваемых информационных указателях "Национальные стандарты". В случае пересмотра (замены) или отмены настоящего свода правил соответствующее уведомление будет опубликовано в ежемесячно издаваемом информационном указателе "Национальные стандарты". Соответствующая информация, уведомление и тексты размещаются также в информационной системе общего пользования - на официальном сайте разработчика (Минрегион России) в сети Интернет.
Настоящий свод правил является актуализированной редакцией
СНиП 2.02.04-88 "Основания и фундаменты на вечномерзлых грунтах". Основанием для разработки нормативного документа является Федеральный
закон от 30 декабря 2009 г. N 384-ФЗ "Технический регламент о безопасности зданий и сооружений".
Актуализация выполнена сотрудниками НИИОСП им. Н.М. Герсеванова - институтом АО "НИЦ "Строительство" (кандидаты техн. наук И.В. Колыбин, О.А. Шулятьев, А.Г. Алексеев - руководители темы; доктора техн. наук Б.В. Бахолдин, Л.Р. Ставницер; кандидаты техн. наук: С.Г. Безволев, Г.И. Бондаренко, О.Н. Исаев, В.Е. Конаш), МГУ им. М.В. Ломоносова (д-р техн. наук Л.Н. Хрусталев и доктора геол.-минерал. наук И.А. Комаров, Л.Т. Роман) и ОАО "Фундаментпроект" (канд. техн. наук В.И. Аксенов и инженер А.В. Иоспа).
(в ред.
Изменения N 1, утв. Приказом Минстроя России от 07.11.2016 N 779/пр)
Изменение N 1 к СП 25.13330.2012 подготовлено АО "НИЦ "Строительство" - НИИОСП им. Н.М. Герсеванова (руководители темы - канд. техн. наук И.В. Колыбин, канд. техн. наук О.А. Шулятьев, канд. техн. наук А.Г. Алексеев; исполнители - д-р техн. наук Б.В. Бахолдин, д-р техн. наук Л.Р. Ставницер; канд. техн. наук С.Г. Безволев, канд. техн. наук Г.И. Бондаренко, канд. техн. наук О.Н. Исаев, канд. техн. наук В.Е. Конаш), МГУ им. М.В. Ломоносова (д-р техн. наук Л.Н. Хрусталев, д-р геол.-минерал. наук И.А. Комаров, д-р геол.-минерал. наук Л.Т. Роман) и ОАО "Фундаментпроект" (канд. техн. наук В.И. Аксенов, инж. А.В. Иоспа).
(абзац введен
Изменением N 2, утв. Приказом Минстроя России от 09.11.2018 N 710/пр)
Изменение N 2 к СП 25.13330.2012 подготовлено АО "НИЦ "Строительство" - НИИОСП им. Н.М. Герсеванова (руководители темы - канд. техн. наук И.В. Колыбин, канд. техн. наук О.А. Шулятьев, канд. техн. наук А.Г. Алексеев; исполнители - канд. техн. наук С.Г. Безволев, канд. техн. наук О.Н. Исаев; инж. П.М. Сазонов) и МГУ им. М.В. Ломоносова (д-р техн. наук Л.Н. Хрусталев).
(абзац введен
Изменением N 2, утв. Приказом Минстроя России от 09.11.2018 N 710/пр)
Изменение N 3 к СП 25.13330.2012 подготовлено авторским коллективом АО "НИЦ "Строительство" - НИИОСП им. Н.М. Герсеванова (руководители темы - канд. техн. наук И.В. Колыбин, канд. техн. наук О.А. Шулятьев, канд. техн. наук А.Г. Алексеев; канд. техн. наук С.Г. Безволев, канд. техн. наук О.Н. Исаев; П.М. Сазонов, А.В. Иоспа) при участии МГУ им. М.В. Ломоносова (д-р техн. наук Л.Н. Хрусталев) и АО "Фундаментпроект" (канд. техн. наук В.И. Аксенов).
(абзац введен
Изменением N 3, утв. Приказом Минстроя России от 24.01.2019 N 42/пр)
Изменение N 4 к СП 25.13330.2012 подготовлено авторским коллективом АО "НИЦ "Строительство" - НИИОСП им. Н.М. Герсеванова (руководители темы - канд. техн. наук И.В. Колыбин, канд. техн. наук О.А. Шулятьев, канд. техн. наук А.Г. Алексеев; П.М. Сазонов, А.А. Чапаев, Э.С. Гречищева) при участии МГУ им. М.В. Ломоносова (д-р геол.-минерал. наук И.А. Комаров).
(абзац введен
Изменением N 4, утв. Приказом Минстроя России от 25.11.2019 N 730/пр)
| | Применение на обязательной основе разд. 1 обеспечивает соблюдение требований Федерального закона от 30.12.2009 N 384-ФЗ "Технический регламент о безопасности зданий и сооружений" (Постановление Правительства РФ от 04.07.2020 N 985). | |
Настоящий свод правил распространяется на проектирование оснований и фундаментов зданий и сооружений, возводимых на территории распространения вечномерзлых (многолетнемерзлых) грунтов.
Настоящий свод правил, кроме
4.1 -
5.7, не распространяется на проектирование оснований гидротехнических сооружений, земляного полотна автомобильных и железных дорог, аэродромных покрытий и фундаментов машин с динамическими нагрузками.
Приказом Минстроя России от 09.11.2018 N 710/пр)
В настоящем своде правил приведены нормативные ссылки на следующие документы:
ГОСТ 34028-2016 Прокат арматурный для железобетонных конструкций. Технические условия
(в ред.
Изменения N 4, утв. Приказом Минстроя России от 25.11.2019 N 730/пр)
ГОСТ 6727-80 Проволока из низкоуглеродистой стали холоднотянутая для армирования железобетонных конструкций. Технические условия
ГОСТ 8732-78 Трубы стальные бесшовные горячедеформированные. Сортамент
ГОСТ 8734-75 Трубы стальные бесшовные холоднодеформированные. Сортамент
ГОСТ 10704-91 Трубы стальные электросварные прямошовные. Сортамент
(ссылка введена
Изменением N 3, утв. Приказом Минстроя России от 24.01.2019 N 42/пр)
ГОСТ 12248-2010 Грунты. Методы лабораторного определения характеристик прочности и деформируемости
ГОСТ 13015-2012 Изделия бетонные и железобетонные для строительства. Общие технические требования. Правила приемки, маркировки, транспортирования и хранения
Ссылка исключена с 25 июля 2019 года. -
Изменение N 3, утв. Приказом Минстроя России от 24.01.2019 N 42/пр.
ГОСТ 19912-2012 Грунты. Методы полевых испытаний статическим и динамическим зондированием
ГОСТ 20276-2012 Грунты. Методы полевого определения характеристик прочности и деформируемости
ГОСТ 20295-85 Трубы стальные сварные для магистральных газонефтепроводов. Технические условия
ГОСТ 20522-2012 Грунты. Методы статистической обработки результатов испытаний
ГОСТ 24846-2012 Грунты. Методы измерения деформаций оснований зданий и сооружений
(в ред.
Изменения N 4, утв. Приказом Минстроя России от 25.11.2019 N 730/пр)
ГОСТ 26262-2014 Грунты. Методы полевого определения глубины сезонного оттаивания
ГОСТ 27217-2012 Грунты. Метод полевого определения удельных касательных сил морозного пучения
ГОСТ 27751-2014 Надежность строительных конструкций и оснований. Основные положения
ГОСТ 27772-2015 Прокат для строительных стальных конструкций. Общие технические условия
ГОСТ 28622-2012 Грунты. Метод лабораторного определения степени пучинистости
ГОСТ Р 52544-2006 Прокат арматурный свариваемый периодического профиля классов A500C и B500C для армирования железобетонных конструкций. Технические условия
ГОСТ Р 56726-2015 Грунты. Метод лабораторного определения удельной касательной силы морозного пучения
(в ред.
Изменения N 4, утв. Приказом Минстроя России от 25.11.2019 N 730/пр)
(в ред.
Изменения N 4, утв. Приказом Минстроя России от 25.11.2019 N 730/пр)
СП 20.13330.2016 "СНиП 2.01.07-85* Нагрузки и воздействия" (с изменениями N 1, N 2)
(в ред.
Изменения N 4, утв. Приказом Минстроя России от 25.11.2019 N 730/пр)
СП 22.13330.2016 "СНиП 2.02.01-83* Основания зданий и сооружений" (с изменениями N 1, N 2)
(в ред.
Изменения N 4, утв. Приказом Минстроя России от 25.11.2019 N 730/пр)
СП 24.13330.2011 "СНиП 2.02.03-85 Свайные фундаменты" (с изменениями N 1, N 2, N 3)
(в ред.
Изменения N 4, утв. Приказом Минстроя России от 25.11.2019 N 730/пр)
СП 28.13330.2017 "СНиП 2.03.11-85 Защита строительных конструкций от коррозии" (с изменением N 1)
(в ред.
Изменения N 4, утв. Приказом Минстроя России от 25.11.2019 N 730/пр)
СП 36.13330.2012 "СНиП 2.05.06-85* Магистральные трубопроводы" (с изменениями N 1, N 2)
(в ред.
Изменения N 4, утв. Приказом Минстроя России от 25.11.2019 N 730/пр)
СП 47.13330.2016 "СНиП 11-02-96 Инженерные изыскания для строительства. Основные положения"
(в ред.
Изменения N 4, утв. Приказом Минстроя России от 25.11.2019 N 730/пр)
СП 63.13330.2018 "СНиП 52-01-2003 Бетонные и железобетонные конструкции. Основные положения"
(в ред.
Изменения N 4, утв. Приказом Минстроя России от 25.11.2019 N 730/пр)
СП 64.13330.2017 "СНиП II-25-80 Деревянные конструкции" (с изменениями N 1, N 2)
(в ред.
Изменения N 4, утв. Приказом Минстроя России от 25.11.2019 N 730/пр)
СП 116.13330.2012 "СНиП 22-02-2003 Инженерная защита территорий, зданий и сооружений от опасных геологических процессов. Основные положения"
(в ред.
Изменения N 4, утв. Приказом Минстроя России от 25.11.2019 N 730/пр)
Примечание - При пользовании настоящим сводом правил целесообразно проверить действие ссылочных документов в информационной системе общего пользования - на официальном сайте федерального органа исполнительной власти в сфере стандартизации в сети Интернет или по ежегодному информационному указателю "Национальные стандарты", который опубликован по состоянию на 1 января текущего года, и по выпускам ежемесячного информационного указателя "Национальные стандарты" за текущий год. Если заменен ссылочный документ, на который дана недатированная ссылка, то рекомендуется использовать действующую версию этого документа с учетом всех внесенных в данную версию изменений. Если заменен ссылочный документ, на который дана датированная ссылка, то рекомендуется использовать версию этого документа с указанным выше годом утверждения (принятия). Если после утверждения настоящего свода правил в ссылочный документ, на который дана датированная ссылка, внесено изменение, затрагивающее положение, на которое дана ссылка, то это положение рекомендуется применять без учета данного изменения. Если ссылочный документ отменен без замены, то положение, в котором дана ссылка на него, рекомендуется применять в части, не затрагивающей эту ссылку. Сведения о действии сводов правил целесообразно проверить в Федеральном информационном фонде стандартов.
4.1. Основания и фундаменты зданий и сооружений
<1>, возводимых на территории распространения многолетнемерзлых грунтов, следует проектировать на основе результатов специальных инженерно-геологических изысканий, включающих специальные геокриологические и гидрогеологические изыскания с учетом конструктивных и технологических особенностей проектируемых сооружений, их теплового и механического взаимодействия с многолетнемерзлыми грунтами оснований и возможных изменений геокриологических условий в результате строительства и эксплуатации сооружений и освоения территории, устанавливаемых по данным инженерных изысканий и теплотехнических расчетов оснований.
--------------------------------
<1> Далее вместо термина "здания и сооружения" используется термин "сооружения", в число которых входят также подземные сооружения.
| | Применение на обязательной основе п. 4.2 (за исключением последнего абз.) обеспечивает соблюдение требований Федерального закона от 30.12.2009 N 384-ФЗ "Технический регламент о безопасности зданий и сооружений" (Постановление Правительства РФ от 04.07.2020 N 985). | |
4.2. Исходные данные для проектирования должны предоставляться в необходимом и достаточном объеме, регистрироваться и интерпретироваться специалистами, обладающими соответствующей квалификацией и опытом.
(в ред.
Изменения N 1, утв. Приказом Минстроя России от 07.11.2016 N 779/пр)
Проектирование должно выполняться квалифицированным персоналом, имеющим соответствующий опыт проектирования и строительства на многолетнемерзлых грунтах. При этом должны быть обеспечены координация и связь между ними и специалистами по инженерным изысканиям.
Используемые материалы и изделия должны удовлетворять требованиям северной строительно-климатической зоны.
(в ред.
Изменения N 1, утв. Приказом Минстроя России от 07.11.2016 N 779/пр)
Абзац исключен с 8 мая 2017 года. -
Изменение N 1, утв. Приказом Минстроя России от 07.11.2016 N 779/пр.
При проектировании оснований и фундаментов на многолетнемерзлых грунтах следует учитывать местные условия строительства, требования к охране окружающей среды, а также имеющийся опыт проектирования, строительства и эксплуатации сооружений в аналогичных условиях.
Выбор строительных площадок и проектных решений оснований и фундаментов следует производить на основании технико-экономического сравнения возможных вариантов с оценкой их по приведенным затратам с учетом надежности.
Не допускается использование восстановленных стальных труб и других бывших в употреблении видов металлоконструкции при проектировании и строительстве зданий и сооружений с нормальным и повышенным уровнем ответственности, а также при строительстве и эксплуатации особо опасных, технически сложных и уникальных объектов.
(абзац введен
Изменением N 1, утв. Приказом Минстроя России от 07.11.2016 N 779/пр)
Техническое обслуживание сооружения при эксплуатации и связанных с ним инженерных систем должно строго выполняться и обеспечивать его безопасность и рабочее состояние на весь срок эксплуатации.
(абзац введен
Изменением N 1, утв. Приказом Минстроя России от 07.11.2016 N 779/пр)
4.3. Инженерные изыскания для строительства на многолетнемерзлых грунтах надлежит проводить в соответствии с
СП 47.13330 и другими нормативными документами по инженерным изысканиям и исследованиям грунтов для строительства. Требования к инженерным изысканиям на многолетнемерзлых грунтах приведены также в
[3].
Проектирование оснований без достаточного инженерно-геологического обоснования не допускается.
| | Применение на обязательной основе п. п. 4.4, 4.5 обеспечивает соблюдение требований Федерального закона от 30.12.2009 N 384-ФЗ "Технический регламент о безопасности зданий и сооружений" (Постановление Правительства РФ от 04.07.2020 N 985). | |
4.4. При возведении нового объекта или реконструкции существующего сооружения на застроенной территории необходимо учитывать его воздействие на окружающую застройку с целью сохранения расчетного температурного режима многолетнемерзлых грунтов прилегающих территорий и предотвращения недопустимых деформаций существующих сооружений.
4.5. Соответствие состояния грунтов основания и фундаментов проектным требованиям при сдаче сооружения в эксплуатацию должно быть подтверждено результатами натурных наблюдений или испытаний, выполненных в период строительства согласно проекту геотехнического мониторинга.
(в ред.
Изменения N 1, утв. Приказом Минстроя России от 07.11.2016 N 779/пр,
Изменения N 3, утв. Приказом Минстроя России от 24.01.2019 N 42/пр)
4.6. При проектировании оснований и фундаментов уникальных зданий и сооружений или их реконструкции, а также сооружений повышенного уровня ответственности, в том числе реконструируемых в условиях окружающей застройки, необходимо предусматривать научно-техническое сопровождение строительства.
(в ред.
Изменения N 1, утв. Приказом Минстроя России от 07.11.2016 N 779/пр)
Научно-техническое сопровождение представляет собой комплекс работ научно-аналитического, методического, информационного, экспертно-контрольного и организационного характера, осуществляемых в процессе изысканий, проектирования и строительства в целях обеспечения надежности сооружений с учетом применения нестандартных расчетных методов, конструктивных и технологических решений.
4.7 Состав работ по научно-техническому сопровождению инженерных изысканий, проектирования и строительства оснований и фундаментов должен определяться генеральным проектировщиком и согласовываться заказчиком строительства. В состав работ научно-технического сопровождения могут быть включены:
разработка рекомендаций к программе инженерно-геологических и инженерно-экологических изысканий;
оценка и анализ материалов инженерных изысканий;
разработка нестандартных методов расчета и анализа;
прогноз состояния оснований и фундаментов проектируемого объекта с учетом всех возможных видов воздействий;
прогноз влияния строительства на окружающую застройку, геологическую среду и экологическую обстановку;
оценка геокриологических рисков;
разработка рекомендаций к проекту геотехнического мониторинга;
разработка технологических регламентов на специальные виды работ;
выполнение научно-исследовательских и опытно-конструкторских работ;
обобщение и анализ результатов всех видов геотехнического мониторинга, их сопоставление с результатами прогноза;
оперативная разработка рекомендаций для корректировки проектных решений на основании данных геотехнического мониторинга при выявлении отклонений от результатов прогноза.
(п. 4.7 в ред.
Изменения N 3, утв. Приказом Минстроя России от 24.01.2019 N 42/пр)
5. Характеристики многолетнемерзлых грунтов оснований
5.1. Подразделение и наименование разновидностей многолетнемерзлых грунтов следует производить в соответствии с
ГОСТ 25100 с учетом особенностей их физико-механических свойств как оснований сооружений.
5.2. По особенностям физико-механических свойств среди многолетнемерзлых грунтов должны выделяться сильнольдистые, засоленные и заторфованные грунты, использование которых в качестве оснований сооружений регламентируется дополнительными требованиями, предусмотренными
разделами 8,
9 и
10, а также твердомерзлые, пластично-мерзлые и сыпучемерзлые грунты, выделяемые согласно 5.3.
5.3. Подразделение грунтов на твердомерзлые, пластично-мерзлые и сыпучемерзлые при проектировании оснований и фундаментов следует производить в зависимости от их состава, температуры и степени заполнения пор льдом и незамерзшей водой в соответствии с
ГОСТ 25100 на момент проведения инженерно-геологических изысканий с учетом температуры грунтов, замеренной в период отбора проб.
(в ред.
Изменения N 4, утв. Приказом Минстроя России от 25.11.2019 N 730/пр)
По сжимаемости грунта под нагрузкой к твердомерзлым следует относить практически несжимаемые грунты с коэффициентом сжимаемости

, к пластично-мерзлым - грунты с коэффициентом сжимаемости

.
(в ред.
Изменения N 4, утв. Приказом Минстроя России от 25.11.2019 N 730/пр)
При отклонении проектных значений среднегодовой температуры грунта на глубине нулевых амплитуд колебаний от природных значений более чем на 0,5 °C требуется уточнение величин деформационных характеристик в соответствии с
ГОСТ 12248.
(абзац введен
Изменением N 4, утв. Приказом Минстроя России от 25.11.2019 N 730/пр)
5.4. Необходимые для расчета оснований и фундаментов физические и деформационно-прочностные характеристики многолетнемерзлых грунтов надлежит определять на основании их непосредственных полевых или лабораторных испытаний.
| | Применение на обязательной основе п. 5.5 обеспечивает соблюдение требований Федерального закона от 30.12.2009 N 384-ФЗ "Технический регламент о безопасности зданий и сооружений" (Постановление Правительства РФ от 04.07.2020 N 985). | |
5.5. В состав определяемых для расчета многолетнемерзлых оснований физических и механических характеристик грунтов помимо характеристик, предусмотренных
СП 22.13330 должны дополнительно входить:
(в ред.
Изменения N 1, утв. Приказом Минстроя России от 07.11.2016 N 779/пр)
а) физические и теплофизические характеристики мерзлых грунтов, определяемые в соответствии с
Приложением Б;
б) деформационные и прочностные характеристики грунтов для расчета мерзлых оснований по деформациям и несущей способности: коэффициент сжимаемости мерзлого грунта

или модуль деформации
Ef (7.2.16), расчетное давление R и сопротивление мерзлого грунта или грунтового раствора сдвигу по поверхности смерзания

и

, сопротивление сдвигу льда по поверхности смерзания с грунтом или грунтовым раствором
(7.2.3), сопротивление мерзлого грунта под нижним концом
Rc и по боковой поверхности смерзания
Rafc, рассчитанные по данным полевых испытаний в случае их выполнения;
(в ред.
Изменения N 1, утв. Приказом Минстроя России от 07.11.2016 N 779/пр,
Изменения N 3, утв. Приказом Минстроя России от 24.01.2019 N 42/пр)
в) деформационные характеристики грунтов для расчета оттаивающего основания по деформациям: коэффициенты оттаивания

и сжимаемости при оттаивании

грунта
(7.3.8);
(в ред.
Изменения N 1, утв. Приказом Минстроя России от 07.11.2016 N 779/пр)
г) прочностные характеристики для мерзлых грунтов и их контактов

и

определяются по результатам длительных испытаний,

и

- по результатам неконсолидированно-недренированного и консолидированно-недренированного среза оттаивающего грунта. Для уникальных сооружений прочностные характеристики мерзлых грунтов
cL и

, а также деформационные характеристики
Ef и

допускается определять по результатам длительных испытаний методом трехосного сжатия;
(в ред.
Изменения N 1, утв. Приказом Минстроя России от 07.11.2016 N 779/пр,
Изменения N 4, утв. Приказом Минстроя России от 25.11.2019 N 730/пр)
д) характеристики грунтов слоя сезонного промерзания-оттаивания для расчета оснований и фундаментов на воздействие сил морозного пучения грунтов (
7.4.3 и
7.4.6): относительная деформация морозного пучения

, расчетная удельная касательная сила пучения

и удельное нормальное давление пучения грунта на подошву фундамента

, а также характеристики мерзлых грунтов для расчета оснований на горизонтальные статические и сейсмические воздействия (
11.5 и
11.6). Нормальное давление морозного пучения допускается определять в лабораторных условиях в установках без возможности бокового расширения. Определяются максимальное нормальное давление морозного пучения, деформация морозного пучения без приложения нормального давления, а также величины деформации морозного пучения при двух промежуточных величинах нормального давления между максимальным и нулевым. По результатам испытаний строят график нормального давления от относительной деформации морозного пучения. Величину нормального давления принимают по графику на основании данных о нагрузках и деформациях от сооружения. Допускается принимать величину нормальной силы морозного пучения по одному значению, определяемому в лабораторных условиях при приложении фактической нагрузки от сооружения на образец.
(в ред.
Изменения N 4, утв. Приказом Минстроя России от 25.11.2019 N 730/пр)
При необходимости следует определять и другие характеристики мерзлых грунтов, характеризующие особенности их состояния или взаимодействия с фундаментами (вид криогенной текстуры, коэффициент вязкости

, эквивалентное сцепление

, скорость вязкопластического течения льда

, относительная деформация морозного пучения, нормальные и касательные силы морозного пучения, удельное отрицательное трение оттаивающего грунта на боковой поверхности

и т.п.).
| | Применение на обязательной основе п. 5.6 обеспечивает соблюдение требований Федерального закона от 30.12.2009 N 384-ФЗ "Технический регламент о безопасности зданий и сооружений" (Постановление Правительства РФ от 04.07.2020 N 985). | |
5.6. Нормативные значения характеристик грунта следует устанавливать для выделенных при изысканиях инженерно-геологических элементов на основании статистической обработки результатов экспериментальных определений с учетом предусмотренного проектом состояния и температуры грунтов основания.
(в ред.
Изменения N 1, утв. Приказом Минстроя России от 07.11.2016 N 779/пр)
| | Применение на обязательной основе п. 5.7 обеспечивает соблюдение требований Федерального закона от 30.12.2009 N 384-ФЗ "Технический регламент о безопасности зданий и сооружений" (Постановление Правительства РФ от 04.07.2020 N 985). | |
5.7. Расчетные значения характеристик грунта определяются по формуле

, (5.1)
где

и

- соответственно расчетное и нормативное значения данной характеристики;

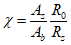
- коэффициент надежности по грунту, определяемый согласно указаниям 5.8.
5.8. Коэффициент надежности по грунту

определяется в соответствии с
ГОСТ 20522 с учетом вида (назначения) определяемой расчетной характеристики, состояния грунтов в основании сооружения и доверительной вероятности

.
При определении расчетных значений деформационных и прочностных характеристик грунтов, используемых в качестве основания в мерзлом состоянии (принцип I), коэффициент надежности по грунту

устанавливается при доверительной вероятности

, принимаемой равной 0,85, а для оснований опор мостов и линий электропередачи - 0,9.
(в ред.
Изменения N 1, утв. Приказом Минстроя России от 07.11.2016 N 779/пр)
При определении расчетных значений деформационных и прочностных характеристик грунтов, используемых в качестве основания в оттаивающем или оттаянном состоянии (принцип II), коэффициент надежности по грунту

следует устанавливать:
а) для расчета оттаивающих оснований по деформациям с учетом совместной работы сооружения (фундаментов) и деформируемого основания
(7.3.5) - при доверительной вероятности

, принимаемой в соответствии с нормами проектирования конструкций сооружения, но не менее 0,95;
(в ред.
Изменения N 1, утв. Приказом Минстроя России от 07.11.2016 N 779/пр)
б) для расчета оттаивающих оснований по деформациям без учета совместной работы основания и сооружения
(7.3.4), а также при предварительном оттаивании грунтов
(7.3.10) - при доверительной вероятности

, принимаемой согласно
СП 22.13330.
При определении расчетных значений физических и теплофизических характеристик грунтов коэффициент надежности по грунту

допускается принимать равным 1,0.
5.9. Для расчета оснований сооружений пониженного уровня ответственности и сооружений нормального уровня ответственности габаритными размерами не более 24 м, расположенных на геокриологически изученных площадках, сложенных незасоленными грунтами без органических включений, при отсутствии опасных геокриологических процессов, возводимых с сохранением мерзлого состояния грунтов, а также для выполнения предварительных расчетов оснований и привязки типовых проектов к местным условиям, расчетные значения прочностных характеристик мерзлых грунтов R,

,

и

допускается принимать по их физическим характеристикам, составу и температуре в соответствии с табличными данными, приведенными в
Приложении В; расчетные значения теплофизических характеристик грунтов в этих случаях допускается принимать по таблицам
Приложения Б. При применении цементно-песчаного раствора в качестве заполнителя свободного пространства между стенкой скважины и поверхностью сваи при буроопускном способе погружения свай расчетное сопротивление цементно-песчаного раствора сдвигу по поверхности смерзания со сваей
Raf и сопротивление грунтов сдвигу по цементно-песчаному раствору
Raf необходимо определять по результатам лабораторных или полевых испытаний.
(в ред.
Изменения N 2, утв. Приказом Минстроя России от 09.11.2018 N 710/пр)
Примечание. Здесь и далее уровень ответственности сооружений принят согласно
ГОСТ 27751.
(в ред.
Изменения N 1, утв. Приказом Минстроя России от 07.11.2016 N 779/пр)
6. Основные положения проектирования
оснований и фундаментов
6.1. Принципы использования многолетнемерзлых грунтов
в качестве основания
6.1.1. При строительстве на многолетнемерзлых грунтах в зависимости от конструктивных и технологических особенностей зданий и сооружений, инженерно-геокриологических условий и возможности целенаправленного изменения свойств грунтов основания применяется один из следующих принципов использования многолетнемерзлых грунтов в качестве основания сооружений:
принцип I - многолетнемерзлые грунты основания используются в мерзлом или промораживаемом состоянии, сохраняемом в процессе строительства и в течение всего периода эксплуатации сооружения;
(в ред.
Изменения N 4, утв. Приказом Минстроя России от 25.11.2019 N 730/пр)
принцип II - многолетнемерзлые грунты основания используются в оттаянном или оттаивающем состоянии (с их предварительным оттаиванием на расчетную глубину до начала возведения сооружения или с допущением их оттаивания в период эксплуатации сооружения).
| | Применение на обязательной основе п. 6.1.2 обеспечивает соблюдение требований Федерального закона от 30.12.2009 N 384-ФЗ "Технический регламент о безопасности зданий и сооружений" (Постановление Правительства РФ от 04.07.2020 N 985). | |
6.1.2. Принцип I следует применять, если грунты основания можно сохранить в мерзлом состоянии при экономически целесообразных затратах на мероприятия, обеспечивающие сохранение такого состояния. На участках с твердомерзлыми грунтами, а также при повышенной сейсмичности района следует принимать использование многолетнемерзлых грунтов по принципу I.
(в ред.
Изменения N 1, утв. Приказом Минстроя России от 07.11.2016 N 779/пр)
При строительстве на пластично-мерзлых грунтах следует предусматривать мероприятия по понижению температуры грунтов (
6.3.1 -
6.3.4) до установленных расчетом значений, а также учитывать в расчетах оснований пластические деформации этих грунтов под нагрузкой согласно указаниям
7.2.15 -
7.2.17.
(в ред.
Изменения N 1, утв. Приказом Минстроя России от 07.11.2016 N 779/пр)
| | Применение на обязательной основе п. 6.1.3 обеспечивает соблюдение требований Федерального закона от 30.12.2009 N 384-ФЗ "Технический регламент о безопасности зданий и сооружений" (Постановление Правительства РФ от 04.07.2020 N 985). | |
6.1.3. Принцип II следует применять при наличии в основании скальных или других малосжимаемых грунтов, деформации которых при оттаивании не превышают предельно допустимых значений для проектируемого сооружения, при несплошном распространении многолетнемерзлых грунтов, а также в тех случаях, когда по техническим и конструктивным особенностям сооружения и инженерно-геокриологическим условиям участка при сохранении мерзлого состояния грунтов основания не обеспечивается требуемый уровень надежности строительства.
6.1.4. Выбор принципа использования многолетнемерзлых грунтов в качестве основания сооружений, а также способов и средств, необходимых для обеспечения принятого в проекте температурного режима грунтов, следует производить на основании сравнительных технико-экономических расчетов.
6.1.5. В пределах застраиваемой территории (промышленный узел, поселок, городской микрорайон и т.д.) надлежит предусматривать, как правило, один принцип использования многолетнемерзлых грунтов в качестве оснований. Это требование следует учитывать также при проектировании новых и реконструкции существующих зданий и сооружений на застроенной территории, размещении мобильных (временных) зданий и прокладке инженерно-технических сетей.
Применение разных принципов использования многолетнемерзлых грунтов в пределах застраиваемой территории допускается на обособленных по рельефу и другим природным условиям участках, а в необходимых случаях - на природно-необособленных участках, если предусмотрены и подтверждены расчетом специальные меры по обеспечению расчетного теплового режима грунтов в основании соседних зданий, возведенных (или возводимых) по принципу I (резервирование зон безопасности, устройство мерзлотных и противофильтрационных завес и т.п.).
6.1.6. Линейные сооружения допускается проектировать с применением на отдельных участках трассы разных принципов использования многолетнемерзлых грунтов в качестве основания. При этом следует предусматривать меры по приспособлению их конструкций к неравномерным деформациям основания в местах перехода от одного участка к другому, а при прокладке их в пределах застраиваемой территории следует соблюдать требования, предусмотренные
6.1.5.
6.2. Глубина заложения фундаментов
6.2.1. Глубина заложения фундаментов, считая от уровня планировки (подсыпки или срезки), назначается с учетом требований
СП 22.13330 и принятого принципа использования многолетнемерзлых грунтов в качестве основания сооружения и должна проверяться расчетом по устойчивости фундаментов на действие сил морозного пучения грунтов согласно указаниям
7.4.2 и
7.4.6.
6.2.2. При использовании многолетнемерзлых грунтов в качестве основания по принципу I минимальную глубину заложения фундаментов

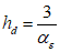
рекомендуется принимать по таблице 6.1 в зависимости от расчетной глубины сезонного оттаивания грунта

, определяемой согласно
Приложению Г.
Таблица 6.1
Фундаменты | Минимальная глубина заложения фундаментов dmin, м |
Фундаменты всех типов, кроме свайных | dth + 1 |
Свайные фундаменты зданий и сооружений | dth + 2 |
Сваи опор мостов | dth + 4 |
Фундаменты зданий и сооружений, возводимых на подсыпках | Не нормируется |
6.2.3. При использовании многолетнемерзлых грунтов в качестве основания по принципу II минимальную глубину заложения фундаментов

следует принимать в соответствии с требованиями
СП 22.13330 в зависимости от расчетной глубины сезонного промерзания грунта

, определяемой согласно
Приложению Г, и уровня подземных вод, который принимается с учетом образования под сооружением зоны оттаивания грунта.
Допускается закладывать фундаменты в слое сезонного промерзания-оттаивания грунта, если это обосновано расчетом оснований и фундаментов
(7.4.6).
Допускается устройство фундаментов малоэтажных зданий на поверхности грунта или на подсыпке при обосновании расчетом по второй группе предельных состояний, учитывающим возможное оттаивание грунтов и морозное пучение слоя сезонного промерзания-оттаивания.
(абзац введен
Изменением N 1, утв. Приказом Минстроя России от 07.11.2016 N 779/пр. в ред.
Изменения N 2, утв. Приказом Минстроя России от 09.11.2018 N 710/пр)
6.3. Устройство оснований и фундаментов
при использовании многолетнемерзлых грунтов по принципу I
| | Применение на обязательной основе п. 6.3.1 обеспечивает соблюдение требований Федерального закона от 30.12.2009 N 384-ФЗ "Технический регламент о безопасности зданий и сооружений" (Постановление Правительства РФ от 04.07.2020 N 985). | |
6.3.1. При использовании многолетнемерзлых грунтов в качестве оснований сооружений по принципу I для сохранения мерзлого состояния грунтов основания и обеспечения их расчетного теплового режима в проектах оснований и фундаментов необходимо предусматривать: устройство вентилируемых подполий или холодных первых этажей зданий
(6.3.2), укладку в основании сооружения вентилируемых труб, каналов или применение вентилируемых фундаментов
(6.3.3), установку сезонно действующих охлаждающих устройств жидкостного или парожидкостного типов - СОУ
(6.3.4), а также осуществление других мероприятий (теплозащитные экраны и др.) по устранению или уменьшению теплового воздействия сооружения на мерзлые грунты основания.
Выбор одного или сочетания нескольких мероприятий должен производиться на основании расчетов: прогнозного (на период строительства и эксплуатации) теплотехнического, устойчивости и несущей способности с учетом конструктивных и технологических особенностей сооружения, опыта местного строительства и экономической целесообразности.
(в ред.
Изменения N 2, утв. Приказом Минстроя России от 09.11.2018 N 710/пр)
6.3.2. Вентилируемые подполья с естественной или побудительной вентиляцией следует применять для сохранения мерзлого состояния грунтов в основаниях жилых и промышленных зданий и сооружений, в том числе сооружений с повышенными тепловыделениями. Требуемый тепловой режим вентилируемого подполья устанавливается теплотехническим расчетом согласно
Приложению Д.
Подполья в соответствии с теплотехническим расчетом и условиями снегозаносимости допускается устраивать открытыми, с вентилируемыми или закрытыми продухами в цоколе здания; при необходимости у продухов следует устраивать вытяжные или приточные трубы, располагая воздухозаборные отверстия выше наибольшего уровня снегового покрова. Закрытые подполья, а также холодные первые этажи зданий следует устраивать при ширине зданий до 15 м и среднегодовых температурах грунта ниже минус 2 °C.
(в ред.
Изменения N 1, утв. Приказом Минстроя России от 07.11.2016 N 779/пр)
Высота подполья должна приниматься по условиям обеспечения его вентилирования, но не менее 1,2 м от поверхности грунта в подполье до низа выступающих конструкций перекрытия; при размещении в подполье коммуникаций - по условиям свободного к ним доступа, но не менее 1,4 м. Под отдельными участками сооружения шириной до 6 м при отсутствии в них коммуникаций и фундаментов высоту подполья допускается уменьшать до 0,6 м.
Поверхность грунта в подполье должна быть спланирована с уклонами в сторону наружных отмосток или водосборов, обеспечивающих беспрепятственный отвод воды от сооружения, и иметь твердое покрытие. Допускается применять гибкие водонепроницаемые покрытия с осуществлением мероприятий по сохранению их целостности в период эксплуатации. При устройстве покрытий следует обеспечить гидроизоляцию на контакте свай (фундамента) с материалом покрытия.
(в ред.
Изменения N 1, утв. Приказом Минстроя России от 07.11.2016 N 779/пр,
Изменения N 4, утв. Приказом Минстроя России от 25.11.2019 N 730/пр)
Инженерные тепловыделяющие коммуникации, размещаемые в вентилируемом подполье, должны быть теплоизолированы.
| | Применение на обязательной основе п. 6.3.3 обеспечивает соблюдение требований Федерального закона от 30.12.2009 N 384-ФЗ "Технический регламент о безопасности зданий и сооружений" (Постановление Правительства РФ от 04.07.2020 N 985). | |
6.3.3. Вентилируемые трубы или каналы, а также вентилируемые фундаменты можно устраивать с естественной или побудительной вентиляцией и их следует применять для сохранения мерзлого состояния грунтов в основании сооружений с полами по грунту, при устройстве свайных фундаментов, малозаглубленных или поверхностных фундаментов на подсыпках, а также мобильных зданий и зданий в комплектно-блочном исполнении.
(в ред.
Изменения N 1, утв. Приказом Минстроя России от 07.11.2016 N 779/пр,
Изменения N 4, утв. Приказом Минстроя России от 25.11.2019 N 730/пр)
Вентилируемые трубы, каналы и вентилируемые фундаменты следует укладывать выше уровня подземных вод в пределах подсыпки из непучинистого грунта с уклонами в сторону объединительных коллекторов. Для уменьшения теплопритока в грунт и высоты подсыпки под полами сооружения следует предусматривать укладку тепло- и гидроизоляции.
(в ред.
Изменения N 1, утв. Приказом Минстроя России от 07.11.2016 N 779/пр)
Теплотехнический расчет оснований при использовании указанных систем охлаждения грунтов следует производить согласно указаниям
7.2.9.
| | Применение на обязательной основе п. п. 6.3.4, 6.3.5 обеспечивает соблюдение требований Федерального закона от 30.12.2009 N 384-ФЗ "Технический регламент о безопасности зданий и сооружений" (Постановление Правительства РФ от 04.07.2020 N 985). | |
6.3.4. Сезонно действующие охлаждающие устройства следует применять для сохранения мерзлого состояния грунтов оснований, для повышения несущей способности опор линейных сооружений в пластично-мерзлых грунтах, а также для создания ледогрунтовых завес, восстановления нарушенного при эксплуатации сооружения теплового режима грунтов в его основании и в других целях.
6.3.5. Для сокращения сроков строительства и повышения расчетных нагрузок на фундаменты следует предусматривать предварительное (до возведения сооружения) охлаждение высокотемпературных и пластично-мерзлых грунтов (путем очистки поверхности от снега, с помощью СОУ и т.д.) при последующем поддержании расчетного температурного режима грунтов за счет постоянно действующих охлаждающих устройств.
6.3.6. На участках, где слой сезонного промерзания-оттаивания не сливается с многолетнемерзлым грунтом, необходимо предусматривать меры по стабилизации или поднятию верхней поверхности многолетнемерзлого грунта до расчетного уровня путем предварительного охлаждения и промораживания грунтов основания. Глубину заложения фундаментов при этом следует определять расчетом, но принимать не менее 2 м от верхней поверхности многолетнемерзлого грунта. Допускается закладывать фундаменты в пределах немерзлого слоя грунта, если это обосновано расчетом основания.
6.3.7. При использовании многолетнемерзлых грунтов в качестве оснований по принципу I могут применяться свайные, столбчатые и другие типы фундаментов, в том числе фундаменты на искусственных (насыпных и намывных) основаниях. Выбор типа фундамента и способа устройства основания устанавливается проектом в зависимости от инженерно-геокриологических условий строительства, конструктивных особенностей сооружения и технико-экономической целесообразности.
6.3.8. Конструкции фундаментов должны удовлетворять требованиям, предъявляемым к материалу фундаментов по прочности в соответствии с требованиями
СП 24.13330,
СП 28.13330,
СП 35.13330, а элементы фундаментов, находящиеся в пределах слоя сезонного промерзания и оттаивания грунта и выше, - также требованиям по морозостойкости, водонепроницаемости и устойчивости к воздействию агрессивных сред в соответствии с требованиями
СП 28.13330 и
СП 35.13330.
Стальные сваи следует проектировать из стальных прямошовных и бесшовных труб в соответствии с
ГОСТ 20295,
ГОСТ 10704,
ГОСТ 8732 и их аналогов. Электросварные прямошовные трубы должны пройти объемную термическую обработку.
(в ред.
Изменения N 4, утв. Приказом Минстроя России от 25.11.2019 N 730/пр)
Для зданий и сооружений повышенного уровня ответственности следует использовать бесшовные трубы в соответствии с
ГОСТ 8732 и
ГОСТ 8734, допускается применять электросварные прямошовные трубы с объемной термической обработкой при выполнении исследований, подтверждающих возможность их применения.
(в ред.
Изменения N 4, утв. Приказом Минстроя России от 25.11.2019 N 730/пр)
Назначение марок и категорий сталей труб следует осуществлять в соответствии с требованиями
СП 16.13330.
(в ред.
Изменения N 3, утв. Приказом Минстроя России от 24.01.2019 N 42/пр)
Металлические и деревянные конструкции фундаментов в слое сезонного промерзания и оттаивания грунта должны быть защищены от коррозии и гниения. Антикоррозионную защиту следует выполнять для всех металлических поверхностей подземных конструкций в слое сезонного промерзания-оттаивания и ниже на 1 м. Для забиваемых свай антикоррозионная защита должна быть устойчивой к механическому воздействию. Возможность применения антикоррозионной защиты должна быть подтверждена лабораторными и полевыми исследованиями. В случаях, когда слой сезонного промерзания-оттаивания грунта не сливается с многолетнемерзлыми грунтами, следует также выполнять антикоррозионную защиту свай до глубины на 1 м ниже отметки залегания кровли многолетнемерзлых пород.
(в ред.
Изменения N 3, утв. Приказом Минстроя России от 24.01.2019 N 42/пр)
Для железобетонных конструкций, сооружаемых в холодном климате и на вечномерзлых грунтах, следует применять тяжелый бетон со средней плотностью 2200 - 2500 кг/м3, который в зависимости от условий работы отвечает требованиям по прочности, морозостойкости и водонепроницаемости, изложенным в таблице 6.2.
Таблица 6.2
Требования к бетону по прочности,
морозостойкости и водонепроницаемости
Группа конструкций | Условия работы конструкции | Минимальный класс бетона по прочности на сжатие B | Минимальные марки бетона | Минимальное воздухововлечение, % |
Характеристика режима работы | Расчетная зимняя температура наружного воздуха | по морозостойкости F | по водонепроницаемости W |
1 | Железобетонные конструкции, расположенные в сезонно-оттаивающем слое грунта и подвергающиеся попеременному замораживанию и оттаиванию в водонасыщенном состоянии | Ниже минус 40 °C | 35 | 400 | 10 | 4 |
Ниже минус 0 °C до минус 40 °C включ. | 30 | 200 | 8 | 4 |
2 | Наземные железобетонные конструкции, подвергающиеся воздействию атмосферных осадков и попеременному замораживанию и оттаиванию | Ниже минус 40 °C | 30 | 200 | 8 | 4 |
Ниже минус 20 °C до минус 40 °C включ. | 25 | 150 | 6 | 4 |
3 | Железобетонные конструкции, защищенные от атмосферных осадков и подвергающиеся замораживанию и оттаиванию | Ниже минус 40 °C | 25 | 150 | 6 | - |
Ниже минус 20 °C до минус 40 °C включ. | 25 | 150 | 6 | - |
Примечания 1 Расчетная зимняя температура наружного воздуха принимается по средней температуре воздуха наиболее холодной пятидневки в зависимости от района строительства согласно СП 131.13330. 2 Марки по морозостойкости и водонепроницаемости для конструкций водоснабжения и канализации, а также для свай и свай-оболочек следует устанавливать согласно требованиям соответствующих нормативных документов. 3 В случае присутствия хлоридов в надмерзлотных водах для обеспечения защиты стальной арматуры от коррозии марку бетона по водонепроницаемости и толщину защитного слоя бетона устанавливают по таблице Г.1 СП 28.13330. 4 При проектировании сооружений с полами по грунту для железобетонных конструкций фундаментов группы 1 следует применять бетон, отвечающий требованиям по прочности, морозостойкости и водонепроницаемости, указанным в строке для температур наружного воздуха ниже 0 °C до минус 40 °C включительно. |
(примечание 4 введено Изменением N 4, утв. Приказом Минстроя России от 25.11.2019 N 730/пр) |
В условиях холодного климата следует применять следующую стальную арматуру:
- горячекатаную гладкую класса А-I(А240) по
ГОСТ 34028;
(в ред.
Изменения N 4, утв. Приказом Минстроя России от 25.11.2019 N 730/пр)
- горячекатаную кольцевого периодического профиля классов А-II(А300), А-III(А400) по
ГОСТ 34028;
(в ред.
Изменения N 4, утв. Приказом Минстроя России от 25.11.2019 N 730/пр)
- термомеханически упрочненную серповидного профиля классов А500С по
ГОСТ Р 52544;
- термомеханически упрочненную и горячекатаную серповидного профиля класса А500С по
ГОСТ Р 52544;
- холоднодеформированную волочением с последующей накаткой периодического профиля класса Вр-1 по
ГОСТ 6727;
- холоднодеформированную прокаткой периодического профиля класса В500С по
ГОСТ Р 52544.
Преимущественно рекомендуется применять арматуру с гарантией ударной вязкости северного исполнения горячекатаную класса Ас-II(Ас300) по
ГОСТ 34028 и термомеханически упрочненную класса Ас500С по
ГОСТ 13015.
(в ред.
Изменения N 4, утв. Приказом Минстроя России от 25.11.2019 N 730/пр)
При низкой температуре до минус 60 °C увеличивается предел текучести арматуры в среднем на 8% - 10% и модуль упругости арматуры на 2% - 3%, но эти данные допускается не учитывать в расчете железобетонных конструкций, и расчетные сопротивления и модуль упругости принимают по
[5].
(п. 6.3.8 в ред.
Изменения N 1, утв. Приказом Минстроя России от 07.11.2016 N 779/пр)
6.3.9. Ленточные и столбчатые фундаменты должны быть выполнены из монолитного или сборного железобетона. Для зданий, строящихся с использованием оснований фундаментов по принципу I, предпочтительно использовать сборные элементы фундамента.
Ленточные и столбчатые фундаменты под малоэтажные здания допускается не заглублять в грунт, а располагать на подсыпке или в теле подсыпки. Подсыпка выполняется из крупноскелетного непучинистого материала. Для определения глубины оттаивания следует проводить теплотехнический расчет и расчет по второй группе предельных состояний и, при необходимости, применить слой теплоизоляции под сооружением в теле подсыпки.
(в ред.
Изменения N 2, утв. Приказом Минстроя России от 09.11.2018 N 710/пр)
При устройстве свайных фундаментов в многолетнемерзлых грунтах допускается применять виды и конструкции свай, предусмотренные
СП 24.13330, в том числе буронабивные, сваи-оболочки, а также составные (комбинированные) сваи из разных материалов.
(п. 6.3.9 в ред.
Изменения N 1, утв. Приказом Минстроя России от 07.11.2016 N 779/пр)
6.3.10. В проекте свайных фундаментов должны быть указаны способы погружения свай, а также температурные условия, при которых разрешается нагружение свай.
(в ред.
Изменения N 1, утв. Приказом Минстроя России от 07.11.2016 N 779/пр)
Полые сваи и сваи-оболочки, не требующие по расчету бетонного заполнителя, следует заполнять бетоном класса не ниже B7,5 или раствором марки М100, а в пределах слоя сезонного промерзания-оттаивания и выше - бетоном класса не ниже B15 с соблюдением требований по предотвращению образования трещин, кроме опор мостов, при устройстве которых в зоне воздействия знакопеременных температур следует руководствоваться требованиями
СП 24.13330.
(в ред.
Изменения N 3, утв. Приказом Минстроя России от 24.01.2019 N 42/пр)
При устройстве буронабивных свай в многолетнемерзлых грунтах, используемых в качестве оснований по принципу I, применение химических добавок для ускорения твердения бетона, уложенного в распор с мерзлым грунтом не допускается.
(в ред.
Изменения N 1, утв. Приказом Минстроя России от 07.11.2016 N 779/пр)
6.3.11. По условиям применимости и способам погружения в многолетнемерзлый грунт сваи подразделяются на:
а) буроопускные - сваи сплошные и полые, свободно погружаемые в скважины, диаметр которых превышает (не менее чем на 5 см) размер их наибольшего поперечного сечения, с заполнением свободного пространства раствором цементно-песчаным, глинисто-песчаным, известково-песчаным или другого состава по проекту, принимаемым по условиям обеспечения заданной прочности смерзания сваи с грунтом; допускаются к применению в любых грунтах при средней температуре грунта по длине сваи минус 0,5 °C и ниже, полезную нагрузку на буроопускную сваю можно передавать только после восстановления расчетного распределения температур по глубине;
(в ред.
Изменения N 3, утв. Приказом Минстроя России от 24.01.2019 N 42/пр)
б) опускные - сваи сплошные и полые, свободно (или с пригрузом) погружаемые в оттаянный грунт в зоне диаметром до двух наибольших поперечных размеров сваи; допускаются к применению в твердомерзлых грунтах песчаных и глинистых, содержащих не более 15% крупнообломочных включений, при средней температуре грунта по длине сваи не выше минус 1,5 °C;
в) бурозабивные (забивные) - сваи сплошные и полые, рассчитанные на восприятие ударных нагрузок и погружаемые забивкой в лидерные скважины (без лидерных скважин), диаметр которых меньше наибольшего поперечного сечения сваи; допускаются к применению в пластично-мерзлых грунтах с содержанием крупнообломочных включений до 10% на основании пробных погружений свай на данной площадке;
г) бурообсадные - полые сваи и сваи-оболочки, погружаемые в грунт путем его разбуривания в забое через полость сваи с периодическим осаживанием погружаемой сваи; применяются при устройстве свайных фундаментов в сложных инженерно-геокриологических условиях и при наличии межмерзлотных подземных вод;
д) винтовые - полые сваи с винтом или одной или несколькими лопастями, погружаемые завинчиванием с контролируемым вдавливанием в лидерные скважины (без лидерных скважин), диаметр которых меньше наибольшего поперечного сечения ствола сваи; допускаются к применению в пластично-мерзлых грунтах с содержанием крупнообломочных включений до 10% на основании пробных погружений свай на данной площадке.
(перечисление "д" введено
Изменением N 1, утв. Приказом Минстроя России от 07.11.2016 N 779/пр)
Допускается применять другие способы погружения или устройства свай в многолетнемерзлые грунты: буронабивные, буроинъекционные и др., если это не приводит к недопустимому повышению температуры грунтов основания и недопустимому понижению несущей способности свай, что должно быть подтверждено полевыми испытаниями, экспериментальными данными и теплотехническим расчетом. При устройстве буронабивных, буроинъекционных свай должны изготовляться опытные сваи, в которых контролируется набор прочности тела сваи, определяются сопротивление мерзлого грунта сдвигу по бетону, температура по длине сваи и ее сплошность, а также проводятся испытания данных свай на действующие при эксплуатации вдавливающие, выдергивающие и горизонтальные нагрузки. Количество испытаний должно составлять не менее двух испытаний для каждого характерного геологического разреза и типоразмера сваи.
(в ред.
Изменения N 1, утв. Приказом Минстроя России от 07.11.2016 N 779/пр,
Изменения N 4, утв. Приказом Минстроя России от 25.11.2019 N 730/пр)
| | Применение на обязательной основе п. 6.3.12 обеспечивает соблюдение требований Федерального закона от 30.12.2009 N 384-ФЗ "Технический регламент о безопасности зданий и сооружений" (Постановление Правительства РФ от 04.07.2020 N 985). | |
6.3.12. Расстояние между осями свай следует принимать равным:
для буроопускных и бурообсадных свай - не менее двух диаметров скважины при ее диаметре до 1 м включительно и не менее диаметра скважины плюс 1 м при ее диаметре 1 м и более;
для опускных, бурозабивных и забивных свай - не менее трех наибольших размеров поперечного сечения сваи.
Размещение свай в плане, их число, размеры и способы устройства ростверков назначаются в зависимости от конструкции здания, размещения технологического оборудования и нагрузок на фундаменты в соответствии с требованиями
СП 24.13330 с учетом расчетной несущей способности свай, определяемой согласно
7.2.2, высоты холодного подполья
(6.3.2) и температурно-влажностных воздействий; укладка ростверков по грунту или с зазором менее 0,15 м от поверхности грунта, а для устоев мостов - менее 0,5 м не допускается.
Проходку лидерных скважин для установки буроопускных свай допускается выполнять с помощью струйной технологии при условии отсутствия в геологическом строении валунов размерами, сопоставимыми с диаметром скважин. Вода должна иметь положительную температуру, в летний период - это температура наружного воздуха (но не ниже 10 °C), в зимний период воду следует подогревать до 20 °C - 40 °C в зависимости от температуры наружного воздуха. Диаметр скважины должен превышать минимум на 5 см наибольший размер поперечного сечения сваи.
(абзац введен
Изменением N 4, утв. Приказом Минстроя России от 25.11.2019 N 730/пр)
Несущую способность винтовых свай по грунту следует определять по результатам полевых испытаний, учитывающих реологические свойства мерзлых грунтов (критерий стабилизация деформации должен составлять менее 0,2 мм за последние 24 ч). Сваи должны быть рассчитаны по материалу как на момент устройства (завинчивание-погружение), так и на период эксплуатации. Применение винтовых свай допустимо для сооружений нормального и пониженного уровней ответственности.
(абзац введен
Изменением N 2, утв. Приказом Минстроя России от 09.11.2018 N 710/пр)
Винтовые сваи, устраиваемые в многолетнемерзлых грунтах, используемые по принципу II, следует рассчитывать по требованиям
СП 24.13330 с учетом изменения свойств грунтов при оттаивании.
(абзац введен
Изменением N 4, утв. Приказом Минстроя России от 25.11.2019 N 730/пр)
6.3.13. Столбчатые или плитные фундаменты, возводимые на естественном многолетнемерзлом основании, следует устраивать сборно-монолитными и монолитными. Глубина заложения фундаментов, их размеры и несущая способность устанавливаются расчетом согласно указаниям
7.2.2 -
7.2.4, с учетом требований
6.2.1 и
6.2.2.
Обратную засыпку котлованов под фундаменты следует производить талым (непучинистым при промерзании) грунтом. При льдистости грунтов основания

под подошвой фундаментов следует устраивать песчаную подушку толщиной не менее 0,2 м.
(в ред.
Изменения N 1, утв. Приказом Минстроя России от 07.11.2016 N 779/пр)
6.3.14. При проектировании сооружений на искусственных основаниях (насыпях или подсыпках) следует предусматривать устройство фундаментов мелкого заложения (столбчатые, ленточные, плитные, с вентилируемыми каналами и др.). Фундаменты следует закладывать в пределах высоты подсыпки, определяемой теплотехническим расчетом с учетом дополнительных мероприятий по сохранению мерзлого состояния грунтов оснований, предусмотренных
6.3.3 и
6.3.13.
Подсыпку следует устраивать из непучинистого песчаного или крупнообломочного грунта, укладываемого после промерзания сезонно-оттаивающего слоя; допускается для устройства подсыпок применять шлаки или другие отходы производства, если их осадки под нагрузками от сооружений не больше расчетных и если они не подвержены морозному пучению и разрушению, растворению и размоканию.
При устройстве фундаментов на подсыпках основания и фундаменты следует рассчитывать по несущей способности и деформациям в соответствии с требованиями
СП 22.13330 и с учетом результатов прогнозных теплотехнических расчетов.
6.4. Устройство оснований и фундаментов при использовании
многолетнемерзлых грунтов по принципу II
6.4.1. При проектировании оснований и фундаментов зданий и сооружений, возводимых с использованием многолетнемерзлых грунтов по принципу II, следует предусматривать мероприятия по уменьшению деформаций основания
(6.4.2) или мероприятия по приспособлению конструкций сооружения к восприятию неравномерных деформаций основания
(6.4.5), назначаемые по результатам расчета основания по деформациям.
Выбор одного из указанных мероприятий или их сочетания производится на основании технико-экономического расчета. При этом мероприятия по уменьшению деформаций основания следует предусматривать в любом случае, если расчетные осадки сооружения превышают значения, допустимые по архитектурным и технологическим требованиям, а для сооружений, возводимых по типовым проектам, - также установленные для них предельные значения деформаций по условиям прочности и устойчивости конструкций.
Мероприятия по приспособлению конструкций сооружения к неравномерным деформациям оттаивающего основания следует назначать по результатам расчета совместной работы основания и сооружения.
6.4.2. Для уменьшения деформаций основания в зависимости от конкретных условий строительства следует предусматривать:
предварительное (до возведения сооружения) искусственное оттаивание и уплотнение грунтов основания;
замену льдистых грунтов основания талым или непросадочным при оттаивании песчаным или крупнообломочным грунтом;
ограничение глубины оттаивания мерзлых грунтов основания, в том числе со стабилизацией верхней поверхности многолетнемерзлого грунта в процессе эксплуатации сооружения;
увеличение глубины заложения фундаментов, в том числе с прорезкой льдистых грунтов и опиранием фундаментов на скальные или другие малосжимаемые при оттаивании грунты.
6.4.3. Глубину предварительного оттаивания или замены льдистых грунтов основания на малосжимаемые при оттаивании грунты следует устанавливать по результатам расчета основания по деформациям согласно указаниям
7.3.10.
Контуры зоны оттаивания или замены грунтов основания в плане должны выходить за контуры сооружения не менее чем на половину глубины предварительного оттаивания грунта.
Допускается принимать меньшую площадь предварительного оттаивания или замены грунтов в плане, а также производить локальное предварительное оттаивание грунтов под фундаментами (вместо сплошного оттаивания под всей площадью сооружения), если это обосновано расчетом основания по деформациям и устойчивости.
Оттаивание грунтов оснований можно производить способами электрооттаивания, парооттаивания или за счет других источников тепла. При этом должны быть предусмотрены меры по обеспечению установленной проектом степени уплотнения оттаянного грунта.
6.4.4. Для ограничения глубины оттаивания грунтов в основании сооружения следует предусматривать устройство теплоизолирующих подсыпок и экранов, увеличение сопротивления теплопередаче полов первых этажей и другие мероприятия по уменьшению теплового влияния сооружения на грунты основания, а также стабилизацию верхней поверхности многолетнемерзлого грунта (в том числе при несливающемся сезонно-промерзающем слое) ниже глубины заложения подошвы фундаментов путем регулирования температуры воздуха в подпольях или технических этажах здания согласно
Приложению Е.
6.4.5. Приспособление конструкций сооружений к неравномерным деформациям основания должно обеспечиваться:
а) увеличением прочности и пространственной жесткости здания, достигаемой устройством поэтажных, связанных с перекрытиями железобетонных и армокирпичных поясов, усилением армирования конструкций, замоноличиванием сборных элементов перекрытия, усилением цокольно-фундаментной части, равномерным расположением сквозных поперечных стен, а также разрезкой протяженных зданий на отдельные отсеки длиной до полуторной ширины здания;
б) увеличением податливости и гибкости сооружения путем разрезки его конструкций деформационными швами, устройством шарнирных сопряжений отдельных конструкций с учетом возможности их выравнивания и рихтовки технологического оборудования.
Допускается предусматривать комбинацию указанных мероприятий применительно к особенностям проектируемого сооружения. При этом бескаркасные жилые и общественные здания следует, как правило, проектировать по жесткой конструктивной схеме; для промышленных сооружений могут применяться гибкие и комбинированные конструктивные схемы. Цокольно-фундаментную часть зданий в типовых проектах следует разрабатывать в нескольких вариантах, рассчитанных по прочности на разные пределы допустимых деформаций основания.
6.4.6. При использовании многолетнемерзлых грунтов в качестве оснований по принципу II следует, как правило, применять:
а) для сооружений с жесткой конструктивной схемой, возводимых на оттаивающих грунтах, - усиленные армопоясами ленточные фундаменты, в том числе в виде жестких перекрестных лент, воспринимающих и перераспределяющих усилия, вызванные неравномерной осадкой оттаивающего основания, а в необходимых случаях - плитные фундаменты; на предварительно оттаянных и уплотненных грунтах допускается применять столбчатые, ленточные и другие виды фундаментов на естественном основании, а также свайные фундаменты, если это обусловлено грунтовыми условиями;
б) для сооружений с гибкой конструктивной схемой - столбчатые и отдельно стоящие фундаменты под колонны, гибкие ленточные фундаменты, а в необходимых случаях также свайные фундаменты.
6.4.7. В случаях, когда в основании сооружений залегают скальные или другие малосжимаемые при оттаивании грунты, следует применять столбчатые фундаменты, свайные фундаменты из свай-стоек, в том числе из составных и буронабивных свай.
Сваи следует погружать, как правило, буроопускным способом в скважины, диаметр которых не менее чем на 15 см превышает наибольшие размеры поперечного сечения сваи, с заполнением свободного пространства цементно-песчаным или другим раствором по проекту. Заделку свай-стоек в скальные грунты надлежит производить в соответствии с требованиями
СП 24.13330.
6.5. Требования к инженерной подготовке территории
6.5.1. В проекте оснований и фундаментов на многолетнемерзлых грунтах должны быть предусмотрены мероприятия по инженерной подготовке территории, обеспечивающие соблюдение расчетного гидрогеологического и теплового режима грунтов основания и предотвращение эрозии, развития термокарста и других физико-геологических процессов, приводящих к изменению проектного состояния грунтов в основании сооружений при их строительстве и эксплуатации, а также к недопустимым нарушениям природных условий окружающей среды. Разработку мероприятий надлежит проводить в соответствии с требованиями
СП 116.13330. Требования к инженерно-экологическим изысканиям для строительства установлены в
[1].
6.5.2. Инженерная подготовка отдельных строительных площадок должна быть увязана с общей инженерной подготовкой и вертикальной планировкой территории застройки в соответствии с генпланом и обеспечивать организованный отвод поверхностных, надмерзлотных и межмерзлотных вод и вод сезонно-оттаивающего слоя с начала строительства и в течение эксплуатационного периода.
Подъездные пути и насыпи для прохождения транспортных средств и работы строительной техники следует устраивать до начала работ по возведению фундаментов.
6.5.3. На территории с многолетнемерзлыми грунтами вертикальную планировку местности следует производить, как правило, подсыпкой. При применении в необходимых случаях срезок и выемок грунта должны быть приняты меры по защите вскрытых льдистых грунтов от протаивания, размыва и оползания склонов. Подсыпку можно выполнять сплошной по всей застраиваемой территории или под отдельные сооружения или их группы при условии обеспечения свободного стока поверхностных вод.
| | Применение на обязательной основе п. 6.5.4 обеспечивает соблюдение требований Федерального закона от 30.12.2009 N 384-ФЗ "Технический регламент о безопасности зданий и сооружений" (Постановление Правительства РФ от 04.07.2020 N 985). | |
6.5.4. При использовании многолетнемерзлых грунтов по принципу I подсыпку следует выполнять, как правило, в зимний период после промерзания сезонно-оттаявшего слоя грунта (не менее чем на 0,2 м), после предварительной очистки поверхности грунта от снега. Толщина и способ устройства подсыпок принимаются в зависимости от их назначения мерзлотно-грунтовых и гидрогеологических условий.
На участках с сильнольдистыми грунтами и подземными льдами следует устраивать сплошные по площади теплоизолирующие подсыпки или экраны, толщину которых необходимо устанавливать расчетом по условию предотвращения протаивания подстилающего льдистого грунта согласно указаниям
8.2 и исключения повышения природных температур многолетнемерзлых грунтов. Устройство подсыпок, используемых в качестве оснований сооружений, следует производить согласно указаниям
6.3.14.
При необходимости понижения природных температур сильнольдистых грунтов и подземных льдов в целях исключения процессов ползучести
(Приложение И) во время эксплуатационного периода следует предусматривать активную термостабилизацию грунтов основания с помощью установки СОУ.
6.5.5. При использовании многолетнемерзлых грунтов в качестве оснований по принципу II вертикальную планировку допускается осуществлять подсыпками и выемками грунта. Подсыпки надлежит устраивать, как правило, по оттаянному грунту слоя сезонного промерзания-оттаивания. Выемки грунтов допускается выполнять на непросадочных при оттаивании грунтах или если предусмотрено предпостроечное оттаивание и уплотнение грунтов под сооружениями.
Уровень планировочных отметок, высоту подсыпок, глубины выемок грунтов, уклоны водоотводящей сети следует принимать с учетом расчетных осадок грунтов при оттаивании. В необходимых случаях (сильнольдистые, заторфованные или имеющие неравномерную льдистость грунты) следует осуществлять частичное оттаивание или замену грунтов верхнего льдистого слоя или устройство теплозащитных экранов согласно
6.4.4.
При высоком уровне подземных вод необходимо предусматривать меры по предотвращению обводнения заглубленных подвалов или технических этажей здания: поднятие уровня планировочных отметок, устройство дренажа, противофильтрационные завесы, в том числе льдогрунтовые и т.п. При проектировании противофильтрационных завес водный баланс подземных вод на застраиваемой территории должен быть сохранен.
6.5.6. В составе мероприятий по инженерной подготовке территории должны быть предусмотрены природоохранные мероприятия, направленные на восстановление нарушенных в процессе строительства природных условий, в соответствии с
16.4.
6.5.7. Для обеспечения устойчивости и эксплуатационной пригодности зданий и сооружений при прокладке наружных сетей систем водоснабжения, канализации, теплоснабжения следует предусматривать тот же принцип использования многолетнемерзлых грунтов в качестве оснований, который принят для зданий и сооружений, размещаемых на данной территории застройки. Применение различных принципов допускается при условии прокладки сетей в каналах на таком расстоянии от зданий и сооружений, при котором не произойдет изменения расчетных температур оснований зданий и сооружений, или при применении других мер, предусмотренных
6.1.5.
(в ред.
Изменения N 1, утв. Приказом Минстроя России от 07.11.2016 N 779/пр)
Вводы и выпуски инженерных сетей в зданиях или сооружениях и прокладку этих сетей в подпольях и технических этажах следует осуществлять по принципу использования многолетнемерзлых грунтов, принятому для данного здания или сооружения. Конструкция вводов и выпусков должна быть такой, чтобы при использовании многолетнемерзлых грунтов в качестве основания по принципу I исключалась возможность местного оттаивания грунтов или повышения (против установленной в проекте) их расчетной температуры, а при использовании грунтов в качестве основания по принципу II - ускоренного местного оттаивания и, как следствие, увеличенной неравномерности деформации основания фундаментов.
7. Расчет оснований и фундаментов
| | Применение на обязательной основе п. 7.1.1 обеспечивает соблюдение требований Федерального закона от 30.12.2009 N 384-ФЗ "Технический регламент о безопасности зданий и сооружений" (Постановление Правительства РФ от 04.07.2020 N 985). | |
7.1.1. При проектировании оснований и фундаментов сооружений, возводимых на многолетнемерзлых грунтах, следует выполнять теплотехнические расчеты основания и расчеты основания и фундаментов на силовые воздействия. В расчетах основания и фундаментов надлежит учитывать принцип использования многолетнемерзлых грунтов в качестве основания, тепловое и механическое взаимодействие сооружения и основания.
7.1.2. Основания и фундаменты следует рассчитывать по двум группам предельных состояний: по первой - по несущей способности, по второй - по деформациям (осадкам, прогибам и пр.), затрудняющим нормальную эксплуатацию конструкций сооружения, а элементы железобетонных конструкций - и по трещиностойкости.
При расчете по предельным состояниям несущую способность основания и его ожидаемые деформации следует устанавливать с учетом температурного режима грунтов основания, а при принципе I - также с учетом продолжительности действия нагрузок и реологических свойств грунтов.
7.1.3. Расчет оснований следует производить:
а) при использовании многолетнемерзлых грунтов по принципу I: по несущей способности - для твердомерзлых грунтов; по несущей способности и деформациям - для пластично-мерзлых и сильнольдистых грунтов, а также подземных льдов;
б) при использовании многолетнемерзлых грунтов по принципу II: по несущей способности - в случаях, предусмотренных
СП 22.13330; по деформациям - во всех случаях, при этом для оснований, оттаивающих в процессе эксплуатации сооружения, расчет по деформациям надлежит производить из условия совместной работы основания и сооружения.
Расчет оснований по деформациям следует производить на основные сочетания нагрузок и воздействий; расчет по несущей способности - на основные и особые сочетания нагрузок и воздействий.
7.1.4. Нагрузки и воздействия, передаваемые на основания сооружением, следует устанавливать расчетом в соответствии с требованиями
СП 20.13330 с учетом указаний
СП 22.13330,
СП 24.13330, а для оснований опор мостов и труб под насыпями - согласно
СП 35.13330.
При использовании многолетнемерзлых грунтов по принципу I, если грунты основания находятся в твердомерзлом состоянии, а также в случаях, предусматриваемых
СП 22.13330, нагрузки и воздействия на основание допускается назначать без учета их перераспределения надфундаментными конструкциями сооружения.
При использовании многолетнемерзлых грунтов в качестве основания по принципу II нагрузки на основание следует определять, как правило, с учетом совместной работы основания и сооружения.
7.1.5. Нагрузки и воздействия, которые по
СП 20.13330 могут относиться как к длительным, так и к кратковременным, при расчете мерзлых оснований по несущей способности должны относиться к кратковременным, а при расчете оснований по деформациям - к длительным.
Воздействия, вызванные осадками грунтов при предусмотренном в проекте оттаивании их в процессе эксплуатации сооружения, следует относить к длительным; воздействия, связанные с возможным протаиванием и просадками грунтов при нарушениях эксплуатационного режима сооружения, - к особым.
7.2. Расчет оснований и фундаментов при использовании
многолетнемерзлых грунтов по принципу I
7.2.1. Расчет оснований фундаментов по первой группе предельных состояний (по несущей способности) производится исходя из условия

, (7.1)
где F - расчетная нагрузка на основание;

- несущая способность основания, определяемая расчетом (7.2.2), а для оснований свайных фундаментов - дополнительно и по данным полевых испытаний свай
(7.2.10), и статического зондирования
(Приложение Л);
(в ред.
Изменения N 1, утв. Приказом Минстроя России от 07.11.2016 N 779/пр)

- коэффициент надежности по ответственности сооружения, принимаемый в соответствии с требованиями
СП 22.13330 в зависимости от вида и уровня ответственности сооружения, а для оснований опор мостов - согласно
СП 35.13330 и указаниям
12.13.
7.2.2. Несущая способность основания

, кН, вертикально нагруженной висячей сваи или столбчатого фундамента определяется по формуле

, (7.2)
где

- температурный коэффициент, учитывающий изменения температуры грунтов основания из-за случайных изменений температуры наружного воздуха, определяется по указаниям
Приложения П;

- коэффициент условий работы основания, принимаемый по указаниям
7.2.4;
R - расчетное сопротивление мерзлого грунта под нижним концом сваи или под подошвой столбчатого фундамента, кПа, определяется согласно указаниям
7.2.3;
A - площадь подошвы столбчатого фундамента или площадь опирания сваи на грунт, м2, принимаемая для сплошных свай равной площади их поперечного сечения (или площади уширения), для полых свай, погруженных с открытым нижним концом, - площади поперечного сечения сваи брутто при заполнении ее полости бетоном или цементно-песчаным раствором на высоту обеспечивающую несущую способность по смерзанию с внутренней поверхностью сваи не менее несущей способности у нижнего конца сваи;
(в ред.
Изменения N 1, утв. Приказом Минстроя России от 07.11.2016 N 779/пр,
Изменения N 3, утв. Приказом Минстроя России от 24.01.2019 N 42/пр)

- расчетное сопротивление мерзлого грунта или грунтового раствора сдвигу по боковой поверхности смерзания сваи или столбчатого фундамента в пределах i-го слоя грунта, кПа, определяемое согласно указаниям
7.2.3;

- площадь поверхности смерзания i-го слоя грунта с боковой поверхностью сваи, а для столбчатого фундамента - площадь поверхности смерзания грунта с нижней ступенью фундамента, м
2;
n - число выделенных при расчете слоев многолетнемерзлого грунта.
Примечания. 1. При расчете несущей способности основания столбчатого фундамента силы смерзания грунта, определяемые вторым слагаемым
формулы (7.2), учитываются только при условии выполнения обратной засыпки пазух котлована влажным талым грунтом с уплотнением, что должно быть отмечено в проекте.
(в ред.
Изменения N 1, утв. Приказом Минстроя России от 07.11.2016 N 779/пр)
2. В случаях, когда слой сезонного промерзания-оттаивания не сливается с многолетнемерзлым грунтом, несущую способность свай в пределах немерзлого слоя грунта допускается учитывать по
СП 24.13330. При этом должны быть предусмотрены меры по стабилизации верхней поверхности многолетнемерзлого грунта, а расчетные сопротивления таликовых грунтов (кроме крупнообломочных и песков со степенью влажности, не превышающей 0,8) вдоль боковой поверхности свай, принимаемые по нормативным таблицам
СП 24.13330, следует брать с понижающими коэффициентами: 0,8 - для глинистых грунтов, 0,9 - для песчаных водонасыщенных грунтов; для других грунтов понижающие коэффициенты определяют по опытным данным.
3. Рекомендуется при определении несущей способности оснований выполнять расчет на первый год эксплуатации. Распределение температур грунта по глубине рассчитывается по
формуле (7.8), при этом температурный коэффициент принимается равным

. В случае, когда несущая способность основания на первый год эксплуатации меньше несущей способности, определенной по расчетным значениям температуры, установившимся в эксплуатационном периоде, и с учетом температурного коэффициента, за несущую способность следует принимать данное значение.
(примечание 3 введено
Изменением N 2, утв. Приказом Минстроя России от 09.11.2018 N 710/пр)
4. При расчете несущей способности основания свайного фундамента следует учитывать возможное возникновение отрицательного (негативного) трения грунта на боковой поверхности свай с учетом требований
СП 24.13330.
(примечание 4 введено
Изменением N 3, утв. Приказом Минстроя России от 24.01.2019 N 42/пр)
7.2.3. Расчетное давление на мерзлый грунт под подошвой фундамента R и расчетные сопротивления мерзлого грунта или грунтового раствора сдвигу по поверхности смерзания фундамента

устанавливаются по данным испытаний грунтов, проводимых в соответствии с
ГОСТ 12248, с учетом коэффициента надежности по грунту

, принимаемому согласно
5.8, и расчетных температур грунта основания

,

и

, определяемых теплотехническим расчетом по
7.2.7 и
7.2.8. В расчет принимается наихудшее значение. В случае предварительного охлаждения грунтов расчетные температуры
Tm,
Tz и
Te определяются теплотехническим расчетом только по
7.2.7.
(в ред.
Изменения N 1, утв. Приказом Минстроя России от 07.11.2016 N 779/пр)
По результатам испытаний грунтов шариковым штампом или на одноосное сжатие расчетные значения R, кПа, вычисляются по формуле

, (7.3)
где

- нормативное значение предельно длительного сцепления, кПа, принимаемое равным:

при испытаниях грунтов шариковым штампом и

- при испытаниях на одноосное сжатие, где

и

- соответственно предельно длительное эквивалентное сцепление и сопротивление грунта одноосному сжатию;

- расчетное значение удельного веса грунта, кН/м
3;
d - глубина заложения фундамента, м;

- коэффициент надежности по грунту.
Нормативное значение

допускается принимать согласно указаниям
Приложения Л.
(в ред.
Изменения N 1, утв. Приказом Минстроя России от 07.11.2016 N 779/пр)
В случаях, предусмотренных
5.9, расчетные значения R и

допускается принимать по таблицам
Приложения В.
При расчетах несущей способности оснований значения R следует принимать: для свайных фундаментов - при расчетной температуре грунта

на глубине z, равной глубине погружения сваи; для столбчатых фундаментов - при расчетной температуре грунта

на глубине заложения подошвы фундамента.
Расчетные сопротивления сдвигу

следует принимать: для свайных фундаментов - при температуре грунта

на глубине середины i-го слоя грунта; для столбчатых фундаментов - при температуре грунта

на глубине, соответствующей середине нижней ступени фундамента.
При расчетах несущей способности основания висячей сваи, расположенной однородных по составу многолетнемерзлых грунтах, по
формуле (7.2) значения

принимается при средней (эквивалентной) температуре грунта
(7.2.7).
Для буроопускных свай за расчетное сопротивление сдвигу принимают наименьшие из значений сопротивления растворов сдвигу по поверхности смерзания со сваей
Raf и сопротивления грунтов сдвигу по раствору (цементно-песчаному, известково-песчаному или грунтовому)
Rsh; для буронабивных свай - по значению
Rsh. При расчете теплового взаимодействия сооружения с многолетнемерзлыми грунтами основания рекомендуется учитывать внесение в массив грунта тепла из-за применения раствора при устройстве буроопускных свай, а также бетона для заполнения внутренней полости полых свай. При расчете несущей способности комбинированных свай (деревометаллических, сборно-монолитных и др.) значения
Raf следует принимать с учетом разной прочности смерзания с грунтом их различных элементов в соответствии с указаниями
Приложения В.
(в ред.
Изменения N 1, утв. Приказом Минстроя России от 07.11.2016 N 779/пр,
Изменения N 4, утв. Приказом Минстроя России от 25.11.2019 N 730/пр)
Для свай (кроме бурозабивных), опираемых на песчано-щебеночную подушку высотой не менее трех диаметров скважины, при диаметре скважины не более полутора диаметров сваи, расчетное значение R допускается принимать для грунта подушки, а значение A - равным площади забоя скважины. При опирании свай на льдистые грунты с льдистостью i >= 0,2 расчетные значения R следует принимать с понижающим коэффициентом

.
Для кратковременных нагрузок с временем действия t, равным или меньшим продолжительности перерывов между ними, расчетные значения R и

допускается принимать с повышающим коэффициентом

(кроме опор мостов) в соответствии с данными таблицы 7.1.
Таблица 7.1
Время действия нагрузки t, ч | 0,1 | 0,25 | 0,5 | 1 | 2 | 8 | 24 |
Коэффициент nt | 1,7 | 1,5 | 1,35 | 1,25 | 1,2 | 1,1 | 1,05 |
7.2.4. Коэффициент условий работы основания

принимается по таблице 7.2 в зависимости от вида и способов устройства фундаментов (кроме опор мостов).
Виды фундаментов и способы их устройства | Коэффициент  |
Столбчатые и другие виды фундаментов на естественном основании | 1,0 |
То же, на подсыпках | 0,9 |
Буроопускные сваи с применением грунтовых растворов, превышающих по прочности смерзания вмещающие грунты | 1,1 |
То же, при равномерной прочности грунтовых растворов и вмещающего грунта | 1,0 |
Опускные и буронабивные сваи | 1,0 |
Бурообсадные, забивные и бурозабивные сваи при диаметре лидерных скважин менее 0,8 диаметра свай | 1,0 |
Бурозабивные при большем диаметре лидерных скважин | 0,9 |
Значения коэффициента

, приведенные в
таблице 7.2, допускается увеличивать пропорционально отношению полной нагрузки на фундамент к сумме постоянных и длительных временных нагрузок, но не более чем в 1,2 раза, если расчетные значения деформаций основания при этом не будут превышать предельно допустимых значений.
7.2.5. Передача на фундаменты проектных нагрузок допускается, как правило, при температуре грунтов в основании сооружения не выше установленных на эксплуатационный период расчетных значений. В необходимых случаях следует предусматривать мероприятия по предварительному (до загружения фундаментов) охлаждению пластично-мерзлых грунтов
(6.3.5) до установленных расчетом значений температуры.
При соответствующем обосновании расчетом основания по деформациям и несущей способности допускается загружать фундаменты при температурах грунта выше расчетных, но не выше значений:

- для песчаных и крупнообломочных грунтов и

- для глинистых, где

- температура начала замерзания грунта
(Б.5). Несущая способность основания

в этом случае должна определяться при расчетных температурах грунта, устанавливаемых без учета теплового влияния сооружения по
формуле (7.8), принимая коэффициент

по расчету.
(в ред.
Изменения N 3, утв. Приказом Минстроя России от 24.01.2019 N 42/пр)
| | Применение на обязательной основе п. 7.2.6 обеспечивает соблюдение требований Федерального закона от 30.12.2009 N 384-ФЗ "Технический регламент о безопасности зданий и сооружений" (Постановление Правительства РФ от 04.07.2020 N 985). | |
7.2.6. Расчетные температуры грунтов

,

и

определяются расчетом теплового взаимодействия сооружения с многолетнемерзлыми грунтами основания в периодически установившемся тепловом режиме с учетом переменных в годовом периоде условий теплообмена на поверхности, формы и размеров сооружения, глубины заложения и расположения фундаментов в плане, а также теплового режима сооружения и принятых способов и средств сохранения мерзлого состояния грунтов основания.
При расчетах многолетнемерзлых оснований по несущей способности и деформациям расчетные температуры грунтов

,

и

следует принимать равными:

- максимальной в годовом периоде температуре грунта в установившемся эксплуатационном режиме на глубине заложения фундамента

, отсчитываемой от верхней поверхности многолетнемерзлого грунта;

- максимальной в годовом периоде средней по глубине заложения фундамента

температуре многолетнемерзлого грунта в установившемся эксплуатационном режиме (эквивалентная температура грунта);

- температура многолетнемерзлого грунта на данной глубине z от его верхней поверхности, принимаемой на момент установления температуры

.
7.2.7. Для оснований свайных, столбчатых и других видов фундаментов сооружений с холодным (вентилируемым) подпольем, опор трубопроводов, линий электропередачи, антенно-мачтовых сооружений, кроме оснований опор мостов, расчетные температуры грунтов

,

и

допускается определять по формулам:
для оснований сооружений с холодным подпольем
под серединой сооружения

, (7.4)
под краем сооружения

, (7.5)
под углами сооружения

, (7.6)
для опор линий электропередачи, антенно-мачтовых сооружений и трубопроводов

, (7.7)
где

- расчетная среднегодовая температура на верхней поверхности многолетнемерзлого грунта в основании сооружения, °C, определяемая согласно
Приложению Д;

- температура начала замерзания грунта, °C, определяемая согласно
Приложению Б;

- расчетная среднегодовая температура грунта, °C, определяемая согласно
Приложению Г;
| | ИС МЕГАНОРМ: примечание. Формула дана в соответствии с официальным текстом документа. | |

,

и

- коэффициенты сезонного изменения температуры грунтов основания, принимаемых по
таблице 7.3 в зависимости от значения параметра

,
где z - глубина от кровли многолетнемерзлого грунта, м;

- объемная теплоемкость, Дж/(м
3·°C), определяемая согласно
Приложению Б;

- теплопроводность мерзлого грунта, Вт/(м·°C), определяемая согласно
Приложению Б;
(в ред.
Изменения N 4, утв. Приказом Минстроя России от 25.11.2019 N 730/пр)

,

и

- коэффициенты теплового влияния сооружения, принимаемые по
таблице 7.4 в зависимости от отношений z/B и L/B, L и B - соответственно длина и ширина сооружения, м;

- коэффициент теплового влияния изменения поверхностных условий при возведении фундаментов линейных сооружений, принимаемый по
таблице 7.5 в зависимости от вида и глубины заложения фундаментов z, м.
Коэффициенты | Значения  |
0 (0) | 1000 (25) | 2000 (50) | 3000 (75) | 4000 (100) | 6000 (125) | 8000 (150) | 10000 (175) | 15000 (250) | 20000 (300) |
| 0 (0) | 0,28 (0,38) | 0,47 (0,61) | 0,61 (0,76) | 0,71 (0,85) | 0,85 (0,91) | 0,92 (0,94) | 0,96 (0,96) | 0,99 (0,99) | 1,00 (1,00) |
| 0 (0) | 0,30 (0,40) | 0,52 (0,67) | 0,67 (0,85) | 0,80 (0,95) | 0,95 (1,01) | 1,02 (1,03) | 1,03 (1,03) | 1,01 (1,01) | 1,00 (1,00) |
| 0 (0) | 0,14 (0,21) | 0,26 (0,38) | 0,38 (0,51) | 0,47 (0,61) | 0,61 (0,68) | 0,70 (0,74) | 0,77 (0,78) | 0,85 (0,85) | 0,90 (0,88) |
Форма сооружения в плане | L/B | Коэффициенты k для определения Tm, Tz, Te |
k1 при z/B | k2 при z/B | k3 при z/B |
0,25 | 0,5 | 1,0 | 2,0 | 0,25 | 0,5 | 1,0 | 2,0 | 0,25 | 0,5 | 1,0 | 2,0 |
Прямоугольная | 1 | 0,41 ----- 0,21 | 0,67 ----- 0,38 | 0,87 ----- 0,57 | 0,96 ----- 0,75 | 0,17 ----- 0,09 | 0,28 ----- 0,16 | 0,39 ----- 0,25 | 0,47 ----- 0,34 | 0,06 ----- 0,03 | 0,10 ----- 0,05 | 0,17 ----- 0,09 | 0,22 ----- 0,14 |
2 | 0,33 ----- 0,17 | 0,56 ----- 0,31 | 0,80 ----- 0,50 | 0,93 ----- 0,68 | 0,15 ----- 0,08 | 0,26 ----- 0,14 | 0,37 ----- 0,23 | 0,45 ----- 0,32 | 0,04 ----- 0,02 | 0,08 ----- 0,04 | 0,14 ----- 0,08 | 0,20 ----- 0,12 |
3 | 0,32 ----- 0,16 | 0,53 ----- 0,30 | 0,76 ----- 0,47 | 0,91 ----- 0,65 | 0,15 ----- 0,08 | 0,25 ----- 0,14 | 0,36 ----- 0,22 | 0,44 ----- 0,31 | 0,04 ----- 0,02 | 0,08 ----- 0,04 | 0,13 ----- 0,07 | 0,19 ----- 0,12 |
>= 5 | 0,29 ----- 0,14 | 0,50 ----- 0,27 | 0,71 ----- 0,44 | 0,84 ----- 0,62 | 0,15 ----- 0,07 | 0,25 ----- 0,14 | 0,35 ----- 0,22 | 0,42 ----- 0,30 | 0,03 ----- 0,02 | 0,07 ----- 0,04 | 0,12 ----- 0,07 | 0,18 ----- 0,11 |
Круглая | - | 0,45 ----- 0,23 | 0,71 ----- 0,41 | 0,89 ----- 0,62 | 0,97 ----- 0,78 | 0,22 ----- 0,13 | 0,32 ----- 0,20 | 0,40 ----- 0,28 | 0,45 ----- 0,36 | - | - | - | - |
Примечания. 1. В числителе указаны значения коэффициентов k для температур Tm и Tz, в знаменателе - для температуры Te. 2. При z/B = 0 коэффициенты k1, k2 и k3 следует принимать равными 0. |
Виды фундаментов | Коэффициент kts при z, м |
до 2 | от 2 до 6 | св. 6 |
Массивные и свайные с ростверком, заглубленным в грунт | 0,7 | 0,9 | 1,0 |
Свайные с высоким ростверком и сборные под опоры рамно-стоечного типа | 0,9 | 1,0 | 1,0 |
| | Применение на обязательной основе п. 7.2.8 обеспечивает соблюдение требований Федерального закона от 30.12.2009 N 384-ФЗ "Технический регламент о безопасности зданий и сооружений" (Постановление Правительства РФ от 04.07.2020 N 985). | |
7.2.8. Расчетные температуры многолетнемерзлых грунтов основания без учета теплового влияния сооружения определяются по формуле

, (7.8)
7.2.9. Расчетные температуры грунтов оснований фундаментов, охлаждаемых системой вентилируемых труб, каналов или полостей в фундаментах
(6.3.3), следует определять из совместного теплотехнического расчета основания и системы охлаждения, исходя из условия

, (7.9)
где

- расчетная среднегодовая температура на верхней поверхности многолетнемерзлого грунта в основании сооружения, отвечающая проектному положению границы сезонного оттаивания грунтов, включая грунты подсыпки.
(в ред.
Изменения N 1, утв. Приказом Минстроя России от 07.11.2016 N 779/пр)
При равномерном расположении охлаждающих труб или каналов под всей площадью сооружения расчетные температуры грунтов в его основании

,

и

допускается определять как для сооружений с холодным подпольем
(7.2.7) при среднем по площади сооружения значении температуры

.
Расчетные температуры грунтов оснований фундаментов при использовании термостабилизации грунтов допускается рассчитывать численными методами с учетом изменения температур при эксплуатации сооружения.
| | Применение на обязательной основе п. 7.2.10 обеспечивает соблюдение требований Федерального закона от 30.12.2009 N 384-ФЗ "Технический регламент о безопасности зданий и сооружений" (Постановление Правительства РФ от 04.07.2020 N 985). | |
7.2.10. Несущая способность основания одиночной сваи

по результатам полевых испытаний свай статической вдавливающей нагрузкой определяется по формуле

, (7.10)
где k - коэффициент, учитывающий различие в условиях работы опытной и проектируемых свай и определяемый по формуле

, (7.11)

и

- значение несущей способности соответственно проектируемой и опытной свай, рассчитанные по
формуле (7.2) по значениям R и

, принимаемым по таблицам
Приложения В: для проектируемой сваи - при расчетных температурах грунта, устанавливаемых согласно указаниям
7.2.3 и
7.2.6, а для опытной сваи - при температурах, измеренных при испытании;

- нормативное значение предельно длительного сопротивления основания опытной сваи статической нагрузке, определяемое по данным испытания сваи;
(в ред.
Изменения N 1, утв. Приказом Минстроя России от 07.11.2016 N 779/пр)

- коэффициент надежности по грунту, принимаемый равным 1,1.
7.2.10а. Число испытаний грунтов сваями и нагрузки при испытаниях определяются проектом в зависимости от сложности инженерно-геокриологических условий, расчетных нагрузок, передаваемых на основание, и числа типоразмеров свай.
Для сложных инженерно-геокриологических условий и сооружений повышенного уровня ответственности при проектировании может быть принято решение о проведении испытаний грунтов сваями на стадии инженерно-геологических изысканий.
Для стадии инженерно-геологических изысканий определение несущей способности грунтов сваями рекомендуется проводить:
а) эталонной сваей
- вдавливающей нагрузкой - не менее шести испытаний для каждого характерного геологического разреза;
- выдергивающей и горизонтальной (при значительных выдергивающих нагрузках и наличии сильнопучинистых грунтов, а также в сейсмических районах и наличии значительных горизонтальных нагрузок) не менее двух испытаний;
б) натурной сваей
- вдавливающей нагрузкой - не менее двух испытаний для каждого характерного геологического разреза;
- выдергивающей и горизонтальной - не менее одного испытания.
На стадии строительства контрольные испытания устроенных свай с целью проверки соответствия несущей способности грунтов расчетным нагрузкам, установленным в проекте свайного фундамента, рекомендуется проводить в зависимости от общего числа свай в свайном поле фундамента:
- вдавливающей нагрузкой: до 200 свай - два испытания; 200 - 1000 свай - 1% числа свай; более 1000 свай - 0,5% числа свай, но не менее десяти испытаний;
- выдергивающей и горизонтальной: до 2000 свай - два испытания; более 2000 свай - 0,1% числа свай.
(п. 7.2.10а введен
Изменением N 1, утв. Приказом Минстроя России от 07.11.2016 N 779/пр)
| | Применение на обязательной основе п. 7.2.11 обеспечивает соблюдение требований Федерального закона от 30.12.2009 N 384-ФЗ "Технический регламент о безопасности зданий и сооружений" (Постановление Правительства РФ от 04.07.2020 N 985). | |
7.2.11. Количественную оценку характеристик механических свойств и несущей способности оснований свай в многолетнемерзлых грунтах по данным статического зондирования проводят согласно указаниям
Приложения Л на основе эмпирических или полуэмпирических зависимостей (таблиц), устанавливаемых в результате корреляционно-регрессионного анализа данных параллельных испытаний грунтов прямыми методами и методом статического зондирования.
(в ред.
Изменения N 1, утв. Приказом Минстроя России от 07.11.2016 N 779/пр)
7.2.12. Несущую способность основания столбчатого фундамента, нагруженного внецентренно сжимающей нагрузкой, допускается определять в соответствии с требованиями
СП 22.13330. При этом эксцентриситеты приложения равнодействующей всех нагрузок на уровне подошвы фундамента следует определять с учетом смерзания грунта с боковой поверхностью нижней ступени фундамента по формулам

; (7.12)

, (7.13)
где

и

- соответственно эксцентриситеты приложения равнодействующей всех нагрузок относительно осей прямоугольной подошвы фундамента со сторонами a и b, м;

и

- моменты внешних сил от расчетных нагрузок относительно тех же осей, кН·м;
F - расчетная вертикальная нагрузка, кН, от сооружения на основание, включая вес фундамента и грунта, лежащего на его уступах;

- часть момента внешних сил, кН·м, воспринимаемая касательными силами смерзания многолетнемерзлого грунта с боковыми поверхностями нижней ступени фундамента высотой

и вычисляемая по формуле

, (7.14)

- расчетное сопротивление мерзлого грунта сдвигу, кПа, принимаемое по
7.2.3.
При эксцентриситете нагрузки относительно одной оси фундамента

допускается

, кН·м, определять по формуле

, (7.15)
где a - сторона подошвы фундамента, параллельная плоскости действия момента, м.
7.2.13. Расчет свайных фундаментов на действие горизонтальных нагрузок (сил и/или моментов) и воздействий (температурного расширения ростверка и пр.), следует производить с учетом инженерно-геокриологических условий из условия совместной работы свай и грунтового основания с использованием апробированных геотехнических программ. Расчетная схема должна отвечать требованиям
7.1.2 СП 24.13330. Методика расчета должна учитывать влияние продольной силы на изгиб, а также поперечных сил и деформаций на продольное сжатие ствола сваи.
Взаимодействие сваи с грунтом (по боковой поверхности и нижнему торцу) допускается учитывать с помощью нелинейных контактных элементов (контактной модели). При малых (упругих, линейных) деформациях жесткость контактного элемента должна соответствовать стандартным деформационным характеристикам грунта (модуль деформаций, коэффициент Пуассона). Прочность и пластические деформации грунта (контактных элементов у боковой поверхности сваи и под ее нижним торцом) следует рассчитывать с применением условия предельного равновесия Кулона-Мора. При расчете свайных групп характеристики контактных элементов следует определять с учетом взаимовлияния между сваями через грунт.
Для расчетов свайных фундаментов сооружений II уровня ответственности допускается применение линейных контактных элементов при условии проведения расчета по
Приложению В СП 24.13330, с учетом инженерно-геокриологических условий согласно
Приложению Ж.
(в ред.
Изменения N 1, утв. Приказом Минстроя России от 07.11.2016 N 779/пр)
7.2.14. Расчет фундаментов, воспринимающих значительные горизонтальные усилия, следует производить на плоский сдвиг в соответствии с требованиями
СП 22.13330.
| | Применение на обязательной основе п. 7.2.15 обеспечивает соблюдение требований Федерального закона от 30.12.2009 N 384-ФЗ "Технический регламент о безопасности зданий и сооружений" (Постановление Правительства РФ от 04.07.2020 N 985). | |
7.2.15. Расчет оснований по второй группе предельных состояний (по деформациям) производится исходя из условия

, (7.16)
где

- деформация пластично-мерзлого основания под нагрузкой от сооружения, определяемая согласно указаниям 7.2.16 и
7.2.17;

- предельно допустимая деформация основания сооружения за расчетный срок его эксплуатации, определяется согласно
СП 22.13330.
| | Применение на обязательной основе п. 7.2.16 обеспечивает соблюдение требований Федерального закона от 30.12.2009 N 384-ФЗ "Технический регламент о безопасности зданий и сооружений" (Постановление Правительства РФ от 04.07.2020 N 985). | |
7.2.16. Осадки оснований фундаментов, возводимых на пластично-мерзлых грунтах, следует определять:
а) для ленточных и столбчатых фундаментов - в соответствии с указаниями
СП 22.13330, применяя расчетную схему в виде линейно-деформируемого полупространства или линейно-деформируемого слоя конечной толщины;
(в ред.
Изменения N 1, утв. Приказом Минстроя России от 07.11.2016 N 779/пр)
б) для одиночных свайных фундаментов - по данным полевых испытаний свай статической вдавливающей нагрузкой, а для кустов или групп свай - согласно указаниям
СП 24.13330 с использованием расчетных схем, основанных на модели грунта как линейно-деформируемой среды.
Расчетные деформационные характеристики пластично-мерзлых грунтов (коэффициент сжимаемости
mf или модуль деформации
Ef) следует принимать по данным компрессионных испытаний при расчетной температуре грунта, устанавливаемой по
формуле (7.8), а также по результатам полевых статических испытаний пластично-мерзлых грунтов моделями фундаментов (штампами, сваями) и статического зондирования в соответствии с
Приложением Л.
(в ред.
Изменения N 1, утв. Приказом Минстроя России от 07.11.2016 N 779/пр)
| | Применение на обязательной основе п. 7.2.17 обеспечивает соблюдение требований Федерального закона от 30.12.2009 N 384-ФЗ "Технический регламент о безопасности зданий и сооружений" (Постановление Правительства РФ от 04.07.2020 N 985). | |
7.2.17. Осадки оснований, сложенных сильнольдистыми грунтами и подземными льдами, а также в случаях загружения фундаментов при температуре грунтов основания выше расчетных значений, принятых для установившегося эксплуатационного режима
(7.2.5), следует определять с учетом изменения деформационных характеристик грунтов в зависимости от температуры и времени, а также развития пластических деформаций льда, согласно указаниям
8.8 и
Приложения И.
7.3. Расчет оснований и фундаментов при использовании
многолетнемерзлых грунтов по принципу II
7.3.1. Расчет оснований и фундаментов по первой группе предельных состояний (по несущей способности) следует проводить для фундаментов мелкого заложения в соответствии с требованиями
СП 22.13330, для свайных фундаментов - в соответствии с требованиями
СП 24.13330, с учетом указаний
7.3.15 -
7.3.17.
(в ред.
Изменения N 1, утв. Приказом Минстроя России от 07.11.2016 N 779/пр)
Примечание. Расчетные сопротивления оттаявших или оттаивающих грунтов вдоль боковой поверхности свай, принимаемые по
СП 24.13330, следует брать с понижающими коэффициентами, принимаемыми согласно
примечанию 2 (7.2.2).
7.3.2. Расчет оснований по второй группе предельных состояний (по деформациям) следует производить с учетом совместной работы основания и сооружения. Расчет оснований по деформациям без учета совместной работы основания и сооружения допускается выполнять в случаях, предусмотренных
СП 22.13330, а также для выбора принципа использования многолетнемерзлых грунтов в качестве оснований и необходимых мероприятий для уменьшения деформаций основания.
(в ред.
Изменения N 1, утв. Приказом Минстроя России от 07.11.2016 N 779/пр)
7.3.3. Расчеты оттаивающих оснований по деформациям необходимо производить в пределах расчетной глубины оттаивания грунтов в основании сооружения за заданный срок его эксплуатации

с учетом развития зоны оттаивания во времени.
Расчетную глубину оттаивания грунтов в основании сооружения следует определять на основании расчета теплового взаимодействия сооружения с многолетнемерзлым грунтом с учетом формы, размеров и теплового режима сооружения, температуры и теплофизических свойств грунтов основания.
Для простых по форме сооружений с равномерной по площади температурой, в том числе для заглубленных сооружений, расчетную глубину оттаивания грунтов в их основании H допускается определять по
Приложению К.
7.3.4. Расчет оснований по деформациям без учета совместной работы оттаивающего основания и сооружения надлежит производить исходя из условия

, (7.17)
где s - осадка основания фундаментов (совместная деформация основания и сооружения при оттаивании грунтов в процессе эксплуатации сооружения под воздействием собственного веса грунта и дополнительной нагрузки от сооружения в пределах расчетной глубины оттаивания H);

- предельное значение осадки основания фундамента (совместной деформации основания и сооружения), устанавливаемое согласно
СП 22.13330, а для мостов -
СП 35.13330.
| | Применение на обязательной основе п. 7.3.5 обеспечивает соблюдение требований Федерального закона от 30.12.2009 N 384-ФЗ "Технический регламент о безопасности зданий и сооружений" (Постановление Правительства РФ от 04.07.2020 N 985). | |
7.3.5. Расчет оснований и фундаментов по деформациям с учетом совместной работы основания и сооружения по первой группе предельных состояний на воздействия, вызываемые неравномерными осадками оттаивающего основания, следует проводить исходя из условия
(в ред.
Изменения N 1, утв. Приказом Минстроя России от 07.11.2016 N 779/пр)

, (7.18)
где

- расчетные усилия, возникающие в элементах конструкций сооружения при неравномерных осадках оттаивающего основания;

- предельные значения сопротивления элементов конструкции сооружения, рассчитываемые по нормам проектирования соответствующих конструкций;

- коэффициент условий работы системы "основание-сооружение", принимаемый равным 1,25;

- коэффициент надежности по назначению сооружения, принимаемый равным 1,2, 0,95 и 0,9 соответственно для сооружений повышенного, нормального и пониженного уровней ответственности.
(в ред.
Изменения N 1, утв. Приказом Минстроя России от 07.11.2016 N 779/пр)
Расчет усилий в элементах фундаментных конструкций и реактивных давлений грунтов следует выполнять численными методами на основании уравнений строительной механики с учетом зависимостей реактивных давлений от неравномерных осадок основания. При этом оттаивающее основание допускается рассматривать как линейно-деформируемый слой конечной толщины. Допускается применять другие расчетные схемы, в том числе с использованием вероятностных методов расчета, учитывающих статистическую неоднородность основания. При расчете оснований и фундаментов по деформациям среднее давление на основание под подошвой фундамента от основного сочетания нагрузок не должно превышать расчетного давления на основание R, определяемого в соответствии со
СП 22.13330 по расчетным характеристикам оттаивающих грунтов.
(в ред.
Изменения N 1, утв. Приказом Минстроя России от 07.11.2016 N 779/пр)
| | Применение на обязательной основе п. 7.3.6 обеспечивает соблюдение требований Федерального закона от 30.12.2009 N 384-ФЗ "Технический регламент о безопасности зданий и сооружений" (Постановление Правительства РФ от 04.07.2020 N 985). | |
7.3.6. Осадку оттаивающего в процессе эксплуатации сооружения основания следует определять по формуле

, (7.19)
где

- составляющая осадки основания, обусловленная действием собственного веса оттаивающего грунта, определяемая по указаниям 7.3.7;

- составляющая осадки основания, обусловленная дополнительным давлением на грунт от действия веса сооружения, определяемая по указаниям
7.3.9.
7.3.7. Составляющую осадки основания

, м, надлежит определять по формуле

, (7.20)
где n - число выделенных при расчете слоев грунта;

и

- коэффициент оттаивания, доли единицы, и коэффициент сжимаемости,

, i-го слоя оттаивающего грунта, принимаемые по экспериментальным данным согласно указаниям
7.3.8;

- вертикальное напряжение от собственного веса грунта в середине i-го слоя грунта, кПа, определяемое расчетом для глубины

от уровня планировочных отметок с учетом взвешивающего действия воды;

- толщина i-го слоя оттаивающего грунта, м.
Примечание. Взвешивающее действие воды при определении

следует учитывать для водопроницаемых грунтов, залегающих ниже расчетного уровня подземных вод, но выше водоупора.
7.3.8. Коэффициенты оттаивания

и сжимаемости оттаивающего грунта

надлежит устанавливать по результатам полевых испытаний мерзлых грунтов горячим штампом. Если значения

и

получены по данным лабораторных испытаний грунтов, то их расчетные значения при определении осадок оттаивающего основания следует умножать на поправочный коэффициент

, где

- разность между суммарной льдистостью i-го слоя грунта и льдистостью испытанного образца, взятого из этого слоя. Допускается вводить поправки за неполное смыкание макропор и набухание оттаивающего грунта, если это подтверждено экспериментальными данными.
(в ред.
Изменения N 1, утв. Приказом Минстроя России от 07.11.2016 N 779/пр)
| | Применение на обязательной основе п. 7.3.9 обеспечивает соблюдение требований Федерального закона от 30.12.2009 N 384-ФЗ "Технический регламент о безопасности зданий и сооружений" (Постановление Правительства РФ от 04.07.2020 N 985). | |
7.3.9. Составляющую осадки основания

, м, при расчетной схеме в виде линейно-деформируемого слоя конечной толщины следует определять по формуле

, (7.21)
где

- дополнительное вертикальное давление на основание под подошвой фундамента, кПа;
b - ширина подошвы фундамента, м;

- безразмерный коэффициент, определяемый по
таблице 7.6 в зависимости от отношения z/b, где z - расстояние от подошвы фундамента до нижней границы зоны оттаивания или кровли непросадочного при оттаивании грунта, м;

- коэффициент сжимаемости i-го слоя грунта,

;

- коэффициент, определяемый по
таблице 7.6 в зависимости от отношения z/b, где z - расстояние от подошвы фундамента до середины i-го слоя грунта, м;

и

- коэффициенты, определяемые по
таблице 7.7 в зависимости от отношений a/b,

и

, где

и

- расстояние от подошвы фундамента соответственно до подошвы и кровли i-го слоя грунта, м.
Примечание. Расчет развития осадок оттаивающего основания во времени следует производить по скорости протаивания грунтов под сооружением, определяемой теплотехническим расчетом.
z/b | kh | Коэффициент  для грунтов |
крупнообломочных | песчаных и супесей | суглинков | глин |
0 - 0,25 | 1,35 | 1,35 | 1,35 | 1,36 | 1,55 |
0,25 - 0,5 | 1,25 | 1,33 | 1,35 | 1,42 | 1,79 |
0,5 - 1,5 | 1,15 | 1,31 | 1,35 | 1,45 | 1,96 |
1,5 - 3,5 | 1,10 | 1,29 | 1,35 | 1,52 | 2,15 |
3,5 - 5,0 | 1,05 | 1,29 | 1,35 | 1,53 | 2,22 |
5,0 | 1,00 | 1,28 | 1,35 | 1,54 | 2,28 |
z/b | Коэффициент k при a/b |
1 | 1,4 | 1,8 | 2,4 | 3,2 | 5 | 10 |
0 | 0 | 0 | 0 | 0 | 0 | 0 | 0 |
0,2 | 0,100 | 0,100 | 0,100 | 0,100 | 0,100 | 0,100 | 0,104 |
0,4 | 0,200 | 0,200 | 0,200 | 0,200 | 0,200 | 0,200 | 0,208 |
0,6 | 0,299 | 0,300 | 0,300 | 0,300 | 0,300 | 0,300 | 0,311 |
0,8 | 0,380 | 0,394 | 0,397 | 0,397 | 0,397 | 0,397 | 0,412 |
1,0 | 0,446 | 0,472 | 0,482 | 0,486 | 0,486 | 0,486 | 0,511 |
1,2 | 0,449 | 0,538 | 0,556 | 0,565 | 0,567 | 0,567 | 0,605 |
1,4 | 0,542 | 0,592 | 0,618 | 0,635 | 0,640 | 0,640 | 0,687 |
1,6 | 0,577 | 0,637 | 0,671 | 0,696 | 0,707 | 0,709 | 0,763 |
1,8 | 0,606 | 0,676 | 0,717 | 0,750 | 0,768 | 0,772 | 0,831 |
2,0 | 0,630 | 0,708 | 0,756 | 0,796 | 0,820 | 0,830 | 0,892 |
2,5 | 0,676 | 0,769 | 0,832 | 0,889 | 0,928 | 0,952 | 1,020 |
3,0 | 0,708 | 0,814 | 0,887 | 0,958 | 1,011 | 1,056 | 1,138 |
3,5 | 0,732 | 0,846 | 0,927 | 1,016 | 1,123 | 1,131 | 1,230 |
4,0 | 0,751 | 0,872 | 0,960 | 1,051 | 1,128 | 1,205 | 1,316 |
6,0 | 0,794 | 0,933 | 1,037 | 1,151 | 1,257 | 1,384 | 1,550 |
10,0 | 0,830 | 0,983 | 1,100 | 1,236 | 1,365 | 1,547 | 1,696 |
16,0 | 0,850 | 1,011 | 1,137 | 1,284 | 1,430 | 1,645 | 2,095 |
20,0 | 0,857 | 1,021 | 1,149 | 1,300 | 1,451 | 1,679 | 2,236 |
| | Применение на обязательной основе п. 7.3.10 обеспечивает соблюдение требований Федерального закона от 30.12.2009 N 384-ФЗ "Технический регламент о безопасности зданий и сооружений" (Постановление Правительства РФ от 04.07.2020 N 985). | |
7.3.10. Осадку основания s при предварительном оттаивании или замене льдистых грунтов до глубины

для уменьшения деформаций основания
(6.4.2), а также в случаях, когда слой сезонного промерзания-оттаивания не сливается с многолетнемерзлым грунтом, следует определять по формуле

, (7.22)
где

- осадка уплотнения предварительно оттаянного, замененного или естественного немерзлого слоя грунта толщиной

под воздействием веса сооружения, определяемая в соответствии со
СП 22.13330;

- дополнительная осадка основания при оттаивании многолетнемерзлых грунтов в процессе эксплуатации сооружения, определяемая по
формуле (7.20) для интервала глубин

, где

- расчетная глубина оттаивания грунта, считая от уровня планировки под зданием, устанавливаемая теплотехническим расчетом по
Приложению К.
Глубину предварительного оттаивания или замены грунтов основания

следует устанавливать исходя из условия

, (7.23)
где

- предельно допустимая для данного сооружения осадка основания, принимаемая по
7.3.4.
| | Применение на обязательной основе п. 7.3.11 обеспечивает соблюдение требований Федерального закона от 30.12.2009 N 384-ФЗ "Технический регламент о безопасности зданий и сооружений" (Постановление Правительства РФ от 04.07.2020 N 985). | |
7.3.11. Крен фундамента i на оттаивающем основании, вызванный внецентренными нагрузками, неравномерным оттаиванием и неоднородностью грунтов, а также влиянием близко расположенных фундаментов, следует определять по формуле

, (7.24)
где

и

- осадка краев фундамента;
b - размер фундамента в направлении крена.
7.3.12. Расчет гибких ленточных фундаментов на оттаивающих в процессе эксплуатации сооружения грунтах надлежит производить с учетом переменной по длине фундамента осадки основания, обусловленной неравномерным оттаиванием грунтов под сооружением. При определении реактивных давлений оттаивающего грунта на подошву фундамента допускается рассматривать оттаивающий грунт как линейно-деформируемое основание, характеризуемое переменным по длине фундамента коэффициентом постели.
| | Применение на обязательной основе п. 7.3.13 обеспечивает соблюдение требований Федерального закона от 30.12.2009 N 384-ФЗ "Технический регламент о безопасности зданий и сооружений" (Постановление Правительства РФ от 04.07.2020 N 985). | |
7.3.13. Осадку s свайных фундаментов из висячих свай, погруженных в предварительно оттаянные грунты, в том числе при их локальном оттаивании
(6.4.3), следует определять как для условного фундамента, границы которого принимаются согласно
СП 24.13330. При этом следует учитывать возможность проявления отрицательных (негативных) сил трения по периметру условного фундамента или по поверхности отдельных свай
(7.3.16), а также воздействие горизонтальных усилий на фундаменты в периферийных частях зоны оттаивания.
7.3.14. Расчет свай-стоек по несущей способности при опирании их на скальные или другие малосжимаемые при оттаивании грунты следует производить исходя из условия

, (7.25)
где F - расчетная нагрузка на сваю, кН;

- несущая способность основания одиночной сваи, кН, определяемая по указаниям
7.3.15;

- коэффициент надежности, принимаемый в соответствии с указаниями
СП 24.13330 в зависимости от вида сооружения, конструкции фундаментов и принятого способа определения несущей способности свай;

- коэффициент условий работы грунта по боковой поверхности свай в пределах зоны оттаивания, определяемый по опытным данным с учетом способов погружения свай; в запас надежности допускается принимать:

- для забивных и бурозабивных;

для буронабивных и буроопускных свай с цементно-песчаным заполнителем пазух и

- для буроопускных свай с пылевато-глинистым заполнителем пазух;

- отрицательная (негативная) сила трения, кН, определяемая по указаниям
7.3.16.
| | Применение на обязательной основе п. 7.3.15 обеспечивает соблюдение требований Федерального закона от 30.12.2009 N 384-ФЗ "Технический регламент о безопасности зданий и сооружений" (Постановление Правительства РФ от 04.07.2020 N 985). | |
7.3.15. Несущую способность основания сваи-стойки

, кН, следует определять по формулам для защемленных свай-стоек, заделанных в невыветрелый скальный (без слабых прослоек) грунт не менее чем на 0,5 м

; (7.26)
для незащемленных свай-стоек

, (7.27)
где

- нормативное значение временного сопротивления грунта под нижним концом сваи одноосному сжатию в оттаявшем водонасыщенном состоянии, кПа;
A - площадь опирания сваи на грунт, м2, принимаемая для незащемленных свай-стоек сплошного сечения или полых, нижний конец которых заполнен в пределах высоты трех диаметров бетоном, равной площади поперечного сечения брутто; для защемленных свай-стоек - площади поперечного сечения нижней части (забоя) скважины;

- коэффициент надежности по грунту, принимаемый: для незащемленных свай-стоек равным 1,0, для защемленных - 1,4;

и

- соответственно глубина заделки сваи в скальный грунт и наибольшее поперечное сечение заделанной части сваи, м.
Значение фактора заглубления

принимается не более 3.
Для окончательных расчетов оснований сооружений, а также оснований, сложенных выветрелыми, размягчаемыми, со слабыми прослойками скальными грунтами, несущую способность сваи-стойки

следует принимать по результатам испытаний свай статической нагрузкой.
| | Применение на обязательной основе п. 7.3.16 обеспечивает соблюдение требований Федерального закона от 30.12.2009 N 384-ФЗ "Технический регламент о безопасности зданий и сооружений" (Постановление Правительства РФ от 04.07.2020 N 985). | |
7.3.16. Отрицательная (негативная) сила трения оттаивающего грунта по боковой поверхности сваи

, (7.28)
где

- периметр поперечного сечения сваи, м;

- отрицательное трение i-го слоя оттаивающего грунта по боковой поверхности сваи, кПа, определяемое по опытным данным; допускается принимать расчетные значения

по
СП 24.13330;

- толщина i-го слоя оттаивающего грунта.
| | Применение на обязательной основе п. 7.3.17 обеспечивает соблюдение требований Федерального закона от 30.12.2009 N 384-ФЗ "Технический регламент о безопасности зданий и сооружений" (Постановление Правительства РФ от 04.07.2020 N 985). | |
7.3.17. Расчет конструкций свайных фундаментов следует выполнять в соответствии с указаниями
СП 24.13330 с учетом инженерно-геокриологических условий. Расчет свай по прочности и деформациям материала может выполняться по рекомендациям
Приложения Ж, с учетом отрицательных (негативных) сил трения оттаивающего грунта по боковой поверхности сваи

, определяемых по
7.3.16, и усилий в сваях от горизонтальных нагрузок и воздействий, определенных согласно
7.2.13.
7.4. Расчет оснований и фундаментов по устойчивости
и прочности на воздействие сил морозного пучения
| | Применение на обязательной основе п. 7.4.1 обеспечивает соблюдение требований Федерального закона от 30.12.2009 N 384-ФЗ "Технический регламент о безопасности зданий и сооружений" (Постановление Правительства РФ от 04.07.2020 N 985). | |
7.4.1. Расчет оснований и фундаментов по устойчивости и прочности на воздействие сил морозного пучения грунтов следует производить как для условий эксплуатации сооружения, так и для условий периода строительства, если до передачи на фундаменты проектных нагрузок возможно промерзание грунтов слоя сезонного оттаивания (промерзания), при несливающейся мерзлоте - талого слоя со стороны многолетнемерзлых грунтов. В проекте должны быть предусмотрены мероприятия по предотвращению выпучивания фундаментов в период строительства.
(в ред.
Изменения N 1, утв. Приказом Минстроя России от 07.11.2016 N 779/пр)
Для снижения касательных сил морозного пучения боковая поверхность свай и фундаментов в слое сезонного промерзания-оттаивания должна быть покрыта противопучинистыми смазками, устойчивыми к механическому воздействию. Для буроопускных свай пазухи в слое сезонного промерзания - оттаивания заполняются непучинистым материалом (сухой песок и др.).
(абзац введен
Изменением N 1, утв. Приказом Минстроя России от 07.11.2016 N 779/пр)
| | Применение на обязательной основе п. 7.4.2 обеспечивает соблюдение требований Федерального закона от 30.12.2009 N 384-ФЗ "Технический регламент о безопасности зданий и сооружений" (Постановление Правительства РФ от 04.07.2020 N 985). | |
7.4.2. Устойчивость фундаментов на действие касательных сил морозного пучения грунтов надлежит проверять по условию
(в ред.
Изменения N 1, утв. Приказом Минстроя России от 07.11.2016 N 779/пр)

, (7.29)
где

- расчетная удельная касательная сила пучения, кПа, принимаемая согласно указаниям
7.4.3;

- площадь боковой поверхности смерзания фундамента в пределах расчетной глубины сезонного промерзания-оттаивания грунта, м
2;
F - расчетная нагрузка на фундамент, кН, принимаемая с коэффициентом 0,9 по наиболее невыгодному сочетанию нагрузок и воздействий, включая выдергивающие (ветровые, крановые и т.п.);

- расчетное значение силы, удерживающей фундамент от выпучивания, кН, принимаемое по указаниям
7.4.4;

- коэффициент условий работы, принимаемый равным 1,0;

- коэффициент надежности по назначению сооружения, принимаемый равным 1,1, а для фундаментов опор мостов - 1,3.
7.4.3. Расчетную удельную касательную силу морозного пучения

, кПа, следует определять опытным путем. Для сооружений II и III уровней ответственности значения

допускается принимать по таблице 7.8 в зависимости от состава, влажности и глубины сезонного промерзания и оттаивания грунтов

.
(в ред.
Изменения N 1, утв. Приказом Минстроя России от 07.11.2016 N 779/пр)
Таблица 7.8
Грунты и степень водонасыщения | Значения  , кПа, при глубине сезонного промерзания-оттаивания  , м |
1,0 | 2,0 | 3,0 |
Глинистые при показателе текучести IL > 0,5, пески мелкие и пылеватые при степени влажности Sr > 0,95 | 130 | 110 | 90 |
Глинистые при 0,25 < IL <= 0,5, пески мелкие и пылеватые при 0,8 < Sr <= 0,95, крупно обломочные с заполнителем (глинистым, мелкопесчаным и пылеватым) свыше 30% | 100 | 90 | 70 |
Глинистые при IL <= 0,25, пески мелкие и пылеватые при 0,6 < Sr <= 0,8, а также крупнообломочные с заполнителем (глинистым, мелкопесчаным и пылеватым) от 10 до 30% | 80 | 70 | 50 |
Примечания. 1. Приведенные в таблице значения  относятся к поверхности бетонного фундамента. Для фундаментов из других материалов табличные значения  должны умножаться на коэффициент  , значения которого даны в Приложении В. 2. Для поверхностей фундаментов, покрытых специальными составами, уменьшающими силы смерзания, а также при применении других противопучинных мероприятий значение  следует принимать на основании опытных данных, полученных в полевых или лабораторных условиях. |
(в ред. Изменения N 1, утв. Приказом Минстроя России от 07.11.2016 N 779/пр) |
Касательные силы морозного пучения определяются по результатам полевых или лабораторных испытаний.
(абзац введен
Изменением N 1, утв. Приказом Минстроя России от 07.11.2016 N 779/пр)
Касательные силы морозного пучения, действующие на сваю или фундамент, по результатам лабораторных испытаний определяются следующим образом:
1) В конце зимнего периода строятся графики изменения температуры грунта по глубине до границы фазовых переходов (глубины промерзания грунта df). Значения температуры грунта определяют на площадке строительства. Допускается определять температуру грунта по глубине расчетным путем, в том числе численными методами.
2) График температуры разбивается на три участка: первый участок - от глубины промерзания грунта до глубины, на которой зафиксирована температура минус 1 °C; второй участок - от глубины, на которой зафиксирована температура минус 1 °C, до глубины, на которой зафиксирована температура минус 2 °C; третий участок - от глубины, на которой зафиксирована температура минус 2 °C, до поверхности грунта (см.
рисунок 1).
3) Касательная сила морозного пучения Ff, кН, будет равна сумме произведений удельной касательной силы морозного пучения, полученной в лабораторных условиях для разных температур (минус 1 °C, минус 2 °C, минус 6 °C), и площади боковой поверхности фундамента, где температура грунта соответствует указанным выше значениям:

, (7.29а)
где

,

,

- удельные касательные силы пучения, кПа, определяемые для следующих температур соответственно минус 1 °C, минус 2 °C и минус 6 °C;
A1, A2, A3 - площади боковой поверхности фундамента для трех участков согласно данному перечислению.
Рисунок 1 - Схематический график распределения температуры
грунта для расчета касательной силы морозного пучения
(абзац введен
Изменением N 1, утв. Приказом Минстроя России от 07.11.2016 N 779/пр)
| | Применение на обязательной основе п. 7.4.4 обеспечивает соблюдение требований Федерального закона от 30.12.2009 N 384-ФЗ "Технический регламент о безопасности зданий и сооружений" (Постановление Правительства РФ от 04.07.2020 N 985). | |
7.4.4. Расчетное значение силы

, кН, удерживающей фундаменты от выпучивания, следует определять по формулам:
при использовании многолетнемерзлых грунтов по принципу I

; (7.30)
при использовании многолетнемерзлых грунтов по принципу II

, (7.31)
где u - периметр сечения поверхности сдвига, м, принимаемый равным: для свайных и столбчатых фундаментов без анкерной плиты - периметру сечения фундамента; для столбчатых фундаментов с анкерной плитой - периметру анкерной плиты;

- расчетное сопротивление i-го слоя многолетнемерзлого грунта сдвигу по поверхности смерзания, кПа, принимаемое по испытаниям и таблицам
Приложения В;

- толщина i-го слоя мерзлого или талого грунта, расположенного ниже подошвы слоя сезонного промерзания-оттаивания, м;

- расчетное сопротивление i-го слоя талого грунта сдвигу по поверхности фундамента, кПа, принимаемое в соответствии с требованиями
СП 24.13330, с учетом
примечания к 7.3.1.
| | Применение на обязательной основе п. 7.4.5 обеспечивает соблюдение требований Федерального закона от 30.12.2009 N 384-ФЗ "Технический регламент о безопасности зданий и сооружений" (Постановление Правительства РФ от 04.07.2020 N 985). | |
7.4.5. Заанкеренный столбчатый фундамент должен быть проверен на отрыв силами морозного пучения стойки фундамента от анкерной плиты. Усиление

, кН, разрывающее заанкеренный фундамент, определяется по формуле

, (7.32)
где

- площадь боковой поверхности стойки фундамента, находящейся в пределах слоя сезонного промерзания-оттаивания грунта, м
2.
7.4.6. Поверхностные, малозаглубленные фундаменты и свайные ростверки, закладываемые в слое сезонного промерзания-оттаивания грунтов, следует рассчитывать по устойчивости на действие нормальных сил морозного пучения и по деформациям.
Устойчивость фундаментов на действие нормальных сил морозного пучения проверяется по формуле

, (7.33)
где

- удельное нормальное давление пучения грунта на подошву фундамента и ростверка, кПа, устанавливаемое по опытным данным;

- площадь подошвы фундамента и ростверка, м
2.
Расчет по деформациям следует производить с учетом совместной работы сооружения и неравномерно выпучиваемого основания. При этом возникающие в результате неравномерных поднятий и опусканий фундаментов дополнительные усилия в конструкциях сооружения не должны превышать предельно допустимых значений, а крены и прогибы не препятствовать нормальной эксплуатации сооружения.
(в ред.
Изменения N 1, утв. Приказом Минстроя России от 07.11.2016 N 779/пр)
| | Применение на обязательной основе разд. 8 (за исключением п. п. 8.7 - 8.9) обеспечивает соблюдение требований Федерального закона от 30.12.2009 N 384-ФЗ "Технический регламент о безопасности зданий и сооружений" (Постановление Правительства РФ от 04.07.2020 N 985). | |
8. Особенности проектирования оснований и фундаментов
на сильнольдистых многолетнемерзлых грунтах
и подземных льдах
8.1. При проектировании оснований и фундаментов на сильнольдистых многолетнемерзлых грунтах и подземных льдах следует предусматривать использование таких грунтов в качестве основания по принципу I. В случаях необходимости использования сильнольдистых грунтов по принципу II должны обязательно предусматриваться мероприятия по их предварительному оттаиванию или замене льдистых грунтов на непросадочные на расчетную глубину согласно
6.1.6 и
7.3.10.
(в ред.
Изменения N 1, утв. Приказом Минстроя России от 07.11.2016 N 779/пр)
8.2. Для предотвращения деформаций поверхности планировки у сооружений и развития термокарста вследствие оттаивания подземных льдов или сильнольдистых грунтов, залегающих на небольшой глубине от поверхности, необходимо предусматривать устройство теплоизоляционной подсыпки и (или) теплозащитных экранов в пределах всей застраиваемой площадки. Толщина подсыпки

, а также параметры теплозащитных экранов определяются прогнозным теплотехническим расчетом из условия сохранения природного температурного состояния грунтов и положения верхней поверхности многолетнемерзлого грунта или ее повышения. Для сплошных подсыпок значение

, м, допускается определять по формуле

, (8.1)
где

и

- нормативные глубины сезонного оттаивания соответственно природного грунта и грунта подсыпки, м, определяемые согласно
Приложению Г;

- допустимая глубина сезонного оттаивания природного грунта под подсыпкой, м.
| | ИС МЕГАНОРМ: примечание. В официальном тексте документа, видимо, допущена опечатка: пункт 7.5.4 отсутствует. | |
Требования к материалу подсыпок, способам их укладки и уплотнения устанавливаются в проекте с учетом местных условий и
6.3.14 и 7.5.4.
8.3. Основания фундаментов, закладываемых в пределах толщины подсыпки, следует рассчитывать по несущей способности и деформациям в соответствии с требованиями
СП 22.13330. При отсутствии мероприятий по укреплению откоса подсыпки, расстояние от цоколя сооружения до бровки подсыпки должно быть не менее 3 м, а крутизна откосов подсыпки не более 1:1,5 для крупнообломочных грунтов, 1:1,75 - для песков и 1:2 - для прочих материалов.
Если столбчатые или ленточные фундаменты устанавливаются на многолетнемерзлые грунты, содержащие подземные льды, между их подошвой и слоем подземного льда должна быть прослойка природного грунта, искусственно уложенная с уплотнением грунтовая подушка и (или) несущий теплозащитный экран. Толщину прослойки (подушки) следует принимать исходя из расчета основания по деформации, но не менее четверти ширины подошвы фундамента. Параметры теплозащитного экрана определяются теплотехническим расчетом с учетом теплопередачи от здания к грунту основания по фундаменту.
8.4. При устройстве свайных фундаментов на участках с сильнольдистыми грунтами и подземными льдами следует применять буроопускные сваи с заливкой известково-песчаных или цементно-песчаных растворов с расстоянием в осях не менее двух диаметров скважины. Сваи не должны опираться на прослои льда, а под их торцом следует устраивать уплотненную грунтовую подушку толщиной не менее диаметра сваи. Оттаивание грунта вокруг сваи и под ее нижним торцом не допускаются.
8.5. Расчет оснований по несущей способности следует проводить с учетом изменения температур в течение эксплуатации:
для столбчатых фундаментов на сильнольдистых грунтах и подземных льдах - по
8.7;
для свайных фундаментов в сильнольдистых грунтах - по
8.9, а в подземных льдах - по данным полевых испытаний свай статической вдавливающей нагрузкой.
8.6. Расчет оснований по деформациям следует производить:
для столбчатых фундаментов на сильнольдистых грунтах и подземных льдах - по указаниям 8.8;
для свайных фундаментов в сильнольдистых грунтах и подземных льдах - по данным полевых испытаний свай статической вдавливающей нагрузкой.
8.7. Силу предельного сопротивления (несущую способность) основания столбчатого фундамента на сильнольдистых грунтах и подземных льдах следует определять по
7.2.2, при этом значения R и

допускается принимать по
таблицам В.2 и
В.3.
8.8. Осадку основания столбчатого фундамента на сильнольдистых грунтах и подземных льдах s следует определять по формуле

, (8.2)
где

- осадка, обусловленная уплотнением основания под нагрузкой, определяемая по
И.1;

- осадка, обусловленная пластично-вязким течением грунта за заданный срок эксплуатации сооружения, определяемая по формуле

, (8.3)
здесь

- заданный срок эксплуатации здания (сооружения), год;
v - скорость осадки, м/год, определяемая исходя из модели линейно- или нелинейновязкого полупространства; допускается определять по
Приложению И.
8.9. Несущую способность основания свайного фундамента

в сильнольдистых грунтах следует определять по данным полевых испытаний свай. Допускается определять несущую способность сваи расчетом в соответствии с
7.2.2 и
7.2.3 по наименьшему значению

, полученному по условиям ее сопротивления сдвигу по грунтовому раствору и сдвигу грунтового раствора по контакту с льдистым грунтом. В последнем случае значение

, кН, следует рассчитывать по формуле
(в ред.
Изменения N 1, утв. Приказом Минстроя России от 07.11.2016 N 779/пр)

, (8.4)
R - расчетное сопротивление сильнольдистого грунта или льда под нижним концом сваи, кПа, определяемое для сильнольдистых грунтов интерполяцией между значениями R по
таблицам В.1 и
В.7, а для льдов - по
таблице В.7;

- площадь поперечного сечения скважины, м
2;

- льдистость за счет ледяных включений j-го слоя грунта;

;

- расчетные сопротивления сдвигу грунтового раствора по многолетнемерзлому грунту и грунтового раствора по льду для середины j-го слоя, кПа, принимаемые соответственно по
таблицам В.4 и
В.7;

- площадь поверхности сдвига в j-м слое, определяемая в зависимости от диаметра скважины, м
2.
Если прочность смерзания грунтового раствора с поверхностью сваи

, то расчет несущей способности сваи

по
формуле (8.4) следует производить при значениях

, принимая площадь поверхности сдвига в j-м слое грунта

равной площади поверхности сваи в этом слое.
Примечание. В случаях, когда под торцом сваи предусматривается устройство грунтовой подушки, то значение R в
формуле (8.4) принимается для грунта подушки. При этом предельная нагрузка на торец сваи определяется по
формуле (8.4), как для сваи, диаметр которой равен диаметру скважины, а длина - толщине подушки.
| | Применение на обязательной основе разд. 9 (за исключением пунктов 9.2, 9.3 - 9.5) обеспечивает соблюдение требований Федерального закона от 30.12.2009 N 384-ФЗ "Технический регламент о безопасности зданий и сооружений" (Постановление Правительства РФ от 04.07.2020 N 985). | |
9. Особенности проектирования оснований и фундаментов
на засоленных многолетнемерзлых грунтах
9.1. Для проектирования фундаментов на засоленных многолетнемерзлых грунтах материалы изысканий должны содержать данные об условиях залегания засоленных грунтов, степени их засоленности, а также о химическом составе водно-растворимых солей.
Засоленные многолетнемерзлые грунты могут использоваться в качестве основания сооружений как по принципу I, так и по принципу II. При этом должно учитываться повышенное коррозийное воздействие засоленных грунтов на материал фундаментов.
Примечание. Пылеватые грунты северного морского побережья с преобладанием солей натрий-калиевого состава относятся к засоленным.
(в ред.
Изменения N 1, утв. Приказом Минстроя России от 07.11.2016 N 779/пр)
9.2. Основания и фундаменты на засоленных многолетнемерзлых грунтах при использовании таких грунтов в качестве основания по принципу I следует проектировать согласно
6.3.1 -
6.3.14 с учетом следующих особенностей:
а) температура начала замерзания засоленных грунтов

ниже температуры замерзания аналогичных видов незасоленных грунтов и ее следует устанавливать опытным путем с учетом указаний
Приложения Б;
б) переход засоленных грунтов из пластично-мерзлого в твердомерзлое состояние происходит при более низких температурах, чем аналогичных незасоленных грунтов, и должен приниматься по данным опытного определения коэффициента их сжимаемости

с учетом указаний
5.3;
в) засоленные мерзлые грунты отличаются пониженной прочностью и малыми значениями сопротивлений сдвигу по поверхности смерзания с фундаментом;
г) на участках с засоленными грунтами может быть несколько засоленных горизонтов с разной степенью засоленности, а также могут встречаться отдельные слои или линзы насыщенных сильно минерализованными водами грунтов, находящихся в немерзлом состоянии при отрицательной температуре (криопеги), вскрытие которых скважинами при погружении свай приводит к повышенному засолению грунтов по всей длине сваи.
9.3. При строительстве на засоленных грунтах следует применять фундаменты, обеспечивающие наиболее полное использование сопротивления мерзлых грунтов нормальному давлению (плитные, столбчатые и ленточные фундаменты, сваи с уширенной пятой и др.). При буроопускном способе погружения свай скважины должны быть диаметром, не менее чем на 10 см большим поперечного сечения сваи, и заполняться, как правило, известково-песчаным или цементно-песчаным раствором. Под нижним концом сваи следует устраивать уплотненную подушку из щебня.
9.4. Несущую способность оснований столбчатых и свайных фундаментов на засоленных многолетнемерзлых грунтах при использовании их по принципу I следует определять согласно
7.2.2 -
7.2.3. При этом расчетные значения сопротивления грунтов нормальному давлению и сдвигу по поверхности смерзания R и

надлежит принимать по опытным данным. Для сооружений III уровня ответственности, а также при привязке типовых проектов к местным условиям значения R и

допускается принимать по
таблицам В.5 и
В.6.
(в ред.
Изменения N 1, утв. Приказом Минстроя России от 07.11.2016 N 779/пр)
9.5. При расчетах несущей способности оснований буроопускных свай засоленность грунтового раствора и сопротивления сдвигу по поверхности сваи

следует принимать по засоленности и значениям

прилегающего природного грунта. Если несущая способность буроопускных свай определена по результатам полевых испытаний, то расчетную несущую способность таких свай следует принимать с понижающим коэффициентом, учитывающим изменение температурного состояния и степени засоленности грунтового раствора в процессе эксплуатации сооружения, устанавливаемым по опыту местного строительства или по данным специальных исследований.
Примечание. Для опускных и буроопускных свай расчетные значения

допускается принимать при средневзвешенном значении засоленности грунтов по длине сваи.
9.6. Расчет оснований и фундаментов на засоленных многолетнемерзлых грунтах по деформациям следует производить согласно
7.2.15,
7.2.16, как на пластично-мерзлых грунтах.
9.7. При расчетных деформациях оснований, сложенных мерзлыми засоленными грунтами, больше предельных или недостаточной несущей способности основания следует предусматривать частичную или полную замену засоленных грунтов на незасоленные, дополнительное понижение температуры грунтов, прорезку засоленных слоев грунта глубокими фундаментами, устройство фундаментов на подсыпках, распределяющих нагрузки на мерзлые грунты оснований, и другие мероприятия, а в необходимых случаях осуществлять строительство с использованием засоленных многолетнемерзлых грунтов в качестве оснований по принципу II.
9.8. Основания и фундаменты на засоленных многолетнемерзлых грунтах при использовании их в качестве оснований сооружений по принципу II следует проектировать в соответствии с
6.4.1 -
6.4.7 и требованиями
СП 22.13330,
СП 24.13330 и
СП 28.13330.
| | Применение на обязательной основе разд. 10 (за исключением п. 10.3) обеспечивает соблюдение требований Федерального закона от 30.12.2009 N 384-ФЗ "Технический регламент о безопасности зданий и сооружений" (Постановление Правительства РФ от 04.07.2020 N 985). | |
10. Особенности проектирования оснований и фундаментов
на заторфованных многолетнемерзлых грунтах
10.1. Основания и фундаменты на заторфованных многолетнемерзлых грунтах и торфах, а также на грунтах с примесью органических остатков надлежит проектировать в соответствии с указаниями
раздела 7 и требованиями
СП 22.13330 с учетом их большой сжимаемости под нагрузкой, проявлением пластических деформаций в широком диапазоне отрицательных температур, пониженной прочностью смерзания с фундаментами, низкой теплопроводностью и замедленной стабилизацией осадок при оттаивании, а также с учетом требований
СП 28.13330.
(в ред.
Изменения N 1, утв. Приказом Минстроя России от 07.11.2016 N 779/пр)
10.2. При использовании заторфованных грунтов в качестве оснований по принципу I следует применять плитные, столбчатые и свайные фундаменты, а также малозаглубленные и поверхностные фундаменты на подсыпках. Сваи следует погружать буроопускным способом в скважины диаметром, на 10 см большим поперечного сечения сваи, с заполнением пазух цементно-песчаным раствором или другим раствором по проекту; опирание свай на прослои торфа не допускается. Под подошвой плитных и столбчатых фундаментов следует устраивать песчаную подушку толщиной не менее: для плитных фундаментов - 0,3 м, для столбчатых - половины ширины подошвы фундамента. При небольшой толщине покровного торфяного слоя следует предусматривать его удаление.
(в ред.
Изменения N 1, утв. Приказом Минстроя России от 07.11.2016 N 779/пр)
10.3. Расчет несущей способности оснований столбчатых и свайных фундаментов на заторфованных грунтах при их использовании по принципу I производится согласно
7.2.2 -
7.2.3. При этом расчетные значения сопротивления этих грунтов нормальному давлению и сдвигу по поверхности смерзания с фундаментом R и

следует принимать по опытным данным. Для сооружений пониженного уровня ответственности, а также для предварительных расчетов оснований значения R и

допускается принимать по
таблице В.8.
(в ред.
Изменения N 1, утв. Приказом Минстроя России от 07.11.2016 N 779/пр)
Основания фундаментов, возводимых на подсыпках, следует рассчитывать по несущей способности грунтов подсыпки с проверкой силы предельного сопротивления основания на уровне поверхности природных заторфованных грунтов с учетом расчетной глубины сезонного оттаивания. Если расчетная глубина оттаивания больше толщины подсыпки, то основание должно быть также рассчитано по деформациям.
10.4. Расчет оснований, сложенных биогенными грунтами, по деформациям надлежит производить: столбчатых - по
7.2.15,
7.2.16; свайных - по результатам полевых испытаний свай статической вдавливающей нагрузкой.
10.5. Основания и фундаменты на заторфованных грунтах при использовании таких грунтов в качестве оснований по принципу II необходимо проектировать в соответствии с
6.4.1 -
6.4.5 и требованиями
СП 22.13330 и
СП 24.13330.
| | Применение на обязательной основе разд. 11 (за исключением п. 11.2) обеспечивает соблюдение требований Федерального закона от 30.12.2009 N 384-ФЗ "Технический регламент о безопасности зданий и сооружений" (Постановление Правительства РФ от 04.07.2020 N 985). | |
11. Особенности проектирования оснований и фундаментов
на многолетнемерзлых грунтах в сейсмических районах
11.1. Основания и фундаменты сооружений, возводимых на многолетнемерзлых грунтах на площадках с расчетной сейсмичностью 7, 8 и 9 баллов, следует проектировать с учетом требований
СП 14.13330,
СП 22.13330,
СП 24.13330,
СП 35.13330 и требований настоящих норм.
11.2. Для сейсмических районов с расчетной сейсмичностью 7, 8 и 9 баллов следует предусматривать использование многолетнемерзлых грунтов в качестве основания по принципу I. При невозможности использования грунтов в качестве основания по принципу I допускается использование их по принципу II при условии опирания фундаментов на скальные или другие малосжимаемые при оттаивании грунты или на предварительно оттаянные и уплотненные грунты.
(в ред.
Изменения N 1, утв. Приказом Минстроя России от 07.11.2016 N 779/пр)
11.3. В сейсмических районах следует применять те же виды свай, что и в несейсмических районах, кроме свай без поперечного армирования. Глубина погружения свай в грунт (исключая сваи-стойки) должна быть не менее 4 м.
11.4. Расчет оснований и фундаментов по несущей способности на вертикальную нагрузку с учетом сейсмических воздействий следует производить согласно
7.2.1, при этом силу предельного сопротивления основания надлежит определять с учетом 11.5,
11.6, а коэффициент надежности

принимать:
при использовании многолетнемерзлых грунтов в качестве основания по принципу I - по
7.2.1;
при использовании многолетнемерзлых грунтов в качестве основания по принципу II - для фундаментов на естественном основании -

, а для свайных - по требованиям
СП 24.13330.
11.5. Несущую способность вертикально нагруженной висячей сваи

, а также столбчатого фундамента при использовании многолетнемерзлых грунтов в качестве основания по принципу I, с учетом сейсмических воздействий следует определять согласно
7.2.2 и
Приложению Л; при этом расчетное сопротивление грунта или грунтового раствора сдвигу по поверхности смерзания с фундаментом

и расчетное давление мерзлого грунта под нижним концом сваи или подошвой столбчатого фундамента R, а также сопротивления мерзлого грунта под нижним концом
Rc и по боковой поверхности смерзания
Rafc, рассчитанные по данным полевых методов испытаний, надлежит умножать на коэффициент условий работы основания

, принимаемый по таблице 11.1.
(в ред.
Изменения N 1, утв. Приказом Минстроя России от 07.11.2016 N 779/пр,
Изменения N 3, утв. Приказом Минстроя России от 24.01.2019 N 42/пр)
Таблица 11.1
Расчетная сейсмичность в баллах | Коэффициент условий работы  для грунтов |
твердомерзлых | пластично-мерзлых | сыпучемерзлых |
7 | 1,0 | 0,9 | 0,95 |
8 | 1,0 | 0,8 | 0,9 |
9 | 1,0 | 0,7 | 0,8 |
Примечание. При опирании свай-стоек на скальные или несжимаемые крупноблочные грунты значение коэффициента  принимается равным 1,0. |
(в ред. Изменения N 1, утв. Приказом Минстроя России от 07.11.2016 N 779/пр) |
Для свай в пластично-мерзлых грунтах значение

следует принимать равным нулю в пределах от верхней границы многолетнемерзлых грунтов до расчетной глубины

, м, определяемой по формуле

, (11.1)
где

- коэффициент деформации системы "свая-грунт", определяемый по результатам испытаний в соответствии с 11.6.
11.6. Расчет свай по прочности материала на совместное действие расчетных усилий (продольной силы, изгибающего момента и поперечной силы) при использовании многолетнемерзлых оснований по принципу I следует производить в зависимости от расчетных значений сейсмических нагрузок в соответствии с требованиями
СП 24.13330 с учетом
7.2.13. При этом для свай в пластично-мерзлых грунтах коэффициент деформации системы "свая-грунт"

, следует определять по результатам испытаний свай статической горизонтальной нагрузкой по формуле

, (11.2)
где

- горизонтальная нагрузка, кН, принимаемая равной

;
здесь

- горизонтальная предельная нагрузка, кН, в уровне поверхности грунта, при которой перемещение испытуемой сваи начинает возрастать без увеличения нагрузки;

- горизонтальное перемещение сваи в уровне поверхности грунта, м, определяемое по графику зависимости горизонтальных перемещений от нагрузки при условной стабилизации перемещений, если расчет ведется на статические нагрузки, и без условной стабилизации перемещений, если расчет ведется на сейсмические воздействия;

- модуль упругости материала свай, кПа;
I - момент инерции сечения сваи, м4.
11.7. Проверку основания столбчатого фундамента на горизонтальную и внецентренно сжимающую нагрузки с учетом сейсмических воздействий при использовании многолетнемерзлых грунтов в качестве основания по принципу I следует производить на опрокидывание и сдвиг по подошве фундамента с учетом
7.2.12.
При действии сейсмических нагрузок, создающих моменты сил в обоих направлениях подошвы фундамента, расчет основания надлежит производить раздельно на действие сил и моментов в каждом направлении независимо друг от друга.
11.8. Расчет оснований и фундаментов с учетом сейсмических воздействий при использовании многолетнемерзлых грунтов по принципу II необходимо производить в соответствии со
СП 22.13330,
СП 24.13330 и
7.3.1 -
7.3.15 по расчету оттаивающих оснований. При этом отрицательные (негативные) силы трения, вызванные осадкой оттаивающих грунтов, в расчетах оснований на сейсмические воздействия не учитываются, если оттаивающее основание сложено песчаными и крупнообломочными грунтами, осадки которых завершаются в процессе их оттаивания.
| | Применение на обязательной основе разд. 12 (за исключением п. п. 12.4, 12.9, 12.10, 12.12, 12.13, 12.17, 12.18) обеспечивает соблюдение требований Федерального закона от 30.12.2009 N 384-ФЗ "Технический регламент о безопасности зданий и сооружений" (Постановление Правительства РФ от 04.07.2020 N 985). | |
12. Особенности проектирования оснований
и фундаментов мостов и труб под насыпями
12.1. Основания и фундаменты мостов и труб под насыпями (труб), возводимых на территориях распространения многолетнемерзлых грунтов, следует проектировать с учетом дополнительных требований, содержащихся в настоящем разделе. Требования по проектированию приведены в
[4].
12.2. В проектах фундаментов мостов и труб необходимо дополнительно (по сравнению с фундаментами зданий) учитывать влияние следующих факторов:
воздействие на сооружения, кроме вертикальных, значительных горизонтальных сил от временных подвижных нагрузок, давлений грунта и льда;
уменьшение несущей способности оснований вследствие размывов дна водотока или отепляющего воздействия воды на многолетнемерзлые грунты;
возрастание сил морозного пучения грунтов из-за повышенной их влажности вблизи водотоков и уменьшение этих сил при увеличении толщины снегового покрова;
нарушение устойчивости береговых склонов вследствие проявления оползневых процессов;
появление наледи в пределах сооружений.
12.3. Нагрузки и воздействия на фундаменты мостов и труб следует принимать в соответствии с требованиями
СП 35.13330.
12.4. В основаниях фундаментов мостов многолетнемерзлые грунты следует использовать по принципу I, если на уровне низа свайных элементов (свай-столбов, свай-оболочек) в течение всего периода эксплуатации сооружений грунты будут находиться в твердомерзлом состоянии. Допускается использовать по принципу I пластично-мерзлые грунты, включая засоленные, при условии, что в течение всего периода эксплуатации сооружений будет обеспечена их отрицательная температура, требуемая по расчету несущей способности оснований.
(в ред.
Изменения N 1, утв. Приказом Минстроя России от 07.11.2016 N 779/пр)
Возможность использования многолетнемерзлых грунтов в качестве оснований по принципу II для фундаментов мелкого заложения и свайных должна определяться исходя из общих требований
6.1.3,
6.1.4 и
6.1.6.
12.5. Прогноз изменений температурного режима многолетнемерзлых грунтов численными методами, используемых в качестве оснований по принципу I, осуществление в случае необходимости специальных мероприятий по обеспечению мерзлого состояния грунтов и контроль их температуры в течение всего периода эксплуатации сооружений следует выполнять по указаниям ведомственных строительных норм.
(в ред.
Изменения N 1, утв. Приказом Минстроя России от 07.11.2016 N 779/пр)
12.6. СОУ и теплозащитные экраны необходимо применять в случаях практической невозможности или недостаточной эффективности других решений для поддержания на весь период эксплуатации сооружений температуры грунтов, требуемой по расчету несущей способности оснований. Число СОУ следует принимать по расчету с повышающим коэффициентом 1,4. При использовании СОУ следует осуществлять контроль температуры грунтов основания в зоне действия СОУ.
(в ред.
Изменения N 1, утв. Приказом Минстроя России от 07.11.2016 N 779/пр)
12.7. Фундаменты мостов при использовании многолетнемерзлых грунтов в качестве оснований по принципам I и II следует проектировать свайными с ростверком, расположенным над поверхностью грунта или воды. При этом надлежит предусматривать меры, исключающие возможность повреждения свай ледоходом, карчеходом или другими неблагоприятными воздействиями.
(в ред.
Изменения N 1, утв. Приказом Минстроя России от 07.11.2016 N 779/пр)
Фундаменты мелкого заложения (на естественном основании) допускается проектировать для мостов, возводимых на используемых по принципу II многолетнемерзлых грунтах, если после полного оттаивания таких грунтов осадки и крены опор не будут превышать предельно допустимых значений по условиям нормальной эксплуатации сооружений.
(в ред.
Изменения N 1, утв. Приказом Минстроя России от 07.11.2016 N 779/пр)
Для труб следует предусматривать фундаменты мелкого заложения независимо от вида грунтов и принципа их использования в качестве основания при условии, что суммарное значение осадки используемых по принципу II грунтов может быть компенсировано строительным подъемом лотка труб.
(в ред.
Изменения N 1, утв. Приказом Минстроя России от 07.11.2016 N 779/пр)
12.8. Многолетнемерзлые грунты в основании фундаментов малого моста или трубы и прилегающих участков насыпи следует использовать по одному принципу, не допуская опирания их частично на мерзлые и частично на немерзлые или оттаивающие грунты.
(в ред.
Изменения N 1, утв. Приказом Минстроя России от 07.11.2016 N 779/пр)
12.9. В грунтах, подверженных морозному пучению, независимо от принятого принципа их использования в качестве основания подошву фундаментов мелкого заложения для мостов и труб следует заглублять не менее чем на величину, указанную в
таблице 5.3 СП 22.13330 при расположении уровня подземных вод на глубине

, а подошву расположенного в грунте ростверка свайных фундаментов - не менее чем на 0,25 м ниже расчетной глубины сезонного промерзания-оттаивания грунтов.
Если по требованиям глубина заложения фундаментов должна быть не менее расчетной глубины промерзания грунта, все фундаменты, за исключением фундаментов или грунтовых подушек для средних звеньев одноочковых труб отверстием до 2 м, следует заглублять не менее чем на 0,25 м ниже расчетной глубины промерзания грунта. При этом за расчетную глубину промерзания принимается ее нормативное значение.
Фундаменты или грунтовые подушки средних звеньев одноочковых труб отверстием до 2 м допускается закладывать без учета глубины промерзания грунта.
В случаях, когда глубина заложения фундаментов не зависит от расчетной глубины промерзания грунта, соответствующие грунты, указанные в
таблице 5.3 СП 22.13330, должны залегать не менее чем на 1 м ниже нормативной глубины промерзания грунта.
Подошву высокого ростверка свайных фундаментов мостов следует располагать с зазором от поверхности грунта не менее 0,5 м в устоях и 1 м - в промежуточных опорах.
Примечание. Глубину заложения фундаментов и грунтовых подушек под средние звенья труб диаметром 2 м и более следует назначать с учетом уменьшения глубины промерзания грунта в направлении к оси насыпи.
12.10. В не подверженных морозному пучению грунтах подошву ростверка свайных фундаментов или фундаментов мелкого заложения мостов и труб допускается располагать в пределах слоя сезонного промерзания-оттаивания при условии, что нижняя граница толщи таких грунтов залегает не менее чем на 1 м ниже расчетной глубины промерзания и, кроме того, в пределах зоны промерзания отсутствует вероятность образования линзы льда, в том числе и от напорных подземных вод.
12.11. Подошву фундаментов мелкого заложения и нижние концы свай не допускается опирать непосредственно на подземные льды, сильнольдистые грунты, а также на используемые по принципу II заторфованные многолетнемерзлые грунты.
12.12. Расчеты оснований фундаментов мостов и труб следует производить:
а) при использовании твердомерзлых грунтов по принципу I - по несущей способности;
б) при использовании многолетнемерзлых грунтов по принципу II, а глинистых пластично-мерзлых и по принципу I - по несущей способности и по деформациям.
Допускается не определять осадки оснований фундаментов мостов:
а) всех систем и пролетов при опирании фундаментов на многолетнемерзлые грунты, используемые по принципу I, за исключением пластично-мерзлых глинистых грунтов;
б) внешне статически определимых систем железнодорожных мостов с пролетами до 55 м и автодорожных с пролетами до 105 м при опирании фундаментов на используемые по принципу II скальные и другие малосжимаемые при оттаивании грунты.
Расчеты оснований труб следует производить по несущей способности. На сильносжимаемых при оттаивании грунтах, используемых по принципу II, основания труб следует рассчитывать по несущей способности и по деформациям, включая определение их осадки.
(в ред.
Изменения N 1, утв. Приказом Минстроя России от 07.11.2016 N 779/пр)
12.13. Расчет основания свай для фундаментов опор мостов по несущей способности многолетнемерзлых грунтов, используемых по принципу I, следует производить согласно
7.2.1 и
7.2.2. При этом значение

в
формуле (7.1) следует принимать равным 1,4 независимо от числа свай в фундаменте и от положения подошвы ростверка по отношению к поверхности грунта. Значения коэффициентов

и

в
формуле (7.2) допускается принимать равным 1,0.
Для кратковременной части нагрузок расчетные значения R и

исходя
7.2.3 допускается принимать с повышающим коэффициентом

, равным: для свайных фундаментов железнодорожных мостов 1,35 - при одновременном действии постоянных и временных вертикальных нагрузок; 1,5 - при действии постоянных и временных совместно с временными горизонтальными нагрузками (включая сейсмические нагрузки); для свайных фундаментов автодорожных мостов - соответственно 1,5 и 1,75.
Для железнодорожных мостов на станционных и подъездных путях, городских, а также других мостов, на которых возможны систематические остановки на неопределенное время поездов или автотранспорта, значение коэффициента

в
формуле (7.2) следует принимать равным 1,0.
12.14. Расчет оснований свайных фундаментов по несущей способности многолетнемерзлых грунтов, используемых по принципу II, следует производить в соответствии с требованиями
СП 24.13330. При этом расчетное сопротивление оттаивающих грунтов под торцом свай следует принимать по
СП 24.13330, как для буровых свай.
Расчет по несущей способности оснований фундаментов мелкого заложения на многолетнемерзлых грунтах, используемых по принципу II, надлежит производить по
СП 35.13330.
12.15. Фундаменты береговых, переходных и промежуточных опор мостов на крутых склонах, а также фундаменты устоев при высоких насыпях в случаях расположения под несущим слоем пласта немерзлого или оттаивающего (в период эксплуатации моста) глинистого грунта или прослойки насыщенного водой песка, подстилаемого глинистым грунтом, необходимо рассчитывать по устойчивости против глубокого сдвига (смещения фундамента совместно с грунтом) по круглоцилиндрической или другой более опасной поверхности скольжения. Для указанных условий надлежит также проверять возможность появления местных оползневых сдвигов на ранее устойчивых склонах вследствие дополнительного их нагружения весом насыпи и опоры, нарушения устойчивости пластов грунта в процессе производства работ или изменения режима (уровня и скорости течения) подземных и поверхностных вод.
12.16. Фундаменты мостов, возводимых на многолетнемерзлых грунтах, используемых в качестве оснований по принципу II, следует рассчитывать для условий полного оттаивания грунтов основания независимо от их состояния (мерзлое или талое) в период строительства. Расчет по прочности и трещиностойкости свайных элементов следует производить на усилия в расчетных сечениях, возникающие как для мерзлого, так и оттаявшего состояния грунтов основания.
12.17. Свайные фундаменты надлежит рассчитывать на совместное действие вертикальных и горизонтальных сил и моментов, принимая перемещения фундаментов пропорциональными действующим усилиям. Независимо от принципа использования грунтов в качестве основания, не следует учитывать сопротивление грунтов перемещениям заглубленного в грунт ростверка фундаментов. В расчетах, включающих определение свободной длины свай, оттаявшие и пластично-мерзлые грунты допускается рассматривать как линейно-деформируемую среду, характеризуемую коэффициентом постели, принимаемым как для немерзлых грунтов.
При использовании грунтов в качестве основания по принципу I в расчете допускается принимать, что каждый свайный элемент жестко заделан в твердомерзлом грунте на глубине d, считая от уровня, соответствующего расчетной (максимальной) температуре, при которой данный грунт переходит в твердомерзлое состояние; здесь d - диаметр или больший размер поперечного сечения элемента в направлении действия внешних нагрузок.
12.18. В сейсмических районах фундаменты мостов допускается проектировать на любых грунтах, используемых в качестве основания по принципу I. Если грунты используются по принципу II, то следует предусматривать опирание подошвы фундаментов или нижних концов свай преимущественно на скальные или другие малосжимаемые при оттаивании грунты. При учете сейсмических нагрузок расчет свайных фундаментов следует производить согласно
11.4 -
11.8.
13. Особенности проектирования оснований и фундаментов
нефтегазопроводов на многолетнемерзлых грунтах
13.1. Основания и фундаменты магистральных газо- и нефтепроводов (далее магистральные трубопроводы) следует проектировать в соответствии с указаниями
раздела 7 с учетом дополнительных требований, содержащихся в настоящем разделе, а также в
СП 36.13330.
13.2. В техническом задании на проектирование оснований и фундаментов магистральных трубопроводов дополнительно должны содержаться сведения о пределах изменения температуры транспортируемого по трубопроводу продукта.
13.3. При проектировании оснований и фундаментов магистральных трубопроводов следует учитывать:
магистральные трубопроводы имеют повышенный уровень ответственности;
(в ред.
Изменения N 1, утв. Приказом Минстроя России от 07.11.2016 N 779/пр)
транспортируемый по трубопроводу продукт может иметь как положительную, так и отрицательную температуру, что существенно влияет на тепловое и механическое взаимодействие трубопровода и мерзлых грунтов;
в качестве оснований магистральных трубопроводов не рекомендуется рассматривать участки с подземными льдами, наледями и буграми пучения, проявлениями термокарста, термоэрозии, солифлюкции, морозобойного растрескивания;
опасность прямого теплового и гидравлического воздействий транспортируемых нефти и нефтепродуктов на мерзлые грунты при авариях на магистральных трубопроводах.
Примечание. Трубопроводы делят на: горячие участки (температура продукта в течение всего года положительная), теплые участки (температура продукта в течение года может быть и положительной и отрицательной, но среднегодовая температура выше 0 °C) и холодные участки (среднегодовая температура продукта ниже 0 °C). К первым относятся нефтепроводы на всем протяжении и газопроводы на небольшом протяжении после компрессорных станций, ко вторым и третьим - только газопроводы.
13.4. Прокладка трубопроводов в районах многолетнемерзлых грунтов может выполняться подземным (в траншеях), наземным (по поверхности земли с обваловыванием или без него) или надземным (на опорах) способами, в соответствии с
Приложением С. Следует избегать частого чередования различных способов прокладки на сравнительно коротких расстояниях.
(в ред.
Изменения N 1, утв. Приказом Минстроя России от 07.11.2016 N 779/пр)
13.5. Для уменьшения зоны оттаивания мерзлого грунта следует применять автоматически действующие охлаждающие установки (с жидкостным или парожидкостным хладоносителем) и теплоизолирующие экраны. Теплоизоляционные экраны для наземной прокладки следует выполнять плоскими, для подземной - цилиндрическими.
| | Применение на обязательной основе п. 13.6 обеспечивает соблюдение требований Федерального закона от 30.12.2009 N 384-ФЗ "Технический регламент о безопасности зданий и сооружений" (Постановление Правительства РФ от 04.07.2020 N 985). | |
13.6. При проектировании оснований и фундаментов трубопроводов в районах распространения многолетнемерзлых грунтов следует выполнять следующие расчеты:
расчет остывания транспортируемого по трубопроводу продукта с целью установления температуры по длине трубопровода, а также выявления его горячих, теплых и холодных участков (см.
примечание к 13.3);
расчет глубины оттаивания и промерзания грунта в основании подземных и наземных трубопроводов;
расчеты по I и II группам предельных состояний с учетом процессов, происходящих в окружающем массиве грунта в результате устройства трубопровода (просадка и термокарст при оттаивании, пучение при промораживании).
13.7. Глубину оттаивания (промораживания) грунта следует определять численными методами, с учетом проектного срока эксплуатации трубопровода. Глубину оттаивания многолетнемерзлых грунтов под центром горячих и теплых подземных трубопроводов, а также глубину промерзания грунта под центром холодных трубопроводов, расположенных на участках с многолетнемерзлыми грунтами не сливающегося типа, допускается рассчитывать согласно указаниям
Приложения Н.
| | Применение на обязательной основе п. 13.8 обеспечивает соблюдение требований Федерального закона от 30.12.2009 N 384-ФЗ "Технический регламент о безопасности зданий и сооружений" (Постановление Правительства РФ от 04.07.2020 N 985). | |
13.8. Расчетные нагрузки, воздействия и их сочетания при проектировании оснований и фундаментов магистральных трубопроводов в районах многолетнемерзлых грунтов следует принимать в соответствии с требованиями
СП 20.13330 и
СП 36.13330.
13.9. Для совместного расчета системы "основание (вмещающий массив)-трубопровод" могут использоваться аналитические или численные (метод конечных элементов, метод конечных разностей и др.) методы. При использовании численных методов расчетная модель "основание-трубопровод" должна адекватно отражать конструктивные особенности трубопровода, характеристики многолетнемерзлых грунтов и схемы их взаимодействия.
14. Особенности проектирования оснований
и фундаментов на склонах
| | Применение на обязательной основе п. 14.1 обеспечивает соблюдение требований Федерального закона от 30.12.2009 N 384-ФЗ "Технический регламент о безопасности зданий и сооружений" (Постановление Правительства РФ от 04.07.2020 N 985). | |
14.1. Проектирование оснований и фундаментов на склонах (откосах) в районах распространения многолетнемерзлых грунтов следует выполнять по первой группе предельных состояний в соответствии с указаниями
СП 22.13330, с учетом снижения прочности мерзлых грунтов при увеличении температуры и длительности воздействия нагрузки, а также влияния геокриологических условий.
14.2. При проектировании оснований и фундаментов в районах распространения многолетнемерзлых грунтов на склонах и присклоновой территории следует рассматривать термодинамическое равновесие системы "сооружение-основание-склон" с учетом нормативных документов по инженерно-геологическим изысканиям для строительства
(СП 47.13330), а также следующих факторов:
крутизна, высота, протяженность, ширина и экспозиция склона;
проявление глубинных и солифлюкционных оползаний и нарушение растительного покрова, наледеобразование, бугры пучения, термокарст, термоэрозия;
мощность слоя и характер распространения многолетнемерзлых грунтов (сплошное, прерывистое, островное), наличие жильного и пластового льда, таликов, криопегов;
температура мерзлого грунта во времени по глубине и простиранию склона (изотермы) на стадии строительства, эксплуатации и ликвидации объектов;
особенности природных криогенных форм рельефа (каменные глетчеры, курумы и др.), а также формирования техногенных форм (отвалы, карьеры, котлованы, выемки, насыпи и др.);
геокриологические условия (текстура, влажность, льдистость физико-механические свойства мерзлых и оттаивающих грунтов), а также характер напластования пород;
наличие сооружений на склонах, имеющиеся деформации сооружений, а также мероприятия по противооползневой защите;
интенсивность и характер техногенной нагрузки, особенности теплового и силового воздействия на склон проектируемых сооружений по продолжительности, охвату территории, количественным значениям температуры, конструктивным особенностям сооружений.
Требования к инженерно-геологическим изысканиям приведены в
[3].
| | Применение на обязательной основе п. п. 14.3, 14.4 обеспечивает соблюдение требований Федерального закона от 30.12.2009 N 384-ФЗ "Технический регламент о безопасности зданий и сооружений" (Постановление Правительства РФ от 04.07.2020 N 985). | |
14.3. Расчеты устойчивости склонов (откосов) и сооружений на них в районах распространения многолетнемерзлых грунтов, в отличие от талых грунтов, следует осуществлять с учетом температурного состояния грунтового массива. В зависимости от температурного состояния грунтового массива следует рассматривать два основных типа криогенных оползней: 1 - мерзлые; 2 - оттаивающие. Кроме того, существуют различные типы смешанных криогенных оползней.
14.4. Прогноз устойчивости склонов и сооружений на них необходимо осуществлять на основании выполнения прогнозных теплотехнических расчетов, схематизации природных условий и определения поверхностей скольжения в мерзлых породах, а также возможности возникновения и развития солифлюкции.
14.5. Расчет местной и общей устойчивости системы "сооружение-основание-склон" должен производиться методами, удовлетворяющими условиям равновесия в предельном состоянии, с использованием программ, разработанных на основе общепринятых методов расчета устойчивости. Допускается применять другие методы расчета, результаты которых проверены опытом проектирования, строительства и эксплуатации. Расчеты выполняются на основное и особое сочетание нагрузок.
| | Применение на обязательной основе п. 14.6 обеспечивает соблюдение требований Федерального закона от 30.12.2009 N 384-ФЗ "Технический регламент о безопасности зданий и сооружений" (Постановление Правительства РФ от 04.07.2020 N 985). | |
14.6. Поверхность скольжения в массиве мерзлых однородных грунтов определяется положением изотермы наиболее высокой отрицательной температуры грунта, а в массиве неоднородных грунтов - наименьшими предельно-длительными значениями сопротивления сдвигу мерзлого грунта. Поверхность скольжения оттаивающего грунта (на солифлюкционных склонах и откосах) следует за границей оттаивания, которая практически параллельна поверхности склона, мощность оползающего слоя равна глубине оттаивания, определяется при геокриологических изысканиях и уточняется теплотехническим расчетом.
(в ред.
Изменения N 1, утв. Приказом Минстроя России от 07.11.2016 N 779/пр)
В теплое время года в некоторых случаях одновременно могут развиваться солифлюкция и глубинный оползень мерзлого грунта, что следует учитывать в расчетах по несущей способности оснований и при назначении противооползневых мероприятий.
| | Применение на обязательной основе п. 14.7 обеспечивает соблюдение требований Федерального закона от 30.12.2009 N 384-ФЗ "Технический регламент о безопасности зданий и сооружений" (Постановление Правительства РФ от 04.07.2020 N 985). | |
14.7. Сила предельного сопротивления основания, сложенного дисперсными грунтами должна определяться исходя из условия, что соотношение между нормальными и касательными напряжениями по всем поверхностям скольжения, соответствующее предельному состоянию основания, подчиняется зависимости

, (14.1)
где

и c - расчетные значения угла внутреннего трения и удельного сцепления. Для мерзлых грунтов определяются предельно-длительные значения угла внутреннего трения

и удельного сцепления

при проведении испытаний на срез мерзлого грунта, для оттаивающих грунтов

и

при проведении испытаний на неконсолидированный быстрый срез оттаивающего грунта по мерзлому слою.
(в ред.
Изменения N 1, утв. Приказом Минстроя России от 07.11.2016 N 779/пр)
14.8. Расчетные значения

и c определяются по опытным данным. Для сооружений пониженного уровня ответственности и предварительных расчетов устойчивости оснований допускается расчетные значения

,

,

и

принимать по
таблицам В.13 и
В.14.
(в ред.
Изменения N 1, утв. Приказом Минстроя России от 07.11.2016 N 779/пр)
Коэффициент надежности

по ответственности сооружений принимается равным 1,2; 0,95 и 0,9 соответственно для сооружений повышенного, нормального и пониженного уровней ответственности
(ГОСТ 27751).
(в ред.
Изменения N 1, утв. Приказом Минстроя России от 07.11.2016 N 779/пр)
Коэффициент условий работы

принимается равным:
для мерзлых дисперсных грунтов .......................... 1,0;
для оттаивающих ........................................ 0,85.
14.9. При строительстве на склонах, сложенных многолетнемерзлыми грунтами, следует применять преимущественно принцип I использования многолетнемерзлых грунтов, при условии, что в течение всего периода эксплуатации будет обеспечена отрицательная температура, требуемая по расчету устойчивости склона и несущей способности оснований. Принцип II использования многолетнемерзлых грунтов допускается при строительстве на склонах, с учетом
6.1.3,
6.1.4 и
6.1.6.
| | Применение на обязательной основе п. п. 14.10, 14.11 обеспечивает соблюдение требований Федерального закона от 30.12.2009 N 384-ФЗ "Технический регламент о безопасности зданий и сооружений" (Постановление Правительства РФ от 04.07.2020 N 985). | |
14.10. При использовании многолетнемерзлых грунтов по принципу I следует выполнять прогноз температурного режима и, в случае необходимости, специальные мероприятия по обеспечению проектной температуры мерзлого грунта и обеспечивать контроль температуры в течение всего периода эксплуатации. Для сохранения и понижения температуры мерзлых грунтов следует применять следующие мероприятия: агролесомелиорация, устройство теплозащитных экранов, водоотвод и др.
14.11. Многолетнемерзлые грунты на склонах и присклоновой территории следует использовать по одному принципу. При строительстве на склонах необходимо максимальное сохранение и даже улучшение экологической обстановки за счет применения проектных, организационно-технологических решений и мероприятий по предотвращению оползания и нарушения экологического равновесия, обусловленного опасными криогенными процессами (термокарст, пучение, наледеобразование).
(в ред.
Изменения N 1, утв. Приказом Минстроя России от 07.11.2016 N 779/пр)
14.12. На склонах скальных и полускальных пород расчеты устойчивости и проектирования фундаментов допускается выполнять в соответствии с требованиями
СП 22.13330. Инженерная подготовка территории должна осуществляться согласно
6.5.
14.13. В качестве фундаментов сооружений на склонах в районах распространения многолетнемерзлых грунтов рекомендуется применять отдельно стоящие столбчатые фундаменты, сваи и ряды свай, прорезающие поверхность скольжения. Места расположения свай на склоне, количество, конструкция, размеры и расстояние между ними определяются на основании расчетов местной и общей устойчивости склонов и с учетом оползневого давления мерзлого грунта на сваи и нагрузок от сооружения.
14.14. В качестве инженерных сооружений, противодействующих оползанию мерзлых и оттаивающих грунтов, следует применять традиционные сооружения: контрфорсы, контрбанкеты, подпорные стены, ряды свай
(СП 116.13330), расположение которых на склоне и между собой обосновывается расчетами из условия недопущения течения мерзлого и оттаивающего грунта между ними и не препятствующие фильтрации воды по склону. Места расположения и количество удерживающих сооружений на склоне обосновываются расчетами местной и общей устойчивости склона.
14.15. На склонах СОУ применяются в случаях практической невозможности или недостаточной эффективности других мероприятий для стабилизации склона и обеспечения на весь период эксплуатации температуры грунта, необходимой по расчету несущей способности основания.
| | Применение на обязательной основе п. 14.16 обеспечивает соблюдение требований Федерального закона от 30.12.2009 N 384-ФЗ "Технический регламент о безопасности зданий и сооружений" (Постановление Правительства РФ от 04.07.2020 N 985). | |
14.16. Для солифлюкционных склонов в качестве оснований линейных сооружений (линий электропередачи, трубопроводов, эстакад) следует применять обтекаемые фундаменты в виде отдельных свай, рядов свай, работающих в условиях обтекания их оттаивающим грунтом при соблюдении принципа оптимального сохранения природных условий на склонах (обеспечение фильтрации воды, сохранение растительности). Количество, размеры, глубина заделки свай в мерзлый грунт определяются расчетом с учетом оползневого давления оттаивающего грунта, горизонтальных нагрузок от сооружения, температуры и прочностных свойств мерзлого грунта.
14.17. Работы на склонах должны выполняться в зимний период. Выполнение работ в теплое время года допускается только после выполнения работ по стабилизации склона и обязательного проведения теплотехнического прогноза и расчетов общей и местной устойчивости склонов и сооружений на них.
| | Применение на обязательной основе п. 14.18 обеспечивает соблюдение требований Федерального закона от 30.12.2009 N 384-ФЗ "Технический регламент о безопасности зданий и сооружений" (Постановление Правительства РФ от 04.07.2020 N 985). | |
14.18. Мероприятия по инженерной защите и охране окружающей среды следует проектировать комплексно с учетом геокриологических условий и прогноза их изменения в процессе строительства (с учетом поэтапности) и эксплуатации объектов. Осуществление мероприятий инженерной защиты не должно приводить к активизации опасных криогенных процессов на склонах и примыкающих территориях. Техническая эффективность и надежность сооружений и мероприятий инженерной защиты должны подтверждаться расчетами, а в обоснованных случаях - моделированием (натурным, физическим, математическим).
| | Применение на обязательной основе п. 14.19 обеспечивает соблюдение требований Федерального закона от 30.12.2009 N 384-ФЗ "Технический регламент о безопасности зданий и сооружений" (Постановление Правительства РФ от 04.07.2020 N 985). | |
14.19. Для стабилизации склонов наряду с инженерными сооружениями следует применять мероприятия по снижению температуры мерзлых грунтов и уменьшению глубины сезонного оттаивания (агролесомелиорация, устройство теплозащитных экранов, водоотвод), упрочнение грунта (замена и армирование) с учетом настоящего документа. На склонах должен быть организован беспрепятственный сток поверхностных вод, исключено застаивание вод на бессточных участках и попадание на склон вод с присклоновой территории.
14.20. В процессе строительства, эксплуатации и ликвидации сооружений на склонах и присклоновой территории выполняется мониторинг устойчивости склонов и сооружений по проекту, разработанному с учетом раздела 15, позволяющему контролировать поверхностные и глубинные перемещения грунта. На объектах I и II степени ответственности необходимо организовать стационарные наблюдения за оползневыми процессами с установкой контрольно-измерительной аппаратуры в скважинах в нескольких створах по простиранию склона и выполнением наблюдений за осадками и смещениями по глубине.
15. Геотехнический мониторинг при строительстве
и эксплуатации сооружений на многолетнемерзлых грунтах
15.1. Геотехнический мониторинг (далее мониторинг) на многолетнемерзлых грунтах - комплекс работ, основанный на натурных наблюдениях за состоянием грунтов основания (температурный режим), гидрогеологическим режимом, перемещением конструкций фундаментов вновь возводимого, реконструируемого и эксплуатируемого сооружения.
| | Применение на обязательной основе п. 15.2 обеспечивает соблюдение требований Федерального закона от 30.12.2009 N 384-ФЗ "Технический регламент о безопасности зданий и сооружений" (Постановление Правительства РФ от 04.07.2020 N 985). | |
15.2. В районах распространения многолетнемерзлых грунтов мониторинг необходимо проводить для всех видов зданий и сооружений, в том числе подземных инженерных коммуникаций.
15.3. Мониторинг на стадии строительства (реконструкции) и дальнейшей эксплуатации сооружения выполняется на основании проекта мониторинга, который является обязательной частью проектной документации на стадии проекта.
(в ред.
Изменения N 2, утв. Приказом Минстроя России от 09.11.2018 N 710/пр,
Изменения N 4, утв. Приказом Минстроя России от 25.11.2019 N 730/пр)
При разработке проекта мониторинга определяются состав, объемы, периодичность, сроки и методы работ, схемы установки наблюдательных скважин, геодезических марок и реперов, датчиков и приборов, которые назначаются применительно к рассматриваемому объекту строительства (реконструкции) с учетом его специфики, включающей: результаты инженерно-геологических изысканий на площадке строительства, принцип использования многолетнемерзлых грунтов в качестве оснований фундаментов, наличие охлаждающих устройств, особенностей проектируемого или реконструируемого сооружения и сооружений окружающей застройки и т.п.
(в ред.
Изменения N 2, утв. Приказом Минстроя России от 09.11.2018 N 710/пр)
15.4. В проекте мониторинга следует учитывать факторы, оказывающие влияние на вновь возводимое (реконструируемое) сооружение, его основание, окружающий грунтовый массив и окружающую застройку в процессе строительства и эксплуатации, в том числе возможность проявления опасных геокриологических процессов (криогенное пучение, термокарст, наледеобразование, оползневые процессы, оседание поверхности при оттаивании и др.), а также тепловые воздействия от строительных работ.
(в ред.
Изменения N 4, утв. Приказом Минстроя России от 25.11.2019 N 730/пр)
| | Применение на обязательной основе п. 15.5 обеспечивает соблюдение требований Федерального закона от 30.12.2009 N 384-ФЗ "Технический регламент о безопасности зданий и сооружений" (Постановление Правительства РФ от 04.07.2020 N 985). | |
15.5. Для осуществления мониторинга в период строительства сооружений оборудуются контрольные термометрические и гидрогеологические скважины, на фундаментах сооружений устанавливаются постоянные геодезические марки, по которым выполняются измерения температуры грунта, уровень подземных вод, их состав и температура, нивелирование фундаментов, в том числе погруженных свай, измеряются отметки подкрановых путей мостовых кранов, водоотводных лотков в технических этажах и подпольях зданий, а также тротуаров у сооружений. Места установки термометрических и гидрогеологических скважин, геодезических марок указаны в
таблице М.2, периодичность проведения замеров приведена в
таблице М.2. Кроме того, контролируются температура воздуха в проветриваемом подполье, высота снежного покрова и его плотность, работоспособность искусственной вентиляции, сезонно- или искусственно охлаждающих устройств, плотность грунтов, уложенных в насыпях, при замене грунтов в выемках и при намыве территории.
(в ред.
Изменения N 1, утв. Приказом Минстроя России от 07.11.2016 N 779/пр,
Изменения N 2, утв. Приказом Минстроя России от 09.11.2018 N 710/пр,
Изменения N 4, утв. Приказом Минстроя России от 25.11.2019 N 730/пр)
Устройство системы мониторинга выполняется в соответствии с проектом, выполняемым на стадии подготовки рабочей документации.
(абзац введен
Изменением N 2, утв. Приказом Минстроя России от 09.11.2018 N 710/пр)
| | Применение на обязательной основе п. 15.6 обеспечивает соблюдение требований Федерального закона от 30.12.2009 N 384-ФЗ "Технический регламент о безопасности зданий и сооружений" (Постановление Правительства РФ от 04.07.2020 N 985). | |
15.6. В период эксплуатации сооружения мониторинг осуществляется в целях обеспечения проектного режима грунтов основания и состояния фундаментов сооружения. В состав мониторинга входят следующие виды работ:
текущий и контрольный осмотр состояния технических этажей, подполий зданий и расположенных в них коммуникаций и других устройств;
наблюдения за состоянием бетона фундаментов;
наблюдения за температурой грунта в основании сооружений;
наблюдения за температурой воздуха в подполье;
наблюдения за работой системы искусственной вентиляции подполья;
(перечисление введено
Изменением N 2, утв. Приказом Минстроя России от 09.11.2018 N 710/пр)
наблюдения за работой охлаждающих устройств;
(перечисление введено
Изменением N 2, утв. Приказом Минстроя России от 09.11.2018 N 710/пр)
наблюдения за осадками фундаментов;
наблюдения за гидрогеологическим режимом основания.
Периодичность проведения замеров указана в
таблице М.2.
15.7. Продолжительность мониторинга зависит от принципа строительства и составляет для сооружений, построенных по:
I принципу - в течение всего периода эксплуатации сооружения;
II принципу: а) с использованием предварительного оттаивания грунтов - в течение 5 лет;
б) с допущением оттаивания в период эксплуатации - в течение 10 лет.
Примечание. Продолжительность мониторинга может быть сокращена при стабилизации изменений контролируемых параметров или увеличена при отсутствии стабилизации изменений контролируемых параметров.
| | Применение на обязательной основе п. 15.8 обеспечивает соблюдение требований Федерального закона от 30.12.2009 N 384-ФЗ "Технический регламент о безопасности зданий и сооружений" (Постановление Правительства РФ от 04.07.2020 N 985). | |
15.8. В процессе мониторинга необходимо обеспечить своевременность информирования заинтересованных сторон о выявленных отклонениях контролируемых параметров (в том числе тенденции их изменений, превышающие ожидаемые) от проектных значений и результатов тепло- и геотехнического прогноза.
| | Применение на обязательной основе разд. 16 (за исключением п. 16.7) обеспечивает соблюдение требований Федерального закона от 30.12.2009 N 384-ФЗ "Технический регламент о безопасности зданий и сооружений" (Постановление Правительства РФ от 04.07.2020 N 985). | |
16. Экологические требования при проектировании
и устройстве оснований и фундаментов
на многолетнемерзлых грунтах
16.1. В проекте оснований и фундаментов на многолетнемерзлых грунтах должны быть предусмотрены мероприятия, обеспечивающие предотвращение, минимизацию или ликвидацию вредных и нежелательных экологических и связанных с ними социальных, экономических и других последствий.
16.2. Экологические требования, учитываемые при проектировании и строительстве, основываются на результатах инженерно-экологических изысканий, в которых дается оценка состояния окружающей среды и прогноз воздействия на нее объекта строительства. Правила инженерно-экологических и инженерно-геодезических изысканий для строительства содержатся в
[1] и
[2].
16.3. Прогноз воздействия на природные условия осуществляется на весь период строительства и эксплуатации зданий и сооружений и должен устанавливать:
возможность изменения теплового режима многолетнемерзлых грунтов района строительства и прилегающих территорий вследствие нарушений условий теплообмена в результате строительства и температурного воздействия в процессе эксплуатации;
изменения гидрогеологических условий строительной площадки в результате производства земляных работ, включая пути разгрузки поверхностных и надмерзлотных вод по водоотводным каналам;
степень активизации опасных криогенных процессов, в том числе: осадки и пучение грунтов, термокарст, солифлюкция, термоэрозия и др.;
возможность возникновения склоновых процессов и заболачивания территории;
(в ред.
Изменения N 4, утв. Приказом Минстроя России от 25.11.2019 N 730/пр)
возможность изменения теплового режима многолетнемерзлых грунтов района строительства и прилегающих территорий вследствие изменения климата.
(перечисление введено
Изменением N 4, утв. Приказом Минстроя России от 25.11.2019 N 730/пр)
16.4. С учетом результатов инженерно-геологических изысканий выбираются проектные решения и разрабатываются мероприятия по рекультивации и восстановлению почвенно-растительного слоя, засыпке выемок, траншей и карьеров, выполаживанию и одернованию склонов и откосов, а также по предупреждению эрозии, термокарста и процессов размыва грунта.
16.5. Основные мероприятия по охране окружающей среды при возведении оснований и фундаментов на многолетнемерзлых грунтах разрабатываются на стадии технико-экономического обоснования.
16.6. Проектная документация на устройство оснований и фундаментов на многолетнемерзлых грунтах на стадии проекта должна включать отдельный раздел "Охрана окружающей среды".
16.7. Приступать к производству работ по устройству оснований и фундаментов допускается только при наличии ПОС и проектов инженерной подготовки и защиты от опасных криогенных процессов и подтопления территории
(4.4), конкретно отражающих все особенности мерзлотно-грунтовых условий площадки строительства. Проект организации строительства должен обязательно предусматривать точные сроки и особенности производства работ, а также меры по восстановлению поврежденных участков поверхности территории строительства.
(обязательное)
В настоящем своде правил применены следующие термины с соответствующими определениями:
А.1 грунт (ground, soil): Горные породы, почвы, техногенные образования, представляющие собой многокомпонентную и многообразную геологическую систему и являющиеся объектом инженерно-хозяйственной деятельности человека.
Грунты могут служить: 1) материалом основания зданий и сооружений;
2) средой для размещения в них сооружений;
3) материалом самого сооружения.
А.2 грунт мерзлый (frozen ground): Грунт, имеющий отрицательную или нулевую температуру, содержащий в своем составе видимые ледяные включения и (или) лед-цемент и характеризующийся криогенными структурными связями.
А.3 грунт многолетнемерзлый (perennially frozen ground), синоним - грунт вечномерзлый (permafrost ground): Грунт, находящийся в мерзлом состоянии постоянно в течение трех и более лет.
А.4 грунт сезонно-мерзлый (сезонно-талый) (seasonally frozen ground): Грунт, находящийся в мерзлом или талом состоянии периодически в течение холодного или теплого сезона.
А.5 грунт твердомерзлый (hard frozen ground): Дисперсный грунт, прочно сцементированный льдом, характеризуемый относительно хрупким разрушением и практически несжимаемый под внешней нагрузкой.
А.6 грунт пластично-мерзлый (plastic frozen ground): Дисперсный грунт, сцементированный льдом, но обладающий вязкими свойствами и сжимаемостью под внешней нагрузкой.
А.7
грунт пучинистый (frost-susceptible ground): Дисперсный грунт, который при переходе из талого в мерзлое состояние увеличивается в объеме вследствие образования кристаллов льда и имеет относительную деформацию морозного пучения

.
А.8 лед (синоним - грунт ледяной) (ice): Природное образование, состоящее из кристаллов льда с возможными примесями обломочного материала и органического вещества не более 10% (по объему), характеризующееся криогенными структурными связями.
А.9 слой сезонного оттаивания (seasonal thawing layer): Поверхностный слой грунта, оттаивающий летом.
А.10 температура начала замерзания (оттаивания) (freezing (thawing) temperature): Температура, при которой в порах грунта появляется (исчезает) лед.
А.11 морозное пучение грунтов (frost heaving ground): Процесс увеличения объема и деформирования дисперсных грунтов при промерзании.
А.12 термокарст (thermokarst): Образование просадочных и провальных форм рельефа и подземных пустот вследствие вытаивания подземного льда или оттаивания мерзлого грунта.
А.13 термоэрозия (thermoerosion): Разрушение и вынос оттаивающих и мерзлых дисперсных грунтов и льдов в результате теплового и механического воздействия водных потоков.
А.14 солифлюкция (solifluction): Смещение (течение, оползание, соскальзывание, сплывы, оплывины) оттаивающего переувлажненного тонкодисперсного грунта на склонах в теплое время суток года, обусловленное сезонным промерзанием и оттаиванием.
А.15 репрезентативная метеорологическая станция (representative weather station): Метеостанция, результаты наблюдений которой показательны для местоположения строящегося объекта.
(п. А.15 введен
Изменением N 4, утв. Приказом Минстроя России от 25.11.2019 N 730/пр)
(рекомендуемое)
ФИЗИЧЕСКИЕ И ТЕПЛОФИЗИЧЕСКИЕ ХАРАКТЕРИСТИКИ
МНОГОЛЕТНЕМЕРЗЛЫХ ГРУНТОВ
Б.1. В состав физических и теплофизических характеристик, определяемых для многолетнемерзлых грунтов, входят:
а) суммарная влажность мерзлого грунта -

и влажность мерзлого грунта, расположенного между ледяными включениями -

;
б) суммарная льдистость мерзлого грунта

, представляющая собой отношение содержащегося в мерзлом грунте объема льда к объему мерзлого грунта и льдистость грунта за счет видимых ледяных включений

, представляющая собой отношение содержащегося в мерзлом грунте объема видимых ледяных включений к объему мерзлого грунта;
в) степень заполнения объема пор мерзлого грунта льдом и незамерзшей водой -

, доли единицы;
г) температура начала замерзания грунта -

, °C;
д) влажность мерзлого грунта за счет незамерзшей воды -

, доли единицы;
е) теплофизические характеристики грунта (теплопроводность

, Вт/(м·°C) и удельная теплоемкость C, Дж/(кг·°C));
(в ред.
Изменения N 1, утв. Приказом Минстроя России от 07.11.2016 N 779/пр)
ж) теплота таяния льда (замерзания воды) в грунте -

;
з) степень засоленности -

, %;
и) концентрация порового раствора -

, доли единицы;
к) объемная степень заторфованности - J, доли единицы;
л) степень заторфованности - G, доли единицы.
Б.2. Суммарная влажность мерзлого грунта -

и влажность мерзлого грунта, расположенного между ледяными включениями -

, определяются в соответствии с
ГОСТ 5180.
Б.3. Суммарная льдистость мерзлого грунта -

, льдистость мерзлого грунта за счет включений льда -

и степень заполнения объема пор мерзлого грунта льдом и незамерзшей водой -

определяются в соответствии с
ГОСТ 25100.
Б.4. Под засоленностью понимается наличие в мерзлом грунте водно-растворимых солей в таком количестве, которое существенно изменяет прочностные и деформационные свойства грунтов.
Степень засоленности грунта

, характеризует относительное содержание в грунте водно-растворимых солей, ее следует определять по
ГОСТ 25100 как отношение массы солей

к массе сухой навески грунта

(включая массу содержащихся в нем солей) по формуле

. (Б.1)
По степени засоленности

грунты подразделяют согласно
ГОСТ 25100. Концентрация порового раствора

характеризует степень минерализации грунтовой влаги. Ее допускается определять по формуле

, (Б.2)
где W - влажность засоленного грунта, принимаемая для грунтов с льдистостью

равной

, а с

- равной

.
Засоленные грунты в зависимости от преобладающего ионного состава легкорастворимых солей разделяются по типу засоления на морской и континентальный в соответствии с
ГОСТ 25100.
Б.5. Температура начала замерзания грунта

характеризует температуру перехода грунта из талого в мерзлое состояние. Температуру начала замерзания незасоленных, засоленных и заторфованных грунтов следует определять опытным путем, а в случаях, предусмотренных в
5.9, температуру начала замерзания незасоленных и засоленных грунтов допускается принимать по формуле (Б.3) в зависимости от вида грунта и концентрации порового раствора

:

, (Б.3)
где A - коэффициент, характеризующий температуру начала замерзания незасоленного грунта (таблица Б.1);
B - коэффициент, зависящий от типа засоления грунта; B = 0 для незасоленных грунтов; B = 1 для грунтов морского типа засоления; B = 0,85 для грунтов с континентальным типом засоления.
Таблица Б.1
Температура начала замерзания незасоленного грунта A
Грунты | A, °C |
Пески разных фракций | -0,10 |
Супеси и пылеватые пески | -0,15 |
Суглинок | -0,20 |
Глины | -0,25 |
Значение

для заторфованных грунтов следует выбирать по величине температуры начала замерзания того компонента (торфяного или минерального), у которого она выше. Величина

для торфа приведена в таблице Б.2.
Таблица Б.2
Расчетные значения температуры начала
замерзания
для торфа
Тип торфа |  , доли единицы |  , °C |
Слаборазложившийся верховой | 7,30 | -0,14 |
5,90 | -0,16 |
3,27 | -0,25 |
1,64 | -0,35 |
Среднеразложившийся верховой | 3,50 | -0,13 |
0,90 | -0,20 |
Б.6. Влажность незасоленного, засоленного и заторфованного мерзлого грунта за счет незамерзшей воды

определяется опытным путем. В случаях, предусмотренных в
5.9 для незасоленного и засоленного грунта, находящегося в охлажденном состоянии, когда температура грунта выше температуры начала замерзания

, величина

принимается для грунтов с льдистостью

равной

, а с

- равной

.
Для незасоленного и засоленного мерзлого грунта значения

допускается определять по формуле (Б.4) при условии, что температура грунта ниже или равна температуре начала замерзания

, последняя находится по
формуле (Б.3)

, (Б.4)
где

- коэффициент, принимаемый по
таблице Б.3 в зависимости от числа пластичности

и температуры грунта T;

- влажность грунта на границе пластичности (раскатывания), доли единицы;

- степень засоленности грунта, доли единицы;

- коэффициент, принимаемый равным 0 для незасоленных грунтов и по
таблице (Б.4) для засоленных грунтов, в зависимости от числа пластичности

и температуры грунта T, °C, для температур T < -15 °C величина

принимается равной значению

при T = -15 °C; если величина

, определенная по
формуле (Б.4), превысит значение

, тогда

.
Расчетные значения коэффициента kw
Минстроя России от 25.11.2019 N 730/пр)
Грунты | Число пластичности Ip, доли единицы | Коэффициент kw при температуре грунта T, °C |
-0,3 | -0,5 | -1 | -2 | -3 | -4 | -6 | -8 | -10 | -15 |
Пески (кроме пылеватых) | - | 0 | 0 | 0 | 0 | 0 | 0 | 0 | 0 | 0 | 0 |
Пески пылеватые | - | 0,50 | 0,35 | 0,30 | 0,25 | 0,23 | 0,22 | 0,21 | 0,20 | 0,19 | 0,18 |
Супеси | Ip <= 0,02 | 0,50 | 0,35 | 0,30 | 0,25 | 0,23 | 0,22 | 0,21 | 0,20 | 0,19 | 0,18 |
0,02 < Ip <= 0,07 | 0,60 | 0,50 | 0,40 | 0,35 | 0,32 | 0,30 | 0,27 | 0,26 | 0,25 | 0,23 |
Суглинки | 0,07 < Ip <= 0,13 | 0,70 | 0,65 | 0,58 | 0,50 | 0,46 | 0,44 | 0,42 | 0,41 | 0,40 | 0,38 |
0,13 < Ip <= 0,17 | 0,80 | 0,75 | 0,65 | 0,55 | 0,51 | 0,49 | 0,47 | 0,46 | 0,45 | 0,43 |
Глины | Ip > 0,17 | 0,98 | 0,92 | 0,80 | 0,68 | 0,63 | 0,60 | 0,57 | 0,56 | 0,55 | 0,53 |
Таблица Б.4
Расчетные значения коэффициента 
Грунты | Число пластичности Ip, доли единицы | Величина коэффициента  при температуре грунта T, °C |
-0,3 | -0,5 | -1 | -2 | -3 | -4 | -6 | -8 | -10 | -15 |
Пески и супеси | Ip <= 0,02 | 210 | 160 | 75 | 34 | 20 | 14 | 9 | 6,5 | 5 | 4 |
Супеси | 0,02 < Ip <= 0,07 | 150 | 130 | 57 | 24 | 15 | 11 | 7 | 5 | 4,5 | 3,5 |
Суглинки | 0,07 < Ip <= 0,13 | 130 | 103 | 44 | 19 | 11 | 8 | 5,5 | 4 | 3,2 | 2,3 |
Суглинки, глины | 0,13 < Ip | 102 | 70 | 34 | 17 | 9,5 | 6,5 | 4 | 3 | 2,5 | 2 |
Расчетные значения

для торфа и заторфованных грунтов, находящихся в охлажденном состоянии, когда температура грунта выше температуры начала замерзания

, принимаются для грунтов с льдистостью

равной

, а с

равной

.
Для мерзлых торфа и заторфованных грунтов значения

допускается определять по формуле (Б.5) в зависимости от степени заторфованности J (доли единицы) и температуры T, при условии, что температура грунта ниже или равна температуре начала замерзания


, (Б.5)
где

- параметр, зависящий от объемной степени заторфованности J, принимается по таблице Б.5.
Таблица Б.5
Расчетные значения коэффициента 
Тип грунта |  , град 4 |
Торф | 1,6 |
Супесчаные заторфованные грунты | 1,67J - 0,1 |
Суглинистые заторфованные грунты | 1,6J |
Б.7. Теплофизические характеристики грунтов: коэффициент теплопроводности

, объемная теплоемкость C и коэффициент температуропроводности a определяются опытным путем. В случаях, предусмотренных в
5.9, значения объемной теплоемкости засоленных и незасоленных грунтов в талом, охлажденном

и мерзлом

состояниях допускается рассчитывать по
формулам Б.6 -
Б.9 в зависимости от удельной теплоемкости скелета грунта

, температурной и концентрационной зависимостях удельной теплоемкости незамерзшей воды

и льда

, влажности

, температурной и концентрационной зависимости влажности за счет незамерзшей воды

, плотности сухого грунта

и температуры начала его замерзания

.
(в ред.
Изменения N 1, утв. Приказом Минстроя России от 07.11.2016 N 779/пр)
Для незасоленных грунтов, находящихся в талом и охлажденном состояниях, когда температура грунта выше температуры начала замерзания

, величина

находится по формуле (Б.6)

, (Б.6)
где

принимается по
таблице Б.6; для незасоленных грунтов и торфа

, а

находится по
таблице Б.2; для засоленных грунтов в охлажденном состоянии

определяется по
формуле (Б.3), а величина

рассчитывается по формуле (Б.7)

, (Б.7)
где

- удельная теплоемкость порового раствора, Дж/(кг·°C), определяется по
таблице (Б.7);

- концентрация порового раствора, доли единицы, определяется по
формуле (Б.2).
Таблица Б.6
Расчетные значения удельной теплоемкости скелета грунтов 
Грунты | Песок | Супесь | Глина и суглинок | Торф |
низинный | верховой |
 , Дж/(кг·°C) | 750 | 850 | 950 | 1920 | 1680 |
Расчетные значения температурной зависимости
удельной теплоемкости порового раствора Cwt
Минстроя России от 25.11.2019 N 730/пр)
T, °C | Cwt, Дж/(кг·°C) | T, °C | Cwt, Дж/(кг·°C) | T, °C | Cwt, Дж/(кг·°C) |
0 | 4210 | -2,8 | 3860 | -13,0 | 3510 |
-0,2 | 4150 | -3,2 | 3840 | -14,0 | 3490 |
-0,4 | 4110 | -3,6 | 3810 | -15,0 | 3470 |
-0,6 | 4060 | -4,0 | 3800 | -16,0 | 3450 |
-0,8 | 4030 | -5,2 | 3730 | -17,0 | 3440 |
-1,0 | 4010 | -6,0 | 3680 | -18,0 | 3430 |
-1,2 | 3990 | -6,8 | 3670 | -19,0 | 3410 |
-1,4 | 3970 | -8,0 | 3630 | -20,0 | 3400 |
-1,6 | 3950 | -8,8 | 3600 | -21,0 | 3390 |
-1,8 | 3930 | -10,0 | 3570 | -22,0 | 3380 |
-2,0 | 3920 | -11,0 | 3550 | | |
-2,4 | 3900 | -12,0 | 3520 | | |
Для незасоленных грунтов и торфа в мерзлом состоянии при условии, что температура грунта ниже или равна температуре начала замерзания

, величина

находится по формуле

, (Б.8)

. (Б.9)
Для засоленных грунтов в мерзлом состоянии, при условии, что температура грунта ниже или равна температуре начала замерзания

, величина

находится по формуле

, (Б.10)
Значения объемной теплоемкости заторфованных грунтов в талом и охлажденном

и мерзлом

состояниях допускается рассчитывать по формулам (
Б.11,
Б.12) в зависимости от удельной теплоемкости минеральной

и торфяной

составляющей органоминерального скелета грунта, удельной теплоемкости незамерзшей воды

и льда

, весовой (массовой) доли торфа в заторфованном грунте G, суммарной влажности

, влажности за счет незамерзшей воды

, плотности скелета грунта

и температуры начала его замерзания

.
Для заторфованных грунтов, находящихся в талом и охлажденном состоянии, когда температура грунта выше температуры начала замерзания

, величина

находится по формуле

, (Б.11)
где удельная теплоемкость минерального скелета

и торфа

находится по
таблице Б.6;

.
| | ИС МЕГАНОРМ: примечание. Единицы измерения даны в соответствии с официальным текстом документа. | |
Для заторфованных грунтов, находящихся в мерзлом состоянии, когда температура грунта ниже или равна температуре начала замерзания

, величина

находится по формуле

, (Б.12)
В случаях, предусмотренных в
5.9, значение коэффициента теплопроводности незасоленных, засоленных и заторфованных грунтов в талом

и мерзлом

(для диапазона температур ниже T <= -15 °C) состоянии приведены в таблице Б.8 в зависимости от влажности

, плотности скелета грунта

и степени засоленности согласно
ГОСТ 25100.
Расчетные значения коэффициента теплопроводности грунта
в талом
, мерзлом
(T <= -15 °C) состоянии
Минстроя России от 07.11.2016 N 779/пр)
Плотность сухого грунта  ,  , г/см 3 | Суммарная влажность грунта, Wtot, д.е. | Коэффициент теплопроводности грунтов  , Вт/(м·°C) |
Пески разной плотности | Супеси пылеватые | Суглинки и глины | Заторфованные грунты |
Степень засоленности | Степень засоленности | Степень засоленности |
Незасоленные | Слабозасоленные | Среднезасоленные | Сильнозасоленные | Незасоленные | Слабозасоленные | Среднезасоленные | Сильнозасоленные | Незасоленные | Слабозасоленные | Среднезасоленные | Сильнозасоленные |
| | | | | | | | | | | | | | | | |
0,1 | 9,0 | - | - | - | - | - | - | - | - | - | - | - | - | - | - | - | 0,81 | 1,34 |
0,1 | 6,0 | - | - | - | - | - | - | - | - | - | - | - | - | - | - | - | 0,40 | 0,70 |
0,1 | 4,0 | - | - | - | - | - | - | - | - | - | - | - | - | - | - | - | 0,23 | 0,41 |
0,1 | 2,0 | - | - | - | - | - | - | - | - | - | - | - | - | - | - | - | 0,12 | 0,23 |
0,2 | 4,0 | - | - | - | - | - | - | - | - | - | - | - | - | - | - | - | 0,81 | 1,33 |
0,2 | 2,0 | - | - | - | - | - | - | - | - | - | - | - | - | - | - | - | 0,23 | 0,52 |
0,3 | 3,0 | - | - | - | - | - | - | - | - | - | - | - | - | - | - | - | 0,93 | 1,39 |
0,3 | 2,0 | - | - | - | - | - | - | - | - | - | - | - | - | - | - | - | 0,41 | 0,70 |
0,4 | 2,0 | - | - | - | - | - | - | 2,16 | - | - | - | - | 2,10 | - | - | - | 0,93 | 1,39 |
0,7 | 1,0 | - | - | - | - | - | - | 2,14 | - | - | - | - | 2,00 | - | - | - | - | - |
1,0 | 0,60 | - | - | - | - | - | - | 2,10 | - | - | - | - | 1,90 | - | - | - | - | - |
1,2 | 0,40 | - | - | - | - | - | - | 2,02 | - | - | - | 1,57 | 1,80 | - | - | - | - | - |
1,4 | 0,35 | - | - | - | - | - | 1,80 | 2,00 | - | - | - | 1,57 | 1,76 | 1,68 | 1,65 | 1,59 | - | - |
1,4 | 0,30 | - | - | - | - | - | 1,74 | 1,98 | 1,95 | 1,91 | 1,88 | 1,45 | 1,65 | 1,59 | 1,56 | 1,50 | - | - |
1,4 | 0,25 | 1,91 | 2,48 | 2,37 | 2,21 | 2,08 | 1,57 | 1,84 | 1,81 | 1,78 | 1,73 | 1,33 | 1,58 | 1,50 | 1,46 | 1,36 | - | - |
1,4 | 0,20 | 1,57 | 2,09 | 2,00 | 1,90 | 1,82 | 1,33 | 1,63 | 1,58 | 1,53 | 1,48 | 1,10 | 1,31 | 1,23 | 1,20 | 1,10 | - | - |
1,4 | 0,15 | 1,39 | 1,83 | 1,75 | 1,65 | 1,58 | 1,10 | 1,35 | 1,30 | 1,25 | 1,20 | 0,87 | 0,99 | 0,94 | 0,92 | 0,87 | - | - |
1,4 | 0,10 | 1,10 | 1,35 | 1,30 | 1,25 | 1,21 | 0,93 | 1,09 | 1,06 | 1,03 | 0,99 | 0,70 | 0,77 | 0,75 | 0,73 | 0,71 | - | - |
1,4 | 0,05 | 0,75 | 0,84 | 0,82 | 0,80 | 0,77 | 0,64 | 0,73 | 0,71 | 0,69 | 0,67 | 0,46 | 0,48 | 0,43* | 0,41* | 0,40* | - | - |
1,6 | 0,30 | - | - | - | - | - | - | - | - | - | - | 1,68 | 1,94 | 1,80 | 1,74 | 1,65 | - | - |
1,6 | 0,25 | 2,50 | 2,92 | 2,86 | 2,78 | 2,70 | 1,80 | 2,00 | 1,96 | 1,92 | 1,88 | 1,51 | 1,75 | 1,68 | 1,62 | 1,49 | - | - |
1,6 | 0,20 | 2,15 | 2,50 | 2,43 | 2,36 | 2,30 | 1,62 | 1,78 | 1,75 | 1,71 | 1,67 | 1,33 | 1,56 | 1,46 | 1,41 | 1,30 | - | - |
1,6 | 0,15 | 1,80 | 2,10 | 2,03 | 1,96 | 1,90 | 1,45 | 1,60 | 1,56 | 1,52 | 1,49 | 1,10 | 1,23 | 1,17 | 1,15 | 1,08 | - | - |
1,6 | 0,10 | 1,45 | 1,68 | 1,62 | 1,56 | 1,50 | 1,16 | 1,29 | 1,26 | 1,22 | 1,19 | 0,87 | 0,97 | 0,92 | 0,90 | 0,86 | - | - |
1,6 | 0,05 | 1,05 | 1,16 | 1,10 | 1,08, | 1,05 | 0,81 | 0,87 | 0,85 | 0,84 | 0,82 | 0,58 | 0,60 | 0,56* | 0,55* | 0,53* | - | - |
1,8 | 0,20 | 2,67 | 3,05 | 2,92 | 2,80 | 2,69 | 1,86 | 2,05 | 2,00 | 1,94 | 1,88 | 1,57 | 1,86 | 1,70 | 1,61 | 1,48 | - | - |
1,8 | 0,15 | 2,26 | 2,75 | 2,63 | 2,52 | 2,44 | 1,68 | 1,83 | 1,79 | 1,74 | 1,70 | 1,39 | 1,60 | 1,47 | 1,40 | 1,36 | - | - |
1,8 | 0,10 | 1,97 | 2,30 | 2,23 | 2,17 | 2,10 | 1,45 | 1,59 | 1,55 | 1,51 | 1,47 | 1,06 | 1,26 | 1,14 | 1,09 | 1,02 | - | - |
1,8 | 0,05 | 1,45 | 1,56 | 1,52 | 1,48 | 1,45 | 0,98 | 0,99 | 0,98 | 0,98 | 0,97 | 0,70 | 0,75 | 0,69* | 0,68* | 0,65* | - | - |
2,0 | 0,10 | - | - | - | - | - | - | - | - | - | - | 1,28 | 1,46 | 1,35 | 1,30 | 1,25 | - | - |
Для нахождения величины

у незасоленных и засоленных грунтов в мерзлом состоянии в диапазоне температур

, где

, можно использовать соотношение

, (Б.13)
В случаях, предусмотренных в
5.9, значение коэффициента температуропроводности a (м
2/с) для незасоленных, засоленных и заторфованных грунтов находится по формуле

, (Б.14)
где величины коэффициента теплопроводности

и объемной теплоемкости

находятся в соответствии с указаниями, приведенными в
Б.7.
Б.8. Величина объемной теплоты замерзания (таяния) грунта

(Дж/м
3) принимается равной количеству теплоты, необходимой для замерзания воды (таяния льда) в единице объема грунта и определяется по формуле

, (Б.15)
где

- значение удельной теплоты фазовых превращений вода-лед; величина

для незасоленных, засоленных и заторфованных грунтов находится в соответствии с указаниями, приведенными в
Б.6 при условии

, здесь

находится в соответствии с указаниями, приведенными в
Б.5.
(рекомендуемое)
РАСЧЕТНЫЕ ЗНАЧЕНИЯ ПРОЧНОСТНЫХ ХАРАКТЕРИСТИК МЕРЗЛЫХ ГРУНТОВ
В.1. Расчетные давления на мерзлые грунты R, расчетные сопротивления мерзлых грунтов и грунтовых растворов сдвигу по поверхностям смерзания фундаментов

и расчетные сопротивления мерзлых грунтов сдвигу по грунту или грунтовому раствору

определяются опытным путем. При определении значений R,

,

в лабораторных условиях следует производить испытания на сдвиг в специальных приборах - для определения

и

и на одноосное сжатие или на вдавливание шарикового штампа - для определения R.
При определении

шероховатость поверхности, по которой производится сдвиг смерзшегося в ней образца грунта, должна быть такой же, как фундаментов, применяемых в строительстве.
В.2. При отсутствии опытных данных допускается принимать значения R,

и

по
таблицам В.1 -
В.11.
Расчетные давления на мерзлые грунты R под нижним концом сваи принимаются по
таблице В.1, под подошвой столбчатого фундамента - по
таблице В.2, для мерзлых грунтов с континентальным типом засоления - по
таблице В.5, для мерзлых грунтов с морским типом засоления - по
таблицам В.7 и
В.8, для льда - по
таблице В.10, для заторфованных мерзлых грунтов - по
таблице В.11.
Расчетные сопротивления мерзлых грунтов и грунтовых растворов сдвигу по поверхностям смерзания с фундаментом принимаются по
таблице В.3, для мерзлых засоленных грунтов с континентальным типом засоления - по
таблице В.6, для мерзлых грунтов с морским типом засоления - по
таблице В.9, мерзлых заторфованных грунтов - по
таблице В.11.
(в ред.
Изменения N 1, утв. Приказом Минстроя России от 07.11.2016 N 779/пр)
Расчетные сопротивления мерзлых грунтов сдвигу по грунту или грунтовому раствору

принимаются по
таблице В.4, льдов по грунтовому раствору

- по
таблице В.10, мерзлых заторфованных грунтов по грунту или грунтовому раствору - по
таблице В.12. Значения расчетных сопротивлений мерзлых грунтов как континентального, так и морского типа засоления, сдвигу по грунту или грунтовому раствору

допускается принимать равными

с учетом
В.4.
В.3. Значения

в
таблицах В.3,
В.6,
В.9 и
В.12 следует умножать на коэффициент

, зависящий от вида поверхности смерзания и принимаемый равным:
для бетонных поверхностей фундаментов, изготовляемых
в металлической опалубке .............................................. 1,0
для деревянных поверхностей, не обработанных масляными
антисептиками ......................................................... 1,0
для деревянных поверхностей, обработанных масляными
антисептиками ......................................................... 0,9
для металлических поверхностей из горячекатаного проката .......... 0,7
Для других поверхностей фундаментов, а также в случае применения покрытий (антикоррозионных, противопучинистых и др.) Raf следует принимать на основании опытных данных, полученных в полевых или лабораторных условиях.
(абзац введен
Изменением N 3, утв. Приказом Минстроя России от 24.01.2019 N 42/пр)
В.4. Значения

в
таблицах В.4 и
В.9 следует умножать на коэффициент

, равный:
для буронабивных свай с добавлением в бетон противоморозных
химических добавок .................................................... 0,7
для всех видов свай при льдистости грунта

............. 0,9
в остальных случаях ............................................... 1,0
Примечания
1 При сочетании двух перечисленных в
В.4 условий коэффициентов

принимают равным 0,6.
2 Значения Rsh для буронабивных свай с добавлением в бетон противоморозных или иных химических добавок на основе солей, используемых в качестве оснований и фундаментов зданий и сооружений повышенного уровня ответственности, следует определять путем проведения лабораторных испытаний отдельно в каждом конкретном случае.
(примечания в ред.
Изменения N 4, утв. Приказом Минстроя России от 25.11.2019 N 730/пр)
В.5. Мерзлые засоленные грунты в зависимости от преобладающего химического состава солей выделяются по типу засоления - континентальному или морскому - в соответствии с
ГОСТ 25100.
Таблица В.1
Расчетные давления на мерзлые незасоленные грунты R
под нижним концом сваи
Грунты | Глубина погружения свай, м | Расчетные давления R, кПа, при температуре грунта, °C |
-0,3 | -0,5 | -1 | -1,5 | -2 | -2,5 | -3 | -3,5 | -4 | -6 | -8 | -10 |
При льдистости ii < 0,2: | | | | | | | | | | | | | |
| При любой глубине | 2500 | 3000 | 3500 | 4000 | 4300 | 4500 | 4800 | 5300 | 5800 | 6300 | 6800 | 7300 |
2. Пески крупные и средней крупности | То же | 1500 | 1800 | 2100 | 2400 | 2500 | 2700 | 2800 | 3100 | 3400 | 3700 | 4600 | 5500 |
3. Пески мелкие и пылеватые | 3 - 5 | 850 | 1300 | 1400 | 1500 | 1700 | 1900 | 1900 | 2000 | 2100 | 2600 | 3000 | 3500 |
10 | 1000 | 1550 | 1650 | 1750 | 2000 | 2100 | 2200 | 2300 | 2500 | 3000 | 3500 | 4000 |
15 и более | 1100 | 1700 | 1800 | 1900 | 2200 | 2300 | 2400 | 2500 | 2700 | 3300 | 3800 | 4300 |
4. Супеси | 3 - 5 | 750 | 850 | 1100 | 1200 | 1300 | 1400 | 1500 | 1700 | 1800 | 2300 | 2700 | 3000 |
10 | 850 | 950 | 1250 | 1350 | 1450 | 1600 | 1700 | 1900 | 2000 | 2600 | 3000 | 3500 |
15 и более | 950 | 1050 | 1400 | 1500 | 1600 | 1800 | 1900 | 2100 | 2200 | 2900 | 3400 | 3900 |
| 3 - 5 | 650 | 750 | 850 | 950 | 1100 | 1200 | 1300 | 1400 | 1500 | 1800 | 2300 | 2800 |
10 | 800 | 850 | 950 | 1100 | 1250 | 1350 | 1450 | 1600 | 1700 | 2000 | 2600 | 3000 |
15 и более | 900 | 950 | 1100 | 1250 | 1400 | 1500 | 1600 | 1800 | 1900 | 2200 | 2900 | 3500 |
При льдистости грунтов 0,2 <= ii <= 0,4: | | | | | | | | | | | | | |
| 3 - 5 | 400 | 500 | 600 | 750 | 850 | 950 | 1000 | 1100 | 1150 | 1500 | 1600 | 1700 |
6. Все виды грунтов, указанные в поз. 1 - 5 | 10 | 450 | 550 | 700 | 800 | 900 | 1000 | 1050 | 1150 | 1250 | 1600 | 1700 | 1800 |
15 и более | 550 | 600 | 750 | 850 | 950 | 1050 | 1100 | 1300 | 1350 | 1700 | 1800 | 1900 |
Таблица В.2
Расчетные давления на мерзлые незасоленные грунты R
под подошвой столбчатого фундамента
Грунты | Расчетные давления R, кПа, при температуре грунта, °C |
-0,3 | -0,5 | -1 | -1,5 | -2 | -2,5 | -3 | -3,5 | -4 | -6 | -8 | -10 |
При льдистости грунтов ii < 0,2: | | | | | | | | | | | | |
1. Крупнообломочные и пески крупные и средней крупности | 550 | 950 | 1250 | 1450 | 1600 | 1800 | 1950 | 2000 | 2200 | 2600 | 2950 | 3300 |
2. Пески мелкие и пылеватые | 450 | 700 | 900 | 1100 | 1300 | 1400 | 1600 | 1700 | 1800 | 2200 | 2550 | 2850 |
3. Супеси | 300 | 500 | 700 | 800 | 1050 | 1150 | 1300 | 1400 | 1500 | 1900 | 2250 | 2500 |
| 250 | 450 | 550 | 650 | 800 | 900 | 1000 | 1100 | 1200 | 1550 | 1900 | 2200 |
При льдистости грунтов ii >= 0,2: | | | | | | | | | | | | |
5. Все виды грунтов, указанные в поз. 1 - 4 | 200 | 300 | 400 | 500 | 600 | 700 | 750 | 850 | 950 | 1250 | 1550 | 1750 |
Таблица В.3
Расчетные сопротивления мерзлых незасоленных грунтов
и грунтовых растворов сдвигу по поверхности
смерзания
с фундаментом
Минстроя России от 07.11.2016 N 779/пр)
Грунты | Расчетные сопротивления  , кПа, при температуре грунта, °C |
-0,3 | -0,5 | -1 | -1,5 | -2 | -2,5 | -3 | -3,5 | -4 | -6 | -8 | -10 |
Глинистые | 40 | 60 | 100 | 130 | 150 | 180 | 200 | 230 | 250 | 300 | 340 | 380 |
Песчаные | 50 | 80 | 130 | 160 | 200 | 230 | 260 | 290 | 330 | 380 | 440 | 500 |
Известково-песчаный раствор | 60 | 90 | 160 | 200 | 230 | 260 | 280 | 300 | 350 | 400 | 460 | 520 |
Примечание. Значение  для известково-песчаного раствора даны для раствора следующего состава: на 1 м 3 раствора песка среднезернистого - 820 л, известкового теста плотностью 1,4 г/см 3 - 300 л, воды - 230 л; осадка конуса - 10 - 12 см. При других составах известково-песчаного раствора, а также для цементно-песчаного раствора значения  определяются опытным путем. |
Таблица В.4
Расчетные сопротивления мерзлых незасоленных грунтов
сдвигу по грунту или грунтовому раствору 
Грунты | Расчетные давления  , кПа, при температуре грунта, °C |
-0,3 | -0,5 | -1 | -1,5 | -2 | -2,5 | -3 | -3,5 | -4 | -6 | -8 | -10 |
Песчаные | 80 | 120 | 170 | 210 | 240 | 270 | 300 | 320 | 340 | 420 | 480 | 540 |
Глинистые | 50 | 80 | 120 | 150 | 170 | 190 | 210 | 230 | 250 | 300 | 340 | 380 |
Таблица В.5
Расчетные давления на мерзлые засоленные грунты
с континентальным типом засоления R под нижним концом сваи
Минстроя России от 07.11.2016 N 779/пр)
Засоленность грунта Dsal, % | Расчетные давления R, кПа, при температуре грунта, °C |
-1 | -2 | -3 | -4 |
Глубина погружения сваи, м |
3 - 5 | 10 | 15 и более | 3 - 5 | 10 | 15 и более | 3 - 5 | 10 | 15 и более | 3 - 5 | 10 | 15 и более |
Пески мелкие и средние |
0,1 | 500 | 600 | 850 | 650 | 850 | 950 | 800 | 950 | 1050 | 900 | 1150 | 1250 |
0,2 | 150 | 250 | 350 | 250 | 350 | 450 | 350 | 450 | 600 | 500 | 600 | 750 |
0,3 | - | - | - | 150 | 200 | 300 | 250 | 350 | 450 | 350 | 450 | 550 |
0,5 | - | - | - | - | - | - | 150 | 200 | 300 | 250 | 300 | 400 |
Супеси |
0,15 | 550 | 650 | 750 | 800 | 950 | 1050 | 1050 | 1200 | 1350 | 1350 | 1550 | 1700 |
0,3 | 300 | 350 | 450 | 550 | 650 | 800 | 750 | 900 | 1050 | 1000 | 1150 | 1300 |
0,5 | - | - | - | 300 | 350 | 450 | 450 | 550 | 650 | 650 | 750 | 900 |
1,0 | - | - | - | - | - | - | 200 | 250 | 350 | 350 | 450 | 550 |
Суглинки |
0,2 | 450 | 500 | 650 | 700 | 800 | 950 | 950 | 1050 | 1200 | 1150 | 1300 | 1400 |
0,5 | 150 | 250 | 450 | 350 | 450 | 550 | 550 | 650 | 750 | 750 | 850 | 1000 |
0,75 | - | - | - | 200 | 250 | 350 | 350 | 450 | 550 | 600 | 600 | 750 |
1,0 | - | - | - | 150 | 200 | 300 | 300 | 350 | 450 | 400 | 500 | 650 |
Примечание. Значение R под подошвой столбчатого фундамента допускается принимать по настоящей таблице как для свай глубиной погружения 3 - 5 м. |
Таблица В.6
Расчетные сопротивления мерзлых засоленных грунтов
с континентальным типом засоления сдвигу
по поверхностям смерзания 
Минстроя России от 07.11.2016 N 779/пр)
Засоленность грунта Dsal, % | Расчетные сопротивления  , кПа, при температуре грунта, °C |
-1 | -2 | -3 | -4 |
Пески мелкие и средние |
0,1 | 70 | 110 | 150 | 190 |
0,2 | 50 | 80 | 110 | 140 |
0,3 | 40 | 70 | 90 | 120 |
0,5 | - | 50 | 80 | 100 |
Супеси |
0,15 | 80 | 120 | 160 | 210 |
0,3 | 60 | 90 | 130 | 170 |
0,5 | 30 | 60 | 100 | 130 |
1,0 | - | - | 50 | 80 |
Суглинки |
0,2 | 60 | 100 | 130 | 180 |
0,5 | 30 | 50 | 90 | 120 |
0,75 | 25 | 45 | 80 | 110 |
1,0 | 20 | 40 | 70 | 100 |
Таблица В.7
Расчетные давления R на мерзлые засоленные грунты
с морским типом засоления под нижним концом сваи
Засоленность грунта Dsal, % | Глубина погружения свай, м | Расчетные давления R, кПа, при температуре грунта, °C |
-1 | -2 | -3 | -4 | -6 |
Пески мелкие и пылеватые |
Минстроя России от 24.01.2019 N 42/пр) |
0,05 | 3 - 5 | 610 | 860 | 1000 | 1180 | 1360 |
0,1 | | 340 | 480 | 600 | 740 | 800 |
0,2 | | - | 260 | 360 | 390 | 450 |
0,3 | | - | - | 190 | 270 | 350 |
0,5 | | - | - | - | 230 | 270 |
0,05 | 10 | 705 | 955 | 1095 | 1275 | 1455 |
0,1 | | 450 | 590 | 710 | 850 | 910 |
0,2 | | - | 310 | 460 | 500 | 560 |
0,3 | | - | - | 300 | 380 | 460 |
0,5 | | - | - | - | 340 | 380 |
0,05 | 15 и более | 800 | 1050 | 1190 | 1370 | 1550 |
0,1 | | 550 | 690 | 810 | 950 | 1210 |
0,2 | | - | 470 | 570 | 600 | 660 |
0,3 | | - | - | 400 | 480 | 560 |
0,5 | | - | - | - | 440 | 480 |
Супесь |
0,15 | 3 - 5 | 730 | 1050 | 1150 | 1430 | 1620 |
0,2 | | 450 | 750 | 1000 | 1180 | 1310 |
0,3 | | 270 | 580 | 730 | 800 | 880 |
0,5 | | - | 220 | 280 | 360 | 450 |
0,8 | | - | - | - | 140 | 250 |
0,15 | 10 | 770 | 1090 | 1190 | 1470 | 1660 |
0,2 | | 490 | 790 | 1040 | 1220 | 1350 |
0,3 | | 310 | 620 | 770 | 840 | 920 |
0,5 | | - | 260 | 320 | 400 | 490 |
0,8 | | - | - | - | 180 | 290 |
0,15 | 15 и более | 840 | 1160 | 1260 | 1540 | 1730 |
0,2 | | 650 | 960 | 1200 | 1380 | 1510 |
0,3 | | 470 | 780 | 930 | 1000 | 1080 |
0,5 | | - | 420 | 470 | 560 | 650 |
0,8 | | - | - | - | 340 | 450 |
Суглинки тяжелые и глины |
0,2 | 3 - 5 | 410 | 640 | 820 | 1000 | 1360 |
0,3 | | 290 | 470 | 650 | 820 | 1200 |
0,5 | | - | 270 | 410 | 590 | 930 |
0,8 | | - | 160 | 270 | 410 | 600 |
1,0 | | - | 140 | 230 | 370 | 470 |
1,2 | | - | - | 180 | 320 | 440 |
1,5 | | - | - | 150 | 270 | 410 |
0,2 | 10 | 510 | 740 | 920 | 1100 | 1460 |
0,3 | | 390 | 570 | 750 | 920 | 1300 |
0,5 | | - | 370 | 510 | 690 | 1030 |
0,8 | | - | 260 | 370 | 510 | 700 |
1,0 | | - | 240 | 330 | 480 | 570 |
1,2 | | - | - | 280 | 420 | 540 |
1,5 | | - | - | 240 | 370 | 510 |
0,2 | 15 и более | 600 | 830 | 1010 | 1190 | 1550 |
0,3 | | 480 | 660 | 840 | 1010 | 1390 |
0,5 | | - | 460 | 600 | 780 | 1120 |
0,8 | | - | 350 | 460 | 600 | 790 |
1,0 | | - | 330 | 420 | 570 | 660 |
1,2 | | - | - | 370 | 510 | 630 |
1,5 | | - | - | 330 | 460 | 600 |
Таблица В.8
Расчетные давления R на мерзлые засоленные грунты с морским
типом засоления под подошвой столбчатого фундамента
Засоленность грунта, Dsal, % | Расчетные давления R, кПа, при температуре грунта, °C |
-1 | -2 | -3 | -4 | -6 |
Пески мелкие и пылеватые |
Минстроя России от 24.01.2019 N 42/пр) |
0,05 | 530 | 780 | 920 | 1100 | 1280 |
0,10 | 260 | 400 | 600 | 760 | 1000 |
0,15 | 170 | 250 | 380 | 550 | 740 |
0,20 | - | 180 | 240 | 310 | 370 |
0,30 | - | - | 110 | 190 | 270 |
0,50 | - | - | - | 150 | 190 |
Супеси |
Позиции исключены с 8 мая 2017 года. - Изменение N 1, утв. Приказом Минстроя России от 07.11.2016 N 779/пр. |
0,15 | 660 | 980 | 1080 | 1360 | 1550 |
0,20 | 380 | 680 | 930 | 1110 | 1240 |
0,30 | 200 | 510 | 660 | 730 | 810 |
0,50 | - | 150 | 200 | 290 | 380 |
0,80 | - | - | - | 70 | 180 |
Суглинки легкие |
Позиции исключены с 8 мая 2017 года. - Изменение N 1, утв. Приказом Минстроя России от 07.11.2016 N 779/пр. |
0,20 | 250 | 590 | 740 | 1030 | 1400 |
0,3 | 110 | 370 | 640 | 880 | 1260 |
0,5 | - | 100 | 410 | 610 | 860 |
0,8 | - | - | 160 | 280 | 440 |
1,0 | - | - | 100 | 180 | 310 |
1,2 | - | - | - | - | 240 |
1,5 | - | - | - | - | 180 |
Суглинки тяжелые и глины |
Позиции исключены с 8 мая 2017 года. - Изменение N 1, утв. Приказом Минстроя России от 07.11.2016 N 779/пр. |
0,2 | 340 | 570 | 750 | 930 | 1290 |
0,3 | 220 | 400 | 580 | 750 | 1130 |
0,5 | - | 140 | 340 | 520 | 860 |
0,8 | - | 90 | 200 | 340 | 530 |
1,0 | - | 70 | 160 | 310 | 400 |
1,2 | - | - | 110 | 250 | 370 |
1,5 | - | - | 80 | 200 | 340 |
Таблица В.9
Расчетные сопротивления срезу по поверхности смерзания 
мерзлых засоленных грунтов с морским типом засоления
Засоленность грунта, Dsa, % | Расчетные сопротивления  , кПа, при температуре грунта, °C |
-1 | -2 | -3 | -4 | -6 |
Пески |
Позиция исключена с 8 мая 2017 года. - Изменение N 1, утв. Приказом Минстроя России от 07.11.2016 N 779/пр. |
0,05 | 110 | 170 | 220 | 270 | 320 |
0,10 | 50 | 90 | 135 | 170 | 200 |
0,15 | 25 | 70 | 110 | 140 | 170 |
0,20 | 15 | 55 | 90 | 120 | 150 |
0,30 | - | 30 | 65 | 90 | 110 |
0,50 | - | 15 | 20 | 30 | 55 |
0,80 | - | - | - | - | - |
Супеси |
Позиции исключены с 8 мая 2017 года. - Изменение N 1, утв. Приказом Минстроя России от 07.11.2016 N 779/пр. |
0,15 | 60 | 100 | 130 | 180 | 230 |
0,20 | 35 | 75 | 110 | 150 | 200 |
0,30 | 30 | 55 | 80 | 120 | 160 |
0,50 | 20 | 40 | 60 | 80 | 110 |
0,80 | | | 45 | 65 | 90 |
1,00 | | | - | 60 | 80 |
Суглинки тяжелые и глины |
Позиции исключены с 8 мая 2017 года. - Изменение N 1, утв. Приказом Минстроя России от 07.11.2016 N 779/пр. |
0,20 | 40 | 95 | 150 | 210 | 270 |
0,30 | 25 | 60 | 110 | 170 | 245 |
0,50 | 10 | 30 | 60 | 100 | 150 |
0,80 | - | 15 | 45 | 80 | 125 |
1,00 | - | - | 30 | 75 | 110 |
1,20 | - | - | - | 70 | 80 |
1,50 | - | - | - | 55 | 75 |
Таблица В.10
Расчетные давления на лед R под нижним концом сваи
и расчетные сопротивления льда сдвигу по поверхности
смерзания с грунтовым раствором 
Температура льда, °C | Расчетные значения, R и  , кПа |
R | |
-1 | 50 | 20 |
-1,5 | 100 | 30 |
-2 | 140 | 35 |
-2,5 | 190 | 45 |
-3 | 230 | 50 |
-3,5 | 260 | 60 |
-4 | 280 | 65 |
Таблица В.11
Расчетные давления на мерзлые заторфованные грунты R
под нижним концом сваи
Грунты | Глубина погружения сваи, м | Значение R, кПа, при температуре грунта, °C |
-0,3 | -0,5 | -1 | -1,5 | -2 | -2,5 | -3 | -3,5 | -4 | -6 | -8 | -10 |
Песчаные | | | | | | | | | | | | | |
0,03< Iom <=0,1 | 3 - 5 | 180 | 230 | 300 | 400 | 600 | 750 | 950 | 1050 | 1250 | 1550 | 1750 | 1950 |
0,1< Iom <=0,3 | | 130 | 170 | 240 | 350 | 480 | 550 | 650 | 750 | 910 | 1050 | 1200 | 1350 |
0,3< Iom <=0,5 | | 100 | 130 | 170 | 260 | 350 | 440 | 500 | 590 | 690 | 790 | 890 | 1000 |
0,03< Iom <=0,1 | 10 | 230 | 280 | 350 | 450 | 650 | 800 | 1000 | 1100 | 1300 | 1600 | 1800 | 2000 |
| | ИС МЕГАНОРМ: примечание. Числовые значения в графе "Грунты" даны в соответствии с официальным текстом документа. | |
|
0,01< Iom <=0,3 | | 180 | 220 | 290 | 400 | 530 | 600 | 700 | 800 | 960 | 1100 | 1250 | 1400 |
0,03< Iom <=0,5 | | 150 | 180 | 220 | 310 | 400 | 490 | 550 | 640 | 740 | 840 | 940 | 1050 |
0,03< Iom <=0,1 | 15 | 360 | 420 | 490 | 590 | 790 | 940 | 1100 | 1200 | 1400 | 1700 | 1900 | 2100 |
0,1< Iom <=0,3 | | 310 | 350 | 420 | 530 | 660 | 730 | 830 | 930 | 990 | 1230 | 1400 | 1530 |
0,3< Iom <=0,5 | | 260 | 290 | 330 | 420 | 530 | 500 | 660 | 750 | 850 | 950 | 1050 | 1160 |
Пылевато-глинистые | | | | | | | | | | | | | |
0,05< Iom <0,1 | 3 - 5 | 130 | 170 | 250 | 370 | 530 | 640 | 750 | 900 | 1050 | 1150 | 1350 | 1550 |
0,1< Iom <0,3 | | 110 | 140 | 200 | 300 | 400 | 470 | 590 | 670 | 750 | 870 | 990 | 1100 |
0,3< Iom <0,5 | | 90 | 110 | 150 | 230 | 330 | 400 | 480 | 550 | 600 | 720 | 810 | 910 |
0,05< Iom <0,1 | 10 | 180 | 220 | 300 | 420 | 580 | 690 | 800 | 950 | 1100 | 1200 | 1400 | 1600 |
0,1< Iom <0,3 | | 160 | 190 | 250 | 350 | 450 | 520 | 640 | 720 | 800 | 920 | 1140 | 1150 |
0,3< Iom <0,5 | | 120 | 140 | 180 | 260 | 360 | 430 | 510 | 580 | 650 | 750 | 840 | 940 |
0,05< Iom <0,1 | 15 | 300 | 350 | 430 | 550 | 710 | 820 | 930 | 1080 | 1230 | 1330 | 1530 | 1730 |
0,1< Iom <0,3 | | 280 | 310 | 370 | 470 | 570 | 640 | 760 | 840 | 920 | 1040 | 1160 | 1270 |
0,3< Iom <0,5 | | 240 | 260 | 300 | 380 | 480 | 550 | 630 | 700 | 750 | 870 | 960 | 1060 |
Таблица В.12
Расчетные давления на мерзлые заторфованные грунты
под подошвой столбчатого фундамента R, расчетные
сопротивления мерзлых заторфованных грунтов сдвигу
по поверхности смерзания
и расчетные сопротивления
мерзлых заторфованных грунтов сдвигу по грунту
или грунтовому раствору 
Грунты | Расчетные значения R,  ,  , кПа, при температуре грунта, °C |
-0,3 | -0,5 | -1 | -1,5 | -2 | -2,5 | -3 | -3,5 | -4 | -6 | -8 | -10 |
Расчетные давления на мерзлые заторфованные грунты под подошвой столбчатого фундамента R |
Песчаные: | | | | | | | | | | | | |
0,03< Iom <=0,1 | 130 | 180 | 250 | 350 | 550 | 700 | 900 | 1000 | 1200 | 1500 | 1700 | 1900 |
0,1< Iom <=0,3 | 80 | 120 | 190 | 300 | 430 | 500 | 600 | 700 | 860 | 1000 | 1150 | 1300 |
0,3< Iom <=0,5 | 60 | 90 | 130 | 220 | 310 | 400 | 460 | 550 | 650 | 750 | 850 | 970 |
Глинистые: | | | | | | | | | | | | |
0,05< Iom <=0,1 | 80 | 120 | 200 | 320 | 480 | 590 | 700 | 850 | 1000 | 1100 | 1300 | 1500 |
0,1< Iom <=0,3 | 60 | 90 | 150 | 250 | 350 | 420 | 540 | 620 | 700 | 820 | 940 | 1050 |
0,3< Iom <=0,5 | 40 | 60 | 100 | 180 | 280 | 350 | 430 | 500 | 570 | 670 | 760 | 860 |
Торф | 20 | 40 | 60 | 120 | 220 | 270 | 320 | 390 | 450 | 520 | 590 | 670 |
Расчетные сопротивления мерзлых заторфованных грунтов сдвигу по поверхности смерзания  |
Песчаные: | | | | | | | | | | | | |
0,03< Iom <=0,1 | 50 | 70 | 90 | 100 | 130 | 160 | 160 | 180 | 210 | 250 | 280 | 320 |
0,1< Iom <=0,3 | 30 | 40 | 50 | 70 | 90 | 110 | 120 | 140 | 160 | 190 | 220 | 240 |
0,3< Iom <=0,5 | 20 | 30 | 40 | 60 | 70 | 80 | 90 | 110 | 130 | 150 | 170 | 190 |
Глинистые: | | | | | | | | | | | | |
0,05< Iom <=0,1 | 20 | 40 | 60 | 80 | 100 | 110 | 130 | 150 | 180 | 200 | 230 | 270 |
0,1< Iom <=0,3 | 10 | 20 | 30 | 50 | 60 | 70 | 90 | 100 | 120 | 140 | 160 | 180 |
0,3< Iom <=0,5 | 5 | 10 | 20 | 30 | 50 | 60 | 80 | 90 | 100 | 120 | 140 | 160 |
Торф | 3 | 5 | 8 | 25 | 40 | 50 | 70 | 80 | 90 | 110 | 120 | 140 |
Расчетные сопротивления мерзлых заторфованных грунтов сдвигу по грунту или грунтовому раствору  |
Песчаные: | | | | | | | | | | | | |
0,03< Iom <=0,1 | 30 | 60 | 100 | 140 | 160 | 190 | 230 | 250 | 270 | 310 | 330 | 350 |
0,1< Iom <=0,3 | 10 | 30 | 50 | 70 | 110 | 120 | 130 | 150 | 180 | 200 | 230 | 260 |
0,3< Iom <=0,5 | 8 | 20 | 40 | 60 | 80 | 90 | 100 | 120 | 140 | 150 | 180 | 210 |
Глинистые: | | | | | | | | | | | | |
0,05< Iom <=0,1 | 20 | 50 | 70 | 90 | 110 | 120 | 140 | 170 | 200 | 250 | 270 | 300 |
0,1< Iom <=0,3 | 5 | 30 | 40 | 50 | 70 | 80 | 100 | 110 | 130 | 180 | 190 | 200 |
0,3< Iom <=0,5 | 3 | 20 | 30 | 40 | 60 | 70 | 90 | 100 | 110 | 140 | 150 | 170 |
Торф | 2 | 10 | 20 | 30 | 40 | 60 | 80 | 90 | 100 | 120 | 140 | 160 |
Нормативные предельно длительные значения удельного
сцепления cL и угла внутреннего трения
для мерзлых
грунтов и контакта грунта со скалой
Минстроя России от 25.11.2019 N 730/пр)
Грунты | Обозначения характеристик грунтов | Характеристики грунтов при температуре грунта, °C |
-0,5 | -1,0 | -1,5 | -2,0 | -2,5 | -3,0 | -3,5 | -4,0 | -5,0 | -6,0 | -8,0 | -10,0 |
Песчаные гравелистые пески с содержанием пылеватой фракции более 8% | cL | 80 | 110 | 140 | 170 | 200 | 230 | 250 | 300 | 360 | 420 | 520 | - |
| 28 | 28 | 30 | 30 | 32 | 32 | 32 | 32 | 33 | 33 | 33 | - |
Контакт песчаных грунтов со скалой (скальные образцы с размерами выступов 0,5 - 2,0 мм) | cL | 70 | 90 | 120 | 150 | 180 | 200 | 220 | 270 | 280 | 330 | 410 | - |
| 16 | 16 | 17 | 17 | 18 | 18 | 18 | 18 | 19 | 19 | 19 | - |
Песок | cL | - | 140 | - | 160 | - | - | - | 195 | - | 387 | - | 806 |
| - | 25 | - | 31 | - | - | - | 38 | - | 39 | - | 45 |
Супесь | cL | - | 181 | - | 209 | - | - | - | 324 | - | 577 | - | 790 |
| - | 15 | - | 22 | - | - | - | 25 | - | 27 | - | 28 |
Суглинок | cL | - | 109 | - | 131 | - | - | - | 275 | - | 350 | - | 462 |
| - | 9 | - | 11 | - | - | - | 12 | - | 13 | - | 31 |
Глина | cL | - | 104 | - | 122 | - | - | - | 275 | - | 360 | - | 480 |
| - | 9 | - | 11 | - | - | - | 14 | - | 16 | - | 31 |
Таблица В.14
Нормативные значения удельного сцепления
, (кПа)
и угла внутреннего трения
(град) оттаивающего
глинистого грунта
| | ИС МЕГАНОРМ: примечание. Обозначения в таблице даны в соответствии с официальным текстом документа. | |
Обозначения характеристик грунтов | Характеристики грунтов при значении показателя текучести IL, доли единицы |
0,25 | 0,35 | 0,5 | 0,625 | 0,75 | 1,00 |
 , кПа | 21 | 19 | 17 | 15 | 13 | 9 |
 , град | 32 | 28 | 23 | 19 | 14 | 5 |
| | Применение на обязательной основе прил. Г обеспечивает соблюдение требований Федерального закона от 30.12.2009 N 384-ФЗ "Технический регламент о безопасности зданий и сооружений" (Постановление Правительства РФ от 04.07.2020 N 985). | |
(обязательное)
СРЕДНЕГОДОВАЯ ТЕМПЕРАТУРА И ГЛУБИНА СЕЗОННОГО ОТТАИВАНИЯ
И ПРОМЕРЗАНИЯ ГРУНТА
Г.1. Нормативная глубина сезонного оттаивания грунта

, м, определяется по данным натурных наблюдений по формуле

, (Г.1)
где

- наибольшая глубина сезонного оттаивания грунта в годовом периоде, м, устанавливаемая по данным натурных наблюдений;
(в ред.
Изменения N 1, утв. Приказом Минстроя России от 07.11.2016 N 779/пр)

- температура начала замерзания грунта, °C, определяемая по
Приложению Б;

и

- соответственно средняя по многолетним данным температура воздуха за период положительных температур, °C, и продолжительность этого периода, ч, принимаемые по
СП 131.13330, причем для климатических подрайонов IБ и IГ значения

и

следует принимать с коэффициентом 0,9;

и

- соответственно средняя температура воздуха, °C, за период положительных температур и продолжительность этого периода, ч, в год проведения наблюдений, принимаемые по метеоданным.
Г.2. Нормативная глубина сезонного промерзания грунта

, м, определяется по формуле

, (Г.2)
где

- наибольшая глубина сезонного промерзания грунта в годовом периоде, м, устанавливаемая по данным натурных наблюдений;
(в ред.
Изменения N 1, утв. Приказом Минстроя России от 07.11.2016 N 779/пр)

и

- соответственно средняя по многолетним данным температура воздуха за период отрицательных температур, °C, и продолжительность этого периода, ч, принимаемые по
СП 131.13330;

и

- соответственно средняя температура воздуха, °C, за период отрицательных температур и продолжительность этого периода, ч, в год проведения наблюдений, принимаемые по метеоданным.
Г.3. При отсутствии данных натурных наблюдений нормативную глубину сезонного оттаивания грунта

, м, допускается определять по формуле

, (Г.3)
где

; (Г.4)

; (Г.5)

- расчетная температура поверхности грунта в летний период, °C, определяемая по формуле

; (Г.6)

- расчетный период положительных температур, ч, определяемый по формуле

; (Г.7)

- время, принимаемое равным

(3600 ч);

- время, принимаемое равным

(7500 ч);

- расчетная среднегодовая температура многолетнемерзлого грунта, °C, определяемая по
Г.8;

и

- теплопроводность соответственно талого и мерзлого грунта, Вт/(м·°C);

и

- объемная теплоемкость соответственно талого и мерзлого грунта, Дж/(м
3·°C);

- коэффициент, принимаемый для песчаных грунтов равным 1,0, а для глинистых - по
таблице Г.1 в зависимости от значения теплоемкости

и средней температуры грунта, °C, определяемой по формуле

; (Г.8)

- теплота таяния (замерзания) грунта, Дж/м
3, определяемая по
Приложению Б при температуре грунта, равной

, °C.
Таблица Г.1
Коэффициент 
Температура, °C | Значения коэффициента  при объемной теплоемкости  , Дж/(м3·°C) |
1,3·106 | 1,7·106 | 2,1·106 | 2,5·106 |
-1 | 6,8 | 5,9 | 5,3 | 5,0 |
-2 | 5,2 | 4,5 | 4,0 | 3,7 |
-4 | 3,7 | 3,2 | 2,8 | 2,5 |
-6 | 3,0 | 2,6 | 2,3 | 2,1 |
-8 | 2,5 | 2,2 | 1,9 | 1,6 |
-10 | 1,8 | 1,6 | 1,4 | 1,2 |
Г.4. Нормативная глубина сезонного промерзания грунта

, м, определяется по формуле

, (Г.9)
где

, (Г.10)
здесь

- теплота замерзания грунта, Дж/м
3, определяемая по
Приложению Б при температуре грунта, равной

, °C.
(в ред.
Изменения N 1, утв. Приказом Минстроя России от 07.11.2016 N 779/пр)
Г.5. В случаях, когда предусматриваются вертикальная планировка территории подсыпкой, регулирование поверхностного стока и другие мероприятия, приводящие к понижению уровня подземных вод, значения теплофизических характеристик при расчете нормативных глубин сезонного оттаивания и промерзания грунтов по
формулам (Г.3) и
(Г.9) следует принимать при влажности грунта, равной:
для крупнообломочных грунтов ..................................... 0,04
" песков (кроме пылеватых) ..................................... 0,07
" песков пылеватых ............................................. 0,10
" глинистых грунтов .......................................

" заторфованных грунтов ......................................

,
где

и

- соответственно число пластичности и влажности грунта на границе пластичности.
Г.6. Расчетная глубина сезонного оттаивания

и расчетная глубина сезонного промерзания грунта

определяются по формулам:

; (Г.11)

, (Г.12)
где

и

- нормативные глубины соответственно сезонного оттаивания и сезонного промерзания грунта;

и

- коэффициенты теплового влияния сооружения, принимаемые по таблице Г.2.
Таблица Г.2
Коэффициенты
и kh
Минстроя России от 07.11.2016 N 779/пр)
Сооружения | | |
Здания и сооружения без холодного подполья | - | |
Здания и сооружения с холодным подпольем: | | |
у наружных стен с отмостками, имеющими асфальтовое и тому подобное покрытия | 1,2 | - |
у наружных стен с отмостками без асфальтовых покрытий | 1,0 | - |
у внутренних опор | 0,8 | - |
Мосты: | | |
промежуточные массивные опоры с фундаментами мелкого заложения или фундаментами из свай и свай-столбов с плитой (ростверком), заглубленной в грунт при ширине опор по фасаду: | | |
от 2 до 4 м | 1,3 | 1,2 |
4 м и более | 1,5 | 1,3 |
промежуточные столбчатые и свайные опоры, рамно-стоечные опоры с фундаментами мелкого заложения | 1,2 | 1,1 |
обсыпные устои | 1,0 | 1,0 |
Примечания. 1. Данные таблицы не распространяются на случаи применения теплоизоляции и других специальных теплозащитных мероприятий (вентилируемые и теплоизолирующие подсыпки, охлаждающие устройства и т.д.). 2. Для устоев мостов, обсыпанных песчаным грунтом, значения  и  следует принимать по данным теплотехнического расчета, но не менее 1,2. |
Г.7. Нормативное значение среднегодовой температуры многолетнемерзлого грунта

определяется по данным полевых измерений температуры грунтов на опытных площадках с естественными условиями. Допускается значение

принимать равным температуре грунта на глубине 10 м от поверхности.
(в ред.
Изменения N 1, утв. Приказом Минстроя России от 07.11.2016 N 779/пр)
Г.8. Расчетная среднегодовая температура многолетнемерзлого грунта

, °C, устанавливается на основании прогнозных расчетов изменения температурного режима грунтов на застраиваемой территории. Для сооружений повышенного уровня ответственности сроком эксплуатации более 20 лет при выполнении прогнозных расчетов температурного режима грунтов рекомендуется учитывать региональные климатические и геокриологические особенности и их изменение во времени. Сценарий изменения температуры приземного воздуха, используемый при расчете, рекомендуется принимать по актуальным данным федерального органа исполнительной власти, осуществляющего функции по оказанию государственных услуг в области гидрометеорологии и смежных с ней областях и мониторинга окружающей среды, или в соответствии с линейной зависимостью изменения, построенной по архивным данным за весь период наблюдений репрезентативной метеорологической станции.
(в ред.
Изменения N 4, утв. Приказом Минстроя России от 25.11.2019 N 730/пр)
Допускается определять значение

, °C, по формуле

, (Г.13)
где

- продолжительность года, принимаемая равной

(8760 ч);

и

- соответственно средняя по многолетним данным температура воздуха в период отрицательных температур, °C, и продолжительность этого периода, с (ч), принимаемые по
СП 131.13330;

- нормативная глубина сезонного оттаивания, м, для предварительных расчетов допускается принимать по
рисунками Г.1 и
Г.2;

- теплота таяния (замерзания) грунта, Дж/м
3, определяемая по
Приложению Б;

- термическое сопротивление снегового покрова, м
2·°C/Вт, определяемое по формуле

, (Г.14)
где

- среднезимняя высота снегового покрова, м, принимаемая по метеоданным;

- среднезимняя теплопроводность снегового покрова, Вт/(м·°C), определяется по формуле
(в ред.
Изменения N 4, утв. Приказом Минстроя России от 25.11.2019 N 730/пр)

, (Г.15)
где

- пересчетный множитель, принимаемый равным

;

- среднезимняя плотность снегового покрова, т/м
3, принимаемая по метеоданным.
Примечания. 1. В районах со средней скоростью ветра в зимний период свыше 5 м/с рассчитанное по
формуле (Г.13) значение

следует увеличивать в 1,3 раза.
Рисунок Г.1. Глубины оттаивания песчаных грунтов
Рисунок Г.2. Глубины оттаивания глинистых грунтов
| | Применение на обязательной основе прил. Д обеспечивает соблюдение требований Федерального закона от 30.12.2009 N 384-ФЗ "Технический регламент о безопасности зданий и сооружений" (Постановление Правительства РФ от 04.07.2020 N 985). | |
(обязательное)
РАСЧЕТ ТЕМПЕРАТУРНОГО РЕЖИМА ВЕНТИЛИРУЕМОГО ПОДПОЛЬЯ
Д.1. Температурный режим вентилируемого подполья характеризуется среднегодовой температурой воздуха в подполье

, устанавливаемой расчетом в зависимости от предусмотренного проектом значения среднегодовой температуры многолетнемерзлого грунта на его верхней поверхности
(7.2.8), теплового режима сооружения и режима вентилирования подполья.
Д.2. Среднегодовая температура воздуха в вентилируемом подполье

, °C, обеспечивающая предусмотренную в проекте среднегодовую температуру многолетнемерзлого грунта на его верхней поверхности

, °C, вычисляется по формуле

, (Д.1)
где

- коэффициент, принимаемый по таблице Д.1 в зависимости от значений

и

,
где

- продолжительность периода с отрицательной среднесуточной температурой воздуха, сут, принимаемая по
СП 131.13330;

и

- теплопроводность соответственно мерзлого и талого грунтов.
Таблица Д.1
Коэффициент 
| Значения коэффициента  при  , сут |
200 | 225 | 250 | 275 | 300 |
1,0 | 1,0 | 1,0 | 1,0 | 1,0 | 1,0 |
1,1 | 0,87 | 0,96 | 0,98 | 0,99 | 1,0 |
1,2 | 0,78 | 0,93 | 0,97 | 0,99 | 1,0 |
1,3 | 0,72 | 0,90 | 0,96 | 0,99 | 1,0 |
Д.3. Среднегодовая температура многолетнемерзлого грунта на его верхней поверхности

, °C, устанавливаемая при эксплуатации зданий или сооружений, назначается из условия обеспечения требуемых расчетных температур грунта охлаждающими устройствами. Для зданий и сооружений значение

определяется по формуле

, (Д.1а)
где T0 - температура многолетнемерзлого грунта, °C;

- понижение температуры, которое должно быть обеспечено охлаждающими устройствами (проветриваемое подполье, охлаждающие трубы, СОУ и т.д.), °C, принимается по таблице Д.2.
(в ред.
Изменения N 4, утв. Приказом Минстроя России от 25.11.2019 N 730/пр)
Таблица Д.2
Понижение температуры 
Среднегодовая температура грунта с учетом температуры начала замерзания (T0 - Tbf), °C | Понижение температуры  , °C |
(T0 - Tbf) > -0,5 | -2,5 |
-0,5 >= (T0 - Tbf) > -1,0 | -1,5 |
-1,0 >= (T0 - Tbf) > -1,5 | -0,5 |
-1,5 >= (T0 - Tbf) > -6,0 | 0 |
Примечание. При T0 - Tbf ниже минус 6 °C допускается повышение природных температур многолетнемерзлых грунтов до значения  , которое обеспечивает требуемую несущую способность основания. |
(п. Д.3 в ред.
Изменения N 1, утв. Приказом Минстроя России от 07.11.2016 N 779/пр)
Д.4. Установленная расчетом по
Д.2 среднегодовая температура воздуха в подполье

при естественном вентилировании подполья за счет ветрового напора обеспечивается подбором модуля его вентилирования M, определяемого соотношением

, (Д.2)
где

- для подполий с продухами - общая площадь продухов; для открытых подполий - площадь, равная произведению периметра здания на расстояние от поверхности грунта или отмостки до низа ростверка свайного фундамента или фундаментных балок, м
2;

- площадь здания в плане по наружному контуру, м
2.
Примечание. При отношении высоты подполья

к ширине здания B менее 0,02 следует применять вентиляцию с механическим побуждением.
Д.5. Модуль вентилирования M, необходимый для обеспечения расчетной температуры воздуха в подполье

при его естественном вентилировании, вычисляется по формуле

, (Д.3)
где

- коэффициент, принимаемый в зависимости от расстояния между зданиями a и их высотой h, равным:
1,0 при a >= 5h
1,2 при a = 4h
1,5 при a <= 3h;

- расчетная температура воздуха в помещении, °C;

- среднегодовая температура наружного воздуха, °C;

- сопротивление теплопередаче перекрытия над подпольем, м
2·°C/Вт;

- объемная теплоемкость воздуха, принимаемая равной 1300 Дж/(м
3·°C);

- обобщенный аэродинамический коэффициент, учитывающий давление ветра и гидравлические сопротивления, принимаемый равным: для сооружений прямоугольной формы -

; П-образной формы -

; Т-образной формы -

и L-образной формы -

;

- средняя годовая скорость ветра, м/с (м/ч);

- безразмерный параметр; для открытых подполий принимается равным 0; для подполий с продухами определяется по формуле

, (Д.4)
где

- площадь цоколя для подполий с продухами, м
2;

- сопротивление теплопередаче цоколя, м
2·°C/Вт;

- параметр, учитывающий влияние расположенных в подполье коммуникаций на его тепловой режим, °C, определяемый по формуле

, (Д.5)
где n - число трубопроводов;

- длина j-го трубопровода, м;

- температура теплоносителя в j-м трубопроводе, °C;

- время работы j-го трубопровода в течение года, сут;

- продолжительность года, равная 365 сут;

- сопротивление теплопередаче теплоизоляции j-го трубопровода, м·°C/Вт;

- коэффициент потери напора на отдельных участках подполья, принимаемый по таблице Д.3.
Таблица Д.3
Коэффициент 
Участок подполья | |
Вход с сужением потока | 0,50 |
Жалюзийная решетка | 2,00 |
Поворот потока на 90° | 1,32 |
Вход с расширением потока | 0,64 |
| | Применение на обязательной основе прил. Е обеспечивает соблюдение требований Федерального закона от 30.12.2009 N 384-ФЗ "Технический регламент о безопасности зданий и сооружений" (Постановление Правительства РФ от 04.07.2020 N 985). | |
(обязательное)
РАСЧЕТ ОСНОВАНИЙ ПРИ СТРОИТЕЛЬСТВЕ ПО СПОСОБУ СТАБИЛИЗАЦИИ
ВЕРХНЕЙ ПОВЕРХНОСТИ МНОГОЛЕТНЕМЕРЗЛЫХ ГРУНТОВ
Е.1. При строительстве по способу стабилизации верхней поверхности многолетнемерзлого грунта
(6.4.4) глубина заложения фундаментов d должна удовлетворять условию

, (Е.1)
где

- глубина залегания верхней поверхности многолетнемерзлого грунта на начало эксплуатации сооружения, м;

- нормативная глубина сезонного промерзания грунта, м.
Е.2. Расчет оснований фундаментов по несущей способности и деформациям следует производить в соответствии с требованиями
СП 22.13330,
СП 24.13330, настоящего свода правил.
Проверку фундаментов на устойчивость и прочность на воздействие сил морозного пучения грунтов необходимо производить согласно
7.4.1 -
7.4.5, принимая расчетную глубину сезонного промерзания грунта

, м.
Е.3. Требуемый температурный режим грунтов оснований обеспечивается холодным подпольем, модуль вентилирования которого M определяется по
формуле (Д.3), принимая среднегодовую температуру воздуха в подполье

, °C, равной

, (Е.2)
Минстроя России от 07.11.2016 N 779/пр)
где

- коэффициент, определяемый по графикам
рисунка Е.1 в зависимости от значений параметров

и

, определяемых по формулам

; (Е.3)

, (Е.4)
где

- расчетный срок эксплуатации сооружения, с (ч).
Рисунок Е.1. Графики для определения коэффициента 
Е.4. Положение верхней поверхности многолетнемерзлого грунта под сооружением при принятой
Е.3 расчетной температуре воздуха в подполье

должно быть проверено расчетом по глубине оттаивания грунта под сооружением H, определяемой в соответствии с указаниями
К.5, принимая в
формуле (К.15) значение

, °C, и коэффициент

.
В случае, если при полученной расчетом глубине оттаивания грунта H (считая от поверхности многолетнемерзлого грунта) осадка основания превысит предельно допустимое для данного сооружения значение, следует предусматривать дополнительные мероприятия по регулированию глубины оттаивания основания.
(рекомендуемое)
РАСЧЕТ СВАЙНЫХ ФУНДАМЕНТОВ НА ДЕЙСТВИЕ
ГОРИЗОНТАЛЬНЫХ НАГРУЗОК И ВОЗДЕЙСТВИЙ
Ж.1. Данное приложение не относится к расчету свайных фундаментов опор мостов на действие горизонтальных нагрузок, который следует производить в соответствии с требованиями
СП 35.13330 с учетом указаний
12.17.
Ж.2. При расчете свайных фундаментов на действие горизонтальных нагрузок (сил и/или моментов) и воздействий (температурного расширения ростверка и пр.) следует рассматривать следующие расчетные схемы:
схема 1 - свая погружена в твердомерзлый грунт, глубина сезонного оттаивания которого

, где b - размер поперечного сечения сваи в направлении действия горизонтальной силы; свая принимается жестко заделанной в основание на глубине

, сопротивление расположенных выше слоев грунта не учитывается;
схема 2 - свая погружена в твердомерзлый грунт, глубина сезонного оттаивания которого

, условия заделки сваи те же, что и в схеме 1, а вышерасположенные грунты рассматриваются как линейно-деформируемая среда с коэффициентом жесткости, возрастающим пропорционально глубине в пределах каждого однородного слоя; эту схему допускается также принимать при

, если сезонно-оттаивающий слой сложен маловлажными крупнообломочными и песчаными грунтами средней плотности и плотными, а также глинистыми грунтами с показателем текучести в талом состоянии

;
схема 3 - свая погружена в пластично-мерзлый грунт, а также в случаях использования многолетнемерзлых грунтов в качестве основания по принципу II; окружающие сваю грунты рассматриваются как линейно-деформируемая среда с коэффициентом жесткости, возрастающим пропорционально глубине в пределах каждого однородного слоя.
Ж.3. Расчет свай по указанным схемам выполняется в соответствии с указаниями
СП 24.13330 исходя из условной глубины погружения свай, равной

при расчетах по
схемам 1 и
2 и равной фактической глубине погружения сваи при расчетах по схеме 3, отсчитываемой от поверхности грунта при высоком ростверке и от подошвы ростверка - при низком ростверке.
При расчетах по
схеме 2, а также по
схеме 3 в случаях, когда многолетнемерзлые грунты используются в качестве основания по принципу II, величину коэффициента пропорциональности K, описывающего линейное возрастание с глубиной коэффициента жесткости, окружающего сваю грунта, принимают в зависимости от вида грунта по
СП 24.13330. При этом приведенные в этих таблицах значения K уменьшают на 30% для оттаявших глинистых грунтов и на 15% для водонасыщенных песков.
При расчетах по
схеме 3, когда свая погружена в пластично-мерзлые грунты, величину коэффициента пропорциональности этих грунтов K, кН/м4, допускается определять по формуле

, (Ж.1)
где E - модуль общей деформации, МПа, пластично-мерзлого грунта, окружающего сваю;
l и d - соответственно длина, м, погруженной в грунт части сваи и наружный диаметр, м, круглого или сторона прямоугольного сечения сваи в плоскости, перпендикулярной действию горизонтальной нагрузки.
(рекомендуемое)
РАСЧЕТ ОСАДОК ОСНОВАНИЙ, СЛОЖЕННЫХ СИЛЬНОЛЬДИСТЫМИ ГРУНТАМИ
И ПОДЗЕМНЫМ ЛЬДОМ
И.1. Осадка основания столбчатого фундамента на сильнольдистых грунтах определяется согласно
7.2.16,
7.2.17 и
8.8. При этом составляющую осадки

, м, обусловленную уплотнением оснований под нагрузкой, допускается определять по формуле

, (И.1)
где n и

- соответственно число выделенных слоев грунта и их толщина, м;

- относительное сжатие j-го слоя грунта, доли единицы, определяемое опытным путем; для прослоев льда значение

допускается определять по формуле

, (И.2)
здесь

- пористость j-го слоя льда;
p - среднее давление на грунт под подошвой фундамента, кПа;

- атмосферное давление, принимаемое равным 10,0 кПа;

- природное (бытовое) давление в середине j-го слоя, кПа;

- безмерный коэффициент, принимаемый по таблице И.1 в зависимости от отношения сторон подошвы фундамента a/b и относительной глубины

(здесь

и

- расстояния от подошвы фундамента соответственно до кровли и подошвы j-го слоя льда).
Таблица И.1
Значения коэффициента 
z'/b | Значения коэффициента  при l/b |
1,0 | 1,2 | 1,4 | 1,6 | 1,8 | 2,0 | 3,0 | 10,0 |
0,4 | 0,417 | 0,450 | 0,474 | 0,492 | 0,506 | 0,516 | 0,545 | 0,569 |
0,6 | 0,269 | 0,299 | 0,324 | 0,343 | 0,358 | 0,370 | 0,406 | 0,438 |
0,8 | 0,181 | 0,206 | 0,227 | 0,245 | 0,259 | 0,272 | 0,310 | 0,350 |
1,0 | 0,128 | 0,148 | 0,165 | 0,180 | 0,193 | 0,205 | 0,243 | 0,289 |
1,5 | 0,064 | 0,075 | 0,085 | 0,095 | 0,104 | 0,112 | 0,143 | 0,196 |
2,0 | 0,038 | 0,044 | 0,051 | 0,057 | 0,063 | 0,069 | 0,093 | 0,145 |
2,5 | 0,025 | 0,029 | 0,038 | 0,038 | 0,042 | 0,046 | 0,064 | 0,112 |
3,0 | 0,017 | 0,020 | 0,024 | 0,027 | 0,030 | 0,033 | 0,047 | 0,090 |
И.2. Скорость осадки сильнольдистых грунтов v, м/год, обусловленная их пластично-вязким течением, определяется по формуле

, (И.3)
где m - число месяцев в году, в течение которых развиваются деформации ползучести грунтов;

- среднемесячная скорость осадки, м/мес, определяемая согласно указаниям И.3.
И.3. Среднемесячная скорость осадки сильнольдистых грунтов основания

, м/мес (см/мес), определяется по формуле

, (И.4)
где n - число слоев грунта, в пределах которых определяется среднемесячная температура

;

- толщина k-го слоя грунта, м, принимается не более 0,2b (b - меньший размер подошвы фундамента);

- скорость относительной деформации k-го слоя грунта, 1/ч, при среднемесячной температуре грунта

, определяемая по формуле

, (И.5)
здесь

- коэффициент вязкости k-го слоя грунта основания, кПа·ч, определяемый согласно указаниям
И.5;

- напряжение, кПа, в k-м слое грунта основания, определяемое по И.4;

- предел текучести k-го слоя грунта основания, кПа, определяемый по
И.5.
И.4. Напряжение

вычисляется по формуле

, (И.6)
где

и

- напряжения, кПа, на верхней и нижней границах k-го слоя, определяемые по формуле

, (И.7)
где

- безразмерный коэффициент, принимаемый по
таблице И.2 в зависимости от отношения сторон подошвы фундамента a/b и от значения z'/b (здесь z' - расстояние от низа подошвы фундамента до уровня, на котором определяется напряжение);

- дополнительное (к природному) вертикальное давление на грунт под подошвой фундамента, кПа,
где p - среднее давление на грунт под подошвой фундамента от постоянной и длительных долей временных нагрузок, кПа;

- природное (бытовое) давление в грунте на уровне подошвы фундамента от веса вышележащих слоев грунтов (до отметки природного рельефа), кПа.
Таблица И.2
Значения коэффициента 
z'/b | Значения коэффициента  при a/b |
1 | 1,2 | 1,4 | 1,6 | 1,8 | 2 | 3 | 10 |
0,05 | 0,089 | 0,090 | 0,077 | 0,074 | 0,072 | 0,070 | 0,066 | 0,063 |
0,1 | 0,171 | 0,159 | 0,150 | 0,144 | 0,140 | 0,137 | 0,129 | 0,123 |
0,2 | 0,298 | 0,281 | 0,269 | 0,259 | 0,252 | 0,247 | 0,232 | 0,221 |
0,4 | 0,382 | 0,356 | 0,373 | 0,366 | 0,360 | 0,354 | 0,334 | 0,312 |
0,6 | 0,337 | 0,352 | 0,359 | 0,360 | 0,359 | 0,357 | 0,342 | 0,316 |
0,8 | 0,268 | 0,290 | 0,304 | 0,307 | 0,318 | 0,321 | 0,316 | 0,291 |
1,0 | 0,208 | 0,231 | 0,248 | 0,261 | 0,270 | 0,276 | 0,282 | 0,260 |
1,5 | 0,115 | 0,133 | 0,147 | 0,160 | 0,171 | 0,180 | 0,204 | 0,198 |
2,0 | 0,071 | 0,083 | 0,094 | 0,104 | 0,113 | 0,121 | 0,148 | 0,158 |
2,5 | 0,047 | 0,056 | 0,064 | 0,071 | 0,078 | 0,085 | 0,109 | 0,132 |
3,0 | 0,034 | 0,040 | 0,046 | 0,052 | 0,057 | 0,062 | 0,083 | 0,112 |
4,0 | 0,019 | 0,023 | 0,027 | 0,030 | 0,033 | 0,037 | 0,051 | 0,085 |
Среднее дополнительное давление на грунт

должно удовлетворять условию

, (И.8)
где

- безразмерный коэффициент, принимаемый по
первой строке таблицы И.3 при

,

- толщина грунтовой прослойки под фундаментом;

- наибольшее значение напряжения, кПа, при котором сохраняется линейная зависимость скорости установившегося течения от напряжения на начальном участке реологической кривой, определяемое по
И.5.
Таблица И.3
Значения коэффициента 
hs/b | Значения коэффициента  при a/b |
1 | 1,2 | 1,4 | 1,6 | 1,8 | 2 | 3 | 10 |
| 2,6 | 2,65 | 2,7 | 2,7 | 2,75 | 2,8 | 2,9 | 3,2 |
0,5 | 3,3 | 3,35 | 3,4 | 3,4 | 3,45 | 3,5 | 3,6 | 3,8 |
1,0 | 3,8 | 4,40 | 4,8 | 4,8 | 4,60 | 4,4 | 4,3 | 4,6 |
1,5 | 10,0 | 8,70 | 7,7 | 7,1 | 6,70 | 6,4 | 5,6 | 5,8 |
2,0 | 16,2 | 13,8 | 12,1 | 11,0 | 10,2 | 9,5 | 7,7 | 7,5 |
И.5. Расчетные характеристики сильнольдистого грунта

,

,

определяются при инженерных изысканиях из испытаний образцов мерзлого грунта на одноосное сжатие в соответствии с
ГОСТ 12248.
Температуры

, в зависимости от которых устанавливаются значения

и

, следует определять по
формулам (7.5) -
(7.7) настоящих норм. Значения коэффициента

для определения температуры принимаются по таблице И.4 для j-го месяца и глубины залегания середины k-го слоя z, измеряемой от верхней поверхности многолетнемерзлых грунтов. При этом за первый месяц (j = 1) принимается тот, в котором глубина сезонного протаивания достигает наибольшего значения. Для

температура принимается равной температуре на глубине ниже подошвы фундамента на 0,5b (здесь b - ширина подошвы фундамента).
Таблица И.4
Значения коэффициента 
z, м | Значения коэффициента  при j, мес |
1 | 2 | 3 | 4 | 5 | 6 | 7 | 8 | 9 | 10 | 11 | 12 |
1,0 | 0,34 | 0,31 | 0,46 | 0,76 | 1,12 | 1,45 | 1,66 | 1,69 | 1,54 | 1,24 | 0,88 | 0,55 |
2,0 | 0,62 | 0,51 | 0,53 | 0,68 | 0,91 | 1,17 | 1,38 | 1,49 | 1,47 | 1,32 | 1,09 | 0,83 |
3,0 | 0,83 | 0,70 | 0,65 | 0,70 | 0,82 | 1,00 | 1,17 | 1,30 | 1,35 | 1,30 | 1,18 | 1,00 |
4,0 | 0,96 | 0,84 | 0,77 | 0,76 | 0,81 | 0,91 | 1,04 | 1,16 | 1,23 | 1,24 | 1,19 | 1,08 |
5,0 | 1,03 | 0,94 | 0,87 | 0,83 | 0,84 | 0,89 | 0,97 | 1,06 | 1,13 | 1,17 | 1,16 | 1,11 |
6,0 | 1,06 | 1,00 | 0,94 | 0,90 | 0,88 | 0,90 | 0,94 | 1,00 | 1,06 | 1,10 | 1,12 | 1,10 |
Примечание. z - расстояние от верхней поверхности многолетнемерзлых грунтов до уровня, на котором определяется температура. |
И.6. Скорость осадки подземного льда v, м/год, обусловленная его пластично-вязким течением, определяется по формуле

, (И.9)
где

- дополнительное (к природному) вертикальное давление на грунт под подошвой фундамента, кПа, определяемое так же, как и в
И.4;
b - ширина подошвы фундамента, м;

- параметр, характеризующий вязкость льда, определяемый из испытаний образцов льда на одноосное сжатие, °C/(кПа·ч);
n - число слоев, на которое разделяется толща льда (толщина слоя принимается не более 0,4b);

,

- коэффициенты, 1/°C, принимаемые по
таблице И.5 в зависимости от температуры основания

и расстояний от верхней поверхности многолетнемерзлых грунтов до кровли

и подошвы

j-го слоя льда;

,

- безразмерные коэффициенты, определяемые по
таблице И.6 в зависимости от отношения сторон подошвы фундамента a/b и соответственно относительных глубин и (здесь

и

) расстояния от подошвы фундамента соответственно до кровли и подошвы j-го слоя льда.
Таблица И.5
Значения коэффициента 
z, м | Коэффициент  , 1/°C, при температуре  , °C |
-2,5 | -3 | -3,5 | -4 | -5 | -6 | -8 | -10 |
0 | 0,408 | 0,377 | 0,353 | 0,333 | 0,301 | 0,277 | 0,243 | 0,218 |
1,0 | 0,327 | 0,295 | 0,266 | 0,242 | 0,206 | 0,179 | 0,143 | 0,118 |
1,5 | 0,316 | 0,279 | 0,251 | 0,227 | 0,192 | 0,166 | 0,131 | 0,108 |
2,0 | 0,307 | 0,269 | 0,241 | 0,218 | 0,184 | 0,158 | 0,124 | 0,102 |
2,5 | 0,299 | 0,263 | 0,235 | 0,213 | 0,178 | 0,153 | 0,120 | 0,098 |
3,0 | 0,295 | 0,259 | 0,231 | 0,208 | 0,174 | 0,150 | 0,117 | 0,096 |
4,0 | 0,289 | 0,255 | 0,227 | 0,204 | 0,170 | 0,146 | 0,114 | 0,094 |
5,0 | 0,288 | 0,252 | 0,225 | 0,202 | 0,168 | 0,144 | 0,112 | 0,092 |
6,0 | 0,287 | 0,251 | 0,223 | 0,200 | 0,167 | 0,143 | 0,111 | 0,091 |
Таблица И.6
Значения коэффициента 
z'/b | Значения коэффициента  при a/b |
1 | 1,2 | 1,4 | 1,6 | 1,8 | 2 | 3 | 4 | 10 |
0 | 0 | 0 | 0 | 0 | 0 | 0 | 0 | 0 | 0 |
0,5 | 0,070 | 0,068 | 0,066 | 0,065 | 0,063 | 0,062 | 0,059 | 0,058 | 0,055 |
1,0 | 0,145 | 0,145 | 0,145 | 0,145 | 0,145 | 0,144 | 0,139 | 0,136 | 0,130 |
1,5 | 0,181 | 0,189 | 0,194 | 0,198 | 0,200 | 0,201 | 0,200 | 0,196 | 0,186 |
2,0 | 0,204 | 0,216 | 0,224 | 0,230 | 0,235 | 0,238 | 0,243 | 0,242 | 0,231 |
2,5 | 0,218 | 0,232 | 0,243 | 0,262 | 0,258 | 0,263 | 0,275 | 0,277 | 0,267 |
3,0 | 0,228 | 0,244 | 0,257 | 0,267 | 0,275 | 0,281 | 0,299 | 0,305 | 0,297 |
3,5 | 0,236 | 0,253 | 0,267 | 0,278 | 0,287 | 0,295 | 0,317 | 0,326 | 0,323 |
4,0 | 0,241 | 0,259 | 0,274 | 0,286 | 0,297 | 0,305 | 0,332 | 0,344 | 0,346 |
5,0 | 0,249 | 0,269 | 0,285 | 0,299 | 0,310 | 0,320 | 0,353 | 0,370 | 0,384 |
6,0 | 0,254 | 0,275 | 0,292 | 0,307 | 0,319 | 0,330 | 0,368 | 0,389 | 0,414 |
Примечание. z - расстояние от верхней поверхности многолетнемерзлых грунтов до рассматриваемого уровня. |
Среднее дополнительное давление

должно удовлетворять
условию (И.8), при этом значение

определяется по
таблице И.3 в зависимости от толщины грунтовой прослойки под фундаментом

и размеров подошвы a и b. Значение

определяется из испытаний образцов льда на одноосное сжатие при температуре
(7.2.7) на уровне кровли льда.
(рекомендуемое)
РАСЧЕТ ГЛУБИНЫ ОТТАИВАНИЯ ГРУНТОВ ПОД СООРУЖЕНИЯМИ
К.1. Расчет глубины оттаивания грунтов в основании сооружения
(7.3.3) H, м (считая от поверхности грунта под сооружением), за время его эксплуатации t, с (ч), производится по формулам:
под серединой сооружения

; (К.1)
под краем сооружения

, (К.2)
где

- коэффициент, определяемый по
таблице К.1 в зависимости от отношения L/B (соответственно длина и ширина сооружения, м) и значений параметров

и

;

и

- коэффициенты, определяемые по графикам
(рисунок К.1) в зависимости от значений параметров

,

и

;

и

- коэффициенты, определяемые по графикам
(рисунок К.2) в зависимости от значений параметров

,

и

:

; (К.3)

; (К.4)

, (К.5)
здесь

и

- соответственно теплопроводность талого и мерзлого грунтов, Вт/(м·°C), принимаемые по
таблице Б.8;

- сопротивление теплопередаче пола первого этажа или подвала сооружения, м
2·°C/Вт, определяемое в соответствии с
СП 50.13330;

- расчетная среднегодовая температура многолетнемерзлого грунта, °C, определяемая в соответствии с
Г.8;

- температура начала замерзания грунта, °C, определяемая по
Б.5;

- расчетная температура воздуха внутри сооружения, °C;
| | ИС МЕГАНОРМ: примечание. В официальном тексте документа, видимо, допущена опечатка: формула (Б.20) в Приложении Б отсутствует. Возможно, имеется в виду формула (Б.15) Приложения Б. | |

- теплота таяния мерзлого грунта, Дж/м
3, определяемая по
формуле (Б.20).
Примечание. При

значения

следует определять по формуле

.
Таблица К.1
Значения коэффициента 
Параметр  | Значения коэффициента  |
для круглых в плане сооружений при  , равном | для прямоугольных в плане сооружений при |
L/B = 1 и  , равном | L/B = 2 и  , равном |
0 | 0,4 | 0,8 | 1,2 | 2,0 | 0 | 0,4 | 0,8 | 1,2 | 2,0 | 0 | 0,4 | 0,8 | 1,2 | 2,0 |
0,10 | 0,97 | 0,87 | 0,82 | 0,76 | 0,71 | 1,00 | 0,93 | 0,87 | 0,83 | 0,80 | 1,00 | 1,00 | 0,99 | 0,97 | 0,96 |
0,25 | 0,93 | 0,79 | 0,71 | 0,64 | 0,61 | 0,95 | 0,85 | 0,78 | 0,74 | 0,68 | 1,00 | 0,97 | 0,92 | 0,89 | 0,96 |
0,50 | 0,91 | 0,71 | 0,62 | 0,61 | 0,61 | 0,94 | 0,78 | 0,68 | 0,66 | 0,68 | 0,99 | 0,95 | 0,88 | 0,85 | 0,87 |
1,00 | 0,90 | 0,64 | 0,57 | 0,59 | 0,61 | 0,92 | 0,70 | 0,63 | 0,66 | 0,68 | 0,97 | 0,90 | 0,82 | 0,85 | 0,87 |
1,50 | 0,89 | 0,59 | 0,56 | 0,59 | 0,61 | 0,90 | 0,64 | 0,63 | 0,66 | 0,68 | 0,96 | 0,87 | 0,82 | 0,85 | 0,87 |
2,50 | 0,88 | 0,54 | 0,56 | 0,59 | 0,61 | 0,89 | 0,58 | 0,63 | 0,66 | 0,68 | 0,95 | 0,84 | 0,82 | 0,85 | 0,87 |
3,50 | 0,87 | 0,53 | 0,56 | 0,59 | 0,61 | 0,88 | 0,57 | 0,63 | 0,66 | 0,68 | 0,94 | 0,83 | 0,82 | 0,85 | 0,87 |
Рисунок К.1. Графики для определения коэффициентов
и 
Рисунок К.2. Графики для определения коэффициентов
и 
К.2. Если вычисленные по
формуле (К.2) значения

получаются меньше нормативной глубины сезонного оттаивания грунта

, то следует принимать

.
К.3. Максимальная глубина оттаивания грунта

, м (считая от поверхности грунта под сооружением), соответствующая установившемуся предельному положению границы зоны оттаивания, определяется по формулам:
под серединой сооружения

; (К.6)
под краем сооружения

, (К.7)
где

- коэффициент, определяемый по таблице К.2;
Таблица К.2
Значения коэффициента 
Форма сооружения | L/B | Значения коэффициента  при  , равном |
0,2 | 0,4 | 0,8 | 1,2 | 2,0 |
Круглая | - | 0,40 | 0,49 | 0,56 | 0,59 | 0,61 |
1 | 0,45 | 0,55 | 0,63 | 0,66 | 0,68 |
2 | 0,62 | 0,74 | 0,82 | 0,85 | 0,87 |
Прямоугольная | 3 | 0,72 | 0,83 | 0,90 | 0,92 | 0,94 |
4 | 0,79 | 0,89 | 0,94 | 0,95 | 0,96 |
5 | 0,84 | 0,92 | 0,96 | 0,97 | 0,98 |
>= 10 | 1,00 | 1,00 | 1,00 | 1,00 | 1,00 |
Рисунок К.3. Графики для определения коэффициентов:
К.4. Для заглубленного сооружения глубина оттаивания грунта H, м (считая от поверхности грунта под заглубленной частью сооружения), за время t, с (ч), определяется по формулам:
под серединой сооружения

; (К.8)
под краем сооружения

, (К.9)

- коэффициент, определяемый по графикам
(рисунок К.4) в зависимости от отношения заглубления сооружения к его ширине H/B, параметра

и коэффициента

, определяемого по формуле

, (К.10)
где

- коэффициент, определяемый по графикам
(рисунок К.4) в зависимости от параметров H/B и

при

.
Таблица К.3
Значения коэффициента 
H/B | Значения коэффициента  при  , равном |
0 - 0,2 | 0,4 | 0,8 | 1,2 | 2,0 |
0 | 0,85 | 0,69 | 0,39 | 0,22 | 0,13 |
0,25 | 0,88 | 0,76 | 0,62 | 0,48 | 0,29 |
0,50 | 0,90 | 0,82 | 0,69 | 0,57 | 0,38 |
0,75 | 0,92 | 0,87 | 0,75 | 0,63 | 0,46 |
1,00 | 0,93 | 0,90 | 0,78 | 0,66 | 0,51 |
Рисунок К.4. Графики для определения коэффициента 
К.5. Максимальная глубина оттаивания грунта под заглубленным сооружением

, м, определяется по формулам:
под серединой сооружения

; (К.11)
под краем сооружения

, (К.12)
где

- коэффициент, определяемый по графикам
рисунка К.3, в.
К.6. На участках, где слой сезонного промерзания не сливается с верхней поверхностью многолетнемерзлого грунта, глубина оттаивания грунта под серединой

и краем сооружения

, м (считая от верхней поверхности многолетнемерзлого грунта), за время t, с (ч), определяется по формулам:

; (К.13)

, (К.14)
где

- коэффициент, определяемый по
К.1, принимая

и

;
здесь

; (К.15)

и

- коэффициенты, определяемые соответственно по графикам (
рисунки К.5 и
К.6) в зависимости от значения параметров

и

;
где

- глубина залегания верхней поверхности многолетнемерзлого грунта, м.
Рисунок К.5. Графики для определения коэффициента 
Рисунок К.6. Графики для определения коэффициента 
К.7. В случаях проведения мероприятий по предварительному оттаиванию или замене грунтов до глубины
(6.4.3) расчетная глубина оттаивания H, м (считая от поверхности грунта под сооружением), за время t, с (ч), определяется по формуле

, (К.16)
где

- глубина оттаивания грунта под подошвой предварительно оттаянного или замененного слоя грунта, определяемая по
формулам (К.13) или
(К.14), принимая значения

и

по графикам (
рисунки К.5 и
К.6) при значении параметра

.
(рекомендуемое)
ОПРЕДЕЛЕНИЕ СОСТОЯНИЯ, СВОЙСТВ И НЕСУЩЕЙ СПОСОБНОСТИ
ОСНОВАНИЙ СВАЙ В МНОГОЛЕТНЕМЕРЗЛЫХ ГРУНТАХ
ПО РЕЗУЛЬТАТАМ СТАТИЧЕСКОГО ЗОНДИРОВАНИЯ
Минстроя России от 07.11.2016 N 779/пр)
Л.1. На территории распространения многолетнемерзлых грунтов статическим зондированием испытывают мерзлые и талые дисперсные грунты, состав и состояние которых позволяет выполнять непрерывное внедрение зонда. Предварительно (при составлении технического задания на изыскания) применимость статического зондирования, в зависимости от грунтовых условий, допускается определять по
таблице Л.1. Для испытаний должен использоваться специальный электрический зонд II типа по
ГОСТ 19912, дополнительно оснащенный датчиком температуры, расположенным в конусе наконечника зонда.
(в ред.
Изменения N 3, утв. Приказом Минстроя России от 24.01.2019 N 42/пр)
Таблица Л.1а
Применимость статического зондирования в зависимости
от грунтовых условий
Минстроя России от 24.01.2019 N 42/пр)
Вид зонда | Дисперсные грунты | Ледяные грунты (лед) |
Охлажденные | Мерзлые |
Гравийно-галечниковые | Песчаные | Глинистые | Пластичномерзлые песчаные | Пластичномерзлые глинистые | Твердомерзлые |
Зонды без нагревательного элемента | В | А-Б | А-Б | В-Г | Б | В-Г | В-Г |
Зонд с нагревательным элементом в конусе зонда | В | А-Б | А-Б | Б-Г | А-Б | Б-Г | В |
Примечания 1 Применимость: "А" - высокая, "Б" - умеренная, "В" - низкая, "Г" - не применяется. 2 При применении зонда с дополнительным датчиком температуры и нагревательным элементом погружаемость зонда увеличивается на одну категорию. 3 При невозможности достижения заданной глубины вдавливание зонда в грунт выполняют с периодическим разбуриванием согласно указаниям примечания к пункту 5.4.6 ГОСТ 19912-2012. |
Испытания следует выполнять установками тяжелого типа по
ГОСТ 19912, обеспечивающими усилие вдавливания и извлечения зонда не менее 100 кН.
Примечание. В соответствии с требованиями технического задания, с учетом цели и задач изысканий, могут использоваться специальные электрические зонды, имеющие другие дополнительные датчики и устройства (нагревательный элемент, датчики токового каротажа, сейсмоакустический и др.), позволяющие измерять дополнительные характеристики грунта или контролировать процесс зондирования.
(примечание в ред.
Изменения N 3, утв. Приказом Минстроя России от 24.01.2019 N 42/пр)
Метод статического зондирования, в том числе с использованием специальных зондов с дополнительными датчиками и устройствами, в условиях распространения многолетнемерзлых грунтов применяют в комплексе с другими методами инженерно-геокриологических изысканий для выявления и определения:
- инженерно-геологических элементов;
- пространственной изменчивости состава, состояния и свойств грунтов;
- залегания кровли мерзлых грунтов;
- температуры грунтов;
- состояния (талое, мерзлое) грунтов;
- границ зон оттаивания (замораживания) при оттаивании (замораживании) грунтов;
- засоленности и коррозионной активности грунтов, выявления криопегов;
- возможности разжижения оттаявших песков при динамических и сейсмических воздействиях;
- параметров сейсмомикрорайонирования многолетнемерзлых и оттаявших грунтов;
- характеристик физических, теплофизических, прочностных и деформационных свойств мерзлых и талых грунтов;
- механических свойств мерзлых грунтов с учетом их оттаивания;
- возможности погружения (забивки, задавливания, завинчивания) свай до заданной отметки;
- сопротивлений грунта под нижним концом и по боковой поверхности свай;
- степени уплотнения (разуплотнения) и упрочнения (снижения прочности) грунтов во времени и пространстве при их оттаивании (замораживании);
- качества геотехнических работ при инженерной подготовке оснований.
(в ред.
Изменения N 3, утв. Приказом Минстроя России от 24.01.2019 N 42/пр)
Л.2. Статическое зондирование выполняют путем вдавливания зонда с постоянной скоростью 0,5 +/- 0,1 м/мин с периодическими остановками по глубине (рекомендуемый интервал 0,5 - 1 м), при которых испытание переводят в релаксационно-ползучий режим ("стабилизация" зонда), сопровождаемый вмерзанием зонда в грунт и изменением сопротивлений грунта зондированию во времени. Переход в режим "стабилизации" достигается путем прекращения подачи масла в гидродомкраты вдавливания зонда. Заданием на проведение инженерно-геокриологических изысканий может предусматриваться выполнение других режимов статического зондирования мерзлых грунтов.
При испытании измеряют и фиксируют: удельные сопротивления грунта под конусом и вдоль боковой поверхности муфты трения при вдавливании зонда (

и

, кПа), испытании зонда в режиме "стабилизации" (

и

, кПа) и в начальный момент дополнительного вдавливания (додавливания) зонда после завершения его вмерзания в грунт в процессе испытания в режиме "стабилизации" (

и

, кПа); температуру

, °C, конуса зонда; глубину и скорость вдавливания

, м/мин, зонда; время

, прошедшее после начала режима "стабилизации" зонда. Вмерзание зонда в грунт допустимо считать завершенным, если изменение температуры конуса зонда за последние 5 мин составляет не более 0,05 °C.
(в ред.
Изменения N 1, утв. Приказом Минстроя России от 07.11.2016 N 779/пр)
Регистрация сопротивлений грунта и температуры выполняется: при вдавливании зонда с постоянной скоростью - непрерывно или с интервалами по глубине не более 0,1 м, при испытании в режиме "стабилизации" на заданной глубине - непрерывно или с интервалами во времени согласно указаниям
Приложения А ГОСТ 19912.
(абзац введен
Изменением N 1, утв. Приказом Минстроя России от 07.11.2016 N 779/пр)
Л.3. Для предварительных расчетов оснований сооружений нормального и повышенного уровней ответственности, а также для окончательных расчетов оснований сооружений пониженного уровня ответственности в глинистых пластично-мерзлых (кроме засоленных и заторфованных) грунтах допускается определять нормативные значения характеристик механических свойств грунтов согласно
Л.6, сопротивлений грунтов под нижним концом и по боковой поверхности вертикально нагруженных висячих забивных и бурозабивных свай согласно
Л.8.
(в ред.
Изменения N 3, утв. Приказом Минстроя России от 24.01.2019 N 42/пр)
Окончательные расчеты сооружений допускается выполнять с использованием
Л.6,
Л.8 в случае выполнения контрольных сопоставлений результатов расчетов по данным статического зондирования и прямых методов испытаний грунтов, выполненных на ключевых участках.
Л.4. При проведении инженерно-геокриологических изысканий под конкретные сооружения статическое зондирование грунтов выполняют в пределах их контуров или на расстояниях от контуров не более 5 м. Для получения сопоставительных данных часть точек зондирования располагают на расстоянии не более 3 м от горных выработок, в которых производят отбор монолитов для лабораторных исследований, и выполняют другие полевые исследования грунтов, но не менее 1 м от границы выработки и не менее 2 м от оси испытываемой сваи.
(в ред.
Изменения N 1, утв. Приказом Минстроя России от 07.11.2016 N 779/пр)
Расположение точек в плане и глубину статического зондирования необходимо назначать согласно указаниям
СП 47.13330 и
части IV [3]. При отсутствии соответствующих указаний, учитывающих особенности проектируемого сооружения, допускается руководствоваться аналогичными указаниями для инженерно-геологических скважин.
(абзац введен
Изменением N 1, утв. Приказом Минстроя России от 07.11.2016 N 779/пр)
Л.5. Состояние грунта и границу между талыми и мерзлыми грунтами по данным зондирования определяют по показаниям температурного датчика зонда и (или) диаграммам, составляемым на основе местного опыта сопоставления результатов бурения разведочных скважин и данных статического зондирования. В случае отсутствия местного опыта для глинистых пластично-мерзлых (кроме засоленных и заторфованных) грунтов допустимо использовать диаграмму
рисунка Л.1, при условии выполнения контрольных сопоставлений с результатами бурения.

и

- сопротивления грунта под конусом зонда,
зафиксированные соответственно при его погружении
со скоростью

и через

после начала релаксационно-ползучего режима испытания
Рисунок Л.1. Диаграмма определения состояния грунта
по данным статического зондирования
Л.5а. Природную температуру грунта определяют по показаниям температурного датчика зонда, фиксируемым в процессе его "стабилизации". Допустимо считать, что конус зонда в мерзлом грунте принял природную температуру грунта, если изменение температуры конуса зонда за последние 5 мин составляет не более 0,05 °C. В талом грунте допустимо определять его природную температуру на основе аппроксимации результатов измерений температуры конуса зонда функцией (экспотенциального, степенного или логарифмического вида), наиболее точно описывающей результаты измерений.
Время выдержки зонда при "стабилизации" должно быть не менее: 5 мин - для мерзлых грунтов, 20 мин - для талых грунтов. Указанные методики обеспечивают определение температуры грунта с точностью не ниже: 0,1 °C - для мерзлых грунтов, 0,3 °C - для талых грунтов.
С целью контроля и внесения необходимых поправок (при необходимости) в результаты или методику измерений часть точек зондирования должна располагаться в непосредственной близости (на расстоянии 1 - 2 м) от термометрических скважин.
Примечания
1. Перед погружением и после извлечения зонда на каждой точке зондирования следует выполнять проверку смещения нуля температурного датчика зонда. Результаты проверки следует учитывать при обработке результатов измерений и балансировке измерительной системы.
2. Температурный датчик и измерительное устройство должны периодически поверяться и калиброваться согласно паспорту на зонд, но не реже чем через три месяца или 100 точек зондирования.
(п. Л.5а введен
Изменением N 1, утв. Приказом Минстроя России от 07.11.2016 N 779/пр)
Л.6. Нормативные величины предельно длительных значений эквивалентного сцепления

, кПа, и компрессионного модуля деформации

, МПа, пластично-мерзлых грунтов определяют по таблице Л.1. Расчетные значения характеристик определяют в соответствии с требованиями
ГОСТ 20522 с учетом указаний
5.8.
Расчетные значения
ceq и
Ef
Минстроя России от 24.01.2019 N 42/пр)
 , кПа | 5000 | 10000 | 15000 | 20000 |
 , кПа | 34 | 96 | 170 | 260 |
 , МПа | 16 | 23 | 28 | 32 |
Примечание. Для промежуточных значений  значения  и  определяют интерполяцией. |
Значения характеристик

и

при расчетной температуре мерзлого грунта определяют на основе откорректированного (корректировка выполняется на основе региональных корреляционных зависимостей между сопротивлением

и температурой грунта) значения

, соответствующего расчетной температуре грунта, или путем умножения их значений, полученных по
таблице Л.1, на поправочный температурный коэффициент (определяется на основе региональных корреляционных зависимостей между значениями характеристик

и

и температурой грунта).
Л.7. Несущую способность основания

, кН, вертикально нагруженной висячей сваи в пластично-мерзлых грунтах по результатам статического зондирования определяют по формуле

, (Л.1)
где

- температурный коэффициент, учитывающий изменения температуры грунтов основания из-за случайных изменений температуры наружного воздуха, определяется по указаниям
Приложения П;

- частное значение предельно длительного сопротивления основания сваи, определяемое в соответствии с указаниями
Л.8;

- коэффициент надежности по грунту, определяемый в соответствии с требованиями
ГОСТ 20522;

- коэффициент надежности, учитывающий метод определения несущей способности основания сваи, при использовании результатов статического зондирования принимается:
а) при отсутствии в зоне проектируемого объекта статических испытаний свай

;
(в ред.
Изменения N 1, утв. Приказом Минстроя России от 07.11.2016 N 779/пр)
б) при проведении на ключевом участке в зоне проектируемого объекта сопоставительных испытаний грунтов сваей статической вдавливающей нагрузкой и статическим зондированием

рассчитывается по формуле

,
Минстроя России от 07.11.2016 N 779/пр)
где

- предельно длительное сопротивление основания сваи на ключевом участке, рассчитанное по данным статического зондирования;

- предельно длительное сопротивление основания опытной сваи на ключевом участке, определенное по данным испытания сваи статической нагрузкой;
n - число точек зондирования.
Л.8. Частное значение предельно длительного сопротивления основания

, кН, вертикально нагруженной висячей сваи в пластично-мерзлых грунтах в точке зондирования определяют по формуле

, (Л.2)
где k - коэффициент, учитывающий различие в состоянии многолетнемерзлых грунтов в период статического зондирования (при природной температуре грунта) и эксплуатации (при расчетной температуре грунта) проектируемого сооружения, определяемый согласно указаниям
7.2.10; при вычислении коэффициента k температура грунта определяется как средняя на участке, расположенном в пределах одного диаметра d выше и четырех диаметров d ниже отметки острия проектируемой сваи (где d - диаметр круглого или сторона квадратного сечения сваи, м);

- удельное предельно длительное сопротивление пластично-мерзлого грунта под нижним концом сваи по данным зондирования в рассматриваемой точке, кПа;
A - площадь поперечного сечения сваи, м2;

- коэффициент, зависящий от вида поверхности смерзания, принимаемый согласно
В.3;

- удельное предельно длительное сопротивление пластично-мерзлого грунта сдвигу по боковой поверхности смерзания сваи в пределах i-го слоя грунта, кПа;

- площадь поверхности смерзания i-го слоя грунта с боковой поверхностью сваи, м
2.
Удельное предельно длительное сопротивление пластично-мерзлого грунта под нижним концом сваи

, кПа, по данным статического зондирования в рассматриваемой точке определяется по формуле

, (Л.3)
где

- коэффициент перехода от

к

, принимаемый для забивных и бурозабивных свай по таблице Л.2;

- среднее значение удельного сопротивления грунта, кПа, под конусом зонда, полученное из опыта, на участке, расположенном в пределах одного диаметра d выше и четырех диаметров d ниже отметки острия проектируемой сваи.
Таблица Л.2
Коэффициент

Минстроя России от 24.01.2019 N 42/пр)
 , кПа | 5000 | 10000 | 15000 | 20000 |
| 0,42 | 0,31 | 0,25 | 0,22 |
Примечания. 1. Приведенные значения коэффициента  могут использоваться при глубине заложения сваи 5...10 м и погружении ее нижнего конца глубже забоя лидерной скважины не менее чем на четыре диаметра сваи. 2. Для промежуточных значений  значения  определяют интерполяцией. |
Удельное предельно длительное сопротивление пластично-мерзлого грунта сдвигу по боковой поверхности смерзания сваи в пределах i-го слоя грунта

, кПа, по данным статического зондирования в рассматриваемой точке определяется по формуле

, (Л.4)
где

- коэффициент, принимаемый для забивных и бурозабивных свай по таблице Л.3;

- среднее значение удельного сопротивления i-го слоя грунта, кПа, вдоль боковой поверхности муфты трения, замеренное в начальный момент дополнительного вдавливания (додавливания) зонда после завершения его вмерзания в грунт в процессе испытания в режиме "стабилизации".
Таблица Л.3
Коэффициент

Минстроя России от 24.01.2019 N 42/пр)
 , кПа | Значения  в зависимости от отношения A b/A |
0,00 | 0,25 | 0,50 | 0,75 | 1,00 |
50 | 0,18 | 0,17 | 0,17 | 0,16 | 0,14 |
100 | 0,26 | 0,25 | 0,24 | 0,22 | 0,19 |
150 | 0,33 | 0,31 | 0,29 | 0,27 | 0,22 |
200 | 0,38 | 0,36 | 0,34 | 0,31 | 0,24 |
Примечания. 1. Ab - площадь поперечного сечения лидерной скважины для бурозабивных свай, м2. 2. Для забивных свай принимается Ab/A = 0. 3. Для бурозабивных свай 0 < Ab/A < 1. 4. Для промежуточных значений  значения  определяют интерполяцией. |
Для несливающегося типа мерзлоты сопротивление участка талого грунта сдвигу по боковой поверхности сваи по данным статического зондирования рассчитывается согласно указаниям
СП 24.13330.
(обязательное)
КОНТРОЛИРУЕМЫЕ ПАРАМЕТРЫ ПРИ ГЕОТЕХНИЧЕСКОМ МОНИТОРИНГЕ
М.1. Контролируемые параметры, параметры устройств контроля, применяемые при геотехническом мониторинге сооружений в зависимости от принципа строительства, представлены в
таблице М.1.
М.2. Периодичность измерений контролируемых параметров при проведении геотехнического мониторинга в период строительства и эксплуатации в зависимости от принципа строительства представлены в
таблице М.2.
(в ред.
Изменения N 1, утв. Приказом Минстроя России от 07.11.2016 N 779/пр)
М.3. При мониторинге в сложных геокриологических условиях, а также для уникальных вновь возводимых и реконструируемых сооружений, допускается дополнительно производить фиксацию контролируемых параметров, не указанных в таблицах М.1,
М.2.
Основные контролируемые параметры при геотехническом
мониторинге сооружений
Минстроя России от 25.11.2019 N 730/пр)
Контролируемый параметр | Устройство для наблюдения за контролируемым параметром | Параметры устройств контроля | Принципы использования многолетнемерзлых грунтов в качестве основания сооружений |
I принцип | II принцип |
Предварительное искусственное оттаивание грунтов | Допущение оттаивания грунтов в период эксплуатации сооружения |
Температура грунта | Термометрическая скважина | Количество | Не менее 2% общего числа фундаментов (свай, столбчатых фундаментов) | Допускается не предусматривать <3> | Не менее 2% общего числа фундаментов |
Расположение | У наружных фундаментов и фундаментов, расположенных посредине здания <1> | - | У наружных рядов фундаментов, а также в центре и на расстоянии от центра, равном 0,25 - 0,4 ширины здания |
Глубина заложения | Не менее глубины заложения фундаментов <2> | - | На глубину сжимаемого слоя, но не более 20 м <4> |
Уровень подземных вод | Гидрогеологическая скважина | Количество | |
Расположение | Одна внутри контура здания, одна снаружи | В контуре здания |
Глубина заложения | На глубине заложения фундаментов плюс 5 м, а в случае свайных фундаментов - на глубине заложения свай |
Осадка фундамента | Геодезическая марка | Расположение | Устанавливаются на угловых фундаментах, в средней части по осям здания по его наружному контуру, а также по обе стороны от осадочных швов |
Температура охлаждающих устройств | Конденсатор охлаждающих устройств | Количество | 100% | - |
<1> Если в подполье предусмотрен водоотводный лоток, дополнительно необходимо предусмотреть скважины у одного или двух фундаментов, расположенных вблизи лотка. Обязательна установка температурных скважин у фундаментов, ближайших к подземному вводу или выпуску санитарно-технических коммуникаций, а при надземной их прокладке - в местах их погружения в грунт, за пределами здания. Для зданий, возведенных с предварительным охлаждением грунтов оснований или их локальным замораживанием, необходимо сохранять термометрические скважины, оборудованные в период проведения работ по охлаждению грунтов. <2> В случае выполнения стабилизации верхней границы многолетнемерзлого грунта закладываются в количестве одной-двух скважин в контуре здания на глубину заложения фундаментов плюс 5 м. <3> Рекомендуется законсервировать две или три термометрические скважины под зданием, пройденные при проведении предпостроечного оттаивания грунтов. <4> На городских санитарно-технических сетях, укладываемых в вентилируемых каналах, контрольные термометрические скважины устанавливают сбоку канала в пазухах выкопанной траншеи и на границе зеленой полосы, под которой расположен канал. Скважины предусматривают на глубину расчетного оттаивания плюс 3 м. Для бесканальных прокладок коммуникаций контрольные термометрические скважины располагают рядом с трубопроводом и на величину одного-двух расчетных радиусов оттаивания в сторону от трубопровода. Скважины проходят на расчетную глубину оттаивания плюс 3 м. <5> Допускается устраивать одну гидрогеологическую скважину при ММГ сливающегося типа. Для сооружений шириной не более 6 м и длиной не более 10 м при ММГ сливающегося типа допускается не устраивать, а при ММГ несливающегося типа устраивать одну гидрогеологическую скважину. Температуру в контрольных термометрических скважинах измеряют по всей их глубине с интервалами: 0,5 м до глубины 5 м, 1 м - свыше 5 м до глубины 10 м и 2 м - свыше 10 м связками инерционных термометров или электротермометров в ручном или автоматическом режимах. Температуру охлаждающих устройств измеряют тепловизорами. |
Периодичность проведения измерений контролируемых параметров
Минстроя России от 25.11.2019 N 730/пр)
Контролируемый параметр | Принципы использования многолетнемерзлых грунтов в качестве основания сооружения |
I принцип | II принцип |
Предварительное искусственное оттаивание грунтов | Допущение оттаивания грунтов в период эксплуатации сооружения |
Строительство (реконструкция) сооружения |
Температура грунта | Ежемесячно |
Уровень подземных вод | Один раз в конце летнего периода | Ежемесячно | Один раз в конце летнего периода |
Осадки фундаментов строящегося (реконструируемого) сооружения | Ежемесячно |
Осадки фундаментов сооружения окружающей застройки | Один раз в квартал | Ежемесячно | Один раз в квартал |
Температура охлаждающих устройств | Три раза в зимний период: первый - в начале зимнего периода после понижения температуры воздуха до минус 10 °C; второй - в середине зимнего периода; третий - в конце зимнего периода при повышении температуры воздуха до минус 10 °C | - |
Эксплуатация сооружения |
Температура воздуха в проветриваемых подпольях | В первые два года эксплуатации два раза в месяц | - | - |
Температура грунта | Два раза в год, в конце летнего периода и в середине зимы | | В первый год эксплуатации один раз в квартал, в последующие годы один раз в год |
Уровень подземных вод | Один раз в год в осенний период, после стабилизации гидрогеологического режима - один раз в два года |
Осадки фундаментов построенного (реконструированного) сооружения | В первые три года эксплуатации не менее четырех раз в год, в дальнейшем - два раза в год | В первые три года эксплуатации не менее двух раз в год, в дальнейшем - один раз в два года |
Осадки фундаментов сооружения окружающей застройки | Два раза в год | В первый год эксплуатации построенного (реконструированного) здания не менее двух раз в год, в дальнейшем - один раз в два года |
Температура охлаждающих устройств | Два раза в зимний период: первый - в начале зимнего периода после понижения температуры воздуха до минус 10 °C; второй - в конце зимнего периода при повышении температуры воздуха до минус 10 °C | - |
Примечания 1 Текущий осмотр состояния технических этажей и подполий сооружений осуществляется эксплуатирующей организацией один раз в месяц. Контрольные осмотры осуществляются не реже одного раза в год. При осмотрах особое внимание рекомендуется обращать на наличие утечек санитарно-технических сетей, состояние водоотводных лотков и отмосток в технических этажах и подпольях сооружения, видимые проявления разрушения бетона фундаментов (их намокание), а в деревянных домах - на наличие грибков и плесени, также необходимо отмечать наличие деформаций конденсаторов охлаждающих устройств и работу вентиляторов искусственной системы вентиляции. При контрольных осмотрах следует применять неразрушающие методы контроля состояния бетона фундаментов. 2 Обнаруженные неисправности регистрируются в журнале и подлежат немедленному устранению. При наличии крупных утечек или систематических протечек санитарно-технических сетей рекомендуется выявить зону оттаивания грунтов. При выявлении намокания фундаментных конструкций, грибков или плесени, если они не связаны с протечкой санитарно-технических сетей, рекомендуется усилить вентиляцию подполий в летний период года. 3 Для промышленных сооружений с мокрыми процессами, вызывающими повышенную агрессивность среды к материалам фундаментов, один раз в пять лет отбирают пробы из фундаментов. Отбор проб на исследование физико-механических свойств бетона проводят также для всех сооружений при обнаружении в них проявлений разрушения бетона. 4 При осмотрах наружных санитарно-технических сетей, вентилируемых каналов рекомендуется обращать внимание на наличие течей труб и арматуры, на неисправность теплоизоляции, наличие грунтовых вод, образование наледей в каналах, заиливание и т.д. В первые два года эксплуатации санитарно-технических сетей измеряются температура грунтов оснований в местах, указанных в таблице М.1, а также температура воздуха в вентилируемых каналах вблизи вентиляционных отверстий и между ними. В процессе дальнейшей эксплуатации санитарно-технических сетей термометрические наблюдения за ними в указанном составе рекомендуется выполнять при изменении эксплуатационного режима сетей и после аварий, вызвавших непредусмотренное оттаивание грунтов оснований. 5 Периодичность проведения измерений контролируемых параметров может быть изменена при соответствующем обосновании. |
(справочное)
РАСЧЕТ ГЛУБИНЫ ОТТАИВАНИЯ И ПРОМЕРЗАНИЯ В ОСНОВАНИИ
ПОДЗЕМНЫХ И НАЗЕМНЫХ МАГИСТРАЛЬНЫХ ТРУБОПРОВОДОВ
НА МНОГОЛЕТНЕМЕРЗЛЫХ ГРУНТАХ
Н.1. Глубину многолетнего оттаивания многолетнемерзлых грунтов (далее - ММГ) под центром горячих и теплых подземных трубопроводов (см. расчетную схему на
рисунке Н.1, а) следует рассчитывать по формуле (Н.1)

, (Н.1)
где

- глубина многолетнего оттаивания, отсчитываемая от дневной поверхности, м;

- радиус до внешней образующей изоляции трубы;

,

- безразмерные глубины оттаивания под центром трубы, определяемые по номограммам на
рисунках Н.2 и
Н.3 в зависимости от безразмерных параметров m,

,

.
Рисунок Н.1. Расчетная схема для определения глубины
многолетнего оттаивания ММГ под теплыми и горячими
трубопроводами, проложенными подземно (а) и наземно (б)
Рисунок Н.2. Номограмма для определения многолетнего
оттаивания ММГ вокруг теплого и горячего трубопроводов
Рисунок Н.3. Номограмма для определения оттаивания ММГ
вокруг холодного трубопровода

, (Н.2)

, (Н.3)

, (Н.4)
где

- глубина заложения подземного трубопровода, считая от дневной поверхности до центра трубы, м;

- коэффициенты теплопроводности мерзлого грунта, Вт/(м·°C);

- коэффициенты теплопроводности талого грунта, Вт/(м·°C);

- средняя годовая температура внешней поверхности кольцевой изоляции трубы, °C, определяется по
формуле (Н.5);

- температура ММГ, °C;

- температура начала промерзания-оттаивания грунта, °C;
t - расчетное время, ч;

- удельные затраты тепла на оттаивание грунта, Вт·ч/м
3, определяются по
формуле (Н.7);

- эквивалентное безразмерное время, для ММГ сливающегося типа принимается равным нулю, несливающегося типа определяется по номограмме на
рисунке Н.2 при

и

(

- глубина залегания кровли ММГ, м).
Для ММГ несливающегося типа безразмерная температура принимается

.

; (Н.5)

, (Н.6)
где

- среднегодовая температура продукта, °C;

.

, (Н.7)
где

- удельная теплота фазовых превращений воды,

;

- плотность мерзлого грунта, кг/м
3;
| | ИС МЕГАНОРМ: примечание. Обозначение влажности дано в соответствии с официальным текстом документа. | |

- суммарная влажность мерзлого грунта;

- количество незамерзшей воды в мерзлом грунте при температуре

;

,

- объемная теплоемкость талого и мерзлого грунта, Вт·ч/м
3·°C.
Если в результате расчета глубина промерзания

окажется больше глубины залегания кровли ММГ, то следует принять

.
Н.3. Глубину многолетнего оттаивания ММГ под центром горячего и теплого наземных трубопроводов

, расположенных на участках с ММГ сливающегося типа, следует рассчитывать по формуле (см. расчетную схему на
рисунке Н.1, б):
| | ИС МЕГАНОРМ: примечание. Формула дана в соответствии с официальным текстом документа. | |

, (Н.8)
где

- безразмерный параметр, определяемый по номограмме (рисунок Н.4, а) в зависимости от диаметра трубы

;

- безразмерный параметр, определяемый по номограмме (рисунок Н.4, б) в зависимости от ширины

и толщины

плоского теплоизолятора, м;

- поправочный коэффициент, учитывающий отток тепла в мерзлую зону;

- удельные затраты тепла на оттаивание грунта, определяются по
формуле (Н.9), Вт·ч/м
3;
Рисунок Н.4. Графики для определения коэффициентов
(а)
и
(б) при расчете многолетнего оттаивания ММГ
под теплыми и горячими трубопроводами
| | ИС МЕГАНОРМ: примечание. Формула дана в соответствии с официальным текстом документа. | |

, (Н.9)

. (Н.10)
(обязательное)
ОПРЕДЕЛЕНИЕ ТЕМПЕРАТУРНОГО КОЭФФИЦИЕНТА
П.1. Температурный коэффициент

определяется по формуле

, (П.1)
где

- длительность эксплуатации сооружения на прогнозный период, лет;
(в ред.
Изменения N 2, утв. Приказом Минстроя России от 09.11.2018 N 710/пр)

- коэффициент вариации несущей способности, безразмерный.
Примечание. Если

, следует принимать

, в данном случае применять принцип I при проектировании основания фундаментов не допускается, следует предусмотреть дополнительное охлаждение грунтов или использовать II принцип строительства.
Если

, следует принимать

.
(абзац введен
Изменением N 2, утв. Приказом Минстроя России от 09.11.2018 N 710/пр)
П.2. Коэффициент вариации несущей способности основания вычисляется по формуле

, (П.2)
где

- температура начала замерзания грунта, °C, определяемая согласно
Приложению Б;

- расчетная среднегодовая температура на верхней поверхности многолетнемерзлого грунта в основании сооружения, °C, определяемая согласно
Приложению Д, для оснований опор линий электропередачи, антенно-мачтовых опор и трубопроводов

принимается равной среднегодовой температуре многолетнемерзлого грунта

, определяемой согласно
Приложению Г;
A - амплитуда сезонных колебаний температуры наружного воздуха, °C, определяемая как полуразность значений среднемесячной температуры самого теплого и самого холодного месяца по
СП 131.13330;

- среднее квадратическое отклонение среднегодовой температуры наружного воздуха, °C, определяемое по
таблице П.2;

- коэффициент затухания случайных колебаний температуры с глубиной, безразмерный, определяемый по
таблице П.1 и принимаемый равным

для столбчатых и ленточных фундаментов и

- для свайных;

- расчетная температура многолетнемерзлого грунта, °C, определяемая по указаниям
7.2.7: для оснований сооружений с холодным подпольем по
формуле (7.4), для оснований опор линий электропередачи, антенно-мачтовых опор и трубопроводов по
формуле (7.7) и принимаемая равной

для столбчатых и ленточных фундаментов и

- для свайных;
C - коэффициент,

, принимаемый равным 0,24 для свайных фундаментов, а для столбчатых и ленточных - в зависимости от вида грунта под подошвой фундамента: 0 - для крупнообломочных и песчаных грунтов, 0,19 - для супесей и 0,29 - для суглинков и глин.
Таблица П.1
Коэффициенты затухания случайных колебаний
температуры с глубиной
Коэффициенты | Значения  ,  |
0 (0) | 1000 (25) | 2000 (50) | 3000 (75) | 4000 (100) | 6000 (125) | 8000 (150) | 10000 (175) | 15000 (250) | 20000 (300) |
Dm | 0 (0) | 0,86 (0,80) | 0,75 (0,66) | 0,66 (0,54) | 0,58 (0,46) | 0,46 (0,39) | 0,37 (0,34) | 0,31 (0,29) | 0,21 (0,21) | 0,16 (0,18) |
De | 0 (0) | 0,93 (0,90) | 0,86 (0,79) | 0,79 (0,73) | 0,71 (0,66) | 0,66 (0,60) | 0,58 (0,55) | 0,52 (0,50) | 0,41 (0,41) | 0,34 (0,36) |
Условные обозначения: z - глубина заложения подошвы фундамента от поверхности многолетнемерзлого грунта, м;  - объемная теплоемкость мерзлого грунта, Дж/(м 3·°C);  - теплопроводность мерзлого грунта, Вт/(м·°C). |
Таблица П.2
Среднее квадратическое отклонение
средней годовой температуры наружного воздуха 
Метеостанция | Широта, град | Долгота, град |  , °C | Метеостанция | Широта, град | Долгота, град |  , °C |
1 | 2 | 3 | 4 | 5 | 6 | 7 | 8 |
Амурская область |
Бомнак | 54,7 | 128,9 | 0,83 | Сковородино | 54,0 | 124,0 | 0,86 |
Джалинда | 53,3 | 124,0 | 0,88 | Тында | 55,2 | 124,7 | 0,93 |
Ерофей Павлович | 54,0 | 121,9 | 0,88 | Унаха | 55,0 | 126,8 | 1,00 |
Зея | 53,8 | 127,2 | 1,07 | Усть-Нюкжа | 56,6 | 121,5 | 0,83 |
Магдагачи | 53,5 | 125,8 | 0,79 | Черняево | 52,8 | 126,0 | 0,80 |
Нагорный | 56,0 | 124,8 | 0,88 | Экимчан | 53,1 | 133,0 | 0,84 |
Архангельская область |
Абрамовский маяк | 66,5 | 43,3 | 1,17 | Мезень | 65,8 | 44,2 | 1,23 |
Архангельск | 64,6 | 40,5 | 1,13 | Холмогоры | 64,2 | 41,7 | 1,13 |
Иркутская область |
Алыгджер | 53,6 | 98,2 | 0,82 | Качуг | 54,0 | 105,9 | 0,78 |
Балаганск | 53,7 | 106,3 | 0,84 | Киренск | 57,8 | 108,1 | 1,29 |
Бодайбо | 57,9 | 114,2 | 1,15 | Мама | 58,3 | 112,8 | 1,13 |
Братск | 56,3 | 101,8 | 1,19 | Нижнеудинск | 54,9 | 99,0 | 0,91 |
Верхняя Гутара | 54,2 | 100,0 | 0,81 | Орлинга | 56,1 | 105,8 | 1,06 |
Ербогачен | 61,3 | 108,0 | 1,44 | Тайшет | 56,0 | 98,0 | 1,12 |
Жигалово | 54,8 | 105,2 | 0,98 | Тангуй | 55,4 | 101,0 | 0,99 |
Зима | 53,9 | 102,1 | 0,93 | Танхой | 51,5 | 105,0 | 0,71 |
Ика | 59,3 | 106,5 | 1,34 | Тулун | 54,5 | 100,6 | 0,87 |
Инга | 53,0 | 102,0 | 0,65 | Усть-Илимск | 58,0 | 102,7 | 1,35 |
Иркутск | 52,3 | 104,4 | 1,10 | Усть-Уда | 54,5 | 103,3 | 0,87 |
Казачинск | 56,3 | 107,5 | 1,20 | Хамар-Дабан | 51,5 | 103,6 | 0,78 |
Камчатский край |
(в ред. Изменения N 1, утв. Приказом Минстроя России от 07.11.2016 N 779/пр) |
Ича | 55,6 | 155,6 | 0,75 | Петропавловск-Камчатский | 53,0 | 158,7 | 0,55 |
Никольское | 55,2 | 166,0 | 0,50 | Семячики | 54,1 | 160,0 | 0,54 |
Озерная | 51,5 | 156,5 | 0,63 | Усть-Камчатск | 56,2 | 162,7 | 0,74 |
Республика Карелия |
Кемь | 65,0 | 34,8 | 1,19 | Гридино | 65,9 | 34,8 | 1,31 |
Республика Коми |
Воркута | 67,5 | 64,0 | 1,35 | Троицко-Печорское | 62,7 | 56,2 | 1,11 |
Сыктывкар | 61,7 | 50,8 | 1,03 | Усть-Цильма | 65,4 | 52,3 | 1,28 |
Красноярский край |
Агата | 66,9 | 93,5 | 1,31 | Ессей | 68,5 | 102,4 | 1,28 |
Байкит | 61,7 | 96,4 | 1,42 | Игарка | 67,5 | 86,6 | 1,33 |
Ванавара | 60,3 | 102,3 | 1,50 | Норильск | 69,5 | 88,3 | 1,49 |
Верхне-Имбатское | 63,2 | 88,1 | 1,47 | Туруханск | 65,9 | 88,1 | 1,23 |
Волочанка | 71,0 | 94,5 | 1,41 | Тура | 64,3 | 100,2 | 1,17 |
Магаданская область |
Атка | 60,9 | 151,7 | 1,19 | Магадан, Нагаева бухта | 59,55 | 150,78 | 0,74 |
Кедон | 64,0 | 158,9 | 1,02 | Сеймчан | 62,92 | 152,42 | 0,96 |
Мурманская область |
Кола | 68,8 | 33,0 | 1,29 | Мурманск | 69,0 | 33,0 | 1,17 |
Ненецкий автономный округ |
Амдерма | 69,8 | 61,7 | 1,49 | Малые Кармакулы | 72,4 | 52,7 | 1,30 |
Канин Нос | 68,7 | 43,3 | 1,13 | Нарьян-Мар | 67,6 | 53,0 | 1,43 |
Пермская область |
Бисер | 58,5 | 58,9 | 0,89 | Чердынь | 60,4 | 56,5 | 1,08 |
Красноярский край |
(в ред. Изменения N 1, утв. Приказом Минстроя России от 07.11.2016 N 779/пр) |
Дудинка | 69,5 | 86,3 | 1,35 | о. Голомянный | 79,6 | 90,6 | 0,98 |
Им. Е.К. Федорова | 77,7 | 104,3 | 1,11 | о. Диксон | 73,5 | 80,2 | 1,33 |
Ханты-Мансийский автономный округ |
Сургут | 61,4 | 73,5 | 1,16 | Ханты-Мансийск | 61,1 | 69,1 | 1,10 |
Хабаровский край |
Арка | 60,1 | 142,3 | 0,81 | Николаевск-на-Амуре | 53,1 | 140,7 | 0,58 |
Аян | 56,5 | 138,2 | 0,70 | о. Большой Сант | 54,8 | 137,5 | 0,70 |
Богородское | 52,4 | 140,5 | 0,74 | Охотск | 59,4 | 143,2 | 0,73 |
Бурукан | 53,0 | 136,0 | 0,93 | Софийский прииск | 52,3 | 134,0 | 0,85 |
Гвасюги | 47,7 | 136,2 | 0,79 | Токо | 56,3 | 131,1 | 1,10 |
Гуга | 52,7 | 137,5 | 0,98 | Троицкое | 49,5 | 136,6 | 0,73 |
Им. Полины Осипенко | 52,4 | 136,5 | 0,88 | Чекунда | 50,8 | 132,2 | 0,95 |
Забайкальский край |
(в ред. Изменения N 1, утв. Приказом Минстроя России от 07.11.2016 N 779/пр) |
Акша | 50,3 | 113,3 | 0,78 | Кыра | 49,6 | 112,0 | 0,63 |
Амазар | 53,7 | 120,7 | 0,78 | Нерчинский з-д | 51,3 | 119,6 | 0,70 |
Борзя | 50,4 | 116,5 | 0,75 | Хилок | 51,4 | 110,5 | 0,76 |
Калакан | 55,1 | 116,8 | 0,92 | Чара | 56,9 | 118,3 | 1,07 |
Красный Чикой | 50,3 | 108,8 | 0,78 | Чита | 52,0 | 113,3 | 0,98 |
Чукотский автономный округ |
Анадырь | 64,8 | 177,6 | 1,23 | Мыс Шмидта | 68,9 | 180,6 | 1,22 |
Б. Амбарчик | 69,6 | 162,3 | 0,92 | о. Врангеля | 71,0 | 178,5 | 0,98 |
Бухта Провидения | 64,4 | 173,2 | 0,97 | Усть-Олой | 66,6 | 159,4 | 0,97 |
Илирней | 67,3 | 169,0 | 1,20 | Уэлен | 66,2 | 190,8 | 1,48 |
Марково | 64,7 | 170,4 | 1,00 | Эгвекинот | 66,4 | 179,1 | 1,04 |
Республика Саха (Якутия) |
Алдан | 58,6 | 125,0 | 1,11 | Оленек | 68,5 | 112,4 | 1,21 |
Амга | 60,9 | 132,0 | 1,17 | Сангар | 64,0 | 127,5 | 1,00 |
Бестяхская Звероферма | 65,3 | 124,1 | 1,09 | Саскылах | 71,9 | 114,1 | 1,19 |
Верхоянск | 67,5 | 133,3 | 1,07 | Саханджа | 69,8 | 128,1 | 1,20 |
Витим | 59,5 | 112,6 | 1,43 | Сеген-Кюель | 64,0 | 130,3 | 0,90 |
Воронцово | 59,6 | 147,6 | 0,80 | Сиктях | 69,9 | 125,1 | 1,23 |
Восточная | 63,2 | 139,6 | 0,87 | Собопол | 67,1 | 126,8 | 1,31 |
Дарпир | 64,2 | 148,0 | 1,12 | Сого-Хая (Усть-Вилюй) | 64,3 | 126,5 | 1,04 |
Делянкир | 63,8 | 145,6 | 1,00 | Сухана | 68,8 | 117,9 | 1,32 |
Депутатский | 69,3 | 139,7 | 0,97 | Сюльдюкар | 63,2 | 113,6 | 1,38 |
Жиганск | 66,8 | 123,4 | 1,07 | Сюрюн-Кюель | 65,0 | 130,7 | 1,05 |
Жилинда | 70,1 | 113,8 | 1,15 | Тикси | 71,7 | 128,7 | 1,26 |
Западная | 62,9 | 138,5 | 1,07 | Туой-Хая | 62,5 | 111,2 | 1,45 |
Зырянка | 65,8 | 150,8 | 0,91 | Усть-Мая | 60,4 | 134,5 | 1,00 |
Комака | 60,2 | 111,5 | 1,29 | Хатырык-Хомо | 64,0 | 124,8 | 1,06 |
Кюсюр (Булун) | 70,6 | 127,5 | 1,20 | Чокурдах | 70,7 | 147,9 | 1,02 |
Маак | 67,8 | 115,5 | 1,49 | Чульман | 56,8 | 124,9 | 0,96 |
Мирный | 62,5 | 114,0 | 1,29 | Чумпурук | 64,2 | 116,9 | 1,20 |
Мянгкяра | 68,0 | 123,0 | 1,22 | Шелагонцы | 66,3 | 114,3 | 1,12 |
Нагорный | 56,0 | 124,9 | 0,97 | Эйк | 66,0 | 117,4 | 1,33 |
Нюрба | 63,3 | 118,3 | 1,34 | Якутск | 62,1 | 129,5 | 1,15 |
Оймякон | 63,3 | 143,2 | 0,98 | Ярольин | 67,1 | 108,5 | 1,54 |
Ямало-Ненецкий автономный округ |
Гыдояма | 70,9 | 78,5 | 1,40 | Салехард | 66,6 | 66,6 | 1,46 |
Марре-Сале | 69,7 | 66,8 | 1,39 | Тазовский | 67,5 | 78,8 | 1,33 |
Надым | 65,6 | 72,5 | 1,22 | Тамбей | 71,5 | 71,8 | 1,14 |
о. Белый | 73,3 | 70,7 | 1,47 | Тарко-Сале | 64,9 | 77,8 | 1,27 |
Ныда | 66,6 | 73,0 | 1,46 | Уренгой | 66,0 | 78,4 | 1,50 |
Полуй | 66,0 | 68,7 | 1,44 | Харасавэй | 71,2 | 66,9 | 1,59 |
(справочное)
Минстроя России от 07.11.2016 N 779/пр)
Проектирование и применение охлаждающих устройств
1. Сезоннодействующие охлаждающие устройства (СОУ) или термосифоны, в которых за счет циркуляции газа (фреона, пропана, аммиака и др.) или жидкости (керосина, антифриза, этиленгликоля и др.) охлаждается окружающий грунт, следует применять для сохранения мерзлого состояния грунтов оснований при строительстве и эксплуатации, для предпостроечного замораживания грунтов основания, для повышения несущей способности опор линейных сооружений в пластично-мерзлых грунтах, создания ледогрунтовых завес, восстановления нарушенного при эксплуатации сооружения теплового режима грунтов основания фундаментов, упрощения конструктивных решений и технологии нулевого цикла, а также для сокращения сроков строительства и других целей. Охлаждающие устройства могут быть вертикальные, горизонтальные или наклонные с одним или несколькими конденсаторами.
2. Сезоннодействующее парожидкостное охлаждающее устройство представляет собой закрытую сверху и снизу металлическую трубу, в нижней части которой (0,05 - 0,1 высоты трубы) находится под давлением легкокипящая жидкость. К верхней части трубы для увеличения эффективности установки может быть присоединен выносной конденсатор. Работа парожидкостного охлаждающего устройства основана на конвекции легкокипящей жидкости под влиянием естественной разности температур охлаждаемого массива грунта и атмосферного воздуха. В зимнее время жидкость в нижней части установки, находящейся в грунте, испаряется за счет тепла, поступающего из грунта. Пары жидкости поднимаются вверх и конденсируются на холодных стенках трубы или в конденсаторе, находящихся выше поверхности грунта, отдавая тепло и атмосферу. Конденсат стекает по стенкам трубы в ее нижнюю часть. В летнее время, когда температура воздуха выше, чем температура многолетнемерзлого грунта, пары жидкости в верхней части охлаждающего устройства не конденсируются и действие ее прекращается.
3. Устройство СОУ выполняется в соответствии с проектом, разработанным специализированной организацией. Проект должен содержать теплотехнический расчет, план расположения СОУ, значение глубины заложения устройств, тип теплоносителя и другие параметры. В проекте должны быть указаны требования по эксплуатации устройств и мониторингу за их работоспособностью, температурой охлаждаемого грунтового массива, требования к контролю качества при изготовлении устройств и установке в основание сооружения.
4. Выбор конструкции охлаждающих установок и всей замораживающей системы в целом определяется конструктивными особенностями зданий и сооружений, технологическими особенностями их строительства и эксплуатации, а также температурным режимом грунтов.
5. Устройство системы СОУ следует выполнять до начала зимнего периода. Предпочтительнее использовать охлаждающие устройства, поставляемые с завода в полной эксплуатационной готовности. Для защиты устройства от коррозии следует выполнять антикоррозионное покрытие.
6. При замораживании грунтов одновременно с возведением надземной части сооружения замораживающие колонки должны быть расположены:
а) при наличии столбчатых фундаментов - с двух или четырех сторон фундамента;
б) при наличии ленточных фундаментов - симметрично их продольной оси с шагом, равным диаметру льдогрунтового цилиндра;
в) при наличии свайного фундамента - устанавливая испаритель возле сваи или в теле сваи (конструкция - "термосвая").
Расчет глубинного охлаждения, замораживания грунта
Методика расчета радиуса охлаждения, замораживания грунта rf, м, вокруг замораживающей колонки осуществляется по номограммам. Для определения радиуса охлаждения, замораживания следует использовать формулу

, (Р.1)
где rp - внешний радиус замораживающей колонки, м;

- безразмерный параметр, определяемый по номограмме на рисунке Р.1 в зависимости от значений безразмерных параметров
b,
M,
Ha, которые определяются по формулам:

; (Р.2)
охлаждение

, (Р.3)

; (Р.4)
замораживание

, (Р.5)

, (Р.6)
где
Rin - внутреннее термическое сопротивление колонки теплообмену, м
2·°C/Вт, определяемое для парожидкостных термосифонов по формуле (Р.7), для воздушных и рассольных установок - по
формуле (Р.8), для жидкостных термосифонов - по
формуле (Р.9);

,

- теплопроводность грунта в мерзлом и талом состояниях, Вт/(м·°C);
Tbf - температура начала замерзания грунта, °C;
Tf - максимальная температура грунта в твердомерзлом состоянии, °C;
T0 - начальная температура грунта у подошвы слоя с годовыми теплооборотами, °C;
Tin - средняя по длине колонки температура рабочего тела, °C, принимаемая для парожидкостных термосифонов равной средней за период его работы отрицательной температуре наружного воздуха (Tair,t) плюс 1 °C, для жидкостных термосифонов - плюс 4 °C, для воздушных установок - плюс 3 °C, для рассольных установок - равной Tр + 1 °C (Tр - температура рассола в подающей магистрали);
tf - продолжительность охлаждения, замораживания, ч;
L0 - удельная теплота фазовых превращений вода - лед в расчете на единицу массы, 93 Вт·ч/кг;

,

- плотность мерзлого и талого грунта в сухом состоянии, кг/м
3;
wtot - суммарная влажность грунта;
ww - содержание незамерзшей воды при температуре T0.
Рисунок Р.1 - Номограмма для расчета
радиуса охлаждения и оттаивания

; (Р.7)

; (Р.8)

, (Р.9)
где

- коэффициент теплообмена между наружным воздухом и поверхностью конденсатора парожидкостного термосифона, Вт/(м
2·°C), определяемый по данным таблицы Р.1;

- коэффициент теплообмена между рабочим телом и внутренней поверхностью колонки, принимаемый для жидкого рабочего тела равным 116 Вт/(м
2·°C), для газообразного - 25 Вт/(м
2·°C);
Se, Sc - площади поверхности испарителя и конденсатора термосифона, м2.
Таблица Р.1
Значения
для стальных гладких (числитель)
и оребренных (знаменатель) труб конденсатора термосифона
Радиус трубы конденсатора, мм | Коэффициент теплообмена  , Вт/(м 2·°C), при скорости ветра, м/с |
0 | 2 | 4 | 6 | 8 |
17,0 | 6,9/8,7 | 21,0/24,4 | 33,0/37,1 | 45,0/48,7 | 55,0/59,2 |
22,0 | 6,5/9,2 | 20,0/24,4 | 31,0/38,3 | 42,0/49,9 | 51,0/60,3 |
28,5 | 6,0/11,0 | 17,0/30,2 | 29,0/47,6 | 38,0/61,5 | 48,0/74,2 |
36,5 | 5,3/11,2 | 16,0/30,2 | 27,0/47,6 | 36,0/61,5 | 44,0/74,2 |
44,5 | 4,9/10,3 | 15,0/26,7 | 26,0/41,8 | 34,0/54,5 | 41,0/65,0 |
54,0 | 4,4/8,2 | 15,0/23,2 | 24,0/36,0 | 31,0/47,6 | 38,0/56,8 |
63,5 | 4,1/11,8 | 14,0/33,6 | 23,0/53,4 | 30,0/68,4 | 37,0/83,5 |
73,0 | 3,6/10,6 | 14,0/29,0 | 22,0/45,2 | 29,0/59,2 | 36,0/71,9 |
84,0 | 3,4/10,0 | 13,0/25,5 | 21,0/39,4 | 28,0/52,2 | 35,0/62,6 |
Для воздушных и рассольных установок дополнительно определяется необходимая интенсивность подачи (расход) воздуха или рассола к колонке.
Расчет осуществляется по формуле

, (Р.10)
где Ga.p - необходимый расход воздуха или рассола, м3/ч;
lp - длина подземной части колонки, м;
Lv - количество тепла, отводимого при охлаждении и замораживании 1 м3 грунта, Вт·ч/м3;
Cw,b - объемная теплоемкость рабочего тела, принимаемая для воздуха равной 0,39 Вт·ч/(м3·°C), для рассола - 957 Вт·ч/(м3·°C);

- разность температуры на входе и выходе из колонки, принимаемая равной для воздуха 6 °C, для рассола 2 °C.

, (Р.11)

, (Р.12)
Необходимая производительность холодильной станции П, кВт, вычисляется по формуле
П = 0,0012Lv·V/tf, (Р.13)
где V - объем охлаждаемого, замораживаемого грунта.
В случае многослойного основания все грунтовые характеристики осредняются в интервале глубин от дневной поверхности до уровня погружения замораживающей колонки. Осреднение осуществляется по формуле

, (Р.14)
где A - осредненное значение грунтовой характеристики;
Ai - значение грунтовой характеристики в i-м слое;
hi - мощность i-го слоя;
n - число слоев в интервале осреднения.
(справочное)
СПОСОБЫ УСТРОЙСТВА МАГИСТРАЛЬНЫХ ТРУБОПРОВОДОВ
НА МНОГОЛЕТНЕМЕРЗЛЫХ ГРУНТАХ
Минстроя России от 07.11.2016 N 779/пр)
С.1. При изысканиях трасс и проектировании магистральных трубопроводов по инженерно-геокриологическим и геоморфологическим признакам местность делят на четыре группы (таблица С.1). По этим признакам прогнозируется влияние будущего трубопровода на окружающую природную среду, в том числе и на многолетнемерзлые грунты (далее - ММГ), выбирается способ устройства трубопровода
(таблица С.2) и назначается его эксплуатационный режим.
Таблица С.1
Классификация местности применительно
к трубопроводному строительству
Тип участка по сложности строительства | Характеристика местности | Величина относительного сжатия ММГ при оттаивании | Группа местности |
Нормальный | Хорошо дренированные участки террас и гряды, сложенные малольдистыми супесями и песками, мерзлота несливающаяся | 0,00 - 0,01 | IV |
Различного вида болота, кровля мерзлых пород глубже 8 - 10 м | 0,00 - 0,01 | III |
Сложный | Тундра и лесотундра, местность плохо дренирована, сложена льдистыми суглинками и супесями, мерзлота сливающаяся | 0,01 - 1,10 | II |
Особо сложный | Бугристые и плоские торфяники и солифлюкционные склоны, грунты сильнольдистые, мерзлота сливающаяся | Более 0,1 | I |
Примечание - Устройство трубопроводов на местности I и II групп выполняют только в зимний период, III и IV групп - круглогодично. |
Таблица С.2
Способы устройства магистральных трубопроводов
Способ устройства | Преимущества и недостатки | Область применения |
I. Подземный способ 1 - хомут для крепления трубопровода к анкерам (от всплытия); 2 - анкер | Преимущества: меньшая вероятность повреждений; относительная стабильность внешней среды; технологичность строительства. Недостатки: оттаивание (или промерзание) окружающего грунта с последующими осадками (пучением) трубопровода; необходимость разработки мерзлых грунтов; затруднительность наблюдения и ремонта | IV и III группы местности. Для холодных участков возможна и II группа местности. При теплоизоляции применима для теплых участков на II группе местности |
II. Подземный способ с термоохладителями 1 - хомут анкерного устройства для закрепления газопровода от всплытия; 2 - термоохладители; 3 - верхняя граница ММГ | Преимущества: те же, что и для способа I, а также возможность значительно уменьшить осадки трубопровода. Недостатки: возможность оттаивания на отдельных участках; необходимость разработки мерзлых грунтов; затруднительность наблюдения и ремонта; надзор за термоохладителями | II группа местности для теплых участков |
III. Наземный способ с термоохладителями 1 - насыпь; 2 - талый грунт основания насыпи; 3 - мерзлый грунт основания насыпи; 4 - теплоизоляция; 5 - термоохладители | Преимущества: меньшая вероятность повреждений; стабильность (относительная) внешней среды; отсутствие анкерных устройств; технологичность строительства; меньшие (по сравнению с подземной прокладкой) затруднения при наблюдении и ремонте. Недостатки: дополнительные наблюдения за термоохладителями | II группа местности для горячих участков в комбинации с теплоизоляцией. I группа местности при холодных участках с применением теплоизоляции и обвалования |
IV. Наземный способ с использованием местного грунта 1 - канава-резерв; 2 - выравнивающий слой | Преимущества: меньшая вероятность повреждений; стабильность (относительная) внешней среды; отсутствие анкерных устройств; технологичность строительства; меньшие (по сравнению с подземной прокладкой) затруднения при наблюдении и ремонте Недостатки: значительный объем земляных работ | IV и III группы местности. Для холодных участков обвалование необязательно |
V. Надземный способ с низкими опорами 1 - железобетонная плита; 2 - ригель; 3 - механизм регулирования опор; 4 - подушка из мелкозернистого уплотненного песка | Преимущества: исключается влияние на мерзлые грунты; отпадает необходимость разработки мерзлых грунтов; легкость наблюдения. Недостатки: дорогое и сложное строительство; дополнительные металловложения; значительный объем разрушений при авариях; нестабильность внешней среды и возможность загустения нефти и других вязких продуктов | II группа местности для горячих участков. I группа местности для теплых участков с величиной относительного сжатия ММГ при оттаивании более 0,1 |
VI. Надземный способ с высокими опорами 1 - пилон; 2 - оголовок сваи; 3 - сваи | Преимущества: те же, что и для способа V; не мешает миграции диких животных. Недостатки: те же, что и для способа V; необходимость погружения опор в мерзлые грунты | I группа местности для горячих участков и для теплых участков с величиной относительного сжатия ММГ при оттаивании более 0,1. На пересечении с водотоками, железными и автомобильными дорогами |
VII. Надземный способ с качающимися опорами 1 - трубопровод; 2 - опора; 3 - подвеска; 4 - подкладки из бревен | Преимущества: те же, что и для способа VI; максимально приспособлена к компенсации температурных деформаций труб. Недостатки: те же, что и для способа V | Для трубопроводов диаметром меньше 400 мм, расположенных в сейсмических районах |
Примечание - При соответствующем обосновании допускается применение других способов устройства трубопроводов. |
С.2. При выборе способов устройства трубопроводов необходимо учитывать просадку грунта при оттаивании и образование (при наличии высокольдистых грунтов и льдов) термокарста при подземном способе устройства горячих трубопроводов на грунтах I и II типов местности. При устройстве холодных трубопроводов в грунтовых условиях III и IV типов необходимо учитывать воздействие на трубопроводы сил морозного пучения.
С.3. При специальном обосновании подземный или наземный способы устройства трубопроводов допускаются: на сваях или с вывешиванием (в качестве страховочного мероприятия) трубопроводов на тросах, прикрепляемых к неподвижным опорным системам, расположенным за зоной возможного оттаивания грунтов вокруг трубопроводов. Трос служит для контроля осадок трубопровода и при необходимости его выравнивания.
С.4. В качестве меры предотвращения или снижения оттаивания грунта в основании подземных или наземных трубопроводов следует рассматривать регулирование температуры транспортируемого по трубопроводу продукта.
(справочное)
ОСНОВНЫЕ БУКВЕННЫЕ ОБОЗНАЧЕНИЯ ВЕЛИЧИН
Минстроя России от 07.11.2016 N 779/пр)
Коэффициенты надежности и условий работы

- по грунту;

- по назначению сооружения;

- по виду фундаментов;

- коэффициент условий работы;

- температурный коэффициент условий работы;

- сейсмический коэффициент условий работы;

- коэффициент условий смерзания грунтов с фундаментом;

- коэффициент условий работы оттаивающего грунта.
Физические и теплофизические характеристики грунтов

- нормативные значения характеристик;

- расчетные значения характеристик;

- средние значения характеристик;

- доверительная вероятность (обеспеченность) расчетных значений характеристик;
wtot - суммарная влажность мерзлого грунта;
wi - влажность мерзлого грунта за счет ледяных включений:
wic - влажность мерзлого грунта за счет порового льда (льда-цемента);
wm - влажность мерзлого грунта, расположенного между льдистыми включениями;
ww - влажность мерзлого грунта за счет незамерзшей воды (содержание незамерзшей воды);
wp - влажность грунта на границе пластичности (раскатывания);
itot - суммарная льдистость мерзлого грунта;
ii - льдистость грунта за счет ледяных включений;
iic - льдистость грунта за счет порового льда;
Sr - степень заполнения объема пор мерзлого грунта льдом и незамерзшей водой (степень влажности);
Ip - число пластичности грунта:
Iom - относительное содержание органического вещества;
Dsal - степень засоленности мерзлого грунта;
cp - концентрация порового раствора в засоленном грунте;

- плотность грунта;

- плотность мерзлого грунта;

- плотность мерзлого грунта в сухом состоянии (плотность скелета мерзлого грунта);

- плотность талого грунта в сухом состоянии (плотность скелета грунта);

- плотность частиц грунта:

- плотность льда;

- плотность воды;
ef - коэффициент пористости мерзлого грунта:

- теплопроводность грунта в мерзлом состоянии;

- теплопроводность грунта в талом состоянии;
Cf - объемная теплоемкость грунта в мерзлом состоянии;
Cth - объемная теплоемкость грунта в талом состоянии.
Деформационно-прочностные характеристики и сопротивления
мерзлых грунтов на силовые воздействия
E - модуль деформации грунта;

- коэффициент Пуассона мерзлого грунта;
(введено
Изменением N 4, утв. Приказом Минстроя России от 25.11.2019 N 730/пр)
ceq - эквивалентное сцепление мерзлого грунта;
cL - предельно длительное значение удельного сцепления мерзлого грунта;
csh - сцепление оттаивающего грунта;

- предельно длительное значение угла внутреннего трения мерзлого грунта;

- угол внутреннего трения оттаивающего грунта;
mf - коэффициент сжимаемости мерзлого грунта;
mth - коэффициент сжимаемости оттаивающего грунта;

- относительное сжатие льда;

- относительная деформация оттаивающего грунта;

- коэффициент вязкости мерзлого грунта;

- предел текучести мерзлого грунта;
Ath - коэффициент оттаивания мерзлого грунта;
R - расчетное давление на мерзлый грунт (сопротивление мерзлого грунта нормальному давлению);
Rc - сопротивление мерзлого грунта под нижним концом сваи, рассчитанное по данным полевых испытаний;
(в ред.
Изменения N 3, утв. Приказом Минстроя России от 24.01.2019 N 42/пр)
Raf - сопротивление мерзлого грунта сдвигу по поверхности смерзания с фундаментом;
Rafc - сопротивление мерзлого грунта сдвигу по поверхности смерзания со сваей, рассчитанное по данным полевых испытаний;
(в ред.
Изменения N 3, утв. Приказом Минстроя России от 24.01.2019 N 42/пр)
Rsh - сопротивление мерзлого грунта сдвигу по грунту или грунтовому раствору;
Rshi - сопротивление сдвигу льда по поверхности смерзания с грунтом или грунтовым раствором;

- удельная касательная сила пучения промерзающего грунта;
pfh - удельное нормальное давление морозного пучения грунта;
fn - удельное отрицательное трение оттаивающего грунта на поверхности фундамента;

- коэффициент деформации системы "свая-грунт" на горизонтальные усилия.
Нагрузки и напряжения
F - расчетная нагрузка на основание;
Fu - несущая способность (сила предельного сопротивления) основания фундаментов;
Fh - расчетная горизонтальная нагрузка на фундамент;
Fh,u - предельная горизонтальная нагрузка на фундамент;
Ffh - расчетная сила пучения;
Fr - сила, удерживающая фундамент от выпучивания;
Fneg - сила отрицательного (негативного) трения;
Ff - расчетные усилия в элементах конструкции сооружения (фундаментов);
Ff,d - предельные усилия в элементах конструкции;
Fu,p и Fu,t - несущая способность проектируемой и опытной свай;
M - момент внешних сил;
Maf - момент внешних сил, воспринимаемый силами смерзания грунта по боковой поверхности фундамента;
Mb и Ml - моменты внешних сил по сторонам фундамента;
p - среднее давление под подошвой фундамента;
p0 - среднее дополнительное давление под подошвой фундамента;
q - равномерно распределенная вертикальная нагрузка;

- природное (бытовое) давление в грунте;

- дополнительное вертикальное напряжение в грунте (от веса сооружения);

- атмосферное давление.
Осадки (деформации) основания
s - совместная осадка (деформация) основания и сооружения;
su - предельно допустимая совместная осадка (деформация) основания и сооружения;
sf - осадка пластично-мерзлого основания;
sth - составляющая осадки оттаивающего основания за счет природного (бытового) давления;
sp - составляющая осадки оттаивающего основания под действием нагрузки от здания;
sp,th - осадка уплотнения предварительно оттаянного слоя грунта;
sad - дополнительная осадка, обусловленная оттаиванием мерзлого грунта;
sa и sb - осадки краев фундамента;
st - осадка мерзлого основания, обусловленная пластично-вязким течением грунта или льда;
v - скорость осадки пластично-мерзлого основания.
Параметры теплотехнических расчетов оснований
T - температура;
T0 - расчетная среднегодовая температура многолетнемерзлого грунта;
T0,n - нормативная среднегодовая температура многолетнемерзлого грунта;

- среднегодовая температура многолетнемерзлого грунта на его верхней поверхности;
Tm,z,e - расчетные температуры грунтов в основании сооружения;
Tbf - температура начала замерзания грунта;
Tout - температура наружного воздуха;
Tca - температура воздуха в подполье здания;
Tin - температура в помещении;
Tf и Tth - средние температуры воздуха за период с отрицательными и положительными температурами;
t - время;
tu - расчетный срок эксплуатации сооружения;
kh - коэффициент теплового влияния сооружения;

- коэффициент сезонного изменения температуры грунтов основания;
M - модуль вентилирования подполья здания;
R0 - сопротивление теплопередаче перекрытия над подпольем;
Rp - сопротивление теплопередаче теплоизоляции трубопроводов;
Lv - теплота таяния (замерзания) грунта;
L0 - удельная теплота фазовых переходов вода-лед.
Геометрические характеристики
B - ширина сооружения;
L - длина сооружения;
a и b - стороны подошвы фундамента;
l - длина сваи;
e - эксцентриситет;
A - площадь подошвы фундамента;
Aaf - площадь поверхности смерзания грунта с фундаментом;
up - периметр фундамента;
ld - глубина заделки свай;
d - глубина заложения фундамента;
dth - расчетная глубина сезонного оттаивания грунта;
dth,n - нормативная глубина сезонного оттаивания грунта;
df - расчетная глубина сезонного промерзания грунта;
df,n - нормативная глубина сезонного промерзания грунта;
h - толщина слоя грунта;
H - глубина оттаивания грунта в основании сооружения за расчетный срок его эксплуатации;
Hmax - максимальная глубина оттаивания грунта под сооружением;
Hb,th - глубина предварительного оттаивания грунта;
z - глубина до расчетного уровня.
[1]
СП 11-102-97. Инженерно-экологические изыскания для строительства
[2] СП 11-104-97. Инженерно-геодезические изыскания для строительства
[3] СП 11-105-97. Инженерно-геологические изыскания для строительства (ч. I - VI)
[4] СП 32-101-95. Проектирование и устройство фундаментов опор мостов в районах распространения вечномерзлых грунтов
[5]
СП 52-101-2003. Бетонные и железобетонные конструкции без предварительного напряжения арматуры.