Главная // Актуальные документы // ПравилаСПРАВКА
Источник публикации
В данном виде документ опубликован не был.
Первоначальный текст документа опубликован в издании
М., 2018.
Информацию о публикации документов, создающих данную редакцию, см. в справке к этим документам.
Примечание к документу
О порядке применения данного документа при проверке соответствия проектной документации и (или) результатов инженерных изысканий, представленных на первичную или повторную государственную или негосударственную экспертизу, в целях обеспечения соблюдения требований Федерального
закона от 30.12.2009 N 384-ФЗ см.
п. 2 Постановления Правительства РФ от 28.05.2021 N 815.
Отдельные положения данного документа до 01.09.2022 были включены в
Перечень национальных стандартов и сводов правил (частей таких стандартов и сводов правил), в результате применения которых на обязательной основе обеспечивается соблюдение требований Федерального
закона "Технический регламент о безопасности зданий и сооружений" (
Постановление Правительства РФ от 28.05.2021 N 815).
Отдельные положения данного документа включены в
Перечень национальных стандартов и сводов правил (частей таких стандартов и сводов правил), в результате применения которых на обязательной основе обеспечивается соблюдение требований Федерального
закона "Технический регламент о безопасности зданий и сооружений" (
Постановление Правительства РФ от 04.07.2020 N 985).
Документ включен в
Перечень документов в области стандартизации, в результате применения которых на добровольной основе обеспечивается соблюдение требований Федерального
закона от 30.12.2009 N 384-ФЗ "Технический регламент о безопасности зданий и сооружений" (
Приказ Росстандарта от 02.04.2020 N 687).
Документ включен в
Перечень документов в области стандартизации, в результате применения которых на добровольной основе обеспечивается соблюдение требований Федерального
закона от 30.12.2009 N 384-ФЗ "Технический регламент о безопасности зданий и сооружений" (
Приказ Росстандарта от 17.04.2019 N 831).
Название документа
"СП 38.13330.2018. Свод правил. Нагрузки и воздействия на гидротехнические сооружения (волновые, ледовые и от судов). СНиП 2.06.04-82*"
(утв. и введен в действие Приказом Минстроя России от 16.08.2018 N 531/пр)
(ред. от 15.12.2021)
"СП 38.13330.2018. Свод правил. Нагрузки и воздействия на гидротехнические сооружения (волновые, ледовые и от судов). СНиП 2.06.04-82*"
(утв. и введен в действие Приказом Минстроя России от 16.08.2018 N 531/пр)
(ред. от 15.12.2021)
Утвержден и введен в действие
и жилищно-коммунального хозяйства
Российской Федерации
от 16 августа 2018 г. N 531/пр
СВОД ПРАВИЛ
НАГРУЗКИ И ВОЗДЕЙСТВИЯ НА ГИДРОТЕХНИЧЕСКИЕ СООРУЖЕНИЯ
(ВОЛНОВЫЕ, ЛЕДОВЫЕ И ОТ СУДОВ)
СНиП 2.06.04-82*
Loads and impacts on Hydraulic structures
(from wave, ice and ships)
СП 38.13330.2018
| | Список изменяющих документов Минстроя России от 15.12.2021 N 944/пр) | |
Дата введения
17 февраля 2019 года
Сведения о своде правил
1 ИСПОЛНИТЕЛЬ - ОАО "ВНИИГ им. Б.Е. Веденеева"
2 ВНЕСЕН Техническим комитетом по стандартизации ТК 465 "Строительство"
3 ПОДГОТОВЛЕН к утверждению Департаментом градостроительной деятельности и архитектуры Министерства строительства и жилищно-коммунального хозяйства Российской Федерации (Минстрой России)
4 УТВЕРЖДЕН
приказом Министерства строительства и жилищно-коммунального хозяйства Российской Федерации от 16 августа 2018 г. N 531/пр и введен в действие с 17 февраля 2019 г.
5 ЗАРЕГИСТРИРОВАН Федеральным агентством по техническому регулированию и метрологии (Росстандарт). Пересмотр
СП 38.13330.2012 "СНиП 2.06.04-82* Нагрузки и воздействия на гидротехнические сооружения (волновые, ледовые и от судов)"
В случае пересмотра (замены) или отмены настоящего свода правил соответствующее уведомление будет опубликовано в установленном порядке. Соответствующая информация, уведомление и тексты размещаются также в информационной системе общего пользования - на официальном сайте разработчика (Минстрой России) в сети Интернет
Настоящий свод правил разработан с учетом требований федеральных законов от 30 декабря 2009 г.
N 384-ФЗ "Технический регламент о безопасности зданий и сооружений", от 27 декабря 2002 г.
N 184-ФЗ "О техническом регулировании".
Настоящий свод правил разработан авторским коллективом ОАО "ВНИИГ им. Б.Е. Веденеева" (руководитель темы - канд. техн. наук А.П. Пак, д-р техн. наук В.Б. Глаговский, А.Б. Векслер, д-р физ.-мат. наук В.И. Климович, канд. техн. наук Н.С. Бакановичус, канд. техн. наук И.Н. Шаталина, А.А. Лялина) при участии канд. техн. наук П.М. Кожевникова (ЗАО "ГТ Морстрой").
Изменение N 1 к настоящему своду правил разработано АО "ВНИИГ им. Б.Е. Веденеева" (д-р техн. наук В.Б. Глаговский, д-р техн. наук О.М. Финагенов, д-р физ.-мат. наук В.И. Климович, канд. техн. наук Н.С. Бакановичус, А.А. Лялина) при участии сотрудников ФГБУ "ААНИИ" (канд. физ.-мат. наук О.М. Андреева, канд. геогр. наук А.К. Наумова, Р.А. Виноградова), канд. техн. наук Н.Д. Беляева (СПбПУ), д-р техн. наук М.Е. Миронова (ООО "Морстройтехнология").
(абзац введен
Изменением N 1, утв. Приказом Минстроя России от 15.12.2021 N 944/пр)
Настоящий свод правил распространяется на проектирование вновь строящихся, реконструкцию и ремонт существующих речных и морских гидротехнических сооружений и устанавливает требования к расчетному обоснованию их надежности и безопасности.
В настоящем своде правил приведены ссылки на следующие нормативные документы:
ГОСТ 19185-73 Гидротехника. Основные понятия. Термины и определения
ГОСТ Р 57148-2016 (ИСО 19901-1:2015) Нефтяная и газовая промышленность. Сооружения нефтегазопромысловые морские. Проектирование и эксплуатация с учетом гидрометеорологических условий
СП 20.13330.2016 "СНиП 2.01.07-85* Нагрузки и воздействия" (с изменениями N 1, N 2, N 3)
(в ред.
Изменения N 1, утв. Приказом Минстроя России от 15.12.2021 N 944/пр)
СП 47.13330.2016 "СНиП 11-02-96 Инженерные изыскания для строительства. Основные положения" (с изменением N 1)
(в ред.
Изменения N 1, утв. Приказом Минстроя России от 15.12.2021 N 944/пр)
СП 58.13330.2019 "СНиП 33-01-2003 Гидротехнические сооружения. Основные положения"
(в ред.
Изменения N 1, утв. Приказом Минстроя России от 15.12.2021 N 944/пр)
СП 482.1325800.2020 Инженерно-гидрометеорологические изыскания для строительства. Общие правила производства работ
(ссылка введена
Изменением N 1, утв. Приказом Минстроя России от 15.12.2021 N 944/пр)
Примечание - При пользовании настоящим сводом правил целесообразно проверить действие ссылочных документов в информационной системе общего пользования - на официальном сайте федерального органа исполнительной власти в сфере стандартизации в сети Интернет или по ежегодному информационному указателю "Национальные стандарты", который опубликован по состоянию на 1 января текущего года, и по выпускам ежемесячного информационного указателя "Национальные стандарты" за текущий год. Если заменен ссылочный документ, на который дана недатированная ссылка, то рекомендуется использовать действующую версию этого документа с учетом всех внесенных в данную версию изменений. Если заменен ссылочный документ, на который дана датированная ссылка, то рекомендуется использовать версию этого документа с указанным выше годом утверждения (принятия). Если после утверждения настоящего свода правил в ссылочный документ, на который дана датированная ссылка, внесено изменение, затрагивающее положение, на которое дана ссылка, то это положение рекомендуется применять без учета данного изменения. Если ссылочный документ отменен без замены, то положение, в котором дана ссылка на него, рекомендуется применять в части, не затрагивающей эту ссылку. Сведения о действии сводов правил целесообразно проверить в Федеральном информационном фонде стандартов.
В настоящем своде правил применены термины по
ГОСТ 19185, а также следующие термины с соответствующими определениями:
3.1 айсберг: Крупное ледяное образование, отломившееся от материкового или шельфового ледника и плавающее или сидящее на мели в полярной или прилегающей к полярной части океана, с высотой надводной части более 5 м; при высоте надводной части 2 - 5 м - кусок айсберга, менее 2 м - обломок айсберга.
3.2 бегущие волны: Волны, видимая форма которых перемещается в пространстве.
3.3 ветровые волны: Колебательное движение воды, вызванное ветром при его воздействии на свободную поверхность.
3.4 волновое давление: Доля (составляющая) гидродинамического давления, обусловленная ветровым волнением свободной поверхности жидкости.
3.5 высота волны: Превышение вершины волны над соседней подошвой на волновом профиле (рисунок 1).
Рисунок 1 - Профиль и элементы волны
3.6 вершина волны: Наивысшая точка гребня волны (рисунок 1).
3.7 гребень волны: Часть волны, расположенная выше средней волновой линии (рисунок 1).
3.8
дифракция волн: Искривление фронтов и изменение высот бегущих волн, огибающих препятствия (сооружения, острова, мысы и др.). |
3.9
длина волны: Горизонтальное расстояние по лучу волны между вершинами двух смежных гребней на волновом профиле
(рисунок 1).
3.10 длина разгона волн: Протяженность охваченной ветром акватории, измеренная по направлению ветра до расчетной точки.
3.11 киль тороса: Подводная часть тороса, расположенная ниже его консолидированного слоя.
3.12 консолидированный слой тороса: Часть тороса, в которой образовавшие его блоки льда смерзлись в монолит.
3.13 критическая глубина: Глубина, при которой происходит обрушение волн.
3.14 ледяное поле: Любой относительно плоский участок ледяного покрова более 20 м в поперечнике, окруженный со всех сторон водой.
3.15 ледяной покров: Любая форма образований поверхностного льда, покрывающего в холодное время года поверхность водоема или принесенного течениями и ветрами из соседних районов; среди форм ледяного покрова различают ровный лед, наслоенный лед, торосистое ледяное поле с грядами торосов, отдельные торосы и пр.
3.16
ложбина волны: Часть волны, расположенная ниже средней волновой линии
(рисунок 1).
3.17 луч волны: Линия, перпендикулярная к фронту волны.
3.18 льдина: Цельная часть ледяного покрова сравнительно небольшого размера, образующаяся на водной поверхности при постепенном росте льда или от разрушения ледяных полей.
3.19 наслоенный лед: Тип деформированного льда, образовавшегося в результате наслоения одной льдины на другую и характерный для льда толщиной не более 30 см.
3.20 нерегулярные волны: Волны, элементы которых изменяются случайным образом.
3.21 парус тороса: Надводная часть тороса.
3.22 период волны: Интервал времени между прохождением двух смежных вершин волн через фиксированную вертикаль.
3.23 подвижка льда: Перемещение ледяного покрова на отдельных участках, происходящее под влиянием течения, ветра, подъема уровня воды.
3.24 подошва волны: Наинизшая точка ложбины волны.
3.25 прибойные волны: Ветровые волны на пологом прибрежном откосе (естественном или искусственном), в пределах которого вследствие трения частиц воды о дно происходит трансформация профиля волн с образованием переднего крутого склона.
3.26
профиль волны (главный): Линия пересечения взволнованной поверхности с вертикальной плоскостью в направлении луча волны
(рисунок 1).
3.27 разбивающиеся волны: Ветровые волны, у которых при взаимодействии с обрывистым берегом, гидротехническими сооружениями, подводными преградами или круто наклоненным дном происходит трансформация профиля волн с обрушением гребня в сторону берега (преграды).
3.28 расчетные элементы волны: Элементы волны заданной обеспеченности в системе расчетного шторма, принятые в соответствии с классом и видом сооружения.
3.29
расчетный уровень: Уровень воды в водоеме, назначаемый с учетом сезонных и годовых колебаний, ветрового нагона и сгона, приливов и отливов
(рисунок 1).
3.30 расчетный шторм: Шторм повторяемостью один раз за заданный период времени (например, 25, 50 или 100 лет) и характеризующийся максимальными за этот период элементами волн; разным направлениям волн могут соответствовать различные расчетные штормы.
3.31 регулярные волны: Волны, высота и период которых остаются неизменными во времени.
3.32 рефракция волн: Искривление фронтов и изменение высот бегущих волн под воздействием течений или обусловленное изменением глубины на мелководье.
3.33 ровный лед: Лед, имеющий относительно ровные верхнюю и нижнюю поверхности.
3.34 скорость волны: Скорость перемещения гребня волны в данной точке.
3.35 соленость морского льда: Отношение суммарной массы ионов в образовавшемся при таянии льда растворе к массе этого раствора.
3.36
средняя волновая линия: Линия, пересекающая запись волновых колебаний так, что суммарные площади выше и ниже этой линии одинаковы
(рисунок 1).
3.37 стоячие волны: Волны, видимая форма которых в пространстве не перемещается.
3.38 толщина ровного льда: Сумма толщин надводной и подводной частей ледяного покрова.
3.39 торос: Отдельное нагромождение кусков и обломков льда, образовавшегося при сжатии ледяных полей в зоне их контакта.
3.40 торосистое ледяное поле: Поле с грядами торосов, образовавшихся при сжатии ледяного покрова.
3.41 трансформация волн: Изменение высоты и длины бегущих волн, искривление их фронтов под воздействием рельефа дна, препятствий, течений.
3.42 фронт волны: Линия на плане взволнованной поверхности, проходящая по вершинам гребня волны.
3.43 штормовой нагон и сгон: Повышение и понижение уровня воды в акватории относительно среднего уровня, вызванные воздействием ветра и уменьшением атмосферного давления в шторме.
3.44
элементы волны (основные): Высота, длина и/или период волны
(рисунок 1).
4.1 В настоящем своде правил установлены нормативные значения нагрузок и воздействий от ветровых волн, льда и судов на гидротехнические сооружения в зависимости от класса их ответственности в соответствии с
СП 58.13330.
(в ред.
Изменения N 1, утв. Приказом Минстроя России от 15.12.2021 N 944/пр)
Расчетная нагрузка должна определяться как произведение нормативной нагрузки на коэффициент надежности по нагрузкам

, учитывающий возможное отклонение нагрузки в неблагоприятную сторону от ее нормативного значения.
Значение коэффициента

для волновых, ледовых нагрузок и нагрузок от судов должно приниматься согласно
СП 58.13330, для ветровых нагрузок - согласно
СП 20.13330.
4.2 Расчетные элементы волн и ледовых условий на открытых и огражденных акваториях следует принимать на основе результатов инженерно-гидрометеорологических изысканий, многолетних натурных наблюдений и лабораторных исследований. Инженерно-гидрометеорологические изыскания должны выполняться в соответствии с
СП 47.13330,
СП 482.1325800,
[1] и
[2].
(в ред.
Изменения N 1, утв. Приказом Минстроя России от 15.12.2021 N 944/пр)
4.3 Нагрузки и воздействия волн и льда на сооружения I класса, а также на сооружения других классов при расчетной высоте волн более 5 м, полученные расчетными методами, необходимо уточнять на основе лабораторных исследований.
5 Нагрузки и воздействия волн на гидротехнические сооружения
Основные расчетные положения
5.1 Волновые нагрузки и воздействия на гидротехнические сооружения должны определяться для условий расчетного шторма при расчетных уровнях воды в акватории.
5.2 В качестве расчетного шторма для эксплуатационного периода следует принимать шторм повторяемостью для сооружений класса:
I - 1 раз в 100 лет;
II - 1 раз в 50 лет;
III и IV - 1 раз в 25 лет.
При строительстве сооружений в зонах воздействия волн, в качестве расчетного шторма для строительного периода следует принимать шторм повторяемостью для сооружений класса:
I - 1 раз в 10 лет;
II - 1 раз в 5 лет;
III и IV - 1 раз в 2,5 года.
При этом повторяемость расчетного шторма для периода строительства сооружений в зонах воздействия волн должна быть не менее одного раза за удвоенный период строительства.
(п. 5.2 в ред.
Изменения N 1, утв. Приказом Минстроя России от 15.12.2021 N 944/пр)
5.3 Параметры волнения при расчетном шторме: значения высоты, длины и периода волн различной обеспеченности в системе, а также спектральная плотность волнения - должны приниматься по результатам статистической обработки результатов инженерно-гидрометеорологических наблюдений.
При недостаточности данных инженерно-гидрометеорологических изысканий определение параметров волнения расчетного шторма следует производить на основании расчетных методов с последующей их верификацией (проверкой) по данным наблюдений в конкретном месте изысканий. При отсутствии таких данных допускается верификация для акваторий со схожими условиями волнообразования.
5.4 При определении расчетных значений элементов волн на открытых и огражденных акваториях необходимо учитывать следующие волнообразующие факторы: скорость ветра (ее значение и направление), продолжительность непрерывного действия ветра над водной поверхностью, размеры и конфигурацию охваченной ветром акватории, рельеф дна и глубину воды.
5.5 Расчетные уровни воды и характеристики ветра необходимо определять по результатам статистической обработки данных многолетних рядов наблюдений.
5.6 Расчеты элементов волн должны производиться с учетом деления акватории по глубине на следующие зоны (обозначения приведены в
приложениях А и
С):
глубоководная - с глубиной

- дно не влияет на основные характеристики волн;
мелководная - с глубиной

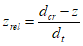
- дно оказывает влияние на развитие волн и на основные их характеристики;
прибойная - с глубиной от dcr до dcu,r, в пределах которой начинается и завершается разрушение волн;
приурезовая - с глубиной менее dcu,r, в пределах которой разрушенные волны периодически накатываются на берег.
Характеристики волнения, соответствующие расчетным обеспеченностям скорости ветра и уровня воды в акватории, должны определяться с учетом трансформации волн - изменения их параметров под воздействием течений и с выходом на мелководье, рефракции при сложном рельефе и негоризонтальном дне, дифракции на оградительных сооружениях, обрушения.
Определение параметров волнения должно производиться расчетно-теоретическими методами на основе современных программно-вычислительных комплексов или с применением номограмм
(приложение А) и апробированных методов.
5.7 Расчетную обеспеченность высот волн в системе необходимо принимать:
5% - при определении защищенности портовых акваторий;
1% - при определении наката волн и при определении высотных отметок оградительных сооружений вертикального профиля;
(в ред.
Изменения N 1, утв. Приказом Минстроя России от 15.12.2021 N 944/пр)
по таблице 1 - при определении устойчивости и прочности гидротехнических сооружений и их элементов.
Для сооружений I класса и для всех сооружений с периодом собственных колебаний более 2 с необходимо учитывать спектральные характеристики волнения (частотный спектр).
Таблица 1
Гидротехнические сооружения | Расчетная обеспеченность высот волн в системе, %, не более |
Сооружения вертикального профиля, оградительные сооружения откосного профиля | 1 |
Сквозные сооружения и обтекаемые преграды класса: | |
I | 1 |
II | 3 |
III, IV | 5 |
Берегоукрепительные сооружения класса: | |
I, II | 1 |
III, IV | 5 |
Примечания 1 При определении нагрузок на сооружения необходимо принимать высоту волн заданной обеспеченности в системе hi и длину волн в диапазоне  , при которой оказывается максимальное воздействие на сооружение; для сквозных конструкций следует определять максимальное воздействие волн при длине расчетных волн в пределах  . 2 При назначении высотных отметок сквозных сооружений, возводимых на открытых акваториях, расчетную обеспеченность высот волн в системе для особо ответственных сооружений следует принимать 0,1%. |
5.8 Максимальный расчетный уровень воды необходимо принимать согласно требованиям нормативных документов (НД) на проектирование сооружений (объектов).
5.9 При определении нагрузок и воздействий на гидротехнические сооружения обеспеченности расчетных уровней должны быть не более: для сооружений I класса - 1%, II и III классов - 5%, IV класса - 10% по наивысшим годовым уровням, определенным с учетом приливно-отливных явлений, сезонных колебаний, ветрового и волнового нагонов.
Примечания
1 В безливных морях для подпорных гравитационных волнозащитных стен II класса и для искусственных пляжей без волнозащитных сооружений обеспеченность расчетных уровней следует принимать равной 1%.
2 При рассмотрении размывов основания вблизи сооружения и мероприятий по защите от размыва следует выбирать расчетный уровень воды, исходя из условия максимального воздействия волн на элементы гидротехнических сооружений.
5.10 Высоты ветрового и волнового нагонов следует принимать по данным натурных наблюдений. Для сооружений III и IV классов высоты ветрового и волнового нагонов при отсутствии данных натурных наблюдений определяются расчетом
(приложение Б).
5.11 При динамических расчетах и оценке усталостной прочности элементов конструкций гидротехнических сооружений следует учитывать спектральную плотность ветрового волнения, характеризующую его нерегулярность.
5.12 Воздействие шторма, в том числе в сочетании с течением, на дно акватории у основания гидротехнического сооружения должно оцениваться сравнением значений максимальной придонной скорости и неразмывающей (допускаемой) придонной скорости или соответствующих касательных напряжений, действующих на грунт, слагающий дно, или на материал, используемый для защиты дна от размыва и подмыва основания сооружения
(приложение В).
Особенности расчета воздействия волн на сооружения различных типов
Нагрузки на вертикальные стены
5.13 Расчет сооружений на воздействие стоячих волн со стороны открытой акватории
(рисунок 2) должен производиться при глубине до дна
db > 1,5
h и глубине над бермой
dbr >= 1,25
h (
h - высота исходной бегущей волны, м); при этом в формулах для свободной волновой поверхности и волнового давления вместо глубины до дна
db, м, необходимо применять условную расчетную глубину
d, м, определяемую по формуле
(в ред.
Изменения N 1, утв. Приказом Минстроя России от 15.12.2021 N 944/пр)
d = df + kbr(db - df), (1)
где df - глубина над подошвой сооружения, м;
kbr - коэффициент, принимаемый по графикам
рисунка 3.
а - при гребне волны; б - при ложбине волны
(с эпюрами взвешивающего волнового давления)
Рисунок 2 - Эпюры давления стоячих волн на вертикальную
стену со стороны открытой акватории
Рисунок 3 - Графики значений коэффициента kbr
5.14 Горизонтальную волновую нагрузку
Px на вертикальную стену под воздействием стоячей волны следует принимать по эпюрам волнового давления
p по глубине при различных удалениях вершины волны от стены.
Построение эпюр волнового давления
p должно производиться по результатам экспериментальных исследований и/или гидродинамических расчетов, а при их отсутствии на основе способа, приведенного в
приложении Г.
5.15 В расчетах устойчивости сооружения и прочности грунтов основания следует учитывать уменьшение волновой нагрузки на секцию вертикальной стены при подходе фронта волны под углом

. Коэффициент снижения нагрузки
kcs при этом принимается по таблице 2.
Таблица 2
5.16 В расчетах следует учитывать горизонтальную нагрузку от дифрагированных волн со стороны огражденной акватории (рисунок 4).
а - при гребне волны; б - при ложбине волны
Рисунок 4 - Эпюры давления дифрагированных волн
на вертикальную стену и ее подошву со стороны
огражденной акватории
5.17 Взвешивающее волновое давление в горизонтальных швах массивной кладки и по подошве сооружения следует принимать равным соответствующим значениям горизонтального волнового давления в крайних точках (
рисунки 2 и 4) при линейном изменении его в пределах ширины сооружения.
5.18 Максимальную придонную скорость
Vb,max, м/с, от действия стоячих волн на расстоянии

от передней грани стены следует определять по формуле

(2)
где коэффициент

, при
ksl = 1,0;

- волновое число.
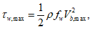
Максимальное значение касательного напряжения на поверхности дна

, кПа, от воздействия волн следует определять по формуле

(3)
где fw = 0,237(a0/ks)-0,52 - коэффициент трения; при a0 <= 0,63ks fw = 0,3;

;
T - период волны, с;

- плотность воды, т/м
3.

- суммарная гидравлическая шероховатость дна;

(

, как правило, принимается

) - шероховатость плоского (без русловых форм) дна, сложенного грунтом средней крупностью
D50, м;

- шероховатость, обусловленная донными формами средней высотой
Db, м, и средней длиной
Lb, м.
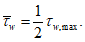
Среднее за период
T значение касательного напряжения на поверхности дна

, кПа, от воздействия волн должно определяться по формуле

(4)
Возможность размыва дна акватории у основания сооружений следует оценивать сравнением
Vb,max и/или

с допускаемыми значениями этих величин, при которых грунт остается устойчивым. При превышении этих значений должны разрабатываться мероприятия, обеспечивающие защиту от размыва и подмыва оснований сооружений
(приложение В).
5.19 Расчет сооружений на воздействие разбивающихся волн со стороны открытой акватории должен производиться при глубине над бермой
dbr < 1,25
h и глубине до дна
db >= 1,5
h (рисунок 5). Горизонтальную нагрузку
Pxc, кН/м, от разбивающихся волн следует определять по эпюре бокового волнового давления, при построении которой значения
p, кПа, для ординат
z, м, следует принимать по формулам:

(5)

(6)

(7)
Рисунок 5 - Эпюры давления разбивающихся волн
на вертикальную стену
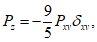
Вертикальную нагрузку Pzc, кН/м, от разбивающихся волн следует принимать равной площади эпюры взвешивающего волнового давления и определять по формуле

(8)
где

- коэффициент, принимаемый равным

; при

следует принимать

; при

-

.
Максимальную придонную скорость воды Vf,max, м/с, над поверхностью бермы перед вертикальной стеной при разбивающихся волнах следует определять по формуле

(9)
5.20 Расчет сооружений на воздействие прибойных волн должен производиться при глубине
db <=
dcr на примыкающем к стене участке дна протяженностью не менее
(рисунок 6). Возвышение вершины максимальной прибойной волны

, м, над расчетным уровнем следует определять по формуле

(10)
dcr - критическая глубина, м.
а - с верхом постели на уровне дна;
б - с возвышающейся над дном постелью
Рисунок 6 - Эпюры давления прибойных волн
на вертикальную стену
Горизонтальную нагрузку Pxc, кН/м, от прибойных волн необходимо принимать по эпюре бокового волнового давления, при этом значение p, кПа, для ординат z, м, допускается определять по формулам:

(11)

(12)

(13)
где

- средняя длина прибойной волны, м.
Вертикальную нагрузку Pzc, кН/м, от прибойных волн следует принимать равной площади эпюры взвешивающего волнового давления и определять по формуле

(14)
Максимальная придонная скорость у основания вертикальной стены со стороны открытой акватории при действии прибойной волны Vb,max, м/с, должна определяться по формуле

(15)
Нагрузки и воздействия волн на сооружения откосного профиля
5.21 При определении высоты наката волн на откос
hrun (рисунок 7) должны учитываться следующие факторы:
высота и длина расчетных волн;
шероховатость поверхности откоса;
фильтрационные свойства материала, образующего откос;
направление и скорость ветра;
глубина воды в акватории перед сооружением;
угол подхода фронта волны к линии уреза воды на откосе.
Рисунок 7 - Схема к определению высоты hrun
наката волн на откос
Определение высоты наката волн на откос следует производить по результатам экспериментальных исследований и/или гидродинамических расчетов, а при их отсутствии методами, приведенными в
приложении Д.
Деформируемость за время расчетного шторма пляжных откосов следует оценивать по данным натурных наблюдений (в том числе, на аналогах) и гидравлического моделирования в сочетании с апробированными расчетными методами.
5.22 Волновое давление на защитное плитное крепление откоса должно определяться на основании результатов физического и/или математического моделирования, а при их отсутствии - по формулам
приложения Д.
5.23 При креплении откоса каменной наброской, обыкновенными и фасонными бетонными или железобетонными блоками расчетная масса отдельного элемента определяется по формулам
приложения В.
Нагрузки от волн на обтекаемые преграды и сквозные сооружения
5.24 Нагрузки от волн на обтекаемые преграды и сквозные сооружения должны определяться на основе экспериментальных исследований и/или решения гидродинамической задачи обтекания преграды волновым потоком, а при их отсутствии по методу, приведенному в
приложении Е, основанному на аналитическом решении в третьем приближении задачи о бегущих потенциальных волнах.
Нагрузки от волн на обтекаемые преграды и сквозные сооружения должны определяться как сумма скоростного и инерционного компонентов, обусловленных соответственно локальными значениями скорости и ускорения волнового движения жидкости.
Динамический эффект от воздействия нерегулярных волн следует учитывать только в тех случаях, когда период собственных колебаний сооружения соизмерим со средним периодом набегающих волн (
Е.19 приложения Е).
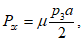
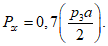
5.25 Максимальную силу воздействия волн на вертикальную обтекаемую преграду (
рисунок 8,
а) следует определять из ряда значений, получаемых при различных удалениях

вершины волны от преграды.
5.26 Максимальные значения нагрузки от волн на горизонтальную обтекаемую преграду, расположенную на некотором удалении от дна акватории или лежащую на дне (
рисунок 8,
б), должны определяться также при различных удалениях

вершины волны от преграды для двух случаев:
максимальной горизонтальной составляющей нагрузки Px,max при соответствующем значении вертикальной составляющей нагрузки Pz;
максимальной вертикальной составляющей нагрузки Pz,max при соответствующем значении горизонтальной составляющей нагрузки Px.
а - вертикальные; б - горизонтальные
Рисунок 8 - Схемы к определению волновых нагрузок
на обтекаемые преграды
5.27 Расчет нагрузки от волн на сквозные сооружения или отдельно расположенные обтекаемые преграды должен производиться с учетом шероховатости их поверхности.
5.28 Максимальную придонную скорость
Vb,max, м/с, в точках, расположенных на контуре преграды (

и 270°) и впереди преграды на расстоянии

от контура преграды

, следует определять по формуле

(16)
где коэффициент

принимается по таблице 3.
Таблица 3
Положение расчетных точек | Значения коэффициента  при  |
0,2 | 0,3 | 0,4 |
На контуре преграды | 0,98 | 0,87 | 0,77 |
Впереди преграды | 0,67 | 0,75 | 0,75 |
Нагрузки от ветровых волн на берегоукрепительные сооружения
5.29 Максимальные значения горизонтальной
Px, кН/м, и вертикальных
Pz и
Pc, кН/м, проекций равнодействующей нагрузки от волн на подводный волнолом необходимо принимать по эпюрам бокового и взвешивающего волнового давления
(рисунок 9). При этом
p, кПа, должно определяться в зависимости от
z с учетом уклона дна
i по формулам, приведенным в таблице 4.
Таблица 4
Ордината z, м, эпюры давления | Формула для определения ординаты z, м | Формула для определения давления p, кПа | Условия применимости формулы |
z1 (верх подводного волнолома) | | | z1 < z2 |
p1 = p2 | z1 >= z2 |
z2 (подошва волны) | | | i <= 0,04 |
| | i > 0,04 |
z3 (дно акватории перед волноломом) | | p3 = kwp2;  | i <= 0,04 |
p3 = p2 | i > 0,04 |
z4 (поверхность воды за волноломом) | z4 = -krd(z1 - z5) + z1 | | |
|
z5 (гребень волны перед волноломом) | | | |
Рисунок 9 - Эпюры волнового давления на подводный волнолом
5.30 Максимальную придонную скорость
Vb,max, м/с, перед берегоукрепительным сооружением в виде вертикальной или крутонаклонной стены следует определять по
формуле (2).
Для сооружения в виде подводного волнолома при определении
Vb,max по
формуле (2) коэффициент
ksl должен быть принят при

равным

; при

следует принимать
ksl = 1,1.
Максимальную придонную скорость воды
Vb,max, м/с, перед берегоукрепительным сооружением при разбивающихся и прибойных волнах надлежит определять соответственно по
формулам (9) и
(15).
5.31 Максимальные значения горизонтальной
Px, кН/м, и вертикальных
Pz и
Pc, кН/м, проекций равнодействующей нагрузки от разбивающихся волн на вертикальную волнозащитную стену (при отсутствии засыпки грунта со стороны берега) необходимо принимать по эпюрам бокового и взвешивающего волнового давлений
(рисунок 10). При этом значения
p, кПа, и

, м, должны определяться в зависимости от места расположения сооружения:
при расположении сооружения в створе последнего обрушения прибойных волн (
рисунок 10,
а) по формулам:

(17)

(18)
при расположении сооружения в приурезовой зоне (
рисунок 10,
б) по формулам:

(19)

(20)
при расположении сооружения на берегу за линией уреза в пределах наката волн (
рисунок 10,
в) по формулам:

(21)

(22)
где

- превышение гребня волны над расчетным уровнем в створе волнозащитной стены, м;
hbr - высота разбивающихся волн в створе последнего обрушения перед сооружением, м;
d - глубина воды в створе последнего обрушения волн, м;
an - расстояние от створа последнего обрушения волн до линии уреза (приурезовая зона), м;
ai - расстояние от створа последнего обрушения волн до сооружения, м;
al - расстояние от линии уреза воды до сооружения, м;
ar - расстояние от линии уреза воды до условной границы наката на берег разбивающихся волн (при отсутствии сооружения), м, определяемое по формуле

(23)
hrun1% - высота наката волн на берег, м, определяемая по
5.21.
Примечания
1 Если ордината верха сооружения
z1 >= -0,3
h, м, то значения волнового давления, определяемые по
формулам (17),
(18) и
(21), необходимо умножать на коэффициент
kzd, принимаемый по таблице 5.
Таблица 5
Ордината верха сооружения z1, м | -0,3h | 0,0 | +0,3h | +0,65h |
Коэффициент kzd | 0,95 | 0,85 | 0,8 | 0,5 |
а - в створе последнего обрушения волн;
б - в приурезовой зоне; в - за линией уреза
Рисунок 10 - Эпюры волнового давления на вертикальную
волнозащитную стену при различном расположении сооружения
5.32 Максимальные значения горизонтальной
Px, кН/м, и вертикальной
Pz, кН/м, проекций равнодействующей линейной нагрузки от разрушившихся волн на вертикальную волнозащитную стену (с засыпкой грунта со стороны берега) при откате волны необходимо принимать по эпюрам бокового и взвешивающего волнового давлений
(рисунок 11). При этом значение
pr, кПа, должно определяться по формуле

(24)
где

- понижение поверхности воды от расчетного уровня перед вертикальной стеной при откате волны, м, принимаемое в зависимости от расстояния
al от линии уреза воды до сооружения равным: при
al >= 3
hbr 
и при
al < 3
hbr 
.
Рисунок 11 - Эпюры волнового давления на вертикальную
волнозащитную стену при откате волны
5.33 Волновое давление
p, кПа, на криволинейный участок стены необходимо принимать по эпюре волнового давления на вертикальную стену согласно
5.31 с ориентированием этой эпюры по нормали к криволинейной поверхности (рисунок 12).
Рисунок 12 - Эпюра давления волн на криволинейный
участок волнозащитной стены
5.34 Максимальные значения горизонтальных
Px,ext,
Px,int, кН, и вертикальной
Pz, кН, проекций равнодействующей нагрузки от волн на элемент буны длиной
l необходимо принимать по эпюрам бокового и взвешивающего волнового давления
(рисунок 13). При этом значения волнового давления на внешнюю
pext, кПа, и теневую
pint, кПа, грани буны и соответствующие возвышения гребня волны

, м, и

, м, должны определяться по формулам:

(25)

,

, (26)
где

- коэффициент, принимаемый по
таблице 6, в зависимости от угла

подхода фронта волны к буне.
Рисунок 13 - Эпюры волнового давления на буну
Грань буны | | Коэффициент  при значении  |
0,03 и менее | 0,05 | 0,1 | 0,2 и более |
Внешняя (int) | - | 1 | 0,75 | 0,65 | 0,6 |
Теневая (ext) | 0 | 1 | 0,75 | 0,65 | 0,6 |
0,2 | 0,45 | 0,45 | 0,45 | 0,45 |
0,5 | 0,18 | 0,22 | 0,3 | 0,35 |
1 | 0 | 0 | 0 | 0 |
5.35 Определение соотношения волновых нагрузок на волногасящие сооружения с волновой камерой приведено в
[3].
Воздействие судовых волн на крепления берегов каналов
5.36 Значения высоты
hsh, м, и длины

, м, волн, возникающих при движении водоизмещающих судов, следует определять по формулам:

(27)

(28)
где ds и lu - осадка и длина судна, м;
V - скорость судна, м/с;

- коэффициент общей полноты судна.
Примечание - При определении параметров волны, возникающей при движении водоизмещающих судов в водотоках (реках, каналах), следует учитывать, что скорость судна V, м/с, не должна превышать допускаемое значение Vadm, м/с, определенное нормативными актами для рассматриваемого водного пути. При отсутствии нормативных данных Vadm определяется по формуле

(29)
где ka - отношение подводной площади поперечного сечения судна к площади живого сечения канала A, м2;
b - ширина канала, м, по урезу воды.
При двухстороннем движении однотипных судов численное значение ka в формуле (29) следует увеличивать в 2 раза.
5.37 Высоту наката
hrsh, м, судовой волны на откос
(рисунок 14) следует определять по формуле (
V <=
Vadm)

(30)
где

- коэффициент, принимаемый для откосов, облицованных сплошными плитами, равным 1,4, каменным мощением - 1,0 и каменной наброской - 0,8.
Рисунок 14 - Эпюра давления судовых волн на крепления
берегов каналов при накате волны на откос
5.38 Максимальное значение нагрузки от судовой волны на крепления берегов каналов
P, кН/м, должно приниматься по эпюрам волнового давления, при построении которых применяются формулы, приведенные в
таблице Ж.1 (приложение Ж).
6 Нагрузки от судов (плавучих объектов) на гидротехнические сооружения
6.1 При расчете воздействий на гидротехнические сооружения от судов (плавучих объектов) необходимо определять:
нагрузки от ветра, течения и волн на плавучие объекты;
нагрузки от навала пришвартованного судна на причальное сооружение при действии ветра, течения и волн;
нагрузки от навала судна при его подходе к портовому причальному сооружению;
нагрузки от натяжения швартовов при действии на судно ветра, течения и волн;
размывающее действие от винтов судовых движителей.
(в ред.
Изменения N 1, утв. Приказом Минстроя России от 15.12.2021 N 944/пр)
Расчетные повторяемости внешних воздействий на акватории порта должны приниматься в зависимости от продолжительности стоянки судов и обусловленного ими типа швартовной системы (таблица 7).
Условия эксплуатации швартовно-отбойных систем | Группа | Особенности эксплуатационных условий швартовно-отбойных систем | Наименование внешних воздействий |
Ветер | Течение | Волнение |
Длительно эксплуатируемые швартовно-отбойные системы стационарных и плавучих причалов морских портов | 1 | Проведение различных технологических операций по обслуживанию (снабжению) судна у погрузочных, топливных причалов и т.п. Стоянка допускается только в благоприятных погодных условиях. При прогнозе ухудшения погоды судно отходит от причала | Исходя из технических возможностей конкретного судна и причала, но не менее одного раза в год |
2 | Стоянка судна в штормовых условиях у специализированных (погрузочных, топливных и т.п.) и стояночных причалов | | | Один раз в год |
| Разовая непрерывная стоянка судна у причала до трех месяцев без возможности отвода от причала | Один раз в 10 лет | Один раз в 10 лет | Один раз в 10 лет |
4 | Многократные стоянки судов у причалов, судостроительных и судоремонтных заводов и т.п. до трех месяцев или непрерывная стоянка у причала до 1 - 2 лет без возможности отвода от причала | | | |
| Непрерывная стоянка плавучего объекта более двух лет без возможности отвода с места стоянки (корабли-музеи, плавучие теплоэлектростанции, в том числе атомные, плавучие доки и т.п.) | | | |
Кратковременно эксплуатируемые швартовно-отбойные системы при проведении морских операций | 6 | Проведение морских операций, ограниченных по погодным условиям: длительностью до трех суток; длительностью более трех суток при обеспечении возможности их прерывания и отвода судов и плавучих объектов в защищенное место | Исходя из технических возможностей судов, плавучих объектов и оборудования, используемых при проведении морской операции, но не менее одного раза в год |
7 | Проведение морских операций, неограниченных по погодным условиям, при длительности операции до одного месяца без возможности прерывания операции и отвода судов в защищенное место | Один раз в 5 - 10 лет <**> | Один раз в 5 - 10 лет <**> | Один раз в 5 - 10 лет <**> |
8 | Проведение морских операций, неограниченных по погодным условиям при длительности операций свыше одного месяца | | | |
<*> При соответствующем обосновании расчетная повторяемость внешних воздействий принимается в соответствии с расчетным периодом повторяемости для причального сооружения заданного класса. <**> Меньшее значение повторяемости внешних воздействий (один раз в пять лет) принимается при проведении морской операции на открытых акваториях на удалении от других объектов, а большее (один раз в 10 лет) - при проведении морской операции поблизости от других сооружений. |
6.2 При расчете гидротехнических сооружений на действие нагрузок, передающихся от плавучих объектов на палы, корневые части причалов и анкерные опоры (для принятого числа, калибра и длины связей, значений натяжения связей в первоначальном состоянии, массы подвесных грузов и мест их закрепления), необходимо определять:
горизонтальные и вертикальные нагрузки на сооружения и анкерные опоры;
наибольшие усилия в связях;
перемещения плавучих объектов.
Примечание - На морях с приливами и отливами определение усилий в элементах раскрепления следует производить при самом высоком и самом низком уровнях воды.
6.3 Нагрузки на анкерные опоры, усилия в связях и перемещения плавучих объектов необходимо определять с учетом динамики действия волн, при этом соотношения периодов свободных и вынужденных колебаний плавучих объектов должны приниматься из условия недопущения резонансных явлений.
Нагрузки от ветра, течения и волн на плавучие объекты
6.4 Расчетные значения поперечной
Qw, кН, и продольной
Nw, кН, горизонтальных составляющих силы воздействия ветра на плавучие объекты следует определять по формулам:
для судов и плавучих причалов с пришвартованными судами

(31)

(32)
для плавучих доков

(33)

(34)
где An и Al - соответственно боковая и лобовая надводные площади парусности (силуэтов) плавучих объектов, м2;
Vn и
Vl - соответственно поперечная и продольная составляющие скорости ветра м/с, в порывах с осреднением 1 мин, повторяемость которых принимается в соответствии с
таблицей 7;

- коэффициент, зависящий от наибольшего горизонтального размера, поперечного или продольного силуэтов надводной части плавучего объекта; принимается по
таблице 8; при длительной стоянке судов у причала (
группы 3 -
5 таблицы 7) коэффициент

.
Примечания
1 При определении ветрового воздействия на пришвартованное судно (плавучий объект) с учетом пульсации ветра необходимо рассматривать такое сочетание скорости и направлений ветра, отклоняющихся до +/- 30° от оси судна или нормали к ней, которое обусловливает наибольшее значение нагрузки Qw или Nw.
2 Площади парусности следует определять с учетом площадей экранирующих преград, расположенных с наветренной стороны
(приложение И).
3 Значение скорости ветра с осреднением 1 мин определяется по ГОСТ Р 57148-2016
(А.7.3).
Наибольший горизонтальный размер силуэта плавучего объекта, м | До 25 | 50 | 100 | 200 и более |
Коэффициент  | 1 | 0,8 | 0,65 | 0,5 |
6.5 Расчетные значения поперечной
Qc, кН, и продольной
Nc, кН, горизонтальных составляющих силы от воздействия течения на плавучие объекты следует определять по формулам:

(35)

(36)
где Al и An - соответственно боковая и лобовая подводные площади парусности плавучих объектов, м2;
Cl,
Cn - обобщающие коэффициенты продольной и поперечной силы воздействия течения, определяемые с учетом соотношения осадки плавучего объекта и глубины воды
(приложение К);
Vn и
Vl - поперечная и продольная составляющие скорости течения, м/с, принимаемые в соответствии с
таблицей 7.
6.6 Расчетные значения поперечной
Q, кН, и продольной
N, кН, горизонтальных сил от воздействия волн на плавучие объекты следует определять по формулам:

(37)

(38)
где

- коэффициент, зависящий от осадки
ds, м, плавучего объекта; принимается по графику на
рисунке 15;

- коэффициент, принимаемый по таблице 9, в которой
al - наибольший горизонтальный размер продольного силуэта подводной части плавучего объекта, м;
h - высота волны обеспеченностью 5% в системе;
An и
Al - обозначения см. в
6.4.
Таблица 9
| 0,5 и менее | 1 | 2 | 3 | 4 и более |
Коэффициент  | 1 | 0,73 | 0,5 | 0,42 | 0,4 |
Рисунок 15 - График значений коэффициента 
Нагрузки от навала пришвартованного судна на сооружение
6.7 Нагрузку от навала пришвартованного судна на сооружение
q, кН/м, под действием ветра, течения и волн следует определять по формуле

(39)
где ld - общая длина участков контакта судна с сооружением, м;
Qtot - поперечная сила от суммарного воздействия ветра, течения и волн, кН, определяемая согласно
6.4 -
6.6:
Qtot =
Qw +
Qc - в случае, если высота волн обеспеченностью 5% не превышает допускаемые при стоянке значения по
таблице 10;
Qtot =
Qw +
Qc +
Qe - в случае, если высота волн обеспеченностью 5% превышает допускаемые при стоянке значения по
таблице 10.
Примечание - Для причального фронта, образованного несколькими опорами или палами, распределение нагрузки от пришвартованного судна следует принимать только на те из них, которые располагаются в пределах прямолинейной части борта судна.
Для уточнения волновой составляющей нагрузки на причальные сооружения от пришвартованного судна следует использовать методику, учитывающую динамический характер волнового воздействия
(приложение Л).
Угол подхода фронта волн к диаметральной плоскости судна  | Высота волн h5%, м, допускаемая при стоянке судна с расчетным водоизмещением W, тыс. т |
до 2 | 5 | 10 | 20 | 40 | 100 | 200 и более |
До 45° | 0,6 | 0,7 | 0,9 | 1,1 | 1,2 | 1,5 | 1,8 |
90° | 0,9 | 1,2 | 1,5 | 1,8 | 2 | 2,5 | 3,2 |
Нагрузки от навала судна при подходе к сооружению
6.8 Кинетическую энергию навала судна
En, кДж, при подходе его к портовому причальному сооружению следует определять по формуле

(40)
где

- коэффициент, учитывающий условия швартовки и конструкцию причальных сооружений;
W - расчетное водоизмещение (масса) судна, т;
Vn - нормальная (к поверхности сооружения) составляющая скорости подхода судна, м/с.
Допускаемые значения нормальной составляющей скорости подхода
Vn и коэффициента

следует назначать с применением данных
приложения М.
6.9 Поперечную горизонтальную силу Fn, кН, от навала судна при подходе к сооружению следует определять для заданного значения энергии навала судна En, кДж, по графикам рисунка 16, следуя по направлению штриховой линии со стрелками.
| | ИС МЕГАНОРМ: примечание. Текст дан в соответствии с официальным текстом документа. | |
а - от энергии Etot; б - от нагрузки Fq
Рисунок 16 - Схема использования зависимостей деформаций
отбойного устройства (и причального сооружения)
ft от энергии Etot и от нагрузки Fn
Суммарная энергия деформации Etot, кДж, должна включать энергию деформации отбойных устройств Ec, кДж, и энергию деформации причального сооружения Ei, кДж; при Ec >= 10Ei величина Ei не учитывается.
Энергию деформации причального сооружения Ei, кДж, следует определять по формуле

(41)
где ki - коэффициент жесткости причального сооружения в горизонтальном поперечном направлении, кН/м.
Продольная сила Fl, кН, от навала судна при подходе к сооружению должна определяться по формуле

(42)
где

- коэффициент трения, принимаемый в зависимости от материала лицевой поверхности отбойного устройства: при поверхности из бетона или резины

; при деревянной поверхности

; при полиэтиленовых брусьях

.
6.10 При ограничении допускаемой силы Fn на причальное сооружение максимальное допускаемое значение нормальной к поверхности сооружения составляющей скорости подхода судна Vadm, м/с, следует определять по формуле

(43)
где
Etot - энергия навала, кДж, принимаемая по графикам
рисунка 16 при заданном значении допускаемой силы
Fn на причальное сооружение (или на борт судна);
W и

- обозначения те же, что и в
6.8.
Следует учитывать, что ограничение скорости подхода к сооружению может быть обусловлено размывающим воздействием на донные отложения и/или крепление дна акватории вблизи сооружения, оказываемым потоком, возникающим за счет работы движителей судна.
Нагрузки на сооружения от натяжения швартовов
6.11 Нагрузки от натяжения швартовов должны определяться с учетом распределения на швартовные тумбы (или рымы) поперечной составляющей суммарной силы
Qtot, кН, от действия на одно расчетное судно ветра и течения. Значение
Qtot, кН, принимается согласно
6.4,
6.5.
Воспринимаемую одной тумбой (или рымом) силу
S, кН, на уровне козырька
(рисунок 17) от всех судов, швартовы которых заведены за тумбу, а также ее поперечную
Sn, кН, продольную
Sl, кН, и вертикальную
Sz, кН, проекции следует определять по формулам:

(44)

(45)

(46)

(47)
где
n - число работающих тумб, принимаемое по
таблице 11;

,

- углы наклона швартова, град, принимаемые по
таблице 12.
Рисунок 17 - Схема распределения усилия на тумбу
от натяжения швартовов
Наибольшая длина судна lmax, м | 50 и менее | 150 | 250 | 300 и более |
Наибольшее расстояние между тумбами ls, м | 20 | 25 | 30 | 30 |
Число работающих тумб n | 2 | 4 | 6 | 8 |
Тип судна | Положения тумб на причальном сооружении | Угол наклона швартова |
| |
судно в грузу | судно порожнее |
Морские | На кордоне | 30° | 20° | 40° |
В тылу | 40° | 10° | 20° |
Речные пассажирские и грузопассажирские | На кордоне | 45° | 0° | 0° |
Речные грузовые | То же | 30° | 0° | 0° |
Примечание - При расположении швартовных тумб на отдельно стоящих фундаментах значение угла  следует принимать равным 30°. |
Нормативные значения силы натяжения швартова S, кН, для судов речного флота должны приниматься по таблице 13.
Таблица 13
Расчетное водоизмещение судна W, тыс. т | Нормативная сила натяжения швартова S, кН, для судов |
пассажирских, грузопассажирских, технического флота со сплошной надстройкой | грузовых и технического флота без сплошной надстройки |
0,1 и менее | 50 | 30 |
0,11 - 0,5 | 100 | 50 |
0,51 - 1 | 145 | 100 |
1,1 - 2 | 195 | 125 |
2,1 - 3 | 245 | 145 |
3,1 - 5 | - | 195 |
5,1 - 10 | - | 245 |
Более 10 | - | 295 |
Силу, передаваемую на каждую концевую тумбу носовыми или кормовыми продольными швартовами, для морских судов с расчетным водоизмещением более 50 тыс. т следует принимать равной продольной составляющей суммарной силы
Ntot, кН, от действия ветра и течения на пришвартованное судно, определенной согласно
6.4 -
6.5.
Примечание - Более точное определение усилий в швартовых с учетом конкретной схемы швартовки судна выполняется по формулам
приложения Н.
6.12 Для причалов, состоящих из технологической площадки и отдельно стоящих палов, нагрузки на палы от воздействий ветра, течения, определенные согласно
6.4 -
6.5, должны распределяться между группами швартовых следующим образом:
0,8Qtot, кН - для носовых и кормовых продольных и прижимных канатов;
0,6Qtot, кН - для шпрингов.
Если каждая группа швартовов заводится на несколько палов, то распределение усилий между ними принимается равномерным. Значения углов

и
(рисунок 17) и число работающих тумб следует устанавливать по расположению швартовных палов.
Примечания
1 Волновую составляющую нагрузки на причал от натяжения швартовов следует учитывать на основе апробированных на практике динамических методов расчетов качки пришвартованного судна на волнении или на основе модельных испытаний. Для предварительных оценок применяется методика, приведенная в
приложении Л.
2 Для сплошных причалов при рассмотрении случаев, когда ветер направлен от причала в сторону акватории, волновая составляющая нагрузки на причал от натяжения швартовов не учитывается.
Размывающее действие от винтов судовых движителей
6.13 При расчете гидротехнических сооружений следует учитывать размывающее действие на дно и основания сооружений основных судовых движителей и подруливающих устройств (ПУ).
Поток за работающим винтом условно разделяется на несколько участков (рисунок 17а): участок формирования струи; основной участок распространения свободной струи; участок струи, взаимодействующей со свободной поверхностью или с поверхностью дна. Отдельно рассматриваются случаи взаимодействия струи с вертикальной стенкой, с наклонной стенкой, с опорной частью швартовных палов, с откосной частью берега.
Рисунок 17а - Участки потока при работе движителя судна
(п. 6.13 введен
Изменением N 1, утв. Приказом Минстроя России от 15.12.2021 N 944/пр)
6.14 Скорость потока за работающим винтом V0, м/с, определяется согласно соотношению

(47а)
где PD - максимальная мощность винта, кВт;
fp - задействованная доля мощности;
Dp - диаметр винта судна, м;

- плотность воды, т/м
3;
C3 - коэффициент равный 1,48 для открытых винтов и 1,17 для винтов в направляющей насадке.
В конце начального участка формирования струи (на расстоянии
x0 = 2,6
Dp от винта) скорость потока на оси винта равна
V0, м/с
(рисунок 17а).
(п. 6.14 введен
Изменением N 1, утв. Приказом Минстроя России от 15.12.2021 N 944/пр)
6.15 Максимальная придонная скорость потока при работающем винтовом движителе судна без учета взаимодействия струи с причальными сооружениями Vb,max, м/с, определяется по формуле

(47б)
где E = 0,71; b = 1,0 для морских судов с рулевым устройством;
E = 0,42; b = 1,0 для морских судов без рулевого устройства;
E = 0,25; b = 1,0 для речных судов типа катамаран и двойным рулем;
E = 0,42; b = 0,275 для морских судов со сдвоенным винтом и центральным рулем;
E = 0,52; b = 0,275 для морских судов со сдвоенным винтом и двойным рулем.
(п. 6.15 введен
Изменением N 1, утв. Приказом Минстроя России от 15.12.2021 N 944/пр)
6.16 Максимальная придонная скорость
Vb,max, м/с, от работы ПУ при наличии вертикальной стенки
(рисунок 17б) определяется на основе соотношения

(47в)
где Dt - диаметр ПУ, м;
L - расстояние между стенкой и краем туннеля ПУ, м;

- коэффициент, определяемый на основе графиков
рисунка 17в.
Рисунок 17б - Схема взаимодействия струи от поперечного ПУ
с вертикальной стенкой
Рисунок 17в - Зависимость коэффициента
, от расстояния
до стенки L и от расстояния до дна ht
(п. 6.16 введен
Изменением N 1, утв. Приказом Минстроя России от 15.12.2021 N 944/пр)
6.17 Устойчивость грунта, слагающего дно акватории вблизи сооружения, подверженного воздействию струй от судовых винтов, оценивается сравнением придонной максимальной скорости
Vb,max, м/с
(47б),
(47в) и значения неразмывающей придонной скорости течения для грунта, слагающего дно.
Крупность камня защитного слоя определяется на основе соотношения

(47г)
где D50 - средний диаметр камня защитного слоя, м, обеспечивающий статическую защиту;
Bs - коэффициент, равный 1,23 при отсутствии рулевой группы за винтом и равный 0,64 при наличии рулевой группы за винтом;

- плотность камня, т/м
3.
(п. 6.17 введен
Изменением N 1, утв. Приказом Минстроя России от 15.12.2021 N 944/пр)
6.18 При рассмотрении взаимодействия струи от винтового движителя с основанием швартовного пала максимальную придонную скорость вблизи свай следует удваивать. При рассмотрении совместной работы двух или трех движителей (
n = 2 - 3) придонные скорости следует увеличивать в

раз.
(п. 6.18 введен
Изменением N 1, утв. Приказом Минстроя России от 15.12.2021 N 944/пр)
6.19 Размеры участка вдоль причального сооружения, который должен быть защищен от размыва, определяются:
- размерами участка воздействия струй от поперечного ПУ и (или) основного движителя в зависимости от регламента выполнения операций причаливания и отчаливания;
- шириной полосы грунта необходимого для обеспечения устойчивости сооружения.
Длину защиты от размыва вдоль причала следует задавать равной длине расчетного судна, увеличенной не менее, чем на 50 м перед его носом и на 50 м позади кормы. Кроме того, длина защиты дна от размыва вдоль причала может быть увеличена в зависимости от организации постановки судна к причалу и отхода от него. Если место швартовки постоянно, то и воздействие струй от движителей всегда будет на одних и тех же местах. В этом случае можно использовать соотношения
(рисунок 17г):

(47д)
где коэффициент a принимает значение от 3 до 4; коэффициент c принимает значение от 3 до 5.
Рисунок 17г - Схема к определению размеров защиты
Достаточная ширина защиты для участка воздействия основного движителя
bpr, м, определяется с помощью схемы
(рисунок 17д) по формуле
bpr = bq + 0,5bs + 0,5Sp + 0,5Dp + 5,0, (47е)
где bq - расстояние между судном и причальной стенкой, м;
bs - ширина судна, м;
Sp - расстояние между валами основных гребных винтов, м.
Рисунок 17д - Схема к определению ширины защиты
(п. 6.19 введен
Изменением N 1, утв. Приказом Минстроя России от 15.12.2021 N 944/пр)
7 Ледовые нагрузки на гидротехнические сооружения
Основные положения
7.1 Нагрузки ото льда на гидротехнические сооружения должны определяться на основе исходных данных по ледовой обстановке в районе сооружений.
Ледовые нагрузки на гидротехнические сооружения в период постоянной и временной эксплуатации в ходе строительства (капитального ремонта, реконструкции) должны определяться на основе статистических данных о гидрометеорологических и ледовых условиях в районе расположения сооружения, исходя из ежегодной вероятности превышения (обеспеченности) гидрометеорологических и ледовых условий, устанавливаемых в зависимости от класса сооружений по таблице 13а. Нагрузки ото льда на сооружения определяются на период ледовых воздействий.
Таблица 13а
Класс гидротехнического сооружения | I, II | III, IV |
Период постоянной эксплуатации |
Ежегодная вероятность превышения (обеспеченность) гидрометеорологических и ледовых условий P, % | 0,1 | 1,0 |
Период временной эксплуатации в ходе строительства (капитального ремонта, реконструкции) |
Ежегодная вероятность превышения (обеспеченность) гидрометеорологических и ледовых условий P, % | 1,0 | 10,0 |
(п. 7.1 в ред.
Изменения N 1, утв. Приказом Минстроя России от 15.12.2021 N 944/пр)
7.2 В настоящем своде правил установлены нормативные значения ледовых нагрузок и воздействий, включая:
- нагрузки на сооружения от полей ровного льда, в том числе подхода дрейфующего поля льда к сооружению (или ледохода) и подвижки поля ровного льда при вмерзании в него сооружения;
- нагрузки на сооружения от сплошного ледяного покрова при его температурном расширении;
- нагрузки от примерзшего к сооружению ледяного покрова при изменении уровня воды;
- нагрузки на сооружения от заторных и зажорных масс льда;
- нагрузки от движущегося тороса.
При проектировании гидротехнических сооружений определяются глобальные и локальные ледовые нагрузки.
Под глобальной ледовой нагрузкой подразумевается главный вектор ледовой силы и главный момент ледовых сил, действующие на все сооружение, как на твердое тело. Глобальную ледовую нагрузку воспринимает корпус гидротехнического сооружения и передает ее на грунт или свайные системы.
Локальные ледовые нагрузки оцениваются локальным ледовым давлением - силой, приложенной к элементу конструкции или части обшивки заданной площади. Локальные давления используются в расчетах общей и местной прочностей конструкций.
(п. 7.2 в ред.
Изменения N 1, утв. Приказом Минстроя России от 15.12.2021 N 944/пр)
7.3 В число исходных данных по ледовой обстановке для расчета ледовых нагрузок входят:
- толщина льда;
- прочностные характеристики льда;
- характеристики геометрических размеров и форм рельефа ледяного покрова;
- перепады температур;
(в ред.
Изменения N 1, утв. Приказом Минстроя России от 15.12.2021 N 944/пр)
- максимальная и минимальная скорости подхода льда к сооружению;
- температура воздуха;
(в ред.
Изменения N 1, утв. Приказом Минстроя России от 15.12.2021 N 944/пр)
- скорость ветра и пр.;
- характеристики (типы) ледовых условий на акваториях;
(перечисление введено
Изменением N 1, утв. Приказом Минстроя России от 15.12.2021 N 944/пр)
- ледовые показатели акваторий.
(перечисление введено
Изменением N 1, утв. Приказом Минстроя России от 15.12.2021 N 944/пр)
Исходные данные для расчета ледовых нагрузок в период постоянной и временной эксплуатации в ходе строительства (капитального ремонта, реконструкции) следует назначать путем статистической обработки материалов натурных наблюдений в соответствии с ежегодной вероятностью превышения в зависимости от класса сооружений. При отсутствии материалов натурных наблюдений за исходные данные принимаются значения параметров, полученные расчетом по гидрометеорологическим условиям местности, соответствующим заданной вероятности превышения.
(абзац введен
Изменением N 1, утв. Приказом Минстроя России от 15.12.2021 N 944/пр)
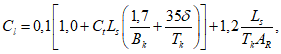
7.4 Прочностные характеристики ледяного покрова: пределы прочности льда при сжатии
Rc и изгибе
Rf, МПа, следует вычислять по формулам:

(48)

(49)
где N - число слоев одинаковой толщины, на которое разбивается (по толщине) ледяное поле расчетной толщины, при этом N = 3 при толщине льда до 1,5 м и N = 5 при толщине льда от 1,5 м и более;
(в ред.
Изменения N 1, утв. Приказом Минстроя России от 15.12.2021 N 944/пр)
Ci - прочность льда на одноосное сжатие, МПа, в i-м слое при температуре ti;

- доверительная граница случайной погрешности определений
Ci, МПа, определяемая методами математической статистики;
Cb и

- прочность льда на одноосное сжатие, МПа, в нижнем слое рассматриваемого ледяного поля при температуре
tb и доверительная граница случайной погрешности определений
Cb, МПа, определяемые так же, как
Ci и

;
tb - температура льда на границе лед-вода (температура замерзания), равная для пресной воды 0 °C, а для соленой воды определяемая по формуле
tb = -0,057·
sw, где
sw - соленость воды,

.
7.5 Значение
Ci определяется с учетом температуры в
i-м слое как среднеарифметическое значение прочности льда, полученное в соответствии с методикой испытания льда на одноосное сжатие, согласно
приложению П.
(в ред.
Изменения N 1, утв. Приказом Минстроя России от 15.12.2021 N 944/пр)
Распределение температуры по толщине льда и определение ее значения в i-м слое принимается по натурным данным или, при их отсутствии, на основе решения задачи теплопроводности (при этом допускается использование верифицированных термодинамических моделей), а также для стационарного режима в толще льда с учетом расчетной толщины слоя снега на поверхности льда.
(в ред.
Изменения N 1, утв. Приказом Минстроя России от 15.12.2021 N 944/пр)
Для решения задачи теплопроводности температуру наружного воздуха следует принимать по результатам инженерно-гидрометеорологических изысканий, проведенных в соответствии с
СП 47.13330,
СП 482.1325800.
(в ред.
Изменения N 1, утв. Приказом Минстроя России от 15.12.2021 N 944/пр)
При стационарном режиме в толще льда, в зависимости от класса сооружений для периодов постоянной и временной эксплуатации в ходе строительства (капитального ремонта, реконструкции) в качестве температуры воздуха принимается:
- для толщины льда менее 1,5 м - средняя температура воздуха за декаду, предшествующую ледовому воздействию, для периодов постоянной эксплуатации и временной эксплуатации в ходе строительства (капитального ремонта, реконструкции) ежегодной вероятностью превышения в соответствии с
таблицей 13б;
- для толщины льда более 1,5 м - средняя температура воздуха за месяц, предшествующий ледовому воздействию, для периодов постоянной эксплуатации и временной эксплуатации в ходе строительства (капитального ремонта, реконструкции) ежегодной вероятностью превышения в соответствии с таблицей 13б.
Класс гидротехнического сооружения | I, II | III, IV |
Период постоянной эксплуатации |
Ежегодная вероятность превышения (обеспеченность) температуры воздуха P, % | 0,1 | 1,0 |
Период временной эксплуатации в ходе строительства (капитального ремонта, реконструкции) |
Ежегодная вероятность превышения (обеспеченность) температуры воздуха P, % | 1,0 | 10,0 |
(в ред.
Изменения N 1, утв. Приказом Минстроя России от 15.12.2021 N 944/пр)
При отсутствии натурных данных, значение
Ci принимается по таблицам 14 и
15 для пресного и соленого льда соответственно, с учетом температуры и солености льда в
i-м слое. При солености льда менее

лед считается условно пресным.
(в ред.
Изменения N 1, утв. Приказом Минстроя России от 15.12.2021 N 944/пр)
Таблица 14
Тип кристаллической структуры пресноводного льда | Доверительная вероятность  | Температура льда в i-м слое ледяного поля ti, °C |
0 | -3 | -15 | -30 |
Значения  , МПа |
Зернистый (снежный) | | 1,2 | 3,1 | 4,8 | 5,8 |
0,95 | +/- 0,1 | +/- 0,2 | +/- 0,3 | +/- 0,4 |
0,99 | +/- 0,1 | +/- 0,3 | +/- 0,4 | +/- 0,6 |
Призматический (столбчатый) | | 1,5 | 3,5 | 5,3 | 6,5 |
0,95 | +/- 0,2 | +/- 0,3 | +/- 0,4 | +/- 0,5 |
0,99 | +/- 0,3 | +/- 0,4 | +/- 0,6 | +/- 0,7 |
Волокнистый (шестовато-игольчатый) | | 0,8 | 2,0 | 3,2 | 3,8 |
0,95 | +/- 0,1 | +/- 0,2 | +/- 0,3 | +/- 0,4 |
0,99 | +/- 0,1 | +/- 0,3 | +/- 0,4 | +/- 0,6 |
Тип кристаллической структуры морского льда | Соленость льда,  | Доверительная вероятность  | Температура льда в i-м слое ледяного поля ti, °C |
-3 | -15 | -30 |
Значения  , МПа |
Зернистый | 2 | | 2,70 | 4,70 | 5,70 |
0,95 | +/- 0,2 | +/- 0,5 | +/- 0,5 |
0,99 | +/- 0,3 | +/- 0,7 | +/- 0,7 |
3 | | 1,60 | 4,25 | 4,90 |
0,95 | +/- 0,2 | +/- 0,5 | +/- 0,5 |
0,99 | +/- 0,3 | +/- 0,7 | +/- 0,7 |
4 | | 1,30 | 3,90 | 4,50 |
0,95 | +/- 0,2 | +/- 0,5 | +/- 0,5 |
0,99 | +/- 0,3 | +/- 0,7 | +/- 0,7 |
5 | | 1,15 | 3,40 | 4,10 |
0,95 | +/- 0,2 | +/- 0,5 | +/- 0,5 |
0,99 | +/- 0,3 | +/- 0,7 | +/- 0,7 |
6 | | 1,05 | 3,40 | 4,10 |
0,95 | +/- 0,2 | +/- 0,5 | +/- 0,5 |
0,99 | +/- 0,3 | +/- 0,7 | +/- 0,7 |
Волокнистый | 2 | | 1,45 | 3,10 | 3,70 |
0,95 | +/- 0,2 | +/- 0,5 | +/- 0,5 |
0,99 | +/- 0,3 | +/- 0,7 | +/- 0,7 |
(в ред. Изменения N 1, утв. Приказом Минстроя России от 15.12.2021 N 944/пр) |
| 3 | | 0,80 | 2,80 | 3,25 |
0,95 | +/- 0,1 | +/- 0,5 | +/- 0,5 |
0,99 | +/- 0,1 | +/- 0,7 | +/- 0,7 |
4 | | 0,60 | 2,50 | 3,10 |
0,95 | +/- 0,1 | +/- 0,5 | +/- 0,5 |
0,99 | +/- 0,1 | +/- 0,7 | +/- 0,7 |
5 | | 0,45 | 2,30 | 2,85 |
0,95 | +/- 0,1 | +/- 0,5 | +/- 0,5 |
0,99 | +/- 0,1 | +/- 0,7 | +/- 0,7 |
6 | | 0,40 | 2,20 | 2,80 |
0,95 | +/- 0,1 | +/- 0,5 | +/- 0,5 |
0,99 | +/- 0,1 | +/- 0,7 | +/- 0,7 |
Значение доверительной вероятности

величин
Rc и
Rf при расчетах ледовых нагрузок принимается равным 0,99 для сооружений I класса и 0,95 - для сооружений II и III классов.
7.6 При рассмотрении прочности льда в условиях первой подвижки речного ледяного покрова значения
Rc и
Rf, определенные по
формулам (48) и
(49), следует уменьшать путем умножения их на коэффициент, принимаемый:
- 0,45 - для рек бассейна Среднего и Верхнего Амура и юга Забайкалья;
- 0,5 - для рек бассейна Нижнего Амура, Средней Лены, Енисея до Енисейска, Оби до Октябрьского и севера Европейской части Российской Федерации;
- 0,64 - для рек бассейна Верхнего Днепра, Верхней Волги, Камы и Тобола, низовья Дона, Волги, Урала и Оби, междуречья Оби и Енисея, Верхней Лены, Алдана и крайнего северо-востока Российской Федерации;
- 0,83 - для нижних течений Енисея и Лены и рек их междуречья, рек бассейна Алтая, а также для рек центра, северо-запада и юго-востока Европейской части Российской Федерации.
7.7 Строение ледяного поля (речного и морского) определяется по данным кристаллографического исследования, при их отсутствии следует принимать, что:
- ледяной покров открытых озер, водохранилищ и крупных рек состоит из зернистого и призматического льдов;
- ледяной покров морей и устьевых участков рек, впадающих в моря, состоит из зернистого и волокнистого льдов.
Толщина слоя зернистого льда, располагающегося в верхней части ледяного покрова, относится к толщине слоя призматического или волокнистого льда как 1:3.
Нагрузки на сооружения от полей ровного льда
7.8 Нагрузку от воздействия движущихся ледяных полей на сооружения с вертикальной гранью в зонах возможного воздействия льда необходимо определять: на отдельно стоящую опору
(рисунок 18) с гранью, взаимодействующей со льдом, в виде треугольника, многогранника или цилиндрического очертания
Fc,p, МН, по формуле
(в ред.
Изменения N 1, утв. Приказом Минстроя России от 15.12.2021 N 944/пр)

(50)

(51)
где V - расчетная скорость движения ледяного поля, м/с;
(в ред.
Изменения N 1, утв. Приказом Минстроя России от 15.12.2021 N 944/пр)
hd - расчетная толщина ровного льда, м. Назначается путем статистической обработки материалов натурных наблюдений или расчетным путем по гидрометеорологическим условиям местности для периода времени с наибольшими ледовыми воздействиями в зависимости от класса гидротехнического сооружения для периодов постоянной эксплуатации и временной эксплуатации в ходе строительства (капитального ремонта, реконструкции) по
таблице 13б;
(в ред.
Изменения N 1, утв. Приказом Минстроя России от 15.12.2021 N 944/пр)
m - коэффициент формы воспринимающей нагрузку передней грани опоры в плане, принимаемый по
таблице 17;
A - расчетная площадь ледяного поля (или суммарная площадь нескольких ледяных полей, оказывающих давление друг на друга), м
2, которая может воздействовать на рассчитываемый элемент сооружения, определяемая по натурным наблюдениям или принимаемая в зависимости от поперечных размеров сооружения как
A = 3
l2 (где
l - пролет водопропускного сооружения) или

(где
bmax - максимальный поперечный размер сооружения);
(в ред.
Изменения N 1, утв. Приказом Минстроя России от 15.12.2021 N 944/пр)

- половина угла заострения передней грани опоры в плане на уровне действия льда, град; для опоры в виде многогранника или полуциркульного очертания необходимо принимать

;
Rc - обозначение см. в
7.4;

- плотность воды, кг/м
3.
Таблица 16
Класс гидротехнического сооружения | I, II | III, IV |
Ежегодная вероятность превышения (обеспеченность) толщины ровного льда P, % | 0,1 | 1,0 |
Коэффициент формы передней грани опоры в плане | Для опоры с передней гранью в виде |
треугольника с углом заострения в плане  | многогранника или полуциркульного очертания | прямоугольника |
45° | 60° | 75° | 90° | 120° |
m | 0,41 | 0,47 | 0,52 | 0,58 | 0,71 | 0,83 | 1 |
Примечание - В случае подвижки смерзшегося с опорой ледяного поля для опоры с передней гранью в виде треугольника и прямоугольника принимается m = 1, для опор с передней гранью в виде многогранника или полуциркульного очертания m = 1,26. |
Значение b/hd | 0,3 и менее | 1 | 3 | 10 | 15 | 25 | 50 и более |
Коэффициент kb | 5,5 | 3,3 | 2,2 | 1,3 | 1,1 | 1,0 | 0,5 |
b - ширина опоры по фронту на уровне действия льда, м. |
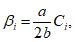
Значение  , с -1 | 10-7 и менее | 5·10-5 | 10-4 - 5·10-4 | 10-3 | 5·10-3 | 10-2 и более |
Коэффициент kV | 0,1 | 0,9 | 1,0 | 0,8 | 0,5 | 0,3 |
 - эффективная скорость деформации льда в зоне его взаимодействия с опорой, с -1, определяемая по формуле  , где kl - коэффициент, принимаемый при b/hd (или bs/hd) <= 15 равным 4, а при b/hd (или bs/hd) >= 25 равным 2; при 15 <= b/hd (или bs/hd) <= 25 коэффициент kl определяется линейной интерполяцией между значениями 4 и 2. |
Рисунок 18 - Схема приложения нагрузки от движущегося
ледяного поля на отдельно стоящую вертикальную опору
Рисунок 19 - Схема приложения нагрузки от движущегося
ледяного поля на секцию сооружения
Абзац исключен с 16.01.2022. -
Изменение N 1, утв. Приказом Минстроя России от 15.12.2021 N 944/пр.
Для определения скорости дрейфа льда, при которой происходит разрушение льда у сооружения, должны быть построены графики зависимости ледовой нагрузки Fc при остановке ледового поля и Fb при прорезании ледового поля от скорости дрейфа льда V. Точка пересечения графиков - искомое значение скорости дрейфа.
Примечания
1 Под отдельно стоящим сооружением следует понимать сооружение, обтекаемое льдом, способное воспринимать действующую ледовую нагрузку и прорезать движущееся на него ледяное поле.
2 Под протяженным сооружением следует понимать сооружение, препятствующее проходу ледяных полей через створ сооружения. Под это понятие попадают отдельные участки русловых плотин, затворы водосбросных сооружений, протяженные стены и ледозащитные сооружения, если они упираются в берега или соединены с другими сооружениями, и прочие прибрежные сооружения, соединенные между собой и/или берегом инфраструктурными сооружениями.
(примечание 2 в ред.
Изменения N 1, утв. Приказом Минстроя России от 15.12.2021 N 944/пр)
Нагрузка
Fc,p, определенная по
формуле (50), должна быть не более нагрузки
Fb,p, МН, определяемой по формуле
а нагрузка
Fc,w, определенная по
формуле (51), должна быть не более нагрузки
Fb,w, МН, определяемой по формуле
где k - коэффициент, принимаемый по таблице 20;
bs - протяженность контакта ледяного покрова с сооружением, м.
Нагрузку от воздействия ледяного поля на опору с передней гранью в виде прямоугольника следует определять по
формуле (52).
Таблица 20
Значение bs/hd | 0,3 и менее | 1 | 3 | 10 | 20 | 25 и более |
Коэффициент k | 1 | 0,9 | 0,8 | 0,6 | 0,5 | 0,4 |
7.9 Нагрузку от воздействия движущегося ледяного поля на отдельно стоящую коническую опору или конический ледорез полуциркульного очертания
(рисунок 20) при отсутствии смерзания со льдом необходимо определять по формулам:
а) горизонтальную составляющую нагрузки Fh,p, МН,

(54)
б) вертикальную составляющую нагрузки Fv,p, МН,

(55)
где
kh,1,
kh,2 - коэффициенты, принимаемые по
таблице 21;
kh,3,
kh,4,
kv,1,
kv,2 - коэффициенты, принимаемые по
таблице 22;

- плотность воды, кг/м
3;
g - ускорение свободного падения, равное 9,81 м/с2;
d - диаметр конуса по ватерлинии, м;
dt - верхний диаметр конуса, м;
Rf и
hd - обозначения см. в
7.4 и
7.8.
Значение  | 0,1 | 0,5 | 1 | 5 | 10 | 25 | 50 | 100 |
Коэффициенты: |
kh,1 | 1,6 | 1,6 | 1,7 | 1,9 | 2,1 | 2,5 | 2,9 | 3,5 |
kh,2 | 0,31 | 0,24 | 0,21 | 0,11 | 0,08 | 0,05 | 0,02 | 0,02 |
Рисунок 20 - Схема приложения нагрузок от движущегося
ледяного поля на отдельно стоящую коническую опору
Значение  | 20° | 30° | 40° | 50° | 60° | 70° |
Коэффициенты: |
kh,3 | 0,25 | 0,27 | 0,31 | 0,36 | 0,46 | 0,67 |
kh,4 | 0,7 | 0,9 | 1,3 | 1,8 | 2,6 | 5,3 |
kv,1 | 2,2 | 1,6 | 1,1 | 0,8 | 0,5 | 0,3 |
kv,2 | 0,041 | 0,042 | 0,039 | 0,034 | 0,026 | 0,017 |
 - угол наклона образующей конуса (передней грани сооружения откосного профиля) к горизонту. Примечание - Значения настоящей таблицы соответствуют коэффициенту трения между льдом и сооружением, равному 0,15. |
Значение  | Значение  |
0,08 и менее | 0,8 | 1,6 | 3,2 | 5,4 |
Коэффициент kv,f |
40° - 50° | 1 | 2,0 | 2,7 | 3,7 | 4,7 |
60° | 1 | 2,0 | 2,6 | 3,5 | 3,6 |
70° | 1 | 1,9 | 2,5 | 2,6 | 2,7 |
На секцию откосного профиля или отдельно стоящую опору прямоугольного сечения с наклонной передней гранью
(рисунок 21) нагрузку от воздействия движущегося ледяного поля следует определять по формулам:
а) горизонтальную составляющую нагрузки Fh, МН,

(56)
б) вертикальную составляющую нагрузки Fv, МН

(57)
A1,
A2,
A3 - коэффициенты, принимаемые по
таблице 27;
f - коэффициент трения;
b - обозначения см. в
7.8.
Рисунок 21 - Схема приложения нагрузок от движущегося
ледяного поля на сооружение откосного профиля
| 30° | 40° | 50° | 60° | 70° |
Коэффициент  | 1,0 | 1,5 | 2,0 | 2,5 | 2,5 |
hd, м | 0,5 | 1,0 | 2,0 | 3,0 | 4,0 |
Коэффициент  | 0,039 | 0,048 | 0,062 | 0,073 | 0,083 |
hd, м | Значения mh, МН/м, при  |
30° | 40° | 50° | 60° | 70° |
0,5 | 0,044 | 0,058 | 0,143 | 0,316 | 0,746 |
1,0 | 0,089 | 0,178 | 0,319 | 0,642 | 1,463 |
2,0 | 0,238 | 0,484 | 0,746 | 1,394 | 3,076 |
3,0 | 0,499 | 0,847 | 1,213 | 2,157 | 4,635 |
4,0 | 0,622 | 1,303 | 1,790 | 3,084 | 6,510 |
| 30° | 40° | 50° | 60° | 70° |
A1 | 1,92 | 2,01 | 2,09 | 2,17 | 2,22 |
A2 | 1,19 | 2,68 | 4,70 | 12,20 | 60,0 |
A3 | 2,07 | 1,35 | 0,75 | 0,41 | 0,24 |
hd, м | Значения mv, МН/м, при  |
30° | 40° | 50° | 60° | 70° |
0,5 | 0,018 | 0,056 | 0,095 | 0,138 | 0,186 |
1,0 | 0,157 | 0,172 | 0,211 | 0,281 | 0,365 |
2,0 | 0,426 | 0,444 | 0,485 | 0,607 | 0,767 |
3,0 | 0,721 | 0,740 | 0,773 | 0,933 | 1,155 |
4,0 | 1,080 | 1,099 | 1,122 | 1,327 | 1,620 |
Коэффициенты

,
mh и
mv принимаются в зависимости от
hd, м.
В случае подвижки смерзшегося с коническим сооружением ледяного поля горизонтальная составляющая нагрузки Fh,f, МП, определяется как на цилиндрическую опору с расчетной шириной b, равной диаметру конуса на уровне действия льда, по формуле

(58)
где

- коэффициент, принимаемый по таблице 29;
Fb,p - обозначение см. в
7.8.
Вертикальная составляющая нагрузки Fv,p в этом случае отсутствует.
Таблица 29
Угол наклона образующей  | 45° | 60° | 75° | 90° |
Коэффициент  | 0,60 | 0,79 | 0,92 | 1,00 |
7.10 Нагрузку от воздействия движущегося ледяного поля на сооружение, состоящее из системы колонн (свай, свай-оболочек и т.п.), необходимо определять в зависимости от просвета между сваями
S (рисунок 22).
а, б - профиль и план ряда из столбов диаметром b1
1 - скол (смятие) льда; 2 - срез льда между столбами
Рисунок 22 - Характер разрушения ледяного покрова
в зависимости от расположения элементов опор относительно
друг друга
Нагрузка от воздействия движущегося ледяного поля на каждый из элементов поперек направления движения ледяных полей с просветами S <= 2·hd определяется по формуле

(59)
где
F1 - сила от воздействия ледяных полей на один элемент шириной
b1 рассматриваемого сооружения, определяемая для соответствующих ледовых условий, воздействия ледяных полей и конструкции опор по
формулам (50) -
(58);
kbn - коэффициент, определяемый по
таблице 18 для суммарной ширины
n элементов, входящих в сооружение. На каждый элемент действует сила в
n раз меньше, чем на все сооружение.
За расчетное воздействие следует принимать наименьшую силу, определенную по
формуле (59) и
формулам (50) -
(58), для соответствующих ледовых воздействий.
Если в ряду, расположенном поперек движения ледяного поля, из
n свай есть
j просветов
S > 2
hd, то ряд следует разбить на (
j + 1) элементов, с просветами между сваями
S <= 2
hd. Расчет каждого из (
j + 1) элементов следует выполнять по
формуле (65). В случае невозможности выделения элементов с просветом между сваями
S <= 2
hd, каждая свая ряда рассматривается как отдельное сооружение, нагрузка на которое определяется по
формулам (56) -
(64).
Воздействие льда от движущегося ледяного поля на сваи второго и последующих рядов, расположенных поперек направления нагрузки (движения ледяного поля), не учитывается, поскольку сваи первого ряда работают как аванпостные сооружения, у которых происходит разрушение ледяных полей.
(п. 7.10 в ред.
Изменения N 1, утв. Приказом Минстроя России от 15.12.2021 N 944/пр)
7.11 Определяющая характеристика ледовых воздействий при первой подвижке льда на элементы системы колонн (свай, свай-оболочек и т.п.) - расстояние
l между элементами ряда (по их осям).
Максимальное расстояние между элементами ряда (по их осям) lmax, при котором происходит срез льда между этими элементами, определяется по формуле

(60)
При l > lmax каждый элемент в ряду, расположенный вдоль направления движения ледяных полей, работает независимо друг от друга (у каждого элемента происходит смятие льда).
При первой подвижке льда на элементы второго и последующих рядов, расположенных вдоль направления движения ледяных полей на расстоянии друг от друга (по осям) l < lmax, действует сила Fcut, которую следует определять как доли от силы F1, действующей на первый элемент ряда

(61)
где

- коэффициент снижения воздействия льда на последующие элементы ряда

(62)
где ncut - число плоскостей среза между элементами ряда;
lcut - длина плоскости среза;

- коэффициент, определяемый по формуле

(63)
(п. 7.11 в ред.
Изменения N 1, утв. Приказом Минстроя России от 15.12.2021 N 944/пр)
7.12 Число плоскостей среза ncut между элементами ряда, расположенного параллельно направлению нагрузки, принимается равным:
ncut = 2 при одиночном ряде;
ncut = 1 при двух взаимодействующих рядах;
при трех и более взаимодействующих рядах для крайних ncut = 1, для внутренних рядов ncut = 0 (т.е. ледовая нагрузка отсутствует).
За одиночный принимают ряд, который по фронту (поперек направления нагрузки) удален (имеется просвет) от других сооружений (или их элементов) на S > 2hd.
За число взаимодействующих рядов более двух принимают ряды, в которых по фронту есть просветы S <= 2hd.
7.13 Длина плоскости среза lcut между элементами ряда, параллельного направлению нагрузки, определяется геометрией двух взаимодействующих элементов в ряду

(64)
где

- угол сектора элемента опоры, градус, в плане, в пределах которого происходит срез льда. В диапазоне

определяют по формуле

(65)
7.14 Если элементы ряда (свай, свай-оболочек и т.п.), расположенные вдоль направления движения ледяных полей, соединены между собой стеной толщиной

, то при первой подвижке льда на второй и последующие элементы ряда действует сила
Fcut, определяемая по формулам:

(66)

(67)
где

- половина угла сектора, на ширине которого происходит срез льда между столбами.
7.15 При косом направлении нагрузки на второй и последующие элементы ряда, расположенные вдоль движения ледяных полей, их совместная работа происходит при соблюдении условий
l <=
lmax и

. На элементы ряда в этом случае действует сила, характеризующая как смятие, так и сдвиг льда и определяемая по формуле

(68)
где
Fb,p - усилие при разрушении ледяного покрова за счет смятия льда, определяемое по
формуле (52);
Fcut - усилие, при котором происходит срез льда между элементами ряда, определяемое по
формуле (61) при
ncut = 1. Составляющая силы
Fy, характеризующая сдвиг, отлична от нуля в том случае, если внешняя плоскость сдвига "упирается" в нижестоящий элемент (рисунок 23). Это условие соблюдается при неравенстве

.
1 - скол (смятие льда); 2 - плоскость среза льда
Рисунок 23 - Схема разрушения льда при косом направлении
воздействия ледяных полей на элементы опор
При соблюдении указанных выше двух условий для расстояния
l между элементами на второй и последующие элементы взаимодействующего ряда, расположенного ниже по направлению движения ледяных полей (на рисунке 23 ряд N 2), действует сила, определяемая по
формуле (61) при
ncut = 1.
Если взаимодействующих рядов больше двух, то для последующих элементов внутренних рядов ncut = 0 (т.е. нагрузка отсутствует).
При несоблюдении неравенства

с некоторым запасом принимается, что последующие элементы взаимодействующих (а также невзаимодействующих) рядов рассчитываются как первые элементы в рядах, параллельных направлению нагрузки
(7.10), т.е. как при
l >
lmax (рисунок 23).
Под взаимодействующими рядами понимаются ряды, между элементами которых в направлении параллельном поперечной оси опоры просветы S <= 2·hd.
7.16 Абзац исключен с 16.01.2022. -
Изменение N 1, утв. Приказом Минстроя России от 15.12.2021 N 944/пр.
При косом подходе ледяных полей к опоре

, элементы которой составляют два и более продольных ряда, нагрузку воспринимают, кроме первых элементов продольных рядов (как при отсутствии косины), все элементы ряда N 1
(рисунок 23). Расчет нагрузки на каждый элемент определяют согласно
7.10. Причем для последующих элементов ряда N 1 в расчетах следует принимать

.
7.17 Общая нагрузка на опору, состоящую из n элементов (составляющих продольные и поперечные ряды), определяется как сумма нагрузок на каждый элемент.
7.18 Точку приложения равнодействующей ледовой нагрузки, определенной согласно
7.8 - 7.17, необходимо принимать ниже расчетного уровня воды на 0,2
hd в зимний период и на 0,4
hd в период весеннего ледохода.
7.19 Локальное ледовое давление на конструкции в районе ледового пояса конической опоры и сооружения откосного профиля p, МПа, определяется по формуле

(68а)
где AC - площадь контакта, на которой учитывается локальное давление льда, м2;
Локальное ледовое давление в районе ледового пояса на сооружение с вертикальной передней гранью определяется по
формуле (68а) с исключением множителя

.
Примечания
1 В
формуле (68а) угол наклона образующей конуса (передней грани сооружения откосного профиля) к горизонту

. При

давление
p определяется как при 18°; при

давление
p определяется как при 72°.
2 При p > 10 МПа давление p принимается равным 10 МПа.
(п. 7.19 в ред.
Изменения N 1, утв. Приказом Минстроя России от 15.12.2021 N 944/пр)
7.20 Нагрузку от воздействия остановившегося поля ровного льда, наваливающегося на сооружение при действии течения воды и ветра Fs, МН, необходимо определять по формуле

(69)
в которой величины

,
pV,
pi и

, МПа, определяются по формулам:

(70)

(71)

(72)

(73)

(74)
где Vmax - максимальная скорость течения воды подо льдом в период ледохода, м/с;
Vw,max - максимальная скорость ветра в период ледохода, м/с;
Lm - средняя длина ледяного поля по направлению потока, принимаемая по данным натурных наблюдений, при их отсутствии для рек Lm принимается равной утроенной ширине реки, м;
i - уклон поверхности потока;
hd и
A - обозначения те же, см.
7.8;
H - глубина воды перед сооружением, м.
При этом, нагрузка
Fs, определенная по
формуле (69), не может быть больше нагрузки
Fb,w, определенной по
формуле (53) при
kV = 0,1.
Примечания
1 Расчетная ширина ледяного поля принимается по данным натурных наблюдений, а для затворов или аналогичных сооружений - не более ширины пролета сооружения.
2 Точку приложения равнодействующей ледовой нагрузки необходимо принимать на 0,2hd ниже расчетного уровня воды в зимний период, на 0,4hd - в период весеннего ледохода.
Нагрузки на сооружения от сплошного ледяного покрова при его температурном расширении
7.21 Расчетную нагрузку на сооружение от сплошного ледяного покрова при его температурном расширении следует определять по формуле
где q - нагрузка на единицу длины сооружения от воздействия сплошного ледяного поля при его температурном расширении, принимается как наибольшее из значений q, определенных для случаев, когда из ряда наблюдений за температурой воздуха приняты расчетные периоды с минимальной температурой и соответствующим ей градиентом или с максимальным градиентом и соответствующей ему температурой, кН/м;
(в ред.
Изменения N 1, утв. Приказом Минстроя России от 15.12.2021 N 944/пр)
b - обозначение см. в
7.8.
7.22 Нагрузку q, кН/м, на единицу длины сооружения от воздействия сплошного ледяного покрова при его температурном расширении следует определять по формуле
q = hdkLp, (76)
где
hd - обеспеченная толщина ровного льда, м
(7.8);
kL - коэффициент потери устойчивости ледяного покрова, принимаемый по таблице 30.
Таблица 30
Протяженность ледяного покрова, м | 50 | 70 | 90 | 120 | 150 и более |
Коэффициент kL | 1 | 0,9 | 0,8 | 0,7 | 0,6 |
p - давление за счет упругой и пластической деформации, кПа, при температурном расширении льда соленостью

принимается равным 100 кПа и нагрузка на единицу длины сооружения определяется по формуле
q = 100hdkL. (77)
При солености

давление
p определяется по формуле

(78)
где

- предел упругости льда при сжатии, кПа,
- коэффициент линейного расширения льда, град
-1,
Vt - скорость повышения температуры воздуха, град/с,

- коэффициент вязкости льда, кПа·с, определяемый по формулам:

(79)

(80)
ti - температура льда, °C, определяемая по формуле

(81)
t0min - начальная минимальная температура, с которой начинается ее повышение, °C;

- относительная толщина ледяного покрова с учетом влияния снега, определяемая по формуле

(82)
hred - приведенная толщина ледяного покрова, м, определяемая по формуле

(83)
hs - наименьшая толщина снежного покрова, м;

- теплопроводность льда, Вт/(мК);

- коэффициент теплоотдачи с верхней поверхности ледяного покрова, Вт/(м
2·К), определяемый по формуле

(84)
w - средняя скорость ветра, м/с; коэффициент
B определяется по
таблице 31;

,

- безразмерные коэффициенты, принимаемые по графикам
рисунков 24 и
25 при заданных относительных значениях толщины ледяного покрова и безразмерного значения

;
a - коэффициент температуропроводности льда, м2/с.
tair, °C | -40 | -30 | -20 | -10 | 0 | 10 |
B, Дж/(м3·К) | 7,12 | 6,88 | 6,67 | 6,48 | 6,27 | 6,07 |
Рисунок 24 - Графики значений коэффициента 
Рисунок 25 - Графики значений коэффициента 
При этом нагрузка от температурного расширения, определенная по
формуле (75), должна быть не более нагрузки, определенной по формуле

(85)
где

- температурное расширение ледяного поля, м;
Kb - коэффициент упругой податливости сооружения, м/МН.
Температурное расширение ледяного поля может быть определено по формуле

(86)
где

- расчетный перепад температуры наружного воздуха, °C;
L - расстояние от сооружения до берега или до трещины, м.
Для свайного ростверка с высотой стоек H, м, коэффициент податливости конструкции определяется по формуле
Kb = H3/12EIn, (87)
где E - модуль упругости материала конструкции, МПа;
I - момент инерции поперечного сечения сваи, м4;
n - количество свай конструкции.
Нагрузка от температурного расширения
Ft,h, рассчитанная по
формуле (85), должна быть не более определенной по формуле
Ft,h = kvRcbhd, (88)
Для условий нагрузки от температурного расширения kv = 0,1.
Примечание - В приливных морях нагрузки от температурного расширения льда на гидротехнические сооружения не учитываются.
(п. 7.22 в ред.
Изменения N 1, утв. Приказом Минстроя России от 15.12.2021 N 944/пр)
Нагрузки от примерзшего к сооружению ледяного покрова при изменении уровня воды
7.23 Вертикальную нагрузку (на 1 м длины по фронту сооружения) от примерзшего к сооружению ледяного покрова при изменении уровня воды (УВ)
fd, МН/м
(рисунок 26), следует определять по формуле

(89)
где h0 - изменение УВ, м; при этом h0 <= hd;
hd - обеспеченная толщина ровного льда, м
(7.8);
v - кинематическая вязкость воды при температуре 0 °C, равная v = 1,793·10-6 м2/с.
а - при понижении УВ; б - при повышении УВ; УВЛ - уровень
воды при ледоставе
Рисунок 26 - Схемы приложения нагрузок от примерзшего
к сооружению ледяного покрова при изменении уровня воды
Нагрузка
fd, определенная по
формуле (89), должна быть не более нагрузки
fd,lim, МН/м, определяемой по формуле

(90)
где

- предельное напряжение в сжатом слое изгибаемого ледяного покрова, МПа, определяемое как

для нижнего слоя ледяного покрова при температуре
tb в случае понижения уровня воды или для верхнего слоя ледяного покрова при температуре
tu в случае повышения уровня воды;

- предельное напряжение в растянутом слое изгибаемого ледяного покрова, МПа, определяемое как

для верхнего слоя ледяного покрова при температуре
tu в случае понижения уровня воды или для нижнего слоя ледяного покрова при температуре
tb в случае повышения уровня воды;
tu - температура льда на границе лед-воздух, град;
Ci,

,
tb - обозначения см. в
7.4.
Примечание - В приливных морях нагрузки от примерзания льда к сооружениям не учитываются.
7.24 Момент силы, воспринимаемый 1 м протяженного сооружения от примерзшего ледяного покрова,
Ml (МН·м)/м, при изменении уровня воды
(рисунок 26), необходимо определять по формуле

(91)
Минстроя России от 15.12.2021 N 944/пр)
где
h0,
hd - обозначения см. в
7.23.
При этом момент силы Ml, определенный по формуле (91), должен быть не более момента Ml,lim (МН·м)/м, определяемого по формуле

(92)
где

,

- обозначения см. в
7.23.
7.25 Вертикальную нагрузку на отдельно стоящую опору или свайный куст от примерзшего к сооружению ледяного покрова при изменении уровня воды
Fd,p, МН
(рисунок 27), необходимо определять по формуле

(93)
где kf - коэффициент, определяемый по формуле
kf = 0,6 + 0,15D/hd, (94)
где D - поперечный размер (диаметр) опоры или свайного куста, м;
Rf и
hd - обозначения см. в
7.4 и
7.23.
Примечания
1 При прямоугольной форме опоры в плане со сторонами
b и
c или для сооружения, состоящего из системы колонн или куста свай с внешними размерами опорной части на уровне действия льда
b и
c, м, принимается

, м.
2 Нагрузки от примерзания льда к сооружениям, расположенным в приливных морях, не учитываются.
а - при понижении УВ; б - при повышении УВ
Рисунок 27 - Схемы приложения нагрузки к отдельно стоящей
опоре от примерзшего к ней ледяного покрова при изменении
уровня воды
7.26 Вертикальную нагрузку на сооружение, состоящее из системы вертикальных колонн, от примерзшего к опорам ледяного покрова при изменении уровня воды
Fd,f, МН
(рисунок 28), необходимо определять по формулам:
Fd,f = KFd,pn, (95)

(96)
где
K - коэффициент, определяемый как произведение коэффициентов
Kk, принимаемых для каждой из
n колонн по графикам
рисунка 29 при заданных значениях
ak,
b и параметра

;
v - кинематическая вязкость воды, м
2/с; при
g = 9,81 м/с
2 и
v = 1,7·10
-6 м
2/с параметр

;
ak - расстояние от оси произвольно выбранной основной колонны до оси k-й колонны (рисунок 28), м;
n - число колонн в сооружении;
Рисунок 28 - Схема приложения нагрузки к сооружению,
состоящему из системы вертикальных колонн, от примерзшего
к нему ледяного покрова при повышении уровня воды (при
понижении уровня воды сила Fd,f направлена вниз)
Нагрузки на сооружения от заторных и зажорных масс льда
7.27 Нагрузку от движущейся заторной массы льда на сооружение Fb,j, МН, необходимо определять по формуле
Fb,j = 0,5mRb,jbhb,i, (97)
где Rb,j - нормативное сопротивление заторной массы льда смятию, МПа, определяемое по данным натурных наблюдений; при их отсутствии принимается равным:
0,45 МПа - для участков рек севернее линии "Воркута - Ханты-Мансийск - Красноярск - Улан-Удэ - Благовещенск - Николаевск на Амуре";
0,35 МПа - между линиями "Воркута - Ханты-Мансийск - Красноярск - Улан-Удэ - Благовещенск - Николаевск на Амуре" и "Архангельск - Киров - Уфа - Усть-Каменогорск";
0,25 МПа - южнее линии "Архангельск - Киров - Уфа - Усть-Каменогорск";
hb,i - расчетная толщина заторной массы, м, определяемая по данным натурных наблюдений, а при их отсутствии по формуле
bb,i = aiHb,i, (98)
где Hb,i - средняя глубина реки выше затора при максимальном расходе воды заторного периода, м;
ai - коэффициент, принимаемый по таблице 32;
m,
b - обозначения см. в
7.8.
Таблица 32
Значения коэффициента для определения расчетной толщины
заторной массы
Значение Hb,i | 3 | 5 | 10 | 15 | 20 | 25 |
Коэффициент ai | 0,85 | 0,75 | 0,45 | 0,40 | 0,35 | 0,28 |
Рисунок 29 - Графики значений коэффициентов Kk
7.28 Нагрузку от движущейся зажорной массы на отдельно стоящую опору Fb,j, МН, следует определять по формуле
где Rb,j - нормативное сопротивление зажорной массы смятию, МПа, определяемое по данным натурных наблюдений; при их отсутствии принимается равным 0,12 МПа;
hj - расчетная толщина зажора, м, определяемая по данным натурных наблюдений; при их отсутствии принимается равной 0,8 от средней глубины потока при расходе воды зажорного периода;
m,
b - обозначения см. в
7.8.
Нагрузки от движущегося тороса
7.29 Нагрузка от воздействия движущихся торосов и стамух на сооружения вертикального и откосного

профиля
Fr, МН (рисунок 30), определяется как сумма
Fr = Fu + Fc + Fk, (100)
где Fu - нагрузка от надводной части ледяного образования (паруса), МН;
Fc - нагрузка от консолидированной части ледяного образования, МН;
Fk - нагрузка от подводной части ледяного образования (киля), МН.
1 - надводная часть тороса (парус); 2 - консолидированная
часть тороса; 3 - киль тороса
Рисунок 30 - Расчетная модель тороса в момент наибольшего
воздействия на сооружение
7.30 Нагрузка от надводной части тороса вычисляется по формулам:
а) горизонтальная составляющая нагрузки Fu,h, МН,

(101)
Минстроя России от 15.12.2021 N 944/пр)
б) вертикальная составляющая нагрузки Fu,v, МН,

(102)
где

- плотность льда, кг/м
3;

- пористость ледяного образования, при отсутствии специальных исследований принимается

;
bu - средняя ширина преграды по фронту в зоне действия ледяного образования, м;
cu - сцепление между обломками льда в ледяном образовании, МПа, определяемое по данным испытаний; при их отсутствии принимается cu = 0,003 ... 0,005 МПа;

- угол внутреннего трения ледяного образования, град; при отсутствии специальных исследований следует принимать

;
hu - расчетная высота ледяного образования, определяемая по натурным данным; при их отсутствии hu определяется по формуле

(103)
где ht - толщина льда на момент образования тороса, м, но не более 0,6 м;

и
ku,c - коэффициенты горизонтальной составляющей пассивного давления ледяного образования, вычисляемые по формулам:

(104)

(105)
где

(106)

(107)

(108)
где

- угол трения между льдом и сооружением, град;

(109)
f - коэффициент трения между льдом и сооружением, при отсутствии исследований принимается f = 0,1 - 0,2;

- угол наклона откоса ледяного образования к горизонту, при отсутствии исследований принимается

;

- обозначение см. в
7.9.
Точка приложения равнодействующей нагрузки от надводной части ледяного образования принимается выше уровня воды на 1/3hu, при Fu,v < 0 нагрузка на сооружение направлена вверх.
7.31 Нагрузка от консолидированной части ледяного образования вычисляется по формулам:
а) горизонтальная составляющая нагрузки Fc,h, МН, вычисляется:
- для вертикальных поверхностей по
формуле (52) - для отдельно стоящего сооружения и по
формуле (53) - для секции протяженного сооружения;
- для конических сооружений по
формуле (54) - для отдельно стоящей конической опоры;
- для сооружений откосного профиля по
формуле (56), с заменой величины
hd на
hc - расчетную толщину консолидированной части и умножением значения
Rc на коэффициент
rc - отношение прочностей консолидированной части и ровного льда на сжатие, определяемый по опытным данным; при их отсутствии следует принимать
rc = 0,8, где
hd - обеспеченная толщина ровного льда на момент образования тороса,
Rc - см.
7.4; толщина консолидированной части тороса
hc = (1,8 - 2,0)
hd (приложение Р).
(перечисление "а" в ред.
Изменения N 1, утв. Приказом Минстроя России от 15.12.2021 N 944/пр)
б) вертикальная составляющая нагрузки Fc,v, МН,

(110)
Точка приложения равнодействующей нагрузки от консолидированной части принимается ниже уровня воды на 0,5hc.
7.32 Нагрузка от киля вычисляется по формулам:
а) горизонтальная составляющая нагрузки Fk,h, МН,

(111)
Минстроя России от 15.12.2021 N 944/пр)
б) вертикальная составляющая нагрузки Fr,h, МН,

(112)
где

- пористость (пустотелость) ледяного образования, определяемая по данным испытаний; при их отсутствии принимается

;
hk - расчетная глубина киля ледяного образования, м; при назначении расчетной глубины ледяного образования следует учитывать, что hk/hu = 2 - 6;
bk - средняя ширина преграды по фронту в зоне действия ледяного образования, м;
ck - сцепление (с учетом зацепа) ледяного образования, МПа, определяемое по данным испытаний; при их отсутствии принимается ck = 0,02 - 0,03 МПа;

- угол внутреннего трения ледяного образования, град, определяемый по данным испытаний; при их отсутствии принимается

;
kk - коэффициент горизонтальной составляющей пассивного давления нагромождения обломков льда, вычисляемый по формулам:

(113)
Минстроя России от 15.12.2021 N 944/пр)

(114)
Минстроя России от 15.12.2021 N 944/пр)

- обозначение см. в
7.9.
Нагрузка
Fk,h, определенная по
формуле (111), должна быть не больше нагрузки
Fb,j, определенной по
формуле (99) при замене в ней величин
b и
hj на
bk и
hk соответственно.
Точка приложения равнодействующей нагрузки от подводной части ледяного образования принимается ниже уровня воды на 0,33hk.
Примечание - Нагрузка на сооружение вертикального профиля определяется при

.
Нагрузки от движущегося айсберга
7.33 - 7.35 Исключены с 16.01.2022. -
Изменение N 1, утв. Приказом Минстроя России от 15.12.2021 N 944/пр.
ЭЛЕМЕНТЫ ВОЛН НА ОТКРЫТЫХ И ОГРАЖДЕННЫХ АКВАТОРИЯХ
А.1 Элементы ветра над поверхностью водоемов должны определяться путем численного прогноза на основе результатов статистической обработки барических полей с помощью вероятностного моделирования и с учетом натурных данных.
А.2 Элементы течений по глубине водоемов должны устанавливаться путем гидродинамического и вероятностного моделирования с учетом элементов приливных и стоковых течений, а также натурных данных.
А.3 Определение элементов волн на открытых и огражденных акваториях следует проводить согласно
А.6 -
А.20.
В качестве исходных данных следует использовать карты глубин и данные об элементах ветра, полученные в соответствии с
А.1.
Верификация полученных значений элементов волн проводится на основе данных измерений, выполненных в натурных условиях.
А.4 Трансформацию волн на течении следует учитывать с помощью апробированных методов расчета.
А.5 Определение характеристик волнения на основе гидродинамического и вероятностного моделирования должно выполняться с использованием спектрально-дискретных или спектрально-параметрических моделей.
Верификацию результатов гидродинамического моделирования рекомендуется проводить по результатам измерений характеристик волнения в натурных условиях или на физических моделях.
Элементы волн в глубоководной зоне
А.6 Средняя высота

, м, и средний период волн

, с, в глубоководной зоне должны определяться по расчетной (анемометрической) скорости ветра
Vw по верхней огибающей кривой рисунка А.1. По значениям безразмерных параметров
gt/Vw и

, и верхней огибающей кривой следует определять значения

и

и по меньшему из них принять среднюю высоту и средний период волн.
Рисунок А.1 - Графики для определения элементов ветровых
волн в глубоководной и мелководной зонах
Минстроя России от 15.12.2021 N 944/пр)
Длину разгона волны L, м, следует определять по картографическому материалу с учетом направления ветра.
Значения длины предельного разгона Lu, м, принимаются по таблице А.1 для заданной расчетной скорости ветра Vw, м.
Таблица А.1
Скорость ветра Vw, м/с | 20 | 25 | 30 | 40 | 50 |
Значения длины предельного разгона Lu·10-3, м | 1600 | 1200 | 600 | 200 | 100 |
Среднюю длину волн

, м, при известном значении
T следует определять по формуле

(А.1)
Примечание - При переменных скоростях ветра вдоль разгона волн следует принимать hd по результатам последовательного определения высоты волны для участков с постоянными значениями скорости ветра.
А.7 Высоту волны
i%-ной обеспеченности в системе
hdi, м, следует определять умножением средней высоты волн на коэффициент
ki, принимаемый по графикам рисунка А.2 для безразмерной величины
. При сложной конфигурации береговой черты значение

должно приниматься по величине

и верхней огибающей кривой
рисунка А.1.
Рисунок А.2 - Графики значений коэффициента ki
Элементы волн с обеспеченностью по режиму 1%; 2%; 4% необходимо принимать по функциям распределения, определяемым по натурным данным.
А.8 При сложной конфигурации подветренной береговой линии средняя высота волн hd, м, определяется по формуле

(А.2)
где

, м (при
n = 1; +/- 2; +/- 3; +/- 4) - средние высоты волн, которые должны приниматься согласно
рисунку А.1 по расчетной скорости ветра
Vw и проекциям лучей
Ln, м, на направление главного луча, совпадающего с направлением ветра. Лучи проводятся из расчетной точки до пересечения с линией берега с интервалом +/- 22,5° от главного луча.
При наличии перед расчетным створом большого числа препятствий в виде островов с угловыми размерами менее +/- 22,5° и суммой угловых размеров более 22,5° среднюю высоту волн

, м, в секторе
n следует определять по формуле

(А.3)
где

,
vnj - соответственно угловые размеры
i-го препятствия и
j-го промежутка между соседними препятствиями, отнесенные к углу 22,5° (
i = 1, 2, 3, ...,
kn;
j = 1, 2, 3, ...,
ln) в пределах
n-го сектора, назначаемого в интервале +/- 11,25° от направления луча.
Средние высоты волн

,

, м, следует определять по
рисунку А.1 по расчетной скорости ветра и разгону
L, равному проекциям лучей
Lni и
Lnj, м, на направление ветра. Лучи
Lni и
Lnj равны соответственно расстоянию от расчетной точки до пересечения с
i-м препятствием или подветренным берегом в
j-м промежутке.
Средний период волн определяется по безразмерному параметру

, который принимается согласно
рисунку А.1 при известном значении

. Среднюю длину волн следует определять по
формуле (А.1).
Примечание - Конфигурация береговой черты принимается сложной, если Lmax/Lmin >= 2, где Lmax и Lmin - наибольший и наименьший лучи, проведенные из расчетной точки в секторе +/- 45° от направления ветра до пересечения с подветренным берегом.
А.9 Превышение вершины волны над расчетным уровнем

, м, определяется по безразмерному параметру

(рисунок А.3) для данного значения

при

.
Рисунок А.3 - Графики для определения значений 
в мелководной и
в прибойной зонах
А.10 Период пика спектра Tp для спектральной плотности JONSWAP связан со средним периодом волн соотношением:

(А.4)
где

- параметр пиковатости спектра
JONSWAP.
А.11 Максимальная высота волны hmax, м, для шторма длительностью t, с, определяется по формуле

(А.5)
где

- среднее число волн за период
t,
hS =
h13% - значительная высота волн.
Элементы волн в мелководной зоне
А.12 Высоту волн
i%-ной обеспеченности
hi, м, в мелководной зоне с уклонами дна 0,002 и более следует определять по формуле

(А.6)
где kt - коэффициент трансформации;
kr - коэффициент рефракции;
kl - обобщенный коэффициент потерь;
ki - коэффициент обеспеченности волн в системе.
Коэффициенты
kt,
kr и
kl следует определять по
А.13.
Длина волн, перемещающихся из глубоководной зоны в мелководную, определяется по
рисунку А.4 при заданных значениях безразмерных параметров

и
. Период волн принимается равным периоду волн в глубоководной зоне.
Превышение вершины волны над расчетным уровнем

, м, следует определять по
рисунку А.3 для безразмерных параметров

и
.
Рисунок А.4 - Графики для определения значений 
в мелководной и
в прибойной зонах
А.13 Коэффициент трансформации
kt следует принимать по графику 1
рисунка А.5. Коэффициент рефракции
kr должен определяться по формуле

(А.7)
где ad - расстояние между смежными волновыми лучами в глубоководной зоне, м;
a - расстояние между теми же лучами по линии, проходящей через заданную точку мелководной зоны, м.
Рисунок А.5 - Графики для определения значений: коэффициента
kt (1) и параметра
(2)
Лучи волн на плане рефракции в глубоководной зоне необходимо принимать по заданному направлению распространения волн, а в мелководной зоне их следует продолжать в соответствии со схемой А.6, а и графиками рисунка А.6, б согласно штриховой линии со стрелками.
Рисунок А.6 - Схема (а) и графики (б) для построения
плана рефракции
Обобщенный коэффициент потерь
kl должен определяться по заданным значениям параметра

и уклону дна
i (таблица А.2); при уклонах дна 0,03 и более следует принимать значение обобщенного коэффициента потерь равным единице.
Примечание - При сложной конфигурации дна и частичной защищенности акватории значение коэффициента kr следует принимать по результатам определения коэффициентов рефракции для волновых лучей, проводимых из расчетной точки в направлениях через 22,5° от главного луча.
Таблица А.2
Относительная глубина  | Значения коэффициента kl при уклонах дна i |
0,025 | 0,02 ... 0,002 |
0,01 | 0,82 | 0,66 |
0,02 | 0,85 | 0,72 |
0,03 | 0,87 | 0,76 |
0,04 | 0,89 | 0,78 |
0,06 | 0,9 | 0,81 |
0,08 | 0,92 | 0,84 |
0,1 | 0,93 | 0,86 |
0,2 | 0,96 | 0,92 |
0,3 | 0,98 | 0,95 |
0,4 | 0,99 | 0,98 |
0,5 и более | 1 | 1 |
А.14 Среднюю высоту и средний период волн в мелководной зоне с уклонами дна 0,001 и менее необходимо определять по графикам
рисунка А.1. По безразмерным параметрам

и

принимаются значения

и

и по ним определяются

и
.
Высоту волны
i%-ной обеспеченности в системе следует определять умножением средней высоты волн на коэффициент
ki, принимаемый по графикам
рисунка А.2. По безразмерным параметрам

и

определяются значения коэффициента
ki, из которых принимается наименьшее.
Среднюю длину волн

при известном значении среднего периода

следует определять в соответствии с
А.6.
Превышение вершины волны над расчетным уровнем должно определяться по
рисунку А.3.
Примечание - Элементы волн, перемещающихся из мелководной зоны с уклонами дна 0,001 и менее в зону с уклонами дна 0,002 и более, должны определяться согласно
А.12 и
А.13, при этом высота исходной средней высоты принимается
.
А.15 Учет переменных глубин вдоль линии разгона в мелководной зоне при уклонах дна 0,001 и менее производят следующим образом.
Профиль дна вдоль линии разгона, начиная от подветренного берега, разбивают на участки длиной
Lj с примерно одинаковым уклоном в пределах каждого участка. В конце первого участка для безразмерных величин

и

определяют среднюю высоту волн

по
А.14. На каждом последующем участке по графикам на
рисунке А.1 для безразмерных величин

и

(

- средняя высота волн в начале
j-го участка;
dj - глубина воды в конце
j-го участка) определяют условный разгон
Lэкв,j-1. Далее в конце
j-го участка для безразмерных величин

и

определяется средняя высота волн

по
рисунку А.1. Указанный процесс применяется вдоль всей линии разгона волны.
Элементы волн в прибойной зоне
А.16 Высоту волн в прибойной зоне
hsur1%, м, следует определять для заданных уклонов дна
i по графикам 2
рисунка А.5: по безразмерной величине

находится значение

и по нему определяется
hsur1%.
Длину волны в прибойной зоне

, м, следует определять по верхней огибающей кривой
рисунка А.4, превышение вершины волны над расчетным уровнем

, - по верхней огибающей кривой
рисунка А.3.
А.17 Критическая глубина
dcr, м, при первом обрушении волн должна определяться для заданных уклонов дна
i по графикам 2
рисунка А.5 методом последовательных приближений. По ряду задаваемых значений глубин
d в соответствии с
А.12 и
А.13 определяются величины

и по графикам 2
рисунка А.5 - соответствующие им значения

, из которых принимается
dcr, численно совпадающее с одной из задаваемых глубин
d.
А.18 Критическую глубину, соответствующую последнему обрушению волн dcr,u при постоянном уклоне дна, следует определять по формуле

(А.8)
где ku - коэффициент, принимаемый по таблице А.3;
n - число обрушений (включая первое), принимаемое из ряда
n = 2, 3 и 4 при выполнении неравенств

и

.
Таблица А.3
Уклон дна i | 0,01 | 0,015 | 0,02 | 0,025 | 0,03 | 0,035 | 0,04 | 0,045 | 0,05 |
Коэффициент ku | 0,75 | 0,63 | 0,56 | 0,5 | 0,45 | 0,42 | 0,4 | 0,37 | 0,35 |
При определении глубины последнего обрушения dcr,u коэффициент ku или произведение коэффициентов должен приниматься не менее 0,35.
При уклонах дна более 0,05 следует принимать значение критической глубины dcr = dcr,u.
Примечание - При переменных уклонах дна глубина dcr,u принимается по результатам последовательного определения критических глубин для участков дна с постоянными уклонами.
Элементы волн на огражденной акватории
А.19 Высоту дифрагированной волны hdif, м, на огражденной акватории следует определять по формуле
hdif = kdifhi, (А.9)
где
hdif - коэффициент дифракции волн, определяемый согласно А.20,
А.21 и
А.22;
hi - высота исходной волны i%-ной обеспеченности.
В качестве расчетной длины используется исходная длина

на входе в акваторию.
А.20 Коэффициент дифракции волн
kdif,s для акватории, огражденной одиночным молом (при заданном значении угла

, град, относительном расстоянии от головы мола до точки в расчетном створе
kdif и значении угла
, град), следует принимать в соответствии со схемой и графиками рисунка А.7 (штриховая линия со стрелками).
Рисунок А.7 - Графики для определения значений
коэффициента kdif,s
А.21 Коэффициент дифракции волн
kdif,c на акватории, огражденной сходящимися молами, определяется по формуле

(А.10)
где

- коэффициент, принимаемый по рисунку А.8 для определенных значений
dc и
kdif,cp.
Рисунок А.8 - Графики значений коэффициента 
Значение dc определяется по формуле

(А.11)
где l1 и l2 - расстояния от границ волновой тени (ГВТ) до границ дифракции волн (ГДВ), принимаемые в соответствии со схемой и графиками рисунка А.9 (штриховая линии со стрелками);
b - ширина входа в порт, м, принимаемая равной проекции расстояния между головами молов на фронт исходной волны.
Рисунок А.9 - Схема (а) и графики (б) для определения
значений l и la
Значение коэффициента
kdif,cp определяется так же, как и
kdif,s согласно
А.20 для точки пересечения главного луча с фронтом волн в расчетном створе.
Положение главного луча на схеме рисунка А.9,
а необходимо принимать по точкам, расположенным от границы волновой тени (ГВТ) мола с меньшим углом

, град, на расстояниях
x, м, определяемых по формуле

(А.12)
где
la1 и
la2 - величины, значения которых принимают в соответствии со схемой и графиками
рисунка А.9.
А.22 Коэффициент дифракции волн
kdif,b для акватории, огражденной волноломом, должен определяться по формуле

(А.13)
где
kdif,s1 и
kdif,s2 - коэффициенты дифракции волн, определяемые для головных участков волнолома согласно
А.20.
А.23 Высоту дифрагированной волны с учетом отражения ее от сооружений и преград hdif,r, м, в данной точке огражденной акватории необходимо определять по формуле
kdif,r = (kdif + kref)hi, (А.14)
где

(А.15)
kdif,s - коэффициент дифракции волн в створе отражающей поверхности, определяемый согласно
А.20,
А.21 и
А.22;
kr и
kp - коэффициенты, определяемые по
таблице Д.1 приложения Д;

- угол между фронтом волны и отражающей поверхностью, град;
- относительное расстояние от отражающей поверхности до расчетной точки по лучу отраженной волны, при этом направление луча отраженной волны должно приниматься из условия равенства углов подхода и отражения волн;
kref,i - коэффициент отражения, принимаемый по таблице А.4; при угле наклона отражающей поверхности к горизонту более 45° следует принимать коэффициент отражения kref,i = 1.
Примечание - Высоту волны на огражденной акватории с меняющимися глубинами следует уточнять согласно
А.12 и
А.13.
Таблица А.4
Пологость волны  | Значения kref,i при уклонах отражающей поверхности i |
1 | 0,5 | 0,25 |
10 | 0,5 | 0,02 | 0,0 |
15 | 0,8 | 0,15 | 0,0 |
20 | 1 | 0,5 | 0,0 |
30 | 1 | 0,7 | 0,05 |
40 | 1 | 0,9 | 0,18 |
ОПРЕДЕЛЕНИЕ ВЫСОТЫ ВЕТРОВОГО НАГОНА
Б.1 Высота ветрового нагона

, м, при постоянной глубине
d акватории и без учета конфигурации береговой линии определяется по формуле

(Б.1)
или

(Б.1а)
где

- угол между продольной осью водоема и направлением ветра, град;
Vw - расчетная скорость ветра, м2/с;
L - длина разгона, м;
kw - коэффициент, определяемый по формуле

(Б.2)
v - коэффициент кинематический вязкости воздуха; при g = 9,81 м/с2 и v = 10-5 м2/с;
kw = 3(1 + 0,3Vw)10-7. (Б.2а)
Б.2 Высота волнового нагона

, м, в прибойной зоне определяется по формуле, рекомендуемой
[3]

(Б.3)
где hsur - расчетная высота волны по линии первого обрушения, м;
- средний период волны.
Так как параметры волн ограничиваются предельно возможной их крутизной

, предел высоты ветрового нагона

составляет

.
ОЦЕНКА УСТОЙЧИВОСТИ ГРУНТА, ПОДВЕРЖЕННОГО ГИДРОДИНАМИЧЕСКОМУ
ВОЗДЕЙСТВИЮ (ВОЛНЫ, ТЕЧЕНИЕ)
В.1 Устойчивость грунта, слагающего дно акватории вблизи сооружения, подверженного волновому воздействию, оценивается сравнением максимальной придонной скорости
Vb,max (
5.18,
5.20,
5.30) или
Vf,max (5.19) со значением допускаемой придонной скорости
Vb,adm.
Значение
Vb,adm, м/с, для грунта крупностью фракций
D <= 100 мм следует принимать по
рисунку В.1, а для грунта крупностью фракций
D > 100 мм - по формуле

(В.1)
где
- плотность материала грунта, т/м
3;

- плотность воды, т/м
3.
Рисунок В.1 - График допускаемых значений скоростей
При Vb,max > Vb,adm или Vf,max > Vb,adm следует учитывать возможность размыва дна акватории у основания сооружения и при необходимости предусматривать мероприятия по защите от размыва и подмыва основания сооружения.
В.2 При назначении крупности крепления камнем дна акватории или поверхности насыпей (берм) следует производить проверку устойчивости материала крепления по
формуле (В.1) и графику рисунка В.1.
В.3 При креплении откосов, подверженных волновому воздействию, каменной наброской (горной массой), обыкновенными и фасонными бетонными и железобетонными блоками расчетную массу отдельного элемента m или mz, т, следует определять:
при расположении камня или блока на участке откоса от верха сооружения до глубины z = 0,7h по формуле

(В.2)
то же, при z > 0,7h по формуле

(В.3)
где
kfr - коэффициент, принимаемый по таблице В.1; при

, а также при сложном профиле численное значение коэффициента
kfr следует уточнять по данным экспериментов на гидравлической модели;

- плотность материала крепления, т/м
3.
Таблица В.1
Элементы крепления | Коэффициент kfr |
при наброске | при укладке |
Камень | 0,025 | - |
Обыкновенные бетонные блоки | 0,021 | - |
Тетраподы и другие фасонные блоки | 0,008 | 0,006 |
В.4 Крепление откосов несортированной каменной наброской (горной массой) выполняется при высоте волны не более 3,0 м, если пологость откоса

, и не более 3,5 м при

. Несортированную каменную наброску следует считать пригодной для крепления откоса, если она характеризуется значениями коэффициента
kgr зернового состава, соответствующими заштрихованной зоне на рисунке В.2.
Рисунок В.2 - График для определения допустимого зернового
состава несортированной каменной наброски
для крепления откосов
Значение коэффициента kgr должно определяться для каждой фракции наброски по формуле

(В.4)
где m - расчетная масса, т, камня крепления;
mi - средняя масса, т, камня i-й фракции наброски;
D и Di - приведенные диаметры, м, элементов каменной наброски, т.е. диаметры шара, объем которого равен среднестатистическому объему частиц массой соответственно m и mi:

(В.5)
При откосах, пологость которых находится в пределах

, расчетное значение массы
m следует определять по
формулам (В.2) и
(В.3).
В.5 При пологости откосов

, укрепляемых несортированной разнозернистой каменной наброской, расчетную массу камня
m, т, соответствующую состоянию его предельного равновесия от действия ветровых волн, необходимо определять по
формуле (В.2) при

с умножением полученных результатов на коэффициент

.
Минимальное содержание фракций размером Di >= D должно приниматься в соответствии с таблицей В.2.
Таблица В.2
Коэффициент разнозернистости D60/D10 | 5 | 10 | 20 | 40 - 100 |
Минимальное содержание, % (по весу), фракций размером Di >= D | 50 | 30 | 25 | 20 |
В.6 При пологости откосов

, укрепляемых несортированной разнозернистой каменной наброской, расчетную массу камня
m, т, необходимо определять на основе экспериментальных исследований.
В.7 При совместном воздействии волн и течений, совпадающих по направлению, суммарное среднее по времени значение касательного напряжения на поверхность дна необходимо определять (при

) по формуле

(В.6)
где

- касательное напряжение на дно от воздействия течения, кПа;

- среднее по времени касательное напряжение от воздействия волн, кПа (см.
5.18, формула (4));
U - средняя по глубине скорость течения, м/с;
C - коэффициент Шези, м1/2/с.
При наличии угла между направлением волн и направлением течения суммарное среднее по времени касательное напряжение на поверхность дна должно вычисляться как векторная сумма касательных напряжений от волн и течений с учетом направлений.
В.8 При проектировании статических и/или динамически устойчивых креплений дна у обтекаемых преград с помощью каменной наброски в случае совместного воздействия волн и течений

применяется концепция критических касательных напряжений, согласно которой крупность защитного слоя
D50, м, определяется по формуле

(В.7)
где

- критическое значение числа Шильдса. При проектировании статически устойчивой защиты от размывов, для которой ее возможные деформации затрагивают верхний слой защитного камня на глубину не более чем
D50 значение

принимается в диапазоне 0,03 - 0,035.
При устройстве вблизи обтекаемых преград (сооружений) динамически устойчивого крепления, которое может деформироваться на большую, чем
D50, глубину, не теряя при этом своей основной функции - защиты дна от размывов в течение заданного срока службы сооружения, значение

следует принимать равным 0,05 - 0,055. Кроме того, должны дополнительно разрабатываться критерии допустимой деформации крепления, превышение которой приводит к нарушению его защитных свойств.
В.9 При выполнении экспериментальных исследований креплений дна у обтекаемых преград следует обеспечивать: воспроизведение нерегулярного волнения с заданным спектром; правильный учет масштабных эффектов.
ОПРЕДЕЛЕНИЕ ВОЛНОВОЙ НАГРУЗКИ НА ВЕРТИКАЛЬНЫЕ СТЕНЫ
Г.1 При действии стоячей волны на вертикальную стену необходимо предусматривать
(5.14) три случая определения возвышения или понижения свободной волновой поверхности

, м, у вертикальной стены:
а)
- при наибольшем значении отметки волновой поверхности у стены;
б)

- при максимальном значении горизонтальной волновой нагрузки
Pxc, кН/м, на стену;
в)
- при минимальном значении отметки волновой поверхности у стены.
Численные значения входящих коэффициентов

,

,

определяются по графикам рисунка Г.1.
1 - граница разрушения стоячих волн
Г.2 Горизонтальную нагрузку на вертикальную стену
Px, кН/м, при воздействии стоячей волны для
случаев "б" и
"в", указанных в
Г.1, следует принимать по эпюре волнового давления; при этом ординаты эпюры волнового давления
p, кПа, на глубине
z, м, следует определять по формулам таблицы Г.1, а численные значения входящих в них коэффициентов
k2,
k3,
k4,
k5,
k8 и
k9 - по графикам
рисунка Г.2.
Таблица Г.1
Номер точки | Заглубление точек z, м | Значение волнового давления p, кПа |
Отметка волновой поверхности  |
1 | | p1 = 0 |
2 | 0 | |
3 | 0,25d | |
4 | 0,5d | |
5 | d | |
Отметка волновой поверхности  |
6 | 0 | p6 = 0 |
7 | | |
8 | 0,5d | |
9 | d | |
1 - граница разрушения стоячих волн
Рисунок Г.2 - Графики значений коэффициентов
k2, k3, k4, k5, k8 и k9
Г.3 Волновое давление
p, кПа, на вертикальную стену с возвышением над расчетным уровнем верха сооружения
zsup, м, менее чем на
, м, следует определять согласно
Г.2 с последующим умножением полученных значений давления на коэффициент
kc, определяемый по формуле

(Г.1)
где знаки "плюс" и "минус" соответствуют положению верха сооружения выше или ниже расчетного уровня воды.
Возвышение или понижение свободной волновой поверхности

определенное по
Г.1, следует умножать на коэффициент
kc.
Горизонтальная линейная волновая нагрузка Pxc, кН/м, в рассматриваемом случае должна определяться по площади эпюры волнового давления в пределах высоты вертикальной стены.
Г.4 Горизонтальную нагрузку от дифрагированных волн со стороны огражденной акватории следует определять при относительной длине секции сооружения

; при этом расчетную эпюру волнового давления со значениями
p, кПа, допускается выполнять по трем точкам, рассматривая следующие случаи:
а) вершина волны совмещена с серединой секции сооружения (
5.16, рисунок 4,
а):
p1 = 0; (Г.2)
z2 = 0,

(Г.3)
z3 =
df,

(Г.4)
б) подошва волны совмещена с серединой секции сооружения (
5.16, рисунок 4,
б):
z1 = 0, p1 = 0; (Г.5)

(Г.6)
z3 =
df,

(Г.7)
где
hdif - высота дифрагированной волны, м, определяемая согласно
приложению А;
kl - коэффициент, принимаемый по таблице Г.2.
Таблица Г.2
Относительная длина секции  | 0,1 | 0,2 | 0,3 | 0,4 | 0,5 | 0,6 | 0,7 | 0,8 |
Коэффициент kl | 0,98 | 0,92 | 0,85 | 0,76 | 0,64 | 0,51 | 0,38 | 0,26 |
Примечание - При глубине со стороны огражденной акватории  следует строить треугольную эпюру волнового давления, принимая на глубине  волновое давление равным нулю (5.16, рисунок 4). |
Г.5 Эпюра взвешивающего волнового давления на берменные массивы должна приниматься трапецеидальной (
рисунок 2,
б) с ординатами
pbr,i, кПа, определяемыми (при
i = 1, 2 или 3) по формуле

(Г.8)
где xi - расстояние от стены до соответствующей грани массива, м;
kbr - коэффициент, принимаемый по таблице Г.3;
pf - волновое давление на уровне подошвы сооружения.
Таблица Г.3
Относительная глубина  | Коэффициент kbr при пологостях волн  |
15 и менее | 20 и более |
Менее 0,27 | 0,86 | 0,64 |
От 0,27 до 0,32 | 0,6 | 0,44 |
Более 0,32 | 0,3 | 0,3 |
ОПРЕДЕЛЕНИЕ ВЫСОТЫ НАКАТА ВОЛН НА ОТКОС
Д.1 Высоту наката волн на откос
hrun, м, рекомендуется определять по формуле

(Д.1)
где
kr,
kp - коэффициенты шероховатости и проницаемости откоса, принимаемые по
таблице Д.1;
krun - коэффициент, зависящий от глубины воды
d перед сооружением и пологости волны

и принимаемый по графикам
рисунка Д.1. Значения параметра

, указанные без скобок, относятся к случаю
dh >= 2
h1%. При глубине перед сооружением
d < 2
h1% коэффициент
krun следует принимать по значению

, соответствующему глубине
d = 2
h1% при значениях параметра

, указанному на
рисунке Д.1 в скобках;
ki - коэффициент обеспеченности по накату, принимаемый по
таблице Д.3;
- коэффициент, принимаемый по
таблице Д.4 в зависимости от угла

между урезом воды и фронтом волны;
h1% - высота волн обеспеченностью 1% в системе.
Примечание - При определении высоты наката волн на песчаные и гравийно-галечниковые пляжи необходимо учитывать изменение уклона пляжа во время шторма. Наибольшее понижение пляжа на линии уреза воды следует принимать равным 0,3h, м, с выклиниванием на нулевые значения на берегу до высоты наибольшего наката, а в подводной части до глубины d = dcr, для размываемых грунтов или на глубине d = dcr,u, - для неразмываемых грунтов (где h, dcr и dcr,u - соответственно высота волны и глубина воды в створах первого и последнего обрушений, м).
Конструкция крепления откоса | Относительная шероховатость r/h1% | Коэффициент kr | Коэффициент kp |
Бетонные (железобетонные) плиты | - | 1 | 0,9 |
Гравийно-галечниковое или каменное покрытие, бетонные (железобетонные) блоки | Менее 0,002 | 1 | 0,9 |
| 0,005 - 0,01 | 0,95 | 0,85 |
| 0,02 | 0,9 | 0,8 |
| 0,05 | 0,8 | 0,7 |
| 0,1 | 0,75 | 0,6 |
| Более 0,2 | 0,7 | 0,5 |
Примечание - Характерный размер шероховатости r, м, следует принимать равным среднему диаметру зерен материала крепления откоса или среднему размеру бетонных (железобетонных) блоков. |
Значение  | 1 - 2 | 3 - 5 | более 5 |
Коэффициент ksp при скорости ветра Vw, м/с: | | | |
20 и более | 1,4 | 1,5 | 1,6 |
10 | 1,1 | 1,1 | 1,2 |
5 и менее | 1 | 0,8 | 0,6 |
Обозначение:  - угол наклона откоса к горизонту, град. |
Обеспеченность по накату i, % | 0,1 | 1 | 2 | 5 | 10 | 30 | 50 |
Коэффициент ki | 1,1 | 1 | 0,96 | 0,91 | 0,86 | 0,76 | 0,68 |
Значение угла  | 0° | 10° | 20° | 30° | 40° | 50° | 60° |
Коэффициент  | 1 | 0,98 | 0,96 | 0,92 | 0,87 | 0,82 | 0,76 |
Рисунок Д.1 - Графики значений коэффициента krun
Д.2 Волновое давление на откос при

, укрепленный монолитными или сборными плитами, определяется эпюрой
(рисунок Д.2), в которой максимальное расчетное волновое давление
pd, кПа, равно

(Д.2)
где
ks и
kf - коэффициенты, зависящие от пологости волны

и угла заложения откоса

, определяются по формулам:

(Д.3)

(Д.4)
prel - максимальное относительное волновое давление в точке 2 (рисунок Д.2), определяемое при h < 4 м по формуле

(Д.5)
при h >= 4 м prel = 1,7.
Рисунок Д.2 - Эпюра максимального расчетного волнового
давления на откос, укрепленный плитами
Ордината z2, м, точки 2 (рисунок Д.2) приложения максимального расчетного волнового давления pd определяется по формуле

(Д.6)
где A и B - параметры, м, значения которых определяются по зависимостям:

(Д.7)

(Д.8)
Ордината
z3, м, соответствующая высоте наката волн на откос, принимается согласно
Д.1.
На участках крепления по откосу выше и ниже точки 2 (см.
рисунок Д.2) значения ординат эпюры волнового давления
p, кПа, принимаются на расстояниях, м:
при

и
p = 0,4
pd;
при

и
p = 0,1
pd,
где

(Д.9)
Ординаты эпюры волнового противодавления pc, кПа, на плиты крепления откосов определяются по формуле

(Д.10)
где pc,rel - относительное волновое противодавление, принимаемое по графикам рисунка Д.3.
Рисунок Д.3 - Графики для определения относительного
волнового противодавления
НАГРУЗКИ ОТ ВОЛН НА ОБТЕКАЕМЫЕ ПРЕГРАДЫ
И СКВОЗНЫЕ СООРУЖЕНИЯ
Нагрузки от волн на вертикальную обтекаемую преграду
Е.1 Максимальная сила воздействия волн
Qmax, кН, на вертикальную обтекаемую преграду с поперечными размерами

и

(
рисунок 8,
а) при глубине
d >
dcr определяется из ряда значений, получаемых при различных удалениях

вершины волны от преграды, по формуле

(Е.1)
где Qi,max и Qv,max - соответственно инерционный и скоростной компоненты силы воздействия волн, кН, определяются по формулам:

(Е.2)

(Е.3)

и

- коэффициенты сочетания инерционного и скоростного компонентов максимальной силы от воздействия волн, принимаемые соответственно по графикам 1 и 2
рисунка Е.1;
h и

- высота и длина расчетной волны;
a - размер преграды по лучу волны, м;
b - размер преграды по фронту волны, м;
kv - коэффициент перехода от действительных значений скорости и ускорения волнового потока, воздействующего на преграду, к их средним значениям
(таблица Е.1);

и

- инерционный и скоростной коэффициенты глубины, принимаемые соответственно по графикам
а и
б рисунка Е.2;

и

- инерционный и скоростной коэффициенты формы преграды с поперечным сечением в виде круга, эллипса и прямоугольника, принимаемые по графикам
рисунка Е.3.
Примечания
1 Расчет сквозных сооружений или отдельно стоящих обтекаемых преград на нагрузки от волн должен производиться с учетом шероховатости их поверхности. При наличии данных испытаний по влиянию коррозии и морских обрастаний на сопротивление обтекаемых преград коэффициенты формы определяются по формулам:

(Е.4)

(Е.5)
где Ci и Cv - уточненные опытные значения коэффициентов инерционного и скоростного сопротивлений.
2 При подходе волн под углом к обтекаемой преграде (в виде эллипса или прямоугольника) коэффициенты формы определяются интерполяцией между их значениями по главным осям.
3 Максимальная сила воздействия волн
Qmax, кН, на вертикальную обтекаемую преграду при значении

принимается
Qmax =
Qi,max, а при значении

. В других случаях
Qmax следует определять из ряда значений, полученных по
формуле (Е.1) при различных

.
| | ИС МЕГАНОРМ: примечание. Цифровые значения в таблице даны в соответствии с официальным текстом документа. | |
| 00,05 | 00,1 | 00,15 | 00,2 | 00,25 | 00,3 | 00,4 |
Коэффициент kv | 11 | 00,97 | 00,93 | 00,86 | 00,79 | 00,7 | 00,52 |
Рисунок Е.1 - Графики значений коэффициентов сочетания
инерционного
(графики 1) и скоростного
(графики 2)
компонентов силы от воздействия волн
Рисунок Е.2 - Графики значений инерционного 
и скоростного
коэффициентов глубины
Эллиптические преграды - сплошные линии;
призматические - штриховые линии: 1 - шероховатая
эллиптическая преграда; 2 - гладкая эллиптическая преграда;
3 - шероховатая в подводной части и гладкая в надводной
части вертикальная эллиптическая преграда
Рисунок Е.3 - Графики значений инерционного 
и скоростного
коэффициентов формы
в зависимости от a/b (для Q, q и Px)
или b/a (для Pz)
Е.2 Нагрузку от волн
q, кН/м, на вертикальную обтекаемую преграду на глубине
z, м, при максимальной силе от воздействия волн
Qmax (
рисунок 8,
а) следует определять по формуле

(Е.6)
где qi,max и qv,max - инерционный и скоростной компоненты максимальной нагрузки от волн, кН/м, определяемые по формулам:

(Е.7)

(Е.8)

и

- коэффициенты сочетания инерционного и скоростного компонентов нагрузки от волн, принимаемые соответственно по графикам
1 и
2 рисунка Е.4 при значении

согласно
Е.1;

и
- коэффициенты компонентов волновой нагрузки, принимаемые по графикам
а и
б рисунка Е.5 при значениях относительной глубины

.
Рисунок Е.4 - Графики значений коэффициентов сочетания
инерционного
(графики 1) и скоростного
(графики 2)
компонентов горизонтальной нагрузки от волн
Рисунок Е.5 - Графики коэффициентов нагрузки
3) 0,2; 4) 0,3; 5) 0,5; 6) 1; 7) 5;
- сплошные линии;
- штриховые линии
Е.3 Превышение взволнованной поверхности

, м, над расчетным уровнем должно определяться по формуле

(Е.9)
где
- относительное превышение взволнованной поверхности, определяемое по
рисунку Е.6.
Превышение средней волновой линии над расчетным уровнем

, м, следует определять по формуле

(Е.10)
где

- относительное превышение вершины волны, определяемое по рисунку Е.6, при значении

.
а также при

и

;
3 - при

и

,
а также при

и

;
4 - при

и

Рисунок Е.6 - Графики значений коэффициента 
Е.4 Нагрузки от волн
Q и
q на вертикальную обтекаемую преграду при любом ее расположении
x, м, относительно вершины волны определяются по
формулам (Е.1) и
(Е.6). При этом коэффициенты

и

должны приниматься по графикам 1 и 2
рисунка Е.1, а

и

- по графикам
1 и
2 рисунка Е.4 для данного значения
.
Е.5 Расстояние
zQ,max, м, от расчетного уровня воды до точки приложения максимальной силы от воздействия волн на вертикальную обтекаемую преграду
Qmax определяется по формуле

(Е.11)
где

и

- коэффициенты, принимаемые по графикам
1 и
2 рисунка Е.1 при значении

, соответствующем
Qmax;
zQ,i и zQ,v - ординаты точек приложения соответственно инерционного и скоростного компонентов сил, м, определяемые по формулам:

(Е.12)

(Е.13)
где

и
- относительные ординаты точек приложения инерционного и скоростного компонентов сил, принимаемые по графикам рисунка Е.7;

и

- инерционный и скоростной коэффициенты фазы, принимаемые по графикам
рисунка Е.8.
Расстояние
zQ от расчетного уровня воды до точки приложения силы
Q при любом удалении
x вершины волны от преграды следует определять по
формуле (Е.11), при этом коэффициенты

и

должны приниматься согласно графикам
1 и
2 рисунка Е.1 для заданного значения
.
1 -

;
2 -

Рисунок Е.7 - Графики значений относительных ординат
Рисунок Е.8 - Графики значений инерционного 
и скоростного
коэффициентов фазы
Е.6 Максимальная сила воздействия разбивающихся (разрушающихся) волн
Qcr,max, кН, на вертикальную цилиндрическую преграду диаметром
D <= 0,4
dcr принимается по результатам определения силы волнового воздействия
Qcr, кН, при различном удалении вершины волны от преграды (
рисунок Е.9,
а). Рекомендуется выполнять последовательное рассмотрение случаев с интервалом

, начиная с

(где
x - удаление, м, вершины разбивающейся волны от оси вертикальной цилиндрической преграды).
Сила воздействия волн Qcr, кН, для любого положения цилиндрической преграды относительно вершины волны должна определяться по формуле
Qcr = Qi,cr + Qv,cr, (Е.14)
где Qi,cr и Qv,cr - инерционный и скоростной компоненты силы от воздействия разбивающихся волн, кН:

(Е.15)

(Е.16)
где
dt - глубина воды под подошвой волны, м, (
рисунок Е.9,
а):

(Е.17)
hsur - высота (трансформированной) волны, м, при обрушении в мелководной зоне с соблюдением условия hsur <= 0,8dt;

- превышение, м, над расчетным уровнем воды вершины волны при первом обрушении;

и

- инерционный и скоростной коэффициенты, принимаемые по графикам
рисунка Е.9,
б.
Е.7 Нагрузку от разбивающихся волн
qcr, кН/м, на вертикальную цилиндрическую преграду на глубине
z, м, от расчетного уровня (
рисунок Е.9,
а) при относительном удалении оси преграды от вершины волны
x/dt необходимо определять по формуле
qcr = qi,cr + qv,cr, (Е.18)
где qi,cr и qv,cr - инерционный и скоростной компоненты нагрузки от разбивающихся волн на вертикальную преграду, кН/м:

(Е.19)

(Е.20)
где

и
- инерционный и скоростной коэффициенты, принимаемые соответственно по графикам
а и б рисунка Е.10 при значениях относительной глубины

.
Примечание - Коэффициенты

(рисунок Е.9,
б) и

(
рисунок Е.10,
а) следует принимать положительными при
x/
dt > 0 и отрицательными при
x/dt < 0.
Рисунок Е.9 - Схема к определению нагрузок
от разбивающихся волн и графики значений коэффициентов
- кривая 1 и
- кривая 2
Рисунок Е.10 - Графики значений инерционного 
и скоростного
коэффициентов
Е.8 Максимальный опрокидывающий момент Mz,por, кН·м, от волнового давления на сплошное днище вертикальной круглоцилиндрической преграды, расположенной на гравийно-галечниковом или каменнонабросном основании, относительно центра днища следует определять по формуле

(Е.21)
где

- коэффициент опрокидывающего момента с учетом проницаемости основания, принимаемый по таблице Е.2.
Таблица Е.2
| 0,2 | 0,25 | 0,3 | 0,4 |
| 0,88 | 1,05 | 1,10 | 1,08 |
Полный максимальный опрокидывающий момент, действующий на преграду, определяется как сумма момента от максимальной силы
Qmax, равного произведению этой силы, определяемой по
Е.1, на плечо, определяемое по
Е.5, и максимального момента
Mz,por по
формуле (Е.21), совпадающего по фазе с максимальной силой
Qmax.
Е.9 Волновое давление p, кПа, в точке поверхности вертикальной круглоцилиндрической преграды на глубине z >= 0 в момент максимума горизонтальной силы Qmax определяется по формуле

(Е.22)
где
- коэффициент распределения давления, принимаемый по
таблице Е.3.
Давление p в точках, лежащих выше расчетного уровня воды (z >= 0), принимается:
при

по линейному закону между
p на уровне
z = 0, определяемом по формуле (Е.22), и
p = 0 на уровне

;
при

для точек на глубине

по линейному закону между
p = 0 при
z = 0 и значением
p, определяемым по
формуле (Е.22) при
.
| Значение коэффициента  при  |
0,2 | 0,3 | 0,4 |
0° | 0,73 | 0,85 | 0,86 |
15° | 0,7 | 0,83 | 0,85 |
30° | 0,68 | 0,81 | 0,84 |
45° | 0,6 | 0,74 | 0,8 |
60° | 0,5 | 0,65 | 0,7 |
75° | 0,35 | 0,51 | 0,55 |
90° | 0,22 | 0,34 | 0,34 |
105° | 0,03 | 0,11 | 0,1 |
120° | -0,09 | -0,08 | -0,1 |
135° | -0,23 | -0,23 | -0,23 |
150° | -0,32 | -0,36 | -0,33 |
165° | -0,37 | -0,42 | -0,38 |
180° | -0,41 | -0,45 | -0,4 |
Обозначение: "  " - угол между лучом набегающей волны и направлением на рассматриваемую точку из центра преграды (для передней образующей цилиндра  ). |
Е.10 Максимальную донную скорость
, м/с, в точках, расположенных на контуре преграды (

и 270°) и впереди преграды на расстоянии

от контура преграды

, следует определять по формуле

(Е.23)
где коэффициент

принимается по таблице Е.4.
Таблица Е.4
Положение расчетных точек | Значения коэффициента  при  |
0,2 | 0,3 | 0,4 |
На контуре преграды | 0,98 | 0,87 | 0,77 |
Впереди преграды | 0,67 | 0,75 | 0,75 |
Нагрузки от волн на горизонтальную обтекаемую преграду
Е.11 Максимальное значение равнодействующей нагрузки от волн
Pmax, кН/м, на горизонтальную обтекаемую преграду (
рисунок 8,
б) с поперечными размерами

, м, и
, м, при
zc <=
b, но (
zc - b/2) >
h/2 и при (
d - zc) >=
b должно определяться по формуле

(Е.24)
для двух случаев:
с максимальной горизонтальной составляющей нагрузки Px,max, кН/м, при соответствующем значении вертикальной составляющей нагрузки Pz, кН/м;
с максимальной вертикальной составляющей нагрузки Pz,max, кН/м, при соответствующем значении горизонтальной составляющей линейной Px, кН/м.
Расстояния
x, м, от вершины волны до центра преграды при действии максимальных нагрузок
Px,max и
Pz,max должны определяться по значениям относительной величины
, принимаемым согласно
рисункам Е.4 и Е.11.
Рисунок Е.11 - Графики значений коэффициентов сочетания
инерционного
(графики 1) и скоростного
(графики 2)
компонентов вертикальной нагрузки от волн
Е.12 Максимальное значение горизонтальной составляющей нагрузки от волн
Px,max, кН/м, на горизонтальную обтекаемую преграду определяется из ряда величин, получаемых при различных значениях

, по формуле

(Е.25)
где Pxi и Pxv - инерционный и скоростной компоненты горизонтальной составляющей нагрузки от волн, кН/м, определяемые по формулам:

(Е.26)

(Е.27)

и
- коэффициенты сочетания инерционного и скоростного компонентов нагрузки от волн, принимаемые соответственно по графикам 1 и 2
рисунка Е.4 при значении

согласно
Е.1;

и

- инерционный и скоростной коэффициенты формы преграды с поперечным сечением в виде круга, эллипса и прямоугольника, принимаемые по графикам
рисунка Е.3 при значениях
a/
b - для горизонтальной и
b/
a - для вертикальной составляющих нагрузки.
Е.13 Максимальное значение вертикальной составляющей нагрузки от волн на горизонтальную обтекаемую преграду
Pz,max, кН/м, следует определять из ряда величин, получаемых при разных значениях

по формуле

(Е.28)
где Pzi и Pzv - инерционный и скоростной компоненты вертикальной составляющей нагрузки от волн, кН/м, определяемые по формулам:

(Е.29)

(Е.30)

и

- инерционный и скоростной коэффициенты сочетания, принимаемые по графикам 1 и 2
рисунка Е.11;

и

- коэффициенты компонентов волновой нагрузки, принимаемые соответственно по графикам
в и
г рисунка Е.5 при значениях относительной ординаты

;
Е.14 Значение горизонтальной
Px, кН/м, или вертикальной
Pz, кН/м, составляющей нагрузки от волн на горизонтальную обтекаемую преграду при любом ее расположении
x относительно вершины волны следует определять соответственно по
формулам (Е.25) или
(Е.28). При этом коэффициенты сочетания

,

или

,

должны приниматься по графикам
рисунков Е.4 и
Е.11 для конкретного значения
.
Е.15 Максимальное значение равнодействующей нагрузки от волн
Pmax, кН/м, на лежащую на дне цилиндрическую преграду (
рисунок 8,
б), диаметр которой

и
D <= 0,1
d должно определяться по
формуле (Е.24) для двух случаев, указанных в
Е.11.
Е.16 Максимальную горизонтальную Px,max, кН/м, и соответствующую вертикальную Pz, кН/м, проекции нагрузки от волн, действующих на лежащую на дне цилиндрическую преграду, необходимо определять по формулам:

(Е.31)

(Е.32)
где Pxi и Pxv - соответственно инерционный и скоростной компоненты горизонтальной составляющей нагрузки от волн, кН/м, определяемые по формулам:

(Е.33)

(Е.34)
Максимальную вертикальную Pz,max, кН/м, и соответствующую горизонтальную Px, кН/м, проекции нагрузки от волн следует принимать равными
Px =
Pxv.
Нагрузки от волн на сквозное сооружение из обтекаемых элементов
Е.17 Нагрузку от волн на сквозное сооружение в виде стержневой системы следует получать суммированием нагрузок, определенных согласно
Е.1 -
Е.14 как для отдельно стоящих преград с учетом положения каждого элемента относительно профиля расчетной волны. Элементы сооружения должны приниматься как отдельно стоящие обтекаемые преграды при расстояниях между их осями
l >= 3
D; при
l < 3
D (где
D - наибольший диаметр элемента) волновую нагрузку, полученную на отдельно стоящий элемент сооружения, необходимо умножать на коэффициенты сближения по фронту

и лучу

волн, принимаемые по таблице Е.5.
Таблица Е.5
Относительное расстояние между осями преград l/D | Коэффициенты сближения  и  при значениях относительных диаметров  |
| |
0,1 | 0,05 | 0,1 | 0,05 |
3 | 1 | 1 | 1 | 1 |
2,5 | 1 | 1,05 | 1 | 0,98 |
2 | 1,04 | 1,15 | 0,97 | 0,92 |
1,5 | 1,2 | 1,4 | 0,87 | 0,8 |
1,25 | 1,4 | 0,65 | 0,72 | 0,68 |
Е.18 Нагрузки от волн на наклонный элемент сквозного сооружения необходимо получать по эпюрам горизонтальной и вертикальной составляющих нагрузок, ординаты которых должны определяться согласно
Е.14 с учетом заглубления под расчетный уровень и удаления от вершины расчетной волны отдельных участков элемента.
Примечание - Нагрузки от волн на элементы сооружения, наклоненные к горизонтали или вертикали под углом менее 25°, определяются соответственно по
Е.4 и
Е.14 как на вертикальную или горизонтальную обтекаемую преграду.
Е.19 Нагрузку от воздействия нерегулярных ветровых волн на сквозное сооружение из обтекаемых элементов следует определять умножением значения статической нагрузки, полученного согласно
Е.17 и
Е.18 от волн с высотой заданной обеспеченности в системе и средней длиной, на коэффициент динамичности
kd, принимаемый по таблице Е.6.
При отношениях периодов

необходимо выполнять динамический расчет сооружения.
Таблица Е.6
Отношение периодов  | 0,01 | 0,1 | 0,2 | 0,3 |
Коэффициент динамичности kd | 1 | 1,15 | 1,2 | 1,3 |
Обозначения: "Tc" - период собственных колебаний сооружения, с; "  " - средний период волны, с. |
ПОСТРОЕНИЕ ЭПЮР ДАВЛЕНИЯ ОТ СУДОВЫХ ВОЛН
Для построения эпюр давления на крепление берегов от судовых волн применяются значения локального давления в характерных точках, приведенные в
таблице Ж.1.
hsh - высота судовой волны, м;
hrsh - высота наката судовой волны на откос, м;
dinf - глубина низа крепления откоса, м;
dsh - глубина воды, м;
dh - глубина забивки шпунта;

- понижение уровня воды, м, за креплением откоса вследствие фильтрации; принимается равным:
0,25hsh - для крепления протяженностью по откосу от расчетного уровня воды менее 4 м с водонепроницаемым упором;
0,2hsh - то же, с протяженностью более 4 м с упором в виде каменной призмы;
0,1hsh - для вертикальной шпунтовой стенки.
Условия | Эпюра давления от судовых волн | Формула для определения давления в характерных точках |
Накат волны на откос, укрепленный плитами | | z = z1 =-hrsh | p1 = 0; |
z = z2 = 0 | |
| |
Откат волны с откоса, укрепленного плитами | | | p1 = 0; |
z = z2 = 0,5hsh | |
z = z3 = dinf | p3 = p2. |
Ложбина волны у вертикальной стены | | | p1 = 0; |
z = z2 = 0,5hsh | |
z = z3 = dsh | p3 = p2; |
z = z4 = dsh + dh | p4 = 0; |
УЧЕТ ЭКРАНИРОВАНИЯ ПРИ ВОЗДЕЙСТВИИ НА СУДА ВЕТРОВЫХ НАГРУЗОК
Наличие экранирующих преград с наветренной стороны пришвартованного судна, которое может привести к существенному уменьшению нагрузок от воздействия ветра на судно, учитывается путем уменьшения площади парусности пришвартованного судна на приведенное значение экранирующей площади
Ae, м
2, определяемой в соответствии с
рисунком И.1 по формуле

(И.1)
где He - среднее значение высоты экранирующих препятствий, м;
L - длина причала;
hk - возвышение кордона причала над наивысшим уровнем воды, м;

- коэффициент, учитывающий степень экранирующего действия преграды, определяемый по выражению

(И.2)
где Le - длина или сумма длин экранирующих преград;
le - среднее расстояние экранирующих препятствий от кордона; при le < He принимают le = He, м;
ah - наибольший размер надводного силуэта плавучего объекта

при

;

при

,
Ls - длина плавучего объекта по ватерлинии, м.
Рисунок И.1 - Схема ветрового экранирования судна
КОЭФФИЦИЕНТЫ СОПРОТИВЛЕНИЯ ОТ ВОЗДЕЙСТВИЯ ТЕЧЕНИЯ
НА ПЛАВУЧИЕ ОБЪЕКТЫ
К.1 Коэффициент сопротивления продольной нагрузки от течения Cl, определяемый как сумма коэффициента сопротивления формы корпуса судна, коэффициента сопротивления, обусловленного трением воды по смоченной поверхности судна, и коэффициента сопротивления винто-рулевой группы судна, определяется по формуле

(К.1)
где Ct - коэффициент сопротивления трения, вычисляемый по формуле

(К.2)
Re - число Рейнольдса, определяемое по формуле

(К.3)
Vl - продольная составляющая скорости течения, м/с;
Ls - длина плавучего объекта по ватерлинии, м;

- кинематический коэффициент вязкости воды, принимаемый равным

, м
2/с;

- коэффициент общей полноты судна;
Bs, Ts - ширина и осадка судна при рассматриваемой загрузке, м;
AR - величина, характеризующая площадь парусности винто-рулевой группы судна, принимаемая по таблице К.1 в зависимости от типа судна.
Таблица К.1
Тип судна | AR |
Грузовые | 240 |
Танкеры | 270 |
К.2 Коэффициент сопротивления поперечной нагрузки от течения рекомендуется вычислять по формуле

(К.4)
где

- коэффициент сопротивления при отношении глубины воды к осадке судна
;

- коэффициент сопротивления при отношении глубины воды к осадке судна
d/
Ts = 1;
d - глубина, м;
k1 - числовой коэффициент; для большинства типов кораблей принимается k1 = 2.
Коэффициент сопротивления

рекомендуется определять по формуле

(К.5)
где Ap - фактическая подводная лобовая площадь парусности судна, м2;
W - объем погруженной части корпуса судна (объемное водоизмещение), м3.
Минимальное значение коэффициента

должно приниматься не менее

.
Коэффициент сопротивления

принимается по таблице К.2 в зависимости от значения
, где

- коэффициент общей полноты судна,
- коэффициент полноты мидель-шпангоута судна. Для промежуточных значений

значения таблицы К.2 допускается интерполировать и экстраполировать. Минимальное значение коэффициента

должно приниматься не менее

.
Таблица К.2
| |
20 | 2,00 |
40 | 2,84 |
60 | 3,64 |
80 | 4,50 |
100 | 5,44 |
РАСЧЕТ НАГРУЗКИ ОТ НАВАЛА ПРИШВАРТОВАННОГО СУДНА
НА ПРИЧАЛЬНОЕ СООРУЖЕНИЕ ПРИ ВОЛНЕНИИ
Л.1 Деформация отбойных устройств (и причального сооружения)

, м, возникающая при навале пришвартованного судна на причал под действием волн, определяется по формуле

(Л.1)
где
- среднее значение амплитуды поперечно-горизонтальных колебаний точки контакта борта судна с отбойными устройствами, м, определяемое по формуле

(Л.2)

(Л.3)
где

- смещение центра поперечно-горизонтальных колебаний, м; определяется по графику
рисунка Л.1 в зависимости от значений параметров

и
P,

(Л.4)

(Л.5)
km - коэффициент присоединенной массы воды при качке судна, определяемый по
таблице Л.1;

- коэффициент демпфирования подводной частью причального сооружения, принимаемый в зависимости от конструкции причального сооружения по
таблице Л.2;

- для случая качки судна;

,

- абсцисса и ордината точки приложения нагрузки от навала судна относительно его центра тяжести, отсчитываемые по продольной и вертикальной главным осям соответственно, м;

,

- радиусы инерции судна относительно вертикальной и горизонтальной главных центральных осей, м;

- средняя частота, с
-1, воздействующих на судно волн, где

- средний в системе период волн, с;

- приведенная частота поперечно-горизонтальных колебаний судна на отбойных устройствах,
c-1, где
C0 - коэффициент жесткости отбойного устройства, определяемый для начального, линейного, участка характеристики "сила-деформация", Н/м;
n - число отбойных устройств, одновременно деформируемых при навале; для отбойных устройств с существенно нелинейными характеристиками (конических, арочных и т.п.) приведенная частота поперечно-горизонтальных колебаний судна

должна быть умножена на коэффициент 0,7;
W - водоизмещение судна, м3, при рассматриваемой нагрузке;

- плотность воды, кг/м
3;

- коэффициент, учитывающий нефронтальный подход волн к диаметральной плоскости судна, определяется по графику
рисунка Л.4, где
Lпп - длина судна между перпендикулярами, м;

- угол подхода волн, отсчитываемый от продольной оси судна;

и

- редукционные коэффициенты поперечно-горизонтальной и бортовой качки соответственно, определяются по графикам
рисунка Л.5;
- коэффициент динамичности бортовой качки; определяется по графику
рисунка Л.6, где

- собственная частота бортовой качки,
c-1,

- собственный ее период, с;

и

- соответственно средние в системе значения высот и длин волн, воздействующих на судно, м;
j - коэффициент перехода от средних значений к малообеспеченным для амплитуд поперечно-горизонтальных колебаний точки контакта борта судна с отбойными устройствами, распределенными по закону Релея; определяется по
таблице Л.3, в расчетном случае следует рассматривать навал 1%-ной обеспеченности.
Нагрузка, передаваемая причальному сооружению через отбойные устройства, расположенные в средней части участка контакта судна с сооружением Lk, определяется в предположении навала судна лагом, когда все n отбойных устройств в пределах прямолинейной части борта деформируются равномерно.
Относительная осадка ds/d | Значения коэффициента km при параметре , равном |
0,5 | 1,0 | 2,0 | 3,0 | 4,0 | 5,0 | 6,0 |
0,00 | 1,90 | 1,67 | 1,39 | 1,23 | 1,15 | 1,15 | 1,15 |
0,20 | 2,08 | 1,82 | 1,48 | 1,32 | 1,22 | 1,21 | 1,21 |
0,40 | 2,35 | 2,04 | 1,64 | 1,43 | 1,35 | 1,33 | 1,33 |
0,60 | 2,63 | 2,27 | 1,82 | 1,60 | 1,55 | 1,54 | 1,54 |
0,80 | 2,86 | 2,44 | 2,04 | 1,82 | 1,75 | 1,74 | 1,72 |
0,90 | 3,13 | 2,67 | 2,22 | 1,96 | 1,89 | 1,87 | 1,85 |
0,95 | 3,33 | 2,78 | 2,27 | 2,04 | 1,96 | 1,92 | 1,90 |
Обозначения: " B" и " ds" - наибольшая ширина и осадка к грузу расчетного судна, м; " d" - глубина акватории у сооружения, м;  - средняя частота воздействующих на судно волн, 1/c;  - средний в системе период волн, с. |
Нагрузка, передаваемая причальному сооружению через отбойные устройства, расположенные на концах участка контакта, определяется в предположении неравномерного навала (под углом, при наличии рыскания), когда n = 1.
Сплошные линии - швартовы из синтетических и растительных
материалов; пунктирные - стальные швартовы
Рисунок Л.1 - График для определения параметра 
Конструкции причальных сооружений | Коэффициент  демпфирования |
Набережные из обыкновенных или фасонных массивов, массивов-гигантов, оболочек большого диаметра и набережные на свайных опорах с передним шпунтом | 0,75 |
Набережные эстакадного или мостового типа, набережные на свайных опорах с задним шпунтом | 0,85 |
Пирсы эстакадного или мостового типа, палы причальные, в том числе головные или разворотные | 1,0 |
Рисунок Л.2 - График для определения значения 
Рисунок Л.3 - График для определения значения 
Рисунок Л.4 - График для определения значения
редукционного коэффициента 
Обеспеченность, % | 1 | 3 | 5 | 10 | 20 | 50 |
j | 2,42 | 2,11 | 1,95 | 1,71 | 1,43 | 0,94 |
1 - судно в полном грузу; 2 - в балласте; 3 - порожнее
Рисунок Л.5 - График для определения значений
редукционных коэффициентов
и 
1 - суда без килей; 2 - со скуловыми килями;
3 - со скуловыми килями и бортовыми гребными винтами
Рисунок Л.6 - График для определения коэффициента
динамичности бортовой качки судна 
Л.2 Нагрузка на отдельное отбойное устройство при качке пришвартованного судна на волнении (без учета ветра и течения) приближенно определяется как произведение коэффициента жесткости устройства
Co на значение деформации отбойного устройства
, вычисленное по
формуле (Л.1). Полная нагрузка на отбойное устройство в условиях воздействия ветра, течения и волн определяется как сумма нагрузок от ветра и течения (без учета волнения), вычисленных по
6.7, и от навала при качке пришвартованного судна на волнении.
Л.3 Ориентировочные значения усилий в швартовных канатах при качке пришвартованного судна на волнении (без учета ветра и течения) определяется аналогично нагрузкам от навала судна на причал. Удлинение швартовных канатов

при качке судна на волнении определяются по
формулам (Л.1) -
(Л.5). Основные отличия в определении усилий в швартовах от определения нагрузок на отбойные устройства связаны с вычислением коэффициента

по
формуле (Л.5) и определением приведенной частоты поперечно-горизонтальных колебаний судна исходя из жесткости швартовных канатов.
Л.4 Для определения волновой составляющей усилия в швартовах при вычислении коэффициента

по
формуле (Л.5) значения

и

принимаются равными абсциссе и ординате точки крепления наиболее нагруженных носовых и кормовых прижимных швартовных канатов судна относительно его центра массы. В первом приближении

принимается равным половине длины судна между перпендикулярами, а

- разности между высотой борта судна и возвышением его центра массы относительно основной плоскости. При определении приведенной частоты поперечно-горизонтальных колебаний судна коэффициент
Co принимается равным линеаризованному коэффициенту жесткости швартовного каната судна
Cm, а число
n - числу носовых и кормовых прижимных канатов судна.
Линеаризованный коэффициент жесткости швартовного каната приближенно определятся по формуле
где Np - разрывное усилие каната, Н;
k, m - числовые коэффициенты, принимаемые по таблице Л.4;

- допускаемое относительное удлинение каната, принимаемое по таблице Л.4.
Таблица Л.4
Тип каната | Допускаемое относительное удлинение  | k | m |
Стальной | 0,010 | 22,5 | 1,0 |
Капроновый | 0,252 | 1,5 | 1,46 |
Нейлоновый | 0,226 | 2,3 | 1,64 |
Териленовый | 0,156 | 4,2 | 1,64 |
Полипропиленовый | 0,163 | 4,6 | 1,73 |
Полиэтиленовый | 0,168 | 6,7 | 1,97 |
Куралоновый | 0,122 | 3,4 | 1,35 |
Манильский | 0,123 | 27,4 | 2,24 |
Сизальский | 0,112 | 28,3 | 2,16 |
Пеньковый | 0,111 | 32,0 | 2,21 |
Л.5 Максимальное усилие в швартовных канатах при качке судна на волнении определяется как произведение удлинения каната, вычисленного по
формуле (Л.1) на линеаризованный коэффициент жесткости каната
Cm, а полное максимальное усилие в швартовных канатах принимается равным сумме усилий от ветра, течения, определенных по
6.12, и волн. Полная волновая составляющая швартовного усилия на швартовный пал причала принимается равной произведению волновой составляющей усилия в канате и числа канатов, заведенных на пал.
ОПРЕДЕЛЕНИЕ ЭНЕРГИИ НАВАЛА СУДНА
ПРИ ПОДХОДЕ К ПРИЧАЛЬНОМУ СООРУЖЕНИЮ
М.1 При определении кинетической энергии
En, кДж, навала судна на причальное сооружение (рисунок М.1) по
формуле (40) нормальная составляющая скорости подхода судна
Vn, м/с, принимается по
таблице М.1.
Рисунок М.1 - Схема контакта судна с причалом
Тип акватории | Условия швартовки | Допускаемая нормальная составляющая скорости подхода судна, Vn, м/с, с расчетным водоизмещением W, тыс. т |
До 1 | 2 | 3 | 4 | 5 | 10 | 20 | 30 | 40 | 50 | 100 | 200 | 300 | 400 и более |
Открытая | Сложные | 0,87 | 0,73 | 0,65 | 0,60 | 0,56 | 0,45 | 0,36 | 0,31 | 0,28 | 0,26 | 0,20 | 0,16 | 0,14 | 0,12 |
Средние | 0,67 | 0,58 | 0,52 | 0,49 | 0,46 | 0,38 | 0,30 | 0,26 | 0,24 | 0,22 | 0,17 | 0,13 | 0,11 | 0,10 |
Простые | 0,52 | 0,45 | 0,40 | 0,37 | 0,35 | 0,29 | 0,23 | 0,20 | 0,18 | 0,16 | 0,13 | 0,10 | 0,08 | 0,08 |
Закрытая | Средние | 0,34 | 0,30 | 0,27 | 0,25 | 0,24 | 0,19 | 0,15 | 0,13 | 0,12 | 0,11 | 0,08 | 0,08 | 0,08 | 0,08 |
Простые | 0,18 | 0,15 | 0,14 | 0,13 | 0,12 | 0,09 | 0,08 | 0,08 | 0,08 | 0,08 | 0,08 | 0,08 | 0,08 | 0,08 |
Примечание - Условия, чаще всего используемые в расчетах, выделены жирным шрифтом. Простые условия учитываются при швартовке высокоманевренных судов с подруливающими устройствами и оборудованием причала системами контроля швартовки. |
Особый случай - ввод судна в шлюз (док). Взаимодействие судна с направляющими отбойниками (рисунок М.2) должно определяться продольной составляющей скорости
.
Рисунок М.2 - Схема контакта судна с направляющими
отбойниками при входе в шлюз (док)
М.2 Определение коэффициента

, учитывающего условия швартовки и конструкции причальных сооружений выполняется по формуле

(М.1)
где cm - коэффициент присоединенной массы;
ce - коэффициент эксцентриситета, учитывающий диссипацию энергии при повороте относительно точки соприкосновения с отбойником;
cс - коэффициент сквозности причала, учитывающий амортизирующие свойства слоя воды между корпусом причалившего судна и причала;
cs - коэффициент жесткости, учитывающий поглощение части энергии навала за счет упругой деформации отбойных устройств.
М.3 Определение коэффициента cm присоединенной массы
При подходе судна к причалу бортом (лагом) (
рисунок М.3, а) в зависимости от соотношения осадки судна
ds, м, и глубины воды
d, м, следует принимать
cm = 1,8 при d/ds <= 1,1;
cm = 2,625 - 0,75d/ds при 1,1 < d/ds < 1,5; (М.2)
cm = 1,5 при d/ds >= 1,5.
При подходе судна к причалу кормой или носом (
рисунок М.3,
б)
cm = 1,1.
М.4 Определение коэффициента ce эксцентриситета
Коэффициент
ce определяется в предположении, что центр массы судна находится в его средней точке по длине
(рисунок М.1) по формуле

(М.3)
где R - расстояние, м, от центра массы судна до точки его соприкосновения с отбойником, определяемое по формуле

(М.4)
K - радиус, м, кругового движения судна в акватории перед причаливанием, определяется по формуле

(М.5)

- коэффициент полноты водоизмещения судна, определяется по формуле

(М.6)

- угол, град, между направлением действия скорости
V и линией
R (рисунок М.1); при

принимается
ce = 1,0;
W - водоизмещение, т;
Ls - полная длина судна, м;
B - ширина судна, м;
y - расстояние, м, по продольной оси судна от его центра тяжести до точки максимальной кривизны борта в плане
(рисунок М.1);

- плотность воды, т/м
3.
В первом приближении значения коэффициента ce при причаливании для трех распространенных случаев швартовки принимается равными:
на четверть длины  | ce ~= 0,4 - 0,6; |
на треть длины  | ce ~= 0,6 - 0,8; |
в средней точке  | ce ~= 1,0. |
а - подход бортом (лагом);
б - подход кормой или носом
Рисунок М.3 - Схемы подхода судна к причалу
М.5 Значение коэффициента
cс сквозности причала
(рисунок М.4) принимается
cс = 1,0 в случаях:
отдельно стоящих причальных устоев;
сквозных конструкций причала;
при угле причаливания

.
Значение коэффициента cс = 0,9 принимается в случаях:
сплошной конструкции причала;
при угле причаливания

.
а - сплошная конструкция; б - сквозная конструкция
Рисунок М.4 - Типы конструкции причала
М.6 Определение коэффициента жесткости cs
Для отбойников, выполненных из малодеформируемых материалов (бетон, дерево, полиэтилен (в виде брусьев), резина толщиной менее 150 мм), следует принимать коэффициент жесткости cs = 0,9.
При применении мягких резиновых (как правило, полых) отбойников (при толщине более 150 мм) cs = 1,0.
М.7 Энергия EA, кДж, которую должен погасить отбойник, с учетом случайных столкновений, ошибок персонала, неисправностей, комбинации этих факторов определяется по формуле

(М.7)
где

- коэффициент безопасности, принимаемый по таблице М.2.
При наличии на причальном сооружении системы контроля за перемещениями судна и его скоростью коэффициент

принимается равным 1,0.
Таблица М.2
Тип судна | |
Танкеры, сухогрузы, грузовые суда водоизмещением менее 20 тыс. т | 1,75 |
более 150 тыс. т | 1,25 |
Контейнеровозы водоизмещением менее 50 тыс. т | 2,0 |
более 150 тыс. т | 1,5 |
Суда с горизонтальным способом погрузки, паромы | 2,0 |
Буксиры, рабочие суда и т.п. | 2,0 |
ОПРЕДЕЛЕНИЕ УСИЛИЙ В ШВАРТОВНЫХ КАНАТАХ
Н.1 Формулы, приведенные в настоящем приложении, применяются при определении усилий в отдельных швартовных канатах с учетом фактической схемы швартовки судна, углов наклона и длин отдельных канатов.
Н.2 Определение усилий Ni, кН, в отдельных швартовных канатах на тумбы причала, при которых стоянка будет безопасной, вычисляются по формулам:
для носовой и кормовой групп прижимных швартовных канатов

(Н.1)
для продольных швартовных канатов и шпрингов

(Н.2)
где li - длина швартовного конца, в котором действует усилие Ni, м;
lj - длины швартовных концов в группе, м (j = 1, 2, ..., nr);
nr - число швартовных концов в группе;

- угол между проекцией швартова на горизонтальную плоскость и линией кордона причала
(рисунок 17), град;

- угол между линией действия силы
Ni и ее проекцией на горизонтальную плоскость, град;
Qtot,
Ntot - соответственно поперечная и продольная составляющие, кН, от действия ветра и течения, определяемые по
6.4 и
6.5 с учетом экранирующего действия сооружений для различных значений скорости ветра
Vw, м/с.
ИСПЫТАНИЕ ЛЬДА НА ОДНООСНОЕ СЖАТИЕ
Отбор, изготовление и подготовка образцов к испытанию
Образцы льда отбираются из N слоев одинаковой толщины ледяного поля так, чтобы их длинные оси были перпендикулярны к направлению роста кристаллов; при этом N = 3 при толщине льда до 1,5 м и N = 5 при толщине льда от 1,5 м и более.
(в ред.
Изменения N 1, утв. Приказом Минстроя России от 15.12.2021 N 944/пр)
Образцы льда изготавливаются в виде призм квадратного сечения или цилиндров круглого сечения с отношением высоты к ширине (диаметру), равным 2,5. Ширина образца должна не менее чем в 10 раз превышать средний поперечный размер кристалла, определяемый по данным кристаллографического исследования.
Отклонение размеров образцов от средних в серии не должно быть более +/- 1%. Поверхность образцов должна быть гладкой, ровной, без трещин, сколов, раковин, заусенцев и других дефектов.
Абзацы четвертый и пятый исключены с 16.01.2022. -
Изменение N 1, утв. Приказом Минстроя России от 15.12.2021 N 944/пр.
Перед испытанием образцы исследуемого слоя выдерживаются не менее 1 ч при температуре слоя ti, определяемой по данным испытаний, а при их отсутствии - по расчетному распределению температуры внутри ледяного покрова.
Оборудование
Испытательные машины должны быть устроены по типу машин с управляемой скоростью деформации. Наибольшая создаваемая машиной нагрузка должна не менее чем в два раза превышать разрушающую нагрузку для испытываемых образцов.
Испытательные машины должны быть с автоматической записью кривой "нагрузка - деформация" и обеспечивать измерение нагрузки с погрешностью не более +/- 5%.
Проведение испытаний
Образцы сжимаются вдоль длинных осей. Образцы исследуемого слоя испытывают при температуре
ti и постоянной скорости деформации, принимаемой для пресноводного льда равной

, с
-1, а для морского льда - по таблице П.1.
Таблица П.1
Температура льда в i-м слое ti, °C | -2 | -10 | -15 | -23 и ниже |
Значение  , с -1 | 0,5 | 1,5 | 2,0 | 3,0 |
Обработка результатов
Разрушающее напряжение (прочность на одноосное сжатие) для каждого образца Cj, МПа, вычисляется по формуле

(П.1)
где (Pmax)j - разрушающая (пиковая) нагрузка для j-го образца, определяемая по диаграмме "нагрузка - деформация", МН;
f - площадь первоначального поперечного сечения образца, м2.
За результат испытания серии образцов исследуемого слоя принимается значение
, где
Ci - среднеарифметическое значение параллельных определений прочности льда на одноосное сжатие, МПа, вычисляемое по формуле

(П.2)
где n - число испытуемых образцов;
Графически результат испытания серии образцов исследуемого слоя изображается точкой и двумя равными отрезками, отложенными вверх и вниз от этой точки; точка соответствует среднеарифметическому значению предела прочности льда, а отрезок - среднему квадратическому отклонению случайной погрешности измерений. Указание числа испытанных образцов обязательно.
Примеры графического представления результатов испытаний нескольких серий образцов показаны на рисунках П.1 и
П.2.

- призматический лед (размеры образцов 25 x 25 x 50 см);

- зернистый (снежный) лед (размеры образцов 15 x 15 x 30 см);

- волокнистый (шестовато-игольчатый) лед (размеры образцов 22 x 22 x 45 см).
Рисунок П.1 - Зависимость прочности пресноводного льда
на одноосное сжатие (при переходе от пластического
разрушения к хрупко-пластическому)
от температуры (n = 5)
Размеры образцов (4 x 4 x 10) см
Рисунок П.2 - Зависимость прочности морского льда
на одноосное сжатие (при переходе от пластического
разрушения к хрупко-пластическому)
от количества жидкой фазы (n = 5)
На рисунке П.2

- соленость рассола во льду,
, определяемая по формуле

(П.3)
где
si - соленость льда,

.
Однолетние торосы состоят из паруса, консолидированного слоя и киля меньшей прочности. Киль состоит из частично затвердевших ледяных глыб или отдельных глыб с трением только между глыбами. Большая часть консолидированного слоя - пластины смерзшегося льда. Геометрические формы торосов варьируются. При расчетах может быть принято симметричное поперечное сечение тороса, как показано на рисунке Р.1.
1 - парус; 2 - консолидированный слой; 3 - киль; 4 - ровный
лед;

- угол киля;
hu - высота паруса;
h - заглубление
киля; hc - толщина консолидированного слоя; hk - расстояние
между нижней частью консолидированного слоя и килем
Рисунок Р.1 - Геометрия однолетнего тороса
Для профиля тороса, показанного на рисунке Р.1, типичные соотношения даны как
hc = (1,8 - 2,0)
hd,
hk = 4,5
hu и

. Параметр ширины может варьироваться от
b = 0 до
b = 5
hu. Пористость киля паруса зависит от возраста ледового тороса и варьируется для различных морских областей. Толщина консолидированного слоя изменяется за время жизни тороса. Пористость киля может изменяться от 0,1 до 0,4.
Верхняя граница оценки для горизонтальной ледовой нагрузки от движущегося тороса, может быть получена из уравнения
FR = Fc + Fk, (Р.1)
где
Fc - нагрузка от консолидированной части тороса, определяемая так же, как в
7.24;
Fk - нагрузки от киля тороса.
Для вертикальных конструкций нагрузка от киля тороса может быть определена по формуле

(Р.2)
где

- коэффициент пассивного давления, определяется по формуле
(в ред.
Изменения N 1, утв. Приказом Минстроя России от 15.12.2021 N 944/пр)

(Р.3)

- угол внутреннего трения;
ck - сцепление (с учетом зацепа) ледяного образования, МПа, определяемое по опытным данным; при их отсутствии принимается ck = 0,02 - 0,03 МПа;
bk - средняя ширина преграды по фронту в зоне действия ледяного образования, м;

- эффективная плавучесть, определяемая по формуле

(Р.4)
ОСНОВНЫЕ БУКВЕННЫЕ ОБОЗНАЧЕНИЯ
Vw - скорость ветра, м/с;

- превышение вершины волны над расчетным уровнем, м;

- понижение подошвы волны от расчетного уровня, м;
h - высота волны, м;
- длина волны, м;
- волновое число, 1/м;
T - период волны, с;
- круговая частота волны, 1/с;
c - скорость волны, м/с;
- крутизна волны;
- пологость волны;
hi,

,
Ti - соответственно высота, длина и период волн
i-%-ной обеспеченности в системе, м;

,

,

- соответственно средние высота, длина и период волн, м;
d - глубина воды при расчетном уровне, м;
dcr - критическая глубина воды, при которой происходит первое обрушение волн, м;
Dcr,u - глубина воды, при которой происходит последнее обрушение волн, м;
Q - сила от воздействия волн на сооружение, преграду, кН;
P - распределенная нагрузка на единицу длины сооружения, преграды, кН/м;
p - волновое давление, кПа;

- плотность воды, кг/м
3; т/м
3;
g - ускорение свободного падения, м/с2;

,

- угол наклона откоса (или дна) к горизонту, град;
Rc - предел прочности льда при сжатии, МПа;
Rf - предел прочности льда при изгибе, МПа;
V - скорость движения ледяного поля, м/с;
hd - обеспеченная толщина ровного льда, м.
[1]
СП 11-103-97 "Инженерно-гидрометеорологические изыскания для строительства"
[2]
СП 11-114-2004 "Инженерные изыскания на континентальном шельфе для строительства морских нефтегазопромысловых сооружений"
[3] СП 32-103-97 "Проектирование морских берегозащитных сооружений"