Главная // Актуальные документы // МетодикаСПРАВКА
Источник публикации
В данном виде документ опубликован не был.
Первоначальный текст документа опубликован в издании
М.: Минрегион России, 2011.
Информацию о публикации документов, создающих данную редакцию, см. в справке к этим документам.
Примечание к документу
Документ утратил силу с 01.09.2022 в части пунктов, включенных в
Перечень национальных стандартов и сводов правил (частей таких стандартов и сводов правил), в результате применения которых на обязательной основе обеспечивается соблюдение требований Федерального
закона "Технический регламент о безопасности зданий и сооружений", утвержденный
Постановлением Правительства РФ от 28.05.2021 N 815, в связи изданием
Постановления Правительства РФ от 20.05.2022 N 914, исключившего данный документ из указанного Перечня (
Приказ Минстроя России от 14.12.2021 N 926/пр).
Документ утратил силу с 15.01.2022, за исключением пунктов, включенных в
Перечень национальных стандартов и сводов правил (частей таких стандартов и сводов правил), в результате применения которых на обязательной основе обеспечивается соблюдение требований Федерального
закона "Технический регламент о безопасности зданий и сооружений", утвержденный
Постановлением Правительства РФ от 28.05.2021 N 815, до внесения соответствующих изменений в указанный Перечень, в связи с изданием
Приказа Минстроя России от 14.12.2021 N 926/пр, утвердившего новый Свод правил
СП 24.13330.2021.
Отдельные положения данного документа включены в
Перечень национальных стандартов и сводов правил (частей таких стандартов и сводов правил), в результате применения которых на обязательной основе обеспечивается соблюдение требований Федерального
закона "Технический регламент о безопасности зданий и сооружений" (
Постановление Правительства РФ от 28.05.2021 N 815).
Отдельные положения данного документа включены в
Перечень национальных стандартов и сводов правил (частей таких стандартов и сводов правил), в результате применения которых на обязательной основе обеспечивается соблюдение требований Федерального
закона "Технический регламент о безопасности зданий и сооружений" (
Постановление Правительства РФ от 04.07.2020 N 985).
Документ был включен в
Перечень документов в области стандартизации, в результате применения которых на добровольной основе обеспечивается соблюдение требований Федерального
закона от 30.12.2009 N 384-ФЗ "Технический регламент о безопасности зданий и сооружений" (
Приказ Росстандарта от 02.04.2020 N 687).
Документ включен в
Перечень документов в области стандартизации, в результате применения которых на добровольной основе обеспечивается соблюдение требований Федерального
закона от 30.12.2009 N 384-ФЗ "Технический регламент о безопасности зданий и сооружений" (
Приказ Росстандарта от 17.04.2019 N 831).
Документ включен в
Перечень документов в области стандартизации, в результате применения которых на добровольной основе обеспечивается соблюдение требований Федерального
закона от 30.12.2009 N 384-ФЗ "Технический регламент о безопасности зданий и сооружений" (
Приказ Росстандарта от 30.03.2015 N 365).
Отдельные положения данного документа включены в
Перечень национальных стандартов и сводов правил (частей таких стандартов и сводов правил), в результате применения которых на обязательной основе обеспечивается соблюдение требований Федерального
закона от 30.12.2009 N 384-ФЗ "Технический регламент о безопасности зданий и сооружений" (
Постановление Правительства РФ от 26.12.2014 N 1521).
На время переходного периода данный документ не отменяет действие
СНиП 2.02.03-85 (
Письмо Минрегиона России от 15.08.2011 N 18529-08/ИП-ОГ).
Документ включен в
Перечень документов в области стандартизации, в результате применения которых на добровольной основе обеспечивается соблюдение требований Федерального
закона от 30.12.2009 N 384-ФЗ "Технический регламент о безопасности зданий и сооружений" (
Приказ Ростехрегулирования от 01.06.2010 N 2079).
Текст документа приведен с учетом
опечаток, опубликованных в "Информационном бюллетене о нормативной, методической и типовой проектной документации в строительстве", N 6, 2011.
Название документа
"СП 24.13330.2011. Свод правил. Свайные фундаменты. Актуализированная редакция СНиП 2.02.03-85"
(утв. Приказом Минрегиона России от 27.12.2010 N 786)
(ред. от 24.01.2019)
"СП 24.13330.2011. Свод правил. Свайные фундаменты. Актуализированная редакция СНиП 2.02.03-85"
(утв. Приказом Минрегиона России от 27.12.2010 N 786)
(ред. от 24.01.2019)
от 27 декабря 2010 г. N 786
СВОД ПРАВИЛ
СВАЙНЫЕ ФУНДАМЕНТЫ
Pile foundations
СП 24.13330.2011
| | Список изменяющих документов Минстроя России от 03.12.2016 N 885/пр, Минстроя России от 20.11.2018 N 734/пр, Минстроя России от 24.01.2019 N 40/пр) | |
Дата введения
20 мая 2011 года
Цели и принципы стандартизации в Российской Федерации установлены Федеральным
законом от 27 декабря 2002 г. N 184-ФЗ "О техническом регулировании", а правила разработки -
Постановлением Правительства Российской Федерации от 19 ноября 2008 г. N 858 "О порядке разработки и утверждения сводов правил".
1. Исполнители - "Научно-исследовательский, проектно-изыскательский и конструкторско-технологический институт оснований и подземных сооружений им. Н.М. Герсеванова" - институт АО "НИЦ "Строительство" (НИИОСП им. Н.М. Герсеванова).
(в ред.
Изменения N 1, утв. Приказом Минстроя России от 03.12.2016 N 885/пр)
2. Внесен Техническим комитетом по стандартизации (ТК 465) "Строительство".
3. Подготовлен к утверждению Департаментом архитектуры, строительства и градостроительной политики.
4. Утвержден
Приказом Министерства регионального развития Российской Федерации (Минрегион России) от 27 декабря 2010 г. N 786 и введен в действие с 20 мая 2011 г.
5. Зарегистрирован Федеральным агентством по техническому регулированию и метрологии (Росстандарт). Пересмотр СП 24.13330.2010.
Информация об изменениях к настоящему своду правил публикуется в ежегодно издаваемом информационном указателе "Национальные стандарты", а текст изменений и поправок - в ежемесячно издаваемых информационных указателях "Национальные стандарты". В случае пересмотра (замены) или отмены настоящего свода правил соответствующее уведомление будет опубликовано в ежемесячно издаваемом информационном указателе "Национальные стандарты". Соответствующая информация, уведомление и тексты размещаются также в информационной системе общего пользования - на официальном сайте разработчика (Минрегион России) в сети Интернет.
Настоящий свод правил устанавливает требования к проектированию фундаментов из разных типов свай в различных инженерно-геологических условиях и при любых видах строительства.
Разработан НИИОСП им. Н.М. Герсеванова - институтом ОАО "НИЦ "Строительство": д-ра техн. наук Б.В. Бахолдин, В.П. Петрухин и канд. техн. наук И.В. Колыбин - руководители темы; д-ра техн. наук: А.А. Григорян, Е.А. Сорочан, Л.Р. Ставницер; кандидаты техн. наук: А.Г. Алексеев, В.А. Барвашов, С.Г. Безволев, Г.И. Бондаренко, В.Г. Буданов, А.М. Дзагов, О.И. Игнатова, В.Е. Конаш, В.В. Михеев, Д.Е. Разводовский, В.Г. Федоровский, О.А. Шулятьев, П.И. Ястребов, инженеры Л.П. Чащихина, Е.А. Парфенов, при участии инженера Н.П. Пивника.
Изменение N 2 разработано институтом АО "НИЦ "Строительство" - НИИОСП им. Н.М. Герсеванова (руководители темы - д-р техн. наук Б.В. Бахолдин, канд. техн. наук И.В. Колыбин, канд. техн. наук Д.Е. Разводовский; исполнители - д-р техн. наук Н.З. Готман, д-р техн. наук Л.Р. Ставницер, канд. техн. наук А.Г. Алексеев, канд. техн. наук А.М. Дзагов, канд. техн. наук В.А. Ковалев, канд. техн. наук А.В. Скориков, канд. техн. наук В.Г. Федоровский, канд. техн. наук О.А. Шулятьев, канд. техн. наук П.И. Ястребов) при участии д-ра техн. наук В.В. Знаменского, д-ра техн. наук В.А. Ильичева.
(абзац введен
Изменением N 2, утв. Приказом Минстроя России от 20.11.2018 N 734/пр)
Изменение N 3 к своду правил подготовлено АО "НИЦ "Строительство" - НИИОСП им. Н.М. Герсеванова (руководители темы - д-р техн. наук Б.В. Бахолдин, канд. техн. наук И.В. Колыбин, канд. техн. наук Д.Е. Разводовский, д-р техн. наук Н.З. Готман, канд. техн. наук А.Г. Алексеев, канд. техн. наук А.М. Дзагов, канд. техн. наук В.В. Сёмкин, канд. техн. наук А.В. Скориков, канд. техн. наук В.Г. Федоровский, канд. техн. наук А.В. Шапошников, канд. техн. наук П.И. Ястребов, при участии д-ра техн. наук. В.В. Знаменского, д-ра техн. наук. В.А. Ильичева).
(абзац введен
Изменением N 3, утв. Приказом Минстроя России от 24.01.2019 N 40/пр)
Настоящий свод правил распространяется на проектирование свайных фундаментов вновь строящихся и реконструируемых зданий и сооружений (далее - сооружений).
Свод правил не распространяется на проектирование свайных фундаментов сооружений, возводимых на вечномерзлых грунтах, свайных фундаментов машин с динамическими нагрузками, а также опор морских нефтепромысловых и других сооружений, возводимых на континентальном шельфе.
Минстроя России от 24.01.2019 N 40/пр)
ГОСТ 5180-2015 Грунты. Методы лабораторного определения физических характеристик
ГОСТ 8732-78 Трубы стальные бесшовные горячедеформированные. Сортамент
ГОСТ 8734-75 Трубы стальные бесшовные холоднодеформированные. Сортамент
ГОСТ 9463-2016 Лесоматериалы круглые хвойных пород. Технические условия
ГОСТ 10704-91 Трубы стальные электросварные прямошовные. Сортамент
ГОСТ 12536-2014 Грунты. Методы лабораторного определения гранулометрического (зернового) и микроагрегатного состава
ГОСТ 19804-2012 Сваи железобетонные заводского изготовления. Общие технические условия
ГОСТ 19804.6-83 Сваи полые круглого сечения и сваи-оболочки железобетонные составные с ненапрягаемой арматурой. Конструкция и размеры
ГОСТ 19912-2012 Грунты. Методы полевых испытаний статическим и динамическим зондированием
ГОСТ 20276-2012 Грунты. Методы полевого определения характеристик прочности и деформируемости
ГОСТ 20295-85 Трубы стальные сварные для магистральных газонефтепроводов. Технические условия
ГОСТ 20522-2012 Грунты. Методы статистической обработки результатов испытаний
ГОСТ 27751-2014 Надежность строительных конструкций и оснований. Основные положения
ГОСТ 31937-2011 Здания и сооружения. Правила обследования и мониторинга технического состояния
СП 21.13330.2012 "СНиП 2.01.09-91 Здания и сооружения на подрабатываемых территориях и просадочных грунтах" (с изменением N 1)
СП 25.13330.2012 "СНиП 2.02.04-88 Основания и фундаменты на вечномерзлых грунтах" (с изменением N 1)
СП 26.13330.2012 "СНиП 2.02.05-87 Фундаменты машин с динамическими нагрузками" (с изменением N 1)
СП 28.13330.2017 "СНиП 2.03.11-85 Защита строительных конструкций от коррозии" (с изменением N 1)
СП 38.13330.2018 "СНиП 2.06.04-82* Нагрузки и воздействия на гидротехнические сооружения (волновые, ледовые и от судов)"
СП 41.13330.2012 "СНиП 2.06.08-87 Бетонные и железобетонные конструкции гидротехнических сооружений"
СП 47.13330.2016 "СНиП 11-02-96 Инженерные изыскания для строительства. Основные положения"
СП 58.13330.2012 "СНиП 33-01-2003 Гидротехнические сооружения. Основные положения" (с изменением N 1)
СП 63.13330.2012 "СНиП 52-01-2003 Бетонные и железобетонные конструкции. Основные положения" (с изменениями N 1, N 2, N 3)
СП 131.13330.2012 "СНиП 23-01-99* Строительная климатология" (с изменениями N 1, N 2)
Примечание - При пользовании настоящим сводом правил целесообразно проверить действие ссылочных документов в информационной системе общего пользования - на официальном сайте Федерального агентства по техническому регулированию и метрологии в сети Интернет или по ежегодному информационному указателю "Национальные стандарты", который опубликован по состоянию на 1 января текущего года, и по выпускам ежемесячного информационного указателя "Национальные стандарты" за текущий год. Если заменен ссылочный документ, на который дана недатированная ссылка, то рекомендуется использовать действующую версию этого документа с учетом всех внесенных в данную версию изменений. Если заменен ссылочный документ, на который дана датированная ссылка, то рекомендуется использовать версию этого документа с указанным выше годом утверждения (принятия). Если после утверждения настоящего свода правил в ссылочный документ, на который дана датированная ссылка, внесено изменение, затрагивающее положение, на которое дана ссылка, то это положение рекомендуется применять без учета данного изменения. Если ссылочный документ отменен без замены, то положение, в котором дана ссылка на него, рекомендуется применять в части, не затрагивающей эту ссылку. Сведения о действии сводов правил целесообразно проверить в Федеральном информационном фонде технических регламентов и стандартов.
Термины с соответствующими определениями, используемые в настоящем СП, приведены в
Приложении А.
Наименования грунтов оснований зданий и сооружений приняты в соответствии с
ГОСТ 25100.
4.1. Основное назначение свай - это прорезка залегающих с поверхности слабых слоев грунта и передача действующей нагрузки на нижележащие слои грунта, обладающие более высокими механическими показателями. Свайные фундаменты должны проектироваться на основе и с учетом:
(в ред.
Изменения N 1, утв. Приказом Минстроя России от 03.12.2016 N 885/пр)
а) результатов инженерных изысканий для строительства;
б) сведений о сейсмичности района строительства;
в) данных, характеризующих назначение, конструктивные и технологические особенности сооружения и условия их эксплуатации;
г) действующих на фундаменты нагрузок;
д) условий существующей застройки и влияния на нее нового строительства;
е) экологических требований;
ж) технико-экономического сравнения возможных вариантов проектных решений;
и) геоподосновой или инженерной цифровой модели местности (ИЦММ) с отображением подземных и надземных сооружений и коммуникаций;
(в ред.
Изменения N 2, утв. Приказом Минстроя России от 20.11.2018 N 734/пр)
к) технических условий, выданных всеми уполномоченными заинтересованными организациями.
(перечисление "к" введено
Изменением N 1, утв. Приказом Минстроя России от 03.12.2016 N 885/пр)
Примечание - Допустимо применение свай для снижения величины осадки фундаментов или для устройства армирования грунтов.
(примечание введено
Изменением N 3, утв. Приказом Минстроя России от 24.01.2019 N 40/пр)
4.2. При проектировании должны быть предусмотрены решения, обеспечивающие надежность, долговечность и экономичность сооружений на всех стадиях строительства и эксплуатации.
Рекомендуется выполнять технико-экономическое сравнение возможных вариантов проектных решений с использованием критериев конструктивной и экономической эффективности.
(абзац введен
Изменением N 3, утв. Приказом Минстроя России от 24.01.2019 N 40/пр)
4.3. При проектировании следует учитывать местные условия строительства, а также имеющийся опыт проектирования, строительства и эксплуатации сооружений в аналогичных инженерно-геологических, гидрогеологических и экологических условиях.
Данные о климатических условиях района строительства должны приниматься в соответствии с
СП 131.13330.
(в ред.
Изменения N 1, утв. Приказом Минстроя России от 03.12.2016 N 885/пр)
4.4. Работы по проектированию свайных фундаментов следует вести в соответствии с техническим заданием на проектирование и необходимыми исходными данными
(4.1).
4.5. При проектировании следует учитывать уровень ответственности сооружения в соответствии с
ГОСТ 27751 и геотехническую категорию объекта строительства в соответствии с
СП 22.13330.
(в ред.
Изменения N 1, утв. Приказом Минстроя России от 03.12.2016 N 885/пр)
В дополнении к требованиям
СП 22.13330 при проектировании следующих видов свайных фундаментов должна назначаться геотехническая категория 3:
- свайных фундаментов при длине свай более 40 м;
- плитно-свайных фундаментов;
- фундаментов со сваями диаметром 1,5 м и более;
- свай, прорезающих хотя бы один слой скальных или полускальных грунтов.
(абзацы введены
Изменением N 1, утв. Приказом Минстроя России от 03.12.2016 N 885/пр)
4.6. Свайные фундаменты следует проектировать на основе результатов инженерных изысканий, выполненных в соответствии с требованиями
СП 47.13330, СП 11-104
[2] и
раздела 5 настоящего СП.
Выполненные инженерные изыскания должны обеспечить не только изучение инженерно-геологических условий нового строительства, но и получение необходимых данных для проверки влияния устройства свайных фундаментов на существующие сооружения и окружающую среду, а также для проектирования в случае необходимости усиления оснований и фундаментов существующих сооружений.
Проектирование свайных фундаментов без соответствующих достаточных данных инженерно-геологических изысканий не допускается.
4.7. При использовании для строительства вблизи существующих сооружений свай, погружаемых или устраиваемых с применением динамических воздействий (забивка, вибропогружение, сваи-РИТ и др.), необходимо производить оценку влияния динамических воздействий на конструкции существующих сооружений, а также на находящиеся в них чувствительные к колебаниям машины, приборы и оборудование и в необходимых случаях предусматривать измерения параметров колебаний грунта, сооружений (в том числе подземных коммуникаций), а также подземных коммуникаций при опытном погружении и устройстве свай.
(в ред.
Изменения N 1, утв. Приказом Минстроя России от 03.12.2016 N 885/пр)
4.8. В программе мониторинга для зданий геотехнической категории 3, возводимых на свайных фундаментах, необходимо предусматривать проведение натурных измерений (мониторинг). Состав, объем и методы мониторинга устанавливают в соответствии с
СП 22.13330.
(в ред.
Изменения N 1, утв. Приказом Минстроя России от 03.12.2016 N 885/пр)
Натурные измерения деформаций оснований и фундаментов должны предусматриваться при применении новых (не включенных в настоящий свод правил) конструкций свайных фундаментов, а также в случае если в задании на проектирование имеются специальные требования по проведению натурных измерений.
(в ред.
Изменения N 1, утв. Приказом Минстроя России от 03.12.2016 N 885/пр)
4.8а. В свайных фундаментах зданий и сооружений, проектируемых в условиях геотехнической категории 3, не допускается применение бывших в употреблении стальных конструкций и их частей (армирующих элементов из металлопроката, металлических колец и т.д.).
(п. 4.8а введен
Изменением N 1, утв. Приказом Минстроя России от 03.12.2016 N 885/пр)
4.9. Свайные фундаменты, предназначенные для эксплуатации в условиях агрессивной среды, следует проектировать с учетом требований
СП 28.13330, а деревянные конструкции свайных фундаментов - с учетом требований по защите их от гниения, разрушения и поражения древоточцами.
4.10. При проектировании и возведении свайных фундаментов из монолитного и сборного бетона или железобетона следует дополнительно руководствоваться
СП 63.13330,
СП 28.13330, а также соблюдать требования нормативных документов по устройству оснований и фундаментов, изоляционных и отделочных покрытий, геодезическим работам, технике безопасности, правилам пожарной безопасности при производстве строительно-монтажных работ и охране окружающей среды.
(в ред.
Изменения N 1, утв. Приказом Минстроя России от 03.12.2016 N 885/пр)
4.11. Защиту стальных свай от коррозии допустимо выполнять цинкованием или путем окраски их поверхности составами на основе эпоксидных смол, стойкими к истиранию.
(п. 4.11 введен
Изменением N 1, утв. Приказом Минстроя России от 03.12.2016 N 885/пр, в ред.
Изменения N 3, утв. Приказом Минстроя России от 24.01.2019 N 40/пр)
5. Требования к инженерно-геологическим изысканиям
Минстроя России от 03.12.2016 N 885/пр)
5.1. Инженерно-геологические изыскания для проектирования свайных фундаментов должны назначаться в соответствии с требованиями
СП 126.13330,
[1],
[3], национальных стандартов и других нормативных документов по инженерным изысканиям и исследованиям грунтов для строительства.
Объемы и состав инженерных изысканий должны устанавливаться с учетом геотехнической категории объекта строительства в соответствии с
СП 22.13330.
5.2. Для геотехнической категории 3 программу изысканий рекомендуется дополнять испытаниями грунтов прессиометрами и штампами
(ГОСТ 20276), эталонными и натурными сваями
(ГОСТ 5686). При применении свай новых конструкций (по специальному заданию проектной организации) в состав работ следует включать опытное погружение или устройство свай, с целью уточнения назначенных при проектировании длин и диаметров свай и режима погружения, а также натурные испытания этих свай статическими нагрузками.
5.3. При передаче на сваи выдергивающих, горизонтальных или знакопеременных нагрузок необходимость проведения опытных работ должна определяться в каждом конкретном случае, а объемы работ назначаться с учетом доминирующего воздействия.
5.4. Несущую способность свай по результатам полевых испытаний грунтов натурной и эталонной сваями и статическим зондированием следует определять в соответствии с
подразделом 7.3.
5.5. Глубина инженерно-геологических выработок должна быть не менее чем на 5 м ниже проектируемой глубины заложения нижних концов свай при их рядовом расположении и нагрузках на куст свай до 3 МН и на 10 м ниже - при свайных полях размером до 10 x 10 м и при нагрузках на куст более 3 МН. При свайных полях размером более 10 x 10 м и применении плитно-свайных фундаментов глубина выработок должна превышать предполагаемое заглубление свай не менее чем на глубину сжимаемой толщи, но не менее половины ширины свайного поля или плиты и не менее чем на 15 м.
При наличии на строительной площадке слоев грунтов со специфическими свойствами (просадочных, набухающих, слабых глинистых, органоминеральных и органических грунтов, рыхлых песков и техногенных грунтов) глубину выработок определяют с учетом необходимости их проходки на всю толщу слоя для установления глубины залегания подстилающих прочных грунтов и определения их характеристик.
5.6. Обследование технического состояния фундаментов и конструкций реконструируемых зданий должно выполняться по заданию заказчика специализированной организацией. Оценку длины существующих свай в фундаментах реконструируемого здания рекомендуется осуществлять с использованием геофизических методов.
5.7. Технический отчет по результатам инженерно-геологических изысканий для проектирования свайных фундаментов должен составляться в соответствии с
СП 47.13330 и
[3].
При наличии натурных испытаний свай статической или динамической нагрузкой должны приводиться их результаты. Результаты зондирования должны включать данные о несущей способности свай.
При применении свай-стоек должен быть определен показатель качества породы RQD для всех слоев скальных грунтов, которые прорезает свая, и для слоя, в котором расположен нижний конец сваи.
При проектировании свайных фундаментов для зданий с уровнем ответственности КС-3 или сваями длиной более 40 м для глинистых грунтов рекомендуется определять коэффициент переуплотнения грунта OCR (в том числе в пределах сжимаемой толщи под нижним концом свай).
6.1. По способу заглубления в грунт различают следующие виды свай:
а) забивные и вдавливаемые (далее - забивные) железобетонные, деревянные и стальные предварительно изготовленные, погружаемые в грунт за счет вытеснения, а также путем установки в лидерные скважины при помощи молотов, вибропогружателей, вибровдавливающих, виброударных и вдавливающих устройств, а также железобетонные круглые полые сваи диаметром до 0,8 м, заглубляемые вибропогружателями без выемки или с частичной выемкой грунта и не заполняемые бетонной смесью
(ГОСТ 19804);
(перечисление "а" в ред.
Изменения N 1, утв. Приказом Минстроя России от 03.12.2016 N 885/пр)
б) сваи-оболочки железобетонные диаметром более 0,8 м, погружаемые вибропогружателями с выемкой грунта из их полости и заполняемые частично или полностью бетонной смесью, а также сваи в виде металлических труб, погружаемые с открытым нижним концом без выемки грунта;
(в ред.
Изменения N 1, утв. Приказом Минстроя России от 03.12.2016 N 885/пр)
в) набивные бетонные и железобетонные, устраиваемые в грунте путем укладки бетонной смеси в скважины, образованные в результате принудительного вытеснения - отжатия грунта;
г) буровые железобетонные, устраиваемые в грунте путем заполнения пробуренных скважин бетонной смесью или установки в них предварительно изготовленных железобетонных элементов;
(в ред.
Изменения N 1, утв. Приказом Минстроя России от 03.12.2016 N 885/пр)
д) винтовые сваи, состоящие как минимум из одной металлической винтовой лопасти (спирали) и трубчатого металлического ствола со значительно меньшей по сравнению с лопастью площадью поперечного сечения, погружаемые в грунт путем ее завинчивания в сочетании с регулируемым вдавливанием с лидерными скважинами или без них.
(перечисление "д" в ред.
Изменения N 1, утв. Приказом Минстроя России от 03.12.2016 N 885/пр)
6.2. По условиям взаимодействия с грунтом сваи следует подразделять на сваи-стойки и висячие (сваи трения).
К сваям-стойкам следует относить сваи всех видов, опирающиеся на скальные и слабодеформируемые грунты, а забивные сваи, кроме того, на слабодеформируемые грунты
(ГОСТ 25100), и передающие нагрузку на основание преимущественно по пяте сваи.
(в ред.
Изменения N 1, утв. Приказом Минстроя России от 03.12.2016 N 885/пр,
Изменения N 3, утв. Приказом Минстроя России от 24.01.2019 N 40/пр)
К висячим сваям (сваям трения) следует относить сваи всех видов, опирающиеся на деформируемые грунты и передающие нагрузку на основание боковой поверхностью и нижним концом.
(в ред.
Изменения N 1, утв. Приказом Минстроя России от 03.12.2016 N 885/пр)
Примечание. Исключено с 4 июня 2017 года. -
Изменение N 1, утв. Приказом Минстроя России от 03.12.2016 N 885/пр.
6.3. Забивные и вдавливаемые железобетонные сваи размером поперечного сечения 0,8 м включительно и железобетонные сваи-оболочки следует подразделять:
(в ред.
Изменения N 1, утв. Приказом Минстроя России от 03.12.2016 N 885/пр)
а) по способу армирования - на сваи и сваи-оболочки с ненапрягаемой продольной арматурой с поперечным армированием и на предварительно напряженные со стержневой или проволочной продольной арматурой (из высокопрочной проволоки и арматурных канатов) с поперечным армированием и без него;
б) по форме поперечного сечения - на сваи квадратные, прямоугольные, таврового и двутаврового сечений, квадратные с круглой полостью, полые круглого сечения;
в) по форме продольного сечения - на призматические, цилиндрические, с наклонными боковыми гранями (пирамидальные, трапецеидальные);
г) по конструктивным особенностям - на сваи цельные и составные (из отдельных секций);
д) по конструкции нижнего конца - на сваи с заостренным или плоским нижним концом, или объемным уширением (булавовидные) и на полые сваи с закрытым или открытым нижним концом или с камуфлетной пятой.
Примечание. Сваи забивные с камуфлетной пятой устраивают путем забивки полых свай круглого сечения с закрытым стальным полым наконечником с последующим заполнением полости сваи и наконечника бетонной смесью и устройством с помощью взрыва камуфлетной пяты в пределах наконечника. В проектах таких свай следует предусматривать указания о соблюдении правил производства буровзрывных работ.
6.4. Набивные сваи по способу устройства подразделяют на:
а) вытеснительные, устраиваемые путем погружения (забивкой, вдавливанием или завинчиванием) инвентарных труб, нижний конец которых закрыт оставляемым в грунте башмаком (наконечником) или бетонной пробкой, с последующим извлечением этих труб по мере заполнения скважин бетонной смесью, в том числе после устройства уширения из втрамбованной сухой бетонной смеси;
б) виброштампованные, устраиваемые в пробитых скважинах путем заполнения скважин жесткой бетонной смесью, уплотняемой виброштампом в виде трубы с заостренным нижним концом или закрепленным на ней вибропогружателем;
в) в выштампованном ложе, устраиваемые путем выштамповки в грунте скважин пирамидальной или конусной формы с последующим заполнением их бетонной смесью.
(п. 6.4 в ред.
Изменения N 1, утв. Приказом Минстроя России от 03.12.2016 N 885/пр)
6.5. Буровые сваи по способу устройства подразделяют на:
а) буронабивные сплошного сечения с уширениями и без них, бетонируемые в скважинах, пробуренных в глинистых грунтах выше уровня подземных вод без крепления стенок скважин, а в любых грунтах ниже уровня подземных вод - с закреплением стенок скважин глинистым раствором или инвентарными извлекаемыми обсадными трубами;
б) буронабивные с применением технологии непрерывного полого шнека;
в) баретты - буровые сваи, изготавливаемые технологическим оборудованием типа плоский грейфер или гидрофреза;
(в ред.
Изменения N 1, утв. Приказом Минстроя России от 03.12.2016 N 885/пр)
г) буронабивные с камуфлетной пятой, устраиваемые путем бурения скважин с последующим образованием уширения взрывом (в том числе электрохимическим) и заполнением скважин бетонной смесью;
д) буроинъекционные диаметром 0,15 - 0,35 м, устраиваемые в пробуренных скважинах путем нагнетания (инъекции) в них мелкозернистой бетонной смеси, а также устраиваемые полым шнеком или с использованием не извлекаемых буровых штанг;
(в ред.
Изменения N 1, утв. Приказом Минстроя России от 03.12.2016 N 885/пр)
е) буроинъекционные диаметром 0,15 - 0,35 м, выполняемые с уплотнением окружающего грунта путем обработки скважины по разрядно-импульсной технологии (серией разрядов импульсов тока высокого напряжения - РИТ);
ж) сваи-столбы, устраиваемые путем бурения скважин с уширением или без него, укладки в них омоноличивающего цементно-песчаного раствора и опускания в скважины предварительно изготовленных цилиндрических или призматических элементов сплошного сечения со сторонами или диаметром 0,8 м и более;
(в ред.
Изменения N 1, утв. Приказом Минстроя России от 03.12.2016 N 885/пр)
з) буроопускные сваи с камуфлетной пятой, отличающиеся от буронабивных свай с камуфлетной пятой (см.
подпункт "г") тем, что после образования и заполнения камуфлетного уширения в скважину опускают железобетонную сваю.
6.5а. Исключен с 25 июля 2019 года. -
Изменение N 3, утв. Приказом Минстроя России от 24.01.2019 N 40/пр.
6.6. Применение свай с оставляемыми обсадными трубами допускается только в случаях, когда исключена возможность применения других решений конструкции фундаментов (при устройстве буронабивных свай в пластах грунтов со скоростью фильтрационного потока более 200 м/сут, при применении буронабивных свай для закрепления действующих оползневых склонов и в других обоснованных случаях).
При устройстве буронабивных свай в водонасыщенных глинистых грунтах для крепления стенок скважин допускается использовать избыточное давление воды не менее 0,5 атм при условии удаления места проведения работ от существующих объектов не менее 25 м (указанное требование не относится к случаю устройства свай с бурением под защитой инвентарных обсадных труб).
6.7. Железобетонные и бетонные сваи следует проектировать из тяжелого бетона по
ГОСТ 26633.
Для нестандартизованных забивных железобетонных свай, а также для набивных и буровых свай необходимо предусматривать бетон класса не ниже В15, для забивных железобетонных свай с напрягаемой арматурой - не ниже В22,5.
6.8. Железобетонные ростверки свайных фундаментов следует проектировать из тяжелого бетона класса не ниже: для монолитных - В15, для сборных - В20.
Для опор мостов класс бетона свай и свайных ростверков следует назначать в соответствии с требованиями
СП 35.13330, а для гидротехнических сооружений -
СП 40.13330 и
СП 41.13330.
6.9. Бетон для замоноличивания железобетонных колонн в стаканах свайных ростверков, а также оголовков свай при сборных ленточных ростверках следует предусматривать в соответствии с требованиями
СП 63.13330, но не ниже класса В15.
Примечание. Для опор мостов и гидротехнических сооружений класс бетона для замоноличивания сборных элементов свайных фундаментов должен быть на ступень выше класса бетона соединяемых сборных элементов.
6.10. Марки бетона по морозостойкости и водонепроницаемости свай и свайных ростверков следует назначать, руководствуясь
ГОСТ 19804.6,
СП 63.13330, для мостов и гидротехнических сооружений - соответственно
СП 35.13330 и
СП 40.13330.
6.11. Деревянные сваи должны быть изготовлены из бревен хвойных пород (сосны, ели, лиственницы, пихты), соответствующих требованиям
ГОСТ 9463, диаметром 22 - 34 см и длиной 6,5 и 8,5 м. Естественная коничность (сбег) бревен сохраняется. Применение деревянных свай для фундаментов капитальных зданий и сооружений допускается при расположении их голов ниже уровня подземных вод. Допускается применять конструкции с железобетонными элементами выше уровня подземных вод и деревянными элементами ниже их уровня.
(в ред.
Изменения N 1, утв. Приказом Минстроя России от 03.12.2016 N 885/пр)
6.12. Металлические сваи могут изготавливаться из стали, а также из высокопрочного чугуна. Допускается применение сталебетонных конструкций. При устройстве стальных трубчатых свай для геотехнических категорий 2 и 3 не допускается повторное применение труб, бывших в употреблении.
(п. 6.12 введен
Изменением N 1, утв. Приказом Минстроя России от 03.12.2016 N 885/пр)
6.13. Допускается применение комбинированных свай, при устройстве которых использовано более двух технологий их устройства, в том числе с применением технологий струйной цементации и глубинного смешивания. Элементы закрепления грунта могут применяться для повышения несущей способности свай в виде:
- фрагмента закрепленного основания под пятой сваи и (или) отдельных закрепленных участков по боковой поверхности сваи;
- предварительно закрепленного грунтового массива, в который погружается заранее изготовленный элемент.
Допустима комбинация буровых или буронабивных свай с опиранием на закрепленный массив грунта, устроенный методом струйной цементации или глубинного смешивания.
(п. 6.13 введен
Изменением N 1, утв. Приказом Минстроя России от 03.12.2016 N 885/пр)
7. Проектирование свайных фундаментов
7.1. Основные указания по расчету
7.1.1. Расчет свайных фундаментов и их оснований должен быть выполнен в соответствии с
ГОСТ 27751 по предельным состояниям:
первой группы:
а) по прочности материала свай и свайных ростверков;
б) по несущей способности (предельному сопротивлению) грунта основания свай;
в) по потере общей устойчивости оснований свайных фундаментов, если на них передаются значительные горизонтальные нагрузки (подпорные стены, фундаменты распорных конструкций и др.), в том числе сейсмические, если сооружение расположено на откосе или вблизи него или если основание сложено крутопадающими слоями грунта. Этот расчет следует производить с учетом конструктивных мероприятий, предусмотренных для предотвращения смещения проектируемого фундамента;
второй группы:
а) по осадкам оснований свай и свайных фундаментов от вертикальных нагрузок (см.
подраздел 7.4);
б) по перемещениям свай совместно с грунтом оснований от действия горизонтальных нагрузок и моментов (см.
Приложение В);
в) по образованию или чрезмерному раскрытию трещин в элементах железобетонных конструкций свайных фундаментов.
7.1.2. В расчетах оснований свайных фундаментов следует учитывать совместное действие силовых факторов и неблагоприятных влияний внешней среды (например, влияние подземных вод и их режима на физико-механические свойства грунтов и др.) на весь период эксплуатации.
(в ред.
Изменения N 1, утв. Приказом Минстроя России от 03.12.2016 N 885/пр)
Сооружение и его основание должны рассматриваться совместно, т.е. должно учитываться взаимодействие сооружения со сжимаемым основанием.
Расчетная схема системы "сооружение - основание" или "фундамент - основание" должна выбираться с учетом наиболее существенных факторов, определяющих напряженное состояние и деформации основания и конструкций сооружения (статической схемы сооружения, особенностей его возведения, характера грунтовых напластований, свойств грунтов основания, возможности их изменения в процессе строительства и эксплуатации сооружения и т.д.). Рекомендуется учитывать пространственную работу конструкций, геометрическую и физическую нелинейность, анизотропность, пластические и реологические свойства материалов и грунтов, развитие областей пластических деформаций под фундаментом.
Расчет свайных фундаментов должен проводиться с построением математических моделей, описывающих механическое поведение свайных фундаментов для первого или второго предельного состояния. Расчетная модель может представляться в аналитическом или численном виде. При проведении расчетов несущей способности и осадок одиночных свай предпочтение следует отдавать табулированным или аналитическим решениям, приведенным в настоящем СП. Расчеты большеразмерных свайных кустов и комбинированных свайно-плитных фундаментов (КСП) следует, преимущественно, проводить численно.
При проектировании свайных фундаментов следует учитывать жесткость конструкций, объединяющих головы свай, что должно отражаться в расчетной модели. При этом при составлении расчетной модели должны также учитываться:
грунтовые условия площадки строительства;
гидрогеологический режим;
особенности устройства свай;
наличие шлама под нижним концом свай.
При проведении численных расчетов расчетная схема системы "ростверк - сваи - грунтовое основание" должна выбираться с учетом наиболее существенных факторов, определяющих сопротивление указанной системы. Необходимо учитывать продолжительность и возможное изменение во времени нагружения свай и свайных фундаментов.
(в ред.
Изменения N 1, утв. Приказом Минстроя России от 03.12.2016 N 885/пр)
Расчетная модель свайных фундаментов должна строиться таким образом, чтобы содержать погрешность только в сторону запаса надежности проектируемых надземных конструкций. Если заранее такая погрешность не может быть определена, необходимо проведение вариантных расчетов и определение наиболее неблагоприятных воздействий для надземных конструкций.
| | Изменением N 1, утв. Приказом Минстроя России от 03.12.2016 N 885/пр, в последний абзац пункта 7.1.2 были внесены изменения. | |
При проведении компьютерных расчетов свайных фундаментов следует учитывать возможные неопределенности, связанные с назначением расчетной модели и выбором деформационных и прочностных показателей грунтов основания. Для этого при проведении численных расчетов, определяющих возможное сопротивление одиночных свай, групп свай и свайно-плитных фундаментов, рекомендуется проводить сопоставление результатов расчета отдельных элементов расчетной схемы с аналитическими решениями, а также выполнять сопоставление альтернативных результатов расчета по различным геотехническим программам.
7.1.2а. При проектировании свайных фундаментов допускается использовать как компьютерные программы, реализующие методики настоящего свода правил, так и численные решения с использованием апробированных геотехнических моделей. Программное обеспечение должно быть верифицировано (проверено).
(п. 7.1.2а введен
Изменением N 1, утв. Приказом Минстроя России от 03.12.2016 N 885/пр)
7.1.3. Нагрузки и воздействия, учитываемые в расчетах свайных фундаментов, коэффициенты надежности по нагрузке, а также возможные сочетания нагрузок следует принимать в соответствии с требованиями
СП 20.13330,
СП 22.13330.
7.1.4. Расчет свай, свайных фундаментов и их оснований по несущей способности необходимо выполнять на основные и особые сочетания нагрузок, по деформациям - на основные сочетания.
7.1.5. Нагрузки, воздействия, их сочетания и коэффициенты надежности по нагрузке при расчете свайных фундаментов мостов и гидротехнических сооружений следует принимать согласно требованиям
СП 35.13330;
СП 40.13330;
СП 38.13330 и
СП 58.13330.
7.1.6. Расчеты свай, свайных фундаментов и их оснований следует выполнять с использованием расчетных значений характеристик материалов и грунтов.
(в ред.
Изменения N 1, утв. Приказом Минстроя России от 03.12.2016 N 885/пр)
Расчетные значения характеристик грунтов следует определять в соответствии с
ГОСТ 20522, расчетные значения коэффициентов постели грунта

, окружающего сваю, следует принимать в соответствии с
Приложением В.
Расчетные сопротивления грунта под нижним концом сваи R и на боковой поверхности сваи

следует определять по указаниям
подраздела 7.2 или путем расчета с использованием численного моделирования.
(в ред.
Изменения N 1, утв. Приказом Минстроя России от 03.12.2016 N 885/пр)
При наличии результатов полевых исследований, проведенных в соответствии с требованиями
подраздела 7.3, несущую способность грунта основания свай следует определять с учетом данных статического зондирования грунтов, испытаний грунтов эталонными сваями или по данным динамических испытаний свай. В случае проведения испытаний свай статической нагрузкой несущую способность грунта основания сваи следует принимать по результатам этих испытаний, учитывая рекомендации
подраздела 7.3. При применении комбинированных свай их несущая способность должна определяться только на основании статических испытаний.
(в ред.
Изменения N 1, утв. Приказом Минстроя России от 03.12.2016 N 885/пр)
Для объектов, по которым не проводились испытания натурных свай статической нагрузкой, рекомендуется определять несущую способность грунта основания сваи несколькими из возможных способов, указанных в
подразделах 7.2 и
7.3, учитывая при этом уровень ответственности сооружения.
7.1.7. Расчет свай и свайных ростверков по прочности материала должен производиться в соответствии с требованиями действующих правил по расчету бетонных, железобетонных, стальных и деревянных конструкций.
Расчет элементов железобетонных конструкций свайных фундаментов по образованию и раскрытию трещин следует производить в соответствии с требованиями
СП 63.13330, для мостов и гидротехнических сооружений - также с учетом требований
СП 35.13330 и
СП 40.13330 соответственно.
7.1.8. При расчете свай всех видов по прочности материала сваю допускается рассматривать как стержень, жестко защемленный в грунте в сечении, расположенном от подошвы ростверка на расстоянии

, определяемом по формуле

, (7.1)
где

- длина участка сваи от подошвы высокого ростверка до уровня планировки грунта, м;

- коэффициент деформации, 1/м, определяемый по рекомендуемому
Приложению Г.
Если для буровых свай и свай-оболочек, заглубленных сквозь толщу нескального грунта и заделанных в скальный грунт, отношение

, то следует принимать

(где h - глубина погружения сваи или сваи-оболочки, отсчитываемая от ее нижнего конца до уровня планировки грунта при высоком ростверке, подошва которого расположена над грунтом, и до подошвы ростверка при низком ростверке, подошва которого опирается или заглублена в нескальные грунты, за исключением сильносжимаемых, м).
При расчете по прочности материала буроинъекционных свай, прорезающих сильносжимаемые грунты с модулем деформации E <= 5 МПа, расчетную длину свай на продольный изгиб

в зависимости от диаметра свай d следует принимать равной:
при E <= 2 МПа

при 2 < E <= 5 МПа

.
В случае если

превышает толщину слоя сильносжимаемого грунта

, расчетную длину следует принимать равной

.
7.1.9. При расчете набивных, буровых свай и баретт (кроме свай-столбов и буроопускных свай) по прочности материала расчетное сопротивление бетона следует принимать с понижающим коэффициентом условий работы

, учитывающим бетонирование в узком пространстве скважин и обсадных труб, и дополнительного понижающего коэффициента

, учитывающего влияние способа производства свайных работ:
а) в глинистых грунтах, если возможны бурение скважин и бетонирование их насухо без крепления стенок при положении уровня подземных вод в период строительства ниже пяты свай,

;
б) в грунтах, бурение скважин и бетонирование в которых производят насухо с применением извлекаемых обсадных труб или полых шнеков,

;
в) в грунтах, бурение скважин и бетонирование в которых осуществляют при наличии в них воды с применением извлекаемых обсадных труб или полых шнеков,

;
г) в грунтах, бурение скважин и бетонирование в которых выполняют под глинистым раствором или под избыточным давлением воды (без обсадных труб),

.
Примечание. Бетонирование свай под водой или под глинистым раствором следует производить только методом вертикально перемещаемой трубы (ВПТ) или с помощью бетононасосов.
7.1.10. Расчеты конструкций свай всех видов следует производить на воздействие нагрузок, передаваемых на них от сооружения, а предварительно изготовленных (забивных) свай, кроме того, на усилия, возникающие в них от собственного веса при изготовлении, складировании, транспортировании свай, а также при подъеме их на копер за одну точку, удаленную от головы свай на 0,3l (где l - длина сваи).
При этом усилие в свае от воздействия собственного веса следует определять с учетом коэффициента динамичности, равного:
1,5 - при расчете по прочности;
1,25 - при расчете по образованию и раскрытию трещин.
В этих случаях коэффициент надежности по нагрузке к собственному весу сваи принимают равным единице.
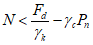
7.1.11. Допускаемую нагрузку на сваю

в составе фундамента или одиночную сваю следует определять исходя из условия:
(в ред.
Изменения N 3, утв. Приказом Минстроя России от 24.01.2019 N 40/пр)

, (7.2)
Минстроя России от 03.12.2016 N 885/пр)
где N - расчетная нагрузка, передаваемая на сваю от наиболее невыгодного сочетания нагрузок, действующих на фундамент, определяемая в соответствии с
7.1.12;
(в ред.
Изменения N 1, утв. Приказом Минстроя России от 03.12.2016 N 885/пр)

- предельное сопротивление грунта основания одиночной сваи, называемая в дальнейшем несущей способностью сваи и определяемая в соответствии с
подразделами 7.2 и
7.3;
(в ред.
Изменения N 1, утв. Приказом Минстроя России от 03.12.2016 N 885/пр)
абзац исключен с 4 июня 2017 года. -
Изменение N 1, утв. Приказом Минстроя России от 03.12.2016 N 885/пр;

- коэффициент надежности по ответственности сооружения, принимаемый по
ГОСТ 27751, но не менее 1;
(в ред.
Изменения N 1, утв. Приказом Минстроя России от 03.12.2016 N 885/пр)

- коэффициент надежности по грунту, принимаемый равным:
(в ред.
Изменения N 1, утв. Приказом Минстроя России от 03.12.2016 N 885/пр)
1,2 - если несущая способность сваи определена по результатам полевых испытаний статической нагрузкой;
1,25 - если несущая способность сваи определена расчетом по результатам статического зондирования грунта или по результатам динамических испытаний сваи, выполненных с учетом упругих деформаций грунта, а также по результатам полевых испытаний грунтов эталонной сваей или сваей-зондом;
1,4 - если несущая способность сваи определена расчетом с использованием таблиц свода правил, в том числе по результатам динамических испытаний свай, выполненных без учета упругих деформаций грунта;
(в ред.
Изменения N 1, утв. Приказом Минстроя России от 03.12.2016 N 885/пр)
1,4 (1,25) - для фундаментов опор мостов при низком ростверке, на висячих сваях (сваях трения) и сваях-стойках, а при высоком ростверке - только при сваях-стойках, воспринимающих сжимающую нагрузку независимо от числа свай в фундаменте;
1,5 - если несущая способность сваи определена расчетом с использованием компьютерных программ на основании численного моделирования.
(абзац введен
Изменением N 1, утв. Приказом Минстроя России от 03.12.2016 N 885/пр)
Для фундаментов опор мостов и для гидротехнических сооружений при высоком или низком ростверке, подошва которого опирается на грунты с модулем деформации
E < 5 МПа, и висячих сваях, воспринимающих сжимающую нагрузку, а также для любых сооружений при любом виде ростверка и висячих сваях и сваях-стойках, воспринимающих выдергивающую нагрузку,

принимают в зависимости от числа свай в фундаменте:
(в ред.
Изменения N 1, утв. Приказом Минстроя России от 03.12.2016 N 885/пр,
Изменения N 3, утв. Приказом Минстроя России от 24.01.2019 N 40/пр)
При 21 свае и более 1,4 (1,25);
от 11 до 20 свай 1,55 (1,4);
" 6 " 10 " 1,65 (1,5);
" 1 " 5 " 1,75 (1,6).
Для фундаментов из одиночной сваи под колонну при нагрузке на забивную сваю квадратного сечения более 600 кН, набивную или буровую сваю - более 2500 кН, значение коэффициента

следует принимать равным 1,4, если несущая способность сваи определена по результатам испытаний статической нагрузкой, и 1,6, если несущая способность сваи определена другими способами.
(в ред.
Изменения N 1, утв. Приказом Минстроя России от 03.12.2016 N 885/пр)
Примечания. 1. В скобках даны значения

в случае, когда несущая способность сваи определена по результатам полевых испытаний статической нагрузкой или расчетом по результатам статического зондирования грунтов.
(в ред.
Изменения N 1, утв. Приказом Минстроя России от 03.12.2016 N 885/пр)
2. При расчете свай всех видов как на вдавливающие, так и на выдергивающие нагрузки продольное усилие, возникающее в свае от расчетной нагрузки N, следует определять с учетом собственного веса сваи, принимаемого с коэффициентом надежности по нагрузке, увеличивающим расчетное усилие.
3. Если расчет свайных фундаментов производится с учетом ветровых и крановых нагрузок, то воспринимаемую крайними сваями расчетную нагрузку допускается повышать на 20% (кроме фундаментов опор линий электропередачи).
4. Если сваи фундамента опоры моста в направлении действия внешних нагрузок образуют один или несколько рядов, то при учете (совместном или раздельном) нагрузок от торможения, давления ветра, льда и навала судов, воспринимаемых наиболее нагруженной сваей, расчетную нагрузку допускается повышать на 10% при четырех сваях в ряду и на 20% при восьми сваях и более. При промежуточном числе свай процент повышения расчетной нагрузки определяют интерполяцией.
5 При расчете сваи в составе большеразмерных кустов и полей свай на основании численного моделирования допускается учитывать возможность увеличения предельного сопротивления грунта основания сваи по сравнению с предельным сопротивлением грунта основания одиночной сваи.
(примечание 5 введено
Изменением N 2, утв. Приказом Минстроя России от 20.11.2018 N 734/пр)
7.1.12. Расчетную нагрузку на сваю N, кН, следует определять, рассматривая фундамент как группу свай, объединенную жестким ростверком, воспринимающим вертикальные и горизонтальные нагрузки и изгибающие моменты.
Для фундаментов с вертикальными сваями расчетную нагрузку на сваю допускается определять по формуле

, (7.3)
где

- расчетная сжимающая сила, кН, передаваемая на свайный ростверк в уровне его подошвы;

,

- передаваемые на свайный ростверк в плоскости подошвы расчетные изгибающие моменты, кН·м, относительно главных центральных осей x и y плана свай в плоскости подошвы ростверка;
N - число свай в фундаменте;

,

- расстояния от главных осей до оси каждой сваи, м;
x, y - расстояния от главных осей до оси каждой сваи, для которой вычисляют расчетную нагрузку, м.
7.1.13. Горизонтальную нагрузку, действующую на фундамент с жестким ростверком с вертикальными сваями одинакового поперечного сечения, допускается принимать равномерно распределенной между всеми сваями.
7.1.14. Проверка устойчивости свайного фундамента и его основания должна производиться в соответствии с требованиями
СП 22.13330 с учетом действия дополнительных горизонтальных реакций от свай, приложенных к сдвигаемой части грунта.
7.1.15. Сваи и свайные фундаменты следует рассчитывать по прочности материала и производить проверку устойчивости фундаментов при действии сил морозного пучения, если основание сложено пучинистыми грунтами
(Приложение Ж).
7.1.16. Расчет свай и свайных фундаментов по деформациям следует производить исходя из условия

, (7.4)
где s - совместная деформация сваи, свайного фундамента и сооружения (осадка, перемещение, относительная разность осадок свай, свайных фундаментов и т.п.), определяемая расчетом с учетом
7.1.4,
7.1.5, по
подразделу 7.4 и
Приложению В;

- предельное значение совместной деформации основания сваи, свайного фундамента и сооружения, устанавливаемое в соответствии со
СП 22.13330, а для мостов -
СП 35.13330.
7.1.17. При необходимости выполнения оценки экономической эффективности технических решений при реконструкции, капитальном ремонте или проведении защитных мероприятий от природных и техногенных воздействий, а также при новом строительстве, как в период проведения работ, так и при последующей нормативной эксплуатации сооружения, ее следует выполнять в соответствии с методикой, представленной в
приложении И.
(п. 7.1.17 введен
Изменением N 3, утв. Приказом Минстроя России от 24.01.2019 N 40/пр)
7.2. Расчетные методы определения несущей способности свай
Сваи-стойки
7.2.1. Расчетные методы следует использовать для оценки несущей способности свай-стоек при проектировании сооружений всех уровней ответственности.
(абзац введен
Изменением N 1, утв. Приказом Минстроя России от 03.12.2016 N 885/пр, в ред.
Изменения N 3, утв. Приказом Минстроя России от 24.01.2019 N 40/пр)
Несущую способность

, кН, забивной сваи, сваи-оболочки, набивной и буровой сваи, опирающейся на скальный грунт, а также забивной сваи, опирающейся на слабодеформируемый грунт, принимается равной несущей способности основания под нижним концом сваи
Fdb:
Fd = Fdb (7.5а)
(в ред.
Изменения N 1, утв. Приказом Минстроя России от 03.12.2016 N 885/пр)
Несущую способность основания под нижним концом сваи Fdb следует определять, используя расчетное сопротивление грунта под нижним концом сваи, по формуле
(абзац введен
Изменением N 1, утв. Приказом Минстроя России от 03.12.2016 N 885/пр)

, (7.5)
где

- коэффициент условий работы сваи в грунте, принимаемый равным 1;
R - расчетное сопротивление грунта под нижним концом сваи-стойки, кПа;
A - площадь опирания на грунт сваи, м2, принимаемая для свай сплошного сечения и полых свай с закрытым нижним концом равной площади поперечного сечения брутто, для свай полых круглого сечения с открытым нижним концом и свай-оболочек - равной площади поперечного сечения нетто при отсутствии заполнения их полости бетоном и равной площади поперечного сечения брутто при заполнении этой полости бетоном на высоту не менее трех ее диаметров.
Расчетное сопротивление скального грунта R для всех видов забивных свай, опирающихся на скальные и слабодеформируемые грунты, следует принимать R = 20000 кПа.
(в ред.
Изменения N 1, утв. Приказом Минстроя России от 03.12.2016 N 885/пр)
Для набивных, буровых свай и свай-оболочек, заполняемых бетоном, опирающихся на невыветрелые скальные грунты (без слабых прослоек) при ld < 0,5 м, R следует определять по формуле
(в ред.
Изменения N 1, утв. Приказом Минстроя России от 03.12.2016 N 885/пр,
Изменения N 3, утв. Приказом Минстроя России от 24.01.2019 N 40/пр)

, (7.6)
где

- расчетное сопротивление массива скального грунта под нижним концом сваи-стойки, определяемое по

- нормативному значению предела прочности на одноосное сжатие массива скального грунта в водонасыщенном состоянии, кПа, определяемому, как правило, в полевых условиях;

- коэффициент надежности по грунту, принимаемый равным 1,4.
Для предварительных расчетов оснований сооружений всех уровней ответственности значения характеристик

и

допускается принимать равным

,

,

и

- соответственно расчетное и нормативное значения предела прочности на одноосное сжатие скального грунта в водонасыщенном состоянии, кПа, определяются по результатам испытаний образцов отдельностей (монолитов) в лабораторных условиях;

- коэффициент, учитывающий снижение прочности ввиду трещиноватости скальных грунтов, принимаемый по таблице 7.1.
(в ред.
Изменения N 1, утв. Приказом Минстроя России от 03.12.2016 N 885/пр)
Таблица 7.1
Степень трещиноватости | Показатель качества породы RQD, % | Коэффициент снижения прочности  |
Очень слаботрещиноватые | 90 - 100 | 1 |
Слаботрещиноватые | 75 - 90 | От 0,60 до 1 |
Среднетрещиноватые | 50 - 75 | Св. 0,32 " 0,60 |
Сильнотрещиноватые | 25 - 50 | 0,22 - 0,32 |
(в ред. Изменения N 1, утв. Приказом Минстроя России от 03.12.2016 N 885/пр) |
Очень сильнотрещиноватые | 0 - 25 | 0,22 |
(в ред. Изменения N 1, утв. Приказом Минстроя России от 03.12.2016 N 885/пр) |
Примечания. 1.  значениям RQD соответствуют  значения  . 2. Для промежуточных значений RQD коэффициент  определяется интерполяцией. 3. Исключено с 4 июня 2017 года. - Изменение N 1, утв. Приказом Минстроя России от 03.12.2016 N 885/пр. |
В любом случае значение R следует принимать не более 20000 кПа и не менее величины расчетного сопротивления под нижним концом сваи для крупнообломочных грунтов с песчаным заполнителем и с углом внутреннего трения

согласно
7.2.7.
(в ред.
Изменения N 1, утв. Приказом Минстроя России от 03.12.2016 N 885/пр)
Расчетное сопротивление скального грунта R для набивных и буровых свай и свай-оболочек, заполняемых бетоном и заделанных в невыветрелый скальный грунт (без слабых прослоек) не менее чем на 0,5 м, определяется по формуле

, (7.7)

- расчетная глубина заделки набивной и буровой сваи и сваи-оболочки в скальный грунт, м (рисунок 1а);
(в ред.
Изменения N 1, утв. Приказом Минстроя России от 03.12.2016 N 885/пр)

- наружный диаметр заделанной в скальный грунт части набивной и буровой свай и сваи-оболочки, м.
Q - вертикальная нагрузка на сваю; Qb - вертикальная
нагрузка, воспринимаемая пятой сваи, Q = Qb
Рисунок 1а - Опирание сваи на скальный грунт
Минстроя России от 03.12.2016 N 885/пр)
Значение фактора заглубления

принимается не более 3.
Для окончательных расчетов оснований сооружений I и II уровней ответственности, а также оснований, сложенных выветрелыми, размягчаемыми, со слабыми прослойками скальными грунтами, несущую способность сваи-стойки

следует принимать по результатам испытаний свай статической нагрузкой.
Для свай-оболочек, равномерно опираемых на поверхность невыветрелого скального грунта, прикрытого слоем нескальных неразмываемых грунтов толщиной не менее трех диаметров сваи-оболочки, - по
формуле (7.7), принимая фактор заглубления

равным единице.
Примечание. При наличии в основании набивных, буровых свай и свай-оболочек выветрелых, а также размягчаемых скальных грунтов их предел прочности на одноосное сжатие следует принимать по результатам испытаний штампами или по результатам испытаний свай и свай-оболочек статической нагрузкой.
7.2.1а. Для предварительной оценки несущей способности
Fd сваи, прорезающей толщу скальных грунтов, ее величину допускается определять с учетом расчетного сопротивления грунтов основания на боковой поверхности сваи согласно
Приложению Б.
(п. 7.2.1а введен
Изменением N 1, утв. Приказом Минстроя России от 03.12.2016 N 885/пр)
7.2.1б. Для расчетов оснований сооружений классов КС-3 и КС-2, а также оснований, сложенных выветрелыми, размягчаемыми, со слабыми прослойками скальными грунтами, несущую способность сваи-стойки Fd следует принимать по результатам испытаний свай статической нагрузкой.
(п. 7.2.1б введен
Изменением N 1, утв. Приказом Минстроя России от 03.12.2016 N 885/пр, в ред.
Изменения N 2, утв. Приказом Минстроя России от 20.11.2018 N 734/пр)
Висячие забивные, вдавливаемые всех видов и железобетонные
сваи-оболочки, погружаемые без выемки грунта
(забивные сваи трения)
Минстроя России от 03.12.2016 N 885/пр)
7.2.2. Несущую способность
Fd, кН, висячей забивной и вдавливаемой свай и железобетонной сваи-оболочки, погружаемой без выемки грунта, работающей на вдавливающую нагрузку, следует определять как сумму расчетных сопротивлений грунтов основания под нижним концом сваи и на ее боковой поверхности по формуле

, (7.8)
(в ред.
Изменения N 1, утв. Приказом Минстроя России от 03.12.2016 N 885/пр)
где

- коэффициент условий работы сваи в грунте, принимаемый равным 1;
R - расчетное сопротивление грунта под нижним концом сваи, кПа, принимаемое по
таблице 7.2;
A - площадь опирания на грунт сваи, м2, принимаемая по площади поперечного сечения сваи брутто или по площади поперечного сечения камуфлетного уширения по его наибольшему диаметру, или по площади сваи-оболочки нетто;
u - наружный периметр поперечного сечения ствола сваи, м;

- расчетное сопротивление i-го слоя грунта основания на боковой поверхности сваи, кПа, принимаемое по
таблице 7.3;

- толщина i-го слоя грунта, соприкасающегося с боковой поверхностью сваи, м;

,

- коэффициенты условий работы грунта соответственно под нижним концом и на боковой поверхности сваи, учитывающие влияние способа погружения сваи на расчетные сопротивления грунта и принимаемые по
таблице 7.4.
(в ред.
Изменения N 1, утв. Приказом Минстроя России от 03.12.2016 N 885/пр)
Глубина погружения нижнего конца сваи, м | Расчетные сопротивления под нижним концом забивных и вдавливаемых свай и свай-оболочек, погружаемых без выемки грунта, R, кПа |
песков средней плотности |
гравелистых | крупных | - | средней крупности | мелких | пылеватых | - |
глинистых грунтов при показателе текучести IL, равном |
0 | 0,1 | 0,2 | 0,3 | 0,4 | 0,5 | 0,6 |
3 | 7500 | 6600 ----- 4000 | 3000 | 3100 ----- 2000 | 2000 ----- 1200 | 1100 | 600 |
4 | 8300 | 6800 ----- 5100 | 3800 | 3200 ----- 2500 | 2100 ----- 1600 | 1250 | 700 |
5 | 8800 | 7000 ----- 6200 | 4000 | 3400 ----- 2800 | 2200 ----- 2000 | 1300 | 800 |
7 | 9700 | 7300 ----- 6900 | 4300 | 3700 ----- 3300 | 2400 ----- 2200 | 1400 | 850 |
10 | 10500 | 7700 ----- 7300 | 5000 | 4000 ----- 3500 | 2600 ----- 2400 | 1500 | 900 |
15 | 11700 | 8200 ----- 7500 | 5600 | 4400 ----- 4000 | 2900 | 1650 | 1000 |
20 | 12600 | 8500 | 6200 | 4800 ----- 4500 | 3200 | 1800 | 1100 |
25 | 13400 | 9000 | 6800 | 5200 | 3500 | 1950 | 1200 |
30 | 14200 | 9500 | 7400 | 5600 | 3800 | 2100 | 1300 |
35 | 15000 | 10000 | 8000 | 6000 | 4100 | 2250 | 1400 |
(в ред. Изменения N 1, утв. Приказом Минстроя России от 03.12.2016 N 885/пр) |
40 | 15800 | 10500 | 8600 | 6400 | 4400 | 2400 | 1500 |
(позиция введена Изменением N 1, утв. Приказом Минстроя России от 03.12.2016 N 885/пр) |
Примечания. 1. Над чертой даны значения R для песков, под чертой - для глинистых грунтов. 2. В таблицах 7.2 и 7.3 глубину погружения нижнего конца сваи и среднюю глубину расположения слоя грунта при планировке территории срезкой, подсыпкой, намывом до 3 м следует принимать от уровня природного рельефа, а при срезке, подсыпке, намыве от 3 м - от условной отметки, расположенной соответственно на 3 м выше уровня срезки или на 3 м ниже уровня подсыпки. Глубину погружения нижнего конца сваи и среднюю глубину расположения слоя грунта в водоеме следует принимать от уровня дна после общего размыва расчетным паводком, на болотах - от уровня дна болота. При проектировании путепроводов через выемки глубиной до 6 м для свай, забиваемых молотами без подмыва или устройства лидерных скважин, глубину погружения в грунт нижнего конца сваи в таблице 7.2 следует принимать от уровня природного рельефа в месте сооружения фундамента. Для выемок глубиной более 6 м глубину погружения свай следует принимать как для выемок глубиной 6 м. 3. Для промежуточных глубин погружения свай и промежуточных значений показателя текучести I L глинистых грунтов значения R и f i в таблицах 7.2 и 7.3 определяются интерполяцией. 4. Для плотных песков, плотность которых определена по данным статического зондирования, значения R по таблице 7.2 для свай, погруженных без использования подмыва или лидерных скважин, следует увеличить на 100% - для песков крупных и средней крупности и на 130% - для песков мелких и пылеватых. При определении плотности грунта по данным других видов инженерных изысканий и отсутствии данных статического зондирования для плотных песков значении R по таблице 7.2 следует увеличить на 60% - для песков крупных и средней крупности и на 75% - для песков мелких и пылеватых, но не более чем до 20000 кПа. |
(примечание 4 в ред. Изменения N 1, утв. Приказом Минстроя России от 03.12.2016 N 885/пр) |
5. Значения расчетных сопротивлений R по таблице 7.2 допускается использовать при условии, если заглубление свай в неразмываемый и несрезаемый грунт составляет не менее, м: 4,0 - для мостов и гидротехнических сооружений; 3,0 - для зданий и прочих сооружений. 6. Значения расчетного сопротивления R под нижним концом забивных свай сечением 0,15 x 0,15 м и менее, используемых в качестве фундаментов под внутренние перегородки одноэтажных производственных зданий, допускается увеличивать на 20%. 7. Для супесей при числе пластичности Ip <= 4 и коэффициенте пористости e < 0,8 расчетные сопротивления R и fi следует определять как для пылеватых песков средней плотности. 8. При расчетах показатель текучести грунтов следует принимать применительно к прогнозируемому их состоянию в период эксплуатации проектируемых зданий и сооружений. |
Средняя глубина расположения слоя грунта, м | Расчетные сопротивления на боковой поверхности забивных и вдавливаемых свай и свай-оболочек fi, кПа |
песков средней плотности |
крупных и средней крупности | мелких | пылеватых | - | - | - | - | - | - |
глинистых грунтов при показателе текучести IL, равном |
<= 0,2 | 0,3 | 0,4 | 0,5 | 0,6 | 0,7 | 0,8 | 0,9 | 1,0 |
1 | 35 | 23 | 15 | 12 | 8 | 4 | 4 | 3 | 2 |
2 | 42 | 30 | 21 | 17 | 12 | 7 | 5 | 4 | 4 |
3 | 48 | 35 | 25 | 20 | 14 | 8 | 7 | 6 | 5 |
4 | 53 | 38 | 27 | 22 | 16 | 9 | 8 | 7 | 5 |
5 | 56 | 40 | 29 | 24 | 17 | 10 | 8 | 7 | 6 |
6 | 58 | 42 | 31 | 25 | 18 | 10 | 8 | 7 | 6 |
8 | 62 | 44 | 33 | 26 | 19 | 10 | 8 | 7 | 6 |
10 | 65 | 46 | 34 | 27 | 19 | 10 | 8 | 7 | 6 |
15 | 72 | 51 | 38 | 28 | 20 | 11 | 8 | 7 | 6 |
20 | 79 | 56 | 41 | 30 | 20 | 12 | 8 | 7 | 6 |
25 | 86 | 61 | 44 | 32 | 20 | 12 | 8 | 7 | 6 |
30 | 93 | 66 | 47 | 34 | 21 | 12 | 9 | 8 | 7 |
35 | 100 | 70 | 50 | 36 | 22 | 13 | 9 | 8 | 7 |
(в ред. Изменения N 1, утв. Приказом Минстроя России от 03.12.2016 N 885/пр) |
40 | 107 | 74 | 53 | 38 | 23 | 14 | 9 | 8 | 7 |
(позиция введена Изменением N 1, утв. Приказом Минстроя России от 03.12.2016 N 885/пр) |
Примечания. 1. При определении расчетного сопротивления грунта на боковой поверхности свай f i следует учитывать требования, изложенные в примечаниях 2, 3 и 8 к таблице 7.2. 2. При определении расчетных сопротивлений грунтов на боковой поверхности свай fi пласты грунтов следует расчленять на однородные слои толщиной не более 2 м. 3. Значения расчетного сопротивления плотных песков на боковой поверхности свай fi следует увеличивать на 30% по сравнению со значениями, приведенными в таблице. 4. Расчетные сопротивления супесей и суглинков с коэффициентом пористости e < 0,5 и глин с коэффициентом пористости e < 0,6 следует увеличивать на 15% по сравнению со значениями, приведенными в таблице 7.3, при любых значениях показателя текучести. |
Способы погружения забивных и вдавливаемых свай и свай-оболочек, погружаемых без выемки грунта, и виды грунтов | Коэффициенты условий работы грунта при расчете несущей способности свай |
под нижним концом  | на боковой поверхности  |
1. Погружение сплошных и полых с закрытым нижним концом свай механическими (подвесными), паровоздушными и дизельными молотами | 1,0 | 1,0 |
2. Погружение забивкой и вдавливанием в предварительно пробуренные лидерные скважины с заглублением концов свай не менее 1 м ниже забоя скважины при ее диаметре: | | |
а) равном стороне квадратной сваи | 1,0 | 0,5 |
б) на 0,05 м менее стороны квадратной сваи | 1,0 | 0,6 |
в) на 0,15 м менее стороны квадратной или диаметра сваи круглого сечения (для опор линий электропередачи) | 1,0 | 1,0 |
3. Погружение с подмывом в песчаные грунты при условии добивки свай на последнем этапе погружения без применения подмыва на 1 м и более | 1,0 | 0,9 |
4. Вибропогружение свай-оболочек, вибропогружение и вибровдавливание свай в грунты: | | |
а) пески средней плотности: | | |
крупные и средней крупности | 1,2 | 1,0 |
мелкие | 1,1 | 1,0 |
пылеватые | 1,0 | 1,0 |
б) глинистые с показателем текучести IL = 0,5: | | |
супеси | 0,9 | 0,9 |
суглинки | 0,8 | 0,9 |
глины | 0,7 | 0,9 |
в) глинистые с показателем текучести IL <= 0 | 1,0 | 1,0 |
5. Погружение молотами полых железобетонных свай с открытым нижним концом: | | |
а) при диаметре полости сваи менее 0,4 м | 1,0 | 1,0 |
б) то же, от 0,4 до 0,8 м | 0,7 | 1,0 |
6. Погружение любым способом полых свай круглого сечения с закрытым нижним концом на глубину 10 м и более с последующим устройством в нижнем конце свай камуфлетного уширения в песчаных грунтах средней плотности и в глинистых грунтах с показателем текучести IL <= 0,5 при диаметре уширения, равном: | | 1,0 |
а) 1,0 м независимо от указанных видов грунта | 0,9 | 1,0 |
б) 1,5 м в песках и супесях | 0,8 | 1,0 |
в) 1,5 м в суглинках и глинах | 0,7 | 1,0 |
7. Погружение вдавливанием свай: | | |
а) в пески крупные, средней крупности и мелкие | 1,1 | 1,0 |
б) в пески пылеватые | 1,1 | 0,8 |
в) в глинистые грунты с показателем текучести IL < 0,5 | 1,1 | 1,0 |
г) то же, IL >= 0,5 | 1,0 | 1,0 |
Примечание. Коэффициенты  и  по поз. 4 для глинистых грунтов с показателем текучести 0,5 > I L > 0 определяют интерполяцией. |
(в ред.
Изменения N 1, утв. Приказом Минстроя России от 03.12.2016 N 885/пр)
В
формуле (7.8) суммировать сопротивления грунта следует по всем слоям грунта, пройденным сваей, за исключением случаев, когда проектом предусматривается планировка территории срезкой или возможен размыв грунта. В этих случаях следует суммировать сопротивления всех слоев грунта, расположенных соответственно ниже уровня планировки (срезки) и дна водоема после его местного размыва при расчетном паводке.
Примечания. 1. Несущую способность забивных булавовидных свай следует определять по
формуле (7.8), при этом за периметр u на участке ствола следует принимать периметр поперечного сечения ствола сваи, на участке уширения - периметр поперечного сечения уширения. Расчетное сопротивление

грунта на боковой поверхности таких свай на участке уширения, а в песках и на участке ствола следует принимать таким же, как для свай без уширения; в глинистых грунтах сопротивление

на участке ствола, расположенного выше уширения, следует принимать равным нулю.
2. Расчетные сопротивления грунтов R и

в
формуле (7.8) для лессовых грунтов при глубине погружения свай более 5 м следует принимать по значениям, указанным в
таблицах 7.2 и
7.3 для глубины 5 м. Кроме того, для этих грунтов в случае возможности их замачивания расчетные сопротивления R и

, указанные в
таблицах 7.2 и
7.3, следует принимать при показателе текучести, соответствующем полному их водонасыщению.
7.2.3. Для забивных и вдавливаемых свай, опирающихся нижним концом на рыхлые пески или на глинистые грунты с показателем текучести

, несущую способность

, кН, следует определять по результатам статических испытаний свай.
7.2.4. Несущую способность пирамидальной, трапецеидальной и ромбовидной свай, прорезающих песчаные и глинистые грунты,

, кН, с наклоном боковых граней

следует определять по формуле

, (7.9)
Минстроя России от 03.12.2016 N 885/пр)
(в ред.
Изменения N 1, утв. Приказом Минстроя России от 03.12.2016 N 885/пр)

- наружный периметр i-го сечения сваи, м;

- сумма размеров сторон i-го поперечного сечения сваи, м, которые имеют наклон к оси сваи;

- наклон боковых граней сваи, доли единицы;

- модуль деформации слоя грунта, окружающего боковую поверхность сваи, кПа, определяемый по результатам компрессионных испытаний;

- коэффициент, зависящий от вида грунта и принимаемый по
таблице 7.5;

- реологический коэффициент, принимаемый равным 0,8.
Примечания. 1. При ромбовидных сваях суммирование сопротивлений грунта на боковой поверхности участков с обратным наклоном в
формуле (7.9) не производится.
2. Расчет пирамидальных свай с наклоном боковых граней

допускается производить в соответствии с требованиями
Приложения Г.
(в ред.
Изменения N 2, утв. Приказом Минстроя России от 20.11.2018 N 734/пр)
Грунты | Коэффициент  |
Пески и супеси | 0,5 |
Суглинки | 0,6 |
Глины: | |
при Ip = 18 | 0,7 |
при Ip = 25 | 0,9 |
Примечание. Для глин с числом пластичности 18 < I p < 25 значения коэффициента  определяют интерполяцией. |
7.2.5. Несущую способность

, кН, висячей забивной и вдавливаемой сваи и сваи-оболочки, погружаемой без выемки грунта, работающих на выдергивающую нагрузку, следует определять по формуле

, (7.10)
Минстроя России от 03.12.2016 N 885/пр)
(в ред.
Изменения N 1, утв. Приказом Минстроя России от 03.12.2016 N 885/пр)

- коэффициент условий работы сваи в грунте (для свай, погружаемых в грунт на глубину менее 4 м,

, на глубину 4 м и более

- для всех сооружений, кроме опор воздушных линий электропередачи, для которых коэффициент принимают в соответствии с
разделом 14).
Примечание. В фундаментах опор мостов не допускается работа свай на выдергивание при основном сочетании нагрузок, включающем только постоянные нагрузки и воздействия.
(в ред.
Изменения N 1, утв. Приказом Минстроя России от 03.12.2016 N 885/пр)
7.2.5а. Несущую способность свай и баретт глубиной свыше 40 м следует определять на основании численных расчетов с учетом
7.2.9б. При этом начальное напряженное состояние массива грунта рекомендуется задавать с учетом OCR и
СП 22.13330.
(п. 7.2.5а в ред.
Изменения N 2, утв. Приказом Минстроя России от 20.11.2018 N 734/пр)
Висячие набивные, буровые и сваи-оболочки,
погружаемые с выемкой грунта и заполняемые бетоном
(сваи трения)
7.2.6. Несущую способность

, кН, набивной и буровой свай с уширением и без уширения, а также сваи-оболочки, погружаемой с выемкой грунта и заполняемой бетоном, работающих на сжимающую нагрузку, следует определять по формуле

, (7.11)
Минстроя России от 03.12.2016 N 885/пр)
где

- коэффициент условий работы сваи; в случае опирания ее на глинистые грунты со степенью влажности

и на лессовые грунты -

, в остальных случаях -

;

- коэффициент надежности по сопротивлению грунта под нижним концом сваи;

во всех случаях, за исключением сваи с камуфлетными уширениями и буроинъекционных свай по
6.5, е, для которых этот коэффициент следует принимать равным 1,3, и свай с уширением, устраиваемых путем механического разбуривания грунта, бетонируемых насухо

и бетонируемых подводным способом, для которых

;
(в ред.
Изменения N 1, утв. Приказом Минстроя России от 03.12.2016 N 885/пр)
R - расчетное сопротивление грунта под нижним концом сваи, кПа, принимаемое по
7.2.7; а для набивной сваи, изготавливаемой по технологии, указанной в
6.4 а,
б - по
таблице 7.2;
A - площадь опирания сваи, м2, принимаемая равной:
для набивных и буровых свай без уширения - площади поперечного сечения сваи;
для набивных и буровых свай с уширением - площади поперечного сечения уширения в месте наибольшего его диаметра;
для свай-оболочек, заполняемых бетоном, - площади поперечного сечения оболочки брутто;
u - периметр поперечного сечения ствола сваи, м;

- коэффициент условий работы грунта на боковой поверхности сваи, зависящий от способа образования скважины и условий бетонирования и принимаемый по
таблице 7.6;
(в ред.
Изменения N 1, утв. Приказом Минстроя России от 03.12.2016 N 885/пр)

- расчетное сопротивление i-го слоя грунта на боковой поверхности ствола сваи, кПа, принимаемое по
таблице 7.3;
Примечания. 1 Сопротивление песков на боковой поверхности сваи следует учитывать на участке, расположенном на 1,5d0 выше уширения, как это показано на рисунке 1б. Сопротивление глинистых грунтов допускается учитывать по всей длине ствола.
Рисунок 1б - Схема к расчету сопротивления на боковой
поверхности ствола сваи с уширением в песчаном грунте
(примечание 1 в ред.
Изменения N 2, утв. Приказом Минстроя России от 20.11.2018 N 734/пр)
2. Периметр поперечного сечения ствола u для буроинъекционных свай следует принимать равным периметру скважины, пробуриваемой при их изготовлении.
Сваи и способы их устройства | Коэффициент условий работы сваи  |
в песках | в супесях | в суглинках | в глинах |
1. Набивные, а также сваи, устраиваемые с вытеснением грунта по 6.4, а при погружении инвентарной трубы с теряемым наконечником или бетонной пробкой | 1 | 1 | 1 | 0,9 |
(п. 1 в ред. Изменения N 1, утв. Приказом Минстроя России от 03.12.2016 N 885/пр) |
2. Набивные виброштампованные | 0,9 | 0,9 | 0,9 | 0,9 |
3. Буровые, в том числе с уширением, бетонируемые: | | | | |
а) при отсутствии воды в скважине (сухим способом) и при использовании обсадных инвентарных труб, а также при выполнении их методом непрерывно перемещающегося шнека (НПШ) | 0,7 | 0,7 | 0,7 | 0,6 |
б) под водой или под глинистым раствором | 0,6 | 0,6 | 0,6 | 0,6 |
в) жесткими бетонными смесями, укладываемыми с помощью глубинной вибрации (сухим способом) | 0,8 | 0,8 | 0,8 | 0,7 |
| 0,6 | 0,6 | 0,6 | 0,6 |
(п. 4 в ред. Изменения N 1, утв. Приказом Минстроя России от 03.12.2016 N 885/пр) |
5. Сваи-оболочки, погружаемые вибрированием с выемкой грунта | 1,0 | 0,9 | 0,7 | 0,6 |
6. Сваи-столбы | 0,7 | 0,7 | 0,7 | 0,6 |
7. Буроинъекционные, изготовляемые под защитой обсадных труб или бентонитового раствора с опрессовкой давлением 200 - 400 кПа (2 - 4 атм), а также при выполнении их с инъекцией бетонной смеси через колонну проходных полых шнеков | 0,9 | 0,8 | 0,8 | 0,8 |
8. Буроинъекционные сваи, устраиваемые с использованием разрядно-импульсной технологии (РИТ) по 6.5 е | 1,3 | 1,3 | 1,1 | 1,1 |
(в ред.
Изменения N 1, утв. Приказом Минстроя России от 03.12.2016 N 885/пр)
Площадь опирания буроинъекционной сваи по
6.5 е следует принимать по площади поперечного сечения уширения, а периметр поперечного сечения ствола - исходя из среднего значения диаметров

сваи, которые следует определять по объему бетонной смеси, израсходованной на заполнение j-го разрядно-импульсного уширения в i-м слое грунта. Заданные в проекте уширения сваи уточняют при изготовлении опытных свай в конкретных грунтовых условиях.
Примечание - Для свай с уширением, устраиваемых путем механического разбуривания грунта, при наличии данных видеообследования скважин или результатов обследования скважин с применением геофизических методов, указывающих на отсутствие бурового шлама на уровнях подошвы уширения скважин и дна приямка ниже уширения, допускается принимать:

- при бетонировании скважин насухо и

- при бетонировании скважин подводным способом.
(примечание введено
Изменением N 3, утв. Приказом Минстроя России от 24.01.2019 N 40/пр)
7.2.7. Расчетное сопротивление R, кПа, грунта под нижним концом сваи следует принимать:
а) для крупнообломочных грунтов с песчаным заполнителем и песков в основании набивной и буровой свай с уширением и без уширения, сваи-оболочки, погружаемой с полным удалением грунтового ядра, - по формуле (7.12), а сваи-оболочки, погружаемой с сохранением грунтового ядра из указанных грунтов на высоту 0,5 м, - по формуле (7.13):

; (7.12)

, (7.13)
где

,

,

,

- безразмерные коэффициенты, принимаемые по
таблице 7.7 в зависимости от расчетного значения угла внутреннего трения грунта основания;
(в ред.
Изменения N 1, утв. Приказом Минстроя России от 03.12.2016 N 885/пр)

- расчетное значение удельного веса грунта, кН/м
3, в основании сваи (при водонасыщенных грунтах с учетом взвешивающего действия воды);

- осредненное (по слоям) расчетное значение удельного веса грунтов, кН/м
3, расположенных выше нижнего конца сваи (при водонасыщенных грунтах с учетом взвешивающего действия воды);
d - диаметр, м, набивной и буровой свай, диаметр уширения (для сваи с уширением), сваи-оболочки или диаметр скважины для сваи-столба, омоноличенного в грунте цементно-песчаным раствором;
h - глубина заложения, м, нижнего конца сваи или ее уширения, отсчитываемая от природного рельефа или уровня планировки (при планировке срезкой), для опор мостов - от дна водоема после его общего размыва при расчетном паводке;
Примечания. 1. Указания
7.2.7 относятся к случаям, когда обеспечивается заглубление свай в грунт, принятый за основание их нижних концов, не менее чем на диаметр сваи (или уширения для сваи с уширением), но не менее чем на 2 м.
2. Значения R, рассчитанные по
формулам (7.12) и
(7.13), не следует принимать выше значений, приведенных в
таблице 7.2 для забивных свай той же длины и в тех же грунтовых условиях.
Коэффициенты | Расчетные значения угла внутреннего трения грунта  , град |
23 | 25 | 27 | 29 | 31 | 33 | 35 | 37 | 39 |
| 9,5 | 12,6 | 17,3 | 24,4 | 34,6 | 48,6 | 71,3 | 108,0 | 163,0 |
| 18,6 | 24,8 | 32,8 | 45,5 | 64,0 | 87,6 | 127,0 | 185,0 | 260,0 |
 при h/d, равном: | | | | | | | | | |
4,0 | 0,78 | 0,79 | 0,80 | 0,82 | 0,84 | 0,85 | 0,85 | 0,85 | 0,87 |
5,0 | 0,75 | 0,76 | 0,77 | 0,79 | 0,81 | 0,82 | 0,83 | 0,84 | 0,85 |
7,5 | 0,68 | 0,70 | 0,71 | 0,74 | 0,76 | 0,78 | 0,80 | 0,82 | 0,84 |
10,0 | 0,62 | 0,65 | 0,67 | 0,70 | 0,73 | 0,75 | 0,77 | 0,79 | 0,81 |
12,5 | 0,58 | 0,61 | 0,63 | 0,67 | 0,70 | 0,73 | 0,75 | 0,78 | 0,80 |
15,0 | 0,55 | 0,58 | 0,61 | 0,65 | 0,68 | 0,71 | 0,73 | 0,76 | 0,79 |
17,5 | 0,51 | 0,55 | 0,58 | 0,62 | 0,66 | 0,69 | 0,72 | 0,75 | 0,78 |
20,0 | 0,49 | 0,53 | 0,57 | 0,61 | 0,65 | 0,68 | 0,72 | 0,75 | 0,78 |
22,5 | 0,46 | 0,51 | 0,55 | 0,60 | 0,64 | 0,67 | 0,71 | 0,74 | 0,77 |
25,0 и более | 0,44 | 0,49 | 0,54 | 0,59 | 0,63 | 0,67 | 0,70 | 0,74 | 0,77 |
 при d, равном, м: | | | | | | | | | |
0,8 и менее | 0,34 | 0,31 | 0,29 | 0,27 | 0,26 | 0,25 | 0,24 | 0,23 | 0,22 |
4,0 | 0,25 | 0,24 | 0,23 | 0,22 | 0,21 | 0,20 | 0,19 | 0,18 | 0,17 |
Примечания. 1. Расчетные значения угла внутреннего трения  следует принимать  =  . 2. Для промежуточных значений  , h/d и d значения коэффициентов  ,  ,  и  определяют интерполяцией. |
Глубина заложения нижнего конца сваи h, м | Расчетное сопротивление R, кПа, под нижним концом набивных и буровых свай и свай-оболочек, погружаемых с выемкой грунта и заполняемых бетоном, при глинистых грунтах, за исключением просадочных, с показателем текучести IL, равным |
0,0 | 0,1 | 0,2 | 0,3 | 0,4 | 0,5 | 0,6 |
3 | 850 | 750 | 650 | 500 | 400 | 300 | 250 |
5 | 1000 | 850 | 750 | 650 | 500 | 400 | 350 |
7 | 1150 | 1000 | 850 | 750 | 600 | 500 | 450 |
10 | 1350 | 1200 | 1050 | 950 | 800 | 700 | 600 |
12 | 1550 | 1400 | 1250 | 1100 | 950 | 800 | 700 |
15 | 1800 | 1650 | 1500 | 1300 | 1100 | 1000 | 800 |
18 | 2100 | 1900 | 1700 | 1500 | 1300 | 1150 | 950 |
20 | 2300 | 2100 | 1900 | 1650 | 1450 | 1250 | 1050 |
30 | 3300 | 3000 | 2600 | 2300 | 2000 | - | - |
>= 40 | 4500 | 4000 | 3500 | 3000 | 2500 | - | - |
Примечания. 1. В таблице 7.8 глубину погружения нижнего конца сваи и среднюю глубину расположения слоя грунта при планировке территории срезкой, подсыпкой, намывом до 3 м следует принимать от уровня природного рельефа, а при срезке, подсыпке, намыве от 3 м - от условной отметки, расположенной соответственно на 3 м выше уровня срезки или на 3 м ниже уровня подсыпки. Глубину погружения нижнего конца сваи и среднюю глубину расположения слоя грунта в водоеме следует принимать от уровня дна после общего размыва расчетным паводком, на болотах - от уровня дна болота.. |
(в ред. Изменения N 1, утв. Приказом Минстроя России от 03.12.2016 N 885/пр, Изменения N 2, утв. Приказом Минстроя России от 20.11.2018 N 734/пр) |
2. Для промежуточных глубин погружения свай и промежуточных значений показателя текучести IL глинистых грунтов значения RL в таблице определяют интерполяцией. 3. При расчетах показатель текучести грунтов следует принимать применительно к прогнозируемому их состоянию в период эксплуатации проектируемых зданий и сооружений. 4. Для свайных фундаментов опор мостов приведенные значения следует понижать при коэффициенте пористости грунта e > 0,6, при этом коэффициент понижения m следует определять интерполяцией между значениями m = 1,0 при e = 0,6 и m = 0,6 при e = 1,1. 5. Расчетное сопротивление R для крупнообломочных грунтов с глинистым заполнителем определяется по результатам раздельных испытаний по боковой поверхности натурной сваи и под ее нижним концом. |
(примечания 4, 5 введены Изменением N 1, утв. Приказом Минстроя России от 03.12.2016 N 885/пр) |
7.2.8. Расчетное сопротивление R, кПа, грунта под нижним концом сваи-оболочки, погружаемой с частичной выемкой грунта, но с сохранением грунтового ядра высотой не менее трех диаметров оболочки на последнем этапе ее погружения (при условии, что грунтовое ядро образовано из грунта, имеющего те же характеристики, что и грунт под нижним концом сваи-оболочки), следует принимать по
таблице 7.2 с коэффициентом условий работы грунта, учитывающим способ погружения свай-оболочек в соответствии с
позицией 4 таблицы 7.4, при этом расчетное сопротивление в указанном случае относится к площади поперечного сечения сваи-оболочки нетто.
7.2.9. Несущую способность

, кН, набивной и буровой свай и сваи-оболочки, работающих на выдергивающие нагрузки, следует определять по формуле

, (7.14)
Минстроя России от 03.12.2016 N 885/пр)
(в ред.
Изменения N 1, утв. Приказом Минстроя России от 03.12.2016 N 885/пр)
7.2.9а. Для набивных и буровых свай и свай-оболочек, погружаемых с выемкой грунта и заполняемых бетоном, опирающихся нижним концом на глинистые грунты с показателем текучести IL > 0,6, несущую способность следует определять по результатам статических испытаний свай.
(п. 7.2.9а введен
Изменением N 1, утв. Приказом Минстроя России от 03.12.2016 N 885/пр)
7.2.9б. Несущую способность сваи длиной более 40 м следует определять компьютерными расчетами на основании построения графика "осадка-нагрузка". При этом за величину несущей способности свай следует принимать нагрузку на сваю при расчетной величине осадки, равной 4 см.
(п. 7.2.9б введен
Изменением N 1, утв. Приказом Минстроя России от 03.12.2016 N 885/пр, в ред.
Изменения N 2, утв. Приказом Минстроя России от 20.11.2018 N 734/пр)
Винтовые сваи
7.2.10. Несущую способность Fd, кН, винтовой однолопастной сваи диаметром лопасти d <= 1,2 м и длиной l <= 10 м, работающей на вдавливающую или выдергивающую нагрузку, следует определять по формуле (7.15) (при других параметрах, в частности при двух и более лопастях, диаметре лопасти d > 1,2 м и длине сваи l > 10 м, действии горизонтальной силы или момента, - только по данным испытаний сваи статической нагрузкой и результатам численных расчетов в нелинейной постановке с использованием апробированных моделей грунта):
(в ред.
Изменения N 1, утв. Приказом Минстроя России от 03.12.2016 N 885/пр)

, (7.15)
где

- коэффициент условий работы сваи, зависящий от вида нагрузки, действующей на сваю, и грунтовых условий и определяемый по таблице 7.9;

- несущая способность лопасти, кН;

- несущая способность ствола, кН.
Таблица 7.9
Грунт | Коэффициент условий работы винтовых свай  при нагрузках |
сжимающих | выдергивающих | знакопеременных |
1. Глины и суглинки: | | | |
а) твердые, полутвердые и тугопластичные | 0,8 | 0,7 | 0,7 |
б) мягкопластичные | 0,8 | 0,7 | 0,6 |
в) текучепластичные | 0,7 | 0,6 | 0,4 |
2. Пески и супеси: | | | |
а) пески маловлажные и супеси твердые | 0,8 | 0,7 | 0,5 |
б) пески влажные и супеси пластичные | 0,7 | 0,6 | 0,4 |
в) пески водонасыщенные и супеси текучие | 0,6 | 0,5 | 0,3 |
Несущая способность лопасти винтовой сваи определяется по формуле

, (7.16)
где

,

- безразмерные коэффициенты, принимаемые по
таблице 7.10 в зависимости от расчетного значения угла внутреннего трения грунта в рабочей зоне

(под рабочей зоной понимается прилегающий к лопасти слой грунта толщиной, равной d);

- расчетное значение удельного сцепления грунта в рабочей зоне, кПа;

- осредненное расчетное значение удельного веса грунтов, залегающих выше лопасти сваи (при водонасыщенных грунтах с учетом взвешивающего действия воды), кН/м
3;

- глубина залегания лопасти сваи от природного рельефа, а при планировке территории срезкой - от уровня планировки, м;
A - проекция площади лопасти, м2, считая по наружному диаметру, при работе винтовой сваи на сжимающую нагрузку, и проекция рабочей площади лопасти, т.е. за вычетом площади сечения ствола, при работе винтовой сваи на выдергивающую нагрузку.
Несущая способность ствола винтовой сваи определяется по формуле

, (7.17)
где u - периметр поперечного сечения ствола сваи, м;

- расчетное сопротивление грунта на боковой поверхности ствола винтовой сваи, кПа, принимаемое по
таблице 7.3 (осредненное значение для всех слоев в пределах глубины погружения сваи);
h - длина ствола сваи, погруженной в грунт, м;
d - диаметр лопасти сваи, м.
Примечания. 1. При определении несущей способности винтовых свай при действии вдавливающих нагрузок характеристики грунтов в таблице 7.10 относятся к грунтам, залегающим под лопастью, а при работе на выдергивающие нагрузки - над лопастью сваи.
2. Глубина заложения лопасти от уровня планировки должна быть не менее 5d при глинистых грунтах и не менее 6d - при песках (где d - диаметр лопасти).
Расчетное значение угла внутреннего трения грунта в рабочей зоне  , град | Коэффициенты |
| |
13 | 7,8 | 2,8 |
15 | 8,4 | 3,3 |
16 | 9,4 | 3,8 |
18 | 10,1 | 4,5 |
20 | 12,1 | 5,5 |
22 | 15,0 | 7,0 |
24 | 18,0 | 9,2 |
26 | 23,1 | 12,3 |
28 | 29,5 | 16,5 |
30 | 38,0 | 22,5 |
32 | 48,4 | 31,0 |
34 | 64,9 | 44,4 |
Стальные трубчатые сваи
7.2.10а. Несущая способность свай из стальных труб, погружаемых с открытым нижним концом, работающих на вдавливающую нагрузку, должна определяться по результатам статических испытаний. Для назначения нагрузки при проведении статических испытаний стальных трубчатых свай, погружаемых с открытым концом, следует рассматривать два варианта работы сваи в предельном состоянии:
а) с учетом сформированной грунтовой пробки, обусловленной сопротивлением грунта под нижним концом торца трубы (площадь нетто), площади грунтовой пробки (площадь брутто минус площадь нетто) и сопротивления грунта по внешней боковой поверхности сваи;
б) с учетом сопротивления грунта под нижним торцом трубы сваи, без учета грунтовой пробки (площадь сечения нижнего конца сваи нетто) и сопротивления грунта по внешней и внутренней боковым поверхностям сваи.
Искомая величина должна приниматься наименьшей из рассмотренных вариантов.
(п. 7.2.10а введен
Изменением N 1, утв. Приказом Минстроя России от 03.12.2016 N 885/пр)
Учет отрицательного (негативного) трения
грунта на боковой поверхности свай
7.2.11. Основание, в котором расположены сваи, может испытывать деформации из-за консолидации, набухания, пригрузки смежных областей и т.д. Отрицательное (негативное) трение, возникающее на боковой поверхности свай при осадке околосвайного грунта и направленное вертикально вниз, следует учитывать в случаях:
планировки территории подсыпкой толщиной более 1,0 м;
загрузки пола складов полезной нагрузкой более 20 кН/м2;
загрузки пола около фундаментов полезной нагрузкой от оборудования более 100 кН/м2;
увеличения эффективных напряжений в грунте за счет снятия взвешивающего действия воды при понижении уровня подземных вод;
незавершенной консолидации грунтов современных и техногенных отложений;
уплотнения несвязных грунтов при динамических воздействиях;
просадки грунтов при замачивании;
при строительстве нового здания вблизи существующих.
Примечание. Учет отрицательных сил трения, возникающих в просадочных грунтах, следует производить в соответствии с требованиями
раздела 9.
7.2.12. Отрицательное трение учитывают до глубины, на которой значение осадки околосвайного грунта после возведения и загрузки свайного фундамента превышают половину предельного значения осадки для проектируемого здания или сооружения. Расчетные сопротивления грунта
fi принимают по
таблице 7.3 со знаком "минус", а для торфа, ила, сапропеля - минус 5 кПа (рисунок 1в,
а). Если в пределах длины погруженной части сваи залегают напластования торфа толщиной более 30 см и возможна планировка территории подсыпкой или иная ее загрузка, эквивалентная подсыпке, то расчетное сопротивление грунта
fi, расположенного выше подошвы наинизшего (в пределах длины погруженной части сваи) слоя торфа, следует принимать:
а) при подсыпках высотой менее 2 м для грунтовой подсыпки и слоев торфа - равным нулю, для минеральных ненасыпных грунтов природного сложения - положительным значениям по
таблице 7.3 (рисунок 1в,
б);
б) при подсыпках высотой от 2 до 5 м для грунтов, включая подсыпку, равным 0,4 значений, указанных в
таблице 7.3, но со знаком "минус", а для торфа - минус 5 кПа (отрицательные силы трения) (рисунок 1в,
в);
в) при подсыпках высотой более 5 м для грунтов, включая подсыпку, равным значениям, указанным в
таблице 7.3, но со знаком "минус", а для торфа - минус 5 кПа (рисунок 1в,
г).
а - общий случай; б - наличие слабых прослоек и подсыпки
высотой менее 2 м; в - наличие слабых прослоек и подсыпки
высотой 2 - 5 м; г - наличие слабых прослоек
и подсыпки высотой более 5 м
Рисунок 1в - Схема развития сил негативного трения
(п. 7.2.12 в ред.
Изменения N 2, утв. Приказом Минстроя России от 20.11.2018 N 734/пр)
7.2.13. В случае когда консолидация грунта от подсыпки или пригрузки территории к моменту начала возведения надземной части зданий или сооружений (включая свайный ростверк) завершилась или возможное значение осадки грунта, окружающего сваи, после указанного момента в результате остаточной консолидации не будет превышать половины предельного значения осадки для проектируемого здания или сооружения, сопротивление грунта на боковой поверхности сваи допускается принимать положительным вне зависимости от наличия или отсутствия прослоек торфа. Для прослоек торфа значение

следует принимать равным 5 кПа.
Если известны значения коэффициентов консолидации и модуля деформации торфов, залегающих в пределах длины погруженной части сваи, и возможно определение значения осадки основания от воздействия пригрузки территории для каждого слоя грунта, то при определении несущей способности сваи допускается учитывать силы сопротивления грунта с отрицательным знаком (отрицательные силы трения) не от уровня подошвы нижнего слоя торфа, а начиная от верхнего уровня слоя грунта, значение дополнительной осадки которого от пригрузки территории (определенной, начиная с момента передачи на сваю расчетной нагрузки) составляет половину предельного значения осадки для проектируемого здания или сооружения.
7.3. Определение несущей способности свай
по результатам полевых испытаний
7.3.1. Несущая способность свай в полевых условиях может быть определена следующими методами: статическими испытаниями свай, динамическими испытаниями свай, испытаниями грунтов эталонной сваей, испытаниями грунтов статическим зондированием. Количество испытаний свай определяется проектом в зависимости от сложности грунтовых условий, величины нагрузок, передаваемых на основание и числа типоразмеров свай. Для определения несущей способности свай по результатам полевых испытаний для каждого объекта строительства сооружений класса КС-3 и КС-2 рекомендуется проводить:
- статические испытания свай и свай-штампов - до 1% от общего числа свай на объекте, но не менее трех для сооружений класса КС-2 и четырех - для сооружений класса КС-3;
- динамические испытания свай - до 2% от общего числа свай на объекте, но не менее шести для сооружений класса КС-2 и девяти - для сооружений класса КС-3;
- испытания грунтов статическим зондированием - не менее шести точек для сооружений класса КС-2 и девяти - для сооружений класса КС-3.
(в ред.
Изменения N 1, утв. Приказом Минстроя России от 03.12.2016 N 885/пр)
Примечания. 1. Для сооружений класса КС-3, несущую способность свай допустимо определять по результатам статических испытаний тензометрических свай, выполняемых по специально разработанной программе.
(в ред.
Изменения N 1, утв. Приказом Минстроя России от 03.12.2016 N 885/пр)
2. Для определения несущей способности свай мостовых сооружений классов КС-3 и КС-2 по результатам полевых испытаний число и тип испытаний следует назначать в соответствии с
разделом 8 СП 46.13330.2012.
(примечание 2 введено
Изменением N 2, утв. Приказом Минстроя России от 20.11.2018 N 734/пр)
7.3.2. Испытания свай статической и динамической нагрузками и испытания грунтов эталонной сваей следует производить, соблюдая требования
ГОСТ 5686, а испытания грунтов статическим зондированием -
ГОСТ 19912.
Абзац исключен с 4 июня 2017 года. -
Изменение N 1, утв. Приказом Минстроя России от 03.12.2016 N 885/пр.
7.3.3. Несущую способность

, кН, свай по результатам их испытаний вдавливающей, выдергивающей и горизонтальной статическими нагрузками, а также по результатам их динамических испытаний следует определять по формуле

, (7.18)
Минстроя России от 03.12.2016 N 885/пр)
где

- коэффициент условий работы сваи; в случае вдавливающих или горизонтальных нагрузок

; в случае выдергивающих нагрузок

принимают по
7.2.5;

- нормативное значение предельного сопротивления сваи, кН, определяемое в соответствии с 7.3.4 -
7.3.7, а также
7.3.9 -
7.3.11;

- коэффициент надежности по грунту, принимаемый по указаниям 7.3.4.
(в ред.
Изменения N 1, утв. Приказом Минстроя России от 03.12.2016 N 885/пр)
Примечание. Результаты статических испытаний свай на горизонтальные нагрузки могут быть использованы для непосредственного определения расчетной нагрузки, допускаемой на сваю, если условия испытаний соответствуют действительным условиям работы сваи в фундаменте здания или сооружения.
7.3.4. В случае если число одинаковых свай, испытанных в одинаковых грунтовых условиях, составляет менее шести, нормативное значение предельного сопротивления сваи в
формуле (7.18) следует принимать равным наименьшему предельному сопротивлению, полученному из результатов испытаний, т.е.

, а коэффициент надежности по грунту

.
(в ред.
Изменения N 1, утв. Приказом Минстроя России от 03.12.2016 N 885/пр)
В случае если число свай, испытанных в одинаковых условиях, составляет шесть и более,

и

следует определять на основании результатов статистической обработки частных значений предельных сопротивлений свай

, полученных по данным испытаний, при значении доверительной вероятности

. При этом для определения частных значений предельных сопротивлений следует руководствоваться требованиями 7.3.5 при вдавливающих,
7.3.6 - при выдергивающих и горизонтальных нагрузках и
7.3.7 - при динамических испытаниях.
(в ред.
Изменения N 1, утв. Приказом Минстроя России от 03.12.2016 N 885/пр)
Примечание. При специальном обосновании допускается проведение испытания одной сваи в месте, имеющем наиболее неблагоприятные условия на участке строительства.
7.3.5. Если нагрузка при статическом испытании свай на вдавливание доведена до нагрузки, вызывающей непрерывное возрастание их осадки s без увеличения нагрузки (при s <= 20 мм), то за частное значение предельного сопротивления

испытываемой сваи принимают нагрузку, зарегистрированную при предыдущей ступени загружения.
Во всех остальных случаях для фундаментов зданий и сооружений (кроме мостов и гидротехнических сооружений) за частное значение предельного сопротивления сваи

вдавливающей нагрузке следует принимать нагрузку, под воздействием которой испытываемая свая получит осадку, равную s, определяемую по формуле

, (7.19)
где
su,mt - предельное значение средней осадки фундамента проектируемого здания или сооружения, устанавливаемое по
СП 22.13330 как для объекта нового строительства;
(в ред.
Изменения N 2, утв. Приказом Минстроя России от 20.11.2018 N 734/пр)

- коэффициент перехода от предельного значения средней осадки фундамента здания или сооружения

к осадке сваи, полученной при статических испытаниях с условной стабилизацией (затуханием) осадки.
Примечание. Для реконструируемых зданий значение
s по формуле (7.19) допускается ограничивать величиной максимальной осадки

по Приложению Е
СП 22.13330.
(примечание введено
Изменением N 1, утв. Приказом Минстроя России от 03.12.2016 N 885/пр)
Значение коэффициента

следует принимать равным 0,2 в случаях, когда испытание свай производят при условной стабилизации, равной 0,1 мм за 1 ч, если под их нижними концами залегают песчаные или глинистые грунты с консистенцией от твердой до тугопластичной, а также за 2 ч, если под их нижними концами залегают глинистые грунты от мягкопластичной до текучей консистенции.
Если осадка, определенная по
формуле (7.19), окажется более 40 мм, то за частное значение предельного сопротивления сваи

следует принимать нагрузку, соответствующую s = 40 мм.
Для мостов и гидротехнических сооружений за предельное сопротивление сваи

при вдавливающих нагрузках следует принимать нагрузку на одну ступень менее нагрузки, при которой вызываются:
а) приращение осадки за одну ступень загружения (при общем значении осадки более 40 мм), превышающее в пять раз и более приращение осадки, полученное за предшествующую ступень загружения;
б) осадка, не затухающая в течение суток и более (при общем значении ее более 40 мм).
Если при максимальной достигнутой при испытаниях нагрузке, которая окажется равной или более

, где

- несущая способность сваи, рассчитанная по
формулам (7.5),
(7.8),
(7.9),
(7.11),
(7.15) и
(7.16), а осадка сваи s при испытаниях окажется менее значения, определенного по
формуле (7.19), или для мостов и гидротехнических сооружений - менее 40 мм, то в этом случае за частное значение предельного сопротивления сваи

допускается принимать максимальную нагрузку, полученную при испытаниях такой сваи.
Примечания. 1. В отдельных случаях при соответствующем обосновании допускается принимать максимальную нагрузку, достигнутую при испытаниях, равной

.
2. Ступени загружения при испытаниях свай статической вдавливающей нагрузкой должны назначаться равными 1/10 - 1/15 предполагаемого предельного сопротивления сваи

.
7.3.6. При испытании свай статической выдергивающей или горизонтальной нагрузкой за частное значение предельного сопротивления
(7.3.4) по графикам зависимости перемещений от нагрузок принимают нагрузку на одну ступень менее нагрузки, без увеличения которой перемещения сваи непрерывно возрастают.
Примечание. Результаты статических испытаний свай на горизонтальные нагрузки могут быть использованы для непосредственного определения расчетных параметров системы "свая - грунт", используемых в расчетах по
Приложению В.
7.3.7. При динамических испытаниях забивных железобетонных и деревянных свай длиной не более 20 м частное значение предельного сопротивления

, кН
(7.3.4), по данным их погружения при фактических (измеренных) остаточных отказах

следует определять по формуле

. (7.20)
Если фактический (измеренный) остаточный отказ

, то в проекте свайного фундамента следует предусмотреть применение для погружения свай молота с большей энергией удара, при которой остаточный отказ будет

, а в случае невозможности замены сваебойного оборудования и при наличии отказомеров частное значение предельного сопротивления сваи

, кН, следует определять по формуле

. (7.21)

- коэффициент, принимаемый по
таблице 7.11 в зависимости от материала сваи, кН/м
2;
A - площадь, ограниченная наружным контуром сплошного или полого поперечного сечения ствола сваи (независимо от наличия или отсутствия у сваи острия), м2;
M - коэффициент, принимаемый при забивке свай молотами ударного действия равным единице, а при вибропогружении свай - по
таблице 7.12 в зависимости от вида грунта под их нижними концами;

- расчетная энергия удара молота, кДж, принимаемая по
таблице 7.13, или расчетная энергия вибропогружателей - по
таблице 7.14;

- фактический остаточный отказ, равный значению погружения сваи от одного удара молота, а при применении вибропогружателей - от их работы в течение 1 мин, м;

- упругий отказ сваи (упругие перемещения грунта и сваи), определяемый с помощью отказомера, м;

- масса молота или вибропогружателя, т;

- масса сваи и наголовника, т;

- масса подбабка (при вибропогружении свай

), т;

- масса ударной части молота, т;

- коэффициент восстановления удара; при забивке железобетонных свай молотами ударного действия с применением наголовника с деревянным вкладышем

, а при вибропогружателе

;

- коэффициент, 1/кН, определяемый по формуле

, (7.22)

,

- коэффициенты перехода от динамического (включающего вязкое сопротивление грунта) к статическому сопротивлению грунта, принимаемые соответственно равными: для грунта под нижним концом сваи

и для грунта на боковой поверхности сваи

;

- площадь боковой поверхности сваи, соприкасающейся с грунтом, м
2;
g - ускорение свободного падения, равное 9,81 м/с2;
H - фактическая высота падения ударной части молота, м;
h - высота первого отскока ударной части дизель-молота, принимаемая согласно
примечанию 2 к таблице 7.13, для других видов молотов h = 0.
Случай расчета | Коэффициент  , кН/м 2 |
Испытание свай забивкой и добивкой (а также в случае определения отказов) при видах свай: | |
железобетонных с наголовником | 1500 |
деревянных без подбабка | 1000 |
то же, с подбабком | 800 |
Грунты под нижним концом сваи | Коэффициент M |
1. Крупнообломочные с песчаным заполнителем | 1,3 |
2. Пески средней крупности и крупные средней плотности и супеси твердые | 1,2 |
3. Пески мелкие средней плотности | 1,1 |
4. Пески пылеватые средней плотности | 1,0 |
5. Супеси пластичные, суглинки и глины твердые | 0,9 |
6. Суглинки и глины полутвердые | 0,8 |
7. Суглинки и глины тугопластичные | 0,7 |
Примечание. При плотных песках значения коэффициента M в поз. 2 - 4 следует повышать на 60%. |
Вид молота | Расчетная энергия удара молота Ed, кДж |
1. Подвесной или одиночного действия | GHф |
2. Трубчатый дизель-молот | 0,9GHф |
3. Штанговый дизель-молот | 0,4GHф |
4. Дизельный при контрольной добивке одиночными ударами без подачи топлива | G(Hп - h) |
(в ред. Изменения N 1, утв. Приказом Минстроя России от 03.12.2016 N 885/пр) |
Примечания. 1. G - вес, кН, и Hф и Hп - фактическая и пусковая высота падения, м, ударной части молота. |
(в ред. Изменения N 1, утв. Приказом Минстроя России от 03.12.2016 N 885/пр) |
2. В поз. 4 h - высота первого отскока ударной части дизель-молота от воздушной подушки, определяемая по мерной рейке, м. Для предварительных расчетов допускается принимать: для штанговых молотов h = 0,6 м, для трубчатых молотов h = 0,4 м. 3. Среднее значение Hф за одни залог из 10 ударов следует определять по формуле Hф = 0,0156t2, где t - время работы дизель-молота в залоге, фиксируемое секундомером с точностью до 0,1 с. Секундомер включают в момент первого удара и выключают на десятом ударе, не считая пускового. |
(примечание 3 введено Изменением N 1, утв. Приказом Минстроя России от 03.12.2016 N 885/пр) |
Возмущающая сила вибропогружателя, кН | Эквивалентная расчетная энергия удара вибропогружателя, кДж |
100 | 45,0 |
200 | 90,0 |
300 | 130,0 |
400 | 175,0 |
500 | 220,0 |
600 | 265,0 |
700 | 310,0 |
800 | 350,0 |
Частные значения предельного сопротивления при динамических испытаниях железобетонных свай длиной свыше 20 м, а также стальных свай любой длины по измеренным остаточным и упругим отказам при их погружении молотами следует определять с помощью компьютерных программ, методы расчета забивки свай в которых основаны на волновой теории удара. Указанные компьютерные программы допускается использовать при испытаниях буронабивных свай специальными подвесными молотами большой массы.
Примечание. При забивке свай в грунт, подлежащий удалению при разработке котлована, или в грунт дна водотока значение расчетного отказа следует определять исходя из несущей способности свай, вычисленной с учетом неудаленного или подверженного возможному размыву грунта, а в местах вероятного проявления отрицательных сил трения - с их учетом.
7.3.8. Несущую способность

, кН, забивной висячей сваи, работающей на вдавливающую нагрузку, по результатам испытаний грунтов эталонной сваей или статическим зондированием следует определять по
формуле (7.18), в которой следует принять

.
При этом нормативное значение

определяют на основе частных значений предельного сопротивления сваи

, кН, в месте испытания грунтов эталонной сваей или зондированием, определенных в соответствии с требованиями 7.3.9,
7.3.10 или
7.3.11.
Коэффициент надежности по грунту

определяют на основе статистической обработки частных значений предельного сопротивления сваи

в соответствии с
7.3.4.
(в ред.
Изменения N 1, утв. Приказом Минстроя России от 03.12.2016 N 885/пр)
7.3.9. Частное значение предельного сопротивления забивной сваи в месте испытания грунтов эталонной сваей

, кН, следует определять:
а) при испытании грунтов эталонной сваей типа I - по формуле
(в ред.
Изменения N 1, утв. Приказом Минстроя России от 03.12.2016 N 885/пр)

, (7.23)
где

- коэффициент, принимаемый равным 1,25 при заглублении сваи в плотные пески независимо от их крупности или крупнообломочные грунты и равным 1,0 для остальных грунтов;
u,

- периметры поперечного сечения сваи и эталонной сваи;

- частное значение предельного сопротивления эталонной сваи, кН, определяемое по результатам испытания статической нагрузкой по
7.3.5;
б) при испытании грунтов эталонной сваей типа II или III - по формуле
(в ред.
Изменения N 1, утв. Приказом Минстроя России от 03.12.2016 N 885/пр)

, (7.24)
Минстроя России от 03.12.2016 N 885/пр)
где

- коэффициент условий работы под нижним концом натурной сваи, принимаемый по
таблице 7.15 в зависимости от предельного сопротивления грунта под нижним концом эталонной сваи

;
(в ред.
Изменения N 1, утв. Приказом Минстроя России от 03.12.2016 N 885/пр)

- предельное сопротивление грунта под нижним концом эталонной сваи, кПа;
A - площадь поперечного сечения натурной сваи, м2;

- коэффициент условий работы на боковой поверхности натурной сваи, принимаемый по
таблице 7.15 в зависимости от

;
(в ред.
Изменения N 1, утв. Приказом Минстроя России от 03.12.2016 N 885/пр)

- среднее значение предельного сопротивления грунта на боковой поверхности эталонной сваи, кПа;
h - глубина погружения натурной сваи, м;
u - периметр поперечного сечения ствола сваи, м.
Примечание. При применении эталонной сваи типа II следует проверить соответствие суммы предельных сопротивлений грунта под нижним концом и на боковой поверхности эталонной сваи ее предельному сопротивлению. Если разница между ними превышает 20%, то расчет предельного сопротивления натурной сваи должен выполняться как для эталонной сваи типа I.
Rsp, кПа | Коэффициент  в зависимости от R sp | fsp, fps,i, кПа | Коэффициент  в зависимости от f sp для эталонных свай типов II и III | Коэффициент  в зависимости от f ps,i для сваи-зонда |
для эталонных свай типа II | для эталонных свай типа III | при песках | при глинистых грунтах |
<= 2000 | 1,15 | 1,40 | <= 20 | 2,00 | 1,20 | 0,90 |
3000 | 1,05 | 1,20 | 30 | 1,65 | 0,95 | 0,85 |
4000 | 1,00 | 0,90 | 40 | 1,40 | 0,80 | 0,80 |
5000 | 0,90 | 0,80 | 50 | 1,20 | 0,70 | 0,75 |
6000 | 0,80 | 0,75 | 60 | 1,05 | 0,65 | 0,70 |
7000 | 0,75 | 0,70 | 80 | 0,80 | 0,55 | - |
10000 | 0,65 | 0,60 | >= 120 | 0,50 | 0,40 | - |
>= 13000 | 0,60 | 0,55 | - | - | - | - |
Примечания. 1. Для промежуточных значений  и  значения  и  определяют интерполяцией. 2. В случае если по боковой поверхности сваи залегают пески и глинистые грунты, коэффициент  определяют по формуле  , где  ,  - суммарные толщины слоев соответственно песков и глинистых грунтов;  ,  - коэффициенты условий работы эталонных свай соответственно в песках и глинистых грунтах. |
(в ред.
Изменения N 1, утв. Приказом Минстроя России от 03.12.2016 N 885/пр)
7.3.10. Частное значение предельного сопротивления забивной сваи в точке зондирования

, кН, следует определять по формуле

, (7.25)
где

- предельное сопротивление грунта под нижним концом сваи по данным зондирования в рассматриваемой точке, кПа;
f - среднее значение предельного сопротивления грунта на боковой поверхности сваи по данным зондирования в рассматриваемой точке, кПа;
h - глубина погружения сваи от поверхности грунта около сваи, м;
u - периметр поперечного сечения ствола сваи, м.
Предельное сопротивление грунта под нижним концом забивной сваи

, кПа, по данным зондирования в рассматриваемой точке следует определять по формуле

, (7.26)

- среднее значение сопротивления грунта, кПа, под наконечником зонда, полученное из опыта, на участке, расположенном в пределах одного диаметра d выше и четырех диаметров ниже отметки острия проектируемой сваи (где d - диаметр круглого или сторона квадратного, или

сторона прямоугольного сечения сваи, м).
Среднее значение предельного сопротивления грунта на боковой поверхности забивной сваи f, кПа, по данным зондирования грунта в рассматриваемой точке следует определять:
а) при применении зондов типа I - по формуле

; (7.27)
б) при применении зондов типа II или III - по формуле

, (7.28)

- среднее значение сопротивления грунта на боковой поверхности зонда, кПа, определяемое как частное от деления измеренного общего сопротивления грунта на боковой поверхности зонда на площадь его боковой поверхности в пределах от поверхности грунта в точке зондирования до уровня расположения нижнего конца сваи в выбранном несущем слое;

- среднее сопротивление i-го слоя грунта на боковой поверхности зонда, кПа;

- толщина i-го слоя грунта, м.
Среднее значение сопротивления грунта qs, кПа | Коэффициент перехода от q s к R s,  | Среднее значение сопротивления грунта fs, fsi, кПа | Коэффициент перехода от f s к f для зонда типа I,  | Коэффициент перехода от f si к f для зонда типа II или III,  |
для забивных свай | для винтовых свай при нагрузке | при песчаных грунтах | при глинистых грунтах | при песчаных грунтах | при глинистых грунтах |
сжимающей | выдергивающей |
<= 1000 | 0,90 | 0,50 | 0,40 | <= 20 | 2,40 | 1,50 | 0,75 | 1,00 |
2500 | 0,80 | 0,45 | 0,38 | 40 | 1,65 | 1,00 | 0,60 | 0,75 |
5000 | 0,65 | 0,32 | 0,27 | 60 | 1,20 | 0,75 | 0,55 | 0,60 |
7500 | 0,55 | 0,26 | 0,22 | 80 | 1,00 | 0,60 | 0,50 | 0,45 |
10000 | 0,45 | 0,23 | 0,19 | 100 | 0,85 | 0,50 | 0,45 | 0,40 |
15000 | 0,35 | - | - | >= 120 | 0,75 | 0,40 | 0,40 | 0,30 |
20000 | 0,30 | - | - | - | - | - | - | - |
>= 30000 | 0,20 | - | - | - | - | - | - | - |
Примечание. Для винтовых свай в песчаных грунтах, насыщенных водой, значения коэффициента  должны быть уменьшены в два раза. |
7.3.11. Несущую способность винтовой сваи, работающей на сжимающую и выдергивающую нагрузки, по результатам статического зондирования следует определять по
формуле (7.18), а частное значение предельного сопротивления сваи в точке зондирования - по
формуле (7.25), где глубина принимается уменьшенной на значение диаметра лопасти. Предельное сопротивление грунта под (над) лопастью сваи по данным зондирования грунта в рассматриваемой точке следует определять по
формуле (7.26). В этом случае

- коэффициент, принимаемый по
таблице 7.16 в зависимости от среднего значения сопротивления грунта под наконечником зонда в рабочей зоне, принимаемой равной диаметру лопасти. Среднее значение предельного сопротивления грунта на боковой поверхности ствола винтовой сваи по данным зондирования грунта в рассматриваемой точке следует определять по
формуле (7.27) или
(7.28).
7.3.12. Для буровой сваи, устраиваемой в соответствии с
6.5 а и работающей на сжимающую нагрузку, несущую способность сваи в точке зондирования

, кН, допускается оценивать без использования данных о сопротивлении грунта на муфте трения установки статического зондирования, на основании расчета по формуле

, (7.29)
Минстроя России от 03.12.2016 N 885/пр)
где R - расчетное сопротивление грунта под нижним концом сваи, кПа, принимаемое по
таблице 7.17 в зависимости от среднего сопротивления конуса зонда

, кПа, на участке, расположенном в пределах одного диаметра выше и до двух диаметров ниже подошвы сваи;
A - площадь подошвы сваи, м2;

- среднее значение расчетного сопротивления грунта на боковой поверхности сваи, кПа, на расчетном участке

сваи, определяемое по данным зондирования в соответствии с
таблицей 7.17;

- толщина i-го слоя грунта, которая должна приниматься не более 2 м;

- коэффициент работы, зависящий от технологии изготовления сваи и принимаемый:
(в ред.
Изменения N 1, утв. Приказом Минстроя России от 03.12.2016 N 885/пр)
а) при сваях, бетонируемых насухо, равным 1;
б) при бетонировании под водой, под глинистым раствором, а также при использовании обсадных инвентарных труб равным 0,7.
7.3.13. Несущую способность

, кН, свай по результатам их расчетов по
формуле (7.29), основанной на данных статического зондирования конусом, следует определять как среднее значение из частных значений

для всех точек зондирования.
7.3.14. Учитывая большие нагрузки, передаваемые на буровые сваи, рекомендуется параллельно с расчетом несущей способности сваи по результатам статического зондирования провести расчет в соответствии с
подразделом 7.2. При расхождениях в полученных значениях несущей способности свай более 25% следует выполнить статические испытания свай.
Сопротивление конуса зонда qc, кПа | Расчетное сопротивление грунта под нижним концом буровой сваи R, кПа | Среднее значение расчетного сопротивления на боковой поверхности сваи fi, кПа |
Пески | Глинистые грунты | Пески | Глинистые грунты |
1000 | - | 200 | - | 15 |
2500 | - | 580 | - | 25 |
5000 | 900 | 900 | 30 | 35 |
7500 | 1100 | 1200 | 40 | 45 |
10000 | 1300 | 1400 | 50 | 60 |
12000 | 1400 | - | 60 | - |
15000 | 1500 | - | 70 | - |
20000 | 2000 | - | 70 | - |
Примечания. 1. Значения R и  для промежуточных значений  определяют интерполяцией. 2. Приведенные в таблице значения R и  относятся к буровым сваям диаметром 600 - 1200 мм, погруженным в грунт не менее чем на 5 м. При возможности возникновения на боковой поверхности сваи отрицательного трения значения  для оседающих слоев принимают со знаком "минус". 3. При принятых в таблице значениях R и  осадка сваи при соответствующей нагрузке  не превышает 0,03d. |
7.3.15. При наличии на площадке данных испытаний статической нагрузкой на вдавливание от 3 до 5 забивных свай в одинаковых грунтовых условиях, а также результатов статического зондирования (шесть и более испытаний), и если результаты расчетов отличаются между собой не более чем на 25%, несущую способность определяют по формуле

, (7.30)
Минстроя России от 03.12.2016 N 885/пр)
где

- среднее значение предельного сопротивления сваи;

- коэффициент надежности по грунту, определяемый по результатам зондирования по формуле
(в ред.
Изменения N 1, утв. Приказом Минстроя России от 03.12.2016 N 885/пр)

, (7.31)
Минстроя России от 03.12.2016 N 885/пр)
где

- коэффициент вариации частных значений предельного сопротивления сваи, рассчитанных по данным зондирования.
(в ред.
Изменения N 1, утв. Приказом Минстроя России от 03.12.2016 N 885/пр)
7.4. Расчет свай, свайных и комбинированных
свайно-плитных фундаментов по деформациям
7.4.1. Расчет осадок свайных фундаментов (расчет по второй группе предельных состояний) допускается выполнять с использованием расчетных схем, основанных на модели грунта как линейно-деформируемой среды, при обязательном выполнении
условия (7.2).
Осадка одиночной висячей сваи рассчитывается в соответствии с
7.4.2 и
7.4.3.
Осадка малой группы (n <= 25) висячих свай (свайного куста) рассчитывается в соответствии с
7.4.4 и
7.4.5 по методике, учитывающей взаимное влияние свай в кусте.
Осадка большой группы висячих свай (свайного поля) может быть определена с использованием модели условного фундамента на естественном основании в соответствии с
7.4.6 -
7.4.9.
Осадку комбинированных свайно-плитных фундаментов рекомендуется рассчитывать по
7.4.10 -
7.4.14.
Полученные расчетом значения осадок свайного фундамента не должны превышать предельных значений по
условию (7.4).
Расчет свай по деформациям на совместное действие вертикальной и горизонтальной сил и момента следует выполнять в соответствии с
Приложением В.
При надлежащем обосновании допускается производить расчеты деформаций свайных фундаментов в нелинейной постановке с использованием апробированных моделей грунта и численных методов расчета.
Расчет осадки одиночной сваи
7.4.2. Расчет осадки одиночных свай, прорезающих слой грунта с модулем сдвига

, МПа, коэффициентом Пуассона

и опирающихся на грунт, рассматриваемый как линейно-деформируемое полупространство, характеризуемое модулем сдвига

и коэффициентом Пуассона

, допускается производить при выполнении требований
подраздела 7.2 и при условии
l/
d > 5;
G1l/
G2d > 1 (где l - длина сваи, м, d - наружный диаметр поперечного сечения ствола сваи, м) по формулам:
(в ред.
Изменения N 1, утв. Приказом Минстроя России от 03.12.2016 N 885/пр)
а) для одиночной висячей сваи без уширения пяты

, (7.32)
где N - вертикальная нагрузка, передаваемая на сваю, МН;

- коэффициент, определяемый по формуле
| | ИС МЕГАНОРМ: примечание. Формула приведена в соответствии с официальным текстом изменяющего документа. | |

, (7.33)
Минстроя России от 03.12.2016 N 885/пр)
здесь

- коэффициент, соответствующий абсолютно жесткой свае

;

- тот же коэффициент для случая однородного основания с характеристиками

и

;

- относительная жесткость сваи;
EA - жесткость ствола сваи на сжатие, МН;

- параметр, характеризующий увеличение осадки за счет сжатия ствола и определяемый по формуле

; (7.34)

,

- коэффициенты, определяемые по формуле

, (7.35)
соответственно при

и при

;
б) для одиночной сваи с уширением пяты или сваи-стойки

, (7.36)
Минстроя России от 03.12.2016 N 885/пр)
где

- диаметр уширения сваи.
Расчет осадки одиночной буронабивной сваи в билинейной постановке для расчета односвайных фундаментов см. в
Приложении Д.
7.4.3. Характеристики

и

принимаются осредненными для всех слоев грунта в пределах глубины погружения сваи, а

и

- в пределах 0,5l, т.е. на глубинах от l до 1,5l от верха свай, при условии, что под нижними концами свай отсутствуют глинистые грунты текучей консистенции, органоминеральные и органические грунты.
Модуль сдвига грунта

допускается принимать равным

, а коэффициент

равным 2,0 (где

- модуль общей деформации).
Расчетный диаметр d для свай некруглого сечения, в частности стандартных забивных свай заводского изготовления, вычисляется по формуле

, (7.37)
где A - площадь поперечного сечения сваи.
Расчет осадки свайного куста
7.4.4. При расчете осадок группы свай необходимо учитывать их взаимное влияние. Дополнительная осадка сваи, находящейся на расстоянии a (расстояние измеряется между осями свай) от сваи, к которой приложена нагрузка N, равна

, (7.38)
где

(7.39)
7.4.5. Расчет осадки i-й сваи в группе из n свай при известном распределении нагрузок между сваями производится по формуле

, (7.40)

- коэффициенты, рассчитываемые по
формуле (7.39) в зависимости от расстояния между i-й и j-й сваями;

- нагрузка на j-ю сваю.
В случае когда распределение нагрузки между сваями неизвестно, формула (7.40) может использоваться для расчета взаимодействия свайного фундамента с надфундаментной конструкцией. При этом удобно использовать метод сил строительной механики.
Взаимное влияние осадок кустов свай следует учитывать методом угловых точек.
Расчет осадки свайного фундамента
как условного фундамента
7.4.6. Осадка большеразмерного свайного фундамента (свайного поля) следует определять по формуле
(в ред.
Изменения N 1, утв. Приказом Минстроя России от 03.12.2016 N 885/пр)

, (7.41)
где

- осадка условного фундамента;

- дополнительная осадка за счет продавливания свай на уровне подошвы условного фундамента;

- дополнительная осадка за счет сжатия ствола свай.
7.4.7. Границы условного фундамента (см.
рисунок 1) определяют следующим образом:
снизу - плоскостью АБ, проходящей через нижние концы свай;
с боков - вертикальными плоскостями АВ и БГ, отстоящими от осей крайних рядов вертикальных свай на расстоянии 0,5 шага свай (рисунок 1, а), но не более 1,5
d (
d - диаметр или сторона поперечного сечения сваи), а при наличии наклонных свай - проходящими через нижние концы этих свай
(рисунок 1, б);
(в ред.
Изменения N 1, утв. Приказом Минстроя России от 03.12.2016 N 885/пр)
сверху - поверхностью планировки грунта ВГ.
а)
Рисунок 1 - Определение границ условного фундамента
при расчете осадки свайных фундаментов
Расчет осадки условного фундамента производят методом послойного суммирования деформаций линейно-деформируемого основания с условным ограничением сжимаемой толщи (см.
СП 22.13330). Вертикальное нормальное напряжение

, определяющее деформации и глубину сжимаемой толщи, подсчитывается только от действия нагрузки, приложенной к свайному фундаменту, т.е. вес грунта в пределах условного фундамента не учитывается. Начальные напряжения

определяются с учетом экскавации котлована.
(в ред.
Изменения N 1, утв. Приказом Минстроя России от 03.12.2016 N 885/пр)
Возможен также трехмерный численный расчет осадки условного фундамента как анизотропного массива с учетом его конечной жесткости на сдвиг по вертикальным плоскостям.
| | Изменением N 1, утв. Приказом Минстроя России от 03.12.2016 N 885/пр, в примечание к пункту 7.4.7 были внесены изменения. | |
Примечание. При расчете оснований опор мостов условный фундамент допускается принимать ограниченным с боков вертикальными плоскостями АВ и БГ, отстоящими от наружных крайних рядов вертикальных свай на расстоянии

.
| | ИС МЕГАНОРМ: примечание. В официальном тексте документа, видимо, допущена опечатка: рисунок 7.3 отсутствует. | |
7.4.8. Значение осадки продавливания сваи

определяется методом ячейки в упруго-пластической постановке (рисунок 7.3) или по формулам:

(7.42)

(7.43)

(7.44)
где
E1, 
- осредненные значения модуля общей деформации и коэффициента Пуассона в пределах длины сваи;
E2, 
- осредненные значения модуля общей деформации и коэффициента Пуассона в пределах активной зоны сжатия массива под подошвой условного фундамента;
p - среднее давление по подошве условного фундамента, кПа;
a - осевое расстояние между сваями фундамента при одинаковом шаге их расстановки и осевое расстояние между сваями в окрестности данной сваи при неодинаковом шаге их расстановки;
d - диаметр сваи;
P = pa2 для свай квадратного сечения и

для свай круглого сечения;
k = b/a для свай квадратного сечения, где b - сторона сечения сваи и k = d/a для свай круглого сечения.
Рисунок 2 - Расчетная схема метода ячейки
(п. 7.4.8 в ред.
Изменения N 2, утв. Приказом Минстроя России от 20.11.2018 N 734/пр)
7.4.9. Осадку за счет сжатия ствола допускается определять по формуле

. (7.45)
Расчет комбинированного свайно-плитного фундамента
7.4.10. Комбинированный свайно-плитный (КСП) фундамент, сочетающий сопротивление свай и плиты, должен применяться для уменьшения общей и неравномерной осадки сооружений. Допустимы проектные решения как с переменным в плане шагом свай, так и с постоянным шагом. КСП может включать в себя любые типы свай и баретт.
(в ред.
Изменения N 1, утв. Приказом Минстроя России от 03.12.2016 N 885/пр)
7.4.11. Большеразмерные свайные кусты и поля свай в случае, если их основание сложено песком средней плотности и плотными, а также глинистыми грунтами с показателем текучести ниже

и модулем деформации
E > 8 МПа, могут быть запроектированы комбинированными свайно-плитными, в иных случаях фундамент следует рассматривать как свайный с плитным ростверком. При опирании фундаментов из свай, объединенных ростверком, на скальные и полускальные грунты их следует рассчитывать как свайные фундаменты, без учета передачи нагрузки на основание фундаментной плиты.
(в ред.
Изменения N 1, утв. Приказом Минстроя России от 03.12.2016 N 885/пр)
7.4.11а. При расчете КСП фундамента нужно учитывать следующие виды взаимодействий:
- свай с грунтом:
- плиты (ростверка) с грунтом;
- взаимное влияние свай через грунт;
- взаимное влияние свай и плиты ростверка.
Указанные виды взаимодействий могут быть учтены путем расчетов с использованием численных моделей.
(п. 7.4.11а введен
Изменением N 1, утв. Приказом Минстроя России от 03.12.2016 N 885/пр)
7.4.12. Расчет КСП фундамента должен включать:
- определение деформаций конструктивной системы в целом и ее отдельных элементов;
- определение усилий в элементах конструктивной системы (в рядовых и крайних сваях, а также в плите ростверка); определение долей нагрузки, воспринимаемых сваями и объединяющей их плитой.
Для сооружений геотехнических категорий 1 и 2 при расчете по пространственным расчетным схемам допускается определение суммарных жесткостных характеристик свайно-плитных фундаментов в соответствии с
7.4.6.
(п. 7.4.12 в ред.
Изменения N 1, утв. Приказом Минстроя России от 03.12.2016 N 885/пр)
7.4.13. Выбор длины свай и их шаг в составе КСП производится на основании расчета по деформациям с обеспечением допустимой величины осадок, кренов и относительной разности осадок возводимого сооружения в соответствии с
СП 22.13330.
7.4.14. Исключен с 4 июня 2017 года. -
Изменение N 1, утв. Приказом Минстроя России от 03.12.2016 N 885/пр.
7.4.15. Расчет свайно-плитного фундамента может осуществляться как плиты на упругом основании с использованием переменного в плане коэффициента упругого отпора грунта. При этом средняя величина упругого отпора грунта может быть назначена как непосредственно из пространственного нелинейного расчета, так и путем решения осесимметричной задачи для ячейки, включающей сваю и окружающий ее массив грунта
(рисунок 2). При назначении величины коэффициента упругого отпора в краевых зонах и других местах концентрации напряжений следует учитывать пространственную работу фундаментов. Плановое распределение жесткостных характеристик в этом случае определяется на основании численного моделирования с использованием геотехнических программ или иных решений.
7.4.16. Исключен с 4 июня 2017 года. -
Изменение N 1, утв. Приказом Минстроя России от 03.12.2016 N 885/пр.
7.5. Особенности проектирования большеразмерных кустов
и полей свай и плит ростверка
7.5.1. Расчет конструктивной системы "сваи-грунтовый массив - изгибаемая плита - верхнее строение" в общем случае следует производить в пространственной постановке с учетом совместной работы надземных и подземных конструкций зданий, свайных фундаментов и их основания. Определение внутренних усилий в сваях и плите ростверка следует выполнять численными методами на ЭВМ с использованием апробированных программ, описывающих такое взаимодействие.
(в ред.
Изменения N 2, утв. Приказом Минстроя России от 20.11.2018 N 734/пр)
7.5.2. При расчете большеразмерных свайных фундаментов деформационные характеристики материала свай, ростверка и надфундаментных конструкций допускается считать упругими, ограничивая расчетные усилия пределами линейной пропорциональности. Механическое поведение грунта должно преимущественно описываться нелинейными моделями.
7.5.3. Механическая работа грунта при определении внутренних усилий в сваях в составе большеразмерных свайных фундаментов преимущественно должна описываться моделями, использующими характеристики грунта, определение которых регламентировано действующими стандартами. При проектировании фундаментов для сооружений геотехнической категории 3 допускается использование иных параметров, которые должны определяться в программе изысканий. В этом случае могут применяться более сложные упругопластические модели, учитывающие упрочнение и разупрочнение грунтов, дилатансию и др. (многопараметрические упругопластические модели). При проведении расчетов по многопараметрическим упругопластическим моделям в составе проекта необходимо проводить сопоставление результатов расчета по различным моделям и учитывать возможное увеличение внутренних усилий для всех конструктивных элементов.
(п. 7.5.3 в ред.
Изменения N 1, утв. Приказом Минстроя России от 03.12.2016 N 885/пр)
7.5.4. Исключен с 4 июня 2017 года. -
Изменение N 1, утв. Приказом Минстроя России от 03.12.2016 N 885/пр.
7.5.5. Исключен с 4 июня 2017 года. -
Изменение N 1, утв. Приказом Минстроя России от 03.12.2016 N 885/пр.
7.5.6. Расчетная модель большеразмерных кустов и полей свай должна строиться таким образом, чтобы содержать погрешность в сторону запаса надежности проектируемых фундаментных и надземных конструкций. Если заранее такая погрешность не может быть определена, необходимо проведение уточняющих расчетов и определение наиболее неблагоприятных воздействий на конструкции. Также следует учитывать возможные неопределенности, связанные с назначением расчетной модели и выбором деформационных и прочностных показателей грунтов основания. Для этого при проведении компьютерных расчетов большеразмерных групп свай и свайно-плитных фундаментов рекомендуется проводить сопоставление отдельных результатов расчета элементов расчетной схемы с аналитическими решениями, выполнять сопоставительные или альтернативные расчеты по различным геотехническим программам.
7.5.7. При расчетах, использующих для каждого i-го слоя грунта только стандартные деформационные параметры грунтов (

- модуль деформации i-го слоя грунта по ветви первичного нагружения,

- модуль деформации i-го слоя грунта по ветви вторичного нагружения и

- коэффициент Пуассона i-го слоя грунта), допускается глубину расчетной области назначать так же, как и при расчетах осадок по схеме условного фундамента
подраздела 7.4. При проведении расчетов по многопараметрическим моделям глубина сжимаемой толщи должна определяться на основании проведенных расчетов.
7.5.8. По результатам расчетов должна быть выявлена качественная и количественная картина группового и краевого эффектов в свайном основании, т.е. особенности работы свай, находящихся на разных участках свайного поля. Необходимо учитывать увеличение податливости свай, работающих в составе свайной группы (поля, куста) по сравнению с работой одиночных свай, а также переменность сопротивления свай и грунта в зависимости от их местоположения (краевого: углового, торцевого и пр.; внутреннего: центрального, промежуточного и пр.; в разреженной или сгущенной части и пр.) в группе.
7.5.9. При расчете надземных и фундаментных конструкций зданий допускается сваи в составе фундаментов описывать с помощью линейных и нелинейных контактных элементов податливости. Характеризующие эти элементы зависимости "нагрузка - осадка" для голов свай и межсвайной подошвы плиты-ростверка рекомендуется определять путем пространственного расчета свайного основания по деформациям в диапазоне нагрузок, характеризующем возможные перепады расчетных реакций в головах свай и межсвайного грунта. Допускается описывать работу нелинейных контактных элементов податливости путем нескольких итераций с изменением (пересчетом) жесткостей линейных контактных элементов.
(в ред.
Изменения N 2, утв. Приказом Минстроя России от 20.11.2018 N 734/пр)
7.5.10. Для определения жесткостных характеристик основания допускается заменять пространственный расчет свайного основания в целом расчетом его характерных фрагментов. При проведении таких расчетов допустимо изгибаемый ростверк принимать абсолютно жестким.
7.5.11. Исключен с 4 июня 2017 года. -
Изменение N 1, утв. Приказом Минстроя России от 03.12.2016 N 885/пр.
7.5.12. Для сооружений геотехнической категории 3 расчет ростверков большеразмерных свайных фундаментов следует использовать нелинейные модели. Для сооружений геотехнических категорий 1 и 2 допускается выполнять расчет изгибаемого ростверка с использованием модели упругого основания, характеризуемого переменными в плане коэффициентами жесткости. Эти коэффициенты назначаются по результатам расчета свайного фундамента по деформациям согласно
подразделу 7.4. При этом при проектировании конструкции плитного ростверка следует выбирать наиболее неблагоприятные случаи возможного распределения сопротивлений свай в плане. Выбор толщины ростверка определяется расчетом.
(в ред.
Изменения N 1, утв. Приказом Минстроя России от 03.12.2016 N 885/пр)
Для всех геотехнических категорий допускается выполнять расчеты большеразмерных свайных фундаментов с использованием линейных моделей грунтов в случаях:
а) расчета свайных фундаментов мостовых сооружений;
б) при расчетах свайных фундаментов на динамические нагрузки;
в) при определении смещений и углов поворота конструкций от кратковременных нагрузок и воздействий.
(абзац введен
Изменением N 1, утв. Приказом Минстроя России от 03.12.2016 N 885/пр)
7.5.13. Армирование плиты ростверка выполняется арматурными сетками или отдельными стержнями в соответствии с
СП 63.13330. При этом необходимая величина рабочего армирования ростверка определяется по действующим в его сечениях усилиям, определенным согласно требованиям настоящего раздела.
7.5.14. Расчет по прочности материала ствола свай в составе свайно-плитных фундаментов, большеразмерных кустов и полей свай следует осуществлять с учетом возможности перегрузки свай, для чего расчет свай по прочности ее материала следует вести с учетом коэффициента надежности по нагрузке

. При проведении указанных расчетов следует учитывать местоположение свай в составе фундаментов.
(в ред.
Изменения N 1, утв. Приказом Минстроя России от 03.12.2016 N 885/пр)
7.5.15. Большеразмерные кусты и поля свай следует проектировать с учетом возможности передачи нагрузки на грунт непосредственно через подошву плиты ростверка, в связи с чем в проекте должны быть предусмотрены мероприятия по соответствующей подготовке основания. При назначении глубины заложения плитной части свайно-плитного фундамента необходимо учитывать сезонное промерзание грунтов.
7.5.16. Проект плитно-свайных фундаментов должен содержать специальные требования по проведению статических испытаний свай. Рекомендуется выполнять раздельные испытания пяты и боковой поверхности свай.
(п. 7.5.16 в ред.
Изменения N 1, утв. Приказом Минстроя России от 03.12.2016 N 885/пр)
7.5.16а. В проекте свайных и плитно-свайных фундаментов сооружений класса КС-3 рекомендуется предусматривать установку датчиков для измерения усилий в наиболее нагруженных сваях и в наиболее нагруженных зонах плитного ростверка, а также датчиков давления грунта под подошвой плитного ростверка.
(п. 7.5.16а введен
Изменением N 1, утв. Приказом Минстроя России от 03.12.2016 N 885/пр)
7.5.17. При устройстве буронабивных свай диаметром, превышающим 850 мм, не менее 10% свай для сооружений класса КС-2 из них и не менее 30% свай для сооружения класса КС-3, а при нагрузке на сваю более 10 МН - 50% свай должны быть запроектированы с арматурными каркасами, оснащенными специальными трубками для контроля сплошности и однородности стволов свай неразрушающими методами.
(п. 7.5.17 в ред.
Изменения N 1, утв. Приказом Минстроя России от 03.12.2016 N 885/пр)
Примечание - Для свай опор мостов может разрабатываться специальная программа контроля их качества с учетом места расположения свай и способа их устройства.
(примечание введено
Изменением N 2, утв. Приказом Минстроя России от 20.11.2018 N 734/пр)
7.6. Особенности проектирования свайных фундаментов
при реконструкции зданий и сооружений
7.6.1. Применение свайных фундаментов при реконструкции зданий и сооружений наиболее целесообразно при значительном увеличении нагрузки на основание и при наличии в основании слабых грунтов.
Для свайных фундаментов могут быть использованы забивные, вдавливаемые, буроинъекционные и другие виды свай при соответствующем обосновании.
7.6.2. Свайные фундаменты при реконструкции зданий и сооружений следует проектировать в соответствии с требованиями настоящего подраздела и
подразделов 7.1 -
7.4. Исходные данные для проектирования помимо указанных в
4.1 должны содержать результаты обследования оснований, фундаментов и конструкций реконструируемого здания, а согласно
5.14 -
5.17 в условиях существующей застройки также зданий и сооружений, попадающих в зону влияния реконструкции (см.
ГОСТ 31937).
(в ред.
Изменения N 1, утв. Приказом Минстроя России от 03.12.2016 N 885/пр)
7.6.3. Инженерно-геологические изыскания для реконструкции должны проводиться в соответствии с требованиями
раздела 5 и с учетом дополнительных указаний
разделов 9 -
13 настоящего СП.
7.6.4. В проектах реконструкции оснований и фундаментов зданий и сооружений должны приниматься такие решения, при которых максимально используются существующие конструкции фундаментов и несущая способность грунтов.
7.6.5. Фундаменты из забивных свай, проектируемые для реконструкции в условиях существующей застройки, должны проверяться на безопасность по условиям динамических воздействий на конструкции близкорасположенных зданий и сооружений в соответствии с требованиями
4.8, а также на безопасность по условию смещения грунта вокруг погружаемых свай.
Безопасное по условиям динамических воздействий расстояние r, м, от погружаемых свай до зданий или сооружений, как правило, должно назначаться не менее 25 м.
7.6.6. Если расстояние r от ближайших погружаемых свай меньше 25 м, допустимые безопасные расстояния следует устанавливать исходя из условия, чтобы скорость вертикальных колебаний фундамента V, см/с, на расстоянии r от погружаемой сваи не превышала предельно допустимого значения для данного здания или сооружения, которое должно устанавливаться в зависимости от конструктивных особенностей здания или сооружения и категории их состояния. Для зданий, находящихся в удовлетворительном состоянии, при забивке свай молотами допустимые значения скоростей колебаний могут быть определены по
таблице 7.18. В необходимых случаях, в том числе при вибропогружении свай, допустимые безопасные расстояния должны уточняться на основе инструментальных исследований параметров колебаний грунта и сооружений при пробном погружении свай.
Примечание. Уменьшение негативного динамического воздействия от забивки свай на существующие здания и сооружения возможно путем погружения свай в лидерные скважины, применением гидромолотов с большой массой их ударной части при малой высоте ее подъема, вибропогружения и др.
Конструкции зданий и сооружений | Допустимые скорости колебаний, см/с, при грунтах основания |
Пески |
плотные | средней плотности | рыхлые |
Глинистые грунты при показателе текучести |
IL < 0,5 | 0,5 <= IL <= 0,75 | IL > 0,75 |
Монолитные железобетонные и каркасные со стальным каркасом | 4,5 | 3,0 | 1,0 |
Каркасные с рамным каркасом из монолитного железобетона | 3,0 | 1,5 | 0,5 |
Кирпичные блочные и панельные | 2,0 | 1,5 | 0,4 |
Значения скорости колебаний V, см/с, зданий и сооружений вычисляют по формуле

, (7.46)
где

и

- соответственно амплитуда и частота колебаний, определяемые экспериментально при пробной забивке свай.
7.6.7. В случаях когда применение забивных свай вблизи существующих зданий и сооружений оказывается невозможным по условию динамических воздействий, они могут быть заменены на вдавливаемые сваи, погружаемые специальными сваевдавливающими установками или с помощью домкратов.
Минимально необходимое усилие F, кН, для вдавливания свай допускается определять по формуле

, (7.47)
где

- коэффициент условий работы, принимаемый при скорости погружения сваи до 3 м/мин равным 1,2;

- несущая способность сваи при различных глубинах ее погружения в грунтовых условиях участка строительства, кН.
При применении вдавливания свай для усиления оснований реконструируемых зданий их фундаменты и подземные конструкции должны быть проверены на возможность восприятия усилия вдавливания F и в случае необходимости усилены.
7.6.8. В случаях применения буровых свай при реконструкции зданий и сооружений необходимо провести оценку возможной при устройстве таких свай технологической осадки, которая может вызвать осадку близко расположенных фундаментов, а также предусмотреть мероприятия по уменьшению технологической осадки, в том числе и за счет использования станков, оснащенных инвентарными обсадными трубами. Оценка может быть выполнена на основании сопоставимого опыта или данных мониторинга.
(в ред.
Изменения N 1, утв. Приказом Минстроя России от 03.12.2016 N 885/пр)
7.6.9. При усилении свайных фундаментов реконструируемых зданий путем подведения дополнительных свай под существующие ростверки последние должны проверяться на прочность в связи с изменением нагрузок и мест их приложения. В случае недостаточной прочности ростверков необходимо проектировать их усиление.
7.6.10. Дополнительные осадки оснований реконструируемых зданий и сооружений, вызванные реконструкцией, не должны превышать предельных дополнительных значений, которые следует устанавливать в зависимости от уровня ответственности как самого сооружения и категории состояния его конструкций, так и примыкающих к нему объектов окружающей застройки.
(в ред.
Изменения N 2, утв. Приказом Минстроя России от 20.11.2018 N 734/пр)
7.6.11. Выбор типа сваи, материала и метода ее установки следует производить с учетом:
грунтовых и гидрогеологических условий на площадке, включая присутствие или возможность присутствия препятствий в основании;
напряжений в свае при ее установке;
возможности сохранения и проверки целостности сваи при установке;
влияния метода и последовательности установки свай на уже установленные и на примыкающие сооружения и коммуникации;
допусков, в пределах которых свая может быть надежно установлена с учетом технологических осадок;
разрушительных химических воздействий в основании;
возможности связи различных горизонтов подземных вод;
грузоподъемных и транспортных операций со сваями;
влияния устройства свай на соседние здания.
7.6.12. При рассмотрении перечисленных в
7.6.5 -
7.6.11 вопросов следует обратить особое внимание на следующие моменты:
перемещения и вибрации соседних зданий при устройстве свай;
используемый тип молота или вибратора;
динамические напряжения в свае при забивке;
при устройстве буровых свай, для которых используются жидкости внутри скважины, необходимо поддерживать давление жидкости на уровне, обеспечивающем устойчивость стенок скважины и исключающем возможность возникновения гидроразрывов;
очистка дна, а иногда и ствола скважины от шлама, особенно при их наполнении бентонитовым раствором;
местная неустойчивость ствола скважины при бетонировании, что может привести к попаданию грунта в тело сваи;
попадание грунта и воды в тело набивных свай и возможное нарушение сырого бетона потоком воды;
влияние неводонасыщенных слоев песка вокруг сваи, которые отбирают воду из бетона;
замедляющее действие химических веществ, содержащихся в грунте и грунтовой воде;
уплотнение грунта и возникновение порового давления при устройстве свай вытеснения;
нарушение грунта при бурении скважин для свай.
7.7. Особенности проведения расчетов с использованием
геотехнического программного обеспечения
Минстроя России от 03.12.2016 N 885/пр)
7.7.1. Расчеты свайных фундаментов могут осуществляться как с использованием табулированных решений, так и с применением специализированного программного обеспечения. Программное обеспечение, которое допускается для проведения расчетов, подразделяется на следующие группы:
- непосредственно реализующие методики настоящего свода правил;
- реализующие инженерные методики расчета;
- использующие численные решения механики сплошных сред.
7.7.2. Допускается проведение следующих видов расчетов с использованием компьютерного обеспечения:
- определение несущей способности одиночных свай;
- расчет одиночных свай по деформациям;
- определение усилий в сваях и объединяющих их ростверках в составе свайных и плитно-свайных фундаментов при расчете на действие всех видов нагрузок;
- совместные расчеты зданий и свайных фундаментов;
- расчет деформаций свайных фундаментов во времени;
- моделирование возведения свайных фундаментов.
7.7.3. При проведении расчетов, использующих модели механики сплошных сред, расчетная схема системы "ростверк - сваи - грунтовое основание" должна выбираться с учетом наиболее существенных факторов, в конечном счете определяющих сопротивление указанной системы. В расчетах необходимо учитывать особенности взаимодействия свай и окружающего грунтового массива в зависимости от технологии устройства свай, взаимное влияние свай, особенности механической работы ростверка. При проведении расчетов фундаментов следует учитывать влияние устройства котлована, его ограждающих конструкций, последовательности возведения блоков, частей и очередей сооружения, неоднородности в геологическом строении, а также необходимо учитывать продолжительность и возможное изменение во времени нагружения свай и свайных фундаментов.
7.7.4. При проведении всех видов компьютерных расчетов свайных фундаментов следует учитывать возможные неопределенности, связанные с назначением расчетной модели и выбором деформационных и прочностных показателей грунтов основания. Для этого необходимо проводить расчеты для наиболее благоприятных и неблагоприятных расчетных предпосылок и учитывать эти результаты при проведении численных расчетов.
7.7.5. Расчетная модель свайных фундаментов должна строиться таким образом, чтобы содержать погрешность в сторону запаса надежности проектируемых надземных конструкций. Если заранее такая погрешность не может быть определена, необходимо проведение вариантных расчетов и определение наиболее неблагоприятных воздействий для надземных конструкций.
7.7.6. Результаты расчетов с использованием компьютерного программного обеспечения должны быть верифицированы, т.е. подтверждена их адекватность.
Верификация расчетных схем и результатов расчета может осуществляться следующими способами:
- путем многоступенчатого контроля правильности задания исходных данных для проведения расчетов;
- путем расчета с использованием различного типа программного обеспечения;
- путем проведения расчетов независимыми группами расчетчиков;
- путем сопоставления результатов расчета с натурными данными или результатами расчетов по объектам-аналогам.
Для свайных фундаментов, проектируемых для сооружений класса КС-3, расчет по двум независимым программным комплексам является обязательным.
7.7.7. При построении расчетной модели основания при расчете по моделям сплошных сред должны быть назначены необходимые габариты расчетной области и конфигурация конечно-элементной или конечно-разностной разбивки. Размеры области основания, примыкающей к свайному фундаменту и учитываемой при расчете свайного основания, должны обеспечивать отсутствие существенного влияния граничных условий на результаты расчетов.
7.7.8. Концентрацию сдвиговых деформаций и пластическое течение грунта по границе "свая - грунт" следует описывать путем использования специальных "интерфейсных" (контактных) элементов или надлежащего сгущения конечно-элементной (конечно-разностной) разбивки. Характеристики таких элементов должны назначаться в зависимости от типа свай в соответствии с
таблицей 7.6.
7.7.9. При решении задач определения несущей способности свай, при их работе в качестве одиночных, допускается проводить расчеты способом ячейки в соответствии с
7.4.8. При этом следует принимать диаметр расчетной области не менее 10 диаметров свай, а области под нижним концом свай - не менее 3 диаметров. Результатом расчета должно являться построение кривой "осадка-нагрузка". При проведении расчетов, связанных с построением кривой "осадка-нагрузка", прочностные характеристики грунта должны приниматься по II группе предельных состояний.
7.7.10. При проведении расчетов осадок свайно-плитных фундаментов глубина сжимаемой толщи в расчетах должна приниматься не менее чем в полученной по схеме условного фундамента. При проведении расчетов допускается учитывать изменение деформационных характеристик основания в пределах одного инженерно-геологического элемента, а также изменение деформационных характеристик основания в пределах рассматриваемого диапазона загружения.
7.7.11. В статических расчетах конструкций сооружений, взаимодействующих с основанием, не допускается использование жесткостных характеристик, описывающих механическое поведение свай, если их определение было выполнено только по данным статических испытаний одиночной сваи.
8. Требования к конструированию свайных фундаментов
8.1. Свайные фундаменты в зависимости от действующих нагрузок следует проектировать в виде:
а) одиночных свай - под отдельно стоящие опоры;
б) свайных лент - под стены зданий и сооружений при передаче на фундамент распределенных по длине нагрузок с расположением свай в один, два и более рядов;
в) свайных кустов - под колонны с расположением свай в плане на участке квадратной, прямоугольной, трапецеидальной и других форм;
г) сплошного свайного поля - под тяжелые сооружения со сваями, расположенными под всем сооружением и объединенными сплошным ростверком, подошва которого размещена на грунте (бетонной подготовке);
д) свайно-плитного фундамента.
8.2. В зависимости от конструкции здания применяют ленточные ростверки, ростверки стаканного типа и плитные ростверки.
8.3. Ленточные ростверки применяют, как правило, для зданий с несущими стенами. Ширина ростверка зависит от числа свай в поперечном сечении и от ширины несущей стены.
Значение свеса ростверка от грани свай должно приниматься с учетом допускаемых отклонений свай.
Высоту ростверка определяют расчетом в соответствии со
СП 63.13330. Ростверк рассчитывают как железобетонную многопролетную балку. Армирование ростверка производится пространственными арматурными каркасами, как правило, из арматуры класса А-III (А400). Для ростверка применяют, как правило, бетон класса по прочности B > 15. Ростверк укладывают по бетонной подготовке класса B7,5.
8.4. Ростверки стаканного типа, состоящие из плитной части и подколенника - стаканной части, применяют в зданиях со сборным железобетонным каркасом.
Размеры ростверка в плане должны приниматься кратными 30 см, а по высоте - 15 см. Конструктивную высоту ростверка назначают на 40 см больше глубины стакана. Ростверк рассчитывают на изгиб (плитная часть, стаканная часть) и на продавливание (продавливание колонны и угловой сваи) в соответствии с требованиями
СП 63.13330. Армирование ростверка производят плоскими сетками (плитная часть) и пространственными каркасами (стенки стакана).
8.5. Для тяжелых зданий и сооружений применяют, как правило, большеразмерные плитные ростверки. При этом высоту плитного ростверка определяют из расчета возможности восприятия им поперечных сил (по расчету на продавливание).
Плитные ростверки армируют верхними и нижними сетками из арматуры, которые укладывают на поддерживающие каркасы. Большеразмерные плитные ростверки изготавливают из бетона, укладываемого на бетонную подготовку.
8.6. При разработке проекта свайных фундаментов необходимо учитывать следующие данные: конструктивную схему проектируемого здания или сооружения; размеры несущих конструкций и материал, из которого они проектируются; наличие и габариты рядом расположенных заглубленных помещений здания или сооружения и их фундаментов; нагрузки на фундамент от строительных конструкций; размещение технологического оборудования и нагрузки, передаваемые от него на строительные конструкции и полы, а также требования к предельным осадкам и кренам строительных конструкций и фундаментов под оборудование.
8.7. Число свай в фундаменте и их размеры следует назначать из условия максимального использования прочности материала свай и грунтов основания при расчетной нагрузке, допускаемой на сваю, с учетом допустимых перегрузок крайних свай в фундаменте в соответствии с требованиями
7.1.11.
Выбор конструкции и размеров свай должен осуществляться с учетом значений и направления действия нагрузок на фундаменты, а также технологии строительства здания и сооружения.
При размещении свай в плане необходимо стремиться к минимальному числу их в свайных кустах или к максимально возможному шагу свай в лентах, добиваясь наибольшего использования принятой в проекте несущей способности свай. Необходимо рассматривать следующие варианты размещения свай в плане ленточного ростверка: однорядное, многорядное шахматное и многорядное.
(в ред.
Изменения N 3, утв. Приказом Минстроя России от 24.01.2019 N 40/пр)
8.8. Сопряжение свайного ростверка со сваями допускается предусматривать как свободно опирающимся, так и жестким.
Свободное опирание ростверка на сваи должно учитываться в расчетах условно как шарнирное сопряжение и при монолитных ростверках должно выполняться путем заделки головы сваи в ростверк на глубину 5 - 10 см.
Жесткое сопряжение свайного ростверка со сваями следует предусматривать в случае, когда:
а) стволы свай располагаются в слабых грунтах (рыхлых песках, глинистых грунтах текучей консистенции, илах, торфах и т.п.);
б) в месте сопряжения сжимающая нагрузка, передаваемая на сваю, приложена к ней с эксцентриситетом, выходящим за пределы ее ядра сечения;
в) на сваю действуют горизонтальные нагрузки, значения перемещений от которых при свободном опирании оказываются более предельных для проектируемого здания или сооружения;
г) в фундаменте имеются наклонные или вертикальные составные сваи;
д) сваи работают на выдергивающие нагрузки.
8.9. Жесткое сопряжение железобетонных свай с монолитным железобетонным ростверком следует предусматривать с заделкой головы сваи в ростверк на глубину, соответствующую длине анкеровки арматуры, или с заделкой в ростверк выпусков арматуры на длину их анкеровки в соответствии с требованиями
СП 63.13330. В голове предварительно напряженных свай должен быть предусмотрен ненапрягаемый арматурный каркас, используемый в дальнейшем в качестве анкерной арматуры.
(в ред.
Изменения N 1, утв. Приказом Минстроя России от 03.12.2016 N 885/пр)
Допускается также жесткое сопряжение с помощью сварки закладных стальных элементов при условии обеспечения требуемой прочности.
Примечания. 1. Анкеровка ростверка и свай, работающих на выдергивающие нагрузки (см.
8.8 д), должна предусматриваться с заделкой арматуры свай в ростверк на глубину, определяемую расчетом на выдергивание.
2. При усилении оснований существующих фундаментов с помощью буроинъекционных свай длина заделки свай в фундамент должна приниматься по расчету или назначаться конструктивно равной пяти диаметрам сваи (при невозможности выполнения этого условия следует предусматривать создание уширения ствола сваи в месте ее примыкания к ростверку).
3. При жесткой заделке свай путем заведения их ствола в ростверк последний должен быть рассчитан на продавливание с учетом конструктивного решения такой заделки.
8.10. Жесткое соединение свай со сборным ростверком должно обеспечиваться с применением колоколообразных оголовков. При сборном ростверке допускается также замоноличивание свай в специально предусмотренные в ростверке отверстия.
8.11. Сваи в кусте внецентренно нагруженного фундамента следует размещать таким образом, чтобы равнодействующая постоянных нагрузок, действующих на фундамент, проходила возможно ближе к центру тяжести плана свай.
8.12. Для восприятия вертикальных нагрузок и моментов, а также горизонтальных нагрузок (в зависимости от их значения и направления) допускается предусматривать сочетание вертикальных, наклонных и козловых свай.
8.13. Расстояние между осями висячих забивных и вдавливаемых свай должно быть не менее 3d (где d - диаметр круглого или сторона квадратного, или большая сторона прямоугольного поперечного сечения ствола сваи), а свай-стоек - не менее 1,5d.
Расстояние в свету между стволами буровых, набивных свай и свай-оболочек, а также между скважинами свай-столбов (кроме случаев применения буросекущихся и бурокасательных свай, для которых расстояние между сваями не регламентируется) должно быть не менее 1,0 м, а расстояние между буроинъекционными сваями в осях - не менее трех их диаметров; расстояние в свету между уширениями при устройстве их в твердых и полутвердых глинистых грунтах - 0,5 м, в других дисперсных грунтах - 1,0 м.
(в ред.
Изменения N 1, утв. Приказом Минстроя России от 03.12.2016 N 885/пр)
Расстояние между наклонными или между наклонными и вертикальными сваями в уровне подошвы ростверка следует принимать исходя из конструктивных особенностей фундаментов и обеспечения их надежности заглубления в грунт, армирования и бетонирования ростверка.
8.14. Выбор длины свай должен производиться в зависимости от грунтовых условий строительной площадки, уровня расположения подошвы ростверка с учетом возможностей имеющегося оборудования для устройства свайных фундаментов. Нижний конец свай, как правило, следует заглублять в прочные грунты, прорезая более слабые напластования грунтов, при этом заглубление забивных свай в грунты, принятые за основание, должно быть: в крупнообломочные, гравелистые, крупные песчаные и глинистые грунты с показателем текучести

- не менее 0,5 м, а в другие дисперсные грунты - не менее 1,0 м. Опирание нижних концов буровых свай на рыхлые пески и глинистые грунты текучей консистенции не допускается.
(в ред.
Изменения N 2, утв. Приказом Минстроя России от 20.11.2018 N 734/пр)
Для контроля выбранной длины буровых и набивных свай и подтверждения принятых технических решений в проекте должны предусматриваться статические испытания свай.
(в ред.
Изменения N 2, утв. Приказом Минстроя России от 20.11.2018 N 734/пр)
8.15. Глубину заложения подошвы свайного ростверка следует назначать в зависимости от конструктивных решений подземной части здания или сооружения (наличия подвала, технического подполья) и проекта планировки территории (срезкой или подсыпкой), а также высоты ростверка, определяемой расчетом.
При строительстве на пучинистых грунтах необходимо предусматривать меры, предотвращающие или уменьшающие влияние сил морозного пучения грунта на свайный ростверк.
Расчет свайных фундаментов по устойчивости и прочности на воздействие сил морозного пучения рекомендуется выполнять согласно
Приложению Ж.
Для фундаментов мостов подошву ростверка следует располагать выше или ниже поверхности акватории, ее дна или поверхности грунта при условии обеспечения расчетной несущей способности и долговечности фундаментов исходя из местных климатических условий, особенностей конструкции фундаментов, обеспечения требований судоходства и лесосплава, надежности мер по эффективной защите свай от неблагоприятного воздействия знакопеременных температур среды, ледохода, истирающего воздействия перемещающихся донных отложений и других факторов.
8.15а. Величина защитного слоя бетона в ростверках и сваях должна назначаться в соответствии с требованиями
СП 63.13330. При этом допускается для инвентарных забивных свай, свай-оболочек и буроинъекционных свай минимальные значения толщины защитного слоя бетона рабочей арматуры уменьшать на 10 мм. Стыкование стержней рабочей арматуры свай диаметром 36 мм и более рекомендуется осуществлять на муфтовых соединениях.
(п. 8.15а введен
Изменением N 1, утв. Приказом Минстроя России от 03.12.2016 N 885/пр)
8.15б. Стальные сваи следует проектировать из стальных прямошовных и бесшовных труб в соответствии с
ГОСТ 20295,
ГОСТ 10704,
ГОСТ 8732,
ГОСТ 8734 и их аналогов. Электросварные прямошовные трубы должны пройти объемную термическую обработку.
Для зданий и сооружений класса КС-3 следует использовать бесшовные трубы в соответствии с
ГОСТ 8732.
Полые сваи и сваи-оболочки, не требующие по расчету бетонного заполнителя, следует заполнять бетоном класса не ниже B7,5 или раствором марки M100, а в пределах слоя сезонного промерзания-оттаивания и выше - бетоном класса не ниже B15 с соблюдением требований по предотвращению образования трещин.
Назначение марок и категорий сталей труб следует осуществлять в соответствии с требованиями
СП 16.13330.
Примечание - Внутреннее пространство полых свай с закрытым нижним концом, погруженных в раствор марки M100, допускается заполнять сухой цементно-песчаной смесью, при этом в пределах слоя сезонного промерзания-оттаивания следует выполнять заполнение бетоном класса не ниже B7,5 или раствором марки M100.
(п. 8.15б в ред.
Изменения N 3, утв. Приказом Минстроя России от 24.01.2019 N 40/пр)
8.16. В районах со средней температурой воздуха наиболее холодной пятидневки ниже минус 40 °C для фундаментов мостов в зоне воздействия знакопеременных температур следует применять сваи и сваи-столбы сплошного сечения с защитным слоем бетона (до поверхности рабочей арматуры) не менее 5 см. В районах с температурой воздуха выше минус 40 °C допускается вне акватории использовать сваи сплошного сечения, полые сваи и сваи-оболочки с защитным слоем бетона не менее 3 см при условии осуществления мер по предотвращению образования в них трещин. В зоне переменного уровня постоянных водотоков не следует применять буронабивные сваи и заполненные бетоном сваи-оболочки.
Для буронабивных свай фундаментов мостов защитный слой бетона должен быть не менее 10 см.
В зоне воздействия положительных температур (не менее чем на 0,5 м ниже уровня сезонного промерзания грунта или подошвы ледяного покрова) можно применять сваи любых видов без ограничений по условию морозостойкости бетона.
8.17. При разработке проекта свайных фундаментов необходимо учитывать возможность подъема (выпора) поверхности грунта при забивке свай, который, как правило, может происходить в случаях:
а) площадка строительства сложена глинистыми грунтами мягкопластичной и текучепластичной консистенций или водонасыщенными пылеватыми и мелкими песками;
б) погружение свай производится со дна котлована;
в) конструкция свайного фундамента принята в виде свайного поля или свайных кустов при расстоянии между их крайними сваями менее 9 м.
Среднее значение подъема поверхности грунта h, м, следует определять по формуле

, (8.1)
где k - коэффициент, принимаемый равным 0,6 при степени влажности грунта более 0,9;

- объем всех свай, погружаемых в грунт, м
3;

- площадь погружения свай или площадь дна котлована, м
2.
8.18. Армирование буронабивных, буросекущихся и буроинъекционных свай следует выполнять объемными каркасами, для создания жесткости которых их продольные арматурные стержни должны быть соединены не только хомутами, но и трубчатыми кольцами, установленными на сварке по длине каркаса на расстоянии не реже чем через пять его диаметров (но не чаще чем через 2 м). В целях обеспечения защитного слоя бетона между грунтом и арматурными стержнями каркаса последний должен быть оснащен фиксаторами, а также крестообразными анкерами, установленными в нижнем конце каркаса для исключения возможности его подъема при извлечении обсадных труб.
8.19. В свайных фундаментах из деревянных стыкованных по длине свай стыки бревен или брусьев должны выполняться впритык с перекрытием металлическими накладками или патрубками. Стыки в пакетных сваях должны быть расположены вразбежку на расстоянии один от другого не менее 1,5 м.
8.19а. При проектировании плитно-свайных фундаментов должны быть предусмотрены специальные мероприятия по подготовке основания под плиту с целью ее максимального включения в работу. В качестве таких мероприятий может быть выполнение свай с силовой бетонной подготовкой или устройство свай с недобором грунта на 0,5 м с последующей разработкой грунта котлована на 0,4 м средствами малой механизации и добром грунта на 0,1 м до проектной отметки дна вручную.
(п. 8.19а введен
Изменением N 1, утв. Приказом Минстроя России от 03.12.2016 N 885/пр)
8.19б. При проектировании свайных и плитно-свайных фундаментов допускается применение свай разной длины и диаметров. Длины свай не должны отличаться более чем на 30%. В расчетах следует учитывать дополнительную нагрузку, передаваемую от более коротких свай на сваи большей длины.
(п. 8.19б введен
Изменением N 1, утв. Приказом Минстроя России от 03.12.2016 N 885/пр)
8.20. При конструировании свайных фундаментов необходимо учитывать дополнительные требования
разделов 7, 9 -
14.
9. Особенности проектирования свайных фундаментов
в просадочных грунтах
9.1. При инженерно-геологических изысканиях на строительных площадках, сложенных просадочными грунтами, следует определять тип грунтовых условий по просадочности с указанием частных и максимальных возможных значений просадки грунтов от собственного веса (при подсыпках - с учетом веса подсыпки).
Наряду с бурением скважин необходимо предусматривать проходку шурфов с отбором монолитов грунта.
При изучении на застраиваемой территории гидрогеологического режима подземных вод и прогнозировании его изменения при строительстве и эксплуатации зданий и сооружений необходимо прогнозировать возможность замачивания грунтов в результате действия различных факторов.
Физико-механические, в том числе прочностные и деформационные, характеристики просадочных грунтов должны определяться для состояния природной влажности и при полном водонасыщении. Относительную просадочность грунтов следует определять в условиях их замачивания водой, которая по температуре и химическим примесям соответствует циркулирующей в инженерных сетях как проектируемого объекта, так и зданий (сооружений), расположенных на примыкающей к нему территории.
9.2. При проектировании свайных фундаментов в грунтовых условиях II типа по просадочности с возможной просадкой грунтов от собственного веса свыше 30 см следует предусматривать мероприятия по переводу грунтовых условий II типа в I тип путем срезки грунта или уплотнения предварительным замачиванием, замачиванием со взрывом, пробивкой скважин с заполнением их уплотненным глинистым грунтом и другими методами. Указанные способы должны обеспечивать устранение просадки грунтовой толщи от ее собственного веса в пределах площади, занимаемой зданием или сооружением, и на расстоянии, равном половине просадочной толщи вокруг него.
(в ред.
Изменения N 1, утв. Приказом Минстроя России от 03.12.2016 N 885/пр)
9.3. Свайные фундаменты на территориях с просадочными грунтами при возможности замачивания грунтов следует применять в случаях, когда возможна прорезка сваями всех слоев просадочных грунтов, прочностные и деформационные характеристики которых снижаются при замачивании.
Нижние концы свай должны быть заглублены в скальные грунты, пески плотные и средней плотности и глинистые грунты с показателем текучести в водонасыщенном состоянии:
(в ред.
Изменения N 1, утв. Приказом Минстроя России от 03.12.2016 N 885/пр)

для всех видов свай в грунтовых условиях I типа;

для забивных свай и

для буронабивных свай при

в грунтовых условиях II типа;

для забивных свай и

для буронабивных свай при

в грунтовых условиях II типа (где

- просадка от собственного веса грунта с учетом подсыпки или другой пригрузки его поверхности).
Заглубление свай в указанные грунты должно назначаться по расчету путем проверки условия, что осадка сваи не превысит предельную осадку

, и условия обеспечения требуемой несущей способности сваи. При этом принимают наибольшее из полученных значений заглубления сваи.
Примечания. 1. Если прорезка указанных грунтов в конкретных случаях экономически нецелесообразна, то в грунтовых условиях I типа по просадочности для зданий и сооружений класса КС-1 допускается устройство свай (кроме свай-оболочек) с заглублением нижних концов не менее чем на 1 м в слой грунта с относительной просадочностью

(при давлении не менее 300 кПа и не менее давления, соответствующего давлению от собственного веса грунта и нагрузки на его поверхности) при условии, что в этом случае обеспечивается несущая способность свай, а суммарные значения возможных просадок и осадок основания не превышают предельных значений для здания и сооружения при неравномерном замачивании грунтов. При этом должна быть обеспечена несущая способность свай и свайных фундаментов, а возможные недопустимые осадки и просадки грунтов должны быть исключены применением дополнительных мероприятий.
(в ред.
Изменения N 1, утв. Приказом Минстроя России от 03.12.2016 N 885/пр)
2. Сваи-колонны одноэтажных зданий класса КС-1 в грунтовых условиях I типа допускается опирать нижними концами на грунты с

, если несущая способность свай подтверждена испытаниями.
(в ред.
Изменения N 1, утв. Приказом Минстроя России от 03.12.2016 N 885/пр)
9.4. В случае если по результатам инженерных изысканий установлено, что погружение забивных свай в просадочные грунты затруднено, в проекте должно быть предусмотрено устройство лидерных скважин, диаметр которых в грунтовых условиях I типа следует назначать менее диаметра сечения сваи (до 50 мм), а в грунтовых условиях II типа - равным ему или менее (до 50 мм). В последнем случае глубина лидерных скважин не должна превышать толщину просадочного от замачивания слоя грунта.
9.5. Расчет несущей способности свай, применяемых в грунтовых условиях I типа, следует производить в соответствии с указаниями
подраздела 7.2 и
Приложения Е с учетом того, что сопротивления грунтов под нижними концами R и на боковой поверхности

сваи (
таблицы 7.2,
7.3 и
7.8), коэффициент пропорциональности K (см.
Приложение В), модуль деформации E, угол внутреннего трения

и удельное сцепление c должны определяться:
а) при полном водонасыщении грунта, если возможно замачивание грунта, при этом расчетные табличные характеристики следует принимать при показателе текучести, определяемом по формуле

, (9.1)
где e - коэффициент пористости грунта природной плотности;

- удельный вес воды;

;

- удельный вес твердых частиц, кН/м
3 (тс/м
3);
k - коэффициент, принимаемый равным: 1,0 - для супесей, 0,9 - для суглинков и глин;

,

- влажности грунта на границе раскатывания и текучести, доли единицы; при значении

, полученном при расчете по
формуле (9.1), для супесей и суглинков

следует принимать равным 0,4;
б) при влажности w и показателе текучести

грунта в природном состоянии (когда

, принимается

), если замачивание грунта невозможно.
9.6. При наличии достаточного для статистической обработки объема полевых определений прочностных и деформационных характеристик грунтов расчет несущей способности свай в условиях I и II типов по просадочности рекомендуется производить в соответствии с
Приложением Е. Несущая способность свай в выштампованном ложе, применяемых в грунтовых условиях I типа, должна назначаться в соответствии с требованиями
7.2.4 как для забивных свай с наклонными гранями при

по
формуле (9.1).
9.7. Несущую способность свай, применяемых в грунтовых условиях I типа, по результатам их статических испытаний, проведенных с локальным замачиванием грунта в пределах всей длины сваи согласно
ГОСТ 5686, следует определять в соответствии с требованиями
подраздела 7.3.
В грунтовых условиях I типа при наличии опыта строительства на застраиваемой территории и результатов ранее выполненных статических испытаний свай в аналогичных условиях испытания свай допускается не производить.
Не допускается определять несущую способность свай и свай-оболочек, устраиваемых в просадочных грунтах, по данным результатов их динамических испытаний, а также определять расчетные сопротивления просадочных грунтов под нижним концом и на боковой поверхности сваи по данным результатов полевых испытаний этих грунтов динамическим зондированием.
Статическое зондирование допускается применять:
ниже границы просадочной толщи - при выборе слоев грунта для опирания свай и для определения расчетных сопротивлений грунтов под нижним концом R и на боковой поверхности сваи

;
в грунтовых условиях I типа - для определения расчетных сопротивлений замоченных просадочных грунтов под нижним концом R и на боковой поверхности сваи

;
в грунтовых условиях II типа - при определении отрицательной силы трения просадочных грунтов на боковой поверхности сваи в соответствии с
9.10.
9.8. Помимо свай, указанных в
разделе 6, следует также применять набивные железобетонные сваи, устраиваемые в пробуренных скважинах с забоем, уплотненным втрамбовыванием щебня на глубину не менее 3d (где d - диаметр скважины), либо устройством забивной пяты конической формы.
9.9. Сваи по несущей способности грунтов основания в грунтовых условиях II типа следует рассчитывать с учетом сил отрицательного трения исходя из условия

, (9.2)
Минстроя России от 03.12.2016 N 885/пр)
где N - расчетная нагрузка, кН, на одну сваю;

- несущая способность сваи, кН, определяемая в соответствии с
9.11;

,

- коэффициенты, принимаемые по
7.1.11;
(в ред.
Изменения N 1, утв. Приказом Минстроя России от 03.12.2016 N 885/пр)

- отрицательная сила трения, определяемая в соответствии с 9.10.
Примечания. 1. Значение

следует определять, как правило, для полностью водонасыщенного грунта (при возможном замачивании грунтов сверху).
2. По прочности материала сваи должны быть рассчитаны на нагрузку

.
9.10. Отрицательную силу трения

в водонасыщенных грунтах и

в грунтах природной влажности, действующую на боковой поверхности сваи, кН, принимают равной наибольшему предельному сопротивлению сваи длиной

по испытаниям выдергивающей нагрузкой соответственно в водонасыщенных грунтах и грунтах природной влажности.
(в ред.
Изменения N 1, утв. Приказом Минстроя России от 03.12.2016 N 885/пр)
До проведения испытаний на выдергивание значение

допускается определять:
а) по формуле

, (9.3)
где u - периметр ствола сваи, м;
(в ред.
Изменения N 1, утв. Приказом Минстроя России от 03.12.2016 N 885/пр)

- расчетная глубина, м, до которой производится суммирование сил бокового трения проседающих слоев грунта, принимаемая равной глубине, где значение просадки грунта от действия собственного веса, определенное в соответствии с требованиями
СП 22.13330, равно наименьшему значению допустимой деформации основания здания;

- расчетное сопротивление, кПа, определяемое по формуле

;

, (9.4)
здесь

- экспериментальный параметр, характеризующий боковое давление на контакте сваи с грунтом;

- наибольшее значение пористости просадочных грунтов, принимаемое равным 0,55;

- пористость i-го слоя грунта в долях единицы;

- глубина расположения середины расчетного i-го слоя грунта, м;

;

- вертикальное напряжение от собственного веса водонасыщенного грунта, кПа;

и

- расчетные значения угла внутреннего трения, град, и удельного сцепления i-го слоя грунта, определяемые по методу консолидированного дренированного среза;
(в ред.
Изменения N 1, утв. Приказом Минстроя России от 03.12.2016 N 885/пр)

- толщина, м, i-го слоя просадочного грунта, оседающего при замачивании и соприкасающегося с боковой поверхностью сваи;
б) по результатам статического зондирования водонасыщенных грунтов и грунтов природной влажности на расчетную глубину

в соответствии с
подразделом 7.3.
9.11. Несущую способность

, кН, свай в грунтовых условиях II типа по просадочности, работающих на сжимающую нагрузку, следует определять:
а) по результатам статических испытаний свай с локальным замачиванием - как разность между несущей способностью свай длиной l на вдавливающую нагрузку и несущей способностью свай длиной

на выдергивающую нагрузку; в необходимых случаях следует предусматривать проведение испытаний тензометрических свай (с определением усилий и деформаций в сечениях сваи);
б) расчетом в соответствии с указаниями
9.5 в условиях полного водонасыщения грунтов в пределах слоев грунта ниже глубины

.
9.12. Проведение статических испытаний свай в грунтах II типа по просадочности является обязательным при отсутствии фондовых материалов по таким испытаниям.
9.13. Для особо ответственных сооружений и при массовой застройке в районах с неизученными грунтовыми условиями следует производить испытания свай с длительным замачиванием основания до полного проявления просадок по разработанной программе для конкретных условий.
9.14. Если на боковой поверхности свай возможно появление отрицательных сил трения, то осадку свайного фундамента из висячих свай следует определять как для условного фундамента
(подраздел 7.4), но при подсчете нагрузок должны быть добавлены отрицательные силы трения, определенные по
формуле (9.3) при периметре u, м, равном периметру ростверка в пределах его высоты и по периметру куста по наружным граням свай.
9.15. Определение неравномерности осадок свайных фундаментов в просадочных грунтах для расчета конструкций зданий и сооружений должно производиться с учетом прогнозируемых изменений гидрогеологических условий площади застройки и возможных наиболее неблагоприятных вида и расположения источника замачивания по отношению к рассчитываемому фундаменту или сооружению в целом.
9.16. Применение свайных фундаментов не исключает необходимости выполнения водозащитных мероприятий. При этом в грунтовых условиях II типа по просадочности должна быть также предусмотрена разрезка зданий осадочными швами на блоки простой конфигурации. В производственных зданиях промышленных предприятий, оборудованных кранами, кроме того, должны быть предусмотрены конструктивные мероприятия, обеспечивающие возможность рихтовки подкрановых путей на удвоенное значение расчетной осадки свайных фундаментов, но не менее половины просадки грунта от собственного веса. В случаях, когда свайный фундамент не исключает деформации конструкций и крены зданий (сооружений), превышающие величины, допустимые нормами, здания и сооружения допускается проектировать с учетом мероприятий, снижающих неравномерную их осадку и устраняющих их крены, в том числе с применением выравнивания.
9.17. При просадках грунта от собственного веса более 30 см следует учитывать возможность горизонтальных перемещений свайных фундаментов, попадающих в пределы криволинейной части просадочной воронки.
9.18. В грунтовых условиях II типа при определении нагрузок, действующих на свайный фундамент, следует учитывать отрицательные силы трения, которые могут появляться на расположенных выше подошвы свайного ростверка боковых поверхностях заглубленных в грунт частей здания или сооружения.
9.19. При применении свайных фундаментов планировочные подсыпки грунтов более 1 м на территориях, сложенных просадочными грунтами, допускаются только при специальном обосновании.
9.20. Исключен с 4 июня 2017 года. -
Изменение N 1, утв. Приказом Минстроя России от 03.12.2016 N 885/пр.
10. Особенности проектирования свайных фундаментов
в набухающих грунтах
10.1. При проектировании свайных фундаментов в набухающих грунтах допускается предусматривать как полную прорезку сваями всей толщи набухающих грунтов (с опиранием нижних концов на ненабухающие грунты), так и частичную прорезку (с опиранием нижних концов непосредственно в толще набухающих грунтов).
10.2. При расчете несущей способности свай в набухающих грунтах значения расчетных сопротивлений набухающих грунтов под нижним концом R и на боковой поверхности

сваи или сваи-оболочки рекомендуется принимать на основании результатов статических испытаний свай и свай-штампов в набухающих грунтах с их замачиванием на строительной площадке или прилегающих к ней территориях, имеющих аналогичные грунты. При отсутствии результатов указанных статических испытаний расчетное сопротивление набухающих грунтов под нижним концом R и на боковой поверхности

свай и свай-оболочек диаметром менее 1 м допускается принимать по
таблицам 7.2,
7.3 и
7.8 с введением дополнительного коэффициента условий работы сваи в грунте

, учитываемого независимо от других коэффициентов условий работы, приведенных в
таблицах 7.4 и
7.6.
10.3. При расчете свайных фундаментов в набухающих грунтах по деформациям
(подраздел 7.4) должен выполняться дополнительный расчет по определению подъема свай при набухании грунта в соответствии с требованиями 10.4 -
10.6.
10.4. Подъем

, м, забивных свай, погруженных в предварительно пробуренные лидерные скважины, набивных свай без уширения, а также свай-оболочек, не прорезающих набухающую зону грунтов, следует определять по формуле

, (10.1)
где

- подъем поверхности набухающего грунта, м;

- подъем слоя грунта в уровне заложения нижнего конца свай (в случае прорезки набухающей зоны грунта

;

,

- коэффициенты, определяемые по таблице 10.1, при этом

зависит от показателя

, который характеризует уменьшение деформации по глубине массива при набухании грунта и принимается для набухающих глин: сарматских -

, аральских -

и хвалынских -

;
u - периметр сваи, м;
N - расчетная нагрузка на сваю, кН, определенная с коэффициентом надежности по нагрузке

.
Таблица 10.1
Глубина погружения сваи, м | Коэффициент  , м -1, при значениях  | Коэффициент  , м 2/кН |
0,2 | 0,3 | 0,4 | 0,5 | 0,6 |
3 | 0,72 | 0,62 | 0,53 | 0,46 | 0,40 | - |
4 | 0,64 | 0,53 | 0,44 | 0,36 | 0,31 | 1,5 |
5 | 0,59 | 0,46 | 0,36 | 0,29 | 0,24 | 1,1 |
6 | 0,53 | 0,40 | 0,31 | 0,24 | 0,19 | 0,7 |
7 | 0,48 | 0,35 | 0,26 | 0,20 | 0,15 | 0,5 |
8 | 0,44 | 0,31 | 0,22 | 0,17 | 0,13 | 0,4 |
9 | 0,40 | 0,27 | 0,19 | 0,14 | 0,11 | 0,3 |
10 | 0,37 | 0,24 | 0,17 | 0,12 | 0,09 | 0,2 |
11 | 0,34 | 0,21 | 0,15 | 0,10 | 0,08 | 0,2 |
12 | 0,31 | 0,19 | 0,13 | 0,09 | 0,07 | 0,1 |
Предельные значения подъема сооружений, а также значение подъема поверхности набухающего грунта

и подъема слоя грунта в уровне расположения нижних концов свай

следует определять в соответствии с требованиями
СП 22.13330.
10.5. При прорезке сваями набухающих слоев грунта и заглублении их в ненабухающие грунты подъем свайного фундамента будет практически исключен при соблюдении условия

, (10.2)
Минстроя России от 03.12.2016 N 885/пр)

- равнодействующая расчетных сил подъема, кН, действующих на боковой поверхности сваи, определяемая по результатам их полевых испытаний в набухающих грунтах или определяемая с использованием данных
таблицы 7.3 с учетом коэффициента надежности по нагрузке для сил набухания грунта

;

- несущая способность участка сваи, кН, расположенного в ненабухающем грунте, при действии выдергивающих нагрузок, определенная с учетом требований 10.2;
(в ред.
Изменения N 2, утв. Приказом Минстроя России от 20.11.2018 N 734/пр)
(в ред.
Изменения N 1, утв. Приказом Минстроя России от 03.12.2016 N 885/пр)
10.6. Подъем свай диаметром более 1 м, не прорезающих набухающие слои грунта, должен определяться как для фундамента на естественном основании в соответствии с требованиями
СП 22.13330. При этом подъем сваи с уширением должен определяться при действии нагрузки

, равной

, (10.3)

- расчетное значение удельного веса грунта, кН/м
3;

- объем грунта, препятствующий подъему сваи, м
3, и принимаемый равным объему грунта в пределах расширяющегося усеченного конуса высотой h с нижним (меньшим) диаметром, равным диаметру уширения d, а верхним диаметром d' = h + d (здесь h - расстояние от природной поверхности грунта до середины уширения сваи).
10.7. При проектировании свайных фундаментов в набухающих грунтах между поверхностью грунта и нижней плоскостью ростверка должен быть предусмотрен зазор размером, равным или более максимального значения подъема грунта при его набухании.
При толщине слоя набухающего грунта менее 12 м допускается устраивать ростверк, опирающийся непосредственно на грунт, при соблюдении
условия (10.2).
При расположении свай в виде куста или свайного поля подъем свайных фундаментов следует рассчитывать с учетом взаимного влияния свай.
11. Особенности проектирования свайных фундаментов
на подрабатываемых территориях
11.1. При проектировании свайных фундаментов на подрабатываемых территориях кроме требований настоящих норм должны соблюдаться также требования
СП 21.13330; при этом наряду с данными инженерных изысканий для проектирования свайных фундаментов должны также использоваться данные горно-геологических изысканий и сведения об ожидаемых деформациях земной поверхности.
11.2. В задании на проектирование свайных фундаментов на подрабатываемых территориях должны содержаться полученные по результатам маркшейдерского расчета данные об ожидаемых максимальных деформациях земной поверхности на участке строительства, в том числе оседание, наклон, относительные горизонтальные деформации растяжения или сжатия, радиус кривизны земной поверхности, высота уступа.
11.3. Расчет свайных фундаментов зданий и сооружений, возводимых на подрабатываемых территориях, должен производиться по предельным состояниям на особое сочетание нагрузок, назначаемых с учетом воздействий со стороны деформируемого при подработке основания.
11.4. В зависимости от характера сопряжения голов свай с ростверком и взаимодействия фундаментов с грунтом основания в процессе развития в нем горизонтальных деформаций от подработки территории различают следующие схемы свайных фундаментов:
а) жесткие - при жесткой заделке голов свай в ростверк путем заанкеривания в нем выпусков арматуры свай или непосредственной заделки в нем головы сваи в соответствии с требованиями, изложенными в
8.9;
б) податливые - при условно-шарнирном сопряжении сваи с ростверком, выполненном путем заделки ее головы в ростверк на 5 - 10 см или сопряжения через шов скольжения.
11.5. Расчет свайных фундаментов и их оснований на подрабатываемых территориях должен производиться с учетом:
а) изменений физико-механических свойств грунтов, вызванных подработкой территории, в соответствии с требованиями 11.6;
б) перераспределения вертикальных нагрузок на отдельные сваи, вызванного наклоном, искривлением и уступообразованием земной поверхности, в соответствии с требованиями
11.7;
в) дополнительных нагрузок в горизонтальной плоскости, вызванных относительными горизонтальными деформациями грунтов основания, в соответствии с требованиями
11.8.
11.6. Несущую способность грунта основания свай всех видов

, кН, работающих на сжимающую нагрузку, при подработке территории следует определять по формуле

, (11.1)
где

- коэффициент условий работы, учитывающий изменение физико-механических свойств грунтов и перераспределение вертикальных нагрузок при подработке территории: для свай-стоек в фундаментах любых зданий и сооружений

; для висячих свай в фундаментах податливых зданий и сооружений (например, одноэтажных каркасных с шарнирными опорами)

; для висячих свай в фундаментах жестких зданий и сооружений (например, бескаркасных многоэтажных зданий с жесткими узлами, силосных корпусов)

;

- несущая способность сваи, кН, определенная расчетом в соответствии с
подразделом 7.2 или определенная по результатам полевых исследований (испытания свай динамической или статической нагрузкой, зондирование грунтов) в соответствии с требованиями
подраздела 7.3.
Примечание. В случае крутопадающих пластов в
формуле (11.1) следует также учитывать зависящий от значения относительной горизонтальной деформации

, мм/м, дополнительный коэффициент

.
11.7. Дополнительные вертикальные нагрузки

на сваи или сваи-оболочки зданий и сооружений с жесткой конструктивной схемой следует определять в зависимости от расчетных значений вертикальных перемещений свай, вызванных наклоном, искривлением, уступообразованием земной поверхности, а также горизонтальными деформациями грунтов основания при условиях:
а) свайные фундаменты из висячих свай и их основания заменяют в соответствии с
7.4 условным фундаментом на естественном основании;
б) основание условного фундамента принимают линейно деформируемым с постоянными по длине здания (сооружения) или выделенного в нем отсека модулем деформации и коэффициентом постели грунта.
Определение дополнительных вертикальных нагрузок производят относительно продольной и поперечной осей здания.
11.8. В расчетах свайных фундаментов, возводимых на подрабатываемых территориях, следует учитывать дополнительные усилия, возникающие в сваях вследствие их работы на изгиб под влиянием горизонтальных перемещений грунта основания при подработке территории по отношению к проектному положению свай.
11.9. Расчетное горизонтальное перемещение грунта

, мм, при подработке территории следует определять по формуле

, (11.2)
где

,

- соответственно коэффициенты надежности по нагрузке и условий работы для относительных горизонтальных деформаций, принимаемые согласно
СП 21.13330;

- ожидаемое значение относительной горизонтальной деформации, определяемое по результатам маркшейдерского расчета, мм/м;
x - расстояние от оси рассматриваемой сваи до центральной оси здания (сооружения) с ростверком, устраиваемым на всю длину здания (отсека), или до блока жесткости каркасного здания (отсека) с ростверком, устраиваемым под отдельные колонны, м.
11.10. Свайные фундаменты зданий и сооружений, возводимых на подрабатываемых территориях, следует проектировать исходя из условий необходимости передачи на ростверк минимальных усилий от свай, возникающих в результате деформации земной поверхности.
Для выполнения этого требования необходимо в проектах предусматривать:
а) разрезку здания или сооружения на отсеки для уменьшения влияния горизонтальных перемещений грунта основания;
б) преимущественно висячие сваи для зданий и сооружений с жесткой конструктивной схемой для снижения дополнительно возникающих усилий в вертикальной плоскости от искривления основания;
в) сваи возможно меньшей жесткости, например призматические, квадратного или прямоугольного поперечного сечения, при этом сваи прямоугольного сечения следует располагать меньшей стороной в продольном направлении отсека здания;
г) преимущественно податливые конструкции сопряжения свай с ростверком, указанные в
11.4;
д) выравнивание зданий с помощью домкратов или других выравнивающих устройств.
При разрезке здания или сооружения на отсеки между ними в ростверке следует предусматривать зазоры (деформационные швы), размеры которых определяют как для нижних конструкций зданий и сооружений в соответствии с требованиями
СП 21.13330.
11.11. Свайные фундаменты следует применять, как правило, на подрабатываемых территориях I - IV групп, в том числе:
а) с висячими сваями - на территориях I - IV групп для любых видов и конструкций зданий и сооружений;
б) со сваями-стойками - на территориях III и IV групп для зданий и сооружений, проектируемых с податливой конструктивной схемой здания при искривлении основания, а для IV группы - также и для зданий и сооружений, проектируемых с жесткой конструктивной схемой.
Примечания. 1. Деление подрабатываемых территорий на группы принято в соответствии с
СП 21.13330.
2. Сваи-оболочки, набивные и буровые сваи диаметром более 600 мм и другие виды жестких свай допускается применять, как правило, только в свайных фундаментах с податливой схемой при сопряжении их с ростверком через шов скольжения
(11.4).
3. Заглубление в грунт свай на подрабатываемых территориях должно быть не менее 4 м, за исключением случаев опирания свай на скальные грунты.
11.12. На подрабатываемых территориях Iк - IVк групп с возможным образованием уступов, а также на площадках с геологическими нарушениями применение свайных фундаментов допускается только при наличии специального обоснования.
11.13. Конструкция сопряжения свай с ростверком должна назначаться в зависимости от значения ожидаемого горизонтального перемещения грунта основания, при этом предельные значения горизонтального перемещения для свай не должны превышать при сопряжении с ростверком
(11.4), см:
2 - жестком;
5 - податливом, условно-шарнирном;
8 - податливом через шов скольжения.
Примечание. Для снижения значений усилий, возникающих в сваях и ростверке от воздействия горизонтальных перемещений грунта основания, а также для обеспечения пространственной устойчивости свайных фундаментов здания (сооружения) в целом сваи свайного поля в зоне действия небольших перемещений грунта (до 2 см) следует предусматривать с жестким сопряжением, а остальные - с податливым (шарнирным или сопряжением через шов скольжения).
11.14. Свайные ростверки должны рассчитываться на внецентренное растяжение и сжатие, а также на кручение при воздействии на них горизонтальных опорных реакций от свай (поперечной силы и изгибающего момента), вызванных боковым давлением деформируемого при подработке грунта основания.
11.15. При применении свайных фундаментов с высоким ростверком в бетонных полах или других жестких конструкциях, устраиваемых на поверхности грунта, следует предусматривать зазор по всему периметру свай шириной не менее 8 см на всю толщину жесткой конструкции. Зазор следует заполнять пластичными или упругими материалами, не образующими жесткой опоры для свай при воздействии горизонтальных перемещений грунта основания.
12. Особенности проектирования свайных фундаментов
в сейсмических районах
12.1. При проектировании свайных фундаментов в сейсмических районах кроме требований настоящих правил следует соблюдать также требования
СП 14.13330, при этом в дополнение к материалам инженерных изысканий для проектирования свайных фундаментов должны быть использованы данные сейсмического микрорайонирования площадки строительства.
12.2. Свайные фундаменты зданий и сооружений при расчете по предельным состояниям первой группы с учетом сейсмических воздействий должны рассчитываться на особое сочетание нагрузок. При этом необходимо предусматривать:
а) определение несущей способности сваи на сжимающую и выдергивающую нагрузки в соответствии с требованиями
подраздела 7.2;
б) проверку устойчивости грунта по условию ограничения давления, передаваемого на грунт боковыми поверхностями свай, в соответствии с требованиями
Приложения В;
в) расчет свай по прочности материала на совместное действие расчетных усилий (продольной силы, изгибающего момента и поперечной силы), значения которых определяют с учетом
Приложения В в зависимости от расчетных значений сейсмических нагрузок.
При выполнении указанных в
подпунктах "а" - "в" расчетов также должны учитываться требования, приведенные в 12.3 -
12.8.
Примечание. При определении расчетных значений сейсмических нагрузок, действующих на здание или сооружение, высокий свайный ростверк следует рассматривать как каркасный нижний этаж.
12.3. При расчете несущей способности свай на сжимающую или выдергивающую нагрузку

значения R и
(подраздел 7.2) следует умножить на понижающие коэффициенты условий работы грунта основания

и

, приведенные в таблице 12.1, или определять их по результатам испытаний свай и свайных фундаментов имитированными сейсмическими воздействиями.
Таблица 12.1
Расчетная сейсмичность зданий и сооружений, баллы | Коэффициент условий работы  для корректировки значений R при грунтах | Коэффициент условий работы  для корректировки значений  при грунтах |
Пески плотные | Пески средней плотности | Глинистые грунты при показателе текучести | Пески плотные и средней плотности | Глинистые грунты при показателе текучести |
маловлажные и влажные | насыщенные водой | маловлажные и влажные | насыщенные водой | IL < 0 | 0 <= IL <= 0,5 | маловлажные и влажные | насыщенные водой | IL < 0 | 0 <= IL <= 0,75 | 0,75 <= IL <= 1 |
7 | 1 ---- 0,9 | 0,9 ---- 0,5 | 0,95 ----- 0,85 | 0,8 ---- 0,4 | 1 - 1 | 0,95 ----- 0,9 | 0,95 ----- 0,85 | 0,9 ---- 0,5 | 0,95 ----- 0,9 | 0,85 ----- 0,8 | 0,75 ----- 0,75 |
8 | 0,9 ---- 0,8 | 0,8 ---- 0,4 | 0,8 ----- 0,75 | 0,7 ----- 0,35 | 0,95 ----- 0,95 | 0,9 ---- 0,8 | 0,85 ----- 0,75 | 0,8 ---- 0,4 | 0,9 ---- 0,8 | 0,8 ---- 0,7 | 0,7 ---- 0,65 |
9 | 0,8 ---- 0,7 | 0,7 ----- 0,35 | 0,75 ---- 0,6 | - | 0,9 ----- 0,85 | 0,85 ----- 0,7 | 0,75 ----- 0,65 | 0,7 ----- 0,35 | 0,85 ----- 0,65 | 0,7 ---- 0,6 | 0,6 ---- - |
Примечания. 1. Значения  и  , указанные над чертой, относятся к забивным, набивным сваям (сваям вытеснения), под чертой - к буровым. 2. Значения коэффициентов  и  следует умножать на 0,85, 1,0 или 1,15 для зданий и сооружений, возводимых в районах с повторяемостью 1, 2, 3 соответственно (кроме транспортных и гидротехнических). 3. Несущую способность свай-стоек, опирающихся на скальные и крупнообломочные грунты, определяют без введения дополнительных коэффициентов условий работы  и  . |
Кроме того, сопротивление грунта

на боковой поверхности сваи до расчетной глубины

(12.4) следует принимать равным нулю.
12.4. Расчетную глубину

, до которой не учитывают сопротивление грунта на боковой поверхности сваи, определяют по формуле (12.1), но принимают не более


, (12.1)
где

,

,

- безразмерные коэффициенты, равные соответственно 1,5; 0,8 и 0,6 при высоком ростверке и для отдельно стоящей сваи, 1,2; 1,2 и 0 - при жесткой заделке сваи в низкий ростверк;
H, M - расчетные значения соответственно горизонтальной силы, кН, и изгибающего момента, кН·м, приложенных к свае в уровне поверхности грунта при особом сочетании нагрузок с учетом сейсмических воздействий;

- коэффициент деформации, 1/м, определяемый по
Приложению В;

- расчетное значение удельного веса грунта, кН/м
3, определяемое в водонасыщенных грунтах с учетом взвешивающего действия воды;

,

- расчетные значения соответственно угла внутреннего трения грунта, град, и удельного сцепления грунта, кПа.
В проектах рекомендуется предусматривать контрольные испытания свай на горизонтальную нагрузку.
12.5. Определение расчетной глубины

при воздействии сейсмических нагрузок следует производить, принимая значения расчетного угла внутреннего трения

уменьшенными для расчетной сейсмичности 7 баллов - на 2°, 8 баллов - на 4°, 9 баллов - на 7°.
12.6. При расчете свайных фундаментов мостов влияние сейсмического воздействия на условия заделки свай в водонасыщенных пылеватых песках и глинистых грунтах с показателем текучести

следует учитывать путем понижения на 30% значений коэффициентов пропорциональности K, приведенных для этих грунтов в
Приложении В.
12.7. Несущая способность сваи

, кН, работающей на вертикальную сжимающую и выдергивающую нагрузки, по результатам полевых испытаний должна определяться с учетом сейсмических воздействий по формуле

, (12.2)
где

- коэффициент, учитывающий снижение несущей способности сваи при сейсмических воздействиях, определяемый расчетом как отношение значения несущей способности сваи, вычисленного в соответствии с
12.2 -
12.4 с учетом сейсмических воздействий, и значения несущей способности сваи, определенной согласно требованиям
подраздела 7.2 без учета сейсмических воздействий;

- несущая способность сваи, кН, определенная по результатам статических или динамических испытаний или по данным статического зондирования грунта в соответствии с
подразделом 7.3 (без учета сейсмических воздействий).
12.8. Расчет свай в просадочных и набухающих грунтах на особое сочетание нагрузок с учетом сейсмических воздействий должен производиться при природной влажности, если замачивание грунта невозможно, и при полностью водонасыщенном грунте, имеющем показатель текучести, определяемый по
формуле (9.1), если замачивание грунта возможно; при этом определение несущей способности свай в грунтовых условиях II типа по просадочности производят без учета возможности развития отрицательных сил трения грунта.
Примечание. Расчет свай на сейсмические воздействия не исключает необходимости выполнения их расчета в соответствии с
разделами 9 -
11.
12.9. Для свайных фундаментов в сейсмических районах следует применять сваи всех видов, кроме свай без поперечного армирования и булавовидных.
Не допускается также применение бетонных свай, т.е. свай, не имеющих арматурных каркасов по всей длине свайного ствола.
Запрещается устройство в сейсмических районах буровых свай под избыточным давлением воды без обсадных труб.
12.10. При проектировании свайных фундаментов в сейсмических районах опирание конца свай следует предусматривать на скальные, крупнообломочные грунты, пески плотные и средней плотности и глинистые грунты с показателем текучести

.
Опирание нижних концов свай на рыхлые водонасыщенные пески, глинистые грунты с показателем текучести

не допускается.
12.11. Заглубление в грунт свай в сейсмических районах должно быть не менее 4 м, а при наличии в основании нижних концов свай водонасыщенных песков средней плотности - не менее 8 м. Допускается уменьшение заглубления свай при соответствующем обосновании, полученном в результате полевых испытаний свай имитированными сейсмическими воздействиями.
Для одноэтажных сельскохозяйственных зданий, не содержащих ценного оборудования, и в случае опирания свай на скальные грунты их заглубление в грунт принимают таким же, как и в несейсмических районах.
12.12. Ростверк свайного фундамента под несущими стенами здания в пределах отсека должен быть, как правило, непрерывным и расположенным в одном уровне. Верхние концы свай должны быть жестко заделаны в ростверк на глубину, определяемую расчетом, учитывающим сейсмические нагрузки.
Устройство безростверковых свайных фундаментов зданий и сооружений не допускается.
Примечание. При строительстве на косогорах ростверк в пределах отсека допускается выполнять в виде единой монолитной железобетонной конструкции - плиты или перекрестных лент.
12.13. Допускается применять свайные фундаменты с промежуточной подушкой из сыпучих материалов (щебня, гравия, песка крупного и средней крупности). Такие фундаменты не следует применять в органоминеральных, органических и просадочных грунтах II типа, на подрабатываемых территориях, геологически неустойчивых площадках (на которых имеются или могут возникать оползни, сели, карсты и т.п.) и на площадках, сложенных нестабилизированными грунтами.
(в ред.
Изменения N 1, утв. Приказом Минстроя России от 03.12.2016 N 885/пр)
Для свайных фундаментов с промежуточной подушкой следует применять такие же виды свай, как и в несейсмических районах (кроме булавовидных).
12.14. Расчет свай, входящих в состав свайного фундамента с промежуточной подушкой, на горизонтальные нагрузки не производится. Несущую способность таких свай, работающих на сжимающую нагрузку с учетом сейсмических воздействий, следует определять в соответствии с требованиями
12.3; при этом сопротивление грунта необходимо учитывать вдоль всей боковой поверхности сваи, т.е.

, а коэффициент условий работы нижнего конца сваи при сейсмических воздействиях принимать

.
12.15. При расчете свайных фундаментов с промежуточной подушкой по деформациям осадку фундамента следует вычислять как сумму осадки, определяемой в соответствии с требованиями
подраздела 7.4, и осадки промежуточной подушки.
(в ред.
Изменения N 1, утв. Приказом Минстроя России от 03.12.2016 N 885/пр)
13. Особенности проектирования свайных
фундаментов на закарстованных территориях
Минстроя России от 20.11.2018 N 734/пр)
13.1. Свайные фундаменты, устраиваемые на закарстованных территориях при новом строительстве и реконструкции, должны проектироваться с учетом возможного развития карстовых процессов в массиве водорастворимых пород (полости, каверны и т.п.), в залегающей над ними грунтовой толще (зоны разуплотнения и т.п.) и возможности образования карстовых деформаций - провалов и оседаний.
13.2. При проектировании свайных фундаментов на закарстованных территориях следует обеспечивать их прочность (с учетом изгиба от развития карстовых полостей) и устойчивость с учетом образования карстовых деформаций как непосредственно под нижним концом свай, так и в прорезаемом ими грунтовом массиве. Следует учитывать возможность проявления карстообразования на территории, непосредственно прилегающей к площадке строительства.
13.3. Объем и состав инженерно-геологических изысканий для проектирования свайных фундаментов на закарстованных территориях должны назначаться с учетом 4.6 и дополнительных требований для проектирования на закарстованных территориях согласно
СП 22.13330.
13.4. При разработке проекта свайных фундаментов необходимо установить категорию опасности площадки строительства в карстово-суффозионном отношении согласно
СП 22.13330, выявлять возможные типы карстовых деформаций, определять необходимость проведения противокарстовых мероприятий.
13.5. Для определения типа карстовых деформаций (провал или оседание) и параметров, их характеризующих, необходимо определять геометрические параметры карстовой полости в водорастворимой горной породе, при образовании которой возникают карстовые деформации, согласно
СП 22.13330. При этом допустимо применение численного моделирования с использованием апробированных геотехнических программ.
13.6. Размер и положение карстовой полости в водорастворимой горной породе должен определяться с учетом наиболее неблагоприятного участка на разрезе и скорейшего наступления провалообразования перекрывающей толщи грунтов с образованием карстовых деформаций, в т.ч. с учетом проектных параметров свайных фундаментов (глубина, диаметр и шаг свай). При проведении расчетов следует учитывать возможную динамику развития карстовых полостей с учетом скорости растворения горных пород согласно
СП 22.13330.
13.7. При проектировании свайных фундаментов на участках, отнесенных к категориям потенциально-опасных или опасных в карстово-суффозионном отношении, и необходимости проведения специальных (конструктивных) противокарстовых мероприятий рекомендуется:
- при возможности образования карстовых деформаций по типу "провал" выполнять расчеты с учетом исключения свай в зоне провала из работы фундамента (выскальзывания свай);
- учитывать возможность появления провалов под колоннами, пересечениями стен, углами сооружений, в середине большей и меньшей сторон;
- в узле сопряжения свай с ростверком, как правило, предусматривать возможность выскальзывания свай, а в случае необходимости устройства жесткого узла сопряжения сваи с ростверком - учитывать дополнительные нагрузки от сил отрицательного трения, возникающего вследствие образования карстовых деформаций.
13.8. При проектировании свай с опиранием на водорастворимые горные породы на участках, отнесенных к категориям опасным в карстово-суффозионном отношении, следует с помощью специальных (геотехнических) мероприятий (тампонирование, инъектирование и другие мероприятия, выполняемые для горной породы ниже торца сваи и, при необходимости, в грунтах выше торца) обеспечивать исключение существующих полостей и образования новых полостей в водорастворимой горной породе и в грунтах покровной толщи с последующим переводом площадки в категорию безопасной в карстово-суффозионном отношении. Проектирование с применением специальных (конструктивных) противокарстовых мероприятий допускается при опирании свай на труднорастворимые породы при соответствующем расчетном обосновании с учетом расчетных параметров карстовых деформаций.
13.9. В случае прорезки карстующихся пород сваями с опиранием их в слои, где карстообразование исключено, следует учитывать возможность возникновения сил негативного трения от деформаций грунтового массива над карстовой полостью. Параметры такого воздействия определять по результатам численного моделирования.
13.10. При развитии карста в нерастворимых и труднорастворимых горных породах допускается определять значение сил негативного трения, передаваемых на сваи (рисунок 3, а) и значение дополнительных усилий от изгиба свай (рисунок 3, б) на основании расчетных параметров карстовых деформаций, полученных с учетом скорости растворения горных пород и величины жизненного цикла здания.
1 - свая; 2 - зона развития негативного трения;
3 - карстовая полость
Рисунок 3 - Схемы механического взаимодействия свай
с карстовыми полостями
13.11. При карстовых деформациях в виде оседания поверхности допускается применять методику расчета сооружений на подрабатываемых территориях согласно разделу 11, с учетом прогнозируемых карстовых деформаций. Прогноз следует осуществлять на основании численного моделирования.
13.12. При проектировании свайных фундаментов на закарстованных территориях необходимо предусматривать проведение геотехнического мониторинга в процессе строительства и постоянных систем наблюдения на стадии эксплуатации согласно
СП 22.13330.
13.13. Для сооружений классов КС-2 и КС-3 при условии выполнения геотехнических противокарстовых мероприятий в виде цементации карстующихся пород или покровной толщи над карстующимися породами проектирование свайных фундаментов допускается выполнять без учета карстовой опасности.
Проект геотехнических противокарстовых мероприятий должен предусматривать исключение карстовых проявлений как в основании свайного фундамента, так и по всей площади условного свайного фундамента.
(п. 13.13 введен
Изменением N 3, утв. Приказом Минстроя России от 24.01.2019 N 40/пр)
14. Особенности проектирования свайных фундаментов опор
воздушных линий электропередачи
14.1. Для свайных фундаментов опор воздушных линий электропередачи (ЛЭП) и открытых распределительных устройств (ОРУ) подстанций применяют различные виды свай
(раздел 6). Для свайных фундаментов опор ЛЭП не допускается применение булавовидных, пирамидальных и ромбовидных свай.
14.2. Глубина погружения свай в грунт, воспринимающих выдергивающие или горизонтальные нагрузки, должна быть не менее 4,0 м, а для фундаментов деревянных опор - не менее 3,0 м.
Примечание. Деревянные сваи для фундаментов деревянных опор допускается применять независимо от наличия и положения уровня подземных вод. При этом в зоне переменной влажности необходимо предусматривать усиленную защиту древесины от гниения.
14.3. Несущую способность забивных висячих и набивных и буровых свай, работающих на сжимающую нагрузку, следует определять соответственно по
формулам (7.8) и
(7.11) с учетом указаний, приведенных в
14.5 и
14.6; при этом коэффициент условий работы

в
формулах (7.8) и
(7.11) следует принимать: для нормальных промежуточных опор 1,2, а в остальных случаях 1,0.
14.4. Несущую способность забивных и набивных свай, работающих на выдергивание, следует определять по
формулам (7.10) и
(7.14) с учетом дополнительных указаний, приведенных в
14.5 -
14.7; при этом коэффициент условий работы

в
формулах (7.10) и
(7.14) следует принимать для опор:
нормальных промежуточных . . . . . . . . . . . . . . . . . . . . . 1,2;
анкерных и угловых . . . . . . . . . . . . . . . . . . . . . . . . 1,0;
больших переходов:
если удерживающая сила веса свай и ростверка
равна расчетной выдергивающей нагрузке . . . . . . . . . . . . . 1,0;
если удерживающая сила составляет 65% и менее
расчетной выдергивающей нагрузки . . . . . . . . . . . . . . . . 0,6;
в остальных случаях . . . . . . . . . . . . . . . . . по интерполяции.
14.5. Расчетные сопротивления грунта под нижним концом забивных свай R и расчетные сопротивления на боковой поверхности забивных свай

в фундаментах опор воздушных линий электропередачи принимают по
таблицам 7.2 и
7.3, при этом в фундаментах нормальных опор расчетные значения

для глинистых грунтов при их показателе текучести

следует повышать на 25%.
14.6. Расчетные сопротивления грунта на боковой поверхности забивных свай, вычисленные в соответствии с требованиями 14.5, должны быть умножены на дополнительные коэффициенты условий работы

, приведенные в таблице 14.1.
Вид фундамента, характеристика грунта и нагрузки | Дополнительные коэффициенты условий работы  при длине сваи |
l >= 25d | l < 25d и отношении |
H/N <= 0,1 | H/N = 0,4 | H/N = 0,6 |
1. Фундамент под нормальную промежуточную опору при расчете: | | | | |
а) одиночных свай на выдергивающие нагрузки: | | | | |
в песках и супесях | 0,9 | 0,9 | 0,8 | 0,55 |
в глинах и суглинках при IL <= 0,6 | 1,15 | 1,15 | 1,05 | 0,7 |
то же, при IL > 0,6 | 1,5 | 1,5 | 1,35 | 0,9 |
б) одиночных свай на сжимающие нагрузки и свай в составе куста на выдергивающие нагрузки: | | | | |
в песках и супесях | 0,9 | 0,9 | 0,9 | 0,9 |
в глинах и суглинках при IL <= 0,6 | 1,15 | 1,15 | 1,15 | 1,15 |
то же, при IL > 0,6 | 1,5 | 1,5 | 1,5 | 1,5 |
2. Фундамент под анкерную, угловую концевую опоры, под опоры больших переходов при расчете: | | | | |
а) одиночных свай на выдергивающие нагрузки: | | | | |
в песках и супесях | 0,8 | 0,8 | 0,7 | 0,6 |
в глинах и суглинках | 1,0 | 1,0 | 0,9 | 0,6 |
б) свай в составе куста на выдергивающие нагрузки: | | | | |
в песках и супесях | 0,8 | 0,8 | 0,8 | 0,8 |
в глинах и суглинках | 1,0 | 1,0 | 1,0 | 1,0 |
в) на сжимающие нагрузки во всех грунтах | 1,0 | 1,0 | 1,0 | 1,0 |
Примечания. 1. В таблице 14.1 приняты обозначения: d - диаметр круглого, сторона квадратного или  сторона прямоугольного сечения сваи; H - горизонтальная составляющая расчетной нагрузки; N - вертикальная составляющая расчетной нагрузки. 2. При погружении одиночной сваи с наклоном в сторону действия горизонтальной составляющей нагрузки и при угле наклона к вертикали более 10° дополнительный коэффициент условий работы следует принимать как для вертикальной сваи, работающей в составе куста (по 1, б или 2, б). |
14.7. При расчете на выдергивающие нагрузки сваи, работающей в свайном кусте из четырех свай и менее, расчетную несущую способность сваи следует уменьшить на 20%.
14.8. Для свай, воспринимающих выдергивающие нагрузки, допускается предусматривать погружение их в лидерные скважины, при этом разница между поперечным размером сваи и диаметром лидерной скважины должна быть не менее 0,15 м.
15. Особенности проектирования свайных фундаментов
малоэтажных зданий
15.1. Особенности проектирования свайных фундаментов малоэтажных зданий распространяются на малоэтажные жилые и общественные здания, а также на производственные сельскохозяйственные здания.
15.2. Рекомендуется применять следующие виды свай:
забивные призматические сечением 20 x 20 см и более;
короткие пирамидальные сваи с предварительно напряженной арматурой без поперечного армирования;
буровые сваи диаметром 30 - 60 см длиной до 3 м с уплотненным трамбованием забоем;
набивные сваи диаметром 30 - 60 см длиной до 3 м, устраиваемые в пробитых скважинах;
буроинъекционные сваи диаметром 150 - 350 мм;
трубчатые металлобетонные сваи диаметром 159 - 325 мм;
сваи-колонны.
В фундаментах производственных сельскохозяйственных зданий распорной конструкции следует применять сваи таврового и двутаврового сечений с консолями.
Примечания. 1. Применение свай-колонн для малоэтажных зданий, возводимых в сейсмических районах, допускается при глубине погружения свай-колонн в грунт не менее 2 м.
2. Уплотнение забоя скважин при устройстве буровых свай должно осуществляться путем втрамбовывания в грунт слоя щебня толщиной не менее 10 см.
3. В проектах свайных фундаментов малоэтажных зданий на просадочных грунтах с просадкой от их собственного веса до 15 см допускается не предусматривать полной прорезки сваями просадочной толщи, если надземные конструкции зданий проектируются с применением конструктивных мероприятий, обеспечивающих возможность их нормальной эксплуатации при определенных расчетом неравномерных осадках и просадках фундаментов.
15.3. При расчете несущей способности свай по
формуле (7.8) расчетные сопротивления грунта R, кПа, под нижним концом забивных свай при глубине погружения от 2 до 3 м следует принимать по таблице 15.1, а на боковой поверхности

, кПа, - по
таблице 15.2.
Таблица 15.1
Глубина погружения сваи l, м | Коэффициент пористости e | Расчетные сопротивления грунтов под нижним концом забивных свай R, кПа, для |
песков | глинистых грунтов при показателе текучести IL, равном |
крупных | средней крупности | мелких | пылеватых | 0,0 | 0,2 | 0,4 | 0,6 | 0,8 | 1,0 |
2 | <= 0,55 | 8300 | 3900 | 2500 | 1500 | 6500 | 3900 | 2000 | 1000 | 600 | 300 |
| 0,70 | 6400 | 3000 | 1900 | 1200 | 5400 | 3200 | 1700 | 900 | 500 | 250 |
| 1,00 | - | - | - | - | 3200 | 1900 | 1000 | 600 | 300 | 150 |
3 | <= 0,55 | 8500 | 4100 | 2700 | 1600 | 6600 | 4000 | 2100 | 1100 | 650 | 350 |
| 0,70 | 6600 | 3200 | 2100 | 1300 | 5500 | 3300 | 1800 | 1000 | 550 | 250 |
| 1,00 | - | - | - | - | 3300 | 2000 | 1100 | 700 | 350 | 200 |
Примечание. Для промежуточных значений I, IL и e значения RL определяют интерполяцией. |
Средняя глубина расположения слоя грунта hi, м | Коэффициент пористости грунта в слое e | Расчетные сопротивления грунта на боковой поверхности забивных свай, в том числе таврового и двутаврового сечений, fi, кПа, для |
песков | глинистых грунтов при показателе текучести IL, равном |
крупных и средней крупности | мелких | пылеватых | 0,0 | 0,2 | 0,4 | 0,6 | 0,8 | 1,0 |
1 | <= 0,55 | 80 | 55 | 45 | 46 | 39 | 32 | 25 | 18 | 11 |
| 0,7 | 60 | 40 | 30 | 45 | 37 | 30 | 23 | 16 | 9 |
| 1,00 | - | - | - | - | 32 | 23 | 15 | 10 | 6 |
2 - 3 | <= 0,55 | 85 | 60 | 50 | 68 | 53 | 40 | 29 | 20 | 13 |
| 0,7 | 65 | 45 | 35 | 65 | 50 | 37 | 26 | 18 | 11 |
| 1,0 | - | - | - | 60 | 45 | 32 | 21 | 13 | 7 |
Примечание. Для промежуточных значений hi, e и IL значения fi определяют интерполяцией. |
15.4. Расчетные сопротивления грунта R, кПа, под нижним концом набивных и буровых свай с уплотненным забоем при глубине погружения свай от 2 до 3 м следует принимать по таблице 15.3; при этом для плотных песков табличные значения следует увеличить в 1,3 раза. Расчетные сопротивления

, кПа, на боковой поверхности набивных и буровых свай допускается принимать по
таблице 15.2 с дополнительным коэффициентом условий работы, равным 0,9.
Грунты | Коэффициент пористости e | Расчетные сопротивления под нижним концом набивных и буровых свай R, кПа, при глубине их погружения 2 - 3 м и расчетные сопротивления под консолями свай-колонн Rcon, кПа |
песков |
крупных | средней крупности | мелких | пылеватых |
глинистых грунтов при показателе текучести IL, равном |
0,0 | 0,2 | 0,4 | 0,6 |
Пески | 0,55 - 0,8 | 2000 | 1500 | 800 | 500 |
Супеси и суглинки | 0,5 | 800 | 650 | 550 | 450 |
0,7 | 650 | 550 | 450 | 350 |
1,0 | 550 | 450 | 350 | 250 |
Глины | 0,5 | 1400 | 1100 | 900 | 700 |
0,6 | 1100 | 900 | 750 | 600 |
0,8 | 700 | 600 | 500 | 400 |
15.5. Несущую способность

, кН, сваи-колонны с погружаемыми в грунт железобетонными консолями, работающей на сжимающую нагрузку, следует определять как сумму сопротивлений грунта под нижним ее концом, под консолями и на боковой поверхности по формуле

, (15.1)
Минстроя России от 03.12.2016 N 885/пр)
(в ред.
Изменения N 1, утв. Приказом Минстроя России от 03.12.2016 N 885/пр)

- дополнительный коэффициент условий работы;

для песков и

для глинистых грунтов;

- расчетное сопротивление грунта под консолями, кПа, при погружении их в грунт на глубину 0,5 - 1,0 м, принимаемое по
таблице 15.3;

- площадь проекции консолей на горизонтальную плоскость, м
2.
15.6. Несущую способность свай таврового и двутаврового сечений при действии вертикальной составляющей нагрузки следует определять по
формуле (7.8), принимая в ней значения на боковой поверхности полки и стенки по
таблице 15.2.
Примечание. При расчете несущей способности свай таврового и двутаврового сечений, используемых для зданий с каркасом из трехшарнирных рам, допускается учитывать влияние горизонтальной составляющей распора на расчетные сопротивления на боковой поверхности свай.
15.7. Расчетные характеристики грунтов при определении несущей способности свай по
15.3 -
15.6 следует принимать для наиболее неблагоприятного случая их сезонного изменения в процессе строительства и эксплуатации здания.
15.8. При проектировании свайных фундаментов в пучинистых грунтах следует производить расчет на воздействие сил пучения.
(в ред.
Изменения N 3, утв. Приказом Минстроя России от 24.01.2019 N 40/пр)
В настоящем СП применены следующие термины с соответствующими определениями:
комбинированный свайно-плитный фундамент (piled raft foundation): Фундамент, состоящий из железобетонной плиты (свайного ростверка) и свай, совместно передающих нагрузку на основание.
куст свай (pile group): Компактно размещаемая группа свай, объединенная ростверком и передающая нагрузку на основание, как правило, от одиночной колонны или опоры.
несущая способность сваи (bearing resistance of a single pile): Предельное сопротивление основания одиночной сваи по условию ограничения развития в нем деформаций сдвига в соответствии с заранее заданным условием.
(в ред.
Изменения N 1, утв. Приказом Минстроя России от 03.12.2016 N 885/пр)
основание сваи (pile ground base): Часть массива грунта, воспринимающая нагрузку, передаваемую сваей, и взаимодействующая со сваей.
отрицательные (негативные) силы трения (negative skin friction): Силы, возникающие на боковой поверхности свай при превышении осадкой околосвайного грунта осадки свай и направленные вниз.
расчетная нагрузка, передаваемая на сваю (design resistance of a single pile): Нагрузка, равная продольному усилию, возникающему в свае от проектных воздействий на фундамент при наиболее невыгодных их сочетаниях.
ростверк (raft): Распределительная балка или плита, объединяющая головы свай и перераспределяющие на них нагрузку от вышерасположенных конструкций. Различают высокий ростверк, если его подошва располагается выше поверхности грунта, и низкий ростверк, если его подошва опирается на грунт или заглубляется в нем.
свайное поле: Большая группа свай, объединенная общим ростверком, передающая нагрузку на основание от системы колонн или опор.
свайный фундамент (pile foundation): Комплекс свай, объединенных в единую конструкцию, передающую нагрузку на основание.
свая (pile): Погруженная в грунт или изготовленная в грунте вертикальная или наклонная конструкция, предназначенная для передачи нагрузки на основание.
свая буроинъекционная: Буровая свая диаметром менее 350 мм, устраиваемая путем инъекции мелкозернистой бетонной смеси в буровую скважину, в том числе через полый шнек.
свая висячая (friction pile): Свая, передающая нагрузку на основание через боковую поверхность и пяту.
свая одиночная (single pile): Свая, передающая нагрузку на грунт в условиях отсутствия влияния на нее других свай.
свая-стойка (end bearing pile): Свая, опирающаяся на скальные или слабодеформируемые грунты и передающая нагрузку на основание преимущественно через пяту.
(в ред.
Изменения N 1, утв. Приказом Минстроя России от 03.12.2016 N 885/пр)
эталонная свая: Стандартизованная металлическая конструкция (по
ГОСТ 5686), используемая для оценки по результатам ее статического испытания несущей способности забивных свай.
(в ред.
Изменения N 3, утв. Приказом Минстроя России от 24.01.2019 N 40/пр)
РАСЧЕТЫ НЕСУЩЕЙ СПОСОБНОСТИ СВАЙ, ВЗАИМОДЕЙСТВУЮЩИХ
СО СКАЛЬНЫМИ И ПОЛУСКАЛЬНЫМИ ГРУНТАМИ ПО БОКОВОЙ ПОВЕРХНОСТИ
Минстроя России от 03.12.2016 N 885/пр)
Б.1. Несущая способность
Fd набивной, буровой сваи и сваи-оболочки, заполняемой бетоном, прорезающей толщу невыветрелых скальных грунтов, определяется с учетом расчетного сопротивления грунтов основания на ее боковой поверхности (
рисунки Б.1,
Б.2).
В случае прорезания значительной толщи скальных грунтов вклад сопротивления грунта на боковой поверхности сваи может составить до 90% от полной нагрузки, воспринимаемой сваей. В этом случае допускается принимать
Fd = Fds, (Б.1)
где Fds - несущая способность сваи с учетом только сопротивления скальных грунтов на ее боковой поверхности, определяемая по формуле

, (Б.2)
где u - наружный периметр поперечного сечения ствола сваи, м;
Rsi - расчетное сопротивление i-го слоя скального грунта на боковой поверхности сваи, кПа;
hi - толщина i-го слоя скального грунта, соприкасающегося с боковой поверхностью сваи, м.
Расчетное сопротивление Rsi слоя скального грунта на боковой поверхности сваи определяется по формуле

, (Б.3)
где pa = 100 кПа;
Rci - расчетное значение предела прочности на одноосное сжатие i-го слоя скального грунта в водонасыщенном состоянии, кПа.
Q - вертикальная нагрузка на сваю; Qs - вертикальная
нагрузка, воспринимаемая боковой поверхностью сваи, Q = Qs;
h1, h2, ..., hn - толщина слоев скального грунта
Рисунок Б.1 - Прорезание сваей толщи скальных грунтов
Рисунок Б.2 - Прорезание сваей толщи скальных
грунтов с заделкой в них
Б.2. Для учета расчетного сопротивления массива скального грунта как под нижним концом сваи, так и на ее боковой поверхности, следует определить соотношение вертикальных нагрузок на сваю, воспринимаемых пятой сваи
Qb и ее боковой поверхностью
Qs (рисунок Б.3). Величины указанных долей нагрузок рекомендуется определять численными методами с использованием программ, описывающих взаимодействие свай и грунтового основания с учетом залегания скальных грунтов. При этом расчетные прочностные характеристики скальных грунтов допускается определять в соответствии с
СП 23.13330 в зависимости от значения предела прочности образца скального грунта на одноосное сжатие
Rc. По результатам численного моделирования определяется доля

от общей нагрузки
Q, воспринимаемая пятой сваи

, и доля

, воспринимаемая боковой поверхностью сваи

.
Q - вертикальная нагрузка на сваю; Qb - вертикальная
нагрузка, воспринимаемая пятой сваи,

;
Qs - вертикальная нагрузка, воспринимаемая боковой
поверхностью сваи,

.
Рисунок Б.3 - Совместная работа нижнего
конца сваи и боковой поверхности
Несущая способность Fd сваи с учетом расчетного сопротивления массива скального грунта как под нижним концом сваи, так и на ее боковой поверхности, принимается как наименьшее из двух значений, удовлетворяющим неравенствам:

, (Б.4)
в этом случае несущая способность сваи ограничена сопротивлением скального массива под ее нижним концом, или

, (Б.5)
в этом случае несущая способность сваи ограничена сопротивлением на ее боковой поверхности.
Примечание - При определении величины
Fd простое суммирование несущей способности под пятой сваи
Fdb [
(формула (7.6)] и на ее боковой поверхности
Fds [
(формула (Б.3)] без учета значения

недопустимо, поскольку может привести к завышенной величине расчетной несущей способности.
За расчетную величину несущей способности сваи Fd принимается наибольшее значение из трех величин, определенных:
- несущей способностью основания под нижним концом сваи
Fdb [
формула (7.6)];
- несущей способностью сваи с учетом сопротивления скальных грунтов на ее боковой поверхности
Fds [
формула (Б.2)];
- несущей способностью с учетом сопротивления массива скального грунта как под нижним концом сваи, так и на ее боковой поверхности [
формулы (Б.4),
(Б.5)].
РАСЧЕТ СВАЙ НА СОВМЕСТНОЕ ДЕЙСТВИЕ ВЕРТИКАЛЬНОЙ
И ГОРИЗОНТАЛЬНОЙ СИЛ И МОМЕНТА
Минстроя России от 20.11.2018 N 734/пр)
В.1. Расчет должен включать в себя проверку сечений свай по предельным состояниям первой и второй групп. При проведении расчетов зданий и сооружений категории КС-3 рекомендуется преимущественно использовать компьютерные программы, описывающие механическое взаимодействие свай и прилегающего грунтового массива в нелинейной постановке. При этом расчеты должны проходить обязательную верификацию с результатами расчета по
В.4 -
В.8. Для зданий и сооружений категорий КС-1 и КС-2 допускается использование расчетных схем, описывающих взаимодействие балки и упругого основания (балка на упругом основании с переменным коэффициентом постели).
(в ред.
Изменения N 3, утв. Приказом Минстроя России от 24.01.2019 N 40/пр)
Расчет свай, свай-оболочек и свай-столбов (далее - сваи) на совместное действие вертикальных и горизонтальных нагрузок и моментов допускается проводить в соответствии со схемой, приведенной на
рисунке В.1.
Примечание - При расчете опор мостов во всех случаях допускается применение зависимостей, приведенных в
В.4 -
В.8.
(в ред.
Изменения N 3, утв. Приказом Минстроя России от 24.01.2019 N 40/пр)
Рисунок В.1 - Схема нагрузок на сваю
В.2. Расчет по предельному состоянию первой группы должен включать в себя проверку сечений свай по прочности, по образованию и раскрытию трещин на совместное действие расчетных усилий: сжимающей силы, изгибающего момента и перерезывающей силы. Указанный расчет сваи должен выполняться в зависимости от материала свай в соответствии с
разделом 7.
В.3. Расчет по предельному состоянию второй группы сводится к проверке соблюдения условий допустимости расчетных значений горизонтального перемещения голов свай и угла их поворота:
up <= uu; (В.1)

(В.2)
где
up, 
- расчетные значения соответственно горизонтального перемещения головы сваи, м, и угла ее поворота, рад;
uu, 
- предельные допустимые значения соответственно горизонтального перемещения головы сваи, м, и угла ее поворота, рад.
Значения
uu и

должны задаваться в проекте из условия нормальной эксплуатации проектируемых строительных конструкций здания или сооружения.
В.4. При расчете свай и свайных кустов с использованием компьютерных программ, реализующих модели сплошной среды, по боковой поверхности свай следует вводить интерфейсные элементы. Свойства интерфейсных элементов должны назначаться с учетом коэффициента условий работы сваи

по
таблице 7.6.
В.5. Расчеты по определению прочности свай всех видов при использовании упрощенных расчетных схем следует проводить с учетом
формулы 7.1 с использованием коэффициента деформации

(1/м), определяемого по формуле

(В.3)
где E - модуль упругости материала сваи, кПа (тс/м2);
I - момент инерции поперечного сечения сваи, м4;
bp - условная ширина сваи, м, принимаемая равной: для свай диаметром стволов 0,8 м и более bp = d + 1, а для остальных размеров сечений свай bp = 1,5d + 0,5, м;

- коэффициент условий работы;
d - наружный диаметр круглого или сторона квадратного, или сторона прямоугольного сечения свай в плоскости, перпендикулярной к действию нагрузки, м.
В.6. При использовании в расчетах свай на горизонтальную нагрузку схемы балки на упругом основании принимается, что значение коэффициента постели линейно растет с глубиной. Расчетные значения коэффициента постели cz грунта на боковой поверхности сваи допускается определять по формуле

(В.4)
где
K - коэффициент пропорциональности, кН/м
4 (тс/м
4), принимаемый в зависимости от вида грунта, окружающего сваю, по
таблице В.1;
z - глубина расположения сечения сваи в грунте, м, для которой определяется коэффициент постели, по отношению к поверхности грунта при высоком ростверке или к подошве ростверка при низком ростверке;

- коэффициент условий работы (для отдельно стоящей сваи

).
Грунты, окружающие сваи, и их характеристики | Коэффициент пропорциональности K, кН/м4 (тс/м4) |
Пески крупные (0,55 <= e <= 0,7); глины и суглинки твердые (IL < 0) | 6000 - 10000 (600 - 1000) |
Пески мелкие (0,6 <= e <= 0,75); пески средней крупности (0,55 <= e <= 0,7), супеси твердые (IL < 0); глины и суглинки тугопластичные и полутвердые (0 <= IL <= 0,75) | 4000 - 6000 (400 - 600) |
Пески пылеватые (0,6 <= e <= 0,8); супеси пластичные (0 <= IL <= 0,75); глины и суглинки мягкопластичные (0,5 <= IL <= 0,75) | 2350 - 4000 (235 - 400) |
Глины и суглинки текучепластичные (0,75 <= IL <= 1) | 1350 - 2350 (135 - 235) |
Пески гравелистые (0,55 <= e <= 0,7); крупнообломочные грунты с песчаным заполнителем | 16750 - 33350 (1675 - 3335) |
При расчете одиночных свай на действие горизонтальной нагрузки допускается пользоваться схемой, включающей дискретные опоры с постоянным шагом. Схема для проведения таких расчетов представлена на
рисунке В.2,
а. При этом шаг опор должен составлять не более 0,25 м. Жесткость одной опоры определяется формулой

(В.5)
где K(z) - значение коэффициента пропорциональности в зависимости от слоя грунта;
hi* - шаг пружинных опор в принятой расчетной схеме.
Схема для расчета свайных кустов приведена на
рисунке В.2,
б. При проведении расчетов следует учитывать податливость опор от действия вертикальных нагрузок. Жесткость свай при расчете на вертикальную нагрузку следует определять в соответствии с
7.4.4. Значение

должно определяться по
В.7.
а - схема расчета одиночной сваи; б - схема для расчета
свай в составе куста
Рисунок В.2 - Схемы для расчета свай
В.7. При статическом расчете свай в составе куста рекомендуется учитывать их взаимодействие. В этом случае допускается проводить расчет как для одиночной сваи, но коэффициент пропорциональности
K умножается на понижающий коэффициент

, определяемый по формуле

(В.6)
где

- коэффициент, учитывающий уплотнение грунта при погружении свай и принимаемый:

для забивных свай сплошного сечения и

для остальных видов свай;
d - диаметр или сторона поперечного сечения сваи, м;

(В.7)
где xi, yi - координаты оси i-й сваи в плане, причем горизонтальная нагрузка приложена в направлении оси x;
xj, yj - то же, для j-й сваи.
Произведение

в
формуле (В.6) распространяется только на сваи куста, непосредственно примыкающие к
i-й свае.
Примечания
1. Для опор мостов в случаях, если
rij <= 3,0
d, или поле свай несимметрично, или при наличии в составе опоры наклонных свай, коэффициент

допускается принимать равным 1,0.
2. Значение понижающего коэффициента

для кустов из забивных свай допускается определять по таблице В.2.
Таблица В.2
Число свай в группе n | Значения коэффициента взаимовлияния свай  при шаге свай, равном |
3d | 4d | 5d | 6d |
3 | 0,649 | 0,737 | 0,813 | 0,881 |
4 | 0,626 | 0,713 | 0,800 | 0,858 |
6 | 0,585 | 0,673 | 0,751 | 0,821 |
9 | 0,539 | 0,628 | 0,708 | 0,781 |
12 | 0,504 | 0,596 | 0,678 | 0,755 |
16 | 0,470 | 0,566 | 0,654 | 0,736 |
20 | 0,446 | 0,546 | 0,640 | 0,729 |
В.8. Возможность использования линейных зависимостей при расчете свай должна проверяться по условию ограничения расчетного давления

, оказываемого на грунт боковыми поверхностями свай
(в ред.
Изменения N 3, утв. Приказом Минстроя России от 24.01.2019 N 40/пр)

(В.7)
где

- расчетное давление на грунт, кПа (тс/м
2), боковой поверхности сваи на глубине
z, м, отсчитываемой при высоком ростверке от поверхности грунта, а при низком ростверке - от его подошвы [при

- на двух глубинах, соответствующих
z =
l/3 и
z =
l; при

- на глубине

, где

определяется по
формуле (В.4)];

- расчетный удельный (объемный) вес грунта ненарушенной структуры, кН/м
3 (тс/м
3), определяемый в водонасыщенных грунтах с учетом взвешивания в воде;

,
cI - расчетные значения соответственно угла внутреннего трения грунта, град, и удельного сцепления грунта, кПа (тс/м
2);

- коэффициент, принимаемый для забивных свай и свай-оболочек

, а для всех остальных видов свай

;

- коэффициент, равный единице, кроме случаев расчета фундаментов распорных сооружений, для которых

;

- коэффициент, учитывающий долю постоянной нагрузки в суммарной нагрузке, определяемый по формуле

(В.8)
где
Mc - момент от внешних постоянных нагрузок в сечении фундамента на уровне условной заделки на глубине
lI по
формуле (7.1), кН·м (тс·м);
MI - то же, от внешних временных расчетных нагрузок, кН·м (тс·м);
- коэффициент, принимаемый

, за исключением случаев расчета:
а) особо ответственных сооружений, для которых при

принимается

и при

принимается

; при промежуточных значениях

значение

определяется интерполяцией;
б) фундаментов с однорядным расположением свай на внецентренно приложенную вертикальную сжимающую нагрузку, для которых следует принимать

независимо от значения

.
Примечание - Если расчетные горизонтальные давления на грунт

не удовлетворяют условию
(В.7), но при этом несущая способность свай по материалу недоиспользована и перемещения свай меньше предельно допускаемых значений, то при приведенной глубине свай

расчет следует повторять, приняв уменьшенное значение жесткости опоры в соответствии с формулой (В.9). Расчет следует повторять до тех пор, пока условие
(В.7) не будет выполняться во всех точках.

(В.9)
где c*z,i - скорректированное значение жесткости опоры.
(в ред.
Изменения N 3, утв. Приказом Минстроя России от 24.01.2019 N 40/пр)
РАСЧЕТ НЕСУЩЕЙ СПОСОБНОСТИ ПИРАМИДАЛЬНЫХ СВАЙ
С НАКЛОНОМ БОКОВЫХ ГРАНЕЙ

Несущую способность

, кН, пирамидальных свай с наклоном боковых граней

допускается определять как сумму сил расчетных сопротивлений грунта основания на боковой поверхности сваи и под ее нижним концом по формуле

, (Г.1)
где

- площадь боковой поверхности сваи в пределах i-го слоя грунта, м
2;

- угол конусности сваи, град;

,

- расчетные значения угла внутреннего трения, град, и сцепления, кПа, i-го слоя грунта;
d - сторона сечения нижнего конца сваи, м;

,

- коэффициенты, значения которых приведены в таблице Г.1.
Коэффициент | Угол внутреннего трения грунта  , град. |
4 | 8 | 12 | 16 | 20 | 24 | 28 | 32 | 36 | 40 |
| 0,53 | 0,48 | 0,41 | 0,35 | 0,30 | 0,24 | 0,20 | 0,15 | 0,10 | 0,06 |
| 0,94 | 0,88 | 0,83 | 0,78 | 0,73 | 0,69 | 0,65 | 0,62 | 0,58 | 0,54 |
| 0,06 | 0,12 | 0,17 | 0,22 | 0,26 | 0,29 | 0,32 | 0,35 | 0,37 | 0,39 |
Примечание. Для промежуточных значений угла внутреннего трения  , значения коэффициентов  и  и  определяют интерполяцией. |
Сопротивления грунта под острием сваи

и на ее боковой поверхности

, кПа, определяют по формуле

, (Г.2)
где

- модуль деформации грунта i-го слоя, кПа, определяемый по результатам прессиометрических испытаний;

- коэффициент Пуассона i-го слоя грунта, принимаемый в соответствии с требованиями
СП 22.13330;

- коэффициент, значения которого приведены в
таблице Г.1.
Давление грунта

,

, кПа, определяют по формулам:

; (Г.3)

, (Г.4)
где

- удельный вес грунта i-го слоя, кН/м
3;

- средняя глубина расположения i-го слоя грунта, м.
(в ред.
Изменения N 3, утв. Приказом Минстроя России от 24.01.2019 N 40/пр)
РАСЧЕТ ОСАДКИ БУРОНАБИВНОЙ СВАИ В БИЛИНЕЙНОЙ ПОСТАНОВКЕ
Осадку буронабивной сваи на первом этапе ее нагружения

следует определять по формуле

, (Д.1)
где N - вертикальная нагрузка, передаваемая на сваю, кН;

- нагрузка, передаваемая на пяту сваи в момент полного развития по ее боковой поверхности предельного сопротивления

, кН;

и

- соответственно среднее значение модуля сдвига для грунтов околосвайного пространства и минимальное значение модуля сдвига под нижним концом свай, кПа;
l и d - длина и диаметр сваи, м;

- коэффициент, зависящий от среднего значения коэффициента Пуассона для грунтов (для расчетов можно принимать

).
Для буронабивных свай эта формула справедлива лишь на первом этапе нагружения сваи, а именно до возникновения полного предельного сопротивления

на боковой поверхности свай, появление которого обычно всегда значительно опережает возникновение предельного состояния сваи в целом.
С учетом постоянного равенства осадок пяты и ствола сваи значение

можно определить по условию

. (Д.2)
На втором этапе нагружения сваи при

ее осадка определяется по формуле:

, (Д.3)
где

- осадка, м, полученная по
(Д.1) при

.
Рисунок Д.1 - Схема этапов расчета нагружения сваи
(в ред.
Изменения N 3, утв. Приказом Минстроя России от 24.01.2019 N 40/пр)
ОПРЕДЕЛЕНИЕ НЕСУЩЕЙ СПОСОБНОСТИ СВАЙ
В ПРОСАДОЧНЫХ ГРУНТАХ ПО ИХ ПРОЧНОСТНЫМ ХАРАКТЕРИСТИКАМ
Е.1. Несущая способность свай зависит от показателей прочности грунта: угла внутреннего трения

и удельного сцепления c. Существенное изменение несущей способности сваи при замачивании просадочного грунта происходит в основном за счет снижения сцепления c.
Е.2. Расчет несущей способности свай в просадочных грунтах рекомендуется производить на основе приближенного решения упругопластической задачи предельного равновесия грунта в основании сваи.
Общая поверхность предельного равновесия основания сваи длиной l состоит из трех участков: верхний участок 1 - вдоль ствола сваи

, нижний участок 2 - по поверхности усеченного конуса вдоль ствола сваи длиной b; участок 3 - под нижним концом сваи по части шаровой поверхности (рисунок Е.1).
Рисунок Е.1 - Расчетная схема
Несущая способность

определяется по формуле

, (Е.1)
где

- коэффициент условий работы, принимаемый равным 1;

- сопротивление на участке ствола сваи

, кН; где

- участок линейного возрастания сопротивления от 0 до 12d, но не более 6 м, а ниже - участок постоянного значения сопротивления, равного конечному значению по длине

, кН;

- сопротивление на участке ствола сваи по поверхности усеченного конуса, кН;

- сопротивление под нижним концом, кН.

, (Е.2)
где u - периметр сваи, м;

- коэффициент бокового давления грунта, равный 0,5;

- расчетное значение угла внутреннего трения, град;
c - расчетное значение удельного сцепления грунта, кН/м2;

- участок длины сваи, м, равный

, (Е.3)
где l - длина погруженной части сваи, м;
d - диаметр или сторона поперечного сечения, м;

, м, (Е.4)
где

- длина от поверхности земли до начала длины

, м;

, м; (Е.5)
a - самый верхний участок погруженной сваи, где боковое давление грунта равно 0, для забивной сваи a = 2,5 м, для набивной a = 1,0 м;

, град, (Е.6)
где

, град·м
2/кН; к = 1°;

- минимальное значение сцепления, принимаемое в расчет и равное 5 кН/м
2; при этом x = 0,2.
Предел применимости формулы (Е.6) дается соотношением

.
В случае если на большом участке длины сваи

прорезаются грунты с разными характеристиками

и c, то значение

представляется в виде суммы толщин слоев

.

вычисляется по формуле

, кН, (Е.7)
где m - число слоев с разными характеристиками.
Если в пределах участка

длиной не более 6 м встретится слой с другими расчетными характеристиками

и c, то принимаются в расчет их значения для нижнего слоя толщиной не менее 3 м.

, кН, (Е.8)
где

, м, (Е.9)
где

, м; (Е.10)

, кН, (Е.11)
где

, м
2. (Е.12)
Наибольшее главное напряжение определяется по формуле

, кН/м
2. (Е.13)
Наименьшее главное напряжение определяется по формуле

, кН/м
2, (Е.14)
где

- удельный вес грунта, кН/м
3.
Характеристики грунта

, c,

определяются в водонасыщенном состоянии. При полном водонасыщении грунта, в случаях возможного его замачивания, показатель текучести определяется по формуле

, (Е.15)
где e - коэффициент пористости грунта природного сложения;

- удельный вес воды, равный 10 кН/м
3;

- удельный вес твердых частиц, кН/м
3;

,

- влажность грунта на границе раскатывания и на границе текучести, доли единицы.
Нижние концы длинных буровых свай в просадочных грунтах, устраиваемые без уплотнения грунта в забое скважин, полностью включаются в работу после достижения критической нагрузки на сваю и дальнейшей ее значительной осадки. Несущую способность длинных буронабивных свай, нижний конец которых полностью не включился в работу, допускается в первом приближении определять по формуле

, кН, (Е.16)

- сопротивление на участке ствола сваи

, определяемое как для забивной сваи по
формуле (Е.2), причем

, м, (Е.17)
где

- то же, что и для забивной сваи;
a - для набивной сваи, принимаемое равным 1 м;

- сопротивление под нижним концом сваи

, кН, (Е.18)
где к - экспериментальный коэффициент при диаметре сваи 1 м >= d >= 0,5 м, равный 3;
A - площадь подошвы сваи, м2;
Значения характеристик грунта определяются в замоченном состоянии.
Несущая способность буронабивной сваи с уширенной пятой определяется по формуле

, кН, (Е.19)

- сопротивление на участке ствола сваи

, определяемое как для забивной сваи по
формуле (Е.2), причем

, м, (Е.20)
где l - длина сваи до начала уширения;
a и

принимаются такими же, как для набивной сваи без уширенной пяты.

, кН, (Е.21)
где к - экспериментальный коэффициент, равный 2 при

и 1 м >= d >= 0,5 м, при длине сваи не более 20 м;

- диаметр наибольшего поперечного сечения уширенной пяты, м;

- площадь наибольшего поперечного сечения уширенной пяты, м
2.
Е.3. Сваи по несущей способности грунтов основания в грунтовых условиях II типа следует рассчитывать с учетом сил отрицательного трения исходя из условия

, (Е.22)
где N - расчетная нагрузка, кН, на одну сваю;

- несущая способность сваи, кН, определяемая в соответствии с
Е.5;

- коэффициент надежности;

- коэффициент условия работы сваи, значение которого принимают в соответствии с
9.10;

- отрицательная сила трения, определяемая в соответствии с Е.4.
Примечания. 1. Значение

следует определять, как правило, для полностью водонасыщенного грунта (при возможном замачивании грунтов сверху).
2. По прочности материала сваи должны быть рассчитаны на нагрузку

.
Е.4. Отрицательную силу трения

в водонасыщенных грунтах, действующую по боковой поверхности сваи, кН, принимают равной наибольшему предельному сопротивлению сваи на длине

, отсчитываемой от поверхности земли до нейтрального слоя. Выше этого слоя по боковой поверхности сваи действует отрицательное трение, а ниже - положительное сопротивление. Для определения
hsl строится график зависимости просадки

(ось абсцисс) от глубины h (ось ординат) (рисунок Е.2).
(в ред.
Изменения N 1, утв. Приказом Минстроя России от 03.12.2016 N 885/пр)
Рисунок Е.2 - График зависимости

Возможную величину просадки для каждого i-го слоя просадочного грунта под собственным весом вышележащей толщи

, см, определяют по формуле

, (Е.23)
где

- относительная просадочность, определяемая для каждого i-го слоя грунта, расположенного выше рассматриваемого слоя при природном давлении в середине слоя, по данным лабораторных компрессионных испытаний либо по результатам осадок глубинных марок в полевом испытании;

- толщина i-го слоя просадочного грунта, см;
n - число слоев, на которые разбита просадочная толща, расположенная выше рассматриваемого слоя.
Глубину hsl следует определять из условия
(в ред.
Изменения N 1, утв. Приказом Минстроя России от 03.12.2016 N 885/пр)

, см, (Е.24)
где

- предельная деформация основания, назначаемая по
СП 22.13330.
Глубину

находят на пересечении ординаты

для проектируемого здания или сооружения с кривой
(рисунок Е.2).
Силу отрицательного трения на глубине hsl следует определять по формуле
(в ред.
Изменения N 1, утв. Приказом Минстроя России от 03.12.2016 N 885/пр)

, кН, (Е.25)
где

- коэффициент, снижающий полную силу сопротивления по длине сваи в расчетный момент, принимаемый по данным полевых исследований с некоторым запасом, равным 0,5;

- предельное значение сопротивления по боковой поверхности сваи на верхнем участке, определяемое для однородного грунта по
формуле (Е.2), а для слоев с разными характеристиками - по
формуле (Е.7). При этом
(рисунок Е.1).
(в ред.
Изменения N 1, утв. Приказом Минстроя России от 03.12.2016 N 885/пр)
Абзац исключен с 3 декабря 2016 года. -
Изменение N 1, утв. Приказом Минстроя России от 03.12.2016 N 885/пр.
Длину сваи при проектировании назначают на основе выполнения следующего условия

, (Е.26)
где N - полезная нагрузка, приложенная к свае, кН;

- сила отрицательного трения, кН;

- несущая способность сваи, определяемая по
формуле (Е.1) или по данным статического испытания в условиях локального замачивания основания сваи, кН.
Если условие (Е.26) в рассматриваемом случае не удовлетворено, то сваю следует либо удлинить, либо изменить ее конструкцию.
Е.5. Несущую способность

, кН, свай в грунтовых условиях II типа по просадочности, работающих на сжимающую нагрузку, следует определять расчетом в соответствии с
Е.2,
Е.3 и
Е.4 в условиях водонасыщенных грунтов основания сваи.
При этом следует использовать результаты статических испытаний свай с локальным замачиванием грунтов в основании сваи. Проведение их является обязательным при отсутствии фондовых материалов по таким испытаниям.
Е.6. В грунтовых условиях II типа по просадочности сваями следует прорезать все слои просадочных грунтов.
При длительном интенсивном замачивании грунтовой толщи сверху следует учитывать возможность развития деформационного явления со сжатием грунтов не только в просадочной части толщи, но и в подстилающем слое, как правило, водонасыщенного, но недостаточно плотного грунта. Критерием для определения толщины этого слоя служит условие

, (Е.27)
где

- относительное сжатие образца грунта в лабораторном компрессионном испытании под действием природного давления всей водонасыщенной толщи.
Возможность дополнительной осадки от сжатия подстилающего слоя следует учитывать в расчете свайного фундамента по деформациям.
(в ред.
Изменения N 3, утв. Приказом Минстроя России от 24.01.2019 N 40/пр)
РАСЧЕТ СВАЙНЫХ ФУНДАМЕНТОВ
НА ВОЗДЕЙСТВИЕ СИЛ МОРОЗНОГО ПУЧЕНИЯ
Ж.1. При строительстве зданий и сооружений на свайных фундаментах в сезонно-промерзающих или искусственно замороженных пучинистых грунтах необходимо учитывать касательные силы морозного пучения. Расчет оснований и свайных фундаментов по устойчивости и прочности на воздействие сил морозного пучения грунтов следует производить при эксплуатации неотапливаемых сооружений, мачт линий электропередачи и мобильной связи, трубопроводов и др. или при консервации сооружений, а также для условий периода строительства, если до передачи на сваи проектных нагрузок возможно промерзание грунтов слоя сезонного промерзания-оттаивания или выполняется искусственное замораживание грунтов (при строительстве метро или эксплуатации помещений с отрицательной температурой). При необходимости в проекте должны быть предусмотрены мероприятия по предотвращению выпучивания свай в период строительства.
Ж.2. Устойчивость свайных фундаментов на действие касательных сил морозного пучения грунтов надлежит проверять по условию

, (Ж.1)
где

- расчетная удельная касательная сила пучения, кПа, принимаемая согласно указаниям
Ж.3;

- площадь боковой поверхности смерзания сваи в пределах расчетной глубины сезонного промерзания-оттаивания грунта или слоя искусственно замороженного грунта, м
2;
F - расчетная нагрузка на сваю, кН, принимаемая с коэффициентом 0,9 по наиболее невыгодному сочетанию нагрузок и воздействий, включая выдергивающие (ветровые, крановые и т.п.);

- расчетное значение силы, удерживающей сваю от выпучивания вследствие трения его боковой поверхности о талый грунт, лежащий ниже расчетной глубины промерзания, кН, принимаемое по указаниям
Ж.4;

- коэффициент условий работы, принимаемый равным 1,0;

- коэффициент надежности, принимаемый равным 1,1.
Ж.3. Расчетную удельную касательную силу морозного пучения

, кПа, следует определять, как правило, опытным путем. При отсутствии опытных данных допускается принимать значение

по таблице Ж.1 в зависимости от вида и характеристик грунта.
Таблица Ж.1
Грунты и их характеристики | Значения  , кПа, при глубине сезонного промерзания-оттаивания d th, м |
До 1,5 | 2,5 | 3,0 и более |
Супеси, суглинки и глины при показателе текучести IL > 0,5, крупнообломочные грунты с глинистым заполнителем, пески мелкие и пылеватые при показателе дисперсности D > 5 и степени влажности Sr > 0,95 | 110 | 90 | 70 |
Супеси, суглинки и глины при 0,25 < IL <= 0,5, крупнообломочные грунты с глинистым заполнителем, пески мелкие и пылеватые при D > 1 и степени влажности 0,8 < Sr <= 0,95 | 90 | 70 | 55 |
Супеси, суглинки и глины при IL < 0,25, крупнообломочные грунты с глинистым заполнителем, пески мелкие и пылеватые при D > 1 и степени влажности 0,6 < Sr <= 0,8 | 70 | 55 | 40 |
Примечания. 1. Для промежуточных глубин промерзания  принимается интерполяцией. 2. Значения  для грунтов, используемых при обратной засыпке котлованов, принимаются по первой строке таблицы. 3. В зависимости от вида поверхности фундамента приведенные значения  умножают на коэффициент: при гладкой бетонной необработанной - 1; при шероховатой бетонной с выступами и кавернами до 5 мм - 1,1 - 1,2, до 20 мм - 1,25 - 1,5; при деревянной антисептированной - 0,9; при металлической без специальной обработки - 0,8. 4. Для сооружений класса КС-1 значения  умножают на коэффициент 0,9. |
(в ред. Изменения N 1, утв. Приказом Минстроя России от 03.12.2016 N 885/пр) |
Ж.4. Расчетное значение силы

, кН, удерживающей сваи от выпучивания, следует определять по формуле

, (Ж.2)
где u - периметр сечения поверхности сдвига, м, принимаемый равным периметру сечения сваи;

- толщина i-го слоя талого грунта, расположенного ниже подошвы слоя промерзания-оттаивания, м;

- расчетное сопротивление i-го слоя талого грунта сдвигу по поверхности сваи, кПа, принимаемое по
таблице 7.3.
Ж.5. При проектировании свайных фундаментов с ростверками на средне- и сильнопучинистых грунтах следует учитывать действие нормальных сил морозного пучения грунтов на подошву ростверков.
Ж.6. Расчет отрицательной силы трения оттаивающих грунтов на сваи.
При оттаивании сезонно-мерзлых или искусственно замороженных грунтов происходит их оседание, в результате чего на боковую поверхность свай действуют отрицательные (негативные) силы трения, направленные вертикально вниз.
Отрицательную (негативную) силу трения оттаивающего грунта по боковой поверхности сваи можно определить по формуле

, (Ж.3)
где

- периметр поперечного сечения сваи, м;

- отрицательное трение i-го слоя оттаивающего грунта по боковой поверхности сваи, кПа, определяемое по опытным данным; допускается принимать расчетные значения

по
таблице 7.3;

- толщина i-го слоя оттаивающего грунта.
МЕТОДИКА ОЦЕНКИ КОНСТРУКТИВНОЙ И ЭКОНОМИЧЕСКОЙ
ЭФФЕКТИВНОСТИ ТЕХНИЧЕСКИХ РЕШЕНИЙ ФУНДАМЕНТНЫХ КОНСТРУКЦИЙ
Минстроя России от 24.01.2019 N 40/пр)
И.1 Оценку эффективности фундаментных конструкций выполняют в последовательности, показанной в
И.2 -
И.8.
И.2 Определение требований по конструктивным показателям обеспечения механической/конструктивной безопасности объекта.
И.3 Определение нагрузки на основание, отдельный элемент свайного фундамента (свая, ячейка/участок свайного фундамента).
И.4 Определение возможных вариантов фундаментов с учетом нагрузки и инженерно-геологических условий площадки.
И.5 Назначение критериев конструктивной эффективности и определение соответствующих частных коэффициентов конструктивной эффективности для вариантов фундаментных конструкций
И.5.1 В качестве критериев конструктивной эффективности выбирают показатели, определяемые расчетами по первой и второй группам предельных состояний:
- несущая способность сваи по грунту;
- несущая способность сваи по материалу;
- осадка свайного фундамента/сваи;
- показатели неравномерности осадок (относительная разность осадок, крен).
И.5.2 После выбора критериев конструктивной эффективности для возможных вариантов свайных фундаментов определяют частные коэффициенты конструктивной эффективности
(таблица И.1).
Таблица И.1
Определение частных коэффициентов
конструктивной эффективности
Критерий конструктивной эффективности | Требуемое или предельное значение | Частный коэффициент конструктивной эффективности Ki (Ki >= 1) |
1 Несущая способность по грунту Fd сваи/свайного основания | Fd,треб | K1 = Fd/Fd,треб |
2 Несущая способность по материалу Fm сваи/свайного основания | Fm,треб | K2 = Fm/Fm,треб |
3 Осадка сваи/фундамента S | Sпред | K3 = 2 - S/Sпред |
4 Относительная разность осадок свайного фундамента  | | |
И.6 Определение коэффициентов конструктивной эффективности Kк.э для каждого варианта фундаментных конструкций
В зависимости от требований, предъявляемых к объекту, обобщенный коэффициент эффективности по конструктивным требованиям для каждого варианта фундамента определяют по
таблице И.1 перемножением частных коэффициентов конструктивной эффективности:
Kк.э = K1 (вариант) x K2 (вариант)..... . (И.1)
Наиболее эффективным по конструктивным требованиям принимают вариант, имеющий наибольшее значение коэффициента Kк.э.
Частный коэффициент
Ki (
i = 1...4) для
позиций 1 -
4 таблицы И.1 и соответственно обобщенный коэффициент
Kк.э должны удовлетворять условию
Ki, Kк.э >= 1. (И.2)
При оценке вариантов следует принимать реально осуществимые с точки зрения исполнения на данном объекте технические решения.
И.7 Определение коэффициентов экономической эффективности Kэ.э для каждого варианта фундаментных конструкций выполняют по формуле
Kэ.э = Пус,макс/Пус,в, (И.3)
где Пус,макс - максимальное значение удельной стоимости фундаментных конструкций для рассматриваемых вариантов;
Пус,в - значение удельной стоимости фундаментных конструкций для каждого варианта.
Показатель удельной стоимости усиления Пус (Пус,макс или Пус,в), руб./кН, определяют по формуле
Пус = C/N, (И.4)
где C - значение обобщенной стоимости работ по устройству свайного фундамента или стоимость работ по устройству элемента свайного фундамента для одного из вариантов, руб.;
N - значение обобщенной нагрузки на свайный фундамент или элемент свайного фундамента, принятый для сравнения вариантов, кН.
Обобщенная стоимость работ по рассматриваемым при проектировании вариантам или стоимость работ по устройству элемента свайного фундамента может быть определена по объектам-аналогам или единичным расценкам на производство работ.
Наиболее эффективным по экономическим требованиям принимают вариант, имеющий большее значение коэффициента экономической эффективности Kэ.э.
И.8 Определение интегральных коэффициентов эффективности и окончательный выбор варианта фундаментных конструкций
По значениям коэффициентов конструктивной и экономической эффективности выполняют оценку эффективности по интегральному коэффициенту эффективности Kи для оцениваемых вариантов по формуле
Kи (вариант) = Kк.э (вариант) x Kэ.э. (И.5)
Наиболее эффективным принимают вариант с

значением коэффициента
Kи.
[1]
СП 11-102-97. Инженерно-экологические изыскания для строительства
[2] СП 11-104-97. Инженерно-геодезические изыскания для строительства
[3] СП 11-105-97. Инженерно-геологические изыскания для строительства.