Главная // Актуальные документы // МетодикаСПРАВКА
Источник публикации
В данном виде документ опубликован не был.
Первоначальный текст документа опубликован в издании
М., 2018.
Информацию о публикации документов, создающих данную редакцию, см. в справке к этим документам.
Примечание к документу
Приказом Минстроя России от 26.12.2019 N 886/пр в данный документ были внесены изменения, на основании которых была подготовлена
редакция от 26.12.2019.
Изменение N 1 утратило силу в связи с изданием
Приказа Минстроя России от 29.01.2021 N 27/пр, за исключением пунктов, включенных в
Перечень национальных стандартов и сводов правил, утв.
Постановлением Правительства РФ от 04.07.2020 N 985, до внесения соответствующих изменений в указанный Перечень. На основании
Приказа Минстроя России от 29.01.2021 N 27/пр была подготовлена
редакция от 29.01.2021.
Постановление Правительства РФ от 04.07.2020 N 985 признано утратившим силу с 01.09.2021, в связи с чем действует данная редакция, а редакции от 26.12.2019 и 29.01.2021 фактически утратили силу.
О порядке применения данного документа см.
Письмо Минстроя России от 03.02.2021 N 3925-СГ/08.
О порядке применения данного документа см.
Письмо Минстроя России от 26.07.2021 N 31059-ДВ/08.
О порядке применения данного документа при проверке соответствия проектной документации и (или) результатов инженерных изысканий, представленных на первичную или повторную государственную или негосударственную экспертизу, в целях обеспечения соблюдения требований Федерального
закона от 30.12.2009 N 384-ФЗ см.
п. 2 Постановления Правительства РФ от 28.05.2021 N 815.
Отдельные положения данного документа до 01.09.2022 были включены в
Перечень национальных стандартов и сводов правил (частей таких стандартов и сводов правил), в результате применения которых на обязательной основе обеспечивается соблюдение требований Федерального
закона "Технический регламент о безопасности зданий и сооружений" (
Постановление Правительства РФ от 28.05.2021 N 815).
Отдельные положения данного документа включены в
Перечень национальных стандартов и сводов правил (частей таких стандартов и сводов правил), в результате применения которых на обязательной основе обеспечивается соблюдение требований Федерального
закона "Технический регламент о безопасности зданий и сооружений" (
Постановление Правительства РФ от 04.07.2020 N 985).
Документ включен в
Перечень документов в области стандартизации, в результате применения которых на добровольной основе обеспечивается соблюдение требований Федерального
закона от 30.12.2009 N 384-ФЗ "Технический регламент о безопасности зданий и сооружений" (
Приказ Росстандарта от 02.04.2020 N 687).
Документ включен в
Перечень документов в области стандартизации, в результате применения которых на добровольной основе обеспечивается соблюдение требований Федерального
закона от 30.12.2009 N 384-ФЗ "Технический регламент о безопасности зданий и сооружений" (
Приказ Росстандарта от 17.04.2019 N 831).
Название документа
"СП 14.13330.2018. Свод правил. Строительство в сейсмических районах. Актуализированная редакция СНиП II-7-81*"
(утв. и введен в действие Приказом Минстроя России от 24.05.2018 N 309/пр)
(ред. от 31.05.2022)
"СП 14.13330.2018. Свод правил. Строительство в сейсмических районах. Актуализированная редакция СНиП II-7-81*"
(утв. и введен в действие Приказом Минстроя России от 24.05.2018 N 309/пр)
(ред. от 31.05.2022)
Утвержден и введен в действие
и жилищно-коммунального хозяйства
Российской Федерации
от 24 мая 2018 г. N 309/пр
СВОД ПРАВИЛ
СТРОИТЕЛЬСТВО В СЕЙСМИЧЕСКИХ РАЙОНАХ
Seismic building design code
СП 14.13330.2018
| | Список изменяющих документов Минстроя России от 31.01.2022 N 59/пр, Минстроя России от 31.05.2022 N 434/пр) | |
Дата введения
25 ноября 2018 года
1 ИСПОЛНИТЕЛЬ - АО "НИЦ "Строительство" - ЦНИИСК им. В.А. Кучеренко
2 ВНЕСЕН Техническим комитетом по стандартизации ТК 465 "Строительство"
3 ПОДГОТОВЛЕН к утверждению Департаментом градостроительной деятельности и архитектуры Министерства строительства и жилищно-коммунального хозяйства Российской Федерации (Минстрой России)
4 УТВЕРЖДЕН
приказом Министерства строительства и жилищно-коммунального хозяйства Российской Федерации от 24 мая 2018 г. N 309/пр и введен в действие с 25 ноября 2018 г.
5 ЗАРЕГИСТРИРОВАН Федеральным агентством по техническому регулированию и метрологии (Росстандарт). Пересмотр
СП 14.13330.2014 "СНиП II-7-81* Строительство в сейсмических районах"
В случае пересмотра (замены) или отмены настоящего свода правил соответствующее уведомление будет опубликовано в установленном порядке. Соответствующая информация, уведомление и тексты размещаются также в информационной системе общего пользования - на официальном сайте разработчика (Минстрой России) в сети Интернет
Настоящий свод правил составлен с учетом требований федеральных законов от 27 декабря 2002 г.
N 184-ФЗ "О техническом регулировании", от 30 декабря 2009 г.
N 384-ФЗ "Технический регламент о безопасности зданий и сооружений", от 23 ноября 2009 г.
N 261-ФЗ "Об энергосбережении и о повышении энергетической эффективности и о внесении изменений в отдельные законодательные акты Российской Федерации".
(в ред.
Изменения N 2, утв. Приказом Минстроя России от 31.01.2022 N 59/пр)
Работа по пересмотру выполнена Центром исследований сейсмостойкости сооружений ЦНИИСК им. В.А. Кучеренко - института ОАО "НИЦ "Строительство" (руководитель работы - д-р техн. наук, член-корр. РАН, проф. Б.В. Гусев; научный руководитель рабочей группы - д-р техн. наук, проф. Я.М. Айзенберг, ответственный исполнитель - инж. А.А. Бубис) при участии рабочей группы в следующем составе: д-р техн. наук, проф. В.С. Беляев, д-р техн. наук, проф. Т.А. Белаш, канд. техн. наук М.А. Клячко, д-р техн. наук, проф. Ю.В. Кривцов, д-р физ.-мат. наук, проф. Ф.Ф. Аптикаев, канд. техн. наук А.В. Грановский, д-р техн. наук, проф. Ю.П. Назаров, канд. техн. наук Л.Н. Смирнова, инж. Г.Н. Юдакова, д-р техн. наук, проф. В.И. Травуш, д-р физ.-мат. наук Р.Э. Татевосян, д-р техн. наук, проф. В.А. Семенов, д-р техн. наук М.И. Богданов, д-р техн. наук, проф. А.М. Уздин, канд. геол.-мин. наук А.Л. Стром, д-р техн. наук, проф. Л.Р. Ставницер, д-р техн. наук, проф. И.Я. Дорман.
Подраздел 6.17 подготовлен при участии д-ра техн. наук, проф.
В.С. Беляева, д-ра техн. наук, проф.
Т.А. Белаш, канд. техн. наук
В.В. Костарева, инж.
П.С. Васильева, были использованы разработки канд. техн. наук, доц.
В.И. Смирнова.
Подраздел 6.19 подготовлен при участии д-ра техн. наук, проф.
М.А. Клячко.
Раздел 7 подготовлен д-ром геол.-мин. наук, проф.
Г.С. Шестоперовым.
Раздел 8 подготовлен АО "Всероссийский научно-исследовательский институт гидротехники им. Б.Е. Веденеева (д-р техн. наук
Е.Н. Беллендир, д-р техн. наук
В.Б. Глаговский, д-р техн. наук
А.А. Храпков, канд. техн. наук
А.П. Пак, канд. техн. наук
М.С. Ламкин) и Центром службы геодезических наблюдений в электроэнергетической отрасли - филиалом АО "Институт Гидропроект" (д-р физ.-мат. наук
А.И. Савич, канд. техн. наук
В.В. Речицкий, канд. физ.-мат. наук
А.Г. Бугаевский, канд. геол.-мин. наук
А.Л. Стром).
Раздел 9 подготовлен при участии д-ра техн. наук, проф.
Ю.В. Кривцова, канд. техн. наук
Д.Г. Пронина, канд. техн. наук
В.В. Пивоварова.
Приложение А разработано коллективом авторов в следующем составе: д-р физ.-мат. наук, проф.
Ф.Ф. Аптикаев, канд. геол.-мин. наук
Ю.М. Вольфман, д-р геол.-мин. наук
Н.Н. Гриб, д-р физ.-мат. наук
А.А. Гусев, д-р геол.-мин. наук, проф.
Г.С. Гусев,
Г.Ю. Донцова, д-р геол.-мин. наук, проф.
В.С. Имаев, канд. геол.-мин. наук
Л.П. Имаева,
Б.М. Козьмин,
М.С. Кучай, канд. физ.-мат. наук
А.И. Лутиков, канд. геол.-мин. наук
А.Н. Овсюченко, д-р физ.-мат. наук
Б.Г. Пустовитенко, д-р геол.-мин. наук, проф.
Е.А. Рогожин, канд. геол.-мин. наук
О.П. Смекалин,
А.И. Сысолин, д-р физ.-мат. наук, проф.
В.И. Уломов, д-р геол.-мин. наук
А.В. Чипизубов.
Приложение В подготовлено при участии д-ра техн. наук, проф.
В.С. Беляева, д-ра техн. наук, проф.
Т.А. Белаш, канд. техн. наук
В.В. Костарева, инж.
П.С. Васильева, были использованы разработки канд. техн. наук, доц.
В.И. Смирнова.
Изменение N 2 к настоящему своду правил выполнено авторским коллективом АО "НИЦ "Строительство" - ЦНИИСК им. В.А. Кучеренко (руководитель работы - д-р техн. наук, проф. Б.В. Гусев; ответственный исполнитель - А.А. Бубис, исполнители: канд. техн. наук Л.Н. Смирнова, И.Р. Гизятуллин) при участии д-ра техн. наук, проф. О.В. Кабанцева, д-ра техн. наук, проф. В.А. Семенова, канд. геол.-минерал. наук А.Л. Строма, д-ра физ.-мат. наук А.С. Алешина, д-ра техн. наук В.Б. Глаговского, д-ра техн. наук И.Н. Тихонова.
(абзац введен
Изменением N 2, утв. Приказом Минстроя России от 31.01.2022 N 59/пр)
Настоящий свод правил устанавливает требования по расчету с учетом сейсмических нагрузок, по объемно-планировочным решениям и конструированию элементов и их соединений, зданий и сооружений, обеспечивающие их сейсмостойкость.
Настоящий свод правил распространяется на проектирование зданий и сооружений на площадках сейсмичностью 7, 8 и 9 баллов.
На площадках, сейсмичность которых превышает 9 баллов, проектирование и строительство зданий и сооружений осуществляются в порядке, установленном уполномоченным федеральным органом исполнительной власти.
Примечание -
Разделы 4,
5 и
6 относятся к проектированию жилых, общественных, производственных зданий и сооружений, транспортных и гидротехнических зданий,
раздел 7 распространяется на транспортные сооружения,
раздел 8 - на гидротехнические сооружения,
раздел 9 - на все объекты, при проектировании которых следует предусматривать меры противопожарной защиты.
(раздел 2 в ред.
Изменения N 2, утв. Приказом Минстроя России от 31.01.2022 N 59/пр)
В настоящем своде правил использованы нормативные ссылки на следующие документы:
ГОСТ 13015-2012 Изделия бетонные и железобетонные для строительства. Общие технические требования. Правила приемки, маркировки, транспортирования и хранения
ГОСТ 14098-2014 Соединения сварные арматуры и закладных изделий железобетонных конструкций. Типы, конструкции и размеры
ГОСТ 17625-83 Конструкция и изделия железобетонные. Радиационный метод определения толщины защитного слоя бетона, размеров и расположения арматуры
ГОСТ 22904-93 Конструкции железобетонные. Магнитный метод определения толщины защитного слоя бетона и расположения арматуры
ГОСТ 23858-2019 Соединения сварные стыковые арматуры железобетонных конструкций. Ультразвуковые методы контроля качества. Правила приемки
ГОСТ 27751-2014 Надежность строительных конструкций и оснований. Основные положения
ГОСТ 30247.0-94 (ИСО 834-75) Конструкции строительные. Методы испытаний на огнестойкость. Общие требования
ГОСТ 30403-2012 Конструкции строительные. Метод испытаний на пожарную опасность
ГОСТ 30546.1-98 Общие требования к машинам, приборам и другим техническим изделиям и методы расчета их сложных конструкций в части сейсмостойкости
ГОСТ 30546.2-98 Испытания на сейсмостойкость машин, приборов и других технических изделий. Общие положения и методы испытаний
ГОСТ 30546.3-98 Методы определения сейсмостойкости машин, приборов и других технических изделий, установленных на месте эксплуатации, при их аттестации или сертификации на сейсмическую безопасность
ГОСТ 31937-2011 Здания и сооружения. Правила обследования и мониторинга технического состояния
ГОСТ 34028-2016 Прокат арматурный для железобетонных конструкций. Технические условия
ГОСТ Р 53292-2009 Огнезащитные составы и вещества для древесины и материалов на ее основе. Общие требования. Методы испытаний
ГОСТ Р 53295-2009 Средства огнезащиты для стальных конструкций. Общие требования. Метод определения огнезащитной эффективности
ГОСТ Р 57353-2016/EN 1337-2:2004 Опоры строительных конструкций. Часть 2. Элементы скользящие сейсмоизолирующих опор зданий. Технические условия
ГОСТ Р 57354-2016/EN 1337-3:2005 Опоры строительных конструкций. Часть 3. Опоры эластомерные. Технические условия
СП 2.13130.2020 Системы противопожарной защиты. Обеспечение огнестойкости объектов защиты
СП 10.13130.2020 Системы противопожарной защиты. Внутренний противопожарный водопровод. Нормы и правила проектирования
СП 16.13330.2017 "СНиП II-23-81* Стальные конструкции" (с изменениями N 1, N 2, N 3)
(в ред.
Изменения N 3, утв. Приказом Минстроя России от 31.05.2022 N 434/пр)
СП 20.13330.2016 "СНиП 2.01.07-85* Нагрузки и воздействия" (с изменениями N 1, N 2, N 3)
СП 22.13330.2016 "СНиП 2.02.01-83* Основания зданий и сооружений" (с изменениями N 1, N 2, N 3, N 4)
(в ред.
Изменения N 3, утв. Приказом Минстроя России от 31.05.2022 N 434/пр)
СП 23.13330.2018 "СНиП 2.02.02-85* Основания гидротехнических сооружений" (с изменением N 1)
(в ред.
Изменения N 3, утв. Приказом Минстроя России от 31.05.2022 N 434/пр)
СП 25.13330.2020 "СНиП 2.02.04-88 Основания и фундаменты на вечномерзлых грунтах"
СП 28.13330.2017 "СНиП 2.03.11-85 Защита строительных конструкций от коррозии" (с изменениями N 1, N 2, N 3)
(в ред.
Изменения N 3, утв. Приказом Минстроя России от 31.05.2022 N 434/пр)
СП 39.13330.2012 "СНиП 2.06.05-84* Плотины из грунтовых материалов" (с изменениями N 1, N 2, N 3)
СП 40.13330.2012 "СНиП 2.06.06-85 Плотины бетонные и железобетонные" (с изменениями N 1, N 2)
СП 41.13330.2012 "СНиП 2.06.08-87 Бетонные и железобетонные конструкции гидротехнических сооружений" (с изменением N 1)
СП 58.13330.2019 "СНиП 33-01-2003 Гидротехнические сооружения. Основные положения" (с изменением N 1)
(в ред.
Изменения N 3, утв. Приказом Минстроя России от 31.05.2022 N 434/пр)
СП 63.13330.2018 "СНиП 52-01-2003 Бетонные и железобетонные конструкции. Основные положения" (с изменениями N 1, N 2)
(в ред.
Изменения N 3, утв. Приказом Минстроя России от 31.05.2022 N 434/пр)
СП 64.13330.2017 "СНиП II-25-80 Деревянные конструкции" (с изменениями N 1, N 2, N 3)
(в ред.
Изменения N 3, утв. Приказом Минстроя России от 31.05.2022 N 434/пр)
СП 70.13330.2012 "СНиП 3.03.01-87 Несущие и ограждающие конструкции" (с изменениями N 1, N 3, N 4)
СП 122.13330.2012 "СНиП 32-04-97 Тоннели железнодорожные и автодорожные" (с изменениями N 1, N 2)
СП 269.1325800.2016 Транспортные сооружения в сейсмических районах. Правила уточнения исходной сейсмичности и сейсмического микрорайонирования
СП 270.1325800.2016 Транспортные сооружения в сейсмических районах. Правила оценки повреждений дорог при землетрясениях в отдаленных и труднодоступных районах
СП 358.1325800.2017 Сооружения гидротехнические. Правила проектирования и строительства в сейсмических районах
СП 484.1311500.2020 Системы противопожарной защиты. Системы пожарной сигнализации и автоматизация систем противопожарной защиты. Нормы и правила проектирования
СП 485.1311500.2020 Системы противопожарной защиты. Установки пожаротушения автоматические. Нормы и правила проектирования
СП 486.1311500.2020 Системы противопожарной защиты. Перечень зданий, сооружений, помещений и оборудования, подлежащих защите автоматическими установками пожаротушения и системами пожарной сигнализации. Требования пожарной безопасности
Примечание - При пользовании настоящим сводом правил целесообразно проверить действие ссылочных документов в информационной системе общего пользования - на официальном сайте федерального органа исполнительной власти в сфере стандартизации в сети Интернет или по ежегодному информационному указателю "Национальные стандарты", который опубликован по состоянию на 1 января текущего года, и по выпускам ежемесячного информационного указателя "Национальные стандарты" за текущий год. Если заменен ссылочный документ, на который дана недатированная ссылка, то рекомендуется использовать действующую версию этого документа с учетом всех внесенных в данную версию изменений. Если заменен ссылочный документ, на который дана датированная ссылка, то рекомендуется использовать версию этого документа с указанным выше годом утверждения (принятия). Если после утверждения настоящего свода правил в ссылочный документ, на который дана датированная ссылка, внесено изменение, затрагивающее положение на которое дана ссылка, то это положение рекомендуется применять без учета данного изменения. Если ссылочный документ отменен без замены, то положение, в котором дана ссылка на него, рекомендуется применять в части, не затрагивающей эту ссылку. Сведения о действии сводов правил целесообразно проверить в Федеральном информационном фонде стандартов.
3 Термины, определения и сокращения
3.1 абсолютное движение: Движение точек сооружения, определяемое как сумма переносного и относительного движений во время землетрясения.
3.2 акселерограмма (велосиграмма, сейсмограмма): Зависимость от времени ускорения (скорости, смещения) точки основания или сооружения в процессе землетрясения, имеющая одну, две или три компоненты.
3.3 антисейсмические мероприятия: Совокупность конструктивных и планировочных решений, основанных на выполнении требований, обеспечивающая определенный, регламентированный нормами, уровень сейсмостойкости сооружений.
3.4 динамический метод анализа: Метод расчета на воздействие, задаваемое в виде акселерограмм колебаний грунта в основании сооружения путем численного интегрирования уравнений движения.
3.5 исходная сейсмичность: Сейсмичность района строительства, определяемая для нормативных периодов повторяемости и средних грунтовых условий с помощью общего сейсмического районирования.
3.6 линейно-спектральный метод анализа; ЛСМ: Метод расчета на сейсмостойкость, в котором значения сейсмических нагрузок определяют по коэффициентам динамичности в зависимости от частот и форм собственных колебаний конструкции. Возможность возникновения нелинейных эффектов в конструкциях зданий учитывается введением эмпирических коэффициентов.
3.7 расчетное землетрясение; РЗ: Землетрясение, на действие которого проектируются сечения и элементы здания и сооружения. Интенсивность РЗ принимается с учетом положений настоящего свода правил по картам общего сейсмического районирования ОСР-2015, в необходимых случаях - с учетом сейсмического микрорайонирования. Расчет на действие РЗ выполняется с использованием линейно-спектрального метода, с допущением повреждений ненесущих конструкций, и повреждением несущих конструкций, не приводящим к их разрушению и обрушению сооружения или его частей, допускающим ремонт и восстановление сооружения.
3.8 расчетные сейсмические воздействия: Кинематические параметры движения грунта, определяющие возможную интенсивность нагрузочного эффекта от расчетного землетрясения на конкретной площадке строительства и конкретного объекта капитального строительства, применяемые в расчетах сейсмостойкости сооружений (ускорения, скорости, смещения) в уровне основания, а также зависимости изменения таких параметров во времени (акселерограммы, велосиграммы, сейсмограммы и их основные параметры - амплитуда, длительность, спектральный состав). Могут быть выражены как в соответствующих единицах СИ, так и в баллах шкалы MSK-64 с точностью дискретизации 0,1 балла.
3.9 сейсмическая изоляция: Изменение сейсмической реакции здания или сооружения от сейсмических колебаний грунта, достигаемое за счет снижения их взаимодействия и повышения затухания колебаний изолированного сооружения.
3.10 сейсмическая (инерционная) сила, сейсмическая нагрузка: Сила (нагрузка), возникающая в системе "сооружение-основание" при колебаниях основания сооружения во время землетрясения.
3.11 сейсмический район: Район с установленными и возможными очагами землетрясений, вызывающими на площадке строительства сейсмические воздействия интенсивностью 6 баллов и более.
3.12 сейсмическое микрорайонирование; СМР: Оценка влияния свойств грунтов на сейсмические колебания в пределах площадей расположения конкретных сооружений и на территории населенных пунктов. Масштаб карт СМР - 1:50000 и крупнее.
3.13 сейсмическое районирование; СР: Картирование сейсмической опасности, основанное на выявлении зон возникновения очагов землетрясений и определении сейсмического эффекта, создаваемого ими на земной поверхности.
Примечание - Карты СР служат для осуществления сейсмостойкого строительства, обеспечения безопасности населения, охраны окружающей среды и других мероприятий, направленных на снижение ущерба при сильных землетрясениях.
3.14 сейсмогенерирующий разлом: Тектонический разлом, с которым связаны возможные очаги землетрясений.
3.15 сейсмостойкость сооружения: Способность сооружения сохранять после расчетного землетрясения функции, предусмотренные проектом, например:
- отсутствие глобальных обрушений или разрушений сооружения или его частей, способных обусловить гибель и травматизм людей;
- эксплуатацию сооружения после восстановления или ремонта;
- пожарную безопасность здания (с учетом положений
раздела 9);
- отсутствие обрушения сооружения в случае повторных толчков с интенсивностью на один балл меньше расчетного землетрясения до восстановления или ремонта.
3.16 синтезированная акселерограмма: Акселерограмма, полученная с помощью расчетных методов, в том числе на основе статистической обработки и анализа ряда акселерограмм и (или) спектров реальных землетрясений с учетом местных сейсмологических условий.
3.17 скоростные характеристики грунта: Скорости распространения сейсмических (продольных Vp и поперечных Vs) волн в грунтах оснований, измеряемые в м·с-1.
Сокращения
В настоящем своде правил применены следующие сокращения:
ВВ - взрывчатые вещества;
ВД - вязкоупругий демпфер;
ВСФ - водоподпорные сооружения в составе напорного фронта;
ГТС - гидротехническое сооружение;
ГЭС - гидроэлектростанция;
ДСР - детальное сейсморайонирование;
ДТ - динамическая теория расчета сооружений на сейсмические воздействия;
зона ВОЗ - зона возможных очагов землетрясений;
КЗ - контрольное землетрясение;
ЛСТ - линейно-спектральная теория расчета сооружений на сейсмические воздействия;
ЛЭП - линия электропередачи;
МГН - маломобильные группы населения;
МНГС - морские нефтегазопромысловые сооружения;
МЧС - Министерство Российской Федерации по делам гражданской обороны, чрезвычайным ситуациям и ликвидации последствий стихийных бедствий;
ОСР - общее сейсмическое районирование;
РА - расчетная акселерограмма;
РДМ - расчетные динамические модели;
ТПДС - трехкомпонентная пружинно-демпферная система;
УИС - уточнение исходной сейсмичности;
3Д - многокомпонентный (ВД).
4.1 При проектировании зданий и сооружений надлежит:
- при сравнении вариантов использовать материалы, конструкции и конструктивные схемы, обеспечивающие снижение сейсмических нагрузок;
(в ред.
Изменения N 2, утв. Приказом Минстроя России от 31.01.2022 N 59/пр)
- принимать более симметричные конструктивные и объемно-планировочные решения из рассматриваемых объемно-планировочных концепций, с равномерным распределением нагрузок на перекрытия, масс и жесткостей конструкций в плане и по высоте;
(в ред.
Изменения N 2, утв. Приказом Минстроя России от 31.01.2022 N 59/пр)
- располагать стыки элементов вне зоны максимальных усилий, обеспечивать монолитность, однородность и непрерывность конструкций;
- предусматривать условия, облегчающие развитие в элементах конструкций и их соединениях пластических деформаций, обеспечивающие устойчивость сооружения.
Абзац исключен с 01.03.2022. -
Изменение N 2, утв. Приказом Минстроя России от 31.01.2022 N 59/пр.
Не следует применять конструктивные решения, допускающие обрушение сооружения в случае разрушения или недопустимого деформирования одного несущего элемента.
Примечания
1 Для зданий и сооружений, состоящих из более чем одного динамически независимого блока, классификация и соответствующие признаки относятся к одному отдельному динамически независимому блоку. Под "отдельным динамически независимым блоком" подразумевают здание.
(в ред.
Изменения N 2, утв. Приказом Минстроя России от 31.01.2022 N 59/пр)
2 Исключено с 01.03.2022. -
Изменение N 2, утв. Приказом Минстроя России от 31.01.2022 N 59/пр.
4.2 Проектирование зданий высотой более 75 м должно осуществляться при научно-техническом сопровождении.
(п. 4.2 в ред.
Изменения N 2, утв. Приказом Минстроя России от 31.01.2022 N 59/пр)
4.3 Нормативную интенсивность сейсмических воздействий в баллах макросейсмической шкалы для района строительства следует принимать на основе комплекта карт ОСР-2015 территории Российской Федерации. Указанный комплект карт отражает значения сейсмической интенсивности с различной вероятностью их превышения в течение 50 лет: карта A - 10%, карта B - 5%, карта C - 1% (или 90%, 95% и 99% вероятности непревышения). Указанным значениям вероятностей соответствуют следующие средние интервалы времени между землетрясениями расчетной интенсивности: 500 лет
(карта A ОСР-2015), 1000 лет
(карта B ОСР-2015), 5000 лет
(карта C ОСР-2015).
Карта A ОСР-2015 предназначена для оценки нормативной сейсмичности района при проектировании объектов, приведенных в
позициях 3 и
4 таблицы 4.2. Заказчик вправе принять для проектирования объектов нормального уровня ответственности
карту B ОСР-2015 при соответствующем обосновании.
Карта C ОСР-2015 предназначена для оценки нормативной сейсмичности района при проектировании объектов, приведенных в
позиции 1 таблицы 4.2. Заказчиком, при соответствующем обосновании, по представлению генерального проектировщика, может быть принята
карта B ОСР-2015.
Для назначения расчетной сейсмичности района строительства объектов повышенного уровня ответственности, перечисленных в
позициях 1 и
2 таблицы 4.2, дополнительно следует проводить специализированные сейсмологические и сейсмотектонические исследования (УИС).
(п. 4.3 в ред.
Изменения N 2, утв. Приказом Минстроя России от 31.01.2022 N 59/пр)
4.4 Расчетную сейсмичность площадки строительства объекта повышенного уровня ответственности при нормативной сейсмичности района строительства 6 баллов и более следует устанавливать по результатам СМР, выполняемого в составе инженерных изысканий, с учетом сейсмотектонических, грунтовых и гидрогеологических условий.
Расчетную сейсмичность площадки строительства объектов, проектируемых по
карте A ОСР-2015, при отсутствии карт СМР следует определять по
таблице 4.1.
4.5 Площадки строительства, в пределах которых отмечены тектонические нарушения, перекрытые чехлом рыхлых отложений мощностью менее 10 м, участки с крутизной склонов более 15°, с оползнями, обвалами, осыпями, карстом, селями, участки, сложенные грунтами категорий III и IV, являются неблагоприятными в сейсмическом отношении.
При необходимости строительства зданий и сооружений на таких площадках следует принимать дополнительные меры по укреплению их оснований, усилению конструкций и инженерной защите территории от опасных геологических процессов.
4.6 Тип фундамента, его конструктивные особенности и глубина заложения, не могут быть основой для изменения категории площадки строительства по сейсмическим свойствам.
При выполнении специальных инженерных мероприятий по укреплению грунтов оснований на локальном участке категория грунта по сейсмическим свойствам должна быть определена по результатам СМР.
4.7 Системы сейсмоизоляции следует предусматривать с применением одного или нескольких типов сейсмоизолирующих и (или) демпфирующих устройств, в зависимости от конструктивного решения и назначения сооружения (жилые и общественные здания, архитектурные и исторические памятники, промышленные сооружения и др.), вида строительства - новое строительство, реконструкция, усиление, а также от сейсмологических и грунтовых условий площадки.
Абзац исключен с 01.03.2022. -
Изменение N 2, утв. Приказом Минстроя России от 31.01.2022 N 59/пр.
Проектирование зданий и сооружений с системами сейсмоизоляции следует выполнять при научно-техническом сопровождении.
(в ред.
Изменения N 2, утв. Приказом Минстроя России от 31.01.2022 N 59/пр)
4.8 Для получения достоверной информации о работе конструкций и колебаниях грунтов, прилегающих к зданиям и сооружениям, при интенсивных землетрясениях в проектах зданий и сооружений повышенного уровня ответственности, перечисленных в
позиции 1 таблицы 4.2, следует предусматривать установку инженерно-сейсмометрических станций наблюдения за динамическим поведением конструкций и прилегающих грунтов.
Таблица 4.1
Расчетная сейсмичность площадки строительства
Категория грунта по сейсмическим свойствам | Грунты | Дополнительная характеристика сейсмических свойств грунтов | Расчетная сейсмичность площадки при сейсмичности района, баллы |
Сейсмическая жесткость  , г/см 3·м/с | Скорость поперечных волн Vs, м/с. Отношение скоростей продольных и поперечных волн, Vp/Vs | 7 | 8 | 9 |
I | Скальные грунты (в том числе многолетнемерзлые и многолетнемерзлые оттаявшие) невыветрелые и слабовыветрелые; крупнообломочные грунты плотные, маловлажные из магматических пород, содержащие до 30% песчано-глинистого заполнителя; выветрелые и сильновыветрелые скальные и дисперсные твердомерзлые (многолетнемерзлые) грунты при температуре минус 2 °C и ниже при строительстве и эксплуатации по принципу I (сохранение грунтов основания в мерзлом состоянии) | > 1500 | > 700 1,7 - 2,2 | 7 | 7 | 8 |
II | Скальные грунты выветрелые и сильновыветрелые, в том числе многолетнемерзлые, кроме отнесенных к категории I; крупнообломочные грунты, за исключением отнесенных к категории I, пески гравелистые, крупные и средней крупности плотные и средней плотности маловлажные и влажные; пески мелкие и пылеватые плотные и средней плотности маловлажные; глинистые грунты с показателем консистенции IL <= 0,5 при коэффициенте пористости e < 0,9 для глин и суглинков и e < 0,7 - для супесей; многолетнемерзлые нескальные грунты пластичномерзлые или сыпучемерзлые, а также твердомерзлые при температуре выше минус 2 °C при строительстве и эксплуатации по принципу I | 350 - 1500 | 250 - 700 1,7 - 2,2 (неводонасыщенные) 2,2 - 3,5 (водонасыщенные) | 7 | 8 | 9 |
III | Пески рыхлые независимо от степени влажности и крупности; пески гравелистые, крупные и средней крупности, плотные и средней плотности водонасыщенные; пески мелкие и пылеватые плотные и средней плотности влажные и водонасыщенные; глинистые грунты с показателем консистенции IL > 0,5; глинистые грунты с показателем консистенции IL <= 0,5 при коэффициенте пористости e >= 0,9 - для глин и суглинков и e >= 0,7 - для супесей; многолетнемерзлые дисперсные грунты при строительстве и эксплуатации по принципу II (допускается оттаивание грунтов основания) | 200 - 350 | 150 - 250 3,5 - 7 | 8 | 9 | > 9 |
IV | Наиболее динамически неустойчивые разновидности песчано-глинистых грунтов, указанные в категории III, склонные к разжижению при сейсмических воздействиях | < 200 | 60 - 150 7 - 15 | 8 <*> | 9 <*> | > 9 <*> |
<*> Грунты с большей вероятностью склонны к разжижению и потере несущей способности при землетрясениях интенсивностью более 6 баллов. Примечания 1 Скорости Vp и Vs, а также величина сейсмической жесткости грунта являются средневзвешенными значениями для 30-метровой толщи, считая от планировочной отметки. 2 В случае многослойного строения грунтовой толщи грунтовые условия участка относят к более неблагоприятной категории, если в пределах верхней 30-метровой толщи (считая от планировочной отметки) слои, относящиеся к этой категории, имеют суммарную мощность более 10 м. 3 При отсутствии данных о консистенции, влажности, сейсмической жесткости, скоростях Vp и Vs глинистые и песчаные грунты при положении уровня грунтовых вод выше 5 м относятся к категории III или IV по сейсмическим свойствам. 4 При прогнозировании подъема уровня грунтовых вод и обводнения грунтов (в том числе просадочных) категорию грунтов следует определять в зависимости от свойств грунта в замоченном состоянии. 5 При строительстве на многолетнемерзлых грунтах по принципу II грунты основания следует рассматривать по фактическому их состоянию после оттаивания. 6 Если по результатам инженерных изысканий на площадке, расположенной в районе с нормативной сейсмичностью 6 баллов по карте A ОСР-2015, грунты по их описанию соответствуют грунтам категории III или IV по сейсмическим свойствам, расчетную сейсмичность площадки следует определять по результатам СМР, выполняемого в составе инженерных изысканий. |
Коэффициенты надежности по нагрузке K0,
определяемые назначением сооружения
Минстроя России от 31.01.2022 N 59/пр)
Номер графы | Назначение сооружения или здания | Значение коэффициента K0 |
при расчете на РЗ, не менее | при поверочном расчете (КЗ) |
| а) Объекты, отнесенные к особо опасным и технически сложным, перечисленные в [ 1, статья 48.1, пункт 1, подпункты 1), 4), 5), 6), 9), 10.1), 11а)], за исключением сооружений, и [ 1, статья 48.1, пункт 2, подпункты 1), 2)]; б) объекты (здания, сооружения и коммуникации) жизнеобеспечения городов и населенных пунктов; в) монументальные здания и сооружения; г) правительственные здания повышенного уровня ответственности; д) жилые, общественные и административные здания высотой более 200 м; е) мачты и башни сооружений связи и телерадиовещания высотой более 200 м; | 1,1 | 1,5 |
| Здания и сооружения: а) объекты, перечисленные в [ 1, статья 48.1, пункт 1, подпункты 7), 8), 10.2), 11б), 11в)] и [ 1, статья 48.1, пункт 2, подпункты 3), 4)]; б) функционирование которых необходимо при землетрясении и ликвидации его последствий (здания правительственной связи; службы МЧС и полиции; системы энергоснабжения, водоснабжения и водоотведения; сооружения пожаротушения, газоснабжения; сооружения, содержащие большое количество токсичных или взрывчатых веществ, которые могут быть опасными для населения; медицинские организации, имеющие помещения и оборудование для организации медицинского обеспечения населения в чрезвычайных ситуациях природного и техногенного характера); в) здания центральных государственных музеев; государственных архивов; административных органов управления; здания хранилищ национальных и культурных ценностей; зрелищные объекты; крупные учреждения здравоохранения и торговые предприятия с массовым нахождением людей; сооружения с пролетом более 60 м; жилые, общественные и административные здания высотой более 75 м; мачты и башни сооружений связи и телерадиовещания высотой более 75 м; трубы высотой более 75 м; г) здания: дошкольных образовательных организаций, общеобразовательных организаций, для МГН длительного пребывания и проживания, спальных корпусов интернатов; лечебно-профилактических медицинских организаций со стационаром, медицинских центров; д) другие здания и сооружения, разрушения которых могут привести к тяжелым экономическим, социальным и экологическим последствиям, отнесенные к классу КС-3 по ГОСТ 27751 | 1,0 | 1,3 |
| | 1,0 | 1,0 |
| Здания и сооружения: временного (сезонного) назначения, а также здания и сооружения вспомогательного применения, связанные с осуществлением строительства или реконструкции здания или сооружения либо расположенные на земельных участках, предоставленных для индивидуального жилищного строительства | 0,8 | - |
Примечания 1 Заказчик по указаниям нормативных и ведомственных документов или по представлению генерального проектировщика относит сооружения по назначению к позиции настоящей таблицы. 2 Идентификация зданий и сооружений по принадлежности к опасным производственным объектам - в соответствии с [2]. |
5 Расчетные сейсмические нагрузки
5.1 Расчет конструкций и оснований зданий и сооружений, проектируемых для строительства в сейсмических районах, должен выполняться на основные и особые сочетания нагрузок с учетом расчетной сейсмической нагрузки.
Класс и уровень ответственности зданий и сооружений, а также численные значения коэффициента надежности по ответственности учитываются в соответствии с
таблицей 2 ГОСТ 27751-2014.
(абзац введен
Изменением N 2, утв. Приказом Минстроя России от 31.01.2022 N 59/пр)
При расчете зданий и сооружений по второй группе предельных состояний коэффициент надежности по ответственности следует принимать равным единице.
(абзац введен
Изменением N 2, утв. Приказом Минстроя России от 31.01.2022 N 59/пр)
При расчете зданий и сооружений на особое сочетание нагрузок значения расчетных нагрузок следует умножать на коэффициенты сочетаний, принимаемые по таблице 5.1. Нагрузки, соответствующие сейсмическому воздействию, следует рассматривать как знакопеременные нагрузки.
Таблица 5.1
Коэффициенты сочетаний нагрузок
Вид нагрузок | Значение коэффициента nc |
Постоянные | 0,9 |
Временные длительные | 0,8 |
Кратковременные (на перекрытия и покрытия) | 0,5 |
Горизонтальные нагрузки от масс на гибких подвесках, температурные климатические воздействия, ветровые нагрузки, динамические воздействия от оборудования и транспорта, тормозные и боковые усилия от движения кранов при этом не учитываются.
При определении расчетной вертикальной сейсмической нагрузки следует учитывать массу моста крана, массу тележки, а также массу груза, равного грузоподъемности крана, с коэффициентом 0,3.
Расчетную горизонтальную сейсмическую нагрузку от массы мостов кранов следует учитывать в направлении, перпендикулярном оси подкрановых балок. Снижение крановых нагрузок, предусмотренное
СП 20.13330, при этом не учитывают.
5.2 При выполнении расчетов сооружений с учетом сейсмических воздействий следует применять две расчетные ситуации:
а) сейсмические нагрузки соответствуют РЗ. Целью расчетов на воздействие РЗ является определение (принятие) проектных решений, позволяющих предотвратить частичную или полную потерю эксплуатационных свойств сооружением. Расчетные модели сооружений следует принимать соответствующими упругой области деформирования. Расчеты зданий и сооружений на особые сочетания нагрузок следует выполнять на нагрузки, определяемые в соответствии с
5.5,
5.9,
5.11. При выполнении расчета в частотной области суммарные инерционные нагрузки (усилия, моменты, напряжения, перемещения), соответствующие сейсмическому воздействию, следует вычислять по
формулам (5.8),
(5.9);
б) сейсмические нагрузки соответствуют КЗ. На действие КЗ рассчитываются законструированные по результатам РЗ сечения и элементы здания, сооружения. Целью расчетов на КЗ является оценка общей устойчивости, неизменяемости, однородности конструкций сооружения, допустимость уровня ускорений, перемещений, скоростей в элементах здания, сооружения, способность конструкций здания к перераспределению внешнего сейсмического воздействия за счет формирования пластических шарниров и иных нелинейных эффектов.
При выполнении расчетов на РЗ и КЗ принимают одну карту сейсмичности района строительства в соответствии с
4.3.
(п. 5.2.1 в ред.
Изменения N 2, утв. Приказом Минстроя России от 31.01.2022 N 59/пр)
5.2.2 Расчеты, соответствующие КЗ, следует выполнять: во

области с применением инструментальных или синтезированных акселерограмм, по теории предельного равновесия с учетом
5.5 или с использованием иных научно обоснованных методов. При расчете на КЗ следует задавать жесткостные характеристики конструкций здания, соответствующие прогнозируемому или назначаемому уровню деформирования или повреждения его элементов. Учет нелинейного характера зависимости между величиной внешнего воздействия и деформациями (перемещениями) конструкций может выполняться как путем прямого задания диаграммы деформирования, так и с применением различных способов линеаризации. Для расчетов во

области максимальные амплитуды инструментальных или синтезированных ускорений в уровне основания сооружения следует принимать не менее 1,0; 2,0 или 4,0 м/с
2 при сейсмичности площадок строительства 7, 8 и 9 баллов соответственно и умножать на коэффициент
K0 по
таблице 4.2.
При выполнении расчетов по теории предельного равновесия суммарные инерционные нагрузки, соответствующие сейсмическому воздействию, следует вычислять по
формулам (5.8),
(5.9) и умножать на коэффициент
K0 по
таблице 4.2.
В расчетах с учетом нагрузок, соответствующих КЗ, во

области следует принимать коэффициент
K1 = 1.
5.3 Сейсмические воздействия могут иметь любое направление в пространстве.
Для зданий и сооружений с простым конструктивно-планировочным решением допускается принимать расчетные сейсмические воздействия, действующие горизонтально в направлении их продольных и поперечных осей. Сейсмические воздействия в указанных направлениях допускается учитывать раздельно.
При расчете сооружений со сложным конструктивно-планировочным решением следует учитывать наиболее опасные с точки зрения максимальных значений сейсмической реакции сооружения или его частей направления сейсмических воздействий.
Примечание - Конструктивно-планировочное решение зданий и сооружений считается простым, если выполняются все нижеперечисленные условия:
а) первая и вторая формы собственных колебаний сооружения не являются крутильными относительно вертикальной оси;
б) максимальное и среднее значения горизонтальных смещений каждого перекрытия по любой из поступательных форм собственных колебаний сооружения различаются не более чем на 10%;
в) значения периодов всех учитываемых форм собственных колебаний должны отличаться друг от друга не менее чем на 10%;
г) выполнены требования
4.1;
е) в перекрытиях отсутствуют большие проемы, ослабляющие диски перекрытий;
ж) фундаменты здания, сооружения или их отсеков, возводимые на нескальных грунтах, устроены на одном уровне;
и) перекрытия и (или) покрытия выполнены как жесткие горизонтальные диски, расположенные на одном уровне в пределах одного отсека.
5.4 Вертикальную сейсмическую нагрузку необходимо учитывать совместно с горизонтальной при расчете:
- горизонтальных и наклонных консольных конструкций;
- рам, арок, ферм, пространственных покрытий зданий и сооружений пролетом 24 м и более;
- сооружений на устойчивость против опрокидывания или против скольжения;
- каменных конструкций (по
6.14.4).
5.5 При определении расчетных сейсмических нагрузок на здания и сооружения следует принимать РДМ конструкций, согласованные с расчетными статическими моделями конструкций и учитывающие особенности распределения нагрузок, масс и жесткостей зданий и сооружений в плане и по высоте, а также пространственный характер деформирования конструкций при сейсмических воздействиях.
Массы (вес) нагрузок и элементов конструкций в РДМ допускается принимать сосредоточенными в узлах расчетных схем. При вычислении массы необходимо учитывать только нагрузки, создающие инерционные силы.
Для зданий и сооружений с простым конструктивно-планировочным решением для расчетной ситуации РЗ расчетные сейсмические нагрузки допускается определять с применением консольной РДМ (рисунок 5.1).
При расчетной ситуации КЗ необходимо применять пространственные РДМ конструкций и учитывать пространственный характер сейсмических воздействий.
Рисунок 5.1
Расчетные сейсмические нагрузки на здания и сооружения, имеющие сложное конструктивно-планировочное решение, следует определять с применением пространственных РДМ зданий и с учетом пространственного характера сейсмических воздействий.
Расчетная сейсмическая нагрузка (силовая или моментная)

по направлению обобщенной координаты с номером
j, приложенная к узловой точке
k РДМ и соответствующая
i-й форме собственных колебаний зданий или сооружений, определяется по формуле

(5.1)
где
K0 - коэффициент, учитывающий назначение сооружения и его ответственность, принимаемый по
таблице 4.2;
K1 - коэффициент, учитывающий допускаемые повреждения зданий и сооружений, принимаемый по
таблице 5.2;

- значение сейсмической нагрузки для
i-й формы собственных колебаний здания или сооружения, определяемое в предположении упругого деформирования конструкций по формуле

(5.2)
здесь

- масса здания или момент инерции соответствующей массы здания, отнесенные к точке
k по обобщенной координате
j, определяемые с учетом расчетных нагрузок на конструкции согласно
5.1;
A - значение ускорения в уровне основания, принимаемое равным 1,0; 2,0; 4,0 м/с2 для расчетной сейсмичности 7, 8, 9 баллов соответственно;

- коэффициент динамичности, соответствующий
i-й форме собственных колебаний зданий или сооружений, принимаемый в соответствии с
5.6;

- коэффициент, зависящий от формы деформации здания или сооружения при его собственных колебаниях по
i-й форме, от узловой точки приложения рассчитываемой нагрузки и направления сейсмического воздействия, определяемый по
5.7,
5.8.
Примечания
1 При сейсмичности площадки 8 баллов и более, повышенной только в связи с наличием грунтов категорий III и IV, к значению Sik вводится множитель 0,7, учитывающий нелинейное деформирование грунтов при сейсмических воздействиях при отсутствии данных СМР.
2 Обобщенная координата может быть линейной координатой, и тогда ей соответствует линейная масса, либо угловой, и тогда ей соответствует момент инерции массы. Для пространственной РДМ для каждого узла обычно рассматривается шесть обобщенных координат: три линейные и три угловые. При этом, как правило, считают, что массы, соответствующие линейным обобщенным координатам, одинаковы, а моменты инерции массы относительно угловых обобщенных координат могут быть различными.
3 При вычислении силовой сейсмической нагрузки

(
j = 1, 2, 3) приняты следующие размерности:

[Н]; коэффициенты, входящие в
формулу (5.2), - безразмерные.
4 При вычислении моментной сейсмической нагрузки

(
j = 4, 5, 6) приняты следующие размерности:

[Н·м];

[кг·м
2];

; остальные коэффициенты, входящие в
формулу (5.2), - безразмерные.
5

;

;

, где

,

,

- моменты инерции масс в узле
k относительно 1, 2 и 3-й осей соответственно.
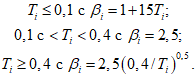
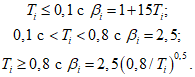
5.6 Значения коэффициента динамичности

в зависимости от расчетного периода собственных колебаний
Ti здания или сооружения по
i-й форме при определении сейсмических нагрузок следует принимать по
формулам (5.3) и
(5.4) или согласно рисунку 5.2.
Рисунок 5.2
Для грунтов категорий I и II по сейсмическим свойствам (кривая 1) при:

(5.3)
Для грунтов категорий III и IV по сейсмическим свойствам (кривая 2) при:

(5.4)
Во всех случаях значения

должны приниматься не менее 0,8.
Примечание - При наличии представительной информации (записей землетрясений, подробная характеристика опасных зон ВОЗ и др.) допускается применять обоснованные значения коэффициента динамичности

.
| | ИС МЕГАНОРМ: примечание. Текст дан в соответствии с официальным текстом документа. | |
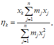
5.7 Для зданий и сооружений, рассчитываемых по пространственной РДМ, значение

при равномерном поступательном сейсмическом воздействии следует определять по формуле

(5.5)
где

- смещения по
i-й форме в узловой точке
k РДМ по направлению обобщенной координаты с номером
j (при
j = 1, 2, 3 смещения линейные, при
j = 4, 5, 6 - угловые);

- инерционные характеристики в узловой точке
p, равные при
j = 1, 2, 3 массе здания или сооружения, присоединенной к узловой точке
p по направлению оси
j, а при
j = 4, 5, 6 - равные моментам инерции массы относительно угловых обобщенных координат (инерционные характеристики определяют с учетом расчетных нагрузок на конструкцию согласно
5.1);
rl - косинусы углов между направлением сейсмического воздействия и осью с номером
l. Если обобщенные перемещения вдоль осей 1 и 2 соответствуют горизонтальной плоскости, а перемещение вдоль оси 3 является вертикальным, то эти коэффициенты равны:

;

;

, где

- угол между направлением сейсмического воздействия и обобщенной координатой
l = 1,

- угол между направлением сейсмического воздействия и горизонтальной плоскостью.
Таблица 5.2
Коэффициент K1, учитывающий допускаемые повреждения зданий
и сооружений
Тип здания или сооружения | Значения K1 |
1 Здания и сооружения, в конструкциях которых повреждения или неупругие деформации не допускаются | 1 |
2 Здания и сооружения, в конструкциях которых могут быть допущены остаточные деформации и повреждения, затрудняющие нормальную эксплуатацию, при обеспечении безопасности людей и сохранности оборудования, возводимые: | |
- из деревянных конструкций | 0,15 |
- со стальным каркасом без вертикальных диафрагм или связей | 0,25 |
- то же, с диафрагмами или связями | 0,22 |
- со стенами из железобетонных крупнопанельных или монолитных конструкций | 0,25 |
- из железобетонных объемно-блочных и панельно-блочных конструкций | 0,3 |
- с железобетонным каркасом без вертикальных диафрагм или связей | 0,35 |
- то же, с заполнением из кирпичной или каменной кладки | 0,4 |
- то же, с диафрагмами или связями | 0,3 |
- из кирпичной или каменной кладки | 0,4 |
3 Здания и сооружения, в конструкциях которых могут быть допущены значительные остаточные деформации, трещины, повреждения отдельных элементов, их смещения, временно приостанавливающие нормальную эксплуатацию, при наличии мероприятий, обеспечивающих безопасность людей (объекты пониженного уровня ответственности) | 0,12 |
Примечания 1 Отнесение зданий и сооружений к 1-му типу проводится заказчиком по представлению генерального проектировщика. 2 При выполнении расчета деформаций конструкций при сейсмическом воздействии в частотной области коэффициент K1 следует принимать равным 1,0. |
5.8 Для зданий и сооружений, рассчитываемых по консольной схеме, значение

при поступательном горизонтальном (вертикальном) сейсмическом воздействии без учета моментов инерции массы следует определять по формуле

(5.6)
где Xi(xk) и Xi(xj) - смещения здания или сооружения при собственных колебаниях по i-й форме в рассматриваемой точке k и во всех точках j, где в соответствии с расчетной схемой его масса принята сосредоточенной;
mj - масса здания или сооружения, отнесенная к узловой точке
j, определяемая с учетом расчетных нагрузок на конструкцию в соответствии с
5.1.
Для зданий высотой до пяти этажей включительно с незначительно изменяющимися по высоте массами и жесткостями этажей при
T1 менее 0,4 с коэффициент

при использовании консольной схемы для поступательного горизонтального (вертикального) сейсмического воздействия без учета моментов инерции массы допускается определять по упрощенной формуле

(5.7)
где xk и xj - расстояния от точек k и j до верхнего обреза фундаментов.
Таблица 5.3
Коэффициент, учитывающий способность зданий и сооружений
к рассеиванию энергии
Характеристика зданий и сооружений | |
1 Высокие сооружения небольших размеров в плане (башни, мачты, дымовые трубы, отдельно стоящие шахты лифтов и т.п.) | 1,5 |
2 Каркасные бессвязевые здания, стеновое заполнение которых не оказывает влияния на их деформируемость | 1,3 |
3 Здания и сооружения, не указанные в позициях 1 - 2 | 1 |
5.9 Усилия в конструкциях зданий и сооружений, проектируемых для строительства в сейсмических районах, а также в их элементах следует определять с учетом высших форм их собственных колебаний. Минимальное число форм собственных колебаний, учитываемых в расчете, рекомендуется назначать так, чтобы сумма эффективных модальных масс, учтенных в расчете, составляла не менее 90% общей массы системы, возбуждаемой по направлению действия сейсмического воздействия для горизонтальных воздействий и не менее 75% - для вертикального воздействия. Должны быть учтены все формы собственных колебаний, эффективная модальная масса которых превышает 5%. При этом для сложных систем с неравномерным распределением жесткостей и масс необходимо учитывать остаточный член от отброшенных форм колебаний.
Для зданий и сооружений простой конструктивной формы при применении консольной РДМ усилия в конструкциях допускается определять с учетом не менее трех форм собственных колебаний, если период первой (низшей) формы собственных колебаний значение T1 более 0,4 с, и с учетом только первой формы, если значение T1 равно или менее 0,4 с.
5.10 При использовании консольной РДМ взаимодействие сооружения с основанием следует принимать в виде жесткого защемления. В пространственной РДМ следует учитывать динамическое взаимодействие сооружения с основанием. Динамические нагрузки, передаваемые сооружением на основание, следует принимать пропорциональными перемещениям самого сооружения. Коэффициенты пропорциональности (коэффициенты упругой жесткости основания) следует определять на основе упругих параметров грунтов, вычисляемых по данным о скоростях упругих волн в грунте или на основе корреляционных связей этих параметров с физико-механическими свойствами грунтов.
Примечание - При учете взаимодействия сооружения и основания возможно как снижение, так и повышение сейсмических нагрузок.
5.11 Расчетные значения поперечных и продольного усилий, изгибающих и крутящих моментов, нормальных и касательных напряжений
Np в конструкциях от сейсмической нагрузки при условии статического действия ее на сооружение, а также расчетные значения перемещений следует определять по формуле

(5.8)
где Ni - значения усилия (момента, напряжения, перемещения), вызываемого сейсмическими нагрузками, соответствующими i-й форме колебаний;
n - число учитываемых в расчете форм колебаний. Знаки в
формуле (5.8) для вычисляемых факторов следует назначать по знакам значений соответствующих факторов для форм с максимальными модальными массами.
Если периоды i-й и (i + 1)-й форм собственных колебаний сооружения отличаются менее чем на 10%, то расчетные значения соответствующих факторов необходимо вычислять с учетом их взаимной корреляции. Для этого допускается применять формулу

(5.9)
где

, если
Ti+1/
Ti >= 0,9 и

, если
Ti+1/
Ti < 0,9 (
Ti >
Ti+1).
5.12 Вертикальную сейсмическую нагрузку в случаях, предусмотренных в
5.4 (кроме каменных конструкций), следует определять по
формулам (5.1) и
(5.2), при этом коэффициент

принимают равным единице, а значение вертикальной сейсмической нагрузки умножают на 0,75.
Консольные конструкции, масса которых по сравнению с массой здания незначительна (балконы, козырьки, консоли для навесных стен и т.п. и их крепления), следует рассчитывать на вертикальную сейсмическую нагрузку при значении

.
5.13 Конструкции, возвышающиеся над зданием или сооружением и имеющие по сравнению с ним незначительные сечения и массу (парапеты, фронтоны и т.п.), а также крепления памятников, тяжелого оборудования, устанавливаемого на первом этаже, следует рассчитывать с учетом горизонтальной сейсмической нагрузки, вычисленной по
формулам (5.1) и
(5.2) при

. Расчет и проектирование навесных фасадных систем, самонесущих и ненесущих светопрозрачных ограждающих конструкций выполняются с учетом положений
6.20.
(в ред.
Изменения N 2, утв. Приказом Минстроя России от 31.01.2022 N 59/пр)
5.14 Самонесущие и ненесущие стены, панели, перегородки, соединения между отдельными конструкциями, а также крепления технологического оборудования следует рассчитывать на горизонтальную сейсмическую нагрузку по
формулам (5.1) и
(5.2) при значениях

, соответствующих рассматриваемой отметке сооружения, но не менее 2. При расчете горизонтальных стыковых соединений в крупнопанельных зданиях силы трения, как правило, не учитывают.
5.15 При расчете конструкций на прочность и устойчивость помимо коэффициентов условий работы, принимаемых в соответствии с другими действующими нормативными документами, следует вводить дополнительно коэффициент условий работы
mtr, определяемый по
таблице 5.4. На коэффициент
mtr умножают расчетное сопротивление соответствующего материала конструкции.
5.16 При расчете зданий и сооружений длиной или шириной более 30 м по консольной РДМ помимо сейсмической нагрузки, определяемой по
5.5, следует учитывать крутящий момент относительно вертикальной оси здания или сооружения, проходящей через его центр жесткости. Значение расчетного эксцентриситета между центрами жесткостей и масс зданий или сооружений в рассматриваемом уровне следует принимать не менее 0,1
B, где
B - размер здания или сооружения в плане в направлении, перпендикулярном действию силы
Sik.
(в ред.
Изменения N 2, утв. Приказом Минстроя России от 31.01.2022 N 59/пр)
Таблица 5.4
Коэффициент условий работы
Характеристика конструкций | Значение mtr |
При расчетах на прочность | |
1 Стальные, деревянные, железобетонные с жесткой арматурой | 1,3 |
2 Железобетонные со стержневой и проволочной арматурой, кроме проверки на прочность наклонных сечений | 1,2 |
3 Железобетонные при проверке на прочность наклонных сечений | 1,0 |
4 Каменные, армокаменные и бетонные при расчете: | |
- на внецентренное сжатие | 1,0 |
- на сдвиг и растяжение | 0,8 |
5 Сварные соединения | 1,0 |
6 Болтовые и заклепочные соединения | 1,1 |
При расчетах на устойчивость | |
7 Стальные элементы гибкостью свыше 100 | 1,0 |
8 Стальные элементы гибкостью до 20 | 1,2 |
9 Стальные элементы гибкостью от 20 до 100 | От 1,2 до 1,0 по интерполяции |
Примечание - При расчете стальных и железобетонных конструкций, подлежащих эксплуатации в неотапливаемых помещениях или на открытом воздухе при расчетной температуре ниже минус 40 °C, следует принимать mtr = 0,9, в случае проверки прочности наклонных сечений mtr = 0,8. |
5.17 При расчете подпорных стен необходимо учитывать сейсмическое давление грунта, значение которого допускается определять с применением квазистатических расчетных схем, принимая ускорение грунта равным произведению K0K1A. Допускается принимать K1 = 0,5 при отсутствии других данных.
5.18 Расчет зданий и сооружений с учетом сейсмического воздействия выполняют по первой группе предельных состояний. В случаях, установленных
6.17 или обусловленных технологическими требованиями, выполняют расчет по второй группе предельных состояний.
(п. 5.18 в ред.
Изменения N 2, утв. Приказом Минстроя России от 31.01.2022 N 59/пр)
5.19 Необходимость учета сейсмических воздействий при проектировании зданий и сооружений пониженного уровня ответственности, разрушение которых не связано с гибелью людей, порчей ценного оборудования и не вызывает прекращения непрерывных производственных процессов (склады, крановые эстакады, небольшие мастерские и др.), а также временных зданий и сооружений устанавливается заказчиком.
5.20 Расчет зданий с сейсмоизолирующими системами необходимо выполнять на сейсмические нагрузки, соответствующие уровням РЗ и КЗ, а также на эксплуатационную пригодность.
Расчет системы сейсмоизоляции на сейсмические нагрузки, соответствующие уровню РЗ, следует выполнять по
перечислению а) 5.2. Повреждения элементов конструкций сейсмической изоляции не допускаются.
Расчет системы сейсмоизоляции на сейсмические нагрузки, отвечающие уровню КЗ, следует выполнять в соответствии с
перечислением б) 5.2 и
5.2.2. При выполнении расчета на КЗ необходима проверка по перемещениям. Необходимо применять реальные акселерограммы, характерные для района строительства, а в случае их отсутствия - генерировать искусственные акселерограммы с учетом грунтовых условий площадки строительства.
Расчет сейсмоизолирующей системы на эксплуатационную пригодность следует выполнять на воздействия вертикальных статических и ветровой нагрузок.
Каждый элемент системы изоляции должен быть спроектирован так, чтобы при максимальных горизонтальных перемещениях воспринимались максимальные и минимальные статические вертикальные нагрузки.
6 Жилые, общественные, производственные здания и сооружения
6.1.1 Требования раздела 6 должны выполняться независимо от результатов расчета в соответствии с
разделом 5.
Требования раздела 6 следует применять в зависимости от расчетной сейсмичности, выраженной в целочисленных баллах сейсмической шкалы интенсивности MSK-64. Если в результате геологических изысканий при СМР получены дробные значения сейсмической интенсивности, расчетные значения сейсмической балльности следует принимать путем математического округления до целого значения.
6.1.2 Здания и сооружения следует разделять антисейсмическими швами в случаях, если:
- перечисление исключено с 01.03.2022. -
Изменение N 2, утв. Приказом Минстроя России от 31.01.2022 N 59/пр.
- смежные участки здания или сооружения имеют перепады высоты 5 м и более, а также существенные отличия друг от друга по жесткости и (или) массе.
Допускается устройство антисейсмических швов между высокой частью и 1 - 2-этажными пристраиваемыми частями зданий путем шарнирного опирания перекрытия пристройки на консоль высокой части. Глубина опирания должна быть не менее суммы взаимных перемещений и минимальной глубины опирания с обязательным устройством аварийных связей.
Для случаев, когда устройство осадочного шва не требуется, допускается не устраивать антисейсмические швы между зданием и стилобатом при расчетном обосновании совместности их работы и выполнении соответствующих конструктивных мероприятий.
Не допускается устройство антисейсмических швов внутри помещений, которые предназначены для постоянного проживания или длительного нахождения МГН.
В одноэтажных зданиях высотой до 10 м при расчетной сейсмичности 7 баллов антисейсмические швы допускается не устраивать.
6.1.3 Антисейсмические швы должны разделять здания или сооружения по всей высоте. Допускается не устраивать шов в фундаменте, за исключением случаев, когда антисейсмический шов совпадает с осадочным.
6.1.4 Расстояния между антисейсмическими швами не должны превышать для зданий и сооружений: из стальных каркасов - по требованиям для несейсмических районов, но не более 150 м; из деревянных конструкций и мелких ячеистых блоков - 40 м при расчетной сейсмичности 7 - 8 баллов и 30 м - при расчетной сейсмичности 9 баллов. Для зданий иных конструктивных решений, приведенных в
таблице 6.1, - 80 м при расчетной сейсмичности 7 - 8 баллов и 60 м - при расчетной сейсмичности 9 баллов.
В случае превышения расстояний между антисейсмическими швами сверх установленных расчет сооружений следует выполнять с учетом волнового характера сейсмического воздействия, неоднородности и неравномерности сейсмического воздействия в плане сооружения по методикам, согласованным в установленном порядке.
| | ИС МЕГАНОРМ: примечание. В официальном тексте документа, видимо, допущена опечатка: таблица 7 отсутствует. | |
6.1.5 Высота (этажность) зданий не должна превышать параметров, указанных в таблице 7.
При различных конструктивно-планировочных решениях разных этажей здания следует применять меньшее из приведенных в таблице 6.1 и
6.1.4 значение параметров для соответствующих несущих конструкций.
Таблица 6.1
Предельная высота здания в зависимости
от конструктивного решения
Несущая конструкция | Предельная высота, м (этажность), при сейсмичности площадки, баллы |
7 | 8 | 9 |
1 Стальной каркас | Не более 200 м |
| | | |
- рамно-связевый, безригельный связевый (с железобетонными диафрагмами, ядрами жесткости или стальными связями) | 57 (16) | 43 (12) | 34 (9) |
- безригельный без диафрагм и ядер жесткости | 14 (4) | 11 (3) | 8 (2) |
- рамный с заполнением из штучной кладки, воспринимающей горизонтальные нагрузки, в том числе каркасно-каменной конструкции | 34 (9) | 24 (7) | 18 (5) |
- рамный без заполнения и с заполнением, отделенным от каркаса | 24 (7) | 18 (5) | 11 (3) |
3 Стены из монолитного железобетона | 75 (24) | 70 (20) | 57 (16) |
4 Крупнопанельные железобетонные стены | 57 (16) | 50 (14) | 43 (12) |
5 Объемно-блочные и панельно-блочные железобетонные стены | 50 (16) | 50 (16) | 38 (12) |
6 Стены из крупных бетонных или виброкирпичных блоков | 29 (9) | 23 (7) | 17 (5) |
7 Стены комплексной конструкции из керамических кирпичей и камней, бетонных блоков, природных камней правильной формы и мелких блоков, усиленные монолитными железобетонными включениями: | | | |
- 1-й категории | 20 (6) | 17 (5) | 14 (4) |
- 2-й категории | 17 (5) | 14 (4) | 11 (3) |
8 Стены из керамических кирпичей и камней, бетонных блоков, природных камней правильной формы и мелких блоков, кроме указанных в позиции 7: | | | |
- 1-й категории | 17 (5) | 15 (4) | 12 (3) |
- 2-й категории | 14 (4) | 11 (3) | 8 (2) |
9 Стены из мелких ячеистых и легкобетонных блоков | 8 (2) | 8 (2) | 4 (1) |
10 Деревянные бревенчатые стены, брусчатые, щитовые | 8 (2) | 8 (2) | 4 (1) |
Примечания 1 За предельную высоту здания принимают разность отметок низшего уровня отмостки или поверхности земли, примыкающей к зданию, и низа верхнего перекрытия или покрытия. Подвальный этаж включают в число этажей в случае, если верх его перекрытия находится выше средней планировочной отметки земли не менее чем на 2 м. 2 В случаях, когда подземная часть здания конструктивно отделена от грунтовой засыпки или конструкций примыкающих участков подземной застройки, подземные этажи включают в этажность и предельную высоту здания. 3 Верхний этаж с массой покрытия менее 50% средней массы перекрытий здания в этажность и предельную высоту, определяемые по настоящей таблице, не включают. 4 Этажность зданий общеобразовательных организаций (школы, гимназии и т.п.) и учреждений здравоохранения (лечебные учреждения со стационаром, дома престарелых и т.п.) при сейсмичности площадки свыше 6 баллов следует ограничивать тремя надземными этажами. 5 В случае если по функциональным требованиям возникает необходимость повышения этажности проектируемого здания сверх указанной, следует применять специальные системы сейсмозащиты (сейсмоизоляция, демпфирование и т.п.) для снижения сейсмических нагрузок. |
6.1.6 Антисейсмические швы следует выполнять путем возведения парных стен или рам, либо рам и стен.
Ширину антисейсмического шва следует назначать по результатам расчетов в соответствии с
5.5, при этом ширина шва на каждом рассматриваемом уровне должна быть не менее суммы амплитуд колебаний смежных отсеков здания.
При высоте здания или сооружения до 5 м ширина такого шва должна быть не менее 30 мм. Ширину антисейсмического шва здания или сооружения

высоты следует увеличивать на 20 мм на каждые 5 м высоты.
6.1.7 Конструкции примыкания отсеков здания или сооружения в зоне антисейсмических швов, в том числе по фасадам и в местах переходов между отсеками, не должны препятствовать их взаимным горизонтальным перемещениям.
6.1.8 Конструкция перехода между отсеками здания может быть выполнена в виде двух консолей из сопрягающихся блоков с устройством расчетного шва между концами консолей или переходов, надежно соединенных с элементами одного из смежных отсеков. Конструкцией их опирания на элементы другого отсека должно быть обеспечено взаимное расчетное смещение элементов и исключена возможность их обрушения и соударения при сейсмическом воздействии.
Переход через антисейсмический шов не должен быть единственным путем эвакуации из зданий или сооружений. При устройстве двух и более путей эвакуации допускается, чтобы не более 50% из них проходило через антисейсмические швы.
(в ред.
Изменения N 2, утв. Приказом Минстроя России от 31.01.2022 N 59/пр)
6.2 Основания, фундаменты и стены подвалов
6.2.1 Проектирование фундаментов зданий следует выполнять в соответствии с требованиями нормативных документов на основания и фундаменты зданий и сооружений (
СП 22.13330,
СП 24.13330,
СП 25.13330).
6.2.2 Фундаменты зданий и сооружений или их отсеков, возводимые на нескальных грунтах, должны, как правило, устраиваться на одном уровне.
В случае заложения смежных отсеков зданий на разных отметках переход от более углубленной части к менее углубленной делают уступами; при этом фундаменты примыкающих частей отсеков должны иметь одинаковое заглубление на протяжении не менее 1 м от шва, а отдельные столбчатые фундаменты под колонны, разделенные осадочным швом, должны располагаться на одном уровне. Уступы подошв фундаментов выполняют высотой до 0,6 м и заложением до 1:2 (высота к длине) для связных и до 1:3 для несвязных грунтов в местах переходов от глубоко заложенных фундаментов к фундаментам с меньшей глубиной заложения. Уступы в скальных грунтах допускается не устраивать.
При устройстве подвала под частью здания (отсека) следует стремиться к его симметричному расположению относительно главных осей.
6.2.3 Фундаменты высоких зданий (более 16 этажей) на нескальных грунтах следует выполнять свайными, свайно-плитными или в виде сплошной фундаментной плиты с заглублением подошвы фундаментов относительно отметки отмостки не менее 2,5 м.
Вертикальная арматура стен и элементов каркаса, в которой расчетом на особое сочетание нагрузок допускается растяжение, должна быть надежно заанкерена в фундаменте.
6.2.4 При строительстве в сейсмических районах по верху сборных ленточных фундаментов из бетонных блоков следует укладывать слой цементного раствора марки 100 или мелкозернистого бетона класса B10 толщиной не менее 40 мм и продольную арматуру диаметром 10 мм из трех, четырех и шести стержней при расчетной сейсмичности 7, 8 и 9 баллов соответственно. Через каждые 300 - 400 мм продольные стержни должны быть соединены поперечными стержнями диаметром не ниже 6 мм.
В случае выполнения стен подвалов из сборных панелей, конструктивно связанных с ленточными фундаментами, укладка указанного слоя раствора не требуется.
6.2.5 В фундаментах и стенах подвалов из крупных блоков должна быть обеспечена перевязка кладки в каждом ряду, а также во всех углах и пересечениях на глубину не менее 1/2 высоты блока; фундаментные блоки следует укладывать в виде непрерывной ленты.
Для заполнения швов между блоками следует применять цементный раствор марки не ниже М50.
6.2.6 В зданиях при расчетной сейсмичности 9 баллов должна быть предусмотрена укладка в горизонтальные швы в углах и пересечениях стен подвалов арматурных сеток длиной 2 м с продольной арматурой общей площадью сечения не менее 1 см2.
В зданиях до трех этажей включительно и сооружениях соответствующей высоты при расчетной сейсмичности 7 и 8 баллов допускается применение для кладки стен подвалов блоков пустотностью до 50%.
6.3 Перекрытия и покрытия
6.3.1 Железобетонные перекрытия и (или) покрытия могут выполняться как жесткие горизонтальные диски, соединенными с вертикальными конструкциями здания и обеспечивающими их совместную работу при сейсмических воздействиях или не создающими жесткий диск элементами, шарнирно опирающимися на несущую систему, не вносящими вклад в распределение жесткостей между вертикальными конструкциями здания.
Поэтажная масса должна быть приложена к каждому соответствующему уровню перекрытия.
(п. 6.3.1 в ред.
Изменения N 2, утв. Приказом Минстроя России от 31.01.2022 N 59/пр)
6.3.2 Жесткость сборных железобетонных перекрытий и покрытий следует обеспечивать:
- устройством сварных соединений плит между собой, элементами каркаса или стенами;
- устройством болтовых соединений (с применением накладных деталей);
- соединением плит путем устройства замоноличиваемых шпонок с арматурной скобой, соединяющей петлевые арматурные выпуски из плит перекрытия;
- устройством монолитных железобетонных обвязок (антисейсмических поясов) с анкеровкой в них выпусков арматуры из плит;
- замоноличиванием швов между элементами перекрытий мелкозернистым бетоном;
(в ред.
Изменения N 2, утв. Приказом Минстроя России от 31.01.2022 N 59/пр)
- анкеровкой арматуры перекрытий в конструкции стен, колонн, балок и других несущих элементов.
(введено
Изменением N 2, утв. Приказом Минстроя России от 31.01.2022 N 59/пр)
6.3.3 Конструкция и число соединений элементов перекрытий должны быть рассчитаны на восприятие усилий растяжения и сдвига, возникающих в швах между плитами, а также в элементах каркаса или стенах. Для перекрытий, не создающих жесткий диск, расчетом следует проверять сечение и количество креплений к каркасу здания.
(в ред.
Изменения N 2, утв. Приказом Минстроя России от 31.01.2022 N 59/пр)
Боковые грани панелей (плит) перекрытий и покрытий должны иметь шпоночную или рифленую поверхность. Для соединения с антисейсмическим поясом или для связи с элементами каркаса в панелях (плитах) следует предусматривать выпуски арматуры или закладные детали.
6.3.4 Длину участка опирания сборных плит перекрытий и покрытий на несущие конструкции принимают, мм, не менее:
- для кирпичных и каменных стен .................................. 120;
- для стен из вибрированных кирпичных блоков ..................... 90;
- для железобетонных и бетонных стен, стальных
и железобетонных балок (ригелей):
- при опирании по двум сторонам .................................. 80;
- " " " трем и четырем " ............................... 60;
- для стен крупнопанельных зданий при опирании
по двум противоположным сторонам ................................. 70.
6.3.5 Длина опирания деревянных, металлических и железобетонных балок на стены из штучных материалов и бетона должно быть не менее 200 мм. Опорные части балок должны быть надежно закреплены в несущих конструкциях здания.
Перекрытия в виде прогонов (балок с вкладышами между ними) должны быть усилены с помощью слоя монолитного армированного бетона класса не ниже B15 толщиной не менее 40 мм.
6.3.6 В зданиях до двух этажей включительно для площадок с сейсмичностью 7 баллов и одноэтажных зданиях для площадок сейсмичностью 8 баллов при расстояниях между стенами не более 6 м в обоих направлениях допускается устройство деревянных перекрытий (покрытий). Балки перекрытий (покрытий) следует конструктивно связывать с антисейсмическим поясом и устраивать по ним сплошной дощатый диагональный настил.
6.4.1 В зданиях высотой более трех этажей не менее одной лестничной клетки для эвакуации в режиме чрезвычайных ситуаций в каждом динамически независимом блоке следует выполнять закрытой, с естественным освещением через окна в наружных стенах на каждом этаже.
Устройство лестничных клеток, являющихся путем эвакуации, в виде отдельно стоящих сооружений не допускается.
(п. 6.4.1 в ред.
Изменения N 2, утв. Приказом Минстроя России от 31.01.2022 N 59/пр)
Допускается проектирование незадымляемых лестничных клеток типа Н2 без естественного освещения при условии выполнения в таких лестничных клетках автономного аварийного освещения лестничной клетки. Светильники для аварийного освещения незадымляемых лестничных клеток без естественного освещения необходимо применять со встроенными аккумуляторами, рассчитанными на время автономной работы не менее 1 ч.
(абзац введен
Изменением N 3, утв. Приказом Минстроя России от 31.05.2022 N 434/пр)
6.4.2 Лестничные клетки и лифтовые шахты каркасных зданий с заполнением, не участвующим в работе, следует устраивать в виде ядер жесткости, воспринимающих сейсмическую нагрузку, или в виде встроенных конструкций с поэтажной разрезкой, не влияющих на жесткость каркаса, а для зданий высотой до пяти этажей при расчетной сейсмичности 7 и 8 баллов их допускается устраивать в пределах плана здания в виде конструкций, отделенных от каркаса здания.
Конструкции сборных лестничных маршей и узлов их креплений к несущим элементам зданий, как правило, не должны препятствовать взаимным горизонтальным смещениям смежных перекрытий. При этом лестничные марши должны быть надежно закреплены с одного конца, а конструкция опирания другого конца должна обеспечивать свободное смещение марша относительно опоры, не допуская его обрушения.
Допускается применять конструкции лестничных маршей, связанные с перекрытиями по обоим концам, при этом несущая способность лестничных маршей и узлов их креплений должна быть рассчитана на восприятие нагрузок, возникающих при взаимном смещении перекрытий.
6.4.3 Лестницы следует выполнять из монолитного железобетона, крупных сборных железобетонных элементов, соединяемых между собой с помощью сварки. Допускается устройство лестниц с применением металлических или железобетонных косоуров с наборными ступенями при условии соединения с помощью сварки или на болтах косоуров с площадками и ступеней с косоурами и деревянных лестниц в деревянных зданиях.
6.4.4 Междуэтажные лестничные площадки следует заделывать в стены. В каменных зданиях площадки следует заделывать на глубину не менее 250 мм и заанкеривать. Лестничные площадки, располагаемые в уровне междуэтажных перекрытий, должны надежно связываться с антисейсмическими поясами или непосредственно с перекрытиями.
Устройство консольных ступеней, заделанных в каменную кладку, не допускается.
6.4.5 Конструкции лестничных клеток и узлы крепления должны обеспечивать условия безопасного использования лестниц при эвакуации в режиме чрезвычайных ситуаций.
6.5.1 Перегородки следует выполнять ненесущими. Перегородки следует соединять с колоннами, несущими стенами или перекрытиями. При длине перегородки более 3,0 м крепление к перекрытию является обязательным. Допускается выполнять перегородки из штучной кладки в соответствии с требованиями
6.5.5 и
6.14.
6.5.2 Конструкция крепления перегородок к несущим элементам здания и узлов их примыкания должна исключать возможность передачи на них горизонтальных нагрузок, действующих в их плоскости. Крепления, обеспечивающие устойчивость перегородок из плоскости, должны быть жесткими.
Прочность перегородок и их креплений должна быть в соответствии с
5.5 подтверждена расчетом на действие расчетных сейсмических нагрузок из плоскости.
6.5.3 Для обеспечения независимого деформирования перегородок следует предусматривать антисейсмические швы между вертикальными торцевыми и верхней горизонтальной гранями перегородок и несущими конструкциями здания. Ширину швов принимают по максимальному значению перекоса этажей здания при действии расчетных нагрузок с учетом прогиба перекрытия в эксплуатационной стадии, но не менее 20 мм. Швы заполняют упругим эластичным материалом.
6.5.4 Крепление перегородок к несущим железобетонным конструкциям следует выполнять соединительными элементами, приваренными к закладным изделиям или накладным элементам, а также анкерными болтами или стержнями.
Крепление перегородок к несущим элементам пристрелкой дюбелями не допускается.
6.5.5 Перегородки из кирпича или камня при их применении на площадках сейсмичностью 7 баллов следует горизонтально армировать на всю длину не реже, чем через 700 мм по высоте арматурными стержнями общим сечением в шве не менее 0,2 см
2.
Кирпичную (каменную) кладку перегородок на площадках сейсмичностью 8 и 9 баллов в дополнение к горизонтальному армированию следует усиливать вертикальными двухсторонними арматурными сетками, установленными в слоях цементного раствора марки не ниже М100 толщиной 25 - 30 мм. Арматурные сетки должны иметь надежное соединение с кладкой.
6.5.6 Дверные проемы в кирпичных (каменных) перегородках на площадках сейсмичностью 8 и 9 баллов должны иметь железобетонное или металлическое обрамление.
6.6 Балконы, лоджии и эркеры
6.6.1 В зданиях, приведенных в
позициях 6 -
9 таблицы 6.1, устройство эркеров допускается в районах сейсмичностью до 8 баллов включительно с усилением образованных в стенах проемов железобетонными рамами и установкой металлических связей стен эркеров с основными стенами.
(п. 6.6.1 в ред.
Изменения N 2, утв. Приказом Минстроя России от 31.01.2022 N 59/пр)
6.6.2 Устройство встроенных лоджий допускается с установкой жесткого решетчатого или рамного ограждения в плоскости наружных стен. Устройство пристроенных лоджий допускается с установкой металлических связей с несущими стенами, сечение которых определяется по расчету, но не менее 1 см2 на 1 м.
6.6.3 Конструкции балконов в зданиях, приведенных в
позициях 2,
4 таблицы 6.1, и их соединения с перекрытиями должны быть рассчитаны как консольные балки или плиты.
6.6.4 Вынос стен лоджий и эркеров, заделанных в каменные стены, не должен превышать 1,5 м. Вынос плит балконов, лоджий, эркеров, заделанных в каменные стены, не являющихся продолжением перекрытий, не должен превышать 1,5 м.
6.6.5 Конструкции перекрытий лоджий и эркеров в зданиях, приведенных в
позициях 2,
4 таблицы 6.1, должны быть связаны с закладными деталями стеновых элементов или антисейсмическими поясами, устроенными в стенах лоджий и эркеров и связанными с антисейсмическими поясами примыкающих стен или непосредственно с внутренними перекрытиями.
6.7 Особенности проектирования железобетонных конструкций
6.7.1 Проектирование элементов железобетонных конструкций следует выполнять в соответствии с требованиями
СП 63.13330 и с учетом дополнительных требований настоящего свода правил.
6.7.2 При расчете на прочность нормальных сечений изгибаемых и внецентренно сжатых элементов по предельным усилиям значения граничной относительной высоты сжатой зоны бетона

следует принимать по действующим нормативным документам на бетонные и железобетонные конструкции, умноженными на коэффициент, равный при расчетной сейсмичности: 7 баллов - 0,85; 8 баллов - 0,70; 9 баллов - 0,50.
(п. 6.7.2 в ред.
Изменения N 2, утв. Приказом Минстроя России от 31.01.2022 N 59/пр)
6.7.3 В качестве ненапрягаемой рабочей арматуры следует преимущественно использовать свариваемую арматуру класса А500. При сравнении вариантов армирования сечений следует отдавать предпочтение арматуре с периодическим профилем поверхности, имеющей значение показателя
fR >= 0,075 по ГОСТ 34028-2016
(пункт 3.7.8) и многорядное расположение поперечных ребер, классов А500СП и Ав500П. Допускается применение арматуры классов А600, В500 и класса А400 марки 25Г2С.
(п. 6.7.3 в ред.
Изменения N 2, утв. Приказом Минстроя России от 31.01.2022 N 59/пр)
6.7.4 В несущих элементах железобетонных конструкций не допускается применение стыкуемых дуговой сваркой отдельных стержней, сварных сеток и каркасов, а также анкерных стержней закладных деталей из арматурной стали класса А400 марки 35ГС.
6.7.5 В качестве напрягаемой арматуры следует преимущественно использовать стержневую горячекатаную или термомеханически упрочненную арматуру классов А800 и А1000, стабилизированную арматурную проволоку классов Вр1400, B1500 и B1600 и семипроволочные стабилизированные арматурные канаты классов К1500 и К1600.
6.7.6 Не допускается использовать в качестве рабочей арматурную проволоку Вр500 и арматурный прокат, имеющие полное относительное удлинение при максимальном напряжении

при 7 баллах менее 2,5%, 8 баллах менее 5%, 9 баллах менее 7%, с отношением временного сопротивления к пределу текучести

:
- при расчетной сейсмичности 7 баллов менее 1,08;
- при расчетной сейсмичности 8 и 9 баллах менее 1,15.
(п. 6.7.6 в ред.
Изменения N 2, утв. Приказом Минстроя России от 31.01.2022 N 59/пр)
6.7.7 Применение арматуры класса В500 в качестве конструктивной или монтажной на площадках с расчетной сейсмичностью 8 и 9 баллов возможно при соблюдении условий:
- удлинение при максимальном напряжении

не менее 5,0%;
- относительное равномерное удлинение

не менее 4,5%;
- отношение

не менее 1,08.
(п. 6.7.7 в ред.
Изменения N 2, утв. Приказом Минстроя России от 31.01.2022 N 59/пр)
6.7.8 При сейсмичности 9 баллов не допускается применять арматурные канаты и стержневую арматуру периодического профиля диаметром более 28 мм без специальных анкеров.
6.7.9 Во внецентренно сжатых элементах, а также в изгибаемых элементах, в которых учитывается продольная сжатая арматура, при сейсмичности 8 и 9 баллов шаг хомутов следует устанавливать по расчету, но не более:
400 мм, а также 12d для вязаных каркасов и 15d для сварных каркасов (d - наименьший диаметр сжатых продольных стержней, мм) - при Rsc <= 450 МПа;
300 мм, а также 10d для вязаных каркасов и 12d для сварных каркасов - при Rsc > 450 МПа.
6.7.10 Если общее насыщение внецентренно сжатого элемента продольной арматурой превышает 3%, хомуты следует устанавливать на расстоянии не более 8
d и не более 250 мм.
6.7.11 В вязаных каркасах концы хомутов необходимо загибать вокруг стержня продольной арматуры в направлении центра тяжести сечения и заводить их внутрь бетонного ядра не менее чем на 6d хомута, считая от оси продольного стержня.
6.7.12 В изгибаемых и внецентренно сжатых элементах конструкций допускается осуществлять стыкование рабочей арматуры при диаметре стержней до 18 мм включительно в зонах сейсмичностью 7 и 8 баллов внахлестку без сварки, а в зонах сейсмичностью 9 баллов - внахлестку без сварки, но с "лапками" или другими анкерными устройствами на концах стержней.
(в ред.
Изменения N 2, утв. Приказом Минстроя России от 31.01.2022 N 59/пр)
Длина нахлестки должна быть на 30% больше значений, требуемых по действующим нормативным документам на бетонные и железобетонные конструкции
(СП 63.13330), с учетом дополнительных требований настоящего свода правил.
Допускается применение для соединений арматуры специальных механических соединений (опрессованных или резьбовых муфт).
При диаметре стержней 20 мм и более соединение стержней и каркасов следует выполнять с помощью специальных механических соединений (опрессованных и резьбовых муфт) или сварки независимо от сейсмичности площадки.
Шаг хомутов в местах стыкования внахлестку без сварки арматуры внецентренно сжатых элементов должен быть не более 8d.
Стыкование арматуры стержневых изгибаемых и внецентренно сжатых элементов сварными соединениями внахлестку не допускается. При стыковании арматуры стен, перекрытий, фундаментных плит, а также в малоответственных конструкциях возможно применение сварных соединений арматуры внахлестку. При этом значение длины сварных швов должно быть на 30% больше значений, требуемых по
ГОСТ 14098 для сварного соединения типа С23-Рэ.
В изгибаемых и внецентренно сжатых элементах стыки арматуры внахлестку со сваркой и без сварки следует располагать вне зон максимальных изгибающих моментов.
Стыкование арматуры в монолитных диафрагмах может быть сварным или вязаным внахлест.
В одном сечении должно стыковаться не более 50% растянутой арматуры.
6.7.13 Несущая способность предварительно напряженных конструкций, определяемая по прочности сечений, должна превышать не менее чем на 25% усилия, воспринимаемые сечениями при образовании трещин.
6.7.14 В предварительно напряженных конструкциях с натяжением арматуры на бетон напрягаемую арматуру, устанавливаемую из расчета по прочности (предельному состоянию первой группы), следует располагать в закрытых каналах, замоноличиваемых бетоном или раствором прочностью не ниже прочности бетона конструкции.
В качестве напрягаемой арматуры, дополнительно устанавливаемой из расчета по предельным состояниям второй группы, допускается использовать арматурные канаты, располагаемые в закрытых трубках без сцепления с бетоном.
6.7.15 Диаметр хомутов должен быть не менее 6 мм.
(п. 6.7.15 введен
Изменением N 2, утв. Приказом Минстроя России от 31.01.2022 N 59/пр)
6.8 Железобетонные каркасные здания
6.8.1 В каркасных зданиях конструкцией, воспринимающей горизонтальную сейсмическую нагрузку, могут служить: каркас; каркас с заполнением; каркас с вертикальными связями, диафрагмами или ядрами жесткости. В качестве несущих конструкций зданий высотой более девяти этажей следует использовать каркасы с диафрагмами, связями или ядрами жесткости.
Размеры выступов в здании (при наличии) в плане не должны превышать шага колонн.
При выборе конструктивных схем предпочтение следует отдавать схемам, в которых зоны пластичности возникают в первую очередь в горизонтальных элементах каркаса (ригелях, перемычках, обвязочных балках и т.п.).
6.8.2 В колоннах рамных каркасов многоэтажных зданий при расчетной сейсмичности 8 и 9 баллов шаг хомутов (кроме требований, изложенных в
6.7.9,
6.7.10) не должен превышать 1/2
h, а для рамно-связевых каркасов - не более
h, где
h - наименьший размер стороны колонн прямоугольного или двутаврового сечения. Диаметр хомутов в этом случае должен быть не менее 8 мм.
6.8.3 В вязаных каркасах концы хомутов необходимо загибать вокруг стержня продольной арматуры и заводить внутрь бетонного ядра не менее чем на 6d хомута, считая от оси продольного стержня. В угловых стержнях угол заведения должен быть 30° - 60°.
6.8.4 Элементы сборных колонн многоэтажных каркасных зданий по возможности следует укрупнять на несколько этажей. Стыки сборных колонн необходимо располагать в зоне с наименьшими изгибающими моментами. Не допускается стыкование продольной арматуры в сборных элементах колонн внахлестку без сварки.
6.8.5 Стыковать продольную арматуру монолитных колонн каркасных зданий следует в соответствии с требованиями
6.7.12. При стыковании арматуры сваркой следует применять соединения, выполняемые механизированной или ручной дуговой сваркой на стальной скобе-накладке. Для стержней арматуры диаметром до 22 мм включительно допускается стыкование дуговой сваркой продольными швами с парными накладками.
6.8.6 На опорных участках плит перекрытий число устанавливаемой поперечной арматуры, нормальной к плоскости плиты, определяют расчетом на продавливание и конструктивно. В обоих случаях стержни поперечной арматуры, ближайшие к контуру площадки передачи нагрузки, располагают на расстоянии не ближе 1/3h0 и не далее 1/2h0 от этого контура. Ширина зоны размещения расчетной или конструктивной поперечной арматуры в обоих осевых направлениях должна быть не менее 2h0, считая от контура площадки передачи нагрузки.
Поперечная арматура плиты должна состоять из стержней периодического профиля диаметром не менее 8 мм, которые следует соединять с продольной рабочей арматурой посредством контактной сварки или концевых отгибов (крюков). Шаг стержней поперечной арматуры принимают по нормам проектирования железобетонных конструкций.
6.8.7 Для железобетонных колонн многоэтажных каркасных зданий с арматурой классов А400 и А500 армирования рабочей продольной арматурой в любом сечении не должно превышать 6%, а с арматурой класса А600 - 4%.
Допускается более высокое насыщение колонн продольной арматурой при условии усиления приопорных участков колонн с помощью конструктивного косвенного армирования сварными сетками с ячейками размером не более 100 мм не менее четырех, располагаемыми с шагом 60 - 100 мм на длине (считая от торца элемента не менее 10d, где d - наибольший диаметр стержней продольной арматуры). Сетки из арматуры классов А400, А500, В500 должны быть диаметром не менее 8 мм.
6.8.8 Жесткие узлы железобетонных каркасов зданий должны быть усилены применением сварных сеток, спиралей или замкнутых хомутов.
Зону пересечения ригелей и колонн, а также участки ригелей и колонн, примыкающие к жестким узлам рам на расстоянии, равном полуторной высоте их сечения (но не более 1/4 высоты этажа или пролета ригеля), следует армировать замкнутой поперечной арматурой (хомутами), устанавливаемой по расчету, но не реже чем через 100 мм, а для рамных систем с несущими диафрагмами - не реже чем через 200 мм.
6.8.9 Диафрагмы, связи и ядра жесткости, воспринимающие горизонтальную нагрузку, должны быть непрерывными по всей высоте здания и располагаться в обоих направлениях равномерно и симметрично относительно центра тяжести здания. В каждом направлении следует устанавливать не менее двух диафрагм, расположенных в разных плоскостях. Допускается в верхних этажах здания уменьшать число и протяженность диафрагм при сохранении симметричности их расположения в пределах этажа. Изменение сдвиговой (изгибной) жесткости диафрагм соседних этажей при этом не должно превышать 20%, а длина каждой диафрагмы жесткости должна быть не менее высоты этажа. В каркасных железобетонных зданиях допускается применение рам-диафрагм и металлических связей.
6.8.10 При проектировании зданий с существенно меньшей жесткостью нижних этажей (здания с "гибким" нижним этажом) с расчетной сейсмичностью площадки строительства 8 и 9 баллов колонны "гибкого" этажа следует выполнять стальными или с жесткой арматурой.
6.8.11 Максимальные расстояния между осями колонн в каждом направлении при безбалочных плитах и безбалочных плитах с капителями следует принимать при сейсмичности 7 баллов - 7,2 м, при сейсмичности 8, 9 баллов - 6,0 м. Толщину перекрытий с капителями и без них безригельного каркаса следует принимать не менее 1/30 расстояния между осями колонн, класс бетона - не ниже B20.
По наружному контуру вертикальных несущих конструкций зданий перекрытия следует опирать на ригели в уровне каждого этажа. Допускается устройство перекрытий и ограждающих конструкций, выступающих за пределы основного каркаса частично или по периметру здания на консольных свесах. Конструкции узлов сопряжения стен и перекрытий должны удовлетворять требованиям
6.8.15.
6.8.12 При расчете прочности нормального сечения плиты безригельных бескапительных каркасов на действие изгибающего момента расчетную ширину сжатой зоны бетона следует принимать не более трехкратной ширины колонн. На этой расчетной ширине в каждом осевом направлении должно быть размещено не менее 50% общего количества продольной рабочей арматуры плиты, приходящейся на шаг колонн в направлении, перпендикулярном направлению арматуры, 10% площади всей рабочей арматуры, размещенной на указанной расчетной ширине плиты, необходимо пропустить сквозь тело колонны.
Не менее 30% всей расчетной продольной арматуры плиты следует устанавливать в форме групп каркасов, плоских вертикальных или пространственных прямоугольного или треугольного сечения. Такие каркасы в обоих осевых направлениях следует сосредотачивать в составе полос усиленного армирования над колоннами, где не менее двух плоских каркасов или двух верхних стержней пространственного каркаса должны быть пропущены сквозь тело колонны, а также в составе арматуры, проходящей через срединные участки пролетов. Непрерывность этих каркасов в пределах общих габаритов перекрытия должна быть обеспечена стыковыми сварными соединениями продольных стержней каркасов в соответствии с
6.7.12. Эти стыковые соединения должны располагаться в зонах минимальных изгибающих моментов по соответствующим осевым направлениям и иметь прочность не ниже нормативного сопротивления стыкуемых стержней.
Сборные каркасные здания, для которых невозможно выполнить данные требования, должны быть рассчитаны на устойчивость к прогрессирующему разрушению с использованием методик, согласованных в установленном порядке.
6.8.13 В качестве ограждающих стеновых конструкций каркасных зданий следует применять легкие навесные панели. Допускается устройство кирпичного или каменного заполнения, соответствующего требованиям
6.14.4,
6.14.5.
6.8.14 Применение самонесущих стен из каменной кладки допускается:
- при шаге пристенных колонн каркаса - не более 6 м;
- при высоте стен зданий, возводимых на площадках сейсмичностью 7, 8 и 9 баллов, - не более 12, 9 и 6 м соответственно.
6.8.15 Для обеспечения раздельной работы ненесущих и несущих конструкций при сейсмических воздействиях конструкция узлов сопряжения каменных стен и колонн, диафрагм и перекрытий (ригелей) должна исключать возможность передачи на них нагрузок, действующих в их плоскости. Прочность элементов стен и узлы их крепления к элементам каркаса должны соответствовать
5.5 и быть подтверждены расчетом на действие расчетных сейсмических нагрузок из плоскости.
Кладка самонесущих стен в каркасных зданиях должна иметь гибкие связи с каркасом, не препятствующие горизонтальным смещениям каркаса вдоль стен.
Между поверхностями стен и колонн каркаса должен предусматриваться зазор не менее 20 мм. В местах пересечения торцевых и поперечных стен с продольными стенами должны устраиваться антисейсмические швы на всю высоту стен.
По всей длине стен в уровне плит покрытия и верха оконных проемов должны устраиваться антисейсмические пояса, соединенные с каркасом здания.
6.8.16 При проектировании каркасных зданий кроме деформаций изгиба и сдвига в стойках каркаса необходимо учитывать осевые деформации, а также должен быть выполнен расчет на устойчивость против опрокидывания.
6.8.17 Стены из штучной кладки поэтажной разрезки и узлы их крепления могут конструироваться как заполнение, участвующее в работе каркаса, либо как заполнение, отделенное от каркаса. Заполнение, участвующее в работе каркаса, рассчитывают и конструируют как несущую стену.
6.8.18 Конструкции узлов примыканий элементов ненесущих стен, отделенных от каркаса, к несущим конструкциям здания должны исключать возможность передачи на них нагрузок, действующих в их плоскости. Прочность элементов стен такой конструкции и узлов их крепления к элементам каркаса должна быть подтверждена расчетом на действие сейсмических нагрузок из плоскости. В узлах примыкания участков ненесущих стен различных направлений должны быть предусмотрены вертикальные антисейсмические швы толщиной не менее 20 мм, заполненные эластичным материалом.
6.8.19 Железобетонные каркасы одноэтажных зданий в поперечном направлении рекомендуется проектировать, как правило, по конструктивной схеме в виде стоек, защемленных в фундаментах и с шарнирным сопряжением с ригелями покрытия. Для районов сейсмичностью 7 баллов пролеты, стропильные и подстропильные конструкции принимают как для несейсмических районов. Для районов сейсмичностью 8 и 9 баллов пролеты принимают 24,0 и 12 м соответственно. Шаг стропильных конструкций принимают для районов сейсмичностью 8 баллов - 6,0 и 12 м, для районов сейсмичностью 9 баллов - 6,0 м; подстропильные конструкции не применяются.
6.9 Особенности проектирования зданий со стальным каркасом
6.9.1 Стальные колонны многоэтажных каркасов рамного типа следует проектировать замкнутого (коробчатого или круглого) сечения, равноустойчивого относительно главных осей инерций, а колонны рамно-связевых каркасов - двутаврового, крестового или замкнутого сечений.
Ригели стальных каркасов следует проектировать из прокатных или сварных двутавров, в том числе с гофрированной стенкой.
6.9.2 Стыки колонн следует, как правило, относить от узлов и устраивать в зоне действия наименьших изгибающих моментов.
В колоннах рамных каркасов на уровне ригелей должны быть установлены поперечные ребра жесткости. Зоны развития пластических деформаций в элементах стальных конструкций должны быть вынесены за пределы сварных и болтовых соединений.
6.9.3 При применении для ригелей рам сварных двутавров с плоской стенкой ее гибкость hw/tw (где hw и tw - высота и толщина стенки соответственно) должна быть не более 50.
Свес поясов сечений ригелей не должен превышать значения

, где
tf - толщина пояса;
E и
Ry - модуль упругости и расчетное сопротивление стали соответственно.
6.9.4 Опорные сечения ригелей стальных каркасов многоэтажных зданий следует развивать за счет увеличения ширины полок или устройства вутов в целях снижения напряжений в сварных соединениях в зоне примыкания ригелей к колоннам. Допускается стыки ригелей с колоннами выполнять на высокопрочных болтах без увеличения опорных сечений ригелей.
6.9.5 Для элементов, работающих в упругопластической стадии, следует применять малоуглеродистые и низколегированные стали с относительным удлинением не менее 20%.
6.9.6 При проектировании одноэтажных производственных зданий с рамами в поперечном направлении и вертикальными связями по колоннам в продольном направлении вертикальные связи необходимо располагать по каждому продольному ряду колонн здания.
6.9.7 Для обеспечения пространственной жесткости и устойчивости покрытия и его элементов следует предусматривать систему связей между несущими конструкциями покрытия (фермами) в плоскости верхних и нижних поясов, а также в вертикальных плоскостях.
6.10 Крупнопанельные здания
6.10.1 Крупнопанельные здания следует проектировать с продольными и поперечными стенами, объединенными между собой перекрытиями и покрытиями в единую пространственную систему, воспринимающую сейсмические нагрузки.
При проектировании крупнопанельных зданий необходимо:
- предусматривать панели стен и перекрытий, как правило, размером на комнату;
- осуществлять вертикальные и горизонтальные стыковые соединения панелей продольных и поперечных стен между собой и с панелями перекрытий (покрытий) сваркой арматурных выпусков, закладных деталей или на болтах и замоноличиванием вертикальных и горизонтальных стыков мелкозернистым бетоном класса не ниже B15 и не ниже класса бетона панелей. Все замоноличиваемые торцевые стыкуемые грани панелей стен и перекрытий (покрытий) следует выполнять с рифлеными или зубчатыми поверхностями. Глубину (высоту) шпонок и зубьев принимают не менее 40 мм;
- при опирании перекрытий на наружные стены здания и стены у антисейсмических швов предусматривать охват вертикальной арматуры стеновых панелей арматурой швов, приваренной к выпускам арматуры плит перекрытия.
При соответствующем обосновании допускается выполнять вертикальные стыковые соединения стен на закладных деталях, без устройства замоноличиваемых вертикальных колодцев и рифленых поверхностей граней панелей стен. Допускается к применению для поэтажной стыковки элементов панельного здания винтовая арматура, в том числе предварительно напряженная, со стяжными муфтами и контргайками.
(в ред.
Изменения N 2, утв. Приказом Минстроя России от 31.01.2022 N 59/пр)
6.10.2 Армирование стеновых панелей следует выполнять двухсторонним, в виде пространственных каркасов или арматурных сеток. Площадь вертикальной и горизонтальной арматуры, устанавливаемой у каждой плоскости панели, должна составлять не менее 0,05% площади соответствующего сечения стены.
Толщину внутреннего несущего слоя многослойных панелей следует определять по результатам расчета и принимать не менее 100 мм.
Закладные детали, служащие для соединения панелей между собой, должны быть приварены к рабочей арматуре.
6.10.3 В местах пересечения стен должна быть размещена вертикальная арматура, непрерывная на всю высоту здания. Соединение отдельных стержней следует выполнять с помощью сварки или механических муфтовых соединений. Сварку соединений следует выполнять в соответствии с
6.7.12. Вертикальную арматуру также следует устанавливать по граням дверных и оконных проемов и при регулярном расположении проемов поэтажно стыковать. Площадь поперечного сечения арматуры, устанавливаемой в стыках и по граням проемов, следует определять по расчету, но принимать не менее 2 см
2.
(в ред.
Изменения N 2, утв. Приказом Минстроя России от 31.01.2022 N 59/пр)
В местах пересечения стен допускается размещать в наружных панелях не более 60% расчетного количества вертикальной арматуры с размещением остальной части арматуры во внутренних стеновых панелях на участке не более 1 м от места пересечения стен (за исключением конструктивной арматуры).
6.10.4 Решения стыковых соединений должны обеспечивать восприятие расчетных усилий растяжения и сдвига. Сечение металлических связей в стыках панелей (горизонтальных и вертикальных) определяют расчетом, но их минимальное сечение должно быть не менее 1 см2 на 1 пог. м шва.
6.10.5 Встроенные лоджии выполняют длиной, равной расстоянию между соседними несущими стенами. В зданиях на площадках сейсмичностью 8 и 9 баллов в плоскости наружных стен в местах размещения лоджий следует предусматривать устройство железобетонных рам. В зданиях высотой до пяти этажей при расчетной сейсмичности 7 и 8 баллов допускается устройство пристроенных лоджий с выносом не более 1,5 м и связанных с основными стенами металлическими связями.
6.11 Здания с несущими стенами из монолитного железобетона
6.11.1 К монолитным зданиям помимо зданий, все стены и перекрытия которых выполняют из монолитного бетона, относятся также здания, наружные стены которых, а также отдельные участки внутренних стен и перекрытий монтируют из сборных элементов.
6.11.2 Монолитные здания следует проектировать, как правило, в виде перекрестностеновой системы с несущими или ненесущими наружными стенами. Жесткость верхнего этажа здания должна быть не менее 50% жесткости нижележащего этажа.
При технико-экономическом обосновании монолитные здания возможно проектировать ствольно-стеновой конструкции с одним или несколькими стволами.
6.11.3 Внутренние поперечные и продольные стены зданий на площадках сейсмичностью 8 и 9 баллов должны быть без изломов в плане в пределах стены. Максимальное расстояние между несущими стенами не должно превышать 7,2 м. В зданиях с ненесущими наружными стенами должно быть не менее двух внутренних продольных и поперечных стен.
6.11.4 Выступ части наружных стен в плане не должен превышать 6 м для зданий с расчетной сейсмичностью 7 и 8 баллов и 3 м для зданий с расчетной сейсмичностью 9 баллов.
6.11.5 Перекрытия могут быть монолитными, сборными и сборно-монолитными.
6.11.6 Стены лоджий следует выполнять как продолжение несущих стен.
6.11.7 При расчете конструкций следует проверять прочность горизонтальных и наклонных сечений глухих стен и простенков, вертикальных сопряжений стен, нормальных сечений в опорных зонах перемычек, сечений по полосе между возможными наклонными трещинами и по наклонной трещине.
6.11.8 Следует предусматривать конструктивное армирование по полю стен вертикальной и горизонтальной арматурой площадью сечения у каждой плоскости стены не менее 0,1% площади соответствующего сечения стены, в пересечениях стен, местах резкого изменения толщины стены, у граней проемов - арматурой площадью сечения не менее 2 см2, объединенной замкнутым хомутом с шагом не более 400 мм.
(п. 6.11.8 в ред.
Изменения N 2, утв. Приказом Минстроя России от 31.01.2022 N 59/пр)
6.11.9 Армирование монолитных стен следует, как правило, выполнять пространственными каркасами, собираемыми из плоских вертикальных каркасов и горизонтальных стержней или плоских горизонтальных каркасов.
В пространственных каркасах, применяемых для армирования поля стен, диаметр вертикальной арматуры должны быть не менее 10 мм, а горизонтальной - не менее 8 мм. Шаг горизонтальных стержней, объединяющих каркасы, не должен превышать 400 мм. Армирование широких простенков можно выполнять диагональными каркасами.
6.11.10 Стыкование стержней и арматурных каркасов при бетонировании конструкций монолитных зданий (кроме колонн, если они присутствуют) допускается осуществлять:
- внахлестку без сварки - в зонах сейсмичностью 7 и 8 баллов при диаметре стержней до 20 мм;
- внахлестку без сварки, но с "лапками" или с другими анкерными устройствами на концах стержней - в зонах сейсмичностью 9 баллов.
При диаметре стержней 20 мм и более соединение стержней и каркасов следует выполнять с помощью сварки или специальных механических соединений (опрессованных и резьбовых муфт) независимо от сейсмичности площадки.
6.11.11 Перемычки следует армировать пространственными каркасами и заводить их арматуру за грань проема по требованиям
СП 63.13330 с учетом дополнительных требований настоящего свода правил, но не менее чем на 500 мм. Высокие перемычки допускается армировать диагональными каркасами.
Шаг поперечных стержней пространственных каркасов перемычек следует принимать не более 10d (d - диаметр продольных стержней) и не более 150 мм. Диаметр поперечных стержней следует принимать не менее 8 мм.
6.11.12 Вертикальные стыковые соединения стен следует армировать горизонтальными арматурными стержнями, площадь которых определяется расчетом, но должна быть не менее 0,5 см2 на 1 пог. м шва в зданиях до пяти этажей на территориях с расчетной сейсмичностью 7 и 8 баллов и не менее 1 см2 на 1 пог. м шва в остальных случаях.
6.12 Объемно-блочные и панельно-блочные здания
6.12.1 Объемно-блочные и панельно-блочные здания следует проектировать из цельноформованных или сборных объемных блоков и панелей, изготовляемых из тяжелого или легкого бетона класса не менее B15, объединенных в единую пространственную систему, воспринимающую сейсмические воздействия.
6.12.2 Объединение объемных блоков в единую пространственную систему может осуществляться одним из следующих способов:
- сварка закладных деталей или арматурных выпусков из стен и перекрытий объемных блоков;
- устройство в вертикальных полостях между стенами объемных блоков монолитных бетонных или железобетонных шпонок;
- устройство горизонтальных обвязочных балок в уровнях междуэтажных перекрытий и покрытия;
- замоноличивание стыков по вертикальным и горизонтальным швам мелкозернистым бетоном с пониженной усадкой;
- обжатие столбов объемных блоков вертикальной арматурой, напрягаемой в построечных условиях.
6.12.3 В объемно-блочных зданиях наряду с объемными блоками для восприятия сейсмических нагрузок допускается применять "скрытый" монолитный железобетонный каркас и диафрагмы жесткости, расположенные в вертикальных полостях между блоками.
6.12.4 Плита потолка блока должна быть плоской со вспарушенностью в середине не менее 20 мм. Толщину ее на опорах и в середине принимают по расчету, но не менее 50 мм (в среднем).
6.12.5 Плиты пола и стены объемных блоков следует устраивать часторебристыми или гладкими однослойными или многослойными. Толщина плоских однослойных стен и несущих слоев многослойных стен должна быть не менее 100 мм.
6.12.6 Толщина полок ребристых стен должна быть не менее 50 мм, а высота ребер, включая толщину полок, - не менее 100 мм.
6.12.7 Армирование объемных блоков следует выполнять двухсторонним, в виде пространственных каркасов, сварных сеток и отдельными стержнями, объединенными в единый арматурный пространственный блок. Допускается выполнять армирование плоских стен одинарным в виде плоской сварной сетки.
Площадь вертикальной и горизонтальной арматуры, устанавливаемой у каждой плоскости панели для арматуры каждого вида, должна составлять не менее 0,1% площади соответствующего сечения плиты.
(в ред.
Изменения N 2, утв. Приказом Минстроя России от 31.01.2022 N 59/пр)
6.12.8 Объемные блоки с одинарным армированием трех плоских стен допускается применять:
- в зданиях со скрытым монолитным каркасом независимо от этажности;
- в зданиях других типов - высотой не более пяти этажей при расчетной сейсмичности 7, 8 баллов и не более трех этажей - при расчетной сейсмичности 9 баллов.
6.12.9 Поэтажное опирание объемных блоков должно быть, как правило, по всей длине несущих стен. В зданиях до пяти этажей при расчетной сейсмичности 7 и 8 баллов и до трех этажей при расчетной сейсмичности 9 баллов допускается опирание блоков только по углам. При этом длина зоны опирания должна быть не менее 300 мм в каждую сторону от угла.
6.12.10 В зданиях более двух этажей, как правило, должно быть не менее одной внутренней стены. При этом в наружных стенах допускается применять блоки различных типоразмеров, выступающие или западающие на длину до 1,5 м.
6.12.11 Выступ части наружных стен здания в плане не должен превышать 6,0 м.
6.12.12 Конструктивные решения вертикальных и горизонтальных связей должны обеспечивать восприятие расчетных усилий. Необходимое сечение металлических связей определяют расчетом, но принимают не менее:
- вертикальных - 30 мм2 на 1 пог. м горизонтального шва между смежными по высоте блоками при сейсмичности 7 и 8 баллов и 50 - при сейсмичности 9 баллов;
- горизонтальных - 150 мм2 на 1 пог. м горизонтального шва между смежными в плане блоками.
При этом связи между смежными блоками допускается выполнять сосредоточенными по углам блоков.
В расчетах трение в горизонтальных стыковых соединениях не учитывают.
6.12.13 Размеры поперечного сечения элементов "скрытого" монолитного каркаса (колонн и ригелей) определяют расчетом, но они должны быть не менее 160 x 200 мм. Армирование колонн и ригелей "скрытого" каркаса должно осуществляться пространственными каркасами. При этом колонны должны иметь продольную арматуру не менее 4d12 класса А400, ригели - 4d10 при расчетной сейсмичности 7 и 8 баллов и не менее 4d12 при расчетной сейсмичности 9 баллов.
Класс бетона элементов "скрытого" каркаса должен быть не ниже B15.
6.12.14 Толщина монолитных диафрагм жесткости, выполняемых в полостях между блоками, должна быть не менее 100 мм. Армирование монолитных диафрагм жесткости допускается выполнять одинарными сетками.
6.12.15 Конструктивные решения диафрагм жесткости и элементов "скрытого" каркаса должны обеспечивать их совместную работу с объемными блоками.
6.12.16 При проектировании панельно-блочных зданий необходимо:
- предусматривать панели стен и перекрытий размером на комнату;
- соединять панели стен и перекрытий между собой и с блоками путем сварки выпусков арматуры, анкерных стержней или закладных деталей и замоноличивания вертикальных колодцев и участков стыков по горизонтальным швам мелкозернистым бетоном с пониженной усадкой;
- предусматривать сварные соединения выпусков арматуры из панелей перекрытий с вертикальной арматурой стеновых панелей при опирании перекрытий на наружные стены и стены у температурных швов.
6.12.17 При устройстве в объемно-блочных и панельно-блочных зданиях системы сейсмоизоляции со сваркой закладных деталей или арматурных выпусков из стен и перекрытий объемных блоков без мероприятий по устройству скрытого железобетонного каркаса изоляция должна выполняться по принципу "полной изоляции". Пластические деформации и образование пластических шарниров в изолированных частях таких зданиях не допускается.
(п. 6.12.17 введен
Изменением N 2, утв. Приказом Минстроя России от 31.01.2022 N 59/пр)
6.13 Здания со стенами из крупных блоков
6.13.1 Стеновые блоки могут быть выполнены из бетонов, в том числе легких, а также изготовлены из кирпича или других штучных материалов с применением вибрирования в формах на вибростоле. Требуемое значение нормального сцепления кирпича (камня) с раствором в блоках определяют расчетом, но оно не должно быть менее 120 кПа.
Блоки наружных стен могут быть однослойными или многослойными.
6.13.2 Стены из крупных блоков могут быть:
а) двухрядной и многорядной разрезки. Усилия в швах воспринимаются силами трения и шпонками. Число надземных этажей в таких зданиях не должно превышать трех на площадках сейсмичностью 7 баллов и одного на площадках сейсмичностью 8 баллов;
б) двухрядной или трехрядной разрезки, соединяемые между собой с помощью сварки закладных деталей или арматурных выпусков;
в) многорядной разрезки, усиленные вертикальными железобетонными включениями.
6.13.3 Стеновые блоки должны быть армированы пространственными каркасами. Вертикальную арматуру в блоках устанавливают по расчету, но не менее 2d8 класса А240 по каждой боковой грани. Неармированные блоки допускаются на площадках сейсмичностью 7 баллов в зданиях высотой до трех этажей, а на площадках сейсмичностью 8 баллов - в одноэтажных зданиях. Стеновые блоки (как для наружных, так и для внутренних стен) следует применять только с пазами или четвертями на торцевых вертикальных гранях.
Блоки следует соединять между собой сваркой закладных деталей или выпусков арматуры. Вертикальная арматура по торцам простеночных блоков, в том числе на глухих участках стен, должна быть соединена с выпусками арматуры из фундамента, вертикальной арматурой вышележащих и нижележащих простеночных блоков, в том числе блоков смежных этажей, и заанкерена в антисейсмическом поясе перекрытия верхнего этажа.
6.13.4 Антисейсмические пояса в крупноблочных зданиях могут быть монолитными или сборно-монолитными из армированных блоков-перемычек. Блоки-перемычки соединяют между собой в двух уровнях по высоте путем сварки выпусков арматуры или закладных деталей с последующим замоноличиванием.
6.13.5 В уровне перекрытий и покрытий, выполненных из сборных железобетонных плит, по всем стенам должны быть устроены антисейсмические пояса из монолитного бетона, объединяющие выпуски арматуры из торцов плит перекрытий и выпуски из поясных блоков. Ширина пояса должна быть не менее 90 мм, высота - соответствовать толщине плит перекрытий, класс бетона - не ниже B12,5. При подборе арматуры антисейсмических поясов допускается учитывать продольную арматуру поясных блоков.
6.13.6 Связь между продольными и поперечными стенами обеспечивают тщательным бетонированием вертикальных пазов примыкающих блоков, укладкой арматурных сеток в каждом горизонтальном растворном шве и антисейсмическими поясами.
6.13.7 Стержни вертикальной арматуры должны быть установлены на всю высоту здания в углах, местах изломов стен в плане и сопряжений наружных стен с внутренними, в обрамлении проемов во внутренних стенах, по длине глухих стен не более чем через 3 м, по длине наружных стен - в обрамлении простенков.
При непрерывном вертикальном армировании продольную арматуру пропускают через отверстия в поясных блоках и стыкуют сваркой. Пазы в блоках в местах установки вертикальной арматуры следует заделывать бетоном на мелком щебне класса не менее B15 с вибрированием.
6.13.8 Для повышения сейсмостойкости зданий из крупных блоков следует устраивать вертикальные железобетонные включения в местах пересечения и по свободным торцевым граням стен. Для повышения горизонтальной жесткости глухих участков стен в вертикальных швах между простеночными блоками допускается также устраивать бетонные шпонки и сварные связи выпусков горизонтальной арматуры соседних блоков.
6.14 Здания со стенами из кирпича или каменной кладки
6.14.1 Для возведения стен из каменной кладки применяют керамические кирпичи и камни, бетонные блоки, природные камни правильной формы и мелкие блоки.
Несущие каменные стены следует возводить из кладки на растворах со специальными добавками, повышающими сцепление раствора с кирпичом или камнем. Вертикальные швы кладки следует заполнять раствором, за исключением кладки из кирпича и камней с пазогребневыми соединениями.
При расчетной сейсмичности 7 баллов допускается возведение несущих стен зданий из кладки на растворах с пластификаторами без применения специальных добавок, повышающих прочность сцепления раствора с кирпичом или камнем.
6.14.2 Запрещается при отрицательной температуре выполнение кладки несущих, самонесущих стен, заполнение каркаса и перегородок, в том числе усиленных армированием или железобетонными включениями, из кирпича (камня, блоков) при возведении зданий на площадках сейсмичностью 9 баллов и более.
При расчетной сейсмичности 8 баллов и менее допускается выполнение зимней кладки с обязательным включением в раствор добавок, обеспечивающих твердение раствора при отрицательных температурах.
Допускается ведение кладки в сейсмических районах при отрицательной температуре воздуха из подогретого до положительной температуры кирпича (камня, блока) на растворах без противоморозных добавок с дальнейшим укрыванием и выдержкой при положительной температуре до набора прочности раствором не менее 20% проектной.
6.14.3 Расчет каменных конструкций следует проводить на одновременное действие горизонтально и вертикально направленных сейсмических сил.
Значение вертикальной сейсмической нагрузки при расчетной сейсмичности 7 - 8 баллов должно быть 15%, а при сейсмичности 9 баллов - 30% соответствующей вертикальной статической нагрузки.
Направление действия вертикальной сейсмической нагрузки (вверх или вниз) следует принимать более невыгодным для напряженного состояния рассматриваемого элемента.
6.14.4 Для кладки несущих и самонесущих стен или заполнения каркаса применяют следующие изделия и материалы:
а) полнотелый и пустотелый кирпич, керамические камни и блоки марки не ниже М100.
Изделия с пустотами должны иметь: диаметр вертикальных пустот - не более 20 мм, стороны квадратных пустот - не более 22 мм, ширину щелевых пустот - не более 16 мм. Внутренние перегородки камня, параллельные плоскости стены, должны быть непрерывными. Пустотность изделий для кладки несущих и самонесущих стен без железобетонных включений или обойм (рубашек) не должна превышать 25%; не допускается применение керамических камней, имеющих пустоты со значением углов между внутренними перегородками разных направлений, отличным от 90°, на площадках сейсмичностью более 7 баллов;
б) камни и блоки правильной формы из ракушечников, известняков марки не ниже М35 или туфов (кроме фельзитового) марки М50 и выше;
в) для несущих стен следует применять бетонные камни, сплошные и пустотелые блоки из легкого и ячеистого бетонов классов по прочности на сжатие не ниже B3,5, марок по средней плотности не ниже D600; для самонесущих стен - классов по прочности на сжатие не ниже B2,5, марок по средней плотности не ниже D500.
Для возведения перегородок и ненесущих стен допускается применение кирпича и керамических камней марки не ниже М75 без ограничения размеров и пустот и гипсовых пазогребневых плит.
Штучная кладка стен должна выполняться на смешанных цементных растворах марки не ниже М25 в летних условиях и не ниже М50 в зимних или на специальных клеях. Для кладки блоков следует применять раствор марки не ниже М50 и специальные клеи.
6.14.5 Кладки в зависимости от их сопротивляемости сейсмическим воздействиям подразделяют на категории.
Категория кирпичной или каменной кладки, выполненной из материалов, предусмотренных
6.14.4, определяется

сопротивлением осевому растяжению по неперевязанным швам (нормальное сцепление), значение которого должно быть в пределах:

- для кладки категории I;

- для кладки категории II.
Для повышения

сопротивления осевому растяжению по неперевязанным швам (нормальное сцепление)

следует применять растворы с добавками.
(в ред.
Изменения N 2, утв. Приказом Минстроя России от 31.01.2022 N 59/пр)
Требуемое значение

необходимо указывать в проекте. При проектировании значение

следует назначать в зависимости от результатов испытаний, проводимых в районе строительства.
При невозможности получения на площадке строительства (в том числе на растворах с добавками, повышающими прочность их сцепления с кирпичом или камнем) значения

применение кирпичной или каменной кладки не допускается.
Примечание - При расчетной сейсмичности 7 баллов допускается применение кладки из естественного камня при

. При этом высота здания должна быть не более трех этажей, ширина простенков - не менее 0,9 м, ширина проемов - не более 2 м, а расстояния между осями стен - не более 12 м.
Проектом производства каменных работ должны предусматриваться мероприятия по уходу за твердеющей кладкой, учитывающие климатические особенности района строительства. Эти мероприятия должны обеспечивать получение необходимых прочностных показателей кладки.
(в ред.
Изменения N 2, утв. Приказом Минстроя России от 31.01.2022 N 59/пр)
6.14.6 Значения расчетных сопротивлений кладки
Rt,
Rsq,
Rtw по перевязанным швам должны соответствовать
СП 15.13330, а по неперевязанным швам - определяют по формулам (6.1) -
(6.3) в зависимости от значения

, полученного в результате испытаний, проводимых в районе строительства:

(6.1)

(6.2)

(6.3)
Значения Rt, Rsq, Rtw не должны превышать соответствующих значений для кирпича или камня при разрушении кладки.
6.14.7 Высота этажа зданий с несущими стенами из кирпичной или каменной кладки, не усиленной армированием или железобетонными включениями, не должна превышать при расчетной сейсмичности 7, 8 и 9 баллов 5; 4 и 3,5 м соответственно.
При усилении кладки армированием или железобетонными включениями высоту этажа допускается принимать равной 6; 5 и 4,5 м соответственно.
При этом отношение высоты этажа к толщине стены должно быть не более 12.
6.14.8 Для зданий с неполным каркасом при расчетной сейсмичности 7 - 8 баллов допускается применение наружных каменных стен и внутренних железобетонных или металлических рам (стоек), при этом должны выполняться требования, установленные для каменных зданий. Высота таких зданий не должна превышать 7 м.
6.14.9 В зданиях с несущими стенами шириной более 6,4 м кроме наружных продольных стен, как правило, должно быть не менее одной внутренней продольной стены. Расстояния между осями поперечных стен или заменяющих их рам должны проверяться расчетом и быть не более приведенных в таблице 6.2. Суммарная длина заменяющих рам должна быть не более 25% суммарной длины внутренних стен того же направления. Не допускается устройство двух рядом расположенных заменяющих рам одного направления.
В зданиях из мелких ячеисто-бетонных блоков расстояние между стенами независимо от расчетной сейсмичности не должно превышать 9 м.
Таблица 6.2
Расстояния между осями поперечных стен или заменяющих их рам
Расчетная сейсмичность, баллы | Расстояние между осями поперечных стен или заменяющих их рам, м |
7 | 18 |
8 | 15 |
9 | 12 |
6.14.10 Размеры элементов стен каменных зданий следует определять расчетом. Они должны соответствовать требованиям, приведенным в таблице 6.3.
Таблица 6.3
Размеры элементов несущих и самонесущих стен каменных зданий
Элемент стены | Размер элемента стены, м, при расчетной сейсмичности, баллы | Примечание |
7 | 8 | 9 |
1 Простенки шириной, не менее, при кладке: | | | | Ширину угловых простенков следует принимать на 25 см больше указанной. |
- категории I | 0,64 | 0,9 | 1,16 | Простенки меньшей ширины необходимо усиливать железобетонным обрамлением |
- категории II | 0,77 | 1,16 | 1,55 |
2 Проемы шириной, не более | 3,5 | 3 | 2,5 | Проемы большей ширины следует окаймлять железобетонной рамкой |
3 Отношение ширины простенка к ширине проема, не менее | 0,33 | 0,5 | 0,75 | - |
4 Выступ стен в плане, не более | 2 | 1 | - | - |
5 Вынос карнизов, не более: | | | | |
- из материала стен | 0,2 | 0,2 | 0,2 | |
- из железобетонных элементов, связанных с антисейсмическими поясами | 0,4 | 0,4 | 0,4 | Вынос деревянных неоштукатуренных карнизов допускается до 1 м |
- из деревянных, оштукатуренных по металлической сетке | 0,75 | 0,75 | 0,75 | |
6.14.11 В уровне перекрытий и покрытий следует устраивать антисейсмические пояса по всем продольным и поперечным стенам, выполняемые из монолитного железобетона или сборные с замоноличиванием стыков и непрерывным армированием. Антисейсмические пояса верхнего этажа должны быть связаны с кладкой вертикальными выпусками арматуры.
В зданиях с монолитными железобетонными перекрытиями, заделанными по контуру в стены, антисейсмические пояса в уровне этих перекрытий не устраивают.
6.14.12 Антисейсмический пояс (с опорным участком перекрытия) следует устраивать, как правило, на всю ширину стены; в наружных стенах толщиной 500 мм и более ширина пояса может быть меньше на 100 - 150 мм. Высота пояса должна быть не менее 150 мм, класс бетона - не ниже B12,5.
Продольная арматура поясов устанавливается по расчету, но не менее 4d10 при расчетной сейсмичности 7 - 8 баллов и не менее 4d12 - при 9 баллах.
6.14.13 В сопряжениях стен в кладку должны укладываться арматурные сетки сечением продольной арматуры общей площадью не менее 1 см2, длиной 1,5 м через 700 мм по высоте при расчетной сейсмичности 7 - 8 баллов и через 500 мм - при 9 баллах.
Участки стен и столбы над чердачным перекрытием высотой более 400 мм должны быть армированы или усилены монолитными железобетонными включениями, заанкеренными в антисейсмический пояс. Стены по верху должны иметь обвязочный железобетонный пояс, связанный с вертикальными железобетонными сердечниками.
Кирпичные столбы допускаются только при расчетной сейсмичности 7 баллов. При этом марка раствора должна быть не ниже М50, а высота столбов - не более 4 м. В двух направлениях столбы следует связывать заанкеренными в стены балками.
6.14.14 Сейсмостойкость каменных стен здания следует повышать сетками из арматуры, созданием комплексной конструкции, предварительным напряжением кладки или другими экспериментально обоснованными методами.
Кладки следует армировать сетками в горизонтальных швах и отдельными вертикальными стержнями или каркасами, размещаемыми в теле кладки или штукатурных слоях. Вертикальная арматура должна быть непрерывной и соединяться с антисейсмическими поясами. Не допускается соединение арматуры внахлест без сварки. В случае размещения вертикальной арматуры в штукатурных слоях она должна быть связана с кладкой хомутами, расположенными в горизонтальных швах кладки.
Вертикальные железобетонные элементы (сердечники) должны соединяться с антисейсмическими поясами.
Железобетонные включения в кладку комплексных конструкций, открытые не менее чем с одной стороны, следует устраивать с минимальным размером сечения не менее 120 мм.
При устройстве закрытых железобетонных сердечников минимальный размер их сечения должен быть не менее 150 мм. При этом необходимо предусматривать конструктивные мероприятия, обеспечивающие контроль заполнения бетоном железобетонных сердечников.
При проектировании стен комплексной конструкции из кирпича усиленные монолитными железобетонными включениями антисейсмические пояса и их узлы сопряжения со стойками следует рассчитывать и конструировать как элементы каркасов с учетом работы заполнения. В этом случае предусмотренные для бетонирования стоек пазы должны быть открытыми не менее чем с двух сторон. Если стены комплексной конструкции из кирпича выполняют с железобетонными включениями по торцам простенков, продольная арматура должна быть надежно соединена хомутами, уложенными в горизонтальных швах кладки. Бетон включений должен быть класса не ниже B12,5, кладка должна выполняться на растворе марки не ниже М50, а количество продольной арматуры не должно превышать 0,8% площади сечения бетона простенков.
Примечание - Несущую способность железобетонных включений, расположенных по торцам простенков, учитываемую при расчете на сейсмическое воздействие, не следует учитывать при расчете сечений на основное сочетание нагрузок.
6.14.15 В зданиях с несущими стенами в первых этажах, которые используют в качестве магазинов и других помещений, требующих большой свободной площади, следует применять железобетонные или стальные несущие конструкции.
6.14.16 Перемычки следует устраивать на всю толщину стены и заделывать в кладку на глубину не менее 350 мм. При ширине проема до 1,5 м заделка перемычек допускается на глубину 250 мм. В ненесущих (навесных) стенах заделка перемычек допускается на глубину 200 мм.
(в ред.
Изменения N 2, утв. Приказом Минстроя России от 31.01.2022 N 59/пр)
6.15.1 Деревянные здания в сейсмических районах допускается проектировать каркасными, панельными, брусчатыми и бревенчатыми
(СП 64.13330).
6.15.2 В каркасных и панельных зданиях сейсмическую нагрузку воспринимают вертикальные и горизонтальные элементы каркаса в сочетании с раскосами и обшивками.
6.15.3 Шаг стоек рекомендуется принимать не более 3 м. Каждая стойка должна крепиться к фундаменту анкерными болтами и иметь металлические связи с соответствующими им стойками по высоте здания и элементами горизонтальных обвязок в уровне перекрытий.
6.15.4 Перекрытия каркасных зданий могут выполняться с балками из сплошных или клеевых брусьев, круглых или окантованных бревен. Перекрытия панельных зданий могут выполняться из панелей или отдельных балок. В уровне перекрытий каркасных и панельных зданий по всем несущим стенам должны быть устроены непрерывные обвязки. Элементы обвязки должны соединяться между собой по всему контуру, включая угловые стыки, металлическими накладками на болтах или стяжками. Каждая балка перекрытия должна крепиться металлическими связями с балками примыкающего участка перекрытия и горизонтальными обвязками по контуру стен здания.
6.15.5 Жесткость стен и перекрытий каркасных и панельных зданий должна быть обеспечена раскосами, обшивкой из конструктивной фанеры или диагональной обшивкой из шпунтованных досок.
6.15.6 Конструкция панелей должна включать в себя контурную обвязку из брусьев с раскосами и обшивки из конструктивной фанеры или диагональные обшивки из шпунтованных досок. Каждая панель должна по всем углам быть связана с примыкающими панелями и горизонтальными обвязками в уровне перекрытий. Должны быть выполнены связи между вертикальными элементами обвязок панелей соседних этажей. Допускается конструктивно объединять связи панелей соседних этажей и их связи с обвязками в уровне перекрытий. Панели нижнего ряда должны быть связаны с фундаментом анкерными болтами. Допускается устанавливать один анкерный болт на две примыкающие стойки обрамления соседних панелей. Связи панелей между собой следует выполнять на болтах. Рекомендуется увеличивать жесткость панельных зданий креплением участка обшивки, выпущенной за контур обвязки панели стены или перекрытия, к обвязке примыкающей панели.
6.15.7 Жесткость стен из брусьев или бревен должна обеспечиваться постановкой стальных нагелей или шипов из древесины твердых пород по всей площади стен в шахматном порядке не реже 700 мм по длине, а также у углов и в пересечениях стен, на участках, примыкающих к оконным и дверным проемам.
6.15.8 Оконные и дверные проемы следует обрамлять жесткими вертикальными элементами, рассчитанными на восприятие сейсмических нагрузок из плоскости стены.
6.15.9 Венцы выше чердачного перекрытия, на которые должны опираться стропила, следует скреплять сквозными нагелями. Верхние венцы в углах и пересечениях следует объединять угловыми балками на врезках и сквозных нагелях.
6.15.10 В углах и пересечениях стен следует устанавливать сжимы в виде вертикальных стоек с обеих сторон, объединенных стяжными болтами с шагом по высоте не более 1,5 м. При этом отверстия под болты в сжимах следует выполнять продолговатыми, не препятствующими осадке срубов. Стойки рекомендуется выполнять неразрезными на всю высоту здания. Сжимы также необходимо ставить у проемов с пролетом более 1,5 м и на участках стен длиной более 6 м.
6.15.11 Пригонка венцов должна быть плотной. При сейсмичности 8 и 9 баллов следует применять врубку в полдерева с остатком не менее 250 мм или без остатка с усилением углов плоскими уголками жесткости с прошивкой их гвоздями. В районах с расчетной сейсмичностью 7 баллов допускается врубка в полдерева с прошивкой двумя нагелями в узле по осям брусьев или впритык.
6.15.12 В рубленых домах балки перекрытия следует соединять со стенами врубкой, а в районах сейсмичностью 9 баллов балки перекрытий должны скрепляться стальными гнутыми металлическими полосами с креплением к балке болтами, а к стене нагелями.
6.15.13 В районах сейсмичностью 7 и 8 баллов в брусчатых и бревенчатых зданиях анкерные болты крепления обвязки по верху фундамента дополнительно следует устанавливать в углах и пересечениях стен, а при сейсмичности 9 баллов - и в местах расположения сжимов. При этом в целях обеспечения надежной связи стен с фундаментом основные анкеры должны пропускаться в обруб на один-два венца выше промежуточных дополнительных. Шаг основных анкеров следует принимать не более 1,5 м при сейсмичности 9 баллов и не более 2 м при сейсмичности 7 и 8 баллов.
6.15.14 Конструкции крыш следует принимать безраспорными, преимущественно с легкой кровлей. Жесткость конструкций крыш должна обеспечиваться установкой раскосов между стойками в обоих направлениях плана здания.
6.16 Здания и сооружения из местных материалов
6.16.1 В городах и поселках строительство жилых домов со стенами из сырцового кирпича, самана, грунтоблоков не допускается.
6.16.2 В сельских населенных пунктах, размещаемых в районах сейсмичностью до 8 баллов, строительство одноэтажных зданий из материалов, перечисленных в 6.16.1, допускается при условии усиления стен деревянным антисептированным каркасом с диагональными связями.
6.17 Здания и сооружения с сейсмоизоляцией
6.17.1, 6.17.2 Исключены с 01.03.2022. -
Изменение N 2, утв. Приказом Минстроя России от 31.01.2022 N 59/пр.
6.17.3 Повышенная надежность сейсмоизолирующих устройств обеспечивается путем умножения:
а) расчетных горизонтальных сейсмических перемещений каждого сейсмоизолирующего элемента на коэффициент надежности по материалу

;
б) расчетных вертикальных сейсмических сил в каждом сейсмоизолирующем элементе от гравитационных и сейсмических воздействий на коэффициент надежности по нагрузке

.
6.17.4 Между сейсмоизолированной частью сооружения и окружающим грунтом или сооружениями следует предусматривать зазоры, достаточные для перемещений сейсмоизолированной части во всех направлениях при расчетных сейсмических воздействиях, наряду с другими необходимыми мероприятиями, обеспечивающими возможность размещения, осмотра, технического обслуживания, центрирования и замены сейсмоизолирующих устройств в течение срока службы сооружения.
6.17.5 - 6.17.8 Исключены с 01.03.2022. -
Изменение N 2, утв. Приказом Минстроя России от 31.01.2022 N 59/пр.
6.17.9 При КЗ расчет и конструирование сооружения должны обеспечить устойчивость его сейсмоизолированной части против опрокидывания и неконтролируемого скольжения.
6.17.10, 6.17.11 Исключены с 01.03.2022. -
Изменение N 2, утв. Приказом Минстроя России от 31.01.2022 N 59/пр.
6.17.12 Для зданий нормального уровня ответственности допускается проектировать сейсмоизолированную часть сооружения с коэффициентом K1 не менее 0,7, учитывающим возможность развития неупругих деформаций в конструкциях сооружения.
6.17.13 Исключен с 01.03.2022. -
Изменение N 2, утв. Приказом Минстроя России от 31.01.2022 N 59/пр.
6.17.14 Газопроводы, распределительные системы и другие коммуникации, пересекающие стыки между надземной частью и окружающим грунтом или сооружениями, должны рассчитываться на безопасное относительное перемещение между сейсмоизолированной частью сооружения и окружающим грунтом или сооружениями с учетом коэффициента

в
6.17.3.
6.17.15 При РЗ конструктивная система должна быть проверена расчетом, чтобы гарантировать прочность и жесткость, достаточные для сохранения функций объектов. Значение коэффициента K1 при этом следует принимать равным 1.
6.17.16 Необходимо соблюдать следующие ограничения междуэтажного перекоса при РЗ и КЗ по вертикали:
а) сооружения с ненесущими элементами из хрупких материалов, имеющих соединения с несущими конструкциями:

(6.4)
б) сооружения, имеющие пластически деформируемые ненесущие элементы, соединенные с несущими конструкциями:

(6.5)
в) сооружения, имеющие ненесущие элементы, не влияющие на деформации несущих конструкций, или без ненесущих элементов:

(6.6)
где dr - расчетный междуэтажный перекос, определяемый как разница средних горизонтальных перемещений dei в верхней и нижней частях данного этажа;
h - высота этажа.
6.17.17 - 6.17.21 Исключены с 01.03.2022. -
Изменение N 2, утв. Приказом Минстроя России от 31.01.2022 N 59/пр.
6.17.22 Для ненесущих конструкций с высокой степенью ответственности или особо ответственных элементов сейсмический анализ должен основываться на реальной модели соответствующих сооружений и использовании соответствующих спектров реакции, полученных при реакции несущих конструктивных элементов основной системы, воспринимающей сейсмическое воздействие.
6.17.23 Коммуникации между сейсмоизолированной и несейсмоизолированной частями сооружения не должны препятствовать относительным перемещениям этих частей.
Следует убедиться, что податливость таких коммуникаций достаточно велика по сравнению с податливостью системы сейсмоизоляции и суммарная реакция коммуникаций не будет вносить заметных возмущений в движение сейсмоизолированной части здания.
При необходимости в коммуникации следует включать гибкие соединения и компенсаторы в уровне сейсмоизолирующего слоя.
6.17.24 Исключен с 01.03.2022. -
Изменение N 2, утв. Приказом Минстроя России от 31.01.2022 N 59/пр.
6.17.25 Для сооружений с сейсмоизоляцией должна быть разработана инструкция для периодического мониторинга, контроля и эксплуатации системы сейсмоизоляции, которая должна храниться весь период эксплуатации здания.
6.17.26, 6.17.27 Исключены с 01.03.2022. -
Изменение N 2, утв. Приказом Минстроя России от 31.01.2022 N 59/пр.
6.17.28 Сейсмозащита может быть запроектирована с применением одного или нескольких перечисленных элементов или их комбинаций: изоляторов, демпфирующих устройств, устройств сопротивления ветровым нагрузкам, устройств по ограничению перемещений.
(абзац введен
Изменением N 2, утв. Приказом Минстроя России от 31.01.2022 N 59/пр)
6.17.29 Места устройства систем изоляции в плане следует располагать равномерно с учетом конфигурации здания и распределения вертикальных нагрузок. Расстояния между сейсмическими изоляторами под несущими стенами должны быть, как правило, не более 3 м. Предпочтительно изоляторы устанавливать в одном уровне.
6.17.30 Минимальный зазор между сооружением с изоляцией и окружающими подпорными стенами или другими сооружениями должен быть не менее максимального расчетного перемещения части здания, находящегося над сейсмической изоляцией.
6.17.31 При устройстве нескольких изоляторов на одном опорном элементе расстояние между двумя изоляторами должно обеспечивать их установку и замену.
6.17.32 - 6.17.34 Исключены с 01.03.2022. -
Изменение N 2, утв. Приказом Минстроя России от 31.01.2022 N 59/пр.
6.18.1 Требования к размещению оборудования в здании и сооружении, нормы по обеспечению его безопасности при эксплуатации устанавливают в проектной документации на основании действующих нормативных документов.
6.18.2 При проектировании зданий и сооружений в сейсмических районах следует проверять расчетом или экспериментально крепление высокого и тяжелого оборудования к несущим конструкциям зданий и сооружений, а также учитывать сейсмические усилия, возникающие при этом в несущих конструкциях.
6.19 Сейсмическая безопасность эксплуатируемых зданий (сооружений)
6.19.1 Требования настоящего подраздела следует соблюдать при разработке мероприятий по обеспечению сейсмической безопасности эксплуатируемых зданий, в том числе восстанавливаемых после землетрясения и усиливаемых в связи с изменением сейсмичности площадки или функционального назначения объекта, механическая безопасность которых при расчетном сейсмическом воздействии не обеспечивается в части сохранения жизни людей.
Примечание - Под изменением функционального назначения здания подразумеваются изменения, влекущие за собой повышение ответственности зданий, а также отнесение здания к объектам, функционирование которых в работоспособном состоянии необходимо для ликвидации чрезвычайных ситуаций, обусловленных землетрясением.
6.19.2 Необходимость повышения сейсмостойкости (восстановления или усиления) здания устанавливается на основании результатов технического обследования, выполняемого в соответствии с
ГОСТ 31937 с учетом данных сейсмической паспортизации застройки урбанизированной территории (города) и особенностей подходов к сейсмическому риску. Расчетную сейсмичность существующего сооружения следует принимать равной расчетной сейсмичности площадки расположения объекта. Элементы здания с недостаточной несущей способностью выявляют расчетом.
6.19.3 Целью сейсмоусиления является обеспечение такого уровня механической безопасности, при котором сохраняется работоспособное состояние строительного сооружения при воздействии нагрузок основного сочетания и не превышается допустимое значение индивидуального риска в расчетных ситуациях, включающих в себя сейсмические нагрузки.
Риск, связанный с причинением вреда жизни и здоровью людей, возникающий вследствие вторичных природных и антропогенных воздействий, не должен учитываться, за исключением положений
раздела 9 настоящего свода правил.
6.19.4 В процессе повышения механической безопасности эксплуатируемых зданий обязательному удовлетворению подлежит требование сохранения жизни людей в случае расчетного сейсмического воздействия.
6.19.5 Критерием безопасной эксплуатации зданий в сейсмических районах является такое его состояние, превышение которого влечет обрушение хотя бы одного перекрытия этого здания. Гарантией соблюдения этого критерия сейсмической безопасности является состояние, при котором степень его повреждения по результатам его расчета на РЗ не превышает d = 3. Такое состояние здания является предельно допустимым и называется критическим.
6.19.6 Восстановление зданий, поврежденных землетрясениями, должно сопровождаться технико-экономическим обоснованием и выполняться в рамках проекта реконструкции.
6.19.7 Для удовлетворения требованиям механической безопасности эксплуатируемых зданий с недостаточной сейсмостойкостью следует использовать следующие инженерные методы и решения:
(в ред.
Изменения N 2, утв. Приказом Минстроя России от 31.01.2022 N 59/пр)
- уменьшение остаточного срока эксплуатации здания;
- изменение объемно-планировочных решений путем разделения зданий сложных конструктивных схем на отсеки простой формы антисейсмическими швами, разборки верхних этажей здания, устройства дополнительных элементов жесткости для обеспечения симметричного расположения жесткостей в пределах отсека и уменьшения расстояния между ними;
- усиление стен, рам, вертикальных связей для обеспечения восприятия усилий от расчетных сейсмических воздействий;
- увеличение надежности соединения элементов сборных перекрытий устройством или усилением антисейсмических поясов;
- обеспечение связей между стенами различных направлений, между стенами и перекрытиями;
- усиление элементов соединения сборных конструкций стен;
- изменение конструктивной схемы здания, в том числе путем введения системы дополнительных конструктивных элементов;
- снижение массы здания, применение сейсмоизоляции, пассивного демпфирования и других методов регулирования сейсмической реакции;
- изменение функционального назначения здания (снижение уровня ответственности).
6.19.8 Методы и технологии, применяемые для повышения сейсмостойкости эксплуатируемых зданий, должны обеспечивать выполнение строительно-монтажных работ с минимально возможными ограничениями работоспособности усиливаемого здания по уровню и продолжительности.
Это требование не распространяется на здания, поврежденные в результате землетрясения.
6.19.9 В случаях, когда выполнение конструктивных требований норм в полном объеме невозможно, или их выполнение приводит к экономической нецелесообразности усиления, допускается реализация обоснованных расчетом технических решений усиления здания при неполном соответствии требованиям правил с их согласованием в установленном порядке.
6.19.10 Проект по повышению сейсмостойкости зданий разрабатывают на основе анализа исходной проектной документации и материалов детального обследования основания и конструктивных элементов здания.
6.19.11 Решения о восстановлении или усилении зданий следует принимать с учетом их физического и морального износа, назначения и социально-экономической целесообразности мероприятий по восстановлению или усилению.
6.20 Светопрозрачные конструкции и навесные фасадные системы
(подраздел 6.20 введен
Изменением N 2, утв. Приказом Минстроя России от 31.01.2022 N 59/пр)
6.20.1 Светопрозрачные конструкции и навесные фасадные системы, а также их крепления к конструкциям зданий следует рассчитывать на сейсмические нагрузки, действующие из их плоскости, и на усилия, возникающие при горизонтальных перекосах этажей, к конструкциям которых они закреплены.
6.20.2 Расчет на сейсмические воздействия элементов светопрозрачных конструкций и навесных фасадных систем зданий и сооружений повышенного уровня ответственности и всех объектов при углах поля облицовки к горизонтальной поверхности светопрозрачных плоскостей, превышающих 45°, следует выполнять как для сложного конструктивно-планировочного решения, на основе анализа отклика в узлах крепления к несущему каркасу, с учетом
перечисления б) 5.2,
5.2.1 и
5.2.2. Во всех остальных случаях допускается применять упрощенные правила расчета, приведенные в
6.20.7.
6.20.3 Расчет светопрозрачных конструкций и навесных фасадных систем зданий и сооружений проводят по первому и по второму предельным состояниям для оценки прочности и эксплуатационной пригодности по одной из трех расчетных ситуаций.
6.20.4 Расчетную ситуацию для проектирования навесных фасадных систем и светопрозрачных конструкций конкретного объекта принимает заказчик по представлению генерального проектировщика, исходя из требований действующих нормативных документов и из следующих условий:
а) после сейсмического воздействия обеспечена полная пригодность к нормальной эксплуатации. Повреждения элементов металлической подконструкции, заполнения светопрозрачных конструкций и облицовочного слоя навесной фасадной системы не допускаются. Максимальные относительные смещения соседних точек крепления несущих конструкций навесных фасадных систем к кронштейнам или зданию (сооружению) принимают:

,
где

- расчетная разность смещений соседних точек крепления металлической подконструкции к кронштейнам или зданию вдоль горизонтальной и вертикальной координатных осей,

;
Li - проекция расстояния между соседними точками крепления на ортогональные смещениям горизонтальную и вертикальную координатные оси. Выполняется условие прочности для всех элементов навесных фасадных систем и светопрозрачных конструкций;
б) после сейсмического воздействия обеспечена частичная пригодность к эксплуатации, требуется частичная замена заполнения светопрозрачной конструкции, облицовочного слоя навесной фасадной системы и частичный ремонт несущей системы. Допускается повреждение отдельных несущих элементов, не приводящее к выпадению заполнения. Выполняется условие прочности для всех несущих элементов навесных фасадных систем. Максимальные относительные смещения соседних точек крепления несущих конструкций навесных фасадных систем к кронштейнам или зданию (сооружению)

;
в) после сейсмического воздействия не регламентируется пригодность к эксплуатации, возможна полная замена навесных фасадных систем или светопрозрачных конструкций. Допускаются значительные повреждения отдельных элементов, разрушение (выпадение) заполнения светопрозрачной конструкции и навесной фасадной системы. Безопасность навесных фасадных систем заключается в исключении угрозы безопасности людей при повреждении и разрушении заполнений (без сохранения ограждающих функций). Выполняется условие прочности для всех несущих элементов навесных фасадных систем. Максимальные относительные смещения соседних точек крепления металлической подконструкции к кронштейнам или зданию не ограничиваются.
6.20.5 Прочностные расчеты светопрозрачных конструкций и навесных фасадных систем зданий и сооружений включают:
- расчет несущих профилей (проверка прочности на растяжение с изгибом, на сдвиг (срез); проверка прочности крепления профиля к несущему кронштейну; проверка жесткости профиля);
- расчет несущего кронштейна (проверка прочности на растяжение с изгибом, на срез) с учетом климатических и сейсмических нагрузок;
- проверку прочности крепления кронштейнов к несущим конструкциям здания или сооружения;
- проверку прочности крепления облицовки.
6.20.6 Физико-механические характеристики материалов профилей, их соединений и крепежных элементов навесных фасадных систем принимают согласно
СП 16.13330 или
СП 128.13330 в зависимости от используемого материала конструкций (стальные или алюминиевые соответственно).
6.20.7 Нагрузочные эффекты от сейсмического воздействия следует определять путем приложения к навесной фасадной системе горизонтальных
SH и вертикальной
SV сейсмических сил, которые следует определять по формулам:

, (6.9)

, (6.10)
где SH - горизонтальная сейсмическая сила, прикладываемая в центре масс в рассматриваемом направлении элемента фасадной системы или светопрозрачного заполнения;
SV - вертикальная сейсмическая сила, действующая в центре масс элемента навесной фасадной системы в наиболее неблагоприятном направлении;
ap - коэффициент динамичности фасадной системы, учитывающий возможное усиление колебаний, принимаемый равным:
2,0 - для систем, закрепляемых к перекрытиям и стенам здания;
1,5 - для систем, закрепляемых только к перекрытиям здания;
K1,f - коэффициент поведения для фасадной системы, принимаемый равным:
mf - масса навесной фасадной системы;

- коэффициент динамичности, соответствующий
i-й форме собственных колебаний зданий или сооружений, принимаемый в соответствии с
5.6;
A - значение ускорения в уровне основания, принимаемое по
5.5;
z - высота центра масс рассчитываемого фрагмента навесной фасадной системы над уровнем приложения сейсмического воздействия;
H - высота здания (определяется в соответствии с
примечанием 1 к таблице 6.1).
Сейсмические силы в вертикальном и одном из горизонтальных направлений учитывают в особом сочетании совместно.
6.20.8 Навесные и светопрозрачные фасадные системы должны быть запроектированы с учетом зазоров между облицовочными элементами, светопрозрачные конструкции - с учетом зазоров между заполнением и несущей системой в плоскости заполнения, которые должны назначаться по формуле

, (6.11)
где

- коэффициент расчетной ситуации, принимаемый:
3,0 - для расчетной ситуации, определяемой
перечислением в) 6.20.4, но не менее

, при достижении которого происходят выпадение и разрушение заполнения системы.
6.20.9 Предельное значение расчетной разности смещения соседних точек крепления

следует определять по результатам экспериментальных исследований. Экспериментальные исследования следует проводить на натурных фрагментах, отражающих работу всей навесной фасадной системы или светопрозрачной конструкции.
6.20.10 Анкерный крепеж навесной фасадной системы должен соответствовать следующим требованиям:
- крепление анкерного крепежа рассчитывают из условия прочности и деформативности на действия расчетных нагрузок от сейсмических воздействий, с учетом места расположения по высоте здания;
- применение анкерного крепежа в виде саморезов для соединения элементов навесной фасадной системы между собой и с конструкциями здания не допускается.
6.20.11 Для установки навесной фасадной системы должны также выполняться следующие условия:
- применение фасадных конструкций в конкретном проекте должно соответствовать условиям (типоразмерный ряд, условия эксплуатации, места установки), для которых в отношении данного типа навесной фасадной системы выполнялись испытания на сейсмостойкость (при наличии положительного заключения по результатам таких испытаний);
- до начала монтажа несущих элементов навесной фасадной системы следует провести испытания ее конструкций, в том числе на вырыв анкеров из материала несущей системы здания. При этом значения расчетных усилий должны быть не менее значений, установленных в регламентных требованиях (технических условиях и пр.) организаций-производителей с учетом нагрузок от сейсмического воздействия;
- узлы крепления навесной фасадной системы к несущим конструкциям здания должны обеспечивать свободные деформации ограждений при температурно-влажностных воздействиях, в процессе прогнозируемой деформации каркаса здания, а также в процессе прогнозируемой осадки здания в период строительства и стабилизации осадок;
- установка анкерного крепежа в наружные ограждающие стены, выполненные из каменных материалов, легких и ячеистобетонных блоков плотностью ниже 800 кг/м3, не допускается;
- все элементы крепления и фиксации несущего каркаса, которые после монтажа окажутся недоступными для технического осмотра, должны быть защищены от коррозии в соответствии с
СП 28.13330;
- конструкции навесной фасадной системы и их крепление к несущим конструкциям следует рассчитывать по прочности, устойчивости и деформативности как в целом, так и для отдельных элементов (узлов).
6.20.12 Мероприятия по оценке и подтверждению соответствия характеристик навесной фасадной системы проектным данным в процессе строительства и при эксплуатации здания следует отражать в проектной документации.
6.20.13 Способы контроля качества (правила контроля, методы испытаний) навесных фасадных систем определяются
СП 70.13330,
ГОСТ 13015,
ГОСТ 17625,
ГОСТ 22904,
ГОСТ 23858 и др., а также техническими условиями на навесные фасадные системы, разрабатываемыми и утверждаемыми в установленном порядке организациями-производителями.
7 Транспортные сооружения
7.1 Положения настоящего раздела распространяются на строительство сооружений скоростных магистралей, магистралей с преимущественно пассажирским движением, особогрузонапряженных магистралей и железных дорог категорий I - IV, автомобильных дорог общего пользования категорий I - IV, метрополитенов, скоростных городских дорог и магистральных улиц, пролегающих в районах сейсмичностью 6 - 9 баллов.
(в ред.
Изменения N 2, утв. Приказом Минстроя России от 31.01.2022 N 59/пр)
7.2 Транспортные сооружения в сейсмических районах, грунты строительных площадок и прилегающие к ним территории (акватории) следует рассматривать как составные части природно-технической системы, подвергающейся при землетрясениях воздействиям в виде сейсмических волн в грунте, перемещений крыльев сейсмоактивных разломов, тектонических разрывов земной поверхности, сейсмооползней, обвалов, осыпей, снежных лавин, селевых и водно-песчаных потоков, разжижения грунта, цунами, гравитационных волн, образующихся при обрушении в водохранилища, заливы и проливы больших масс горных пород, затопления участков местности из-за ее опускания или образования сейсмотектонических и сейсмогравитационных дамб в долинах рек, изменения условий работы грунтов и строительных материалов, влияющих на прочность и устойчивость оснований и несущих конструкций.
7.3 Мероприятия по защите транспортных сооружений от поражающих факторов землетрясений следует предусматривать при новом строительстве, капитальном ремонте (реконструкции) и восстановлении транспортной инфраструктуры после разрушительных подземных толчков.
7.4 Состав и объем защитных мероприятий должны быть достаточными для предотвращения летальных людских потерь, недопустимого экономического и экологического ущерба в результате обрушения сооружений, нарушения устойчивости склонов в полосе отвода транспортных коммуникаций, нарушения транспортной доступности района стихийного бедствия, аварий транспортных средств, выброса в окружающую среду перевозимых по дорожной сети углеводородов, радиоактивных и других опасных веществ, остановки работы предприятий из-за прекращения поставок угля, цемента, леса и других грузов вследствие землетрясения расчетной силы.
7.5 При проектировании транспортных сооружений выбор карты из комплекта карт ОСР-2015 следует выполнять по
СП 268.1325800.
7.6 Мероприятия по защите от землетрясений транспортных сооружений разрабатываются с предварительным УИС района (пункта) строительства и с учетом результатов работ по СМР строительных участков. Работы выполняются при инженерных изысканиях по правилам, изложенным в
СП 269.1325800, учитывающим сейсмотектоническую обстановку, особенности сейсмического режима местности, строение грунтовой толщи, геоморфологические условия, расположение в плане и глубину заложения объекта.
7.7 Проектирование транспортных сооружений в сейсмических районах, в том числе восстанавливаемых после разрушительного землетрясения или усиливаемых в процессе эксплуатации, следует выполнять согласно требованиям, изложенным в
СП 268.1325800.
Примечание - Повреждения транспортных сооружений после землетрясения оцениваются согласно
СП 270.1325800.
8 Гидротехнические сооружения
(раздел 8 в ред.
Изменения N 2, утв. Приказом Минстроя России от 31.01.2022 N 59/пр)
Положения настоящего раздела распространяются на проектирование, строительство новых и реконструируемых напорных и безнапорных ГТС в сейсмических районах.
8.2 Общие положения. Определение нормативной, исходной и расчетной сейсмичности
8.2.1 Настоящий раздел устанавливает требования для ГТС - плотин, дамб, водоприемников, поверхностных и донных водосбросов, каналов, гидротехнических туннелей, напорных трубопроводов, сооружений на деривационных трактах, шлюзов, судоподъемников, направляющих и причальных сооружений, рыбопропускных сооружений, берегоукрепительных сооружений, причальных пирсов и стенок, волноломов, доков, подземных сооружений гидроэлектрических станций, ГТС тепловых и атомных станций, а также МНГС, возводимых на шельфе и размещаемых или расположенных в районах с нормативной сейсмичностью Inor, равной 6 баллам и более по карте C (со средним периодом повторяемости воздействия один раз в 5000 лет) комплекта карт ОСР-2015.
Примечание - На морские портовые причальные сооружения, портовые безнапорные сооружения, а также на оградительные сооружения положения настоящего раздела распространяются при их размещении в районах с нормативной сейсмичностью Inor, равной 6 баллам и более по карте A (со средним периодом повторяемости воздействия один раз в 500 лет) комплекта карт ОСР-2015.
8.2.2 Нормативную, исходную и расчетную сейсмичность ГТС определяют в соответствии с СП 358.1325800.2017 (
пункты 4.4 -
4.6).
8.3 Сейсмические воздействия и определение их характеристик
8.3.1 Сейсмические воздействия следует учитывать в тех случаях, когда значение расчетной сейсмичности составляет 7 баллов и более.
Примечание - Сейсмические воздействия входят в состав особых сочетаний нагрузок и воздействий
(СП 58.13330).
8.3.2 Все ГТС и МНГС следует рассчитывать на два уровня сейсмических воздействий: МРЗ и ПЗ. За МРЗ принимают землетрясение (сейсмическое воздействие) максимальной интенсивности на площадке строительства со средней повторяемостью один раз в 5000 лет для водоподпорных сооружений классов I, II и III и МНГС и повторяемостью один раз в 1000 лет - для всех остальных ГТС. За ПЗ принимают землетрясение (сейсмическое воздействие) максимальной интенсивности на площадке строительства с повторяемостью один раз в 500 лет для всех ГТС. Гидротехнические сооружения должны воспринимать МРЗ без угрозы собственного разрушения, в том числе ВСНФ всех классов - без угрозы прорыва напорного фронта, а МНГС - без угрозы собственного разрушения и без угрозы повреждений, приводящих к выбросу в окружающую среду углеводородов.
Сейсмические воздействия уровня ПЗ должны восприниматься ГТС без угрозы для жизни и здоровья людей и с сохранением собственной ремонтопригодности (для ВСНФ - при любом предусмотренном правилами эксплуатации уровне верхнего бьефа). При этом допускаются остаточные смещения, деформации, трещины и иные повреждения.
Примечание - Морские портовые причальные сооружения классов I и II, а также оградительные сооружения класса I рассчитывают на два уровня сейсмических воздействий. Остальные портовые безнапорные сооружения допускается рассчитывать только на сейсмические воздействия уровня ПЗ.
8.3.3 При проектировании водоподпорных сооружений классов I и II и МНГС, сейсмические воздействия задают в виде акселерограмм и используют для проведения расчетов методами ДТ в соответствии с СП 358.1325800.2017
(раздел 6). При проектировании водоподпорных сооружений классов III и IV и безнапорных ГТС сейсмические воздействия допускается задавать в виде, достаточном для проведения расчетов методами ЛСТ. Параметры расчетных сейсмических воздействий определяются в соответствии с СП 358.1325800.2017
(раздел 5).
8.4 Условия расчетов гидротехнических сооружений на сейсмические воздействия
8.4.1 Водоподпорные сооружения классов I и II и МНГС следует рассчитывать методами ДТ. Водоподпорные сооружения классов III и IV допускается рассчитывать методами ЛСТ. Безнапорные ГТС допускается рассчитывать методами ЛСТ.
8.5 Мероприятия по повышению сейсмостойкости гидротехнических сооружений
8.5.1 При необходимости размещения сооружений на участке тектонического разлома основные сооружения гидроузла (плотины, здания ГЭС, водосбросы) следует размещать на едином структурно-тектоническом блоке, в пределах которого исключена возможность взаимных подвижек частей сооружения. При невозможности исключения взаимных подвижек частей сооружения в проекте должны быть разработаны конструктивные мероприятия, позволяющие воспринимать дифференцированные подвижки без ущерба для безопасности сооружения.
8.5.2 Строительство сооружений, входящих в состав напорного фронта, перечень которых может быть расширен по усмотрению проектной организации за счет объектов, разрушение которых по своим последствиям идентично прорыву напорного фронта плотины, на оползнеопасных участках допускается только при осуществлении мероприятий, исключающих образование оползневых деформаций в основании сооружения и береговых склонах в створе сооружения, а также катастрофического обрушения бортов водохранилища, способного привести к переливу воды через гребень плотины.
8.5.3 При возможности нарушения устойчивости сооружения, а также развития чрезмерных деформаций в теле сооружения и в основании вследствие разжижения и других деструктивных изменений состояния грунтов в основании или теле сооружения под влиянием сейсмических воздействий следует предусматривать искусственное уплотнение или укрепление этих грунтов.
8.5.4 Для каменно-земляных плотин в сейсмических районах с верховой стороны ядер и экранов следует предусматривать устройство фильтров (переходных слоев), при этом подбор состава первого слоя фильтра должен обеспечивать кольматацию (самозалечивание) трещин, которые могут образоваться в противофильтрационном элементе при землетрясении.
8.5.5 Верховые водонасыщенные призмы плотин из грунтовых материалов следует проектировать из крупнозернистых грунтов с повышенными коэффициентами неоднородности и фильтрации (каменная наброска, гравелистые, галечниковые грунты и др.), которые обладают существенно ограниченной способностью к разжижению при сейсмических воздействиях. При необходимости уменьшения объема крупнозернистого материала в теле верховой призмы допускается введение горизонтальных слоев из крупнозернистых (крупнообломочных) сильнодренирующих материалов.
Примечание - Указания настоящего пункта не распространяются на ГТС из грунтовых материалов с экраном.
8.5.6 В целях повышения устойчивости верховой упорной призмы плотин из грунтовых материалов с ядрами или диафрагмами при сейсмических воздействиях следует разрабатывать мероприятия, обеспечивающие снижение избыточного порового давления в грунтах, в частности максимальное уплотнение несвязных грунтов, крепление откосов каменной наброской, устройство дополнительных дренирующих слоев и т.д.
8.5.7 При проектировании плотин и других водоподпорных сооружений в сейсмических районах следует повышать их сейсмостойкость с помощью одного (или нескольких) мероприятий из нижеследующего перечня, осуществляя выбор на основании их технико-экономического сопоставления:
а) уширение поперечного профиля плотины в ее нижней части;
б) облегчение верхней части сооружений за счет применения оголовков минимальной массы, устройства верхней части сооружения в виде стенки, контрфорсной или рамной конструкции, выполнения полостей в пригребневой зоне сооружения и т.д.;
в) укрепление основания, сложенного нескальными грунтами, путем инъектирования этих грунтов;
г) защита напорной грани плотины из грунтовых материалов водонепроницаемым экраном;
д) применение пространственно работающих массивных гравитационных плотин;
е) устройство периметрального шва для арочных плотин;
ж) применение армированного грунта для возведения земляных плотин.
8.5.8 Для повышения сейсмостойкости эксплуатируемых плотин, имеющих дефицит сейсмостойкости, следует рассматривать мероприятия по
перечислениям а),
б),
д) 8.5.7, а также инъекцию упорных призм грунтовых плотин цементными или иными растворами.
8.5.9 Портовые оградительные сооружения (молы, волноломы) при расчетной сейсмичности площадки 8 и 9 баллов следует возводить из наброски камня, обыкновенных и фасонных массивов или массивов-гигантов. Углы наклона откосов этих сооружений при сейсмичности 8 и 9 баллов следует уменьшать соответственно не менее чем на 10% и 20% относительно допускаемых в несейсмических районах.
При проектировании ограждающего сооружения следует рассматривать целесообразность принятия (на основании технико-экономического сопоставления) перечисленных ниже конструктивных решений, повышающих сейсмостойкость указанных сооружений:
а) размещение ограждающих сооружений на основаниях, сложенных более прочными грунтами;
б) возведение сооружений из массивов-гигантов;
в) уширение подошвы и придание поперечным сечениям этих сооружений симметричного (относительно вертикальной продольной плоскости) профиля;
г) разрезание протяженных сооружений антисейсмическими швами на участки, в пределах которых конструкция сооружения, грунтовые условия, глубины, нагрузки и другие подобные факторы практически не претерпевают изменений.
8.6 Геодинамический мониторинг гидротехнических сооружений в процессе эксплуатации
Геодинамический мониторинг ГТС в процессе эксплуатации осуществляют в соответствии с СП 358.1325800.2017
(раздел 8).
9 Противопожарные мероприятия
Абзац исключен с 01.03.2022. -
Изменение N 2, утв. Приказом Минстроя России от 31.01.2022 N 59/пр.
9.1.1 Для обеспечения требуемого предела огнестойкости строительных конструкций зданий и сооружений, при необходимости, следует применять средства огнезащиты, прошедшие подтверждение соответствия по утвержденным методам в испытательных центрах и лабораториях, допущенных к проведению таких работ в порядке, установленном действующим законодательством. При этом требования по сейсмостойкости строительных конструкций со средствами огнезащиты, систем противопожарной защиты следует устанавливать в соответствии с настоящим сводом правил,
СП 2.13130,
СП 484.1311500,
СП 485.1311500,
СП 486.1311500,
СП 10.13130.
(п. 9.1.1 в ред.
Изменения N 2, утв. Приказом Минстроя России от 31.01.2022 N 59/пр)
9.1.2 В настоящем разделе установлены специальные требования пожарной сейсмостойкости к строительным конструкциям зданий, средствам огнезащиты, систем пожарной сигнализации, передачи извещений о пожаре, оповещения и управления эвакуацией людей, противодымной вентиляции, установок автоматического пожаротушения. Пожар как самостоятельная чрезвычайная ситуация не рассматривается.
(п. 9.1.2 введен
Изменением N 2, утв. Приказом Минстроя России от 31.01.2022 N 59/пр)
9.2 Обеспечение требуемых огнестойкости и класса пожарной опасности объектов защиты
(в ред.
Изменения N 2, утв. Приказом Минстроя России от 31.01.2022 N 59/пр)
9.2.1 Для строительных конструкций зданий и сооружений, возводимых в сейсмических районах, следует обеспечивать требуемую огнестойкость на период эксплуатации и после сейсмического воздействия расчетной интенсивности. При невозможности обеспечения собственного предела огнестойкости следует применять средства огнезащиты. Применяемые средства огнезащиты должны соответствовать требованиям
[3].
(п. 9.2.1 в ред.
Изменения N 2, утв. Приказом Минстроя России от 31.01.2022 N 59/пр)
(в ред.
Изменения N 2, утв. Приказом Минстроя России от 31.01.2022 N 59/пр)
9.2.3 Выбор способов обеспечения требуемого предела огнестойкости строительных конструкций при проектировании зданий, сооружений и строений в сейсмических районах следует проводить с учетом их устойчивости при пожаре, воздействии землетрясения и после него.
(п. 9.2.3 в ред.
Изменения N 2, утв. Приказом Минстроя России от 31.01.2022 N 59/пр)
9.2.4 При реконструкции и капитальном ремонте зданий и сооружений технические решения должны соответствовать
[3]. Следует определять пределы огнестойкости и классы пожарной опасности строительных конструкций с учетом методов, способов и применяемых технических решений по сейсмоусилению.
(п. 9.2.4 в ред.
Изменения N 2, утв. Приказом Минстроя России от 31.01.2022 N 59/пр)
9.2.5 Применяемые способы огнезащиты должны обеспечивать требуемый предел огнестойкости конструкций зданий и сооружений по сохранению несущей способности (R) после сейсмического воздействия, без ограничения требований по целостности и теплоизолирующей способности (E и I), при температурном воздействии по стандартному температурному режиму по
ГОСТ 30247.0.
Допускается временное снижение предела огнестойкости несущих конструкций зданий и сооружений, кроме уникальных и технически сложных, не более чем в два раза после расчетного сейсмического воздействия при условии, что до момента ввода зданий и сооружений в режим нормальной эксплуатации после землетрясения будут выполнены требования
[3]. Способы огнезащиты должны обеспечить прочностные характеристики несущих конструкций зданий и сооружений при пониженной длительности огневого воздействия на уровне, достаточном, чтобы выдержать повторные толчки интенсивностью воздействия в два раза меньше, чем расчетное землетрясение.
Для огнезащиты ответственных несущих конструкций применять плитные материалы не допускается.
(п. 9.2.5 в ред.
Изменения N 2, утв. Приказом Минстроя России от 31.01.2022 N 59/пр)
9.2.6 Расчетную интенсивность сейсмического воздействия для средств огнезащиты принимают в соответствии с сейсмичностью площадки защищаемого объекта с учетом высоты его размещения в соответствии с
ГОСТ 30546.1, ГОСТ 30546.2, ГОСТ 30546.3.
(п. 9.2.6 в ред.
Изменения N 2, утв. Приказом Минстроя России от 31.01.2022 N 59/пр)
9.2.7 Обеспечение пожарной сейсмостойкости огнезащитных покрытий и строительных конструкций следует определять в условиях стандартных испытаний по утвержденным методикам.
(п. 9.2.7 в ред.
Изменения N 2, утв. Приказом Минстроя России от 31.01.2022 N 59/пр)
9.2.8 Исключен с 01.03.2022. -
Изменение N 2, утв. Приказом Минстроя России от 31.01.2022 N 59/пр.
9.2.9 Предел огнестойкости междуэтажных перекрытий при наличии подвесных потолков следует определять на фрагментах, учитывающих результаты испытаний потолка на сейсмические воздействия.
При проведении расчетов строительных конструкций со средствами огнезащиты на сейсмические воздействия следует определять:
- параметры колебаний и напряженно-деформированного состояния элементов крепления с учетом демпфирования и взаимодействия с основанием;
- прочность элементов крепления с учетом характеристик прочности средств огнезащиты при динамических нагрузках.
При расчетах сооружений повышенного уровня ответственности следует учитывать изменение прочностных и деформационных характеристик строительных конструкций, вызванных огневым воздействием с длительностью, установленной в
9.2.5.
(п. 9.2.9 в ред.
Изменения N 2, утв. Приказом Минстроя России от 31.01.2022 N 59/пр)
9.2.10 Нагрузки от средств огнезащиты строительных конструкций и систем противопожарной защиты должны учитываться в расчетах строительных конструкций.
9.2.11 Исключен с 01.03.2022. -
Изменение N 2, утв. Приказом Минстроя России от 31.01.2022 N 59/пр.
9.3 Требования к сейсмостойкости систем пожарной сигнализации, передачи извещений о пожаре, оповещения и управления эвакуацией людей, противодымной вентиляции, установок автоматического пожаротушения
(в ред.
Изменения N 2, утв. Приказом Минстроя России от 31.01.2022 N 59/пр)
9.3.1 Системы пожарной сигнализации, передачи извещений о пожаре, оповещения и управления эвакуацией людей, противодымной вентиляции, установок автоматического пожаротушения (далее - системы пожарной автоматики), предназначенные для применения в зданиях и сооружениях, возводимых в сейсмических районах, должны сохранять работоспособность непосредственно после сейсмического воздействия расчетной интенсивности.
(п. 9.3.1 в ред.
Изменения N 2, утв. Приказом Минстроя России от 31.01.2022 N 59/пр)
9.3.2 Оценка сейсмостойкости технических средств систем пожарной автоматики и технических решений по их креплению к строительным конструкциям должны определяться в условиях стандартных испытаний по утвержденным методикам.
(п. 9.3.2 в ред.
Изменения N 2, утв. Приказом Минстроя России от 31.01.2022 N 59/пр)
9.3.3 Надежность систем пожарной автоматики должна обеспечиваться за счет применения устойчивых к сейсмическим воздействиям технических средств, а также обеспечением монтажа (крепления) технологической части в соответствии с учетом расчетных сейсмических воздействий.
(п. 9.3.3 в ред.
Изменения N 2, утв. Приказом Минстроя России от 31.01.2022 N 59/пр)
9.3.4 Допускаемые перемещения технических средств систем пожарной автоматики следует определять в зависимости от эксплуатационных условий (недопустимые соударения, недопустимые перекосы, разуплотнение герметичных стыков и т.п.).
(в ред.
Изменения N 2, утв. Приказом Минстроя России от 31.01.2022 N 59/пр)
9.3.5 Сейсмические нагрузки на технические средства систем пожарной автоматики следует задавать с учетом одновременного сейсмического воздействия по трем пространственным компонентам.
(в ред.
Изменения N 2, утв. Приказом Минстроя России от 31.01.2022 N 59/пр)
9.3.6 При оценке сейсмостойкости технических средств систем пожарной автоматики следует учитывать два вида сейсмических нагрузок:
(в ред.
Изменения N 2, утв. Приказом Минстроя России от 31.01.2022 N 59/пр)
- инерционные, вызванные динамическими колебаниями системы при заданном сейсмическом воздействии;
- возникающие в результате относительного смещения опор оборудования технологической части автоматических установок пожаротушения при сейсмическом воздействии.
9.3.7 При оценке сейсмостойкости массивного оборудования технических средств систем пожарной автоматики следует учитывать влияние колебаний оборудования на его опорные элементы.
(в ред.
Изменения N 2, утв. Приказом Минстроя России от 31.01.2022 N 59/пр)
9.3.8 Расчеты сейсмостойкости протяженных технических средств систем пожарной автоматики следует выполнять с учетом различия в условиях сейсмического нагружения опорных конструкций.
(в ред.
Изменения N 2, утв. Приказом Минстроя России от 31.01.2022 N 59/пр)
9.3.9 Сейсмостойкость технических средств систем пожарной автоматики, частично наполненных жидкостью, должна быть обоснована с учетом гидродинамических воздействий при сейсмических колебаниях жидкости.
(в ред.
Изменения N 2, утв. Приказом Минстроя России от 31.01.2022 N 59/пр)
9.3.10 Жесткая заделка труб при проходке трубопроводов систем пожарной автоматики через стены не допускается. Размеры отверстий для пропусков труб через стены должны обеспечивать в стене зазор вокруг трубы не менее 0,2 м. Зазор следует заполнять эластичным негорючим материалом с пределом огнестойкости не ниже, чем у основной конструкции.
(в ред.
Изменения N 2, утв. Приказом Минстроя России от 31.01.2022 N 59/пр)
9.4 Требования к элементам систем автоматической пожарной сигнализации, оповещения и управления эвакуацией людей при пожаре, приемно-контрольным приборам и приборам управления автоматических установок пожаротушения
Подраздел 9.4 исключен с 01.03.2022. -
Изменение N 2, утв. Приказом Минстроя России от 31.01.2022 N 59/пр.
ОБЩЕЕ СЕЙСМИЧЕСКОЕ РАЙОНИРОВАНИЕ ТЕРРИТОРИИ
РОССИЙСКОЙ ФЕДЕРАЦИИ ОСР-2015
Список населенных пунктов Российской Федерации,
расположенных в сейсмических районах, с указанием расчетной
сейсмической интенсивности в баллах шкалы MSK-64
для средних грунтовых условий и трех степеней сейсмической
опасности - A (10%), B (5%), C (1%) в течение 50 лет
Наименование субъектов РФ и населенных пунктов | Карты ОСР-2015 | | Наименование субъектов РФ и населенных пунктов | Карты ОСР-2015 | | Наименование субъектов РФ и населенных пунктов | Карты ОСР-2015 |
| | | | | | | | |
РЕСПУБЛИКИ |
Республика Адыгея |
Адыгейск | 8 | 8 | 9 | | Кошехабль | 7 | 7 | 8 | | Тульский | 7 | 8 | 9 |
Гиагинская | 7 | 8 | 8 | | Красногвардейское | 7 | 7 | 8 | | Энем | 8 | 8 | 9 |
Каменномостский | 8 | 8 | 9 | | Майкоп | 7 | 8 | 9 | | Яблоновский | 8 | 8 | 9 |
Республика Алтай |
Акташ | 9 | 9 | 10 | | Каракокша | 8 | 8 | 9 | | Тондошка | 7 | 8 | 9 |
Актел | 8 | 9 | 10 | | Катанда | 8 | 9 | 10 | | Уймень | 8 | 8 | 9 |
Амур | 8 | 8 | 9 | | Козуль | 8 | 8 | 9 | | Улусчерга | 8 | 9 | 10 |
Анос | 8 | 9 | 10 | | Кокоря | 9 | 9 | 10 | | Усть-Кан | 8 | 8 | 9 |
Артыбаш | 8 | 8 | 9 | | Кош-Агач | 9 | 9 | 10 | | Усть-Кокса | 8 | 9 | 10 |
Барагаш | 8 | 9 | 10 | | Кулада | 8 | 9 | 10 | | Усть-Кумир | 8 | 8 | 9 |
Балыктуюль | 9 | 9 | 10 | | Купчегень | 8 | 9 | 10 | | Усть-Муны | 8 | 9 | 10 |
Балыкча | 8 | 9 | 10 | | Курай | 9 | 9 | 10 | | Усть-Мута | 8 | 9 | 10 |
Белый Ануй | 8 | 9 | 10 | | Курмач-Байгол | 7 | 8 | 9 | | Усть-Улаган | 9 | 9 | 10 |
Бельтир | 9 | 9 | 10 | | Куюс | 8 | 9 | 10 | | Хабаровка | 8 | 9 | 10 |
Беляши | 9 | 9 | 10 | | Кызылозек | 8 | 8 | 9 | | Чаган-Узун | 9 | 9 | 10 |
Бешозек | 8 | 9 | 10 | | Кырлык | 8 | 8 | 9 | | Чемал | 8 | 9 | 10 |
Бешпельтир | 8 | 9 | 10 | | Мал. Черга | 8 | 9 | 10 | | Чендек | 8 | 9 | 10 |
Бийка | 8 | 8 | 9 | | Ниж. Талда | 8 | 9 | 10 | | Черга | 8 | 9 | 10 |
Бирюля | 8 | 8 | 9 | | Огневка | 8 | 8 | 9 | | Черный Ануй | 8 | 9 | 10 |
Верх. Апшуяхта | 8 | 9 | 10 | | Озеро-Куреево | 7 | 7 | 8 | | Чибиля | 9 | 9 | 10 |
Верх. Уймон | 8 | 9 | 10 | | Онгудай | 8 | 9 | 10 | | Чибит | 9 | 9 | 10 |
Горбуново | 8 | 9 | 10 | | Ортолык | 9 | 9 | 10 | | Чоя | 8 | 8 | 9 |
Горно-Алтайск | 8 | 8 | 9 | | Сейка | 8 | 8 | 9 | | Шишикман | 8 | 9 | 10 |
Дмитриевка | 7 | 7 | 8 | | Соузга | 8 | 8 | 9 | | Шебалино | 8 | 9 | 10 |
Дъектиек | 8 | 9 | 10 | | Талда | 8 | 9 | 10 | | Ынырга | 8 | 8 | 9 |
Ело | 8 | 9 | 10 | | Тебелер | 9 | 9 | 10 | | Элекмонар | 8 | 9 | 10 |
Иня | 8 | 9 | 10 | | Теленгит-Сортогой | 9 | 9 | 10 | | Ябоган | 8 | 9 | 10 |
Карагай | 8 | 8 | 9 | | Теньга | 8 | 9 | 10 | | Яконур | 8 | 9 | 10 |
Республика Башкортостан |
Архангельское | - | - | 6 | | Исянгулово | - | - | 6 | | Мурсалимкино | - | - | 6 |
Аскарово | - | - | 6 | | Ишимбай | - | - | 6 | | Новобелокатай | - | 6 | 7 |
| | | | | Кананикольское | - | - | 6 | | Первомайский | - | - | 6 |
Баймак | - | - | 6 | | Караидельский | - | - | 6 | | Салават | - | - | 6 |
Белорецк | - | - | 6 | | Красноусольский | - | - | 6 | | Сибай | - | - | 6 |
Бурибай | - | - | 6 | | Кумертау | - | - | 6 | | Тирлянский | - | - | 6 |
Верх. Киги | - | - | 6 | | Ломовка | - | - | 6 | | Тубинский | - | - | 6 |
Верх. Авзян | - | - | 6 | | Маячный | - | - | 6 | | Тукан | - | - | 6 |
Воскресенское | - | - | 6 | | Мелеуз | - | - | 6 | | Улу-Теляк | - | - | 6 |
Ермолаево | - | - | 6 | | Месягутово | - | - | 6 | | Учалы | - | - | 6 |
Зирган | - | - | 6 | | Миндяк | - | - | 6 | | Юмагузино | - | - | 6 |
Инзер | - | - | 6 | | Мраково | - | - | 6 | | | | | |
Республика Бурятия |
Аршан | 8 | 9 | 10 | | Кудара-Сомон | 7 | 8 | 9 | | Сокол | 8 | 8 | 9 |
Бабушкин | 9 | 9 | 10 | | Куйтун | 7 | 8 | 9 | | Сосново-Озерское | 6 | 7 | 8 |
Баргузин | 8 | 9 | 9 | | Кырен | 8 | 9 | 10 | | Сотниково | 8 | 8 | 9 |
Баянгол | 8 | 8 | 9 | | Кяхта | 8 | 8 | 9 | | Старое Татаурово | 8 | 9 | 9 |
Бичура | 7 | 8 | 9 | | Мал. Куналей | 7 | 8 | 9 | | Таксимо | 9 | 9 | 10 |
Большой Луг | 7 | 8 | 9 | | Михайловка | 7 | 8 | 9 | | Таловка | 8 | 9 | 10 |
Большая Кудара | 7 | 8 | 9 | | Мишиха | 9 | 9 | 10 | | Тарбагатай | 8 | 8 | 9 |
Большой Куналей | 7 | 8 | 9 | | Мухоршибирь | 7 | 8 | 9 | | Татаурово | 8 | 9 | 9 |
Брянск | 8 | 9 | 10 | | Нарын | 7 | 8 | 9 | | Ташир | 8 | 8 | 9 |
Верхний Жирим | 8 | 8 | 9 | | Наушки | 8 | 8 | 9 | | Тимлюй | 8 | 9 | 10 |
Выдрино | 9 | 9 | 10 | | Нижнеангарск | 9 | 9 | 10 | | Тоннельный | 9 | 9 | 10 |
Гусиное Озеро | 8 | 8 | 9 | | Ниж. Бургалтай | 8 | 8 | 9 | | Торы | 8 | 9 | 10 |
Гэгэтуй | 8 | 8 | 9 | | Ниж. Саянтуй | 8 | 8 | 9 | | Тохой | 8 | 8 | 9 |
Десятниково | 7 | 8 | 9 | | Ниж. Торей | 7 | 8 | 9 | | Тресково | 8 | 9 | 10 |
Джида | 8 | 8 | 9 | | Ниж. Иволга | 8 | 8 | 9 | | Троицкое | 8 | 9 | 9 |
Дырестуй | 8 | 8 | 9 | | Николаевский | 7 | 8 | 9 | | Тунка | 8 | 9 | 10 |
Дэдэ-Ичетуй | 8 | 8 | 9 | | Новый Уоян | 9 | 9 | 10 | | Турка | 8 | 9 | 10 |
Елань | 7 | 8 | 9 | | Новоильинск | 7 | 8 | 9 | | Турунтаево | 8 | 9 | 9 |
Жаргаланта | 8 | 8 | 9 | | Новокижингинск | 7 | 7 | 8 | | Улан-Удэ | 8 | 8 | 9 |
Жемчуг | 8 | 9 | 10 | | Новоселенгинск | 8 | 8 | 9 | | Улекчин | 7 | 8 | 9 |
Заиграево | 7 | 8 | 9 | | Новый Заган | 7 | 8 | 9 | | Унгуркуй | 7 | 8 | 9 |
Закаменск | 7 | 8 | 9 | | Оер | 7 | 8 | 9 | | Усть-Баргузин | 8 | 9 | 10 |
Заозерный | 8 | 8 | 9 | | Оймур | 9 | 9 | 10 | | Усть-Киран | 7 | 8 | 9 |
Заречный | 8 | 8 | 9 | | Окино-Ключи | 7 | 8 | 9 | | Усть-Кяхта | 8 | 8 | 9 |
Зун-Мурино | 8 | 9 | 10 | | Онохой | 8 | 8 | 9 | | Харашибирь | 7 | 8 | 9 |
Зурган-Дэбэ | 7 | 8 | 9 | | Орлик | 8 | 9 | 10 | | Холтосон | 8 | 8 | 9 |
Иволгинск | 8 | 8 | 9 | | Оронгой | 8 | 8 | 9 | | Хоринск | 7 | 7 | 8 |
Ильинка | 8 | 9 | 9 | | Осиновка | 9 | 9 | 10 | | Хоронхой | 8 | 8 | 9 |
Илька | 7 | 8 | 9 | | Петропавловка | 8 | 8 | 9 | | Хужиры | 8 | 9 | 10 |
Инзагатуй | 8 | 8 | 9 | | Подлопатки | 7 | 8 | 9 | | Цакир | 7 | 8 | 9 |
Кабанск | 8 | 9 | 10 | | Санага | 8 | 8 | 9 | | Цолга | 7 | 8 | 9 |
Каленово | 8 | 8 | 9 | | Сахарный Завод | 7 | 8 | 9 | | Чикой | 7 | 8 | 9 |
Каменск | 8 | 9 | 10 | | Северобайкальск | 9 | 9 | 10 | | Шаралдай | 7 | 8 | 9 |
Кижинга | 7 | 7 | 8 | | Северомуйск | 9 | 9 | 10 | | Шибертуй | 7 | 8 | 9 |
Кичера | 9 | 9 | 10 | | Селенгинск | 8 | 9 | 10 | | Эрхирик | 8 | 8 | 9 |
Кудара | 9 | 9 | 10 | | Селендума | 8 | 8 | 9 | | Янчукан | 9 | 9 | 10 |
Республика Дагестан |
Аксай | 8 | 8 | 9 | | Избербаш | 9 | 9 | 10 | | Манаскент | 9 | 9 | 10 |
Альбурикент | 8 | 9 | 10 | | Карабудахкент | 9 | 9 | 10 | | Махачкала | 8 | 9 | 10 |
Ахты | 9 | 9 | 10 | | Каспийск | 8 | 9 | 10 | | Ново-Гагатли | 8 | 8 | 9 |
Ачису | 9 | 9 | 10 | | Касумкент | 9 | 9 | 10 | | Новый Кяхулай | 8 | 9 | 10 |
Бабаюрт | 8 | 8 | 9 | | Кизилюрт | 8 | 9 | 9 | | Новый Сулак | 8 | 9 | 9 |
Бавтугай | 8 | 9 | 9 | | Кизляр | 7 | 8 | 8 | | Сулак | 8 | 8 | 9 |
Белиджи | 9 | 9 | 10 | | Комсомольский | 7 | 8 | 8 | | Султан-Янгиюрт | 8 | 9 | 9 |
Ботлих | 9 | 9 | 10 | | Кубачи | 9 | 9 | 10 | | Тарки | 8 | 9 | 10 |
Буйнакск | 9 | 9 | 10 | | Куруш | 8 | 8 | 9 | | Тюбе | 8 | 9 | 10 |
Дагестанские Огни | 9 | 9 | 10 | | Кяхулай | 8 | 9 | 10 | | Хасавюрт | 8 | 9 | 9 |
Дербент | 9 | 9 | 10 | | Леваши | 9 | 9 | 10 | | Шамилькала | 9 | 9 | 10 |
Дубки | 9 | 9 | 10 | | Маджалис | 9 | 9 | 10 | | Шамхал | 8 | 9 | 9 |
Дылым | 9 | 9 | 10 | | Мамедкала | 9 | 9 | 10 | | Южно-Сухокумск | 6 | 7 | 7 |
Республика Ингушетия |
Ассиновская | 9 | 9 | 10 | | Назрань | 8 | 9 | 10 | | Нестеровская | 9 | 9 | 10 |
Горагорский | 8 | 9 | 9 | | Нартан | 8 | 9 | 9 | | Серноводск | 8 | 9 | 10 |
Карабулак | 8 | 9 | 10 | | Насыр-Корт | 8 | 9 | 10 | | Сурхахи | 8 | 9 | 10 |
Малгобек | 8 | 9 | 9 | | Ненже | 8 | 9 | 9 | | Троицкая | 8 | 9 | 10 |
Кабардино-Балкарская Республика |
Аргудан | 8 | 9 | 9 | | Кызбурун Третий | 8 | 9 | 9 | | Тырныауз | 8 | 9 | 10 |
Баксан | 8 | 8 | 9 | | Майский | 8 | 8 | 9 | | Хасанья | 8 | 9 | 9 |
Заюково | 8 | 9 | 9 | | Нальчик | 8 | 9 | 9 | | Чегем Второй | 8 | 9 | 9 |
Залукокоаже | 8 | 8 | 9 | | Нарткала | 8 | 9 | 9 | | Чегем Первый | 8 | 9 | 9 |
Исламень | 8 | 9 | 9 | | Прохладный | 8 | 8 | 9 | | Шалушка | 8 | 9 | 9 |
Кахун | 8 | 9 | 9 | | Сармаково | 8 | 8 | 9 | | | | | |
Кашхатау | 8 | 9 | 9 | | Терек | 8 | 9 | 9 | | | | | |
Республика Калмыкия |
Большой Царын | - | - | 7 | | Комсомольский | 6 | 6 | 7 | | Троицкое | - | - | 6 |
Городовиковск | - | 6 | 6 | | Лагань | - | 6 | 6 | | Элиста | - | - | 6 |
Ики-Бурул | - | 6 | 6 | | Садовое | - | - | 6 | | Яшкуль | - | - | 7 |
Карачаево-Черкесская Республика |
Теберда | 8 | 9 | 10 | | Черкесск | 8 | 8 | 9 | | | | | |
Республика Карелия |
Калевала | - | - | 6 | | Лоухи | - | 6 | 7 | | Чупа | - | 6 | 7 |
Кемь | - | - | 6 | | Пяозерский | - | - | 6 | | | | | |
Республика Коми |
Благоево | - | - | 6 | | Кослан | - | - | 6 | | Трусово | - | - | 6 |
Боровой | - | - | 6 | | Курья | - | - | 6 | | Усогорск | - | - | 6 |
Важгорт | - | 6 | 7 | | Летка | - | - | 6 | | Усть-Кулом | - | - | 6 |
Вендинга | - | - | 6 | | Пожег | - | - | 6 | | Югыдъяг | - | - | 6 |
Водный | - | - | 6 | | Помоздино | - | - | 6 | | Ухта | - | - | 6 |
Кожым | - | - | 6 | | Сосногорск | - | - | 6 | | Ярега | - | - | 6 |
Республика Крым |
Азовское | 7 | 7 | 8 | | Комсомольское | 7 | 8 | 9 | | Первомайское | 6 | 7 | 7 |
Алупка | 8 | 9 | 10 | | Кореиз | 8 | 9 | 10 | | Планерское | 8 | 8 | 9 |
Алушта | 8 | 9 | 10 | | Красногвардейское | 7 | 7 | 8 | | Понизовка | 8 | 9 | 10 |
Армянск | 6 | 6 | 7 | | Краснокаменка | 8 | 9 | 10 | | Почтовое | 8 | 8 | 9 |
Багерово | 8 | 9 | 9 | | Красноперекопск | 6 | 6 | 7 | | Приморский | 8 | 8 | 9 |
Бахчисарай | 8 | 8 | 9 | | Куйбышево | 8 | 8 | 9 | | Раздольное | 6 | 6 | 7 |
Белогорск | 8 | 8 | 9 | | Ленино | 8 | 8 | 9 | | Саки | 7 | 7 | 8 |
Владиславовка | 8 | 8 | 9 | | Ливадия | 8 | 9 | 10 | | Санаторное | 8 | 9 | 10 |
Вольное | 7 | 7 | 8 | | Массандра | 8 | 9 | 10 | | Симеиз | 8 | 9 | 10 |
Гаспра | 8 | 9 | 10 | | Мирный | 7 | 7 | 8 | | Симферополь | 7 | 8 | 8 |
Гвардейское | 6 | 7 | 7 | | Молодежное | 7 | 8 | 9 | | Советский | 7 | 8 | 8 |
Голубой Залив | 8 | 9 | 10 | | Научный | 8 | 8 | 9 | | Старый Крым | 8 | 8 | 9 |
Горностаевка | 8 | 9 | 9 | | Нижнегорский | 7 | 7 | 8 | | Судак | 8 | 9 | 9 |
Гурзуф | 8 | 9 | 10 | | Николаевка | 7 | 8 | 8 | | Феодосия | 8 | 8 | 9 |
Джанкой | 6 | 7 | 7 | | Новоозерное | 7 | 7 | 8 | | Форос | 8 | 9 | 10 |
Евпатория | 7 | 7 | 8 | | Новоселовское | 6 | 7 | 7 | | Черноморское | 6 | 6 | 7 |
Заозерное | 7 | 7 | 8 | | Орджоникидзе | 8 | 8 | 9 | | Щебетовка | 8 | 8 | 9 |
Зуя | 7 | 8 | 8 | | Ореанда | 8 | 9 | 10 | | Щелкино | 8 | 8 | 9 |
Керчь | 8 | 9 | 9 | | Парковое | 8 | 9 | 10 | | Яковенково | 8 | 9 | 9 |
Кировское | 8 | 8 | 9 | | Партенит | 8 | 9 | 10 | | Ялта | 8 | 9 | 10 |
Город федерального значения Севастополь |
Балаклава | 8 | 9 | 9 | | Инкерман | 8 | 9 | 9 | | Любимовка | 8 | 8 | 9 |
Верхнесадовое | 8 | 8 | 9 | | Кача | 8 | 8 | 9 | | Севастополь | 8 | 9 | 9 |
Республика Марий Эл |
Визимьяры | - | 6 | 7 | | Красный Стекловар | 6 | 6 | 7 | | Оршанка | - | - | 6 |
Волжск | 6 | 6 | 7 | | Куженер | - | - | 6 | | Параньга | - | - | 6 |
Звенигово | 6 | 6 | 7 | | Мари-Турек | - | - | 6 | | Приволжский | 6 | 6 | 7 |
Йошкар-Ола | - | - | 6 | | Мариец | - | - | 7 | | Сернур | - | - | 6 |
Килемары | - | - | 6 | | Медведево | - | - | 6 | | Советский | - | - | 6 |
(в ред. Изменения N 3, утв. Приказом Минстроя России от 31.05.2022 N 434/пр) |
Козьмодемьянск | 6 | 6 | 7 | | Морки | - | 6 | 7 | | Суслонгер | - | 6 | 7 |
Красногорский | 6 | 6 | 7 | | Мочалище | - | 6 | 7 | | Юрино | 6 | 6 | 7 |
Республика Саха (Якутия) |
Алдан | 6 | 7 | 7 | | Кулар | 8 | 8 | 9 | | Светлый | - | - | - |
Аллах-Юнь | 7 | 8 | 9 | | Кысыл-Сыр | 6 | 6 | 7 | | Северный | 8 | 8 | 9 |
Амга | - | - | 6 | | Лазо | 8 | 8 | 9 | | Серебряный Бор | 8 | 8 | 9 |
Артык | 8 | 9 | 10 | | Лебединый | 6 | 7 | 8 | | Солнечный | 7 | 8 | 9 |
Батагай | 8 | 8 | 9 | | Ленинский | 6 | 7 | 7 | | Табага | 6 | 7 | 8 |
Безымянный | 6 | 6 | 7 | | Ленек | - | 6 | 7 | | Тенкели | 8 | 8 | 9 |
Белая Гора | 6 | 7 | 7 | | Маган | 6 | 7 | 8 | | Тикси | 8 | 9 | 10 |
Бердигестях | - | - | 6 | | Майя | 6 | 7 | 8 | | Томмот | - | 6 | 7 |
Беркакит | 8 | 8 | 10 | | Марха | - | - | 6 | | Торго | 7 | 8 | 8 |
Бестях | - | 6 | 7 | | Мохсоголлох | - | 6 | 7 | | Усть-Куйга | 8 | 8 | 9 |
Бол. Нимныр | 7 | 7 | 8 | | Нагорный | 8 | 8 | 9 | | Усть-Мая | 6 | 6 | 7 |
Борогонцы | 6 | 6 | 7 | | Намцы | 6 | 6 | 7 | | Усть-Нера | 8 | 9 | 10 |
Бриндакит | 7 | 8 | 9 | | Нежданинское | 7 | 8 | 9 | | Хандыга | 6 | 7 | 7 |
Быковский | 8 | 9 | 10 | | Нелькан | 8 | 9 | 9 | | Хани | 9 | 9 | 10 |
Верхоянск | 7 | 8 | 8 | | Нерюнгри | 8 | 8 | 10 | | Хонуу | 8 | 8 | 9 |
Витим | 6 | 7 | 8 | | Нижнеянск | 9 | 9 | 10 | | Чагда | 6 | 6 | 7 |
Власово | 8 | 8 | 9 | | Ниж. Бестях | 6 | 7 | 8 | | Черский | - | 6 | 7 |
Депутатский | 8 | 8 | 9 | | Ниж. Куранах | 6 | 6 | 7 | | Чульман | 7 | 8 | 9 |
Джебарики-Хая | 7 | 7 | 8 | | Оймякон | 8 | 8 | 9 | | Чурапча | 6 | 7 | 8 |
Жатай | 6 | 7 | 8 | | Олекминск | - | - | 6 | | Ыллымах | 6 | 7 | 7 |
Жиганск | - | - | 6 | | Оленегорск | 6 | 6 | 7 | | Ыныкчан | 7 | 8 | 9 |
Заречный | 6 | 6 | 7 | | Ольчан | 8 | 8 | 9 | | Ытык-Кюель | 6 | 6 | 7 |
Звездочка | 7 | 8 | 9 | | Пеледуй | 6 | 7 | 8 | | Эльгинский | 8 | 8 | 9 |
Золотинка | 8 | 9 | 10 | | Покровск | - | 6 | 7 | | Эльдикан | 6 | 7 | 8 |
Зырянка | 6 | 6 | 8 | | Предпорожный | 8 | 8 | 9 | | Эсэ-Хайя | 8 | 8 | 9 |
Кангалассы | 6 | 7 | 8 | | Сангар | 6 | 7 | 7 | | Югоренок | 7 | 8 | 9 |
Канкунский | 7 | 7 | 8 | | Сарылах | 8 | 8 | 9 | | Якутск | 6 | 7 | 8 |
Республика Северная Осетия - Алания |
Алагир | 8 | 9 | 10 | | Дигора | 8 | 9 | 9 | | Моздок | 8 | 8 | 9 |
Ардон | 8 | 9 | 9 | | Заводской | 9 | 9 | 10 | | Ногир | 8 | 9 | 9 |
Архонская | 8 | 9 | 9 | | Змейская | 8 | 9 | 9 | | Октябрьское | 8 | 9 | 9 |
Беслан | 8 | 9 | 9 | | Камбилеевское | 8 | 9 | 9 | | Садон | 9 | 9 | 10 |
Бурон | 9 | 9 | 10 | | Кизляр | 8 | 8 | 9 | | Старый Лексен | 8 | 9 | 9 |
Верх. Згид | 9 | 9 | 10 | | Луковская | 8 | 8 | 9 | | Холст | 9 | 9 | 10 |
Верх. Фиагдон | 9 | 9 | 10 | | Мизур | 9 | 9 | 10 | | Чикола | 8 | 9 | 9 |
Владикавказ | 8 | 9 | 10 | | Михайловское | 8 | 9 | 9 | | Эльхотово | 8 | 9 | 9 |
Республика Татарстан (Татарстан) |
Агрыз | - | - | 6 | | Заинек | - | 6 | 7 | | Мамадыш | 6 | 6 | 7 |
Аксубаево | - | 6 | 7 | | Зеленая Роща | - | - | 6 | | Менделеевск | - | 6 | 7 |
Актюбинский | - | - | 6 | | Зеленодольск | 6 | 6 | 7 | | Набережные Челны | - | 6 | 7 |
Алексеевское | - | 6 | 7 | | Казань | 6 | 6 | 7 | | Нижнекамск | 6 | 6 | 7 |
Альметьевск | - | - | 6 | | Камские Поляны | - | 6 | 7 | | Ниж. Вязовые | 6 | 6 | 7 |
Арск | 6 | 6 | 7 | | Камское Устье | - | 6 | 7 | | Ниж. Мактама | - | - | 6 |
Богатые Сабы | 6 | 6 | 7 | | Карабаш | - | - | 6 | | Нурлат | - | 6 | 7 |
Болгар | - | - | 7 | | Кошки | - | 6 | 7 | | Русский Акташ | - | 6 | 7 |
Буинск | - | - | 6 | | Куйбышевск. Затон | - | - | 7 | | Сарманово | - | - | 6 |
Васильево | 6 | 6 | 7 | | Кукмор | - | 6 | 7 | | Тетюши | - | - | 6 |
Дербешкинский | - | - | 6 | | Лаишево | - | 6 | 7 | | Чистополь | - | 6 | 7 |
Джалиль | - | - | 6 | | Лениногорск | - | - | 6 | | Шемордан | - | 6 | 7 |
Елабуга | - | 6 | 7 | | Лубяны | - | 6 | 7 | | Шугорово | - | - | 6 |
Республика Тыва |
Адыр-Кежиг | 8 | 9 | 10 | | Ишти-Хем | 8 | 9 | 10 | | Успенка | 8 | 9 | 10 |
Ак-Даш | 8 | 9 | 10 | | Каа-Хем | 8 | 9 | 10 | | Усть-Бурен | 8 | 8 | 10 |
Ак-Довурак | 9 | 9 | 10 | | Кара-Хаак | 8 | 9 | 10 | | Усть-Элегест | 8 | 9 | 10 |
Ак-Дуруг | 8 | 9 | 10 | | Кара-Холь | 9 | 9 | 10 | | Уюк | 8 | 9 | 10 |
Ак-Тал | 8 | 9 | 10 | | Кок-Хаак | 8 | 8 | 10 | | Хадын | 8 | 9 | 10 |
Ак-Чыраа | 8 | 9 | 10 | | Кочетово | 8 | 9 | 10 | | Хайыракан | 8 | 9 | 10 |
Ак-Эрик | 8 | 9 | 10 | | Кунгуртуг | 8 | 9 | 10 | | Хандагайты | 8 | 9 | 10 |
Алдан-Маадыр | 8 | 9 | 10 | | Кундустуг | 8 | 8 | 10 | | Хову-Аксы | 8 | 9 | 10 |
Аржаан | 8 | 9 | 10 | | Кызыл | 8 | 9 | 10 | | Холь-Оожу | 8 | 9 | 10 |
Арыг-Узю | 8 | 9 | 10 | | Кызыл-Даг | 9 | 9 | 10 | | Хонделен | 9 | 9 | 10 |
Арыскан | 8 | 9 | 10 | | Кызыл-Мажалык | 9 | 9 | 10 | | Хондергей | 8 | 9 | 10 |
Бай-Хаак | 8 | 9 | 10 | | Кызыл-Тайга | 8 | 9 | 10 | | Хорум-Даг | 8 | 9 | 10 |
Балгазын | 8 | 9 | 10 | | Кызыл-Хая | 9 | 9 | 10 | | Хут | 8 | 8 | 9 |
Барлык | 9 | 9 | 10 | | Межегей | 8 | 9 | 10 | | Целинное | 8 | 8 | 10 |
Баян-Кол | 8 | 9 | 10 | | Морен | 8 | 9 | 10 | | Чаа-Суур | 8 | 9 | 10 |
Баян-Тала | 8 | 9 | 10 | | Мугур-Аксы | 9 | 9 | 10 | | Чадан | 8 | 9 | 10 |
Белдир-Арыг | 8 | 9 | 10 | | Нарын | 8 | 9 | 10 | | Чазылар | 8 | 8 | 9 |
Берт-Даг | 8 | 9 | 10 | | Саглы | 9 | 9 | 10 | | Чал-Кежиг | 8 | 9 | 10 |
Бижиктиг-Хая | 9 | 9 | 10 | | Самагалтай | 8 | 9 | 10 | | Черби | 8 | 9 | 10 |
Бора-Тайга | 8 | 9 | 10 | | Сарыг-Сеп | 8 | 8 | 10 | | Чодураа | 8 | 9 | 10 |
Бояровка | 8 | 8 | 10 | | Сесерлиг | 8 | 9 | 10 | | Шагонар | 8 | 9 | 10 |
Булун-Бажи | 8 | 9 | 10 | | Сизим | 8 | 8 | 10 | | Шамбалыг | 8 | 8 | 10 |
Булун-Терек | 8 | 9 | 10 | | Сосновка | 8 | 9 | 10 | | Шанчы | 8 | 9 | 10 |
Бурен-Бай-Хак | 8 | 8 | 10 | | Суг-Бажы | 8 | 8 | 10 | | Шекпээр | 9 | 9 | 10 |
Бурен-Хем | 8 | 8 | 10 | | Суш | 8 | 9 | 10 | | Шеми | 8 | 9 | 10 |
Владимировка | 8 | 9 | 10 | | Тарлаг | 8 | 8 | 10 | | Шуурмак | 8 | 9 | 10 |
Дон-Терезин | 9 | 9 | 10 | | Теве-Хая | 8 | 9 | 10 | | Ырбан | 8 | 8 | 9 |
Ий | 8 | 8 | 9 | | Тора-Хем | 8 | 8 | 10 | | Элегест | 8 | 9 | 10 |
Ийи-Тал | 8 | 9 | 10 | | Торгалыг | 8 | 9 | 10 | | Эрги-Барлык | 9 | 9 | 10 |
Ийме | 8 | 9 | 10 | | Туран | 8 | 8 | 10 | | Эрзин | 8 | 9 | 10 |
Ильинка | 8 | 8 | 10 | | Тээли | 9 | 9 | 10 | | Ээрбек | 8 | 9 | 10 |
Республика Хакасия |
Абаза | 7 | 8 | 9 | | Вершина Тея | 7 | 7 | 8 | | Саяногорск | 7 | 8 | 8 |
Абакан | 7 | 7 | 8 | | Жемчужный | 6 | 7 | 8 | | Сонский | 7 | 7 | 8 |
Аскиз | 7 | 7 | 8 | | Коммунар | 6 | 7 | 8 | | Сорск | 7 | 7 | 8 |
Балыкса | 7 | 7 | 8 | | Копьево | 6 | 7 | 8 | | Туим | 6 | 7 | 8 |
Бельтырское | 7 | 8 | 8 | | Майна | 7 | 8 | 9 | | Усть-Абакан | 7 | 7 | 8 |
Бея | 7 | 8 | 8 | | Майнагашев | 7 | 7 | 8 | | Черемушки | 7 | 8 | 9 |
Бирикчул | 7 | 7 | 8 | | Пригорск | 7 | 7 | 8 | | Черногорск | 7 | 7 | 8 |
Бискамжа | 7 | 7 | 8 | | Приисковый | 6 | 7 | 8 | | Шира | 6 | 7 | 8 |
Чеченская Республика |
Аргун | 8 | 9 | 10 | | Ищерская | 8 | 8 | 9 | | Старая Сунжа | 8 | 9 | 9 |
Ачхой-Мартан | 9 | 9 | 10 | | Катыр-Юрт | 9 | 9 | 10 | | Толстой-Юрт | 8 | 9 | 9 |
Герменчук | 9 | 9 | 10 | | Курчалой | 8 | 9 | 10 | | Урус-Мартан | 9 | 9 | 10 |
Горагорский | 8 | 9 | 9 | | Лаха-Невре | 8 | 8 | 9 | | Цоцин-Юрт | 8 | 9 | 10 |
Грозный | 8 | 9 | 10 | | Наурская | 8 | 8 | 9 | | Чири-Юрт | 9 | 9 | 10 |
Гудермес | 8 | 9 | 9 | | Ойсхара | 8 | 9 | 10 | | Шали | 9 | 9 | 10 |
Знаменское | 8 | 8 | 9 | | Старые Атаги | 9 | 9 | 10 | | Щелковская | 8 | 8 | 9 |
Чувашская Республика - Чувашия |
Вурнары | - | - | 6 | | Мариинский Посад | 6 | 6 | 7 | | Цивильск | 6 | 6 | 7 |
Канаш | - | - | 6 | | Новочебоксарск | 6 | 6 | 7 | | Чебоксары | 6 | 6 | 7 |
Козловка | 6 | 6 | 7 | | Сосновка | 6 | 6 | 7 | | Ядрин | - | 6 | 7 |
Кугеси | 6 | 6 | 7 | | Урмары | - | 6 | 6 | | | | | |
КРАЯ |
Алтайский край |
Алейск | 7 | 7 | 8 | | Ключи | 6 | 6 | 7 | | Сибирский | 6 | 7 | 8 |
Алтайский | 8 | 8 | 9 | | Косиха | 7 | 7 | 8 | | Славгород | - | 6 | 7 |
Баево | 6 | 6 | 8 | | Красногорское | 7 | 8 | 9 | | Смоленское | 7 | 8 | 9 |
Барнаул | 6 | 7 | 8 | | Краснощеково | 7 | 8 | 9 | | Советское | 7 | 8 | 9 |
Белоярск | 6 | 7 | 8 | | Кулунда | - | 6 | 7 | | Соколово | 7 | 8 | 9 |
Бийск | 7 | 8 | 8 | | Майма | 8 | 8 | 9 | | Сорокино | 7 | 8 | 9 |
Благовещенка | 6 | 6 | 7 | | Малиновое Озеро | 6 | 6 | 7 | | Степное Озеро | 6 | 6 | 7 |
Боровиха | 6 | 7 | 8 | | Мамонтово | 6 | 7 | 8 | | Тальменка | 6 | 7 | 8 |
Боровлянка | 7 | 7 | 8 | | Михайловское | 6 | 6 | 7 | | Тогул | 7 | 7 | 8 |
Бурсоль | - | 6 | 7 | | Научный Городок | 6 | 7 | 8 | | Топчиха | 7 | 7 | 8 |
Быстрый Исток | 7 | 8 | 9 | | Новоалтайск | 6 | 7 | 8 | | Троицкое | 7 | 8 | 9 |
Волчиха | 6 | 6 | 7 | | Новоегорьевское | 6 | 7 | 8 | | Тюменцево | 6 | 7 | 8 |
Горняк | 6 | 7 | 8 | | Новосиликатный | 6 | 7 | 8 | | Тягун | 6 | 7 | 8 |
Завьялово | 6 | 6 | 8 | | Павловск | 6 | 7 | 8 | | Целинное | 7 | 7 | 8 |
Залесово | 6 | 7 | 8 | | Поспелиха | 7 | 7 | 8 | | Черемное | 6 | 7 | 8 |
Заринск | 6 | 7 | 8 | | Ребриха | 6 | 7 | 8 | | Шипуново | 7 | 8 | 9 |
Затон | 6 | 7 | 8 | | Родино | 6 | 6 | 7 | | Южный | 6 | 7 | 8 |
Змеиногорск | 7 | 7 | 8 | | Романово | 6 | 7 | 8 | | Яровое | - | 6 | 7 |
Камень-на-Оби | 6 | 7 | 8 | | Рубцовск | 6 | 7 | 8 | | | | | |
Забайкальский край |
Абагайтуй | 6 | 7 | 8 | | Кактолга | 6 | 7 | 8 | | Погодаево | 6 | 7 | 8 |
Агинское | 6 | 6 | 8 | | Калга | 6 | 7 | 8 | | Пограничный | 6 | 7 | 8 |
Аксеново-Зиловское | 6 | 7 | 8 | | Калинино | 6 | 7 | 8 | | Прав. Кумаки | 6 | 7 | 8 |
Акурай | 6 | 7 | 8 | | Капцегайтуй | 6 | 7 | 8 | | Приаргунск | 6 | 7 | 8 |
Акша | 6 | 7 | 8 | | Карымское | 6 | 7 | 8 | | Приисковый | 6 | 7 | 8 |
Александровка | 6 | 7 | 8 | | Катаево | 7 | 8 | 9 | | Размахнино | 6 | 7 | 8 |
Алия | 6 | 7 | 8 | | Катангар | 7 | 8 | 9 | | Савва-Борзя | 6 | 7 | 8 |
Алтан | 6 | 7 | 8 | | Кличка | 6 | 7 | 8 | | Савватеево | 6 | 7 | 8 |
Альбитуй | 7 | 8 | 9 | | Ключевский | 7 | 7 | 8 | | Сбега | 6 | 7 | 8 |
Амазар | 7 | 7 | 8 | | Ключевское | 6 | 7 | 8 | | Селинда | 6 | 7 | 8 |
Арахлей | 6 | 7 | 8 | | Ковыли | 6 | 7 | 8 | | Семиозерный | 7 | 7 | 8 |
Арбагар | 6 | 7 | 8 | | Козлово | 6 | 7 | 8 | | Сивяково | 6 | 7 | 8 |
Аргунск | 6 | 7 | 8 | | Комсомольское | 6 | 7 | 8 | | Смоленка | 6 | 7 | 8 |
Аренда | 6 | 7 | 8 | | Кондуй | 6 | 7 | 8 | | Соктуй-Милозан | 6 | 7 | 8 |
Арта | 6 | 7 | 8 | | Конкино | 7 | 8 | 9 | | Соловьевск | 6 | 7 | 8 |
Архангельское | 7 | 8 | 9 | | Копунь | 6 | 7 | 8 | | Солончный | 6 | 7 | 8 |
Атамановка | 6 | 7 | 8 | | Коротково | 7 | 8 | 9 | | Сохондо | 6 | 7 | 8 |
Бада | 7 | 7 | 8 | | Красная Ималка | 6 | 7 | 8 | | Среднеаргунск | 6 | 7 | 8 |
Байгул | 6 | 7 | 8 | | Краснокаменск | 6 | 7 | 8 | | Средний Калар | 8 | 9 | 9 |
Байхор | 7 | 8 | 9 | | Красноярово | 6 | 7 | 8 | | Средняя Борзя | 6 | 7 | 8 |
Балей | 6 | 7 | 8 | | Красный Великан | 6 | 7 | 8 | | Средняя Олекма | 7 | 8 | 9 |
Бальзой | 6 | 7 | 8 | | Красный Чикой | 7 | 8 | 9 | | Староцурухайтуй | 6 | 7 | 8 |
Баляга | 7 | 8 | 9 | | Ксеньевка | 7 | 7 | 8 | | Старый Олов | 6 | 7 | 8 |
Баляга-Катангар | 7 | 8 | 9 | | Куанда | 9 | 9 | 10 | | Степной | 6 | 7 | 8 |
Батакан | 6 | 7 | 8 | | Кузнецово | 6 | 7 | 8 | | Тайна | 6 | 7 | 8 |
Безречная | 6 | 6 | 8 | | Куйтун | 6 | 7 | 8 | | Талман-Борзя | 6 | 7 | 8 |
Беклемишево | 6 | 7 | 8 | | Кулусутай | 6 | 7 | 8 | | Танга | 6 | 7 | 8 |
Биликтуй | 6 | 7 | 8 | | Курорт-Дарасун | 6 | 7 | 8 | | Таптугары | 7 | 7 | 8 |
Бищигино | 6 | 7 | 8 | | Курулга | 6 | 7 | 8 | | Тарбагатай | 7 | 8 | 9 |
Богдановка | 6 | 7 | 8 | | Курунзулай | 6 | 7 | 8 | | Тарбальджей | 6 | 7 | 8 |
Богомягково | 6 | 7 | 8 | | Кутугай | 6 | 7 | 8 | | Татаурово | 6 | 7 | 8 |
Бол. Боты | 6 | 7 | 8 | | Кыкер | 6 | 7 | 8 | | Толбага | 7 | 8 | 9 |
Бол. Речка | 7 | 8 | 9 | | Кыра | 6 | 7 | 8 | | Тохтор | 6 | 7 | 8 |
Бол. Зерентуй | 6 | 7 | 8 | | Ленинский | 6 | 7 | 8 | | Трубачево | 6 | 7 | 8 |
Борзя | 6 | 7 | 8 | | Лесной Городок | 6 | 7 | 8 | | Тунгокочен | 7 | 7 | 8 |
Бохто | 6 | 7 | 8 | | Линево Озеро | 6 | 7 | 8 | | Тупик | 7 | 7 | 8 |
Брусиловка | 6 | 7 | 8 | | Ложниково | 6 | 7 | 8 | | Турга | 6 | 7 | 8 |
Буйлэсан | 6 | 7 | 8 | | Любовь | 6 | 7 | 8 | | Тыргетуй | 6 | 7 | 8 |
Букачача | 6 | 7 | 8 | | Маккавеево | 6 | 7 | 8 | | Убур-Тохтор | 6 | 7 | 8 |
Булдуруй 1-й | 6 | 7 | 8 | | Мал. Тонтой | 6 | 7 | 8 | | Угдан | 6 | 7 | 8 |
Булум | 6 | 6 | 8 | | Малета | 7 | 8 | 9 | | Укурей | 6 | 7 | 8 |
Бура | 6 | 7 | 8 | | Малоархангельск | 7 | 8 | 9 | | Укурик | 6 | 7 | 8 |
Бурукан | 6 | 7 | 8 | | Малышево | 6 | 7 | 8 | | Улан | 6 | 7 | 8 |
Бурулятуй | 6 | 7 | 8 | | Мангут | 6 | 7 | 8 | | Улан-Цацык | 6 | 6 | 8 |
Бутунтай | 6 | 7 | 8 | | Манкечур | 6 | 7 | 8 | | Улача | 6 | 7 | 8 |
Бухта | 6 | 7 | 8 | | Маньково | 6 | 7 | 8 | | Улеты | 6 | 7 | 8 |
Бушулей | 6 | 7 | 8 | | Маргуцек | 6 | 7 | 8 | | Ульхун-Партия | 6 | 7 | 8 |
Бырка | 6 | 7 | 8 | | Матусово | 6 | 7 | 8 | | Ульякан | 6 | 7 | 8 |
Бытэв | 6 | 7 | 8 | | Менза | 7 | 7 | 8 | | Улятуй | 6 | 7 | 8 |
Васильевский Хутор | 6 | 7 | 8 | | Мильгидун | 6 | 7 | 8 | | Унда | 6 | 7 | 8 |
Верх. Калгукан | 6 | 7 | 8 | | Мирная | 6 | 6 | 8 | | Ундино-Поселье | 6 | 7 | 8 |
Верх. Куларки | 6 | 7 | 8 | | Мироново | 6 | 7 | 8 | | Урейск | 6 | 7 | 8 |
Верх. Куэнга | 6 | 7 | 8 | | Мирсаново | 6 | 7 | 8 | | Урлук | 7 | 8 | 9 |
Верх. Ульхун | 6 | 7 | 8 | | Митрофаново | 6 | 7 | 8 | | Уровские Ключи | 6 | 7 | 8 |
Верх. Усугли | 6 | 7 | 8 | | Михайловка | 6 | 7 | 8 | | Урульга | 6 | 6 | 8 |
Верх. Хила | 6 | 7 | 8 | | Михайло-Павловск | 6 | 7 | 8 | | Урулюнгуй | 6 | 7 | 8 |
Верх. Цасучей | 6 | 7 | 8 | | Могзон | 6 | 7 | 8 | | Усть-Иля | 6 | 7 | 8 |
Верх-Чита | 6 | 7 | 8 | | Могойтуй | 6 | 7 | 8 | | Усть-Ималка | 6 | 7 | 8 |
Верх. Шаранай | 6 | 6 | 8 | | Могоча | 7 | 7 | 8 | | Усть-Каренга | 7 | 7 | 8 |
Верх. Шергольджин | 7 | 8 | 9 | | Моклакан | 7 | 7 | 8 | | Усть-Наринзор | 6 | 7 | 8 |
Гавань | 6 | 7 | 8 | | Молодежный | 6 | 7 | 8 | | Усть-Обор | 7 | 8 | 9 |
Газимурский Завод | 6 | 7 | 8 | | Молодовск | 6 | 7 | 8 | | Усть-Озерная | 6 | 7 | 8 |
Галкино | 6 | 6 | 8 | | Мордой | 6 | 7 | 8 | | Усть-Тасуркай | 6 | 7 | 8 |
Гаур | 6 | 7 | 8 | | Мулино | 6 | 7 | 8 | | Усть-Теленгуй | 6 | 7 | 8 |
Георгиевка | 6 | 7 | 8 | | Нагорный | 6 | 7 | 8 | | Усугли | 6 | 7 | 8 |
Глинка | 7 | 7 | 8 | | Надежный | 6 | 7 | 8 | | Утан | 6 | 7 | 8 |
Глинянка | 6 | 7 | 8 | | Нарасун | 6 | 7 | 8 | | Ушмун | 6 | 7 | 8 |
Горбуновка | 6 | 7 | 8 | | Нарын-Талача | 6 | 6 | 8 | | Фирсово | 6 | 7 | 8 |
Горекацан | 6 | 7 | 8 | | Неляты | 9 | 9 | 10 | | Хаара-Бырка | 6 | 6 | 8 |
Горный Зерентуй | 6 | 7 | 8 | | Нерчинск | 6 | 7 | 8 | | Хада-Булак | 6 | 7 | 8 |
Гуля | 7 | 7 | 8 | | Ниж. Гирюнино | 6 | 7 | 8 | | Хадакта | 6 | 7 | 8 |
Давенда | 7 | 7 | 8 | | Ниж. Ильдикан | 6 | 7 | 8 | | Хапчеранга | 6 | 7 | 8 |
Дарасун | 6 | 7 | 8 | | Ниж. Калгукан | 6 | 7 | 8 | | Харагун | 6 | 7 | 8 |
Даурия | 6 | 7 | 8 | | Ниж. Ключи | 6 | 7 | 8 | | Харанор | 6 | 7 | 8 |
Долгокыча | 6 | 7 | 8 | | Ниж. Кокуй | 6 | 7 | 8 | | Харауз | 7 | 8 | 9 |
Домна | 6 | 7 | 8 | | Ниж. Стан | 6 | 7 | 8 | | Хилогосон | 7 | 7 | 8 |
Доно | 6 | 7 | 8 | | Ниж. Цасучей | 6 | 7 | 8 | | Хилок | 7 | 7 | 8 |
Доронинское | 6 | 7 | 8 | | Ниж. Шахтама | 6 | 7 | 8 | | Холбон | 6 | 7 | 8 |
Досауй | 6 | 7 | 8 | | Николаевка | 6 | 7 | 8 | | Холуй-База | 6 | 7 | 8 |
Дровяная | 6 | 7 | 8 | | Николаевское | 6 | 7 | 8 | | Хохотуй | 7 | 7 | 9 |
Дульдурга | 6 | 7 | 8 | | Новая Заря | 6 | 7 | 8 | | Хушенга | 6 | 7 | 8 |
Дунаево | 6 | 7 | 8 | | Новая Кука | 6 | 7 | 8 | | Цаган-Олуй | 6 | 7 | 8 |
Дурбачи | 6 | 7 | 8 | | Новая Чара | 9 | 9 | 10 | | Целинный | 6 | 7 | 8 |
Дурой | 6 | 7 | 8 | | Новоберезовское | 6 | 7 | 8 | | Чалдонка | 7 | 7 | 8 |
Единение | 6 | 7 | 8 | | Новоборзинское | 6 | 7 | 8 | | Чапо-Олого | 9 | 9 | 10 |
Елизаветино | 6 | 7 | 8 | | Новодоронинск | 6 | 7 | 8 | | Чара | 9 | 9 | 10 |
Жидка | 6 | 7 | 8 | | Новоивановка | 6 | 7 | 8 | | Чашино-Ильдикан | 6 | 7 | 8 |
Жимбира | 6 | 7 | 8 | | Новоильинск | 6 | 7 | 8 | | Черемхово | 7 | 7 | 8 |
Жиндо 1-е | 7 | 8 | 9 | | Новокручининский | 6 | 7 | 8 | | Чернышевск | 6 | 7 | 8 |
Жипхеген | 7 | 7 | 8 | | Новоорловск | 6 | 6 | 8 | | Чигильтуй | 6 | 7 | 8 |
Жирикен | 6 | 7 | 8 | | Новопавловка | 7 | 8 | 9 | | Чикичей | 6 | 7 | 8 |
Забайкальск | 6 | 7 | 8 | | Новотроицк | 6 | 7 | 8 | | Чиндагатай | 6 | 7 | 8 |
Заречное | 7 | 7 | 8 | | Новоцурухайтуй | 6 | 7 | 8 | | Чирон | 6 | 7 | 8 |
Засопка | 7 | 7 | 8 | | Новый Акатуй | 6 | 7 | 8 | | Чита | 6 | 7 | 8 |
Захарово | 7 | 8 | 8 | | Новый Дурулгуй | 6 | 7 | 8 | | Чупрово | 6 | 7 | 8 |
Зеленое Озеро | 7 | 7 | 8 | | Новый Олов | 6 | 7 | 8 | | Шара | 6 | 7 | 8 |
Зерен | 6 | 7 | 8 | | Норинск | 6 | 7 | 8 | | Шаранча | 6 | 7 | 8 |
Знаменка | 6 | 7 | 8 | | Октябрьский | 6 | 7 | 8 | | Шерловая Гора | 6 | 7 | 8 |
Золотореченск | 6 | 7 | 8 | | Олекан | 6 | 7 | 8 | | Шивия | 6 | 7 | 8 |
Зоргол | 6 | 7 | 8 | | Оленгуй | 6 | 7 | 8 | | Шилка | 6 | 7 | 8 |
Зугмара | 7 | 8 | 9 | | Олинск | 6 | 7 | 8 | | Шимбилик | 7 | 7 | 8 |
Зюльзя | 6 | 7 | 8 | | Оловянная | 6 | 6 | 8 | | Широкая | 6 | 7 | 8 |
Икабья | 9 | 9 | 10 | | Олочи | 6 | 7 | 8 | | Шишкино | 6 | 7 | 8 |
Икшица | 6 | 7 | 8 | | Онон | 6 | 7 | 8 | | Шоноктуй | 6 | 7 | 8 |
Илим | 6 | 7 | 8 | | Онон-Борзя | 6 | 7 | 8 | | Шумунда | 6 | 7 | 8 |
Ингода | 6 | 7 | 8 | | Орловский | 6 | 6 | 8 | | Энгорск | 7 | 7 | 8 |
Итака | 7 | 7 | 8 | | Орой | 6 | 7 | 8 | | Юбилейный | 6 | 7 | 8 |
Кадахта | 6 | 7 | 8 | | Первомайский | 6 | 7 | 8 | | Яблоново | 6 | 7 | 8 |
Кадая | 6 | 7 | 8 | | Передняя Бырка | 6 | 7 | 8 | | Явленка | 6 | 7 | 8 |
Казаново | 6 | 7 | 8 | | Пески | 7 | 8 | 9 | | Ясная | 6 | 6 | 8 |
Кайдалово | 6 | 6 | 8 | | Пешково | 6 | 7 | 8 | | Ясногорск | 6 | 6 | 8 |
Кайластуй | 6 | 7 | 8 | | | | | | | | | | |
Камчатский край |
Апача | 9 | 9 | 10 | | Крутогорово | 7 | 7 | 8 | | Раздольный | 9 | 10 | 10 |
Апука | 8 | 8 | 9 | | Лазо | 9 | 9 | 10 | | Светлый | 9 | 10 | 10 |
Атласово | 9 | 9 | 10 | | Лаучан | 8 | 8 | 9 | | Седанка | 8 | 8 | 9 |
Ачайваям | 8 | 8 | 9 | | Лесная | 7 | 8 | 9 | | Слаутное | 6 | 7 | 8 |
Аянка | 6 | 7 | 8 | | Лесной | 9 | 9 | 10 | | Соболево | 7 | 8 | 8 |
Березняки | 9 | 10 | 10 | | Макарьевское | 8 | 9 | 10 | | Сокоч | 9 | 9 | 10 |
Большерецк | 8 | 9 | 9 | | Манилы | 6 | 7 | 8 | | Сосновка | 9 | 10 | 10 |
Воямполка | 7 | 8 | 9 | | Мильково | 9 | 9 | 10 | | Таловка | 7 | 7 | 8 |
Вывенка | 9 | 9 | 10 | | Моховая | 9 | 10 | 10 | | Термальный | 9 | 10 | 10 |
Двуречье | 9 | 10 | 10 | | Нагорный | 9 | 10 | 10 | | Тигиль | 8 | 8 | 9 |
Долиновка | 9 | 9 | 10 | | Начики | 9 | 9 | 10 | | Тиличики | 9 | 9 | 10 |
Елизово | 9 | 10 | 10 | | Николаевка | 9 | 10 | 10 | | Тымлат | 8 | 8 | 9 |
Запорожье | 9 | 10 | 10 | | Озерновский | 9 | 10 | 10 | | Усть-Большерецк | 8 | 8 | 9 |
Зеленый | 9 | 10 | 10 | | Октябрьский | 8 | 8 | 9 | | Устьевое | 7 | 7 | 8 |
Ивашка | 8 | 8 | 10 | | Оссора | 8 | 8 | 10 | | Усть-Камчатск | 10 | 10 | 10 |
Каменское | 6 | 7 | 8 | | Палана | 7 | 8 | 9 | | Усть-Хайрюзово | 8 | 8 | 9 |
Ключи | 9 | 9 | 10 | | Паратунка | 9 | 10 | 10 | | Хаилино | 8 | 8 | 9 |
Ковран | 8 | 8 | 9 | | Пахачи | 8 | 8 | 9 | | Хайрюзово | 8 | 8 | 9 |
Козыревск | 9 | 9 | 10 | | Петропавловск-Камчатский | 9 | 10 | 10 | | Шаромы | 9 | 9 | 10 |
Корф | 9 | 9 | 10 | | Пионерский | 9 | 10 | 10 | | Эссо | 8 | 9 | 10 |
Красный | 9 | 10 | 10 | | Привольное | 7 | 8 | 8 | | | | | |
Крутоберегово | 10 | 10 | 10 | | Пущино | 9 | 9 | 10 | | | | | |
Краснодарский край |
Абинск | 8 | 8 | 9 | | Кабардинка | 8 | 9 | 9 | | Новороссийск | 8 | 9 | 9 |
Абрау-Дюрсо | 8 | 9 | 9 | | Кавказская | 6 | 7 | 7 | | Октябрьская | 6 | 6 | 7 |
Анапа | 8 | 9 | 9 | | Калинино | 7 | 8 | 8 | | Отрадная | 7 | 8 | 8 |
Апшеронск | 8 | 8 | 9 | | Каневская | 6 | 6 | 7 | | Павловская | 6 | 6 | 7 |
Армавир | 7 | 7 | 8 | | Коноково | 7 | 7 | 8 | | Пашковский | 7 | 8 | 9 |
Архипо-Осиповка | 8 | 9 | 9 | | Кореновск | 7 | 7 | 8 | | Полтавская | 7 | 8 | 8 |
Афипский | 8 | 8 | 9 | | Красная Поляна | 8 | 9 | 10 | | Приморско-Ахтарск | 7 | 7 | 8 |
Ахтырский | 8 | 8 | 9 | | Краснодар | 7 | 8 | 9 | | Псебай | 8 | 8 | 9 |
Ачуево | 7 | 7 | 8 | | Красносельский | 6 | 7 | 7 | | Северская | 8 | 8 | 9 |
Белая Глина | 6 | 6 | 7 | | Кропоткин | 6 | 7 | 7 | | Славянск-на-Кубани | 8 | 8 | 9 |
Белореченск | 7 | 8 | 9 | | Крыловская | 6 | 6 | 7 | | Сочи | 8 | 9 | 9 |
Брюховецкая | 7 | 7 | 7 | | Крымск | 8 | 8 | 9 | | Старощербиновская | 6 | 6 | 7 |
Верхнебаканский | 8 | 9 | 9 | | Курганинск | 7 | 7 | 8 | | Староминская | 6 | 6 | 7 |
Витязево | 8 | 9 | 9 | | Курчанская | 8 | 8 | 9 | | Тамань | 8 | 9 | 9 |
Владимирская | 7 | 8 | 8 | | Кутаис | 8 | 8 | 9 | | Тбилисская | 6 | 7 | 7 |
Выселки | 6 | 7 | 8 | | Кущевская | 6 | 6 | 7 | | Темрюк | 8 | 8 | 9 |
Гайдук | 8 | 9 | 9 | | Лабинск | 7 | 8 | 8 | | Тимашевск | 7 | 7 | 8 |
Геленджик | 8 | 9 | 9 | | Ленинградская | 6 | 6 | 7 | | Тихорецк | 6 | 6 | 7 |
Гирей | 6 | 7 | 7 | | Мостовской | 7 | 8 | 9 | | Троицкая | 8 | 8 | 9 |
Горячий Ключ | 8 | 8 | 9 | | Нефтегорск | 8 | 8 | 9 | | Туапсе | 8 | 9 | 9 |
Гулькевичи | 6 | 7 | 7 | | Нижнебаканский | 8 | 9 | 9 | | Успенское | 7 | 7 | 8 |
Джубга | 8 | 9 | 9 | | Новокубанск | 7 | 7 | 7 | | Усть-Лабинск | 7 | 7 | 8 |
Динская | 7 | 7 | 8 | | Новоминская | 6 | 6 | 7 | | Хадыженск | 8 | 8 | 9 |
Ейск | 6 | 6 | 7 | | Новомихайловский | 8 | 9 | 9 | | Холмская | 8 | 8 | 9 |
Ильский | 8 | 8 | 9 | | Новопокровская | 6 | 6 | 7 | | Черноморский | 8 | 8 | 9 |
Красноярский край |
Абан | - | 6 | 6 | | Ирша | 6 | 6 | 8 | | Октябрьский | - | - | 6 |
Агинское | 6 | 7 | 8 | | Канск | 6 | 6 | 8 | | Памяти 13 Борцов | 6 | 6 | 7 |
Артемовск | 6 | 7 | 8 | | Каратузское | 7 | 7 | 8 | | Предивинск | - | - | 6 |
Ачинск | - | 6 | 7 | | Кедровый | 6 | 6 | 7 | | Раздолинск | - | 6 | 6 |
Балахта | 6 | 7 | 8 | | Кодинск | - | 6 | 7 | | Рассвет | - | - | 6 |
Березовка | 6 | 6 | 7 | | Козулька | 6 | 6 | 7 | | Саянский | 6 | 7 | 8 |
Боготол | 6 | 6 | 7 | | Копьево | 6 | 7 | 8 | | Солнечный | 6 | 6 | 7 |
Богучаны | - | 6 | 7 | | Кошурниково | 6 | 7 | 8 | | Сосновоборск | 6 | 6 | 7 |
Бол. Ирба | 7 | 7 | 8 | | Краснокаменск | 6 | 7 | 8 | | Стрелка | - | - | 6 |
Бол. Мурта | - | - | 6 | | Краснотуранск | 7 | 7 | 8 | | Сухобузимское | - | 6 | 7 |
Бородино | 6 | 7 | 8 | | Красноярск | 6 | 6 | 8 | | Таежный | 6 | 6 | 7 |
Горячегорск | 6 | 6 | 7 | | Курагино | 7 | 7 | 8 | | Тасеево | - | - | 6 |
Дзержинское | - | - | 6 | | Мазульский | 6 | 6 | 7 | | Тинской | 6 | 6 | 7 |
Дивногорск | 6 | 6 | 7 | | Майна | 7 | 8 | 9 | | Тюхтет | - | - | 7 |
Дубинино | 6 | 6 | 7 | | Минусинск | 7 | 7 | 8 | | Ужур | 6 | 6 | 8 |
Емельяново | 6 | 6 | 7 | | Мотыгино | 6 | 7 | - | | Урал | 6 | 6 | 8 |
Ермаковское | 7 | 8 | 8 | | Назарово | 6 | 6 | 7 | | Уяр | 6 | 7 | 8 |
Железногорск | 6 | 6 | 7 | | Ниж. Ингаш | 6 | 6 | 7 | | Филимоново | 6 | 6 | 8 |
Заозерный | 6 | 6 | 8 | | Ниж. Пойма | 6 | 6 | 7 | | Челюскин | - | - | 6 |
Зелегорск | 6 | 6 | 7 | | Новоселово | 6 | 7 | 8 | | Чибижек | 6 | 7 | 8 |
Зеленый Бор | 7 | 7 | 8 | | Новочернореченск | 6 | 6 | 7 | | Шарыпово | 6 | 6 | 7 |
Идринское | 7 | 7 | 8 | | Нордвик | 6 | 6 | 7 | | Шушенское | 7 | 7 | 8 |
Иланский | 6 | 6 | 8 | | Овсянка | 6 | 6 | 8 | | | | | |
Пермский край |
Александровск | - | 6 | 7 | | Луньевка | - | 6 | 7 | | Сев. Коспашский | - | 6 | 7 |
Барда | - | - | 6 | | Лысьва | - | - | 6 | | Сев. Коммунар | - | - | 6 |
Березники | - | - | 6 | | Лямино | 6 | 6 | 7 | | Скальный | 6 | 6 | 7 |
Березовка | - | - | 6 | | Майкор | - | - | 6 | | Соликамск | - | - | 6 |
Верещагино | - | - | 6 | | Майский | - | - | 6 | | Старый Бисер | 6 | 6 | 7 |
Верхнечус. Городки | - | 6 | 7 | | Медведка | 6 | 6 | 7 | | Суксун | - | 6 | 7 |
Всеволодо-Вильва | - | 6 | 7 | | Нагорнский | - | 6 | 7 | | Сылва | - | 6 | 7 |
Горнозаводск | 6 | 6 | 7 | | Нововильвенский | 6 | 6 | 7 | | Теплая Гора | 6 | 6 | 7 |
Гремячинск | 6 | 6 | 7 | | Новоильинский | - | - | 6 | | Углеуральский | - | 6 | 7 |
Губаха | - | 6 | 7 | | Новые Ляды | - | 6 | 7 | | Уральский | - | - | 6 |
Дивья | - | 6 | 7 | | Ныроб | - | - | 6 | | Усолье | - | - | 6 |
Добрянка | - | - | 7 | | Нытва | - | - | 6 | | Усьва | - | 6 | 7 |
Елово | - | - | 6 | | Оверята | - | - | 7 | | Центр. Коспашский | - | 6 | 7 |
Звездный | - | - | 7 | | Октябрьский | - | - | 6 | | Чайковский | - | - | 6 |
Зюкайка | - | - | 6 | | Орел | - | - | 6 | | Чердынь | - | - | 6 |
Ильинский | - | - | 6 | | Оса | - | - | 6 | | Чермоз | - | - | 6 |
Калино | 6 | 6 | 7 | | Оханск | - | - | 6 | | Чернушка | - | - | 6 |
Карагай | - | - | 6 | | Очер | - | - | 6 | | Чусовой | 6 | 6 | 7 |
Керчевский | - | - | 6 | | Павловский | - | - | 6 | | Шахта | - | 6 | 7 |
Кизел | - | 6 | 7 | | Пашия | 6 | 6 | 7 | | Широковский | - | 6 | 7 |
Комарихинский | - | 6 | 7 | | Пермь | - | - | 7 | | Шумихинский | - | 6 | 7 |
Кордон | 6 | 6 | 7 | | Пожва | - | - | 6 | | Юбилейный | - | 6 | 7 |
Красновишерск | - | - | 6 | | Полазна | - | - | 7 | | Юго-Камский | - | - | 6 |
Краснокамск | - | - | 6 | | Промысла | 6 | 6 | 7 | | Юж. Коспашский | - | 6 | 7 |
Кукуштан | - | - | 7 | | Рудничный | - | 6 | 7 | | Юсьва | - | - | 6 |
Кунгур | - | 6 | 7 | | Сараны | 6 | 6 | 7 | | Яйва | - | - | 7 |
Кын | 6 | 6 | 7 | | Сарс | - | - | 6 | | | | | |
Приморский край |
Анучино | 6 | 6 | 7 | | Лесозаводск | 6 | 6 | 7 | | Русский | 6 | 6 | 7 |
Арсеньев | 6 | 6 | 7 | | Ливадия | 6 | 6 | 7 | | Светлая | 7 | 7 | 8 |
Артемовский | 6 | 6 | 7 | | Липовцы | 6 | 6 | 7 | | Сибирцево | 6 | 6 | 7 |
Бол. Камень | 6 | 6 | 7 | | Лучегорск | 6 | 7 | 8 | | Славянка | 6 | 6 | 7 |
Владивосток | 6 | 6 | 7 | | Михайловка | 6 | 6 | 7 | | Смоляниново | 6 | 6 | 7 |
Восток | 7 | 7 | 8 | | Находка | 6 | 7 | 8 | | Спасск-Дальний | 6 | 6 | 7 |
Врангель | 6 | 7 | 8 | | Новошахтинский | 6 | 6 | 7 | | Тавричанка | 6 | 6 | 7 |
Высокогорск | 7 | 7 | 8 | | Новый | 6 | 6 | 7 | | Терней | 7 | 7 | 8 |
Горнореченский | 7 | 7 | 8 | | Ольга | 7 | 7 | 8 | | Тигровой | 6 | 7 | 8 |
Горные Ключи | 6 | 6 | 7 | | Партизанск | 6 | 7 | 8 | | Трудовое | 6 | 6 | 7 |
Горный | 6 | 6 | 7 | | Пластун | 7 | 7 | 8 | | Углекаменск | 6 | 7 | 8 |
Дальнегорск | 7 | 7 | 8 | | Пограничный | 6 | 6 | 7 | | Угловое | 6 | 6 | 7 |
Дальнереченск | 6 | 7 | 8 | | Покровка | 6 | 6 | 7 | | Уссурийск | 6 | 6 | 7 |
Дунай | 6 | 6 | 7 | | Попова | 6 | 6 | 7 | | Фокино | 6 | 6 | 7 |
Заводской | 6 | 6 | 7 | | Посьет | 6 | 6 | 7 | | Хасан | 6 | 6 | 7 |
Зарубино | 6 | 6 | 7 | | Преображение | 7 | 8 | 8 | | Хороль | 6 | 6 | 7 |
Кавалерово | 7 | 7 | 8 | | Приморский | 6 | 6 | 7 | | Хрустальный | 7 | 7 | 8 |
Каменка | 7 | 7 | 8 | | Путятин | 6 | 6 | 7 | | Черниговка | 6 | 6 | 7 |
Кировский | 6 | 6 | 7 | | Раздольное | 6 | 6 | 7 | | Шкотово | 6 | 6 | 7 |
Краскино | 6 | 6 | 7 | | Реттиховка | 6 | 6 | 7 | | Ярославский | 6 | 6 | 7 |
Краснореченский | 7 | 7 | 8 | | Рудный | 7 | 7 | 8 | | | | | |
Ставропольский край |
Александрийская | 8 | 8 | 9 | | Ипатово | 6 | 6 | 7 | | Новотроицкая | 6 | 7 | 7 |
Александровское | 7 | 7 | 8 | | Казьминское | 7 | 8 | 8 | | Обильное | 7 | 8 | 8 |
Анджиевский | 8 | 8 | 9 | | Кисловодск | 8 | 8 | 9 | | Пелагиада | 7 | 7 | 8 |
Арзгир | 6 | 6 | 7 | | Константиновское | 6 | 6 | 7 | | Покойное | 6 | 7 | 7 |
Архангельское | 7 | 7 | 8 | | Кочубеевское | 7 | 8 | 8 | | Прасковея | 6 | 7 | 7 |
Ачикулак | 6 | 7 | 8 | | Красногвардейское | 6 | 6 | 7 | | Пятигорск | 8 | 8 | 9 |
Барсуковская | 7 | 8 | 8 | | Краснокумское | 8 | 8 | 9 | | Расшеватская | 6 | 6 | 7 |
Безопасное | 6 | 6 | 7 | | Кугульта | 6 | 6 | 7 | | Рыздвяный | 6 | 7 | 8 |
Буденновск | 6 | 7 | 7 | | Курсавка | 8 | 8 | 9 | | Светлоград | 6 | 6 | 7 |
Величаевское | 6 | 6 | 7 | | Курская | 7 | 8 | 8 | | Свободы | 8 | 8 | 9 |
Винсады | 8 | 8 | 9 | | Ладовская Балка | 6 | 6 | 7 | | Советская | 8 | 8 | 8 |
Георгиевск | 8 | 8 | 9 | | Левокумка | 8 | 8 | 9 | | Солнечнодольск | 6 | 7 | 7 |
Георгиевская | 8 | 8 | 9 | | Левокумское | 6 | 7 | 7 | | Ставрополь | 7 | 7 | 8 |
Горячеводский | 8 | 8 | 9 | | Лермонтов | 8 | 8 | 9 | | Старомарьевка | 7 | 7 | 8 |
Гофицкое | 6 | 7 | 7 | | Летняя Ставка | 6 | 6 | 7 | | Степное | 7 | 7 | 8 |
Грачевка | 7 | 7 | 7 | | Лысогорская | 8 | 8 | 9 | | Суворовская | 8 | 8 | 9 |
Дивное | - | 6 | 6 | | Минеральные Воды | 8 | 8 | 9 | | Татарка | 7 | 7 | 8 |
Донское | 6 | 6 | 7 | | Московское | 6 | 7 | 8 | | Труновское | 6 | 6 | 7 |
Ессентуки | 8 | 8 | 9 | | Надежда | 7 | 7 | 8 | | Чернолесское | 7 | 7 | 8 |
Железноводск | 8 | 8 | 9 | | Незлобная | 8 | 8 | 9 | | Шпаковское | 7 | 7 | 8 |
Затеречный | 6 | 6 | 7 | | Нефтекумск | 6 | 7 | 7 | | Эдиссея | 7 | 8 | 8 |
Зеленокумск | 7 | 7 | 8 | | Новоалександровск | 6 | 7 | 7 | | Юца | 8 | 8 | 9 |
Изобильный | 6 | 7 | 7 | | Новопавловск | 8 | 8 | 9 | | | | | |
Иноземцево | 8 | 8 | 9 | | Новоселицкое | 7 | 7 | 8 | | | | | |
Хабаровский край |
Аим | 6 | 6 | 7 | | Константиновка | 8 | 8 | 8 | | Средний Ургал | 7 | 8 | 9 |
Алгазея | 7 | 8 | 9 | | Корсаково-1 | 6 | 6 | 7 | | Сусанино | 7 | 8 | 8 |
Амурск | 6 | 7 | 8 | | Корфовский | 6 | 6 | 7 | | Тавлинка | 7 | 8 | 8 |
Анастасьевка | 6 | 6 | 7 | | Котиково | 6 | 6 | 8 | | Тахта | 7 | 8 | 8 |
Арка | 7 | 7 | 8 | | Красицкое | 6 | 6 | 8 | | Тором | 7 | 8 | 9 |
Арсеньево | 6 | 7 | 8 | | Красное | 8 | 8 | 9 | | Троицкое | 6 | 7 | 7 |
Аян | 7 | 7 | 8 | | Кругликово | 6 | 6 | 7 | | Тугур | 7 | 8 | 9 |
Бельго | 6 | 7 | 8 | | Кукан | 7 | 8 | 9 | | Тулучи | 7 | 8 | 9 |
Березовый | 7 | 8 | 8 | | Кукелево | 6 | 6 | 7 | | Тумнин | 7 | 8 | 9 |
Бикин | 6 | 7 | 8 | | Лазарев | 8 | 9 | 9 | | Тыр | 7 | 8 | 8 |
Благодатное | 6 | 6 | 7 | | Лермонтовка | 6 | 6 | 8 | | Тырма | 8 | 8 | 9 |
Богородское | 7 | 8 | 8 | | Лесопильное | 6 | 7 | 8 | | Удинск | 7 | 8 | 8 |
Бойцово | 6 | 7 | 8 | | Лидога | 6 | 7 | 7 | | Удское | 7 | 8 | 9 |
Боктор | 6 | 7 | 8 | | Литовко | 6 | 7 | 8 | | Уктур | 7 | 8 | 8 |
Болонь | 6 | 7 | 8 | | Лончаково | 6 | 6 | 8 | | Улика-Национальное | 6 | 7 | 8 |
Бол. Картель | 6 | 7 | 8 | | Лососина | 8 | 8 | 9 | | Усть-Ургал | 7 | 8 | 9 |
Бол. Санники | 8 | 8 | 9 | | Маго | 7 | 8 | 8 | | Уська-Орочская | 7 | 8 | 9 |
Бриакан | 7 | 7 | 8 | | Майский | 7 | 8 | 9 | | Ухта | 7 | 8 | 8 |
Булава | 7 | 8 | 9 | | Малая Сидима | 6 | 7 | 8 | | Хабаровск | 6 | 6 | 7 |
Булгин | 7 | 7 | 8 | | Имени Тельмана | 6 | 6 | 7 | | Охотск | 7 | 7 | 8 |
Бычиха | 6 | 6 | 7 | | Иннокентьевка | 7 | 8 | 8 | | Переяславка | 6 | 6 | 7 |
Ванино | 7 | 8 | 9 | | Казакевичево | 6 | 6 | 7 | | Петропавловка | 6 | 6 | 7 |
Венюково | 6 | 6 | 8 | | Калиновка | 7 | 8 | 9 | | Пивань | 6 | 7 | 8 |
Верхнетамбовское | 6 | 7 | 8 | | Кальма | 7 | 8 | 8 | | Победа | 7 | 7 | 8 |
Верх. Нерген | 6 | 7 | 7 | | Капитоновка | 6 | 6 | 8 | | Покровка | 6 | 7 | 8 |
Верх. Манома | 6 | 7 | 8 | | Кедрово | 6 | 6 | 8 | | Полетное | 6 | 6 | 7 |
Верх. Эконь | 6 | 7 | 8 | | Кенада | 7 | 8 | 8 | | Приамурский | 6 | 6 | 7 |
Видное | 6 | 6 | 8 | | Кенай | 7 | 8 | 8 | | Пуир | 8 | 8 | 9 |
Виноградовка | 6 | 6 | 8 | | Киселевка | 7 | 8 | 9 | | Ракитное | 6 | 6 | 7 |
Владимировка | 7 | 8 | 8 | | Князе-Волконское | 6 | 6 | 7 | | Резиденция | 7 | 7 | 8 |
Власьево | 8 | 8 | 9 | | Кольчем | 7 | 8 | 8 | | Решающий | 7 | 8 | 9 |
Вознесенское | 6 | 7 | 8 | | Комсомольск-на-Амуре | 6 | 7 | 8 | | Савинское | 7 | 8 | 8 |
Высокогорный | 7 | 8 | 8 | | Малышево | 6 | 6 | 7 | | Санболи | 6 | 7 | 8 |
Вяземский | 6 | 6 | 8 | | Мариинское | 7 | 8 | 9 | | Святогорье | 6 | 6 | 7 |
Гайтер | 6 | 7 | 8 | | Марусино | 6 | 6 | 7 | | Селихино | 6 | 7 | 8 |
Галичный | 6 | 7 | 8 | | Медвежий | 6 | 6 | 8 | | Сергеевка | 6 | 6 | 7 |
Гаровка | 6 | 6 | 7 | | Многовершинный | 7 | 7 | 8 | | Сикачи-Алян | 6 | 6 | 7 |
Гатка | 7 | 8 | 9 | | Могилевка | 6 | 6 | 7 | | Синда | 6 | 6 | 7 |
Гвасюги | 7 | 7 | 8 | | Молодежный | 6 | 7 | 8 | | Сита | 6 | 6 | 7 |
Георгиевка | 6 | 6 | 7 | | Монгохто | 7 | 8 | 9 | | Советская Гавань | 8 | 8 | 9 |
Глебово | 6 | 6 | 8 | | Мухен | 6 | 7 | 8 | | Согда | 8 | 8 | 9 |
Горин | 7 | 7 | 8 | | Найхин | 6 | 7 | 7 | | Солнечный | 7 | 7 | 8 |
Горный | 7 | 7 | 8 | | Наумовка | 7 | 8 | 9 | | Солонцы | 7 | 8 | 8 |
Гурское | 7 | 7 | 8 | | Некрасовка | 6 | 6 | 7 | | Софийск | 7 | 8 | 9 |
Дада | 6 | 7 | 7 | | Нелькан | 7 | 7 | 9 | | Среднехорский | 7 | 7 | 8 |
Даппы | 6 | 7 | 8 | | Нигирь | 8 | 8 | 9 | | Харпичан | 7 | 7 | 8 |
Датта | 8 | 8 | 9 | | Ниж. Пронге | 8 | 8 | 9 | | Херпучи | 7 | 8 | 8 |
Де-Кастри | 8 | 8 | 9 | | Нижнетамбовское | 7 | 7 | 9 | | Хор | 6 | 6 | 7 |
Джигда | 7 | 7 | 8 | | Ниж. Халбы | 7 | 7 | 8 | | Хурба | 6 | 7 | 8 |
Джонка | 6 | 7 | 7 | | Ниж. Гавань | 7 | 8 | 8 | | Хурмули | 6 | 7 | 8 |
Джуен | 6 | 7 | 8 | | Николаевск-на-Амуре | 8 | 8 | 8 | | Циммермановка | 7 | 8 | 9 |
Добролюбово | 6 | 6 | 8 | | Новая Иня | 7 | 7 | 8 | | Чегдомын | 7 | 8 | 9 |
Долми | 6 | 7 | 8 | | Новое Устье | 7 | 7 | 8 | | Чекунда | 7 | 8 | 9 |
Дормидонтовка | 6 | 6 | 8 | | Новоильиновка | 7 | 8 | 9 | | Челны | 6 | 6 | 7 |
Дружба | 6 | 6 | 7 | | Новокуровка | 6 | 7 | 8 | | Черная Речка | 6 | 6 | 7 |
Дубовый Мыс | 6 | 7 | 7 | | Новый Мир | 6 | 7 | 8 | | Черняево | 6 | 6 | 7 |
Дуди | 7 | 8 | 8 | | Новый Ургал | 7 | 8 | 9 | | Чля | 7 | 8 | 8 |
Дуки | 7 | 8 | 8 | | Обор | 6 | 6 | 7 | | Чумикан | 7 | 8 | 9 |
Дурмин | 6 | 6 | 7 | | Озерпах | 8 | 8 | 9 | | Шахтинский | 7 | 8 | 9 |
Забайкальское | 6 | 6 | 8 | | Октябрьский | 7 | 8 | 8 | | Шереметьево | 6 | 6 | 8 |
Заветы Ильича | 7 | 8 | 9 | | Омми | 6 | 7 | 8 | | Шумный | 6 | 6 | 8 |
Золотой | 6 | 7 | 8 | | Орель-Чля | 7 | 7 | 8 | | Эворон | 7 | 8 | 8 |
Известковый | 6 | 7 | 8 | | Оремиф | 8 | 8 | 9 | | Эльбан | 6 | 7 | 8 |
Ильинка | 6 | 7 | 7 | | Осиновая Речка | 6 | 6 | 7 | | Ягодный | 7 | 8 | 9 |
Имени П. Осипенко | 7 | 8 | 8 | | Отрадное | 6 | 6 | 8 | | | | | |
ОБЛАСТИ |
Амурская область |
Архара | 7 | 7 | 8 | | Магдагачи | 7 | 7 | 8 | | Сковородино | 7 | 7 | 8 |
Белогорск | 6 | 6 | 7 | | Майский | 6 | 6 | 7 | | Солнечное | 6 | 6 | 7 |
Белогорье | 6 | 6 | 7 | | Марково | 6 | 6 | 7 | | Соловьевск | 7 | 8 | 9 |
Березовка | 6 | 6 | 7 | | Михайловка | 6 | 6 | 7 | | Стойба | 7 | 7 | 9 |
Благовещенск | 6 | 6 | 7 | | Моховая Пядь | 6 | 6 | 7 | | Талакан | 6 | 7 | 8 |
Богородское | 6 | 6 | 7 | | Невер | 7 | 8 | 8 | | Талдан | 7 | 7 | 8 |
Бурея | 6 | 7 | 8 | | Николаевка | 6 | 6 | 7 | | Тамбовка | 6 | 6 | 7 |
Варваровка | 6 | 6 | 7 | | Новобурейский | 6 | 7 | 8 | | Тахтамыгда | 7 | 8 | 8 |
Волково | 6 | 6 | 7 | | Новорайчихинск | 6 | 7 | 7 | | Токур | 7 | 7 | 9 |
Гибское | 6 | 6 | 7 | | Новотроицкое | 6 | 6 | 7 | | Толстовка | 6 | 6 | 7 |
Дмитриевка | 6 | 6 | 7 | | Огоджа | 7 | 7 | 9 | | Тында | 7 | 8 | 9 |
Ерофей Павлович | 7 | 7 | 8 | | Петропавловка | 6 | 6 | 7 | | Уруша | 7 | 7 | 8 |
Завитинск | 6 | 7 | 7 | | Поярково | 6 | 7 | 7 | | Усть-Ивановка | 6 | 6 | 7 |
Зея | 7 | 8 | 9 | | Прогресс | 6 | 7 | 8 | | Ушумун | 6 | 7 | 7 |
Златоустовск | 7 | 7 | 8 | | Раздольное | 6 | 6 | 7 | | Февральск | 6 | 7 | 8 |
Ивановка | 6 | 6 | 7 | | Райчихинск | 6 | 7 | 7 | | Черемхово | 6 | 6 | 7 |
Игнатьево | 6 | 6 | 7 | | Садовое | 6 | 6 | 7 | | Чигири | 6 | 6 | 7 |
Коболдо | 7 | 7 | 9 | | Свободный | 6 | 6 | 7 | | Шимановск | 6 | 7 | 7 |
Константиновка | 6 | 7 | 7 | | Семиозерка | 6 | 6 | 7 | | Широкий | 6 | 7 | 7 |
Лермонтовка | 6 | 6 | 7 | | Серышево | 6 | 6 | 7 | | Экимчан | 7 | 7 | 9 |
Лозовое | 6 | 6 | 7 | | Сиваки | 6 | 7 | 7 | | | | | |
Архангельская область |
Авнюгский | - | 6 | 7 | | Копачево | - | 6 | 7 | | Ровдино | - | - | 6 |
Алферовская | - | - | 6 | | Коряжма | - | - | 6 | | Рочегда | - | 6 | 7 |
Андриановская | 6 | 6 | 7 | | Котлас | - | - | 6 | | Рыбогорская | - | - | 6 |
Анциферовский Бор | - | - | 6 | | Кузомень | 6 | 6 | 7 | | Савватия | - | - | 6 |
Архангельск | 6 | 6 | 8 | | Куимиха | - | - | 6 | | Савинский | - | - | 6 |
Белогорский | 6 | 6 | 7 | | Куликово | - | - | 6 | | Самодед | - | 6 | 7 |
Березник | - | 6 | 7 | | Кушкопала | - | 6 | 7 | | Сафоново | - | 6 | 7 |
Березонаволок | - | - | 6 | | Лампожня | 6 | 6 | 7 | | Светлый | - | 6 | 7 |
Боброво | 6 | 6 | 7 | | Левоплосская | - | - | 6 | | Северодвинск | - | 6 | 7 |
Большая | - | - | 7 | | Летнеозерский | - | - | 6 | | Семеновская 1-я | - | 6 | 7 |
Бурцевская | - | 6 | 7 | | Летний Наволок | - | 6 | 7 | | Синники | - | 6 | 6 |
Бычье | - | - | 7 | | Летняя Золотица | - | 6 | 7 | | Согра | - | - | 6 |
Важский | - | 6 | 7 | | Лешуконское | 6 | 6 | 7 | | Сольвычегодск | - | - | 6 |
Веркола | - | 6 | 7 | | Лойга | - | - | 6 | | Сояна | - | 6 | 6 |
Верхняя Золотица | - | - | 7 | | Ломоносово | 6 | 6 | 7 | | Строевское | - | - | 6 |
Верхняя Тойма | - | - | 7 | | Лопшеньга | - | 6 | 7 | | Сура | - | 6 | 7 |
Вожгора | - | - | 6 | | Луковецкий | 6 | 6 | 7 | | Талаги | 6 | 6 | 8 |
Вознесенье | 6 | 6 | 7 | | Малошуйка | - | - | 6 | | Тамица | - | - | 6 |
Воронцы | - | 6 | 7 | | Медведка | - | - | 6 | | Топса | - | 6 | 7 |
Вычегодский | - | - | 6 | | Мезень | 6 | 6 | 7 | | Труфанова | - | 6 | 7 |
Гридинская | - | 6 | 7 | | Мирный | - | - | 6 | | Удимский | - | - | 6 |
Двинской | - | - | 7 | | Мосеево | - | - | 6 | | Уемский | 6 | 6 | 8 |
Долгощелье | 6 | 6 | 7 | | Мудьюга | - | - | 6 | | Уйта | - | 6 | 7 |
Дорогорское | 6 | 6 | 7 | | Ниж. Золотица | - | 6 | 7 | | Усть-Ваеньга | - | 6 | 7 |
Дубровская | - | - | 6 | | Никифоровская | - | - | 6 | | Усть-Кожа | - | - | 6 |
Емца | - | - | 6 | | Нименьга | - | - | 6 | | Усть-Паденьга | - | - | 6 |
Жердь | 6 | 6 | 7 | | Новолавела | - | 6 | 7 | | Усть-Пинега | - | 6 | 7 |
Заболотье | - | 6 | 7 | | Новодвинск | 6 | 6 | 7 | | Федотовская | - | - | 6 |
Занюхча | - | - | 6 | | Носовская | - | - | 6 | | Харитоново | - | - | 6 |
Заручей | 6 | 6 | 7 | | Обозерский | - | - | 6 | | Харлово | - | 6 | 7 |
Зеленник | - | 6 | 7 | | Одиночка | 6 | 6 | 7 | | Хачела | - | - | 6 |
Ивановское | - | - | 6 | | Одинцовская | - | - | 6 | | Холмогоры | - | 6 | 7 |
Илеза | - | - | 6 | | Окуловская | - | - | 6 | | Хомяковская | 6 | 6 | 7 |
Исаковская | - | - | 7 | | Олема | - | 6 | 7 | | Хорьково | 6 | 6 | 7 |
Кадыевская | - | - | 6 | | Онега | - | - | 6 | | Ценогора | - | - | 7 |
Каменка | 6 | 6 | 7 | | Осиново | - | 6 | 7 | | Часовенская | - | 6 | 7 |
Карпагоры | 6 | 6 | 7 | | Патракеевка | 6 | 6 | 8 | | Черевково | - | 6 | 7 |
Карьеполье | - | 6 | 6 | | Пертоминск | - | 6 | 7 | | Черемушский | - | - | 6 |
Катунино | - | 6 | 7 | | Петрова | - | 6 | 7 | | Черный Ручей | - | - | 7 |
Кеврола | 6 | 6 | 7 | | Пинега | - | 6 | 7 | | Чикинская | - | 6 | 7 |
Кизема | - | - | 6 | | Плесецк | - | - | 6 | | Шеговары | - | 6 | 7 |
Кобелево | 6 | 6 | 7 | | Подволочье | - | - | 6 | | Шенкурск | - | - | 6 |
Кодино | - | - | 6 | | Порог | - | - | 6 | | Шидрово | - | 6 | 7 |
Козьмогородское | 6 | 6 | 7 | | Посад | - | - | 6 | | Шипицыно | - | - | 7 |
Койда | 6 | 6 | 7 | | Приводино | - | - | 6 | | Шипуновская | - | - | 6 |
Койнас | - | - | 6 | | Прилуки | - | - | 6 | | Шотогорка | 6 | 6 | 7 |
Комсомольский | - | - | 6 | | Пуксоозеро | - | - | 6 | | Юрома | 6 | 6 | 7 |
Конецгорье | - | 6 | 7 | | Раковская | - | - | 6 | | Яковлевская | - | 6 | 7 |
Астраханская область |
Астрахань | - | - | 6 | | Икряное | - | - | 6 | | Лиман | - | - | 6 |
Ахтубинск | - | 6 | 7 | | Ильинка | - | - | 6 | | Нариманов | - | 6 | 7 |
Верх. Баскунчак | - | 6 | 7 | | Камызяк | - | - | 6 | | Ниж. Баскунчак | - | 6 | 7 |
Волго-Каспийский | - | - | 6 | | Капустин Яр | - | 6 | 7 | | Оранжереи | - | - | 6 |
Володарский | - | - | 6 | | Кировский | - | - | 6 | | Трудфронт | - | - | 6 |
Енотаевка | - | 6 | 7 | | Красные Баррикады | - | - | 6 | | Харабали | - | 6 | 7 |
Знаменск | - | 6 | 7 | | Красный Яр | - | - | 6 | | Черный Яр | - | 6 | 7 |
Белгородская область |
Алексеевка | - | - | 6 | | Красногвардейское | - | - | 6 | | | | | |
Брянская область |
Вышков | - | - | 6 | | Злынка | - | - | 6 | | Чуровичи | - | - | 6 |
Владимирская область |
Андреево | - | - | 6 | | Ковров | - | - | 6 | | Нововязники | - | - | 6 |
Анопино | - | - | 6 | | Костерево | - | - | 6 | | Октябрьский | - | - | 6 |
Боголюбово | - | - | 6 | | Красное Эхо | - | - | 6 | | Оргтруд | - | - | 6 |
Владимир | - | - | 6 | | Красный Богатырь | - | - | 6 | | Радужный | - | - | 6 |
Вязники | - | - | 6 | | Красный Маяк | - | - | 6 | | Собинка | - | - | 6 |
Галицы | - | - | 6 | | Красный Октябрь | - | - | 6 | | Сгаврово | - | - | 6 |
Гороховец | - | - | 6 | | Лакинск | - | - | 6 | | Степанцево | - | - | 6 |
Гусевский | - | - | 6 | | Лукново | - | - | 6 | | Судогда | - | - | 6 |
Гусь-Хрустальный | - | - | 6 | | Мелехово | - | - | 6 | | Суздаль | - | - | 6 |
Иванищи | - | - | 6 | | Мстера | - | - | 6 | | Уршельский | - | - | 6 |
Имени Воровского | - | - | 6 | | Никологоры | - | - | 6 | | Юрьевец | - | - | 6 |
Камешково | - | - | 6 | | Новки | - | - | 6 | | | | | |
Волгоградская область |
Быково | - | 6 | 7 | | Котово | - | 6 | 7 | | Октябрьский | - | - | 6 |
Водстрой | - | 6 | 7 | | Краснооктябрьский | - | 6 | 7 | | Палласовка | - | 6 | 7 |
Волгоград | - | 6 | 7 | | Краснослободск | - | 6 | 7 | | Петров Вал | - | 6 | 7 |
Волжский | - | 6 | 7 | | Красный Яр | - | 6 | 7 | | Приморск | - | 6 | 7 |
Городище | - | 6 | 7 | | Кумылженская | - | - | 6 | | Романовка | - | - | 6 |
Горьковский | - | 6 | 7 | | Ленинск | - | 6 | 7 | | Рудня | - | - | 7 |
Гумрак | - | 6 | 7 | | Линево | - | 6 | 7 | | Светлый Яр | - | 6 | 7 |
Даниловка | - | - | 6 | | Лог | - | 6 | 7 | | Себрово | - | - | 6 |
Дубовка | - | 6 | 7 | | Медведица | - | 6 | 7 | | Серафимович | - | - | 6 |
Елань | - | - | 6 | | Михайловка | - | - | 6 | | Средняя Ахтуба | - | 6 | 7 |
Ерзовка | - | 6 | 7 | | Ниж. Чир | - | - | 6 | | Суровикино | - | - | 6 |
Жирновск | - | 6 | 7 | | Николаевск | - | 6 | 7 | | Урюпинск | - | - | 6 |
Иловля | - | 6 | 7 | | Новоаннинский | - | - | 6 | | Фролово | - | - | 6 |
Калач-на-Дону | - | - | 7 | | Новониколаевский | - | - | 6 | | Чернышковский | - | - | 6 |
Камышин | - | 6 | 7 | | Нов. Рогачик | - | 6 | 7 | | Эльтон | - | 6 | 7 |
Клетская | - | - | 6 | | Обливский | - | - | 6 | | Южный | - | 6 | 7 |
Вологодская область |
Великий Устюг | - | - | 6 | | Красавино | - | - | 6 | | Кузино | - | - | 6 |
Воронежская область |
Анна | - | - | 6 | | Кантемировка | - | - | 6 | | Поворино | - | - | 6 |
Бобров | - | - | 6 | | Краснолесный | - | - | 6 | | Подгоренский | - | - | 6 |
Богучар | - | - | 6 | | Латная | - | - | 6 | | Придонской | - | - | 6 |
Борисоглебск | - | - | 6 | | Лиски | - | - | 6 | | Рамонь | - | - | 6 |
Бутурлиновка | - | - | 6 | | Ниж. Кисляй | - | - | 6 | | Россошь | - | - | 6 |
Волоконовка | - | - | 6 | | Нововоронеж | - | - | 6 | | Семилуки | - | - | 6 |
Воробьевка | - | - | 6 | | Новохоперский | - | - | 6 | | Слобода | - | - | 6 |
Воронеж | - | - | 6 | | Ольховатка | - | - | 6 | | Сомово | - | - | 6 |
Грибановский | - | - | 6 | | Острогожск | - | - | 6 | | Стрелица | - | - | 6 |
Давыдовка | - | - | 6 | | Павловск | - | - | 6 | | Таловая | - | - | 6 |
Елань-Коленовский | - | - | 6 | | Панино | - | - | 6 | | Хохольский | - | - | 6 |
Калач | - | - | 6 | | Перелешинский | - | - | 6 | | Шилово | - | - | 6 |
Каменка | - | - | 6 | | Петропавловка | - | - | 6 | | Эртиль | - | - | 6 |
Ивановская область |
Верхний Ландех | - | - | 6 | | Лух | - | - | 6 | | Родники | - | - | 6 |
Вичуга | - | - | 6 | | Моста | - | - | 6 | | Савино | - | - | 6 |
Долматовский | - | - | 6 | | Мугреевский | - | - | 6 | | Старая Вичуга | - | - | 6 |
Заволжск | - | - | 6 | | Нов. Горки | - | - | 6 | | Талицы | - | - | 6 |
Заречный | - | - | 6 | | Новописцово | - | - | 6 | | Холуй | - | - | 6 |
Кинешма | - | - | 6 | | Палех | - | - | 6 | | Шуя | - | - | 6 |
Колобово | - | - | 6 | | Пестяки | - | - | 6 | | Южа | - | - | 6 |
Лежнево | - | - | 6 | | Пучеж | - | - | 6 | | Юрьевец | - | - | 6 |
Иркутская область |
Аларь | 7 | 8 | 9 | | Калтук | - | - | 6 | | Ручей | - | - | 6 |
Александровское | 7 | 8 | 9 | | Каменка | 7 | 8 | 8 | | Саянск | 7 | 7 | 8 |
Алексеевск | 6 | 7 | 8 | | Камышет | 6 | 7 | 8 | | Свирск | 7 | 8 | 9 |
Алехино | 7 | 8 | 9 | | Карлук | 8 | 8 | 9 | | Семигорск | - | - | 6 |
Алзамай | 6 | 7 | 7 | | Карымск | 7 | 7 | 8 | | Слюдянка | 8 | 9 | 10 |
Аляты | 7 | 8 | 9 | | Качуг | 7 | 7 | 8 | | Смоленщина | 8 | 9 | 9 |
Анга | 7 | 7 | 8 | | Квиток | - | 6 | 7 | | Согдиондон | 7 | 7 | 8 |
Ангарск | 8 | 8 | 9 | | Кимильтей | 7 | 7 | 8 | | Соляная | 6 | 7 | 8 |
Апхульта | 7 | 7 | 8 | | Киренск | 6 | 6 | 7 | | Сосновка | 7 | 8 | 9 |
Артемовский | 6 | 7 | 8 | | Китой | 8 | 8 | 9 | | Средний | 7 | 8 | 9 |
Атагай | 6 | 7 | 7 | | Ключи | 7 | 7 | 8 | | Сред. Муя | 6 | 7 | 7 |
Байкальск | 9 | 9 | 10 | | Ключи-Булак | - | 6 | 7 | | Суворовский | - | - | 6 |
Баклаши | 8 | 9 | 10 | | Коршуновский | - | - | 6 | | Суховская | 8 | 8 | 9 |
Балаганск | 7 | 7 | 8 | | Костино | 6 | 6 | 7 | | Тайтурка | 7 | 8 | 9 |
Балахнинский | 6 | 7 | 8 | | Котик | 6 | 7 | 8 | | Тайшет | 6 | 6 | 7 |
Барлук | 6 | 7 | 7 | | Кропоткин | 6 | 7 | 8 | | Тальяны | 8 | 9 | 10 |
Баяндай | 7 | 8 | 9 | | Куватка | - | 6 | 7 | | Тангуй | 6 | 6 | 7 |
Белореченский | 7 | 8 | 9 | | Куда | 8 | 8 | 9 | | Тараса | 7 | 8 | 8 |
Бельск | 7 | 8 | 9 | | Куйтун | 6 | 7 | 8 | | Тарма | - | - | 6 |
Бикей | - | - | 6 | | Култук | 8 | 9 | 10 | | Тельма | 7 | 8 | 9 |
Бильчир | 7 | 7 | 8 | | Кумарейка | 6 | 7 | 7 | | Тихоновка | 7 | 7 | 8 |
Бирюлька | 7 | 8 | 8 | | Кунерма | 8 | 8 | 9 | | Троицк | 7 | 8 | 8 |
Бирюсинск | 6 | 6 | 7 | | Кутулик | 7 | 8 | 8 | | Тугутуй | 8 | 8 | 9 |
Бодайбо | 7 | 7 | 8 | | Ленино | 7 | 7 | 8 | | Тулун | 7 | 7 | 8 |
Бол. Елань | 8 | 8 | 9 | | Лесогорск | - | 6 | 7 | | Тулюшка | 6 | 7 | 8 |
Бол. Речка | 8 | 9 | 10 | | Листвянка | 9 | 9 | 10 | | Тыреть 1-я | 7 | 7 | 8 |
Большеокинское | - | - | 6 | | Луговский | 6 | 7 | 8 | | Ук | 6 | 7 | 8 |
Бол. Луг | 8 | 9 | 10 | | Магистральный | 7 | 7 | 8 | | Улькан | 7 | 7 | 8 |
Боровской | - | - | 6 | | Макарово | 6 | 7 | 7 | | Урик | 8 | 8 | 9 |
Бохан | 7 | 8 | 8 | | Малое Голоустное | 8 | 9 | 10 | | Усолье-Сибирское | 7 | 8 | 9 |
Братск | - | - | 6 | | Мальта | 7 | 8 | 9 | | Усть-Кут | - | 6 | 6 |
Будагово | 7 | 7 | 8 | | Мама | 6 | 7 | 8 | | Усть-Ордынский | 7 | 8 | 9 |
Буреть | 7 | 8 | 9 | | Мамакан | 7 | 7 | 8 | | Усть-Уда | 6 | 7 | 8 |
Венгерка | 6 | 7 | 8 | | Мамоны | 8 | 8 | 9 | | Утай | 7 | 7 | 8 |
Верхнемарково | 6 | 6 | 7 | | Манзурка | 7 | 8 | 9 | | Утулик | 9 | 9 | 10 |
Веселый | - | 6 | 7 | | Марково | 8 | 8 | 9 | | Уховский | 6 | 7 | 8 |
Видим | - | - | 6 | | Мегет | 8 | 8 | 9 | | Уян | 6 | 7 | 8 |
Витимский | 6 | 7 | 8 | | Михайловка | 7 | 8 | 9 | | Ханжиново | 7 | 7 | 8 |
Вихоревка | - | - | 6 | | Мишелевка | 7 | 8 | 9 | | Харанжино | - | 6 | 7 |
Владимир | 7 | 7 | 8 | | Нижнеудинск | 7 | 7 | 8 | | Харбатово | 7 | 8 | 8 |
Выдрино | 9 | 9 | 10 | | Николаевка | 6 | 6 | 7 | | Харик | 7 | 7 | 8 |
Гадалей | 7 | 7 | 8 | | Новая Уда | 6 | 7 | 8 | | Хогот | 7 | 8 | 9 |
Гаханы | 7 | 8 | 8 | | Новобирюсинский | - | - | 6 | | Хомутово | 8 | 8 | 9 |
Голуметь | 8 | 8 | 9 | | Новожилкино | 8 | 8 | 9 | | Хребтовая | - | - | 6 |
Горно-Чуйский | 7 | 7 | 8 | | Новоленино | 7 | 7 | 8 | | Худоеланское | 7 | 7 | 8 |
Гуран | 6 | 7 | 7 | | Новомальтинск | 7 | 8 | 9 | | Хужир | 9 | 9 | 10 |
Дзержинск | 8 | 9 | 9 | | Новонукутский | 7 | 7 | 8 | | Центральный Хазан | 7 | 7 | 8 |
Еланцы | 8 | 9 | 10 | | Оек | 8 | 8 | 9 | | Чекановский | - | - | 6 |
Железнодорожный | 7 | 8 | 9 | | Озерный | - | - | 6 | | Черемхово | 7 | 8 | 9 |
Жигалово | 6 | 7 | 7 | | Октябрьский | - | 6 | 7 | | Чунский | - | - | 6 |
Забитуй | 7 | 8 | 9 | | Олонки | 7 | 8 | 9 | | Шаманка | 8 | 9 | 10 |
Закулей | 7 | 7 | 8 | | Олха | 8 | 9 | 10 | | Шелехов | 8 | 9 | 10 |
Залари | 7 | 7 | 8 | | Ользоны | 7 | 8 | 9 | | Шелехово | 6 | 7 | 8 |
Замзор | 6 | 7 | 7 | | Оса | 7 | 7 | 8 | | Шерагул | 7 | 7 | 8 |
Заречье | 6 | 6 | 7 | | Осиновка | - | - | 6 | | Шестаково | - | - | 6 |
Звездный | 6 | 6 | 7 | | Первомайское | 7 | 7 | 8 | | Шиткино | - | 6 | 7 |
Зима | 7 | 7 | 8 | | Пивовариха | 8 | 9 | 9 | | Шумилово | - | - | 6 |
Икей | 7 | 7 | 8 | | Покосное | - | 6 | 7 | | Шумский | 7 | 7 | 8 |
Илир | 6 | 6 | 7 | | Половино-Черемхово | 6 | 6 | 7 | | Юрта | 6 | 6 | 7 |
Иркутск | 8 | 9 | 9 | | Порожский | - | - | 6 | | Якурим | 6 | 6 | 6 |
Казарки | 6 | 6 | 6 | | Прибрежный | 6 | 6 | 7 | | Янталь | - | 6 | 6 |
Казачинское | 7 | 7 | 8 | | Приморский | 7 | 7 | 8 | | | | | |
Казачье | 7 | 7 | 8 | | Раздолье | 8 | 9 | 10 | | | | | |
Калининградская область |
Калининград | - | 6 | 7 | | Светлогорск | 6 | 6 | 7 | | Черняховск | - | 6 | 7 |
Кемеровская область |
Абагур | 7 | 7 | 8 | | Киселевск | 7 | 7 | 8 | | Прокопьевск | 7 | 7 | 8 |
Анжеро-Судженск | 6 | 6 | 7 | | Кожевниково | 6 | 6 | 7 | | Рудничный | 6 | 6 | 7 |
Артышта | 6 | 7 | 8 | | Комсомольск | 6 | 6 | 7 | | Салаир | 6 | 7 | 8 |
Барзас | 6 | 6 | 7 | | Крапивинский | 6 | 6 | 7 | | Спасск | 7 | 7 | 8 |
Бачатский | 6 | 7 | 8 | | Краснобродский | 6 | 7 | 8 | | Старобачаты | 6 | 7 | 8 |
Белово | 6 | 7 | 8 | | Красногорский | 6 | 7 | 8 | | Тайга | 6 | 6 | 7 |
Белогорск | 6 | 6 | 8 | | Кузедеево | 7 | 7 | 8 | | Тайжина | 7 | 7 | 8 |
Березовский | 6 | 6 | 7 | | Ленинск-Кузнецкий | 6 | 7 | 8 | | Таштагол | 7 | 7 | 8 |
Берикулькский | 6 | 6 | 7 | | Листвяги | 7 | 7 | 8 | | Темиртау | 7 | 7 | 8 |
Боровой | 6 | 6 | 7 | | Макаракский | 6 | 6 | 7 | | Тисуль | 6 | 6 | 7 |
Верх-Чебула | 6 | 6 | 7 | | Малиновка | 7 | 7 | 8 | | Топки | 6 | 6 | 7 |
Грамотеино | 6 | 7 | 8 | | Мариинск | 6 | 6 | 7 | | Трудармейский | 6 | 7 | 8 |
Гурьевск | 6 | 7 | 8 | | Междуреченск | 7 | 7 | 8 | | Тяжинский | 6 | 6 | 7 |
Зеленогорский | 6 | 6 | 7 | | Мундыбаш | 7 | 7 | 8 | | Урск | 6 | 7 | 8 |
Ижморский | 6 | 6 | 7 | | Мыски | 7 | 7 | 8 | | Центральный | 6 | 6 | 7 |
Инской | 6 | 7 | 8 | | Никитинский | 6 | 7 | 8 | | Чистогорский | 7 | 7 | 8 |
Итатский | 6 | 6 | 7 | | Новокузнецк | 7 | 7 | 8 | | Чугунаш | 7 | 7 | 8 |
Каз | 7 | 7 | 8 | | Новый Городок | 6 | 7 | 8 | | Шерегеш | 7 | 7 | 8 |
Калтан | 7 | 7 | 8 | | Осинники | 7 | 7 | 8 | | Юрга | 6 | 6 | 7 |
Карагайлинский | 6 | 7 | 8 | | Пионер | 6 | 6 | 7 | | Ягуновский | 6 | 6 | 7 |
Кедровка | 6 | 6 | 7 | | Полысаево | 6 | 7 | 8 | | Яшкино | 6 | 6 | 7 |
Кемерово | 6 | 6 | 7 | | Притомский | 7 | 7 | 8 | | Яя | 6 | 6 | 7 |
Кировская область |
Белая Холуница | - | - | 6 | | Красная Поляна | - | 6 | 7 | | Орлов | - | - | 6 |
Боровой | - | - | 6 | | Ленинское | - | - | 7 | | Первомайский | - | - | 6 |
Вятские Поляны | - | 6 | 7 | | Лянгасово | - | - | 6 | | Подосиновец | - | - | 6 |
Даровской | - | - | 6 | | Маромица | - | - | 6 | | Радужный | - | - | 6 |
Демьяново | - | - | 6 | | Мирный | - | - | 6 | | Санчурск | - | - | 6 |
Заря | - | - | 6 | | Мураши | - | - | 6 | | Свеча | - | - | 7 |
Кикнур | - | - | 6 | | Мурыгино | - | - | 7 | | Слободской | - | - | 6 |
Кильмезь | - | - | 6 | | Нагорск | - | - | 6 | | Стрижи | - | - | 6 |
Киров | - | - | 6 | | Нижнеивкино | - | - | 6 | | Торфяной | - | - | 6 |
Кирово-Чепецк | - | - | 6 | | Опарино | - | - | 6 | | Тужа | - | - | 6 |
Котельнич | - | - | 6 | | | | | | | Юрья | - | - | 7 |
Костромская область |
Ветлужский | - | - | 6 | | Мантурово | - | - | 6 | | Шарья | - | - | 6 |
Зебляки | - | - | 6 | | Октябрьский | - | - | 6 | | Шекшема | - | - | 6 |
Кадый | - | - | 6 | | Полдневица | - | - | 6 | | Якшанга | - | - | 6 |
Макарьев | - | - | 6 | | Поназырево | - | - | 6 | | | | | |
Курская область |
Горшечное | - | - | 6 | | Касторное | - | - | 6 | | Олымский | - | - | 6 |
Ленинградская область |
Вейно | - | - | 6 | | Курголово | - | - | 6 | | Липово | - | - | 6 |
Липецкая область |
Грязи | - | - | 6 | | Казинка | - | - | 6 | | Матырский | - | - | 6 |
Добринка | - | - | 6 | | Лебедянь | - | - | 6 | | Сырское | - | - | 6 |
Елец | - | - | 6 | | Лев Толстой | - | - | 6 | | Усмань | - | - | 6 |
Задонск | - | - | 6 | | Липецк | - | - | 6 | | Чаплыгин | - | - | 6 |
Магаданская область |
Адыгалах | 8 | 9 | 10 | | Карамкен | 8 | 8 | 9 | | Сплавная | 8 | 8 | 9 |
Армань | 8 | 8 | 9 | | Клепка | 8 | 9 | 10 | | Спорное | 8 | 8 | 9 |
Атка | 8 | 8 | 9 | | Колымское | 8 | 8 | 9 | | Стекольный | 8 | 8 | 9 |
Балаганное | 7 | 8 | 8 | | Кулу | 8 | 8 | 9 | | Сусуман | 8 | 8 | 10 |
Балыгычан | 6 | 6 | 7 | | Магадан | 8 | 8 | 9 | | Талая | 8 | 8 | 9 |
Беличан | 8 | 9 | 10 | | Мадаун | 8 | 8 | 9 | | Талон | 7 | 8 | 8 |
Большевик | 8 | 9 | 10 | | Меренга | 7 | 8 | 9 | | Таскан | 8 | 8 | 9 |
Буксунда | 7 | 7 | 8 | | Мой-Уруста | 8 | 8 | 9 | | Тауйск | 7 | 8 | 8 |
Буркандья | 8 | 9 | 10 | | Мякит | 8 | 8 | 9 | | Тахтоямск | 8 | 8 | 10 |
Бурхала | 8 | 8 | 9 | | Мяунджа | 8 | 9 | 10 | | Тополовка | 7 | 8 | 9 |
Верх. Парень | 6 | 7 | 8 | | Нексикан | 8 | 8 | 10 | | Уптар | 8 | 8 | 9 |
Верх. Ат-Урях | 8 | 8 | 9 | | Нелькоба | 8 | 8 | 9 | | Усть-Омчуг | 8 | 8 | 9 |
Верх. Балыгычан | 7 | 8 | 9 | | Озерное | 9 | 9 | 10 | | Усть-Среднекан | 7 | 8 | 9 |
Верх. Сеймчан | 7 | 8 | 9 | | Ола | 8 | 9 | 10 | | Усть-Хакчан | 9 | 9 | 10 |
Гадля | 8 | 9 | 10 | | Омсукчан | 7 | 7 | 9 | | Холодный | 8 | 9 | 10 |
Галимый | 7 | 7 | 9 | | Омчак | 8 | 8 | 9 | | Чайбуха | 7 | 8 | 9 |
Гарманда | 7 | 7 | 8 | | Оротук | 8 | 8 | 9 | | Широкий | 8 | 9 | 10 |
Гвардеец | 8 | 8 | 9 | | Оротукан | 8 | 8 | 9 | | Штурмовой | 8 | 8 | 9 |
Гижига | 7 | 7 | 8 | | Палатка | 8 | 8 | 9 | | Эвенск | 7 | 7 | 8 |
Глухариный | 6 | 6 | 7 | | Сеймчан | 7 | 8 | 9 | | Эльген | 7 | 8 | 9 |
Дебин | 8 | 8 | 9 | | Синегорье | 8 | 8 | 9 | | Ягодное | 8 | 8 | 9 |
Дукат | 7 | 7 | 9 | | Сокол | 8 | 8 | 9 | | | | | |
Кадыкчан | 8 | 9 | 10 | | Солнечный | 8 | 8 | 9 | | | | | |
Московская область |
Бакшеево | - | - | 6 | | Мишеронский | - | - | 6 | | Туголесский бор | - | - | 6 |
Керва | - | - | 6 | | Рошаль | - | - | 6 | | Черусти | - | - | 6 |
Мурманская область |
Апатиты | - | 6 | 7 | | Кола | - | 6 | 7 | | Приречный | 6 | 6 | 7 |
Африканда | 6 | 6 | 7 | | Молочный | 6 | 6 | 7 | | Ревда | - | 6 | 7 |
Верхнетуломский | - | 6 | 7 | | Мончегорск | - | 6 | 7 | | Росляково | - | 6 | 7 |
Заозерск | 6 | 6 | 7 | | Мурманск | - | 6 | 7 | | Сафоново | - | 6 | 7 |
Заполярный | 6 | 6 | 7 | | Мурмаши | - | 6 | 7 | | Североморск | - | 6 | 7 |
Зашеек | 6 | 6 | 7 | | Никель | 6 | 6 | 7 | | Скалистый | 6 | 6 | 7 |
Зеленоборский | 6 | 6 | 7 | | Оленегорск | - | 6 | 7 | | Снежногорск | 6 | 6 | 7 |
Кандалакша | 6 | 6 | 7 | | Островной | 6 | 6 | 7 | | Териберка | 6 | 6 | 7 |
Кильдинстрой | - | 6 | 7 | | Печенга | 6 | 6 | 7 | | Туманный | 6 | 6 | 7 |
Кировск | - | 6 | 7 | | Полярные Зори | 6 | 6 | 7 | | Умба | 6 | 6 | 7 |
Ковдор | 6 | 6 | 7 | | Полярный | 6 | 6 | 7 | | Шонгуй | - | 6 | 7 |
Нижегородская область |
Арья | - | - | 7 | | Заволжье | - | - | 6 | | Пыра | - | - | 6 |
Бабино | - | - | 6 | | Зеленый Город | 7 | 8 | 8 | | Решетиха | - | - | 6 |
Балахна | - | 6 | 6 | | Ильиногорск | - | - | 6 | | Семенов | - | 6 | 7 |
Богородск | - | - | 6 | | Керженец | - | 6 | 7 | | Ситники | - | 6 | 7 |
Большое Козино | - | - | 6 | | Княгинино | - | - | 6 | | Смолино | - | - | 6 |
Большое Мурашкино | - | - | 6 | | Ковернино | - | - | 7 | | Сокольское | - | - | 6 |
Большое Пикино | - | 6 | 7 | | Красная Горка | - | - | 6 | | Сухобезводное | - | 6 | 7 |
Бор | - | 6 | 7 | | Красные Баки | - | 6 | 7 | | Сява | - | - | 7 |
Варнавино | - | 6 | 7 | | Кстово | - | - | 6 | | Тонкино | - | - | 6 |
Васильсурск | 6 | 6 | 7 | | Ленинская Слобода | - | 6 | 6 | | Тоншаево | - | - | 6 |
Вахтан | - | - | 7 | | Линда | - | 6 | 7 | | Урень | - | - | 7 |
Ветлуга | - | - | 7 | | Лукино | - | - | 6 | | Фролищи | - | - | 6 |
Ветлужский | - | 6 | 7 | | Лысково | - | 6 | 7 | | Центральный | - | - | 6 |
Володарск | - | - | 6 | | Макарьево | - | 6 | 7 | | Чистое | - | - | 6 |
Воротынец | - | 6 | 7 | | Малое Козино | - | - | 6 | | Чкаловск | - | - | 6 |
Воскресенское | - | 6 | 7 | | Неклюдово | - | 6 | 7 | | Шайгино | - | - | 6 |
Гавриловка | - | - | 6 | | Нижний Новгород | - | - | 6 | | Шаранга | - | - | 6 |
Гидроторф | - | - | 6 | | Октябрьский | - | 6 | 7 | | Шахунья | - | - | 6 |
Горбатовка | - | - | 6 | | Первомайский | - | - | 6 | | Юганец | - | - | 6 |
Городец | - | 6 | 6 | | Пижма | - | - | 6 | | | | | |
Желнино | - | - | 6 | | Пильна | - | - | 6 | | | | | |
Новосибирская область |
Бердск | 6 | 7 | 8 | | Коченево | 6 | 6 | 7 | | Ордынское | 6 | 7 | 8 |
Болотное | 6 | 6 | 7 | | Краснозерское | - | 6 | 7 | | Пашино | 6 | 6 | 7 |
Горный | 6 | 6 | 7 | | Краснообск | 6 | 6 | 7 | | Посевная | 6 | 7 | 8 |
Довольное | - | - | 6 | | Криводановка | 6 | 6 | 7 | | Прокудское | 6 | 6 | 7 |
Дорогино | 6 | 7 | 8 | | Линево | 6 | 7 | 8 | | Сузун | 6 | 7 | 8 |
Искитим | 6 | 7 | 8 | | Листвянский | 6 | 7 | 8 | | Тальменка | 6 | 7 | 8 |
Карасук | - | - | 6 | | Маслянино | 6 | 7 | 8 | | Тогучин | 6 | 6 | 7 |
Каргат | - | - | 6 | | Мошково | 6 | 6 | 7 | | Черепаново | 6 | 7 | 8 |
Колывань | 6 | 6 | 7 | | Новосибирск | 6 | 6 | 7 | | Чик | 6 | 6 | 7 |
Кольцово | 6 | 6 | 8 | | Обь | 6 | 6 | 7 | | Чулым | - | 6 | 7 |
Омская область |
Бол. Бича | - | - | 6 | | Колосовка | - | - | 7 | | Тевриз | - | - | 6 |
Большеречье | - | - | 6 | | Крутинка | - | - | 6 | | Тюкалинск | - | - | 6 |
Бол. Уки | - | - | 7 | | Моторово | - | - | 7 | | Усть-Ишим | - | - | 6 |
Евгащино | - | - | 6 | | Муромцево | - | - | 6 | | Усть-Тара | - | - | 6 |
Ермиловка | - | - | 6 | | Седельниково | - | - | 6 | | | | | |
Знаменское | - | - | 6 | | Тара | - | - | 6 | | | | | |
Оренбургская область |
Акбулак | - | - | 6 | | Кувандык | - | - | 6 | | Ракитянка | - | - | 6 |
Аккермановка | - | - | 6 | | Медногорск | - | - | 6 | | Саракташ | - | - | 6 |
Бугуруслан | - | - | 6 | | Новорудный | - | - | 6 | | Соль-Илецк | - | - | 6 |
Бузулук | - | - | 6 | | Новосергиевка | - | - | 6 | | Сорочинск | - | - | 6 |
Гай | - | - | 6 | | Новотроицк | - | - | 6 | | Ташла | - | - | 6 |
Грачевка | - | - | 6 | | Октябрьское | - | - | 6 | | Тоцкое | - | - | 6 |
Дубенский | - | - | 6 | | Оренбург | - | - | 6 | | Тюльган | - | - | 6 |
Илек | - | - | 6 | | Орск | - | - | 6 | | Халилово | - | - | 6 |
Ириклинский | - | - | 6 | | Первомайский | - | - | 6 | | Шарлык | - | - | 6 |
Каргала | - | - | 6 | | Переволоцкий | - | - | 6 | | Энергетик | - | - | 6 |
Колтубановский | - | - | 6 | | Пономаревка | - | - | 6 | | | | | |
Пензенская область |
Верхозим | - | - | 6 | | Кузнецк | - | - | 6 | | Сосновоборск | - | - | 6 |
Евлашево | - | - | 6 | | Радищево | - | - | 6 | | | | | |
Ростовская область |
Азов | 6 | 6 | 7 | | Заветное | - | - | 6 | | Новошахтинск | - | - | 6 |
Аксай | 6 | 6 | 7 | | Заводской | - | - | 6 | | Орловский | - | - | 6 |
Алмазный | - | - | 6 | | Зверево | - | - | 6 | | Песчанокопское | 6 | 6 | 6 |
Аютинский | - | - | 6 | | Зерноград | - | 6 | 6 | | Покровское | - | 6 | 6 |
Багаевская | - | - | 7 | | Кагальницкая | - | 6 | 6 | | Пролетарск | - | - | 6 |
Батайск | 6 | 6 | 7 | | Казанская | - | - | 6 | | Ремонтное | - | - | 6 |
Белая Калитва | - | - | 6 | | Каменоломни | - | - | 6 | | Ростов-на-Дону | 6 | 6 | 7 |
Боковская | - | - | 6 | | Каменск-Шахтинский | - | - | 6 | | Сальск | - | - | 6 |
Бол. Мартыновка | - | - | 6 | | Кашары | - | - | 6 | | Самбек | - | 6 | 6 |
Вешенская | - | - | 6 | | Коксовый | - | - | 6 | | Семикаракорск | - | - | 6 |
Гигант | - | - | 6 | | Константиновск | - | - | 6 | | Синегорский | - | - | 6 |
Глубокий | - | - | 6 | | Красный | - | - | 6 | | Таганрог | 6 | 6 | 7 |
Горный | - | - | 6 | | Красный Сулин | - | - | 6 | | Таловый | - | - | 6 |
Гуково | - | - | 6 | | Куйбышево | - | - | 6 | | Углеродовский | - | - | 6 |
Гундоровский | - | - | 6 | | Кулешовка | 6 | 6 | 7 | | Усть-Донецкий | - | - | 6 |
Донецк | - | - | 6 | | Лиховской | - | - | 6 | | Целина | - | 6 | 6 |
Донской | 6 | 6 | 7 | | Майский | - | - | 6 | | Чалтырь | 6 | 6 | 7 |
Егорлыкская | - | 6 | 6 | | Новочеркасск | - | - | 7 | | Шахты | - | - | 6 |
Рязанская область |
Александро-Невский | - | - | 6 | | | | | | | | | | |
Самарская область |
Алексеевка | - | - | 6 | | Красный Яр | - | - | 6 | | Прибрежный | - | - | 7 |
Балашейка | - | 6 | 7 | | Междуреченск | - | 6 | 7 | | Рождествено | - | - | 6 |
Безенчук | - | - | 6 | | Мирный | - | - | 6 | | Самара | - | - | 6 |
Богатое | - | - | 6 | | Нефтегорск | - | - | 6 | | Сергиевск | - | - | 6 |
Богатырь | - | - | 6 | | Новокашпирский | - | 6 | 7 | | Смышляевка | - | - | 6 |
Борское | - | - | 6 | | Новокуйбышевск | - | - | 6 | | Суходол | - | - | 6 |
Волжский | - | - | 6 | | Новосемейкино | - | - | 6 | | Сызрань | - | 6 | 7 |
Жигулевск | - | - | 7 | | Октябрьск | - | 6 | 7 | | Тимашево | - | - | 6 |
Зольное | - | - | 7 | | Осинки | - | - | 6 | | Тольятти | - | 6 | 7 |
Зубчаниновка | - | - | 7 | | Отрадный | - | - | 6 | | Усть-Кинельский | - | - | 7 |
Кинель | - | - | 6 | | Первомайский | - | - | 6 | | Чапаевск | - | - | 7 |
Клявлино | - | - | 6 | | Петра-Дубрава | - | - | 6 | | Челно-Вершины | - | 6 | 7 |
Кошки | - | 6 | 7 | | Поволжский | - | - | 7 | | Шентала | - | - | 7 |
Красноармейское | - | - | 6 | | Похвистнево | - | - | 6 | | Яблоневый Овраг | - | - | 6 |
Саратовская область |
Александров Гай | - | - | 6 | | Вольск | - | 6 | 7 | | Красноармейск | - | 6 | 7 |
Алексеевка | - | - | 7 | | Дергачи | - | - | 6 | | Красн. Текстильщик | - | 6 | 7 |
Аткарск | - | - | 6 | | Духовницкое | - | - | 7 | | Маркс | - | 6 | 7 |
Базарный Карабулак | - | 6 | 7 | | Жасминный | - | 6 | 7 | | Мокроус | - | - | 6 |
Балаково | - | - | 6 | | Калининск | - | - | 6 | | Нов. Бурасы | - | 6 | 7 |
Балтай | - | 6 | 7 | | Каменский | - | 6 | 7 | | Новоузенск | - | - | 6 |
Возрождение | - | 6 | 7 | | Красный Октябрь | - | 6 | 7 | | Озинки | - | - | 6 |
Орлов Гай | - | - | 6 | | Ровное | - | 6 | 7 | | Степное | - | 6 | 7 |
Павловка | - | - | 6 | | Саратов | - | 6 | 7 | | Татищево | - | 6 | 7 |
Петровск | - | - | 6 | | Светлый | - | 6 | 7 | | Хвалынск | - | - | 7 |
Питерка | - | - | 6 | | Свободный | - | 6 | 7 | | Хватовка | - | 6 | 7 |
Приволжский | - | 6 | 7 | | Сенной | - | 6 | 7 | | Черкасское | - | 6 | 7 |
Пугачев | - | - | 6 | | Советское | - | - | 7 | | Шиханы | - | 6 | 7 |
Пушкино | - | - | 6 | | Соколовый | - | 6 | 7 | | Энгельс | - | 6 | 7 |
Сахалинская область |
Александровск-Сахалинский | 9 | 9 | 10 | | Леонидово | 8 | 9 | 9 | | Тихменево | 8 | 9 | 9 |
Анива | 8 | 9 | 9 | | Лесогорское | 9 | 10 | 10 | | Томари | 8 | 8 | 9 |
Бошняково | 9 | 9 | 10 | | Макаров | 8 | 9 | 9 | | Троицкое | 8 | 9 | 9 |
Буюклы | 8 | 9 | 9 | | Малокурильское | 10 | 10 | 10 | | Тунгор | 9 | 10 | 10 |
Быков | 8 | 9 | 9 | | Мгачи | 9 | 9 | 10 | | Тымовское | 9 | 9 | 10 |
Вахрушев | 8 | 9 | 9 | | Невельск | 9 | 9 | 9 | | Углегорск | 9 | 9 | 10 |
Взморье | 8 | 9 | 9 | | Новиково | 8 | 8 | 9 | | Углезаводск | 8 | 9 | 9 |
Восток | 8 | 9 | 9 | | Ноглики | 9 | 9 | 10 | | Ударный | 9 | 9 | 10 |
Гастелло | 8 | 9 | 9 | | Озерский | 8 | 8 | 9 | | Холмск | 8 | 9 | 9 |
Горнозаводск | 9 | 9 | 9 | | Оха | 9 | 10 | 10 | | Хомутово | 8 | 8 | 9 |
Горный | 9 | 10 | 10 | | Погиби | 8 | 9 | 10 | | Чапаево | 8 | 8 | 9 |
Горячие Ключи | 9 | 10 | 10 | | Поронайск | 8 | 9 | 9 | | Чехов | 8 | 9 | 9 |
Долинск | 8 | 8 | 9 | | Правда | 9 | 9 | 9 | | Шахтерск | 9 | 9 | 10 |
Дуэ | 9 | 9 | 10 | | Рейдово | 9 | 10 | 10 | | Шебунино | 9 | 9 | 9 |
Ильинский | 8 | 9 | 9 | | Северо-Курильск | 9 | 10 | 10 | | Эхаби | 9 | 10 | 10 |
Катангли | 9 | 9 | 10 | | Синегорск | 8 | 9 | 9 | | Южно-Курильск | 9 | 10 | 10 |
Китовый | 9 | 10 | 10 | | Смирных | 8 | 9 | 9 | | Южно-Сахалинск | 8 | 8 | 9 |
Колендо | 9 | 10 | 10 | | Соболиное | 8 | 9 | 9 | | Яблочный | 8 | 9 | 9 |
Корсаков | 8 | 8 | 9 | | Сокол | 8 | 8 | 9 | | Ясноморский | 9 | 9 | 9 |
Красногорск | 8 | 9 | 10 | | Соловьевка | 8 | 8 | 9 | | | | | |
Курильск | 9 | 10 | 10 | | Тельновский | 9 | 10 | 10 | | | | | |
Свердловская область |
Алапаевск | - | - | 6 | | Заречный | - | 6 | 7 | | Ниж. Тагил | 6 | 6 | 7 |
Арамиль | - | 6 | 8 | | Зыряновский | - | - | 6 | | Ниж. Салда | - | - | 6 |
Артемовский | - | - | 6 | | Зюзельский | 6 | 6 | 8 | | Ниж. Тура | - | 6 | 7 |
Арти | 6 | 6 | 7 | | Ивдель | - | - | 6 | | Новая Ляля | - | 6 | 7 |
Асбестовский | - | - | 6 | | Изумруд | - | - | 7 | | Новоасбест | - | 6 | 7 |
Атиг | 6 | 6 | 8 | | Ирбит | - | - | 6 | | Новоуральск | 6 | 6 | 8 |
Ачит | 6 | 6 | 7 | | Ис | - | 6 | 7 | | Новоуткинск | 6 | 6 | 8 |
Аять | 6 | 6 | 8 | | Исеть | 6 | 6 | 8 | | Озерный | - | - | 7 |
Байкалово | - | - | 6 | | Калиново | 6 | 6 | 8 | | Пелым | - | - | 6 |
Баранчинский | 6 | 6 | 7 | | Калья | - | - | 7 | | Первоуральск | 6 | 6 | 8 |
Басьяновский | - | - | 6 | | Каменск-Уральский | - | - | 6 | | Покровск-Уральский | - | - | 7 |
Белоречка | 6 | 6 | 7 | | Карпинск | - | 6 | 7 | | Полуночное | - | - | 6 |
Белоярский | - | 6 | 7 | | Карпунинский | - | - | 6 | | Привокзальный | - | 6 | 7 |
Березовский | - | 6 | 8 | | Карпушиха | 6 | 6 | 7 | | Ревда | 6 | 6 | 8 |
Билимбай | 6 | 6 | 8 | | Качканар | - | 6 | 7 | | Реж | - | - | 6 |
Бисерть | 6 | 6 | 8 | | Кедровое | - | 6 | 7 | | Рефтинский | - | - | 6 |
Бобровский | - | 6 | 8 | | Кировград | 6 | 6 | 7 | | Рудничный | - | 6 | 7 |
Богданович | - | - | 6 | | Ключевск | - | 6 | 7 | | Сарана | - | 6 | 6 |
Бол. Исток | - | 6 | 8 | | Кольцове | - | 6 | 8 | | Сарапулка | - | 6 | 7 |
Валериановск | - | 6 | 7 | | Косья | - | 6 | 7 | | Свободный | - | 6 | 7 |
Верх-Нейвинский | 6 | 6 | 8 | | Красногвардейский | - | - | 6 | | Северка | 6 | 6 | 8 |
Верх. Дуброво | - | 6 | 7 | | Краснотурьинск | - | - | 7 | | Североуральск | - | - | 7 |
Верх. Пышма | - | 6 | 8 | | Красноуфимск | - | 6 | 7 | | Синегорский | 6 | 6 | 7 |
Верх. Салда | - | 6 | 7 | | Красноуральск | - | 6 | 7 | | Сосьва | - | - | 7 |
Верх. Серги | 6 | 6 | 8 | | Кузино | 6 | 6 | 8 | | Среднеуральск | 6 | 6 | 8 |
Верх. Синячиха | - | - | 6 | | Кушва | - | 6 | 7 | | Старопышминск | - | 6 | 7 |
Верх. Сысерть | - | 6 | 7 | | Кытлым | - | 6 | 7 | | Староуткинск | 6 | 6 | 8 |
Верх. Тагил | 6 | 6 | 7 | | Левиха | 6 | 6 | 7 | | Сухой Лог | - | - | 6 |
Верх. Тура | - | 6 | 7 | | Лесной | - | 6 | 7 | | Таватуй | 6 | 6 | 8 |
Веселовка | - | 6 | 7 | | Лобва | - | 6 | 7 | | Третий Северный | - | - | 7 |
Висим | 6 | 6 | 7 | | Лосиный | - | 6 | 7 | | Тугулым | - | - | 6 |
Висимо-Уткинск | 6 | 6 | 7 | | Малышева | - | - | 7 | | Туринск | - | - | 7 |
Волчанок | - | - | 7 | | Марсяты | - | - | 7 | | Туринская Слобода | - | - | 6 |
Воронцовка | - | 6 | 7 | | Маслово | - | - | 7 | | Уралец | 6 | 6 | 7 |
Восточный | - | - | 7 | | Махнево | - | - | 6 | | Уральский | - | 6 | 7 |
Гари | - | - | 7 | | Межевая | 6 | 6 | 7 | | Уфимский | 6 | 6 | 7 |
Горноуральский | - | 6 | 7 | | Михайловск | 6 | 6 | 7 | | Цементный | 6 | 6 | 7 |
Двуреченск | - | 6 | 7 | | Монетный | - | 6 | 7 | | Черноисточинск | 6 | 6 | 7 |
Дегтярск | 6 | 6 | 8 | | Натальинск | - | 6 | 7 | | Шабровский | - | 6 | 8 |
Дружинино | 6 | 6 | 8 | | Невьянск | 6 | 6 | 7 | | Шаля | 6 | 6 | 8 |
Екатеринбург | - | 6 | 8 | | Нейво-Рудянка | 6 | 6 | 7 | | Шамары | 6 | 6 | 8 |
Елкино | - | 6 | 7 | | Нейво-Шайтанский | - | - | 6 | | Широкая Речка | 6 | 6 | 8 |
Зайково | - | - | 6 | | Ниж. Серги | 6 | 6 | 8 | | | | | |
Тамбовская область |
Дмитриевка | - | - | 6 | | Мордова | - | - | 6 | | Ржакса | - | - | 6 |
Жердевка | - | - | 6 | | Мучкапский | - | - | 6 | | Сосновка | - | - | 6 |
Знаменка | - | - | 6 | | Новая Ляда | - | - | 6 | | Тамбов | - | - | 6 |
Инжавино | - | - | 6 | | Новопокровка | - | - | 6 | | Токаревка | - | - | 6 |
Котовск | - | - | 6 | | Первомайский | - | - | 6 | | Уварово | - | - | 6 |
Мичуринск | - | - | 6 | | Рассказово | - | - | 6 | | | | | |
Томская область |
Асино | 6 | 6 | 7 | | Кривошеино | - | - | 6 | | Северск | 6 | 6 | 7 |
Дзержинский | 6 | 6 | 7 | | Молчаново | - | - | 6 | | Тахтамышево | 6 | 6 | 7 |
Зоркальцево | 6 | 6 | 7 | | Нелюбино | 6 | 6 | 7 | | Тимирязевский | 6 | 6 | 7 |
Зырянское | 6 | 6 | 7 | | Первомайское | 6 | 6 | 7 | | Томск | 6 | 6 | 7 |
Кафтанчиково | 6 | 6 | 7 | | Поросино | 6 | 6 | 7 | | Черная Речка | 6 | 6 | 7 |
Кожевниково | 6 | 6 | 7 | | Рыбалово | 6 | 6 | 7 | | Эушта | 6 | 6 | 7 |
Тюменская область |
Абатское | - | - | 7 | | Голышманово | - | - | 6 | | Омутинское | - | - | 6 |
Аромашево | - | - | 7 | | Заводоуковск | - | - | 6 | | Сумкино | - | - | 6 |
Богандинский | - | - | 6 | | Ишим | - | - | 6 | | Тобольск | - | - | 6 |
Боровский | - | - | 6 | | Красный Гуляй | - | 6 | 7 | | Тюмень | - | - | 6 |
Вагаево | - | - | 6 | | Лебедевка | - | - | 6 | | Юргинское | - | - | 7 |
Викулово | - | - | 7 | | Мелиораторов | - | - | 6 | | Ялуторовск | - | - | 6 |
Винзили | - | - | 6 | | Ниж. Тавда | - | - | 6 | | Ярково | - | - | 7 |
Ульяновская область |
Базарный Сызган | - | - | 6 | | Кузоватово | - | 6 | 7 | | Сенгилей | - | 6 | 7 |
Барыш | - | - | 6 | | Майна | - | - | 6 | | Силикатный | - | 6 | 7 |
Вешкайма | - | - | 6 | | Мулловка | - | 6 | 7 | | Старая Кулатка | - | 6 | 7 |
Димитровград | - | 6 | 7 | | Николаевка | - | 6 | 7 | | Старая Майна | - | 6 | 7 |
Жадовка | - | - | 6 | | Новая Майна | - | 6 | 7 | | Старотимошкино | - | - | 6 |
Игнатовка | - | - | 6 | | Новоспасское | - | 6 | 7 | | Тереньга | - | 6 | 7 |
Измайлово | - | - | 6 | | Новоульяновск | - | 6 | 7 | | Ульяновск | - | - | 7 |
Имени В.И. Ленина | - | - | 6 | | Новочеремшанск | - | 6 | 7 | | Цемзавод | - | 6 | 7 |
Ишеевка | - | - | 6 | | Октябрьский | - | 6 | 7 | | Чердаклы | - | 6 | 7 |
Канадой | - | 6 | 7 | | Павловка | - | 6 | 7 | | Чуфарово | - | - | 6 |
Карсун | - | - | 6 | | Радищево | - | 6 | 7 | | Языково | - | - | 6 |
Челябинская область |
Агаповка | - | - | 6 | | Катав-Ивановск | - | - | 6 | | Ниж. Уфалей | 6 | 6 | 7 |
Аргаяш | - | 6 | 7 | | Кизимльское | - | - | 6 | | Новогорный | - | 6 | 7 |
Аша | - | - | 6 | | Кропачево | - | - | 6 | | Нязепетровск | 6 | 6 | 7 |
Бакал | - | - | 6 | | Кунашак | - | - | 6 | | Озерск | - | 6 | 7 |
Бердяуш | - | - | 6 | | Куса | - | 6 | 6 | | Сатка | - | - | 6 |
Верхнеуральск | - | - | 6 | | Кыштым | - | 6 | 7 | | Сим | - | - | 6 |
Верх. Уфалей | 6 | 6 | 7 | | Ленинск | - | - | 6 | | Снежинск | - | 6 | 7 |
Вишневогорск | - | 6 | 7 | | Магнитка | - | 6 | 7 | | Сулея | - | - | 6 |
Вязовая | - | - | 6 | | Магнитогорск | - | - | 6 | | Трехгорный | - | - | 6 |
Долгодеревенское | - | - | 6 | | Межевой | - | - | 6 | | Тургояк | - | 6 | 6 |
Златоуст | - | 6 | 6 | | Межозерный | - | - | 6 | | Усть-Катав | - | - | 6 |
Карабаш | - | 6 | 7 | | Миасс | - | - | 6 | | Чебаркуль | - | 6 | 6 |
Касли | - | 6 | 7 | | Миньяр | - | - | 6 | | Юрюзань | - | - | 6 |
АВТОНОМНЫЕ ОБЛАСТИ ИЛИ ОКРУГА |
Еврейская автономная область |
Амурзет | 8 | 8 | 9 | | Имени Тельмана | 6 | 6 | 7 | | Облучье | 8 | 8 | 9 |
Бира | 8 | 8 | 10 | | Кульдур | 8 | 8 | 9 | | Приамурский | 6 | 6 | 7 |
Биракан | 8 | 8 | 10 | | Ленинское | 7 | 7 | 8 | | Смидович | 6 | 7 | 8 |
Биробиджан | 7 | 8 | 9 | | Лондоко | 8 | 8 | 10 | | Теплоозерск | 8 | 8 | 10 |
Известковый | 8 | 8 | 9 | | Николаевка | 6 | 7 | 7 | | Хинганск | 8 | 8 | 9 |
Ненецкий автономный округ |
Амдерма | - | - | 6 | | Кара | - | - | 6 | | | | | |
Чукотский автономный округ |
Айон | - | - | 7 | | Канчалан | 6 | 6 | 7 | | Рыркарпий | 6 | 6 | 7 |
Алискерово | 6 | 6 | 7 | | Кепервеем | 6 | 6 | 7 | | Рыткучи | 6 | 6 | 7 |
Альткатваам | 6 | 7 | 8 | | Комсомольский | 6 | 6 | 7 | | Сиреники | 6 | 7 | 7 |
Амгуэма | 6 | 7 | 8 | | Конергино | 6 | 6 | 7 | | Снежное | 6 | 6 | 8 |
Анадырь | 6 | 6 | 7 | | Краснено | 6 | 6 | 7 | | Тавайваам | 6 | 6 | 7 |
Апапельгино | - | 6 | 7 | | Лаврентия | 6 | 7 | 8 | | Угольные Копи | 6 | 6 | 7 |
Бараниха | 6 | 6 | 7 | | Ламутское | 6 | 6 | 8 | | Урелики | 6 | 6 | 7 |
Беринговский | 6 | 7 | 8 | | Ленинградский | 6 | 6 | 7 | | Усть-Белая | 6 | 6 | 8 |
Билибино | 6 | 6 | 7 | | Лорино | 6 | 7 | 8 | | Уэлькаль | 6 | 6 | 7 |
Биллинго | - | 6 | 7 | | Марково | 6 | 7 | 8 | | Хатырка | 6 | 7 | 8 |
Быстрый | 6 | 6 | 7 | | Мыс Шмидта | 6 | 6 | 7 | | Чуванское | 6 | 6 | 7 |
Ваеги | 6 | 7 | 8 | | Нешкан | 7 | 7 | 8 | | Эгвекинот | 6 | 7 | 7 |
Ванкарем | 7 | 8 | 9 | | Новое Чаплино | 6 | 6 | 7 | | Энмелен | 6 | 7 | 7 |
Весенний | 6 | 6 | 7 | | Нунлигран | 6 | 7 | 7 | | Энурмино | 6 | 7 | 8 |
Встречный | 6 | 6 | 7 | | Нутэпэльмен | 7 | 8 | 9 | | Янракыннот | 6 | 7 | 8 |
Второй | 6 | 6 | 7 | | Омолон | - | - | 6 | | Янранай | - | - | 7 |
Илирней | 6 | 6 | 7 | | Островное | 6 | 6 | 7 | | | | | |
Инчоун | 6 | 7 | 8 | | Певек | - | 6 | 7 | | | | | |
Примечание - Степень сейсмической опасности, указанная арабскими цифрами 6 - 10 в
графах A,
B и
C, соответствует 6 - 10 баллам шкалы MSK-64 и вероятности возможного превышения 10%
(карта ОСР-2015-A), 5%
(карта ОСР-2015-B) и 1%
(карта ОСР-2015-C) (или 90%, 95% и 99% непревышения) расчетной сейсмической интенсивности в каждом из пунктов в течение 50 лет. Эти же оценки отражают 90%-ную вероятность непревышения указанных значений сейсмической интенсивности в течение интервалов времени 50, 100 и 500 лет и соответствуют повторяемости таких сотрясений в среднем один раз в 500
(карта A), 1000
(карта B) и 5000 лет
(карта C).
Каждая из карт, входящих в комплект ОСР-2015 (
A,
B,
C), позволяет обеспечивать одинаковую степень инженерного риска на всей территории Российской Федерации и предназначена для осуществления антисейсмических мероприятий при строительстве объектов разных категорий ответственности и сроков службы.
В связи с тем, что расчет карт ОСР-2015 проводился по сетке 25 x 25 км2, оценка сейсмической опасности пунктов, расположенных на расстоянии до 30 км от границ между зонами балльности, должна уточняться (ДСР и т.п.) или они должны быть отнесены к более сейсмоопасной зоне.
Субъекты Российской Федерации, их города и населенные пункты, территории которых расположены в пределах зон, характеризующихся сейсмической интенсивностью менее 6 баллов, в приведенный список не помещены (это Республика Мордовия, Удмуртская Республика; Калужская, Курганская, Новгородская, Орловская, Псковская, Смоленская, Тверская, Тульская и Ярославская области; города Москва и Санкт-Петербург; Ханты-Мансийский, Эвенкийский и Ямало-Ненецкий автономные округа).
Карты общего сейсмического районирования территории
Российской Федерации - ОСР-2015
Сейсмическое районирование России
Сейсмическое районирование России
Сейсмическое районирование России
ОБОЗНАЧЕНИЯ
Приложение Б исключено с 01.03.2022. -
Изменение N 2, утв. Приказом Минстроя России от 31.01.2022 N 59/пр.
СЕЙСМОИЗОЛИРУЮЩИЕ ЭЛЕМЕНТЫ
Приложение В исключено с 01.03.2022. -
Изменение N 2, утв. Приказом Минстроя России от 31.01.2022 N 59/пр.
МЕТОДИКА ПОВЕРОЧНОГО РАСЧЕТА ЗДАНИЙ И СООРУЖЕНИЙ
ВО

ОБЛАСТИ С ПРИМЕНЕНИЕМ ИНСТРУМЕНТАЛЬНЫХ
ИЛИ СИНТЕЗИРОВАННЫХ АКСЕЛЕРОГРАММ
Минстроя России от 31.01.2022 N 59/пр)
Г.1, Г.2 Исключены с 01.03.2022. -
Изменение N 2, утв. Приказом Минстроя России от 31.01.2022 N 59/пр.
Г.3 При выполнении поверочных расчетов во

области с применением инструментальных или синтезированных акселерограмм следует задавать жесткостные характеристики конструкций здания, соответствующие прогнозируемому или назначаемому уровню деформирования или повреждения его элементов. Учет нелинейного характера зависимости между величиной внешнего воздействия и деформациями (перемещениями) конструкций может выполняться как путем прямого задания диаграммы деформирования, так и с применением различных способов линеаризации. Для расчетов во

области максимальные амплитуды инструментальных или синтезированных ускорений в уровне основания сооружения следует принимать не менее 1,0; 2,0 или 4,0 м/с
2 при сейсмичности площадок строительства 7, 8 и 9 баллов соответственно и умножать на коэффициент
K0 таблицы 4.2.
При поверочных расчетах во

области следует принимать коэффициент
K1 = 1.
(п. Г.3 в ред.
Изменения N 2, утв. Приказом Минстроя России от 31.01.2022 N 59/пр)
Г.4 При поверочных расчетах во

области с применением инструментальных или синтезированных акселерограмм рассматриваются вынужденные колебания системы под влиянием внешнего воздействия.
(в ред.
Изменения N 2, утв. Приказом Минстроя России от 31.01.2022 N 59/пр)
Расчеты следует выполнять с применением акселерограмм, разработанных или адаптированных для площадки строительства, а также с учетом возможности развития в элементах неупругих деформаций и локальных хрупких разрушений с использованием апробированных программных комплексов.
Г.5 Для определения сейсмических воздействий допускается использовать перечисленные ниже методы или их комбинации, которые можно объединить в три основные группы:
Г.5.1 Методы, использующие записи сильных землетрясений максимального расчетного уровня, имевших место на площадке, или имеющиеся аналоговые записи сильных землетрясений.
Г.5.2 Методы, основанные на моделях разлома:
- теоретический метод;
- полуэмпирический метод.
Г.5.3 Методы, использующие стандартные спектры:
- методы синтезирования расчетных акселерограмм и спектров действия с установленными оценками параметров движений грунта при расчетных воздействиях во

и (или) спектральной форме.
Г.6 Сейсмические воздействия в зависимости от степени изученности сейсмотектонических и грунтовых условий площадки могут быть определены любым из методов или несколькими методами одновременно: нормативным, эмпирическим, полуэмпирическим и аналитическим. Должны быть получены наиболее вероятные значения параметров сейсмических воздействий и оценка их неопределенности. Применимость каждого из использованных методов должна быть обоснована.
Г.7 При выборе методов определения сейсмических колебаний грунта для проектных основ следует отдавать предпочтение эмпирическому методу, использующему записи сильных движений от землетрясений на площадке максимального расчетного уровня, поскольку они наиболее удовлетворяют реальной площадке.
Г.8 Применение полуэмпирического метода предпочтительно в случае отсутствия записей сильных движений, но при наличии данных о параметрах разлома и распределении скоростей между разломом и площадкой.
Г.9 Теоретический метод следует применять при наличии записи движений на площадке при слабых землетрясениях, а также параметров разлома, генерирующего РЗ.
Г.10 Нормативный метод применяется при ограниченной сейсмологической информации о площадке строительства, такой как магнитуда РЗ и расстояние до очага. В этом методе сейсмические воздействия синтезируются по стандартному спектру реакции или спектральной плотности, продолжительности и огибающей, зависящей от времени.
Г.11 Аналитический метод применяется в случае отсутствия конкретной информации о площадке. Данный метод рекомендуется для ограниченного применения и получения предварительных оценок.
Г.12 Сейсмические колебания могут быть представлены в виде записей ускорения грунта во времени и соответствующими параметрами (скоростью и перемещением).
Г.13 Если для расчета требуется пространственная модель сооружения, сейсмические колебания должны состоять из трех одновременно действующих акселерограмм. Одна и та же акселерограмма не может быть использована одновременно вдоль обеих горизонтальных направлений.
Г.14 В зависимости от характера применения и фактически имеющейся информации описание сейсмического воздействия может быть выполнено с использованием искусственных акселерограмм (см. Г.15), а также записанных или синтезированных акселерограмм (см.
Г.19).
Г.15 Искусственные акселерограммы должны быть созданы таким образом, чтобы соответствовать форме упругого спектра отклика максимальных ускорений для соответствующих категорий грунта по сейсмическим свойствам для вязкого затухания 5% критического

.
Г.16 Продолжительность акселерограмм должна соответствовать магнитуде и другим важным параметрам сейсмического события, лежащим в основе установления расчетного максимального ускорения agR.
Г.17 Если отсутствуют данные, характерные для конкретной площадки, минимальная продолжительность Ts установившейся части акселерограмм должна равняться 10 с.
Г.18 Набор искусственных акселерограмм должен соответствовать требованиям Г.18.1 - Г.18.3:
Г.18.1 Следует использовать не менее трех акселерограмм.
Г.18.2 Среднее значение спектральных ускорений нулевого периода (вычисленное по отдельным записям колебаний во времени) не должно быть меньше значения

для рассматриваемой площадки.
Г.18.3 В диапазоне периодов от 0,2T1 до 2T1, где T1 - основной период колебаний сооружения в направлении, для которого будет применяться акселерограмма, ни одно среднее значение упругого спектра отклика с затуханием 5%, вычисленное по всем записям колебаний во времени, не должно быть меньше 90% соответствующего значения упругого спектра отклика с затуханием 5%.
Г.19 Записанные или синтезированные акселерограммы могут применяться с использованием физического моделирования механизмов источника, эпицентрального расстояния и пути прохождения сейсмической волны через грунты при условии, что записи разработаны с учетом сейсмогенных свойств источника воздействия и грунтовых условий, характерных для площадки, а их значения нормированы к значению
agR для рассматриваемого района.
Г.20 Анализ свойств грунта на возможное увеличение эффектов при сейсмических воздействиях и проверку динамической устойчивости склона следует проводить в соответствии с
СП 22.13330.
Г.21 Используемый набор записанных или синтезированных акселерограмм должен соответствовать требованиям
Г.15.
Г.22 Сейсмические колебания грунта на площадке зависят от следующих основных факторов:
- положение активных разломов и их параметров (длина, глубина заложения, направление движения, скорость движения);
- положение зон ВОЗ и их параметров (максимальная магнитуда, глубина очага, механизм очага, параметры сейсмического режима);
- удаление площадки от центра активного разлома или зоны ВОЗ;
- характеристика затухания интенсивности сейсмических волн и изменения спектрального состава колебаний на пути распространения колебаний от потенциального очага землетрясения до площадки;
- сейсмические характеристики грунтовых условий площадки (скорость распространения поперечных сейсмических волн, их коэффициенты демпфирования, плотность и мощность слоев грунта).
Г.23 Исходные сейсмические колебания грунта должны быть получены с учетом конкретных сейсмотектонических грунтовых условий площадки.
Г.24 Должны быть определены две ортогональные горизонтальные и одна вертикальная компоненты колебаний грунта.
Г.25 Максимальные значения параметров сейсмических колебаний грунта следует определять по результатам СМР на площадке строительства.
Г.26 В качестве источника (функций Грина) при моделировании расчетного сейсмического воздействия необходимо принять широкополосные процессы, отражающие степень неопределенности доминирующих частот исходного сейсмического колебания.
Г.27 При синтезировании трехкомпонентных акселерограмм необходимо обеспечивать их статистическую независимость. Две акселерограммы считаются статистически независимыми, если абсолютное значение коэффициента корреляции

не превышает 0,3:
где m1 и m2 - математические ожидания функций x1 и x2;

и

- стандартные отклонения функций
x1 и
x2.
| Федеральный закон от 29 декабря 2004 г. N 190-ФЗ "Градостроительный кодекс Российской Федерации" |
| Федеральный закон от 21 июля 1997 г. N 116-ФЗ "О промышленной безопасности опасных производственных объектов" |
| Федеральный закон от 30 декабря 2009 г. N 384-ФЗ "Технический регламент о безопасности зданий и сооружений" |
[4] | Федеральный закон от 22 июля 2008 г. N 123-ФЗ "Технический регламент о требованиях пожарной безопасности" |