Главная // Актуальные документы // НормативыСПРАВКА
Источник публикации
М.: Госстрой России, ГУП ЦПП, 2000
Примечание к документу
По вопросу, касающемуся порядка применения данного документа, см.
Письмо Минрегиона России от 15.08.2011 N 18529-08/ИП-ОГ.
Приказом Минрегиона России от 27.12.2010 N 779 с 20 мая 2011 года введена в действие актуализированная редакция данного документа
СП 14.13330.2011.
Разделы 1 и
2 включены в
Перечень национальных стандартов и сводов правил (частей таких стандартов и сводов правил), в результате применения которых на обязательной основе обеспечивается соблюдение требований Федерального
закона от 30.12.2009 N 384-ФЗ "Технический регламент о безопасности зданий и сооружений" (
Распоряжение Правительства РФ от 21.06.2010 N 1047-р).
В соответствии с
пунктом 2 статьи 42 Федерального закона от 30.12.2009 N 384-ФЗ строительные нормы и правила, утвержденные до дня вступления в силу Технического регламента о безопасности зданий и сооружений, признаются сводами правил.
В "Бюллетене строительной техники" N 11, 2008 опубликованы изменения в части карт ОСР-97-В и ОСР-97-С и списка населенных пунктов для Красноярского края.
При проектировании для строительства в сейсмических районах следует руководствоваться текстом СНиП II-7-81 "Строительство в сейсмических районах", изданным в 2000 году Центром проектной продукции в строительстве Госстроя России с учетом Изменения N 5 (
Письмо Госстроя РФ от 23.03.2001 N АШ-1382/9).
Документ введен в действие с 1 января 1982 года (
Постановление Госстроя СССР от 15.06.1981 N 94).
Название документа
"СНиП II-7-81*. Строительные нормы и правила. Строительство в сейсмических районах"
(утв. Постановлением Госстроя СССР от 15.06.1981 N 94)
(ред. от 27.12.1999)
"СНиП II-7-81*. Строительные нормы и правила. Строительство в сейсмических районах"
(утв. Постановлением Госстроя СССР от 15.06.1981 N 94)
(ред. от 27.12.1999)
от 15 июня 1981 г. N 94
СТРОИТЕЛЬНЫЕ НОРМЫ И ПРАВИЛА
СТРОИТЕЛЬСТВО В СЕЙСМИЧЕСКИХ РАЙОНАХ
СНиП II-7-81*
| | Список изменяющих документов (в ред. Изменения, утв. Постановлением Госстроя СССР от 03.06.1987 N 106, Изменения, утв. Постановлением Госстроя СССР от 16.08.1989 N 127, Изменения N 3, утв. Постановлением Изменения N 4, утв. Постановлением и Изменения N 5, утв. Постановлением Госстроя России от 27.12.1999 N 91) | |
Взамен главы
Срок введения в действие
1 января 1982 года
Разработаны ЦНИИСК им. Кучеренко, НИИОСП им. Герсеванова, НИИСК, Казахским Промстройниипроектом, ЦНИИпромзданий Госстроя СССР, ТбилЗНИИЭП Госгражданстроя, Институтом физики Земли Академии наук СССР, Институтом строительной механики и сейсмостойкости Академии наук Грузинской ССР, Институтом механики и сейсмостойкости сооружений Академии наук Узбекской ССР, ЦНИИС Минтрансстроя, ВНИИГ им. Веденеева Минэнерго СССР, Красноярским Промстройниипроектом Минтяжстроя СССР, ЦНИИЭПсельстроем Минсельстроя СССР при участии Гидропроекта им. Жука и ГрузНИИЭГС Минэнерго СССР.
Редакторы - инж. Ф.М. Шлемин, канд. техн. наук Ф.В. Бобров (Госстрой СССР), д-р техн. наук С.В. Поляков, инж. В.И. Ойзерман (ЦНИИСК им. Кучеренко), д-р физ.-мат. наук В.И. Уломов (ОИФЗ РАН), д-р техн. наук О.А. Савинов, канд. техн. наук Н.Д. Красников (ВНИИГ), канд. техн. наук Я.И. Натариус (Гидропроект), д-р техн. наук Г.С. Шестоперов (ЦНИИС).
Внесены ЦНИИСК им. Кучеренко Госстроя СССР.
Переиздание СНиП II-7-81* по состоянию на 1 января 2000 г.
В настоящие строительные нормы и правила внесены изменения, утвержденные Постановлениями Госстроя СССР от 3 июня 1987 г. N 106, от 16 августа 1989 г. N 127, Минстроя России от 26 июля 1995 г.
N 18-76, Госстроя России от 28 июля 1997 г.
N 18-40 и от 27 декабря 1999 г.
N 91.
Пункты, таблицы и приложения, в которые внесены изменения, отмечены в настоящих строительных нормах и правилах звездочкой.
1.1*. Настоящие нормы следует соблюдать при проектировании зданий и сооружений, возводимых на площадках сейсмичностью 7, 8 и 9 баллов.
1.2*. При проектировании зданий и сооружений для строительства в указанных районах надлежит:
применять материалы, конструкции и конструктивные схемы, обеспечивающие наименьшие значения сейсмических нагрузок;
принимать, как правило, симметричные конструктивные схемы, равномерное распределение жесткостей конструкций и их масс, а также нагрузок на перекрытия;
в зданиях и сооружениях из сборных элементов располагать стыки вне зоны максимальных усилий, обеспечивать монолитность и однородность конструкций с применением укрупненных сборных элементов;
предусматривать условия, облегчающие развитие в элементах конструкций и их соединениях пластических деформаций, обеспечивающие при этом устойчивость сооружения.
Для обеспечения сейсмостойкости зданий и сооружений допускается применение сейсмоизоляции и других систем регулирования динамической реакции сооружения при условии проектирования их по специальным техническим условиям, согласованным с Госстроем России.
1.3*. Интенсивность сейсмических воздействий в баллах (сейсмичность) для района строительства следует принимать на основе комплекта
карт общего сейсмического районирования территории Российской Федерации - ОСР-97, утвержденных Российской академией наук. Указанный комплект
карт предусматривает осуществление антисейсмических мероприятий при строительстве объектов и отражает 10%- (карта А), 5%- (карта В), 1%-ную (карта С) вероятность возможного превышения (или 90%-, 95%- и 99%-ную вероятность непревышения) в течение 50 лет указанных на
картах значений сейсмической интенсивности.
Указанная на
картах сейсмическая интенсивность относится к участкам со средними по сейсмическим свойствам грунтам (
II категории, согласно табл. 1*). Комплект
карт ОСР-97 (А, В, С) позволяет оценивать на трех уровнях степень сейсмической опасности и предусматривает осуществление антисейсмических мероприятий при строительстве объектов трех категорий, учитывающих ответственность сооружений:
Карта А - массовое строительство;
Карты В и С - объекты повышенной ответственности и особо ответственные объекты.
Решение о выборе карты при проектировании конкретного объекта принимается заказчиком по представлению генерального проектировщика, за исключением случаев, оговоренных в других нормативных документах.
Категория грунта по сейсмическим свойствам | Грунты | Сейсмичность площадки строительства при сейсмичности района, баллы |
7 | 8 | 9 |
| Скальные грунты всех видов (в том числе вечномерзлые и вечномерзлые оттаявшие) невыветрелые и слабовыветрелые; крупнообломочные грунты плотные маловлажные из магматических пород, содержащие до 30% песчано-глинистого заполнителя; выветрелые и сильновыветрелые скальные и нескальные твердомерзлые (вечномерзлые) грунты при температуре минус 2 °C и ниже при строительстве и эксплуатации по принципу I (сохранение грунтов основания в мерзлом состоянии) | 6 | 7 | 8 |
| Скальные грунты выветрелые и сильновыветрелые, в том числе вечномерзлые, кроме отнесенных к I категории; крупнообломочные грунты, за исключением отнесенных к I категории; пески гравелистые, крупные и средней крупности плотные и средней плотности маловлажные и влажные; пески мелкие и пылеватые плотные и средней плотности маловлажные; глинистые грунты с показателем консистенции IL <= 0,2 при коэффициенте пористости e < 0,9 для глин и суглинков и e < 0,7 - для супесей; вечномерзлые нескальные грунты пластичномерзлые или сыпучемерзлые, а также твердомерзлые при температуре выше минус 2 °C при строительстве и эксплуатации по принципу I | 7 | 8 | 9 |
| Пески рыхлые независимо от влажности и крупности; пески гравелистые, крупные и средней крупности плотные и средней плотности водонасыщенные; пески мелкие и пылеватые плотные и средней плотности влажные и водонасыщенные; глинистые грунты с показателем консистенции IL > 0,5; глинистые грунты с показателем консистенции IL <= 0,5 при коэффициенте пористости e >= 0,9 для глин и суглинков и e >= 0,7 - для супесей; вечномерзлые нескальные грунты при строительстве и эксплуатации по принципу II (допускается оттаивание грунтов основания) | 8 | 9 | > 9 |
Примечания: 1*. Отнесение площадки к I категории по сейсмическим свойствам допускается при мощности слоя, соответствующего I категории, более 30 м от черной отметки в случае насыпи или от планировочной отметки в случае выемки. В случае неоднородного состава грунты площадки строительства относятся к более неблагоприятной категории по сейсмическим свойствам, если в пределах 10-метрового слоя грунта (считая от планировочной отметки) слой, относящийся к этой категории, имеет суммарную толщину более 5 м. 2. При прогнозировании подъема уровня грунтовых вод и обводнения грунтов (в том числе просадочных) в процессе эксплуатации здания и сооружения категорию грунта следует определять в зависимости от свойств грунта (влажности, консистенции) в замоченном состоянии. 3. При строительстве на вечномерзлых нескальных грунтах по принципу II, если зона оттаивания распространяется до подстилающего талого грунта, грунты основания следует рассматривать как невечномерзлые (по фактическому состоянию их после оттаивания). 4. Для особо ответственных зданий и сооружений, строящихся в районах сейсмичностью 6 баллов на площадках строительства с грунтами III категории по сейсмическим свойствам, расчетную сейсмичность следует принимать равной 7 баллам. 5. При определении сейсмичности площадок строительства транспортных и гидротехнических сооружений следует учитывать дополнительные требования, изложенные в разделах 4 и 5. 6. При отсутствии данных о консистенции или влажности глинистые и песчаные грунты при положении уровня грунтовых вод выше 5 м относятся к III категории по сейсмическим свойствам. |
1.4*. Определение сейсмичности площадки строительства следует производить на основании сейсмического микрорайонирования.
В районах, для которых отсутствуют карты сейсмического микрорайонирования, допускается определять сейсмичность площадки строительства согласно
табл. 1*.
1.5*. Площадки строительства с крутизной склонов более 15°, близостью плоскостей сбросов, сильной нарушенностью пород физико-геологическими процессами, просадочностью грунтов, осыпями, обвалами, плывунами, оползнями, карстом, горными выработками, селями являются неблагоприятными в сейсмическом отношении.
При необходимости строительства зданий и сооружений на таких площадках следует принимать дополнительные меры к укреплению их оснований и усилению конструкций.
1.6*. На площадках, сейсмичность которых превышает 9 баллов, возводить здания и сооружения, как правило, не допускается. При необходимости строительство на таких площадках допускается по специальным техническим условиям, согласованным с Госстроем России.
1.7*. С целью получения достоверной информации о работе конструкций при интенсивных землетрясениях и колебаниях прилегающих к зданиям и сооружениям грунтов в проектах уникальных зданий и сооружений следует предусматривать установку станций инженерно-сейсмометрических наблюдений.
Проекты станций должны разрабатываться по специальным техническим условиям, согласованным с Госстроем России.
2.1. Расчет конструкций и оснований зданий и сооружений, проектируемых для строительства в сейсмических районах, должен выполняться на основные и особые сочетания нагрузок с учетом сейсмических воздействий.
При расчете зданий и сооружений (кроме транспортных и гидротехнических) на особое сочетание нагрузок значения расчетных нагрузок следует умножать на коэффициенты сочетаний, принимаемые по табл. 2.
Таблица 2
Виды нагрузок | Значение коэффициента сочетаний nс |
Постоянные | 0,9 |
Временные длительные | 0,8 |
Кратковременные (на перекрытия и покрытия) | 0,5 |
Горизонтальные нагрузки от масс на гибких подвесках, температурные климатические воздействия, ветровые нагрузки, динамические воздействия от оборудования и транспорта, тормозные и боковые усилия от движения кранов при этом не учитываются.
При определении расчетной вертикальной сейсмической нагрузки следует учитывать вес моста крана, вес тележки, а также вес груза, равного грузоподъемности крана, с коэффициентом 0,3.
| | ИС МЕГАНОРМ: примечание. Постановлением Госстроя СССР от 29.08.1985 N 135 с 1 января 1987 года введены в действие СНиП 2.01.07-85 "Нагрузки и воздействия". | |
Расчетную горизонтальную сейсмическую нагрузку от веса мостов кранов следует учитывать в направлении, перпендикулярном к оси подкрановых балок. Снижение крановых нагрузок, предусмотренное СНиП по нагрузкам и воздействиям, при этом не учитывается.
2.2. Расчеты зданий и сооружений на особые сочетания нагрузок с учетом сейсмических воздействий следует выполнять:
а) на нагрузки, определяемые в соответствии с указаниями
п. 2.5*;
б) с использованием инструментальных записей ускорений основания при землетрясении, наиболее опасных для данного здания или сооружения, а также синтезированных акселерограмм. При этом максимальные амплитуды ускорений основания следует принимать не менее 100, 200 или 400 см/с
2 при сейсмичности площадок строительства 7, 8 и 9 баллов, соответственно.
При расчете по п. "б" следует учитывать возможность развития неупругих деформаций конструкций.
Расчет по п. "а" следует выполнять для всех зданий и сооружений.
Расчет по п. "б" следует выполнять при проектировании особо ответственных сооружений и высоких (более 16 этажей) зданий.
2.3. Сейсмические воздействия могут иметь любое направление в пространстве.
Для зданий и сооружений простой геометрической формы расчетные сейсмические нагрузки следует принимать действующими горизонтально в направлении их продольной и поперечной осей. Действие сейсмических нагрузок в указанных направлениях следует учитывать раздельно.
При расчете сооружений сложной геометрической формы следует учитывать наиболее опасные для данной конструкции или ее элементов направления действия сейсмических нагрузок.
2.4. Вертикальную сейсмическую нагрузку необходимо учитывать при расчете:
горизонтальных и наклонных консольных конструкций;
пролетных строений мостов;
рам, арок, ферм, пространственных покрытий зданий и сооружений пролетом 24 метра и более;
сооружений на устойчивость против опрокидывания или против скольжения;
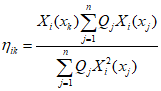
2.5*. Расчетная сейсмическая нагрузка

в выбранном направлении, приложенная к точке
k и соответствующая
i-му тону собственных колебаний зданий или сооружений (кроме гидротехнических сооружений), определяется по формуле

, (1)
где

- коэффициент, учитывающий допускаемые повреждения зданий и сооружений, принимаемый по
табл. 3*;

- значение сейсмической нагрузки для
i-го тона собственных колебаний здания или сооружения, определяемое в предложении упругого деформирования конструкций по формуле

, (2)
где

- вес здания или сооружения, отнесенный к точке
k, определяемый с учетом расчетных нагрузок на конструкции согласно
п. 2.1 или
рис. 1;
А - коэффициент, значения которого следует принимать равными 0,1; 0,2; 0,4 соответственно для расчетной сейсмичности 7, 8, 9 баллов;

- коэффициент динамичности, соответствующий
i-му тону собственных колебаний зданий или сооружений, принимаемый согласно
п. 2.6*;

- коэффициент, принимаемый по
табл. 6* или в соответствии с указаниями
разд. 5;

- коэффициент, зависящий от формы деформации здания или сооружения при его собственных колебаниях по
i-му тону и от места расположения нагрузки, определяемый по
п. 2.7.
Примечания. 1. Значения коэффициента

принимают по согласованию с утверждающей проект организацией в соответствии с табл. 3*.
2. При сейсмичности площадки 8 баллов и более при грунтах
III категории к значению

вводится множитель 0,7, учитывающий нелинейное деформирование грунтов при сейсмических воздействиях.
Тип здания или сооружения | Значения K1 |
1. Здания и сооружения, в конструкциях которых повреждения или неупругие деформации не допускаются | 1 |
2. Здания и сооружения, в конструкциях которых могут быть допущены остаточные деформации и повреждения, затрудняющие нормальную эксплуатацию, при обеспечении безопасности людей и сохранности оборудования, возводимые: | |
из железобетонных крупнопанельных или монолитных конструкций | 0,22 |
со стальным каркасом без вертикальных диафрагм или связей | 0,25 |
то же, с диафрагмами и связями | 0,22 |
с железобетонным каркасом без вертикальных диафрагм или связей | 0,35 |
то же, с диафрагмами или связями | 0,25 |
из кирпичной или каменной кладки | 0,35 |
3. Здания и сооружения, в конструкциях которых могут быть допущены значительные остаточные деформации, трещины, повреждения отдельных элементов, их смещения, временно приостанавливающие нормальную эксплуатацию при обеспечении безопасности людей | 0,12 |
Таблицы 4 и 5 исключены.
Характеристика зданий и сооружений | |
1. Высокие сооружения небольших размеров в плане (башни, мачты, дымовые трубы, отдельно стоящие шахты лифтов и т.п.). Здания со стойками в первом этаже при соотношении податливости вышележащего и первого этажей, равном 0,25 и менее | 1,5 |
2. Каркасные здания, стеновое заполнение которых не оказывает влияния на их деформативность | 1,3 |
3. Здания и сооружения, не указанные в поз. 1 - 2, кроме гидротехнических сооружений | 1 |
2.6*. Значения коэффициента динамичности

в зависимости от расчетного периода собственных колебаний

здания или сооружения по
i-му тону при определении сейсмических нагрузок следует принимать по формулам
(3) и
(4) или рис. 2.
Рис. 2
Для грунтов
I и
II категорий по сейсмическим свойствам (кривая 1)
при

при

(3)
при

при

при

(4)
при

Во всех случаях значения

должны приниматься не менее 0,8.
Формула (5) исключена.
Примечание. При расчете транспортных и гидротехнических сооружений выбор зависимостей

, предусмотренных настоящим пунктом, следует производить согласно указаниям разделов
4 и
5.
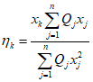
2.7. Для зданий и сооружений, рассчитываемых по консольной схеме, значение

следует определять по формуле

, (6)
где

и

- смещения здания или сооружения при собственных колебаниях по
i-му тону в рассматриваемой точке
k и во всех точках
j, где в соответствии с расчетной схемой его вес принят сосредоточенным;

- вес здания или сооружения, отнесенный к точке
j, определяемый с учетом расчетных нагрузок на конструкцию согласно
п. 2.1.
2.8. Для зданий высотой до 5 этажей включительно с незначительно изменяющимися по высоте массами и жесткостями этажей при

менее 0,4 с коэффициент

допускается определять по упрощенной формуле

, (7)
где

и

- расстояния от точек
k и
j до верхнего обреза фундаментов.
2.9. Усилия в конструкциях зданий и сооружений, проектируемых для строительства в сейсмических районах, а также в их элементах следует определять с учетом не менее трех форм собственных колебаний, если периоды первого (низшего) тона собственных колебаний

более 0,4 с, и с учетом только первой формы, если

равно или менее 0,4 с.
Количество форм колебаний и коэффициенты

для гидротехнических сооружений следует принимать согласно указаниям
раздела 5.
2.10. Расчетные значения поперечной и продольной сил, изгибающего и опрокидывающего моментов, нормальных и касательных напряжений

в конструкциях от сейсмической нагрузки при условии статического действия ее на сооружение следует определять по формуле

, (8)
где

- значения усилий или напряжений в рассматриваемом сечении, вызываемых сейсмическими нагрузками, соответствующими
i-й форме колебаний;
n - число учитываемых в расчете форм колебаний.
2.11. Вертикальную сейсмическую нагрузку в случаях, предусмотренных
п. 2.4 (кроме каменных конструкций), следует определять по формулам
(1) и
(2), при этом коэффициенты

и

принимаются равными единице.
Консольные конструкции, вес которых по сравнению с весом здания незначителен (балконы, козырьки, консоли для навесных стен и т.п. и их крепления), следует рассчитывать на вертикальную сейсмическую нагрузку при значении

= 5.
2.12. Конструкции, возвышающиеся над зданием или сооружением и имеющие по сравнению с ним незначительные сечения и вес (парапеты, фронтоны и т.п.), а также крепления памятников, тяжелого оборудования, устанавливаемого на первом этаже, следует рассчитывать с учетом горизонтальной сейсмической нагрузки, вычисленной по формулам
(1) и
(2) при

= 5.
2.13. Стены, панели, перегородки, соединения между отдельными конструкциями, а также крепления технологического оборудования следует рассчитывать на горизонтальную сейсмическую нагрузку по формулам
(1) и
(2) при

, соответствующем рассматриваемой отметке сооружения, но не менее 2. Силы трения учитываются только при расчете горизонтальных стыковых соединений в крупнопанельных зданиях.
2.14. При расчете конструкций на прочность и устойчивость помимо коэффициентов условий работы, принимаемых в соответствии с другими СНиП II части, следует вводить дополнительно коэффициент условий работы

, определяемый по табл. 7*.
Таблица 7*
Характеристика конструкций | Значения mкр |
При расчетах на прочность | |
1. Стальные, деревянные, железобетонные с жесткой арматурой | 1,3 |
2. Железобетонные со стержневой и проволочной арматурой, кроме проверки на прочность наклонных сечений | 1,2 |
3. Железобетонные при проверке на прочность наклонных сечений | 1,0 |
4. Каменные, армокаменные и бетонные: | |
при расчете на внецентренное сжатие | 1,0 |
при расчете на сдвиг и растяжение | 0,8 |
5. Сварные соединения | 1,0 |
6. Болтовые и заклепочные соединения | 1,1 |
При расчетах на устойчивость | |
7. Стальные элементы гибкостью свыше 100 | 1,0 |
8. То же, гибкостью до 20 | 1,2 |
9. То же, гибкостью от 20 до 100 | От 1,2 до 1,0 по интерполяции |
Примечание. При расчете стальных и железобетонных конструкций, подлежащих эксплуатации в неотапливаемых помещениях или на открытом воздухе при расчетной температуре ниже минус 40 °C, следует принимать mкр = 0,9, в случае проверки прочности наклонных сечений mкр = 0,8. |
2.15. При расчете зданий и сооружений (кроме гидротехнических сооружений) длиной или шириной более 30 м помимо сейсмической нагрузки, определяемой согласно
п. 2.5*, необходимо учитывать крутящий момент относительно вертикальной оси здания или сооружения, проходящей через его центр жесткости. Значение расчетного эксцентриситета между центрами жесткостей и масс зданий или сооружений в рассматриваемом уровне следует принимать не менее 0,1 В, где В - размер здания или сооружения в плане в направлении, перпендикулярном действию силы

.
2.16. При расчете подпорных стен необходимо учитывать сейсмическое давление грунта.
2.17. Расчет зданий и сооружений с учетом сейсмического воздействия, как правило, производится по предельным состояниям первой группы. В случаях, обоснованных технологическими требованиями, допускается производить расчет по второй группе предельных состояний.
2.18*. Необходимость учета сейсмических воздействий при проектировании зданий и сооружений, разрушение которых не связано с гибелью людей, порчей ценного оборудования и не вызывает прекращения непрерывных производственных процессов (склады, крановые эстакады, небольшие мастерские и др.), а также временных зданий и сооружений устанавливается заказчиком.
3. ЖИЛЫЕ, ОБЩЕСТВЕННЫЕ, ПРОИЗВОДСТВЕННЫЕ ЗДАНИЯ И СООРУЖЕНИЯ
3.1. Здания и сооружения следует разделять антисейсмическими швами в случаях, если:
здание или сооружение имеет сложную форму в плане;
смежные участки здания или сооружения имеют перепады высот 5 м и более. В одноэтажных зданиях высотой до 10 м при расчетной сейсмичности 7 баллов антисейсмические швы допускается не устраивать.
3.2. Антисейсмические швы должны разделять здания и сооружения по всей высоте. Допускается не устраивать шов в фундаменте, за исключением случаев, когда антисейсмический шов совпадает с осадочным.
3.3. Расстояния между антисейсмическими швами и высота зданий не должны превышать размеров, указанных в табл. 8*.
Таблица 8*
Несущие конструкции зданий | Расстояния между швами, м | Высота, м (количество этажей) |
Сейсмичность площадки, баллы |
7, 8 | 9 | 7 | 8 | 9 |
1. Стальной каркас | По требованиям для несейсмических районов, но не более 150 м | По требованиям для несейсмических районов |
2. Железобетонный каркас: | | | | | |
связевый (в том числе с вертикальными железобетонными диафрагмами или ядрами жесткости, воспринимающими сейсмическую нагрузку) | 80 | 60 | 51(16) | 39(12) | 30(9) |
рамный с заполнением из штучной кладки | 80 | 60 | 30(9) | 23(7) | 17(5) |
рамный без заполнения | 80 | 60 | 30(6) | 24(5) | 14(4) |
3. Стены из монолитного железобетона | 80 | 60 | 75(24) | 63(20) | 51(16) |
4. Стены из железобетонных панелей | 80 | 60 | 45(14) | 39(12) | 30(9) |
5. Многослойные стены с внутренним слоем из монолитного железобетона и наружными слоями из штучной кладки | 80 | 60 | 39(12) | 30(9) | 24(7) |
6. Стены из крупных бетонных или виброкирпичных блоков. Стены из виброкирпичных панелей | 80 | 60 | 30(9) | 23(7) | 17(5) |
7. Стены комплексной конструкции из кирпича, природных правильной формы и бетонных камней и мелких блоков при кладке: | | | | | |
1-й категории | 80 | 60 | 20(6) | 17(5) | 14(4) |
2-й категории | 80 | 60 | 17(5) | 14(4) | 11(3) |
8. Стены из кирпича, природных и бетонных камней и мелких блоков, кроме указанных в поз. 7, при кладке: | | | | | |
1-й категории | 80 | 60 | 17(5) | 14(4) | 11(3) |
2-й категории | 80 | 60 | 14(4) | 11(3) | 8(2) |
9. Стены из мелких ячеистобетонных блоков | 40 | 30 | 8(2) | 8(2) | 4(1) |
Примечание. За высоту здания принимается разность отметок низшего уровня отмостки или спланированной поверхности земли, примыкающей к зданию, и низа верхнего перекрытия. |
| | ИС МЕГАНОРМ: примечание. Постановлением Минстроя РФ от 13.02.1997 N 18-7 с 1 января 1998 года введены в действие СНиП 21-01-97 "Пожарная безопасность зданий и сооружений". | |
3.4*. Лестничные клетки следует предусматривать закрытыми, имеющими в наружных стенах оконные проемы. Расположение и количество лестничных клеток следует определять по результатам расчета, выполняемого в соответствии со СНиП по противопожарным нормам проектирования зданий и сооружений, но принимать не менее одной между антисейсмическими швами в зданиях высотой более трех этажей.
3.5. Антисейсмические швы следует выполнять путем возведения парных стен или рам, а также возведения рамы и стены.
Ширину антисейсмического шва следует назначать по расчету на нагрузки, определяемые по
п. 2.5*.
При высоте здания или сооружения до 5 м ширина такого шва должна быть не менее 30 мм. Ширину антисейсмического шва здания или сооружения большей высоты следует увеличивать на 20 мм на каждые 5 м высоты.
Заполнение антисейсмических швов не должно препятствовать взаимным горизонтальным перемещениям отсеков здания или сооружения.
3.6. В городах и поселках строительство жилых домов со стенами из сырцового кирпича, самана и грунтоблоков запрещается. В сельских населенных пунктах, размещаемых в районах сейсмичностью до 8 баллов, строительство одноэтажных зданий из этих материалов допускается при условии усиления стен деревянным антисептированным каркасом с диагональными связями.
3.7. Жесткость стен каркасных деревянных домов должна обеспечиваться раскосами. Брусчатые и бревенчатые стены следует собирать на нагелях. Деревянные щитовые дома следует проектировать высотой в один этаж.
3.8. При проектировании зданий и сооружений следует предусматривать и проверять расчетом крепление высокого и тяжелого оборудования к несущим конструкциям зданий и сооружений, а также учитывать сейсмические усилия, возникающие при этом в несущих конструкциях.
3.9. Сборные железобетонные перекрытия и покрытия зданий должны быть замоноличенными, жесткими в горизонтальной плоскости и соединенными с вертикальными несущими конструкциями.
3.10. Жесткость сборных железобетонных перекрытий и покрытий следует обеспечивать путем:
соединения панелей (плит) перекрытий и покрытий и заливки швов между панелями (плитами) цементным раствором;
устройства связей между панелями (плитами) и элементами каркаса или стенами, воспринимающих усилия растяжения и сдвига, возникающие в швах.
Боковые грани панелей (плит) перекрытий и покрытий должны иметь шпоночную или рифленую поверхность. Для соединения с антисейсмическим поясом или для связи с элементами каркаса в панелях (плитах) следует предусматривать выпуски арматуры или закладные детали.
3.11*. В кирпичных и каменных зданиях длина части панелей перекрытий (покрытий), опирающихся на несущие стены, выполненные вручную, должна быть не менее 120 мм, а на вибрированные кирпичные панели и блоки - не менее 90 мм.
В одноэтажных каменных зданиях при расстоянии между стенами не более 6 м допускается устройство деревянных перекрытий (покрытий), при этом балки перекрытий следует заанкеривать в антисейсмическом поясе и устраивать по ним диагональный настил.
3.12. Ненесущие элементы типа перегородок и заполнений каркаса следует выполнять легкими, как правило, крупнопанельной или каркасной конструкции и соединять со стенами, колоннами, а при длине более 3 м - и с перекрытиями. В зданиях выше пяти этажей не допускается применение перегородок из кирпичной кладки, выполненной вручную.
Прочность ненесущих элементов и их креплений должна быть в соответствии с
п. 2.13 подтверждена расчетом на действие расчетных сейсмических нагрузок из плоскости (во всех случаях) и в плоскости элемента (в случаях, когда эти элементы работают совместно с несущими конструкциями здания). Перегородки из кирпича или камня следует армировать на всю длину не реже, чем через 700 мм по высоте стержнями общим сечением в шве не менее 0,2 см
2. Допускается выполнять перегородки подвесными с ограничителями перемещений из плоскости панелей.
3.13. Конструкции блоков и их соединения с перекрытиями должны быть рассчитаны как консольные балки или плиты.
Вынос балконов в зданиях с каменными стенами не должен превышать 1,5 м.
| | ИС МЕГАНОРМ: примечание. Постановлением Госстроя СССР от 05.12.1983 N 311 с 1 января 1985 года введены в действие СНиП 2.02.01-82 "Основания зданий и сооружений". | |
3.14. Проектирование оснований зданий и сооружений для строительства в сейсмических районах следует производить в соответствии с требованиями СНиП по проектированию оснований зданий и сооружений.
3.15. При строительстве в сейсмических районах по верху сборных ленточных фундаментов следует укладывать слой раствора марки 100 толщиной не менее 40 мм и продольную арматуру диаметром 10 мм в количестве - три, четыре и шесть стержней при расчетной сейсмичности 7, 8 и 9 баллов соответственно. Через каждые 300 - 400 мм продольные стержни должны быть соединены поперечными стержнями диаметром 6 мм.
В случае выполнения стен подвалов из сборных панелей, конструктивно связанных с ленточными фундаментами, укладка указанного слоя раствора не требуется.
3.16. В фундаментах и стенах подвалов из крупных блоков должна быть обеспечена перевязка кладки в каждом ряду, а также во всех углах и пересечениях на глубину не менее 1/3 высоты блока; фундаментные блоки следует укладывать в виде непрерывной ленты.
Для заполнения швов между блоками следует применять раствор марки не ниже 25.
В зданиях при расчетной сейсмичности 9 баллов должна предусматриваться укладка в горизонтальные швы в углах и пересечениях стен подвалов арматурных сеток длиной 2 м с продольной арматурой общей площадью сечения не менее 1 см2.
В зданиях до трех этажей включительно и сооружениях соответствующей высоты при расчетной сейсмичности 7 и 8 баллов допускается применение для кладки стен подвалов блоков пустотностью до 50%.
3.17. Гидроизоляционные слои в зданиях следует выполнять из цементного раствора.
3.18. В каркасных зданиях конструкцией, воспринимающей горизонтальную сейсмическую нагрузку, может служить: каркас, каркас с заполнением, каркас с вертикальными связями, диафрагмами или ядрами жесткости.
3.19. Для каркасных зданий при расчетной сейсмичности 7 - 8 баллов допускается применение наружных каменных стен и внутренних железобетонных или металлических рам (стоек), при этом должны выполняться требования, установленные для каменных зданий. Высота таких зданий не должна превышать 7 м.
3.20. Жесткие узлы железобетонных каркасов зданий должны быть усилены применением сварных сеток, спирали или замкнутых хомутов.
Участки ригелей и колонн, примыкающие к жестким узлам рам на расстоянии, равном полуторной высоте их сечения, должны армироваться замкнутой поперечной арматурой (хомутами), устанавливаемой по расчету, но не реже чем через 100 мм, а для рамных систем с несущими диафрагмами - не реже чем через 200 мм.
3.21. Диафрагмы, связи и ядра жесткости, воспринимающие горизонтальную нагрузку, должны быть непрерывными по всей высоте здания и располагаться в обоих направлениях равномерно и симметрично относительно центра тяжести здания.
3.22. В качестве ограждающих стеновых конструкций каркасных зданий следует применять легкие навесные панели. Допускается устройство кирпичного или каменного заполнения, удовлетворяющего требованиям
п. 3.35.
3.23. Применение самонесущих стен из каменной кладки допускается:
при шаге пристенных колонн каркаса не более 6 м;
при высоте стен зданий, возводимых на площадках сейсмичностью 7, 8 и 9 баллов, соответственно не более 18, 16 и 9 м.
3.24. Кладка самонесущих стен в каркасных зданиях должна быть I или II категории (согласно
п. 3.39), иметь гибкие связи с каркасом, не препятствующие горизонтальным смещениям каркаса вдоль стен.
Между поверхностями стен и колонн каркаса должен предусматриваться зазор не менее 20 мм. По всей длине стены в уровне плит покрытия и верха оконных проемов должны устраиваться антисейсмические пояса, соединенные с каркасом здания.
В местах пересечения торцовых и поперечных стен с продольными стенами должны устраиваться антисейсмические швы на всю высоту стен.
3.25. Лестничные и лифтовые шахты каркасных зданий следует устраивать как встроенные конструкции с поэтажной разрезкой, не влияющие на жесткость каркаса, или как жесткое ядро, воспринимающее сейсмическую нагрузку.
Для каркасных зданий высотой до 5 этажей при расчетной сейсмичности 7 и 8 баллов допускается устраивать лестничные клетки и лифтовые шахты в пределах плана здания в виде конструкций, отделенных от каркаса здания. Устройство лестничных клеток в виде отдельно стоящих сооружений не допускается.
3.26. В качестве несущих конструкций высоких зданий (более 16 этажей) следует принимать каркасы с диафрагмами, связями или ядрами жесткости.
При выборе конструктивных схем предпочтение следует отдавать схемам, в которых зоны пластичности возникают в первую очередь в горизонтальных элементах каркаса (ригелях, перемычках, обвязочных балках и т.п.).
3.27. При проектировании высоких зданий кроме деформаций изгиба и сдвига в стойках каркаса необходимо учитывать осевые деформации, а также податливость оснований, проводить расчет на устойчивость против опрокидывания.
3.28. На площадках, сложенных грунтами
III категории (по табл. 1*), строительство высоких зданий, а также зданий, указанных во втором
абзаце поз. 1 табл. 6*, не допускается.
3.29. Фундаменты высоких зданий на нескальных грунтах следует, как правило, принимать свайными или в виде сплошной фундаментной плиты.
3.30. Крупнопанельные здания следует проектировать с продольными и поперечными стенами, объединенными между собой и с перекрытиями и покрытиями в единую пространственную систему, воспринимающую сейсмические нагрузки.
При проектировании крупнопанельных зданий необходимо:
панели стен и перекрытий предусматривать, как правило, размером на комнату;
предусматривать соединение панелей стен и перекрытий путем сварки выпусков арматуры, анкерных стержней и закладных деталей и замоноличивание вертикальных колодцев и участков стыков по горизонтальным швам мелкозернистым бетоном с пониженной укладкой;
при опирании перекрытий на наружные стены здания и на стены у температурных швов предусматривать сварные соединения выпусков арматуры из панелей перекрытий с вертикальной арматурой стеновых панелей.
3.31. Армирование стеновых панелей следует выполнять в виде пространственных каркасов или сварных арматурных сеток. В случае применения трехслойных наружных стеновых панелей толщину внутреннего несущего бетонного слоя следует принимать не менее 100 мм.
3.32. Конструктивное решение горизонтальных стыковых соединений должно обеспечивать восприятие расчетных значений усилий в швах. Необходимое сечение металлических связей в швах между панелями определяется расчетом, но оно не должно быть меньше 1 см2 на 1 м длины шва, а для зданий высотой 5 этажей и менее при сейсмичности площадки 7 и 8 баллов не менее 0,5 см2 на 1 м длины шва. Допускается не более 65% вертикальной расчетной арматуры размещать в местах пересечений стен.
3.33. Стены по всей длине и ширине здания должны быть, как правило, непрерывными.
3.34. Лоджии должны быть, как правило, встроенными, длиной, равной расстоянию между соседними стенами. В местах размещения лоджий в плоскости наружных стен следует предусматривать устройство железобетонных рам.
Устройство эркеров не допускается.
Здания с несущими стенами из кирпича или каменной кладки
3.35. Несущие кирпичные и каменные стены должны возводиться, как правило, из кирпичных или каменных панелей или блоков, изготовляемых в заводских условиях с применением вибрации, или из кирпичной или каменной кладки на растворах со специальными добавками, повышающими сцепление раствора с кирпичом или камнем.
При расчетной сейсмичности 7 баллов допускается возведение несущих стен зданий из кладки на растворах с пластификаторами без применения специальных добавок, повышающих прочность сцепления раствора с кирпичом или камнем.
3.36. Выполнение кирпичной и каменной кладок вручную при отрицательной температуре для несущих и самонесущих стен (в том числе усиленных армированием или железобетонными включениями) при расчетной сейсмичности 9 баллов и более запрещается.
При расчетной сейсмичности 8 баллов и менее допускается выполнение зимней кладки вручную с обязательным включением в раствор добавок, обеспечивающих твердение раствора при отрицательных температурах.
3.37. Расчет каменных конструкций должен производиться на одновременное действие горизонтального и вертикально направленных сейсмических сил.
Значение вертикальной сейсмической нагрузки при расчетной сейсмичности 7 - 8 баллов следует принимать равным 15%, а при сейсмичности 9 баллов - 30% соответствующей вертикальной статической нагрузки.
Направление действия вертикальной сейсмической нагрузки (вверх или вниз) следует принимать более невыгодным для напряженного состояния рассматриваемого элемента.
3.38. Для кладки несущих и самонесущих стен или заполнения каркаса следует применять следующие изделия и материалы:
а) кирпич полнотелый или пустотелый марки не ниже 75 с отверстиями размером до 14 мм; при расчетной сейсмичности 7 баллов допускается применение керамических камней марки не ниже 75;
б) бетонные камни, сплошные и пустотелые блоки (в том числе из легкого бетона плотностью не менее 1200 кг/м3) марки 50 и выше;
в) камни или блоки из ракушечников, известняков марки не менее 35 или туфов (кроме фельзитового) марки 50 и выше.
Штучная кладка стен должна выполняться на смешанных цементных растворах марки не ниже 25 в летних условиях и не ниже 50 - в зимних. Для кладки блоков и панелей следует применять раствор марки не ниже 50.
3.39. Кладки в зависимости от их сопротивляемости сейсмическим воздействиям подразделяются на категории.
Категория кирпичной или каменной кладки, выполненной из материалов, предусмотренных
п. 3.38, определяется временным сопротивлением осевому растяжению по неперевязанным швам (нормальное сцепление), значение которого должно быть в пределах:
для кладки I категории -

>= 180 кПа (1,8 кгс/см
2);
для кладки II категории - 180 кПа >

>= 120 кПа (1,2 кгс/см
2).
Для повышения нормального сцепления

следует применять растворы со специальными добавками.
Требуемое значение

необходимо указывать в проекте. При проектировании значение

следует назначать в зависимости от результатов испытаний, проводимых в районе строительства.
При невозможности получения на площадке строительства (в том числе на растворах с добавками, повышающими прочность их сцепления с кирпичом или камнем) значения

, равного или превышающего 120 кПа (1,2 кгс/см
2), применение кирпичной или каменной кладки не допускается.
Примечание. При расчетной сейсмичности 7 баллов допускается применение кладки из естественного камня при

менее 120 кПа (1,2 кгс/см
2), но не менее 60 кПа (0,6 кгс/см
2). При этом высота здания должна быть не более трех этажей, ширина простенков не менее 0,9 м, ширина проемов не более 2 м, а расстояния между осями стен - не более 12 м.
Проектом производства каменных работ должны предусматриваться специальные мероприятия по уходу за твердеющей кладкой, учитывающие климатические особенности района строительства. Эти мероприятия должны обеспечивать получение необходимых прочностных показателей кладки.
3.40. Значения расчетных сопротивлений кладки

,

,

по перевязанным швам следует принимать по
СНиП по проектированию каменных и армокаменных конструкций, а по неперевязанным швам - определять по формулам (9) - (11) в зависимости от величины

, полученной в результате испытаний, проводимых в районе строительства:

; (9)

; (10)

. (11)
Значения

,

,

не должны превышать соответствующих значений при разрушении кладки по кирпичу или камню.
3.41. Высота этажа зданий с несущими стенами из кирпичной или каменной кладки, не усиленной армированием или железобетонными включениями, не должна превышать при расчетной сейсмичности 7, 8 и 9 баллов соответственно 5; 4 и 3,5 м.
При усилении кладки армированием или железобетонными включениями высоту этажа допускается принимать соответственно равной 6; 5 и 4,5 м.
При этом отношение высоты этажа к толщине стены должно быть не более 12.
3.42. В зданиях с несущими стенами, кроме наружных продольных стен, как правило, должно быть не менее одной внутренней продольной стены. Расстояния между осями поперечных стен или заменяющих их рам должны проверяться расчетом и быть не более приведенных в табл. 9.
Категория кладки | Расстояния, м, при расчетной сейсмичности, баллы |
7 | 8 | 9 |
I | 18 | 15 | 12 |
II | 15 | 12 | 9 |
Примечание. Допускается увеличивать расстояния между стенами из комплексных конструкций на 30% против указанных в табл. 9. |
3.43. Размеры элементов стен каменных зданий следует определять по расчету. Они должны удовлетворять требованиям, приведенным в табл. 10.
Элемент стены | Размер элемента стены, м, при расчетной сейсмичности, баллы | Примечания |
7 | 8 | 9 |
1. Простенки шириной, не менее, м, при кладке: | | | | Ширину угловых простенков следует принимать на 25 см больше указанной в таблице. Простенки меньшей ширины необходимо усиливать железобетонным обрамлением или армированием |
I категории | 0,64 | 0,9 | 1,16 |
II " | 0,77 | 1,16 | 1,55 |
2. Проемы шириной, не более, м, при кладке I или II категории | 3,5 | 3 | 2,5 | Проемы большей ширины следует окаймлять железобетонной рамкой |
3. Отношение ширины простенка к ширине проема, не менее | 0,33 | 0,5 | 0,75 | |
4. Выступ стен в плане, не более, м | 2 | 1 | - | |
5. Вынос карнизов, не более, м: | | | | Вынос деревянных неоштукатуренных карнизов допускается до 1 м |
из материала стен | 0,2 | 0,2 | 0,2 |
из железобетонных элементов, связанных с антисейсмическими поясами | 0,4 | 0,4 | 0,4 |
деревянных, оштукатуренных по металлической сетке | 0,75 | 0,75 | 0,75 |
3.44. В уровне перекрытий и покрытий должны устраиваться антисейсмические пояса по всем продольным и поперечным стенам, выполняемые из монолитного железобетона или сборными с замоноличиванием стыков и непрерывным армированием. Антисейсмические пояса верхнего этажа должны быть связаны с кладкой вертикальными выпусками арматуры.
В зданиях с монолитными железобетонными перекрытиями, заделанными по контуру в стены, антисейсмические пояса в уровне этих перекрытий допускается не устраивать.
3.45. Антисейсмический пояс (с опорным участком перекрытия) должен устраиваться, как правило, на всю ширину стены; в наружных стенах толщиной 500 мм и более ширина пояса может быть меньше на 100 - 150 мм. Высота пояса должна быть не менее 150 мм, марка бетона <*> - не ниже 150.
--------------------------------
| | ИС МЕГАНОРМ: примечание. Постановлением Госстроя СССР от 20.08.1984 N 136 с 1 января 1986 года введены в действие СНиП 2.03.01-84 "Бетонные и железобетонные конструкции". | |
<*> В СНиП по проектированию бетонных и железобетонных конструкций марка бетона заменена на класс.
Антисейсмические пояса должны иметь продольную арматуру 4d10 при расчетной сейсмичности 7 - 8 баллов и не менее 4d12 - при 9 баллах.
3.46. В сопряжениях стен в кладку должны укладываться арматурные сетки сечением продольной арматуры общей площадью не менее 1 см2, длиной 1,5 м через 700 мм по высоте при расчетной сейсмичности 7 - 8 баллов и через 500 мм - при 9 баллах.
Участки стен и столбы над чердачным перекрытием, имеющие высоту более 400 мм, должны быть армированы или усилены монолитными железобетонными включениями, заанкеренными в антисейсмический пояс.
Кирпичные столбы допускаются только при расчетной сейсмичности 7 баллов. При этом марка раствора должна быть не ниже 50, а высота столбов - не более 4 м. В двух направлениях столбы следует связывать заанкеренными в стены балками.
3.47. Сейсмостойкость каменных стен здания следует повышать сетками из арматуры, созданием комплексной кладки или другими экспериментально обоснованными методами.
Вертикальные железобетонные элементы (сердечники) должны соединяться с антисейсмическими поясами.
Железобетонные включения в кладку комплексных конструкций следует устраивать открытыми не менее чем с одной стороны.
При проектировании комплексных конструкций как каркасных систем антисейсмические пояса и их узлы сопряжения со стойками должны рассчитываться и конструироваться как элементы каркасов с учетом работы заполнения. В этом случае предусмотренные для бетонирования стоек пазы должны быть открытыми не менее чем с двух сторон. Если комплексные конструкции выполняются с железобетонными включениями по торцам простенков, продольная арматура должна быть надежно соединена хомутами, уложенными в горизонтальных швах кладки. Бетон включений должен быть не ниже марки 150, кладка должна выполняться на растворе марки не ниже 50, а количество продольной арматуры не должно превышать 0,8% площади сечения бетона простенков.
Примечание. Несущая способность железобетонных включений, расположенных по торцам простенков, учитываемая при расчете на сейсмическое воздействие, не должна учитываться при расчете на основное сочетание нагрузок.
3.48. В зданиях с несущими стенами первые этажи, используемые под магазины и другие помещения, требующие большой свободной площади, следует выполнять из железобетонных конструкций.
3.49. Перемычки должны устраиваться, как правило, на всю толщину стены и заделываться в кладку на глубину не менее 350 мм. При ширине проема до 1,5 м заделка перемычек допускается на 250 мм.
3.50. Балки лестничных площадок следует заделывать в кладку на глубину не менее 250 мм и заанкеривать.
Необходимо предусматривать крепления ступеней, косоуров, сборных маршей, связь лестничных площадок с перекрытиями. Устройство консольных ступеней, заделанных в кладку, не допускается. Дверные и оконные проемы в каменных стенах лестничных клеток при расчетной сейсмичности 8 - 9 баллов должны иметь, как правило, железобетонное обрамление.
3.51. В зданиях высотой три и более этажей с несущими стенами из кирпича или каменной кладки при расчетной сейсмичности 9 баллов выходы из лестничных клеток следует устраивать по обе стороны здания.
Железобетонные конструкции
| | ИС МЕГАНОРМ: примечание. Постановлением Госстроя СССР от 20.08.1984 N 136 с 1 января 1986 года введены в действие СНиП 2.03.01-84 "Бетонные и железобетонные конструкции". | |
3.52. При расчете прочности нормальных сечений изгибаемых и внецентренно сжатых элементов предельную характеристику сжатой зоны бетона

следует принимать по СНиП по проектированию бетонных и железобетонных конструкций с коэффициентом 0,85.
3.53. Во внецентренно сжатых элементах, а также в сжатой зоне изгибаемых элементов при расчетной сейсмичности 8 и 9 баллов хомуты должны ставиться по расчету на расстояниях: при

<= 400 МПа (4000 кгс/см
2) - не более 400 мм и при вязаных каркасах - не более 12
d, а при сварных каркасах - не более 15
d; при

>= 450 МПа (4500 кгс/см
2) - не более 300 мм и при вязаных каркасах - не более 10
d, а при сварных каркасах - не более 12
d, где
d - наименьший диаметр сжатых продольных стержней. При этом поперечная арматура должна обеспечивать закрепление сжатых стержней от их изгиба в любом направлении.
Расстояния между хомутами внецентренно сжатых элементов в местах стыкования рабочей арматуры внахлестку без сварки должны приниматься не более 8d.
Если общее насыщение внецентренно сжатого элемента продольной арматурой превышает 3%, хомуты должны устанавливаться на расстоянии не более 8d и не более 250 мм.
3.54. В колоннах рамных каркасов многоэтажных зданий при расчетной сейсмичности 8 и 9 баллов шаг хомутов (кроме требований, изложенных в
п. 3.53) не должен превышать 1/2
h, а для каркасов с несущими диафрагмами - не более
h, где
h - наименьший размер стороны колонн прямоугольного или двутаврового сечения. Диаметр хомутов в этом случае следует принимать не менее 8 мм.
3.55. В вязаных каркасах концы хомутов необходимо загибать вокруг стержня продольной арматуры и заводить внутрь бетонного ядра не менее чем на 6d хомута.
3.56. Элементы сборных колонн многоэтажных каркасных зданий по возможности следует укрупнять на несколько этажей. Стыки сборных колонн необходимо располагать в зоне с меньшими изгибающими моментами. Стыкование продольной арматуры колонн внахлестку без сварки не допускается.
3.57. В предварительно напряженных конструкциях, подлежащих расчету на особое сочетание нагрузок с учетом сейсмического воздействия, усилия, определяемые из условий прочности сечений, должны превышать усилия, воспринимаемые сечением при образовании трещин не менее чем на 25%.
3.58. В предварительно напряженных конструкциях не допускается применять арматуру, для которой относительное удлинение после разрыва ниже 2%.
3.59. В зданиях и сооружениях расчетной сейсмичностью 9 баллов без специальных анкеров не допускается применять арматурные канаты и стержневую арматуру периодического профиля диаметром более 28 мм.
3.60. В предварительно напряженных конструкциях с натяжением арматуры на бетон напрягаемую арматуру следует располагать в закрытых каналах, замоноличиваемых в дальнейшем бетоном или раствором.
4. ТРАНСПОРТНЫЕ СООРУЖЕНИЯ
4.1. Указания настоящего раздела распространяются на проектирование железных дорог I - IV категорий, автомобильных дорог I - IV, IIIп и IVп категорий, метрополитенов, скоростных городских дорог и магистральных улиц, пролегающих в районах сейсмичностью 7, 8 и 9 баллов.
Примечания. 1. Производственные, вспомогательные, складские и другие здания транспортного назначения следует проектировать по указаниям разделов
2 и
3.
2. При проектировании сооружений на железных дорогах V категории и на железнодорожных путях промышленных предприятий сейсмические нагрузки допускается учитывать по согласованию с утверждающей проект организацией.
4.2. Разделом устанавливаются специальные требования к проектированию транспортных сооружений при расчетной сейсмичности 7, 8 и 9 баллов. Расчетная сейсмичность для транспортных сооружений определяется по указаниям п. 4.3.
4.3. Проекты тоннелей и мостов длиной более 500 м следует разрабатывать, исходя из расчетной сейсмичности, устанавливаемой по согласованию с утверждающей проект организацией, с учетом данных специальных инженерно-сейсмологических исследований.
Расчетная сейсмичность для тоннелей и мостов длиной не более 500 м и других искусственных сооружений на железных и автомобильных дорогах I - III категорий, а также на скоростных городских дорогах и магистральных улицах принимается равной сейсмичности площадок строительства, но не более 9 баллов.
Расчетная сейсмичность для искусственных сооружений на железных дорогах IV - V категорий, на железнодорожных путях промышленных предприятий и на автомобильных дорогах IV, IIIп и IVп категорий, а также для насыпей, выемок, вентиляционных и дренажных тоннелей и на дорогах всех категорий принимается на один балл ниже сейсмичности площадок строительства.
Примечание. Сейсмичность площадок строительства тоннелей и мостов длиной не более 500 м и других дорожных искусственных сооружений, а также сейсмичность площадок строительства насыпей и выемок, как правило, следует определять на основании данных общих инженерно-геологических изысканий по
табл. 1* с учетом дополнительных требований, изложенных в п. 4.4.
4.4. При изысканиях для строительства транспортных сооружений, возводимых на площадках с особыми инженерно-геологическими условиями (площадки со сложным рельефом и геологией, русла и поймы рек, подземные выработки и др.), и при проектировании этих сооружений крупнообломочные грунты маловлажные из магматических пород, содержащие до 30% песчано-глинистого заполнителя, а также пески гравелистые плотные и средней плотности водонасыщенные, следует относить по сейсмическим свойствам к грунтам
II категории; глинистые грунты с показателем консистенции 0,25 <

<= 0,5 при коэффициенте пористости
е < 0,9 для глин и суглинков и
е < 0,7 для супесей - к грунтам
III категории.
Примечания. 1. Сейсмичность площадок строительства тоннелей следует определять в зависимости от сейсмических свойств грунта, в который заложен тоннель.
2. Сейсмичность площадок строительства опор мостов и подпорных стен с фундаментами мелкого заложения следует определять в зависимости от сейсмических свойств грунта, расположенного на отметках заложения фундаментов.
3. Сейсмичность площадок строительства опор мостов с фундаментами глубокого заложения, как правило, следует определять в зависимости от сейсмических свойств грунта верхнего 10-метрового слоя, считая от естественной поверхности грунта, а при срезке грунта - от поверхности грунта после срезки. В тех случаях, когда в расчете сооружения учитываются силы инерции масс грунта, прорезаемого фундаментом, сейсмичность площадки строительства устанавливается в зависимости от сейсмических свойств грунта, расположенного на отметках заложения фундаментов.
4. Сейсмичность площадок строительства насыпей и труб под насыпями следует определять в зависимости от сейсмических свойств грунта верхнего 10-метрового слоя основания насыпи.
5. Сейсмичность площадок строительства выемок допускается определять в зависимости от сейсмических свойств грунта 10-метрового слоя, считая от контура откосов выемки.
4.5. При трассировании дорог в районах сейсмичностью 7, 8 и 9 баллов, как правило, следует обходить особо неблагоприятные в инженерно-геологическом отношении участки, в частности, зоны возможных обвалов, оползней и лавин.
4.6. Трассирование дорог в районах сейсмичностью 8 и 9 баллов по нескальным косогорам при крутизне откоса более 1:1,5 допускается только на основании результатов специальных инженерно-геологических изысканий. Трассирование дорог по нескальным косогорам крутизной 1:1 и более не допускается.
Земляное полотно и верхнее строение пути
4.7. При расчетной сейсмичности 9 баллов и высоте насыпей (глубине выемок) более 4 м откосы земляного полотна из нескальных грунтов следует принимать на 1:0,25 положе откосов, проектируемых для несейсмических районов. Откосы крутизной 1:2,25 и менее крутые допускается проектировать по нормам для несейсмических районов.
Откосы выемок и полувыемок, расположенных в скальных грунтах, а также откосы насыпей из крупнообломочных грунтов, содержащих менее 20% по массе заполнителя, допускается проектировать по нормам для несейсмических районов.
4.8. При устройстве насыпей под железную или автомобильную дорогу I категории на насыщенных водой грунтах основание насыпей следует, как правило, осушать.
4.9. В случае применения для устройства насыпи разных грунтов отсыпку следует производить с постепенным переходом от тяжелых грунтов в основании к грунтам более легким вверху насыпи.
4.10. При устройстве земляного полотна на косогорах основную площадку, как правило, следует размещать или полностью на полке, врезанной в склон, или целиком на насыпи. Протяженность переходных участков должна быть минимальной.
4.11. При проектировании железнодорожного земляного полотна, расположенного на скально-обвальном косогоре, следует предусматривать мероприятия по защите пути от обвалов. В качестве защитного мероприятия при расчетной сейсмичности 8 и 9 баллов следует предусматривать устройство между основной площадкой и верховым откосом или склоном улавливающей траншеи, габариты которой должны определяться с учетом возможного объема обрушающихся грунтов. При соответствующем технико-экономическом обосновании могут применяться также улавливающие стены и другие защитные сооружения.
4.12. При расчетной сейсмичности 8 и 9 баллов низовой откос железнодорожной насыпи, расположенной на косогоре круче 1:2, следует укреплять подпорными стенами.
4.13. В районах сейсмичностью 8 и 9 баллов железнодорожный путь, как правило, следует укладывать на щебеночном балласте.
4.14. Большие мосты, как правило, следует располагать вне зон тектонических разломов, на участках речных долин с устойчивыми склонами.
4.15. В сейсмических районах преимущественно следует применять мосты балочной системы с разрезными и неразрезными пролетными строениями.
4.16. Арочные мосты допускается применять только при наличии скального основания. Пяты сводов и арок следует опирать на массивные опоры и располагать на возможно более низком уровне. Надарочное строение следует проектировать сквозным.
4.17. При расчетной сейсмичности 9 баллов следует, как правило, применять сборные, сборно-монолитные и монолитные железобетонные конструкции опор, в том числе конструкции из столбов, оболочек и других железобетонных элементов. Надводную часть промежуточных опор допускается проектировать в виде железобетонной рамной надстройки или отдельных столбов, связанных распоркой.
4.18. При расчетной сейсмичности 7 и 8 баллов допускается применять сборные, сборно-монолитные и монолитные бетонные опоры с дополнительными антисейсмическими конструктивными элементами.
4.19. Проектами сборно-монолитных бетонных опор из контурных блоков с монолитным ядром необходимо предусматривать армирование ядра конструктивной арматурой, заделанной в фундамент и в подферменную плиту, а также объединение контурных блоков с ядром с помощью выпусков арматуры или другими способами, обеспечивающими надежное закрепление сборных элементов.
4.20. При расчетной сейсмичности 9 баллов проектами мостов с балочными разрезными пролетными строениями длиной более 18 м следует предусматривать антисейсмические устройства для предотвращения падения пролетных строений с опор.
4.21. При расчетной сейсмичности 9 баллов размеры подферменной плиты в балочных мостах с разрезными пролетными строениями длиной l > 50 м, как правило, следует назначать такими, чтобы в плане расстояние вдоль оси моста от края площадок для установки опорных частей до граней подферменной плиты было не менее 0,005 l.
4.22. На площадках, сложенных вечномерзлыми грунтами, фундаменты допускается проектировать на грунтах, используемых в качестве основания по принципу I. Если грунты немерзлые или используются по принципу II, то следует предусматривать опирание подошвы фундаментов мелкого заложения или нижних концов свай, столбов и оболочек преимущественно на скальные или крупнообломочные грунты, гравелистые плотные пески, глинистые грунты твердой и полутвердой консистенции.
Опирание нижних концов свай, столбов и оболочек на оттаивающие песчаные грунты с льдистостью за счет ледяных включений более 0,01 или глинистые грунты с показателем консистенции более 0,5 не допускается.
4.23. При расчетной сейсмичности 9 баллов стойки опорных поперечных рам мостов на нескальных основаниях должны иметь общий фундамент мелкого заложения или опираться на плиту, объединяющую головы всех свай (столбов, оболочек).
4.24. Подошва фундаментов мелкого заложения должна быть горизонтальной. Фундаменты с уступами допускаются только при скальном основании.
4.25. Для средних и больших мостов свайные опоры и фундаменты с плитой, расположенной над грунтом, следует проектировать, применяя наклонные сваи сечением до 400 х 400 мм или диаметром до 600 мм. Фундаменты и опоры средних и больших мостов допускается проектировать также с вертикальными сваями сечением не менее 600 х 600 мм или диаметром не менее 800 мм независимо от положения плиты ростверка и с вертикальными сваями сечением до 400 х 400 мм или диаметром до 600 мм в случае, если плита ростверка заглубляется в грунт.
4.26. Расчет мостов с учетом сейсмических воздействий следует производить на прочность, на устойчивость конструкций и по несущей способности грунтовых оснований фундаментов.
4.27. При расчете мостов следует учитывать совместное действие сейсмических, постоянных нагрузок и воздействий, воздействия трения в подвижных опорных частях и нагрузок от подвижного состава. Расчет мостов с учетом сейсмических воздействий следует производить как при наличии подвижного состава, так и при отсутствии его на мосту.
Примечания. 1. Совместное действие сейсмических нагрузок и нагрузок от подвижного состава не следует учитывать при расчете железнодорожных мостов, проектируемых для внешних подъездных путей и для внутренних путей промышленных предприятий (за исключением случаев, оговоренных в задании на проектирование), а также мостов, проектируемых для автомобильных дорог IV, IIIп и IVп категорий.
2. Сейсмические нагрузки не следует учитывать совместно с нагрузками от транспортеров и от ударов подвижного состава при расчете железнодорожных мостов, а также с нагрузками от тяжелых транспортных единиц (НК-80 и НГ-60), с нагрузками от торможения и от ударов подвижного состава при расчете автодорожных и городских мостов.
4.28. При расчете мостов с учетом сейсмических воздействий коэффициенты сочетания

следует принимать равными:
для постоянных нагрузок и воздействий, сейсмических нагрузок, учитываемых совместно с постоянными нагрузками, а также с воздействием трения от постоянных нагрузок в подвижных опорных частях, - 1;
для сейсмических нагрузок, действие которых учитывается совместно с нагрузками от подвижного состава железных и автомобильных дорог, - 0,8;
для нагрузок от подвижного состава железных дорог - 0,7;
для нагрузок от подвижного состава автомобильных дорог - 0,3.
4.29. При расчете конструкций мостов на устойчивость и при расчете пролетных строений длиной более 18 м на прочность следует учитывать сейсмические нагрузки, вызванные вертикальной и одной из горизонтальных составляющих колебаний грунта, причем сейсмическую нагрузку, вызванную вертикальной составляющей колебаний грунта, следует умножать на коэффициент 0,5.
При прочих расчетах конструкций мостов сейсмическую нагрузку, вызванную вертикальной составляющей колебаний грунта, допускается не учитывать. Сейсмические нагрузки, вызванные горизонтальными составляющими колебаний грунта, направленными вдоль и поперек оси моста, следует учитывать раздельно.
4.30. При расчете мостов сейсмические нагрузки следует учитывать в виде возникающих при колебаниях основания сил инерции частей моста и подвижного состава, а также в виде сейсмических давлений грунта и воды.
4.31. Сейсмические нагрузки от частей моста и подвижного состава следует определять согласно требованиям
п. 2.5 настоящих норм с учетом упругих деформаций конструкций и основания моста, а также рессор железнодорожного состава.
4.32. При расчете мостов произведение коэффициентов

и
А следует принимать равным 0,025; 0,05 и 0,1 при расчетной сейсмичности соответственно 7, 8 и 9 баллов. Коэффициент

следует определять независимо от категорий грунтов по сейсмическим свойствам по
формуле (3). При определении сейсмической нагрузки, действующей вдоль оси моста, масса железнодорожного подвижного состава не учитывается.
4.33. Опоры мостов следует рассчитывать с учетом сейсмического давления воды, если глубина реки в межень у опоры превышает 5 м. Сейсмическое давление воды допускается определять согласно требованиям
раздела 5.
4.34. При расчете на прочность анкерных болтов, закрепляющих на опорных площадках от сдвига опорные части моста, следует принимать коэффициент надежности

= 1,5. Коэффициент надежности

допускается принимать равным единице при дополнительном закреплении опорных частей с помощью заделанных в бетон упоров или другими способами, обеспечивающими передачу на опору сейсмической нагрузки без участия анкерных болтов.
4.35. При расчете конструкций мостов на устойчивость против опрокидывания коэффициент условий работы m следует принимать: для конструкций, опирающихся на отдельные опоры, - 1; при проверке сечений бетонных конструкций и фундаментов на скальных основаниях - 0,9; при проверке фундаментов на нескальных основаниях - 0,8. При расчете на устойчивость против сдвига коэффициент условий работы m следует принимать равным 0,9.
4.36. При расчете оснований фундаментов мелкого заложения по несущей способности и при определении несущей способности свай (по грунту) влияние сейсмических воздействий следует учитывать в соответствии с требованиями
СНиП по проектированию оснований зданий и сооружений;
СНиП по проектированию свайных фундаментов и
СНиП по проектированию оснований и фундаментов на вечномерзлых грунтах.
4.37. При проектировании фундаментов мелкого заложения эксцентриситет

равнодействующей активных сил относительно центра тяжести сечения по подошве фундаментов ограничивается следующими пределами:
в сечениях по подошве фундаментов, заложенных на нескальном грунте, -

<= 1,5
R;
в сечениях по подошве фундаментов, заложенных на скальном грунте, -

<= 2,0
R,
где R - радиус ядра сечения по подошве фундамента со стороны более нагруженного края сечения.
4.38. При расчетной сейсмичности 9 баллов следует преимущественно применять железобетонные фундаментные трубы со звеньями замкнутого контура. Длину звеньев, как правило, следует принимать не менее 2 м.
4.39. В случае применения при расчетной сейсмичности 9 баллов бетонных прямоугольных труб с плоскими железобетонными перекрытиями необходимо предусматривать соединение стен с фундаментом омоноличиванием выпусков арматуры. Бетонные стены труб следует армировать конструктивной арматурой. Между раздельными фундаментами следует устраивать распорки.
4.40. Применение каменной кладки насухо допускается для подпорных стен протяжением не более 50 м (за исключением подпорных стен на железных дорогах при расчетной сейсмичности 8 и 9 баллов и на автомобильных дорогах при расчетной сейсмичности 9 баллов, когда кладка насухо не допускается).
В подпорных стенах высотой 5 м и более, выполняемых из камней неправильной формы, следует через каждые 2 м по высоте устраивать прокладные ряды из камней правильной формы.
4.41. Высота подпорных стен, считая от подошвы фундаментов, должна быть не более:
а) стены из бетона при расчетной сейсмичности 8 баллов - 12 м; 9 баллов - 10 м;
б) стены из бутобетона и каменной кладки на растворе: при расчетной сейсмичности 8 баллов - 12 м; 9 баллов на железных дорогах - 8 м, на автомобильных дорогах - 10 м;
в) стены из кладки насухо - 3 м.
4.42. Подпорные стены следует разделять по длине сквозными вертикальными швами на секции с учетом размещения подошвы каждой секции на однородных грунтах. Длина секции должна быть не более 15 м.
4.43. При расположении оснований смежных секций подпорной стены в разных уровнях переход от одной отметки основания к другой должен производиться уступами с отношением высоты уступа к его длине 1:2.
4.44. Применение подпорных стен в виде обратных сводов не допускается.
4.45. При выборе трассы тоннельного перехода необходимо, как правило, предусматривать заложение тоннеля вне зон тектонических разломов в однородных по сейсмической жесткости грунтах.
При прочих равных условиях следует отдавать предпочтение вариантам с более глубоким заложением тоннеля.
4.46. Для участков пересечения тоннелем тектонических разломов, по которым возможна подвижка массива горных пород, при соответствующем технико-экономическом обосновании необходимо предусматривать увеличение сечения тоннеля.
4.47. При расчетной сейсмичности 8 и 9 баллов обделку тоннелей следует проектировать замкнутой. Для тоннелей, сооружаемых открытым способом, следует применять цельносекционные сборные элементы. При расчетной сейсмичности 7 баллов обделку горного тоннеля допускается выполнять из набрызг-бетона в сочетании с анкерным креплением.
4.48. Порталы тоннелей и лобовые подпорные стены следует проектировать, как правило, железобетонными. При расчетной сейсмичности 7 баллов допускается применение бетонных порталов.
4.49. Для компенсации продольных деформаций обделки следует устраивать антисейсмические деформационные швы, конструкция которых должна допускать смещение элементов обделки и сохранение гидроизоляции.
4.50. В местах примыкания к основному тоннелю камер и вспомогательных тоннелей (вентиляционных, дренажных и пр.) следует устраивать антисейсмические деформационные швы.
5. ГИДРОТЕХНИЧЕСКИЕ СООРУЖЕНИЯ
5.1. Нормы настоящего раздела должны соблюдаться при проектировании гидротехнических сооружений гидроэлектрических станций, водного (речного и морского) транспорта, мелиоративных систем и других гидротехнических сооружений.
5.2. При проектировании безнапорных сооружений всех классов, подпорных сооружений II, III, IV классов, при обосновании строительства подпорных гидротехнических сооружений I класса оценка сейсмичности площадок строительства должна производиться в соответствии с ОСР-97 с учетом инженерно-геологических данных, характеризующих выбранную площадку, приведенных в
табл. 1* (без учета примечаний к таблице).
Примечания. 1. Приведенные в
табл. 1* значения коэффициента пористости

и показателя консистенции

грунтов площадки строительства должны определяться с учетом возможного их обводнения при заполнении водохранилища.
2. В районах сейсмичностью 6 баллов сейсмичность площадок строительства подпорных гидротехнических сооружений, возводимых на грунтах
III категории, следует принимать равной 7 баллам.
3. Строительство гидротехнических сооружений на грунтах
III категории в районах сейсмичностью 9 баллов допускается только при специальном обосновании.
5.3. Для разработки проектов подпорных сооружений I класса определение уточненных характеристик сейсмического воздействия должно производиться на основе детального сейсмического районирования и сейсмического микрорайонирования в районах сейсмичностью 6 баллов и выше. Материалы изысканий должны содержать:
характеристику структурно-тектонической обстановки и сейсмического режима района строительства в радиусе 50 - 100 км от площадки;
границы основных сейсмогенных зон и описание сейсмологических характеристик (максимальные магнитуды, глубины очагов и эпицентральные расстояния, повторяемость землетрясений, сейсмичность площадки);
параметры расчетных сейсмических воздействий из всех выделенных зон с учетом структурно-тектонических особенностей района и инженерно-геологических условий площадки;
границы возможных зон возникновения остаточных деформаций в основании сооружения и оценку их величин при сильнейших землетрясениях;
наборы расчетных записей (акселерограмм, велосиграмм, сейсмограмм), моделирующих основные типы сейсмических воздействий на выбранной площадке;
оценку изменения параметров сейсмического режима под влиянием водохранилища в процессе его заполнения и эксплуатации;
оценку возможности обрушения в водохранилище больших масс горных пород и падения на сооружение неустойчивых скальных массивов под влиянием сейсмических воздействий.
5.4. При проектировании подпорных гидротехнических сооружений следует предусматривать возможность действия землетрясения в период строительства. Сейсмичность площадок строительства подпорных гидротехнических сооружений в этом случае следует снижать на один балл.
5.5. Расчеты всех гидротехнических сооружений, оснований и береговых склонов как в створе сооружения, так и в зоне водохранилища должны производиться на статические нагрузки, определяемые согласно п. 2.2,
а и
пп. 5.13 -
5.24.
Расчетную сейсмичность для гидротехнических сооружений следует принимать равной сейсмичности площадки.
Для подпорных гидротехнических сооружений I класса, при их расположении в районах сейсмичностью свыше 7 баллов, допускается производить дополнительные расчеты на сейсмические воздействия, указанные в п. 2.2,
б.
5.6. Расчеты гидротехнических сооружений и их оснований на условные статические нагрузки (по п. 2.2,
а) должны производиться в соответствии с требованиями СНиП по проектированию гидротехнических сооружений отдельных видов. В расчетах должны учитываться сейсмические нагрузки от массы сооружения, присоединенной массы воды (или гидродинамического давления), от волн в водохранилище, вызванных землетрясением, и от динамического давления грунта.
5.7. Деформационные и прочностные характеристики материалов сооружений следует определять экспериментально с учетом особенностей сейсмического воздействия. Допускается деформационные характеристики принимать осредненными по всему сечению или объему сооружения, а при расчете сооружения по п. 2.2,
а - использовать статические прочностные характеристики. При этом для бетонных гидротехнических сооружений значение

следует принимать равным 1,2.
Используемые в расчетах по п. 2.2,
б характеристики динамических деформационных и прочностных свойств грунтов оснований и материалов гидротехнических сооружений должны определяться экспериментально.
Примечание. При наличии в основании или в теле гидротехнического сооружения водонасыщенных несвязных грунтов следует производить оценку их минимально допускаемой плотности по условию динамической устойчивости структуры, а также возможного снижения сопротивления сдвигу вследствие разжижения этих грунтов при сейсмических воздействиях.
5.8. Для грунтовых сооружений допускаются остаточные деформации и повреждения (осадки, смещения, трещины и др.), не приводящие к опасным последствиям, при условии ремонта сооружения после землетрясения. Предельные необратимые деформации следует назначать на основе специального обоснования с учетом природных условий площадки строительства, особенностей конструкций и условий эксплуатации сооружения; следует учитывать необходимость сохранения (без ремонта) сооружений напорного фронта при повторном воздействии землетрясений интенсивностью, меньшей расчетной на 1 балл. Для бетонных и железобетонных гидротехнических сооружений предельные состояния устанавливаются согласно СНиП по проектированию гидротехнических сооружений соответствующих видов.
5.9. Скальные массивы, образующие береговые склоны, смещение и падение которых при землетрясении может вызвать повреждение основных сооружений гидроузла или образование волны перелива, повлечь за собой затопление населенных пунктов или промышленных предприятий, необходимо проверять на устойчивость.
5.10. Для гидротехнических сооружений I класса наряду с расчетом на сейсмические воздействия следует проводить экспериментальные, в том числе модельные, исследования; целесообразно проведение натурных исследований на частично построенных и действующих сооружениях для уточнения динамических характеристик сооружений и применяемых методов их расчета.
5.11. Для сооружений I класса обязательно включение в состав проекта раздела по организации инструментальных наблюдений за поведением сооружений, их оснований и береговых склонов при землетрясениях.
5.12. Проектирование зданий, крановых эстакад, опоры линий электропередачи и других объектов, входящих в состав гидроузлов, следует производить в соответствии с указаниями разделов
1 -
3. В случае размещения этих объектов на основных гидротехнических сооружениях или в контакте с ними в расчетах должно учитываться сейсмическое воздействие, заданное ускорением, передаваемым со стороны основного сооружения, и определяемое в соответствии с указаниями
пп. 5.14 и
5.15 настоящих норм.
Расчетные сейсмические воздействия
5.13. В расчетах прочности подпорных гидротехнических сооружений по одномерной (консольной) и двухмерной схемам следует учитывать горизонтальные сейсмические воздействия (по направлениям вдоль и поперек оси сооружения); в расчетах по пространственной схеме целесообразно учитывать также наклонные сейсмические воздействия, имеющие те же направления в плане и угол наклона к горизонтальной плоскости 30°.
В расчетах устойчивости гидротехнических сооружений следует учитывать наиболее опасное горизонтальное или наклонное, направленное под углом 30° к горизонтальной плоскости, сейсмическое воздействие. При этом значение модуля вектора сейсмического ускорения основания принимается равным А.
5.14. В общем случае расчета гидротехнических сооружений проекцию

на направление
j сейсмической нагрузки

при
i-той форме колебаний, действующей на элемент весом

, отнесенный к точке
k сооружения, следует определять по формуле

, (12)
а коэффициент

- по формуле

, (13)
где

- проекции перемещений точек
k по трем (
j = 1, 2, 3) взаимно ортогональным направлениям;

- косинусы углов между направлениями вектора

сейсмического воздействия, определяемыми согласно
п. 5.13, и перемещений

;

- вес элемента сооружения, отнесенный к точке
k, при этом необходимо учитывать присоединенную массу воды в соответствии с указаниями
п. 5.16.
Значения коэффициентов, входящих в
формулу (12), следует принимать равными:

- для подпорных сооружений всех типов высотой до 60 м - 0,8, высотой свыше 100 м - 1; в интервале между этими значениями высот - линейной интерполяцией; для остальных сооружений - 1;

- 0,25;

- для грунтовых сооружений при сейсмичности площадки строительства 7 и 8 баллов - 0,7; при сейсмичности площадки строительства 9 баллов - 0,65;

- для бетонных и железобетонных подпорных сооружений при сейсмичности 7 и 8 баллов - 1, при сейсмичности 9 баллов - 0,8;
Во всех случаях произведения

следует принимать не менее 0,8.
Для подпорных гидротехнических сооружений I класса расчетное сейсмическое воздействие, характеризуемое вектором ускорения А, увеличивается на 20%.
5.15. В расчетах гидротехнических сооружений по одномерной схеме при горизонтальном и наклонном направлениях сейсмического воздействия горизонтальную сейсмическую нагрузку следует определять по формулам
(1) и
(2), причем в случае наклонного сейсмического воздействия величину
А при определении горизонтальной составляющей сейсмической нагрузки в
формуле (2) следует умножать на 0,87, а при определении вертикальной составляющей - на 0,5 и принимать значение

= 1.
5.16. Вес погруженного в воду элемента

сооружения следует определять без учета взвешивающего действия воды. Массу воды в порах и полостях этого элемента следует учитывать как дополнительный вес. При учете инерционного влияния воды к величине

следует прибавлять вес присоединенной массы воды, равный

,
где

- присоединенная масса воды, определяемая в соответствии с указаниями
пп. 5.26 -
5.27;
g - ускорение силы тяжести.
5.17. При расчетах гидротехнических тоннелей и других подземных сооружений следует учитывать раздельно сейсмическое давление, вызванное изменением напряженного состояния среды при прохождении в ней сейсмических волн, а также сейсмические нагрузки от собственного веса

сооружения, определяемые по формуле

, (14)
и от веса

соответствующего породного свода, определяемые по формуле

, (15)
где

- коэффициент, зависящий от глубины
h заложения сооружения. При глубине заложения до 100 м величина

изменяется линейно от 1 до 0,5, а при глубине заложения больше 100 м величину

следует принимать равной 0,5.
Сейсмическую нагрузку на скальные массивы, образующие береговые склоны, следует определять по
формуле (15) при

= 1.
5.18. Сейсмическую нагрузки на жесткие массивные сооружения типа оградительных портовых сооружений, бетонных водосливных плотин на нескальных основаниях следует определять как для твердого тела на упругом основании.
5.19. Расчет на сейсмические воздействия гидротехнических тоннелей следует производить в соответствии с указаниями
п. 5.17 с учетом гидродинамического давления, определяемого в соответствии с
п. 5.29.
5.20. Активное

и пассивное

давление несвязного грунта на подпорные стены, плотины, подземные части других гидротехнических сооружений с учетом сейсмического воздействия следует определять по формулам:

(16)
где

;

.
При горизонтальном направлении сейсмического воздействия

;
при наклонном направлении сейсмического воздействия

,

,

- плотность грунта;
Н - глубина рассматриваемой точки грани стены ниже поверхности грунта;

- угол наклона грани стены к вертикали;

- угол наклона поверхности грунта к горизонту;

- угол внутреннего трения грунта;

- угол трения грунта по стене;

- угол отклонения от вертикали равнодействующей плотности грунта

и сейсмической силы

;
g - ускорение силы тяжести.
В случае определения активного

и пассивного

давления водонасыщенного грунта на подпорные стены в формулы следует вводить вес взвешенного грунта

, а сейсмическую силу (

) следует определять по плотности насыщенного грунта; при этом угол отклонения равнодействующей равен

,
где

- плотность воды.
Давление насыщающей грунт воды на стену следует определять так же, как в статическом расчете.
В случае расположения грунта под водой следует учитывать сейсмическое давление воды на его поверхность, равное сейсмическому давлению воды на стену на той же глубине. При углах менее 10° допускается приближенно принимать

+
р вместо

, где
р - давление воды на поверхность грунта.
Примечание. При определении активного давления р > 0, а при определении пассивного давления р < 0.
5.21. Для сооружений, расчет которых производится по одномерной (консольной) схеме, следует учитывать не менее трех форм собственных колебаний, а для сооружений, расчет которых производится по двухмерной схеме, следует учитывать не менее 10 форм колебаний для бетонных плотин и не менее 15 форм - для плотин из грунтовых материалов.
5.22. Для определения сейсмических нагрузок при обосновании строительства гидротехнических сооружений I и II классов и при проектировании сооружений III и IV классов допускается учет только низшего тона колебаний и приближенной формы деформации сооружений, отвечающей этому тону.
Сейсмическую нагрузку на сооружения, расчет которых производится по одномерной (консольной) схеме, следует определять по формулам
(1) и
(2), при этом коэффициенты

допускается вычислять по
формуле (6).
5.23. В расчетах устойчивости сооружений инерционные нагрузки на сдвигаемую часть нескального основания следует определять при ускорениях перемещения основания, равных

.
5.24. Для гидротехнических сооружений из грунтовых материалов должна производиться проверка устойчивости откосов на сдвиг по круглоцилиндрическим, ломаным или другим поверхностям скольжения согласно нормам проектирования этих сооружений. При расчетах сейсмических нагрузок на сооружения по двухмерным и трехмерным схемам для проверки устойчивости откосов допускается использовать расчетные ускорения

в точках
k сооружения, определяемые по формуле

. (17)
5.25. В расчетах гидротехнических сооружений на сейсмическое воздействие при определении периодов собственных колебаний и сейсмических нагрузок следует учитывать инерционное влияние воды.
5.26. Горизонтальную присоединенную массу воды

для гидротехнических сооружений (кроме перечисленных в
п. 5.27), приходящуюся на единицу площади их поверхности, следует определять по формуле

, (18)
где

- плотность воды;
h - глубина воды у сооружения;

- безразмерный коэффициент присоединенной массы воды, определяемый по
табл. 11;

- коэффициент, учитывающий ограниченность длины водоема и принимаемый для
l/
h >= 3 равным 1, а для
l/
h < 3 - по
табл. 12;
l - расстояние между сооружением и противоположным ему берегом водоема (для шлюзов и аналогичных сооружений - между противоположными стенками конструкции) на глубине 2/3h от свободной поверхности воды.
Примечания. 1. Для предварительного выбора характера колебаний сооружения по
табл. 11 следует учитывать для бетонных и железобетонных плотин на нескальном основании колебания вращения и сдвига сооружения как жесткого тела, на скальном основании - деформации изгиба и сдвига, а для плотин из грунтовых материалов - деформации сдвига. В качестве расчетного следует принимать характер колебаний, приводящих к получению максимального значения присоединенной массы воды.
2. Если вода находится с двух сторон сооружения, ее присоединенную массу следует принимать равной сумме присоединенных масс воды, определяемых для каждой из сторон сооружения.
Характер движения сооружения | Коэффициенты |
| D | | |
1. Колебания вращения недеформируемого сооружения с вертикальной напорной гранью на податливом основании при  | | | | |
2. Горизонтальные поступательные перемещения недеформируемых сооружений: | | | | |
с вертикальной напорной гранью | R | R | 0,543 | 0,6 |
с наклонной напорной гранью | | | | 0,6 |
3. Горизонтальные поступательные перемещения недеформируемых сооружений с вертикальной напорной гранью в V-образном ущелье | | | - | - |
4. Горизонтальные изгибные колебания сооружений консольного типа с вертикальной напорной гранью | | | - | - |
5. Горизонтальные сдвиговые колебания сооружений консольного типа с вертикальной напорной гранью | | | - | - |
6. Горизонтальные колебания отдельно стоящих вертикальных сооружений типа водозаборных башен, опор мостов, свай с круглой формой поперечного сечения | | | | |
7. То же, с квадратной формой поперечного сечения | | | | |
Примечания: 1. Коэффициенты R, G,  , С1, С2, С3 - принимаются по табл. 13; z - ордината точки напорной грани, для которой вычисляется величина присоединенной массы воды (начало координат принимается на уровне водной поверхности); zс - ордината центра вращения, определяемая из расчета сооружения с без учета влияния водной среды;  - угол наклона напорной грани к горизонтали; d1 - диаметр поперечного сечения, м; d2 - сторона квадрата поперечного сечения, м; a - отношение ускорения гребня, определяемого из расчета плотины без учета влияния водной среды, к величине АК 1. 2. В случае, когда угол наклона напорной грани  , значения безразмерных коэффициентов принимаются как для вертикальной напорной грани. 3. Значение безразмерного коэффициента  для ключевого сечения симметричных арочных плотин принимается по табл. 13. Для остальных сечений арочной плотины значения этого коэффициента увеличиваются линейно до  в пятах. 4. Для случаев, не предусмотренных табл. 11, присоединенная масса воды определяется специальными расчетами. |
Отношение l/h | 0,2 | 0,4 | 0,6 | 0,8 | 1 | 1,2 | 1,4 | 1,6 | 1,8 | 2 | 2,5 | 3 |
Коэффициент  | 0,26 | 0,41 | 0,53 | 0,63 | 0,72 | 0,78 | 0,83 | 0,88 | 0,9 | 0,93 | 0,96 | 1 |
Коэффициенты | Отношение z/h |
0,1 | 0,2 | 0,3 | 0,4 | 0,5 | 0,6 | 0,7 | 0,8 | 0,9 | 1 |
R | 0,23 | 0,36 | 0,47 | 0,55 | 0,61 | 0,66 | 0,7 | 0,72 | 0,74 | 0,74 |
G | 0,12 | 0,23 | 0,34 | 0,45 | 0,55 | 0,64 | 0,72 | 0,79 | 0,83 | 0,85 |
| | | | 0,22 | 0,38 | 0,47 | 0,53 | 0,57 | 0,59 | 0,61 | 0,62 | 0,63 | 0,68 |
| | 0,22 | 0,35 | 0,41 | 0,46 | 0,49 | 0,52 | 0,53 | 0,54 | 0,54 | 0,55 |
| 0,21 | 0,29 | 0,35 | 0,38 | 0,41 | 0,43 | 0,44 | 0,45 | 0,45 | 0,44 |
 для всех отношений b/ h | 0,08 | 0,15 | 0,18 | 0,22 | 0,23 | 0,23 | 0,22 | 0,2 | 0,18 | 0,15 |
| C1 | | 0,07 | 0,09 | 0,1 | 0,1 | 0,09 | 0,08 | 0,07 | 0,07 | 0,06 | 0,06 |
C2 | 0,04 | 0,09 | 0,13 | 0,18 | 0,23 | 0,28 | 0,34 | 0,38 | 0,42 | 0,43 |
| C3 | 0,86 | 0,73 | 0,59 | 0,46 | 0,34 | 0,23 | 0,14 | 0,06 | 0,02 | 0 |
Примечание. b - ширина ущелья на уровне водной поверхности. |
5.27. Для отдельно стоящих сооружений типа водозаборных башен, опор мостов и свай присоединенную массу воды, приходящуюся на единицу длины конструкции, следует определять по формуле

, (19)
где d - диаметр круглого или размер стороны квадратного поперечного сечения сооружения, м;

- коэффициент, определяемый по
табл. 11.
Примечание. Присоединенную массу воды

на единицу длины сваи при поперечных ее колебаниях допускается принимать равной массе воды, эквивалентной объему единицы длины сваи.
5.28. В расчетах прочности и устойчивости безнапорных сооружений допускается учитывать сейсмическое давление воды, определяемое по формулам:
а) для жестких массивных оградительных и причальных портовых гидротехнических сооружений:

(20)
б) для отдельно стоящих сооружений, перечисленных в
п. 5.27:

(21)
где р - ординаты эпюры гидродинамического давления, отнесенного к единице площади поверхности сооружения;

- то же, отнесенного к единице высоты отдельно стоящего сооружения;
Р - суммарное гидродинамическое давление на единицу длины сооружения;

- то же, на отдельно стоящее сооружение;

- глубина погружения точки приложения равнодействующей гидродинамического давления;
D,

,

- коэффициенты, определяемые по
табл. 11.
Примечание. Если вода находится с двух сторон сооружения, гидродинамическое давление следует принимать равным сумме абсолютных значений гидродинамических давлений, определенных для каждой из сторон сооружения.
5.29. В напорных водоводах гидродинамическое давление

следует определять по формуле

, (22)
где

- скорость звука в воде, равная 1300 м/с;

- преобладающий период сейсмических колебаний грунта, величина которого принимается равной 0,5 с.
5.30. При расчете гидротехнических сооружений на вертикальную составляющую сейсмического воздействия следует учитывать дополнительное сейсмическое давление воды

(ординаты давления) на наклонные грани сооружений, определяемое по формуле

; (23)
где z - расстояние от рассматриваемого сечения до водной поверхности;

- угол наклона напорной грани к вертикали.
5.31. Высоту гравитационной волны, м, возникающей в водохранилище в случае образования в нем сейсмотектонических деформаций при землетрясениях интенсивностью J = 6 - 9 баллов, учитываемую при назначении превышения гребня плотины над расчетным горизонтом воды, следует определять по формуле

. (24)
5.32. При расчете гидротехнических сооружений с учетом сейсмического воздействия, направленного вдоль напорного фронта сооружения, влияние водной среды допускается не учитывать.
Размещение гидротехнических сооружений
и конструктивные мероприятия
5.33. Подпорные гидротехнические сооружения, возводимые в сейсмических районах, следует располагать на участках, удаленных от тектонических разломов, по которым могут возникнуть относительные подвижки скальных массивов, образующих основание сооружения.
5.34. Основные сооружения гидроузлов (плотины, здания ГЭС, водосбросы) следует размещать на скальном массиве, в пределах которого возможность возникновения указанных в п. 5.33 подвижек исключена.
5.35. Возведение бетонных подпорных гидротехнических сооружений I и II классов на участках, в пределах которых противоположные береговые склоны сложены породами, резко различающимися по механическим свойствам, допускается только при специальном обосновании.
5.36. При наличии в основании сооружений слоя слабых грунтов (илов, мягкопластичных глин и др.) следует удалять эти грунты либо предусматривать специальные меры к их уплотнению или закреплению.
Возможность использования таких грунтов в качестве оснований гидротехнических сооружений без указанных выше мероприятий должна обосновываться специальными исследованиями.
При строительстве гидротехнических сооружений на скальных грунтах следует обращать особое внимание на тщательность выполнения мероприятий по укреплению грунта и улучшению контакта сооружений с основанием.
5.37. При наличии в основании или теле сооружения водонасыщенных несвязных грунтов следует производить оценку возможности их разжижения при сейсмическом воздействии.
При возможности разжижения грунтов в теле сооружения или в основании следует предусматривать искусственное уплотнение или укрепление грунтов.
5.38. В качестве водоупорных элементов плотин из местных материалов следует применять пластичные или полужесткие ядра. Для плотин высотой до 50 м следует, как правило, применять асфальтобетонные экраны и диафрагмы, а высотой от 50 до 100 м, как правило, - асфальтобетонные диафрагмы.
При этом особое внимание следует уделять обеспечению надежности сопряжения противофильтрационных элементов с основанием и береговыми склонами.
5.39. Верховые водонасыщенные призмы плотин следует проектировать из крупнозернистых грунтовых материалов (каменная наброска, гравелистые и галечниковые грунты и др.), не способных к разжижению при сейсмических воздействиях. При отсутствии таких материалов в тело верховой призмы целесообразно введение горизонтальных слоев из крупнообломочных сильнодренирующих материалов.
Примечание. Указания этого пункта не распространяются на гидротехнические сооружения с верховыми экранами.
5.40. С целью повышения устойчивости откосов в плотинах из грунтовых материалов при сейсмических воздействиях следует предусматривать максимальное уплотнение наружных призм, особенно в зоне, расположенной близко к гребню плотины, а также крепление откосов каменной наброской или железобетонными плитами.
5.41. При выборе схемы разрезки бетонных плотин температурными и конструктивными швами следует учитывать наличие ослабленных зон в основании плотины или в береговых склонах, предусматривая конструкции, допускающие относительное смещение частей сооружений без нарушений водонепроницаемости напорного фронта.
5.42. Портовые оградительные сооружения (молы, волноломы) при сейсмичности площадки 8 и 9 баллов следует возводить из наброски камня, обыкновенных и фасонных массивов или из массивов-гигантов. При этом углы наклона откоса в этих сооружениях при сейсмичности 8 и 9 баллов следует уменьшать соответственно на 10 или 20% против допускаемых в несейсмических районах.
5.43. Причальные сооружения следует, как правило, возводить в виде конструкций, не подверженных одностороннему давлению грунта. При невозможности выполнения этого условия следует применять заанкеренные стальные шпунтовые стенки при нескальных основаниях и стенки из массивов-гигантов при скальных основаниях. При сейсмичности 7 и 8 баллов допускается также применение сборных конструкций из кладки обыкновенных массивов с выполнением специальных конструктивных мероприятий по усилению монолитности сооружений.
МИНИСТЕРСТВО НАУКИ И ТЕХНОЛОГИИ РОССИЙСКОЙ ФЕДЕРАЦИИ
РОССИЙСКАЯ АКАДЕМИЯ НАУК
ОБЪЕДИНЕННЫЙ ИНСТИТУТ ФИЗИКИ ЗЕМЛИ ИМ. О.Ю. ШМИДТА
ОБЩЕЕ СЕЙСМИЧЕСКОЕ РАЙОНИРОВАНИЕ ТЕРРИТОРИИ
РОССИЙСКОЙ ФЕДЕРАЦИИ ОСР-97
СПИСОК НАСЕЛЕННЫХ ПУНКТОВ
РОССИЙСКОЙ ФЕДЕРАЦИИ, РАСПОЛОЖЕННЫХ В СЕЙСМИЧЕСКИХ РАЙОНАХ,
С УКАЗАНИЕМ РАСЧЕТНОЙ СЕЙСМИЧЕСКОЙ ИНТЕНСИВНОСТИ
В БАЛЛАХ ШКАЛЫ МSК-64 ДЛЯ СРЕДНИХ ГРУНТОВЫХ УСЛОВИЙ
И ТРЕХ СТЕПЕНЕЙ СЕЙСМИЧЕСКОЙ ОПАСНОСТИ - А (10%),
В (5%), С (1%) В ТЕЧЕНИЕ 50 ЛЕТ
Название субъектов РФ и населенных пунктов | |
А | В | С |
|
Республика Адыгея |
Адыгейск | 8 | 8 | 9 |
Гиагинская | 7 | 8 | 8 |
Каменномостский | 8 | 8 | 9 |
Кошехабль | 7 | 7 | 8 |
Красногвардейское | 7 | 7 | 8 |
Майкоп | 7 | 8 | 9 |
Тульский | 7 | 8 | 9 |
Энем | 8 | 8 | 9 |
Яблоновский | 8 | 8 | 9 |
Республика Алтай |
Акташ | 9 | 9 | 10 |
Актел | 8 | 9 | 10 |
Амур | 8 | 8 | 9 |
Анос | 8 | 9 | 10 |
Артыбаш | 8 | 8 | 9 |
Барагаш | 8 | 9 | 10 |
Балыктуюль | 9 | 9 | 10 |
Балыкча | 8 | 9 | 10 |
Белый Ануй | 8 | 9 | 10 |
Бельтир | 9 | 9 | 10 |
Беляши | 9 | 9 | 10 |
Бешозек | 8 | 9 | 10 |
Бешпельтир | 8 | 9 | 10 |
Бийка | 8 | 8 | 9 |
Бирюля | 8 | 8 | 9 |
Верхняя Апшуяхта | 8 | 9 | 10 |
Верх. Уймон | 8 | 9 | 10 |
Горбуново | 8 | 9 | 10 |
Горно-Алтайск | 8 | 8 | 9 |
Дмитриевка | 7 | 7 | 8 |
Дъектиек | 8 | 9 | 10 |
Ело | 8 | 9 | 10 |
Иня | 8 | 9 | 10 |
Карагай | 8 | 8 | 9 |
Каракокша | 8 | 8 | 9 |
Катанда | 8 | 9 | 10 |
Козуль | 8 | 8 | 9 |
Кокоря | 9 | 9 | 10 |
Кош-Агач | 9 | 9 | 10 |
Кулада | 8 | 9 | 10 |
Купчегень | 8 | 9 | 10 |
Курай | 9 | 9 | 10 |
Курмач-Байгол | 7 | 8 | 9 |
Куюс | 8 | 9 | 10 |
Кызылозек | 8 | 8 | 9 |
Кырлык | 8 | 8 | 9 |
Мал. Черга | 8 | 9 | 10 |
Ниж. Талда | 8 | 9 | 10 |
Огневка | 8 | 8 | 9 |
Озеро-Куреево | 7 | 7 | 8 |
Онгудай | 8 | 9 | 10 |
Ортолык | 9 | 9 | 10 |
Сейка | 8 | 8 | 9 |
Соузга | 8 | 8 | 9 |
Талда | 8 | 9 | 10 |
Тебелер | 9 | 9 | 10 |
Теленгит-Сортогой | 9 | 9 | 10 |
Теньга | 8 | 9 | 10 |
Тондошка | 7 | 8 | 9 |
Уймень | 8 | 8 | 9 |
Улусчерга | 8 | 9 | 10 |
Усть-Кан | 8 | 8 | 9 |
Усть-Кокса | 8 | 9 | 10 |
Усть-Кумир | 8 | 8 | 9 |
Усть-Муны | 8 | 9 | 10 |
Усть-Мута | 8 | 9 | 10 |
Усть-Улаган | 9 | 9 | 10 |
Хабаровка | 8 | 9 | 10 |
Чаган-Узун | 9 | 9 | 10 |
Чемал | 8 | 9 | 10 |
Чендек | 8 | 9 | 10 |
Черга | 8 | 9 | 10 |
Черный Ануй | 8 | 9 | 10 |
Чибиля | 9 | 9 | 10 |
Чибит | 9 | 9 | 10 |
Чоя | 8 | 8 | 9 |
Шашикман | 8 | 9 | 10 |
Шебалино | 8 | 9 | 10 |
Ынырга | 8 | 8 | 9 |
Элекмонар | 8 | 9 | 10 |
Ябоган | 8 | 9 | 10 |
Яконур | 8 | 9 | 10 |
Республика Башкортостан |
Архангельское | - | - | 6 |
Аскарово | - | - | 6 |
Баймак | - | - | 6 |
Белорецк | - | - | 6 |
Бурибай | - | - | 6 |
Верхние Киги | - | - | 6 |
Верхний Авзян | - | - | 6 |
Воскресенское | - | - | 6 |
Ермолаево | - | - | 6 |
Зирган | - | - | 6 |
Инзер | - | - | 6 |
Исянгулово | - | - | 6 |
Ишимбай | - | - | 6 |
Кананикольское | - | - | 6 |
Караидельский | - | - | 6 |
Красноусольский | - | - | 6 |
Кумертау | - | - | 6 |
Ломовка | - | - | 6 |
Маячный | - | - | 6 |
Мелеуз | - | - | 6 |
Месягутово | - | - | 6 |
Миндяк | - | - | 6 |
Мраково | - | - | 6 |
Мурсалимкино | - | - | 6 |
Новобелокатай | - | 6 | 7 |
Первомайский | - | - | 6 |
Салават | - | - | 6 |
Сибай | - | - | 6 |
Тирлянский | - | - | 6 |
Тубинский | - | - | 6 |
Тукан | - | - | 6 |
Улу-Теляк | - | - | 6 |
Учалы | - | - | 6 |
Юмагузино | - | - | 6 |
Республика Бурятия |
Аршан | 8 | 9 | 10 |
Бабушкин | 9 | 9 | 10 |
Баргузин | 8 | 9 | 9 |
Баянгол | 8 | 8 | 9 |
Бичура | 7 | 8 | 9 |
Большой Луг | 7 | 8 | 9 |
Большая Кудара | 7 | 8 | 9 |
Большой Куналей | 7 | 8 | 9 |
Брянск | 8 | 9 | 10 |
Верхний Жирим | 8 | 8 | 9 |
Выдрино | 9 | 9 | 10 |
Гусиное Озеро | 8 | 8 | 9 |
Гэгэтуй | 8 | 8 | 9 |
Десятниково | 7 | 8 | 9 |
Джида | 8 | 8 | 9 |
Дырестуй | 8 | 8 | 9 |
Дэдэ-Ичетуй | 8 | 8 | 9 |
Елань | 7 | 8 | 9 |
Жаргаланта | 8 | 8 | 9 |
Жемчуг | 8 | 9 | 10 |
Заиграево | 7 | 8 | 9 |
Закаменск | 7 | 8 | 9 |
Заозерный | 8 | 8 | 9 |
Заречный | 8 | 8 | 9 |
Зун-Мурино | 8 | 9 | 10 |
Зурган-Дэбэ | 7 | 8 | 9 |
Иволгинск | 8 | 8 | 9 |
Ильинка | 8 | 9 | 9 |
Илька | 7 | 8 | 9 |
Инзагатуй | 8 | 8 | 9 |
Кабанск | 8 | 9 | 10 |
Каленово | 8 | 8 | 9 |
Каменск | 8 | 9 | 10 |
Кижинга | 7 | 7 | 8 |
Кичера | 9 | 9 | 10 |
Кудара | 9 | 9 | 10 |
Кудара-Сомон | 7 | 8 | 9 |
Куйтун | 7 | 8 | 9 |
Кырен | 8 | 9 | 10 |
Кяхта | 8 | 8 | 9 |
Мал. Куналей | 7 | 8 | 9 |
Михайловка | 7 | 8 | 9 |
Мишиха | 9 | 9 | 10 |
Мухоршибирь | 7 | 8 | 9 |
Нарын | 7 | 8 | 9 |
Наушки | 8 | 8 | 9 |
Нижнеангарск | 9 | 9 | 10 |
Нижний Бургалтай | 8 | 8 | 9 |
Нижний Саянтуй | 8 | 8 | 9 |
Нижний Торей | 7 | 8 | 9 |
Нижняя Иволга | 8 | 8 | 9 |
Николаевский | 7 | 8 | 9 |
Новый Уоян | 9 | 9 | 10 |
Новоильинск | 7 | 8 | 9 |
Новокижингинск | 7 | 7 | 8 |
Новоселенгинск | 8 | 8 | 9 |
Новый Заган | 7 | 8 | 9 |
Оер | 7 | 8 | 9 |
Оймур | 9 | 9 | 10 |
Окино-Ключи | 7 | 8 | 9 |
Онохой | 8 | 8 | 9 |
Орлик | 8 | 9 | 10 |
Оронгой | 8 | 8 | 9 |
Осиновка | 9 | 9 | 10 |
Петропавловка | 8 | 8 | 9 |
Подлопатки | 7 | 8 | 9 |
Санага | 8 | 8 | 9 |
Сахарный Завод | 7 | 8 | 9 |
Северобайкальск | 9 | 9 | 10 |
Северомуйск | 9 | 9 | 10 |
Селенгинск | 8 | 9 | 10 |
Селендума | 8 | 8 | 9 |
Сокол | 8 | 8 | 9 |
Сосново-Озерское | 6 | 7 | 8 |
Сотниково | 8 | 8 | 9 |
Старое Татаурово | 8 | 9 | 9 |
Таксимо | 9 | 9 | 10 |
Таловка | 8 | 9 | 10 |
Тарбагатай | 8 | 8 | 9 |
Татаурово | 8 | 9 | 9 |
Ташир | 8 | 8 | 9 |
Тимлюй | 8 | 9 | 10 |
Тоннельный | 9 | 9 | 10 |
Торы | 8 | 9 | 10 |
Тохой | 8 | 8 | 9 |
Тресково | 8 | 9 | 10 |
Троицкое | 8 | 9 | 9 |
Тунка | 8 | 9 | 10 |
Турка | 8 | 9 | 10 |
Турунтаево | 8 | 9 | 9 |
Улан-Удэ | 8 | 8 | 9 |
Улекчин | 7 | 8 | 9 |
Унгуркуй | 7 | 8 | 9 |
Усть-Баргузин | 8 | 9 | 10 |
Усть-Киран | 7 | 8 | 9 |
Усть-Кяхта | 8 | 8 | 9 |
Харашибирь | 7 | 8 | 9 |
Холтосон | 8 | 8 | 9 |
Хоринск | 7 | 7 | 8 |
Хоронхой | 8 | 8 | 9 |
Хужиры | 8 | 9 | 10 |
Цакир | 7 | 8 | 9 |
Цолга | 7 | 8 | 9 |
Чикой | 7 | 8 | 9 |
Шаралдай | 7 | 8 | 9 |
Шибертуй | 7 | 8 | 9 |
Эрхирик | 8 | 8 | 9 |
Янчукан | 9 | 9 | 10 |
Республика Дагестан |
Аксай | 8 | 8 | 9 |
Альбурикент | 8 | 9 | 10 |
Ахты | 9 | 9 | 10 |
Ачису | 9 | 9 | 10 |
Бабаюрт | 8 | 8 | 9 |
Бавтугай | 8 | 9 | 9 |
Белиджи | 9 | 9 | 10 |
Ботлих | 9 | 9 | 10 |
Буйнакск | 9 | 9 | 10 |
Дагестанские Огни | 9 | 9 | 10 |
Дербент | 9 | 9 | 10 |
Дубки | 9 | 9 | 10 |
Дылым | 9 | 9 | 10 |
Избербаш | 9 | 9 | 10 |
Карабудахкент | 9 | 9 | 10 |
Каспийск | 8 | 9 | 10 |
Касумкент | 9 | 9 | 10 |
Кизилюрт | 8 | 9 | 9 |
Кизляр | 7 | 8 | 8 |
Комсомольский | 7 | 8 | 8 |
Кубачи | 9 | 9 | 10 |
Куруш | 8 | 8 | 9 |
Кяхулай | 8 | 9 | 10 |
Леваши | 9 | 9 | 10 |
Маджалис | 9 | 9 | 10 |
Мамедкала | 9 | 9 | 10 |
Манаскент | 9 | 9 | 10 |
Махачкала | 8 | 9 | 10 |
Ново-Гагатли | 8 | 8 | 9 |
Новый Кяхулай | 8 | 9 | 10 |
Новый Сулак | 8 | 9 | 9 |
Сулак | 8 | 8 | 9 |
Султан-Янгиюрт | 8 | 9 | 9 |
Тарки | 8 | 9 | 10 |
Тюбе | 8 | 9 | 10 |
Хасавюрт | 8 | 9 | 9 |
Шамилькала | 9 | 9 | 10 |
Шамхал | 8 | 9 | 9 |
Южно-Сухокумск | 6 | 7 | 7 |
Ингушская Республика |
Ассиновская | 9 | 9 | 10 |
Горагорский | 8 | 9 | 9 |
Карабулак | 8 | 9 | 10 |
Малгобек | 8 | 9 | 9 |
Назрань | 8 | 9 | 10 |
Нартан | 8 | 9 | 9 |
Насыр-Корт | 8 | 9 | 10 |
Ненже | 8 | 9 | 9 |
Нестеровская | 9 | 9 | 10 |
Серноводск | 8 | 9 | 10 |
Сурхахи | 8 | 9 | 10 |
Троицкая | 8 | 9 | 10 |
Кабардино-Балкарская Республика |
Аргудан | 8 | 9 | 9 |
Баксан | 8 | 8 | 9 |
Залукокоаже | 8 | 8 | 9 |
Заюково | 8 | 9 | 9 |
Исламень | 8 | 9 | 9 |
Кахун | 8 | 9 | 9 |
Кашхатау | 8 | 9 | 9 |
Кызбурун Третий | 8 | 9 | 9 |
Майский | 8 | 8 | 9 |
Нальчик | 8 | 9 | 9 |
Нарткала | 8 | 9 | 9 |
Прохладный | 8 | 8 | 9 |
Сармаково | 8 | 8 | 9 |
Терек | 8 | 9 | 9 |
Тырныауз | 8 | 9 | 10 |
Хасанья | 8 | 9 | 9 |
Чегем Второй | 8 | 9 | 9 |
Чегем Первый | 8 | 9 | 9 |
Шалушка | 8 | 9 | 9 |
Республика Калмыкия - Хальмг Тангч |
Большой Царын | - | - | 7 |
Городовиковск | - | 6 | 6 |
Ики-Бурул | - | 6 | 6 |
Комсомольский | 6 | 6 | 7 |
Лагань | - | 6 | 6 |
Садовое | - | - | 6 |
Троицкое | - | - | 6 |
Элиста | - | - | 6 |
Яшкуль | - | - | 7 |
Карачаево-Черкесская Республика |
Теберда | 8 | 9 | 10 |
Черкесск | 8 | 8 | 9 |
Республика Карелия |
Калевала | - | - | 6 |
Кемь | - | - | 6 |
Лоухи | - | 6 | 7 |
Пяозерский | - | - | 6 |
Чупа | - | 6 | 7 |
Республика Коми |
Благоево | - | - | 6 |
Боровой | - | - | 6 |
Важгорт | - | 6 | 7 |
Вендинга | - | - | 6 |
Водный | - | - | 6 |
Кожым | - | - | 6 |
Кослан | - | - | 6 |
Курья | - | - | 6 |
Летка | - | - | 6 |
Пожег | - | - | 6 |
Помоздино | - | - | 6 |
Сосногорск | - | - | 6 |
Трусово | - | - | 6 |
Усогорск | - | - | 6 |
Усть-Кулом | - | - | 6 |
Югыдъяг | - | - | 6 |
Ухта | - | - | 6 |
Ярега | - | - | 6 |
Республика Марий Эл |
Визимьяры | - | 6 | 7 |
Волжск | 6 | 6 | 7 |
Звенигово | 6 | 6 | 7 |
Йошкар-Ола | - | - | 6 |
Килемары | - | - | 6 |
Козьмодемьянск | 6 | 6 | 7 |
Красногорский | 6 | 6 | 7 |
Красный Стекловар | 6 | 6 | 7 |
Куженер | - | - | 6 |
Мари-Турек | - | - | 6 |
Мариец | - | - | 7 |
Медведево | - | - | 6 |
Морки | - | 6 | 7 |
Мочалище | - | 6 | 7 |
Оршанка | - | - | 6 |
Параньга | - | - | 6 |
Приволжский | 6 | 6 | 7 |
Сернур | - | - | 6 |
Советский | - | - | 6 |
Суслонгер | - | 6 | 7 |
Юрино | 6 | 6 | 7 |
Республика Саха (Якутия) |
Алдан | 6 | 7 | 7 |
Аллах-Юнь | 7 | 8 | 9 |
Амга | - | - | 6 |
Артык | 8 | 9 | 10 |
Батагай | 7 | 7 | 8 |
Безымянный | 6 | 6 | 7 |
Белая Гора | 6 | 7 | 7 |
Бердигестях | - | - | 6 |
Беркакит | 8 | 8 | 10 |
Бестях | - | 6 | 7 |
Большой Нимныр | 7 | 7 | 8 |
Борогонцы | 6 | 6 | 7 |
Бриндакит | 7 | 8 | 9 |
Быковский | 8 | 9 | 10 |
Верхоянск | 7 | 7 | 8 |
Витим | 6 | 7 | 8 |
Власово | 7 | 8 | 9 |
Депутатский | 7 | 7 | 8 |
Джебарики-Хая | 7 | 7 | 8 |
Жатай | 6 | 7 | 8 |
Жиганск | - | - | 6 |
Заречный | 6 | 6 | 7 |
Звездочка | 7 | 8 | 9 |
Золотинка | 8 | 9 | 10 |
Зырянка | 6 | 6 | 8 |
Кангалассы | 6 | 7 | 8 |
Канкунский | 7 | 7 | 8 |
Кулар | 7 | 8 | 9 |
Кысыл-Сыр | 6 | 6 | 7 |
Лазо | 7 | 8 | 9 |
Лебединый | 6 | 7 | 8 |
Ленинский | 6 | 7 | 7 |
Ленск | - | 6 | 7 |
Маган | 6 | 7 | 8 |
Майя | 6 | 7 | 8 |
Марха | - | - | 6 |
Мохсоголлох | - | 6 | 7 |
Нагорный | 8 | 8 | 9 |
Намцы | 6 | 6 | 7 |
Нежданинское | 7 | 8 | 9 |
Нелькан | 8 | 9 | 9 |
Нерюнгри | 8 | 8 | 10 |
Нижнеянск | 9 | 9 | 10 |
Нижний Бестях | 6 | 7 | 8 |
Нижний Куранах | 6 | 6 | 7 |
Оймякон | 7 | 8 | 9 |
Олекминск | - | - | 6 |
Оленегорск | 6 | 6 | 7 |
Ольчан | 8 | 8 | 9 |
Пеледуй | 6 | 7 | 8 |
Покровск | - | 6 | 7 |
Предпорожный | 7 | 8 | 9 |
Сангар | 6 | 7 | 7 |
Сарылах | 8 | 8 | 9 |
Светлый | 7 | 7 | 8 |
Северный | 7 | 8 | 9 |
Серебряный Бор | 8 | 8 | 9 |
Солнечный | 7 | 8 | 9 |
Табага | 6 | 7 | 8 |
Тенкели | 7 | 7 | 8 |
Тикси | 8 | 9 | 10 |
Томмот | - | 6 | 7 |
Торго | 7 | 8 | 8 |
Усть-Куйга | 7 | 8 | 9 |
Усть-Мая | 6 | 6 | 7 |
Усть-Нера | 8 | 9 | 10 |
Хандыга | 6 | 7 | 7 |
Хани | 9 | 9 | 10 |
Хонуу | 7 | 7 | 8 |
Чагда | 6 | 6 | 7 |
Черский | - | 6 | 7 |
Чульман | 7 | 8 | 9 |
Чурапча | 6 | 7 | 8 |
Ыллымах | 6 | 7 | 7 |
Ыныкчан | 7 | 8 | 9 |
Ытык-Кюель | 6 | 6 | 7 |
Эльгинский | 8 | 8 | 9 |
Эльдикан | 6 | 7 | 8 |
Эсэ-Хайя | 7 | 7 | 8 |
Югоренок | 7 | 8 | 9 |
Якутск | 6 | 7 | 8 |
Республика Северная Осетия - Алания |
Алагир | 8 | 9 | 10 |
Ардон | 8 | 9 | 9 |
Архонская | 8 | 9 | 9 |
Беслан | 8 | 9 | 9 |
Бурон | 9 | 9 | 10 |
Верхний Згид | 9 | 9 | 10 |
Верхний Фиагдон | 9 | 9 | 10 |
Владикавказ | 8 | 9 | 10 |
Дигора | 8 | 9 | 9 |
Заводской | 9 | 9 | 10 |
Змейская | 8 | 9 | 9 |
Камбилеевское | 8 | 9 | 9 |
Кизляр | 8 | 8 | 9 |
Луковская | 8 | 8 | 9 |
Мизур | 9 | 9 | 10 |
Михайловское | 8 | 9 | 9 |
Моздок | 8 | 8 | 9 |
Ногир | 8 | 9 | 9 |
Октябрьское | 8 | 9 | 9 |
Садон | 9 | 9 | 10 |
Старый Лексен | 8 | 9 | 9 |
Холст | 9 | 9 | 10 |
Чикола | 8 | 9 | 9 |
Эльхотово | 8 | 9 | 9 |
Республика Татарстан (Татарстан) |
Агрыз | - | - | 6 |
Аксубаево | - | 6 | 7 |
Актюбинский | - | - | 6 |
Алексеевское | - | 6 | 7 |
Альметьевск | - | - | 6 |
Арск | 6 | 6 | 7 |
Богатые Сабы | 6 | 6 | 7 |
Болгар | - | - | 7 |
Буинск | - | - | 6 |
Васильево | 6 | 6 | 7 |
Дербешкинский | - | - | 6 |
Джалиль | - | - | 6 |
Елабуга | - | 6 | 7 |
Заинек | - | 6 | 7 |
Зеленая Роща | - | - | 6 |
Зеленодольск | 6 | 6 | 7 |
Казань | 6 | 6 | 7 |
Камские Поляны | - | 6 | 7 |
Камское Устье | - | 6 | 7 |
Карабаш | - | - | 6 |
Кошки | - | 6 | 7 |
Куйбышевск. Затон | - | - | 7 |
Кукмор | - | 6 | 7 |
Лаишево | - | 6 | 7 |
Лениногорск | - | - | 6 |
Лубяны | - | 6 | 7 |
Мамадыш | 6 | 6 | 7 |
Менделеевск | - | 6 | 7 |
Набережные Челны | - | 6 | 7 |
Нижнекамск | 6 | 6 | 7 |
Нижние Вязовые | 6 | 6 | 7 |
Нижняя Мактама | - | - | 6 |
Нурлат | - | 6 | 7 |
Русский Акташ | - | 6 | 7 |
Сарманово | - | - | 6 |
Тетюши | - | - | 6 |
Чистополь | - | 6 | 7 |
Шемордан | - | 6 | 7 |
Шугурово | - | - | 6 |
Республика Тыва |
Адыр-Кежиг | 8 | 9 | 10 |
Ак-Даш | 8 | 9 | 10 |
Ак-Довурак | 9 | 9 | 10 |
Ак-Дуруг | 8 | 9 | 10 |
Ак-Тал | 8 | 9 | 10 |
Ак-Чыраа | 8 | 9 | 10 |
Ак-Эрик | 8 | 9 | 10 |
Алдан-Маадыр | 8 | 9 | 10 |
Аржаан | 8 | 9 | 10 |
Арыг-Узю | 8 | 9 | 10 |
Арыскан | 8 | 9 | 10 |
Бай-Хаак | 8 | 9 | 10 |
Балгазын | 8 | 9 | 10 |
Барлык | 9 | 9 | 10 |
Баян-Кол | 8 | 9 | 10 |
Баян-Тала | 8 | 9 | 10 |
Белдир-Арыг | 8 | 9 | 10 |
Берт-Даг | 8 | 9 | 10 |
Бижиктиг-Хая | 9 | 9 | 10 |
Бора-Тайга | 8 | 9 | 10 |
Бояровка | 8 | 8 | 10 |
Булун-Бажи | 8 | 9 | 10 |
Булун-Терек | 8 | 9 | 10 |
Бурен-Бай-Хак | 8 | 8 | 10 |
Бурен-Хем | 8 | 8 | 10 |
Владимировка | 8 | 9 | 10 |
Дон-Терезин | 9 | 9 | 10 |
Ий | 8 | 8 | 9 |
Ийи-Тал | 8 | 9 | 10 |
Ийме | 8 | 9 | 10 |
Ильинка | 8 | 8 | 10 |
Ишти-Хем | 8 | 9 | 10 |
Каа-Хем | 8 | 9 | 10 |
Кара-Хаак | 8 | 9 | 10 |
Кара-Холь | 9 | 9 | 10 |
Кок-Хаак | 8 | 8 | 10 |
Кочетово | 8 | 9 | 10 |
Кунгуртуг | 8 | 9 | 10 |
Кундустуг | 8 | 8 | 10 |
Кызыл | 8 | 9 | 10 |
Кызыл-Даг | 9 | 9 | 10 |
Кызыл-Мажалык | 9 | 9 | 10 |
Кызыл-Тайга | 8 | 9 | 10 |
Кызыл-Хая | 9 | 9 | 10 |
Межегей | 8 | 9 | 10 |
Морен | 8 | 9 | 10 |
Мугур-Аксы | 9 | 9 | 10 |
Нарын | 8 | 9 | 10 |
Саглы | 9 | 9 | 10 |
Самагалтай | 8 | 9 | 10 |
Сарыг-Сеп | 8 | 8 | 10 |
Сесерлиг | 8 | 9 | 10 |
Сизим | 8 | 8 | 10 |
Сосновка | 8 | 9 | 10 |
Суг-Бажы | 8 | 8 | 10 |
Суш | 8 | 9 | 10 |
Тарлаг | 8 | 8 | 10 |
Теве-Хая | 8 | 9 | 10 |
Тоора-Хем | 8 | 8 | 10 |
Торгалыг | 8 | 9 | 10 |
Туран | 8 | 8 | 10 |
Тээли | 9 | 9 | 10 |
Успенка | 8 | 9 | 10 |
Усть-Бурен | 8 | 8 | 10 |
Усть-Элегест | 8 | 9 | 10 |
Уюк | 8 | 9 | 10 |
Хадын | 8 | 9 | 10 |
Хайыракан | 8 | 9 | 10 |
Хандагайты | 8 | 9 | 10 |
Хову-Аксы | 8 | 9 | 10 |
Холь-Оожу | 8 | 9 | 10 |
Хонделен | 9 | 9 | 10 |
Хондергей | 8 | 9 | 10 |
Хорум-Даг | 8 | 9 | 10 |
Хут | 8 | 8 | 9 |
Целинное | 8 | 8 | 10 |
Чаа-Суур | 8 | 9 | 10 |
Чадан | 8 | 9 | 10 |
Чазылар | 8 | 8 | 9 |
Чал-Кежиг | 8 | 9 | 10 |
Черби | 8 | 9 | 10 |
Чодураа | 8 | 9 | 10 |
Шагонар | 8 | 9 | 10 |
Шамбалыг | 8 | 8 | 10 |
Шанчы | 8 | 9 | 10 |
Шекпээр | 9 | 9 | 10 |
Шеми | 8 | 9 | 10 |
Шуурмак | 8 | 9 | 10 |
Ырбан | 8 | 8 | 9 |
Элегест | 8 | 9 | 10 |
Ээрбек | 8 | 9 | 10 |
Эрги-Барлык | 9 | 9 | 10 |
Эрзин | 8 | 9 | 10 |
Республика Хакасия |
Абаза | 7 | 8 | 9 |
Абакан | 7 | 7 | 8 |
Аскиз | 7 | 7 | 8 |
Балыкса | 7 | 7 | 8 |
Бельтырское | 7 | 8 | 8 |
Бея | 7 | 8 | 8 |
Бирикчуль | 7 | 7 | 8 |
Бискамжа | 7 | 7 | 8 |
Вершина Тея | 7 | 7 | 8 |
Жемчужный | 6 | 7 | 8 |
Коммунар | 6 | 7 | 8 |
Копьево | 6 | 7 | 8 |
Майна | 7 | 8 | 9 |
Майнагашев | 7 | 7 | 8 |
Пригорск | 7 | 7 | 8 |
Приисковый | 6 | 7 | 8 |
Саяногорск | 7 | 8 | 8 |
Сонский | 7 | 7 | 8 |
Сорск | 7 | 7 | 8 |
Туим | 6 | 7 | 8 |
Усть-Абакан | 7 | 7 | 8 |
Черемушки | 7 | 8 | 9 |
Черногорск | 7 | 7 | 8 |
Шира | 6 | 7 | 8 |
Чеченская Республика - Ичкерия |
Аргун | 8 | 9 | 10 |
Ачхой-Мартан | 9 | 9 | 10 |
Горагорский | 8 | 9 | 9 |
Гременчук | 9 | 9 | 10 |
Грозный | 8 | 9 | 10 |
Гудермес | 8 | 9 | 9 |
Знаменское | 8 | 8 | 9 |
Ищерская | 8 | 8 | 9 |
Катыр-Юрт | 9 | 9 | 10 |
Курчалой | 8 | 9 | 10 |
Лаха Невре | 8 | 8 | 9 |
Наурская | 8 | 8 | 9 |
Ойсхара | 8 | 9 | 10 |
Старые Атаги | 9 | 9 | 10 |
Старая Сунжа | 8 | 9 | 9 |
Толстой Юрт | 8 | 9 | 9 |
Урус-Мартан | 9 | 9 | 10 |
Цоцин-Юрт | 8 | 9 | 10 |
Чири-Юрт | 9 | 9 | 10 |
Шали | 9 | 9 | 10 |
Щелковская | 8 | 8 | 9 |
Чувашская Республика - Чаваш республики |
Вурнары | - | - | 6 |
Канаш | - | - | 6 |
Козловка | 6 | 6 | 7 |
Кугеси | 6 | 6 | 7 |
Мариинский Посад | 6 | 6 | 7 |
Новочебоксарск | 6 | 6 | 7 |
Сосновка | 6 | 6 | 7 |
Урмары | - | 6 | 6 |
Цивильск | 6 | 6 | 7 |
Чебоксары | 6 | 6 | 7 |
Ядрин | - | 6 | 7 |
|
Алтайский край |
Алейск | 7 | 7 | 8 |
Алтайский | 8 | 8 | 9 |
Баево | 6 | 6 | 8 |
Барнаул | 6 | 7 | 8 |
Белоярск | 6 | 7 | 8 |
Бийск | 7 | 8 | 9 |
Благовещенка | 6 | 6 | 7 |
Боровиха | 6 | 7 | 8 |
Боровлянка | 7 | 7 | 8 |
Бурсоль | - | 6 | 7 |
Быстрый Исток | 7 | 8 | 9 |
Волчиха | 6 | 6 | 7 |
Горняк | 6 | 7 | 8 |
Завьялово | 6 | 6 | 8 |
Залесово | 6 | 7 | 8 |
Заринск | 6 | 7 | 8 |
Затон | 6 | 7 | 8 |
Змеиногорск | 7 | 7 | 8 |
Камень-на-Оби | 6 | 7 | 8 |
Ключи | 6 | 6 | 7 |
Косиха | 7 | 7 | 8 |
Красногорское | 7 | 8 | 9 |
Краснощеково | 7 | 8 | 9 |
Кулунда | - | 6 | 7 |
Майма | 8 | 8 | 9 |
Малиновое Озеро | 6 | 6 | 7 |
Мамонтово | 6 | 7 | 8 |
Михайловское | 6 | 6 | 7 |
Научный Городок | 6 | 7 | 8 |
Новоалтайск | 6 | 7 | 8 |
Новоегорьевское | 6 | 7 | 8 |
Новосиликатный | 6 | 7 | 8 |
Павловск | 6 | 7 | 8 |
Поспелиха | 7 | 7 | 8 |
Ребриха | 6 | 7 | 8 |
Родино | 6 | 6 | 7 |
Романово | 6 | 7 | 8 |
Рубцовск | 6 | 7 | 8 |
Сибирский | 6 | 7 | 8 |
Славгород | - | 6 | 7 |
Смоленское | 7 | 8 | 9 |
Советское | 7 | 8 | 9 |
Соколово | 7 | 8 | 9 |
Сорокино | 7 | 8 | 9 |
Степное Озеро | 6 | 6 | 7 |
Тальменка | 6 | 7 | 8 |
Тогул | 7 | 7 | 8 |
Топчиха | 7 | 7 | 8 |
Троицкое | 7 | 8 | 9 |
Тюменцево | 6 | 7 | 8 |
Тягун | 6 | 7 | 8 |
Целинное | 7 | 7 | 8 |
Черемное | 6 | 7 | 8 |
Шипуново | 7 | 8 | 9 |
Южный | 6 | 7 | 8 |
Яровое | - | 6 | 7 |
Краснодарский край |
Абинск | 8 | 8 | 9 |
Абрау-Дюрсо | 8 | 9 | 9 |
Анапа | 8 | 9 | 9 |
Апшеронск | 8 | 8 | 9 |
Армавир | 7 | 7 | 8 |
Архипо-Осиповка | 8 | 9 | 9 |
Афипский | 8 | 8 | 9 |
Ахтырский | 8 | 8 | 9 |
Ачуево | 7 | 7 | 8 |
Белая Глина | 6 | 6 | 7 |
Белореченск | 7 | 8 | 9 |
Брюховецкая | 7 | 7 | 7 |
Верхнебаканский | 8 | 9 | 9 |
Витязево | 8 | 9 | 9 |
Владимирская | 7 | 8 | 8 |
Выселки | 6 | 7 | 8 |
Гайдук | 8 | 9 | 9 |
Геленджик | 8 | 9 | 9 |
Гирей | 6 | 7 | 7 |
Горячий Ключ | 8 | 8 | 9 |
Гулькевичи | 6 | 7 | 7 |
Джубга | 8 | 9 | 9 |
Динская | 7 | 7 | 8 |
Ейск | 6 | 6 | 7 |
Ильский | 8 | 8 | 9 |
Кабардинка | 8 | 9 | 9 |
Кавказская | 6 | 7 | 7 |
Калинино | 7 | 8 | 8 |
Каневская | 6 | 6 | 7 |
Коноково | 7 | 7 | 8 |
Кореновск | 7 | 7 | 8 |
Красная Поляна | 8 | 9 | 10 |
Краснодар | 7 | 8 | 9 |
Красносельский | 6 | 7 | 7 |
Кропоткин | 6 | 7 | 7 |
Крыловская | 6 | 6 | 7 |
Крымск | 8 | 8 | 9 |
Курганинск | 7 | 7 | 8 |
Курчанская | 8 | 8 | 9 |
Кутаис | 8 | 8 | 9 |
Кущевская | 6 | 6 | 7 |
Лабинск | 7 | 8 | 8 |
Ленинградская | 6 | 6 | 7 |
Мостовской | 7 | 8 | 9 |
Нефтегорск | 8 | 8 | 9 |
Нижнебаканский | 8 | 9 | 9 |
Новокубанск | 7 | 7 | 7 |
Новоминская | 6 | 6 | 7 |
Новомихайловский | 8 | 9 | 9 |
Новопокровская | 6 | 6 | 7 |
Новороссийск | 8 | 9 | 9 |
Октябрьская | 6 | 6 | 7 |
Отрадная | 7 | 8 | 8 |
Павловская | 6 | 6 | 7 |
Пашковский | 7 | 8 | 9 |
Полтавская | 7 | 8 | 8 |
Приморско-Ахтарск | 7 | 7 | 8 |
Псебай | 8 | 8 | 9 |
Северская | 8 | 8 | 9 |
Славянск-на-Кубани | 8 | 8 | 9 |
Сочи | 8 | 9 | 9 |
Староминская | 6 | 6 | 7 |
Старощербиновская | 6 | 6 | 7 |
Тамань | 8 | 9 | 9 |
Тбилисская | 6 | 7 | 7 |
Темрюк | 8 | 8 | 9 |
Тимашевск | 7 | 7 | 8 |
Тихорецк | 6 | 6 | 7 |
Троицкая | 8 | 8 | 9 |
Туапсе | 8 | 9 | 9 |
Успенское | 7 | 7 | 8 |
Усть-Лабинск | 7 | 7 | 8 |
Хадыженск | 8 | 8 | 9 |
Холмская | 8 | 8 | 9 |
Черноморский | 8 | 8 | 9 |
Красноярский край |
Абан | - | 6 | 6 |
Агинское | 6 | 7 | 8 |
Артемовск | 6 | 7 | 8 |
Ачинск | - | 6 | 7 |
Балахта | 6 | 7 | 8 |
Березовка | 6 | 6 | 7 |
Боготол | 6 | 6 | 7 |
| | В "Бюллетене строительной техники" N 11, 2008 опубликованы изменения для населенных пунктов Богучаны, Кодинск и Мотыгино для степени С: исходная сейсмичность снижена на один балл. | |
|
Богучаны | - | 6 | 7 |
Большая Мурта | - | - | 6 |
Большая Ирба | 7 | 7 | 8 |
Бородино | 6 | 7 | 8 |
Горячегорск | 6 | 6 | 7 |
Дзержинское | - | - | 6 |
Дивногорск | 6 | 6 | 7 |
Дубинино | 6 | 6 | 7 |
Емельяново | 6 | 6 | 7 |
Ермаковское | 7 | 8 | 8 |
Железногорск | 6 | 6 | 7 |
Заозерный | 6 | 6 | 8 |
Зеленогорск | 6 | 6 | 7 |
Зеленый Бор | 7 | 7 | 8 |
Идринское | 7 | 7 | 8 |
Иланский | 6 | 6 | 8 |
Ирша | 6 | 6 | 8 |
Канск | 6 | 6 | 8 |
Каратузское | 7 | 7 | 8 |
Кедровый | 6 | 6 | 7 |
| | В "Бюллетене строительной техники" N 11, 2008 опубликованы изменения для населенных пунктов Богучаны, Кодинск и Мотыгино для степени С: исходная сейсмичность снижена на один балл. | |
|
Кодинск | - | 6 | 7 |
Козулька | 6 | 6 | 7 |
Копьево | 6 | 7 | 8 |
Кошурниково | 6 | 7 | 8 |
Краснокаменск | 6 | 7 | 8 |
Краснотуранск | 7 | 7 | 8 |
Красноярск | 6 | 6 | 8 |
Курагино | 7 | 7 | 8 |
Мазульский | 6 | 6 | 7 |
Майна | 7 | 8 | 9 |
Минусинск | 7 | 7 | 8 |
| | В "Бюллетене строительной техники" N 11, 2008 опубликованы изменения для населенных пунктов Богучаны, Кодинск и Мотыгино для степени С: исходная сейсмичность снижена на один балл. | |
|
Мотыгино | - | 6 | 7 |
Назарово | 6 | 6 | 7 |
Нижний Ингаш | 6 | 6 | 7 |
Нижняя Пойма | 6 | 6 | 7 |
Новоселово | 6 | 7 | 8 |
Новочернореченский | 6 | 6 | 7 |
Овсянка | 6 | 6 | 8 |
Октябрьский | - | - | 6 |
Памяти 13 Борцов | 6 | 6 | 7 |
Предивинск | - | - | 6 |
Раздолинск | - | 6 | 6 |
Рассвет | - | - | 6 |
Саянский | 6 | 7 | 8 |
Солнечный | 6 | 6 | 7 |
Сосновоборск | 6 | 6 | 7 |
Стрелка | - | - | 6 |
Сухобузимское | - | 6 | 7 |
Таежный | 6 | 6 | 7 |
Тасеево | - | - | 6 |
Тинской | 6 | 6 | 7 |
Тюхтет | - | - | 7 |
Ужур | 6 | 6 | 8 |
Урал | 6 | 6 | 8 |
Уяр | 6 | 7 | 8 |
Филимоново | 6 | 6 | 8 |
Чибижек | 6 | 7 | 8 |
Шарыпово | 6 | 6 | 7 |
Шушенское | 7 | 7 | 8 |
Приморский край |
Анучино | 6 | 6 | 7 |
Арсеньев | 6 | 6 | 7 |
Артемовский | 6 | 6 | 7 |
Большой Камень | 6 | 6 | 7 |
Владивосток | 6 | 6 | 7 |
Восток | 7 | 7 | 8 |
Врангель | 6 | 7 | 8 |
Высокогорск | 7 | 7 | 8 |
Горнореченский | 7 | 7 | 8 |
Горные Ключи | 6 | 6 | 7 |
Горный | 6 | 6 | 7 |
Дальнегорск | 7 | 7 | 8 |
Дальнереченск | 6 | 7 | 8 |
Дунай | 6 | 6 | 7 |
Заводской | 6 | 6 | 7 |
Зарубино | 6 | 6 | 7 |
Кавалерово | 7 | 7 | 8 |
Каменка | 7 | 7 | 8 |
Кировский | 6 | 6 | 7 |
Краскино | 6 | 6 | 7 |
Краснореченский | 7 | 7 | 8 |
Лесозаводск | 6 | 6 | 7 |
Ливадия | 6 | 6 | 7 |
Липовцы | 6 | 6 | 7 |
Лучегорск | 6 | 7 | 8 |
Михайловка | 6 | 6 | 7 |
Находка | 6 | 7 | 8 |
Новошахтинский | 6 | 6 | 7 |
Новый | 6 | 6 | 7 |
Ольга | 7 | 7 | 8 |
Партизанск | 6 | 7 | 8 |
Пластун | 7 | 7 | 8 |
Пограничный | 6 | 6 | 7 |
Покровка | 6 | 6 | 7 |
Попова | 6 | 6 | 7 |
Посьет | 6 | 6 | 7 |
Преображение | 7 | 8 | 8 |
Приморский | 6 | 6 | 7 |
Путятин | 6 | 6 | 7 |
Раздольное | 6 | 6 | 7 |
Реттиховка | 6 | 6 | 7 |
Рудный | 7 | 7 | 8 |
Русский | 6 | 6 | 7 |
Светлая | 7 | 7 | 8 |
Сибирцево | 6 | 6 | 7 |
Славянка | 6 | 6 | 7 |
Смоляниново | 6 | 6 | 7 |
Спасск-Дальний | 6 | 6 | 7 |
Тавричанка | 6 | 6 | 7 |
Терней | 7 | 7 | 8 |
Тигровой | 6 | 7 | 8 |
Трудовое | 6 | 6 | 7 |
Углекаменск | 6 | 7 | 8 |
Угловое | 6 | 6 | 7 |
Уссурийск | 6 | 6 | 7 |
Фокино | 6 | 6 | 7 |
Хасан | 6 | 6 | 7 |
Хороль | 6 | 6 | 7 |
Хрустальный | 7 | 7 | 8 |
Черниговка | 6 | 6 | 7 |
Шкотово | 6 | 6 | 7 |
Ярославский | 6 | 6 | 7 |
Ставропольский край |
Александрийская | 8 | 8 | 9 |
Александровское | 7 | 7 | 8 |
Анджиевский | 8 | 8 | 9 |
Арзгир | 6 | 6 | 7 |
Архангельское | 7 | 7 | 8 |
Ачикулак | 6 | 7 | 8 |
Барсуковская | 7 | 8 | 8 |
Безопасное | 6 | 6 | 7 |
Буденновск | 6 | 7 | 7 |
Величаевское | 6 | 6 | 7 |
Винсады | 8 | 8 | 9 |
Георгиевск | 8 | 8 | 9 |
Георгиевская | 8 | 8 | 9 |
Горячеводский | 8 | 8 | 9 |
Гофицкое | 6 | 7 | 7 |
Грачевка | 7 | 7 | 7 |
Дивное | - | 6 | 6 |
Донское | 6 | 6 | 7 |
Ессентуки | 8 | 8 | 9 |
Железноводск | 8 | 8 | 9 |
Затеречный | 6 | 6 | 7 |
Зеленокумск | 7 | 7 | 8 |
Изобильный | 6 | 7 | 7 |
Иноземцево | 8 | 8 | 9 |
Ипатово | 6 | 6 | 7 |
Казьминское | 7 | 8 | 8 |
Кисловодск | 8 | 8 | 9 |
Константиновское | 6 | 6 | 7 |
Кочубеевское | 7 | 8 | 8 |
Красногвардейское | 6 | 6 | 7 |
Краснокумское | 8 | 8 | 9 |
Кугульта | 6 | 6 | 7 |
Курсавка | 8 | 8 | 9 |
Курская | 7 | 8 | 8 |
Ладовская Балка | 6 | 6 | 7 |
Левокумка | 8 | 8 | 9 |
Левокумское | 6 | 7 | 7 |
Лермонтов | 8 | 8 | 9 |
Летняя Ставка | 6 | 6 | 7 |
Лысогорская | 8 | 8 | 9 |
Минеральные Воды | 8 | 8 | 9 |
Московское | 6 | 7 | 8 |
Надежда | 7 | 7 | 8 |
Незлобная | 8 | 8 | 9 |
Нефтекумск | 6 | 7 | 7 |
Новоалександровск | 6 | 7 | 7 |
Новопавловск | 8 | 8 | 9 |
Новоселицкое | 7 | 7 | 8 |
Новотроицкая | 6 | 7 | 7 |
Обильное | 7 | 8 | 8 |
Пелагиада | 7 | 7 | 8 |
Покойное | 6 | 7 | 7 |
Прасковея | 6 | 7 | 7 |
Пятигорск | 8 | 8 | 9 |
Расшеватская | 6 | 6 | 7 |
Рыздвяный | 6 | 7 | 8 |
Светлоград | 6 | 6 | 7 |
Свободы | 8 | 8 | 9 |
Советская | 8 | 8 | 8 |
Солнечнодольск | 6 | 7 | 7 |
Ставрополь | 7 | 7 | 8 |
Старомарьевка | 7 | 7 | 8 |
Степное | 7 | 7 | 8 |
Суворовская | 8 | 8 | 9 |
Татарка | 7 | 7 | 8 |
Труновское | 6 | 6 | 7 |
Чернолесское | 7 | 7 | 8 |
Шпаковское | 7 | 7 | 8 |
Эдиссия | 7 | 8 | 8 |
Юца | 8 | 8 | 9 |
Хабаровский край |
Аим | 6 | 6 | 7 |
Алгазея | 7 | 8 | 9 |
Амурск | 6 | 7 | 8 |
Анастасьевка | 6 | 6 | 7 |
Арка | 7 | 7 | 8 |
Арсеньево | 6 | 7 | 8 |
Аян | 7 | 7 | 8 |
Бельго | 6 | 7 | 8 |
Березовый | 7 | 8 | 8 |
Бикин | 6 | 7 | 8 |
Благодатное | 6 | 6 | 7 |
Богородское | 7 | 8 | 8 |
Бойцово | 6 | 7 | 8 |
Боктор | 6 | 7 | 8 |
Болонь | 6 | 7 | 8 |
Большая Картель | 6 | 7 | 8 |
Большие Санники | 8 | 8 | 9 |
Бриакан | 7 | 7 | 8 |
Булава | 7 | 8 | 9 |
Булгин | 7 | 7 | 8 |
Бычиха | 6 | 6 | 7 |
Ванино | 7 | 8 | 9 |
Венюково | 6 | 6 | 8 |
Верхнетамбовское | 6 | 7 | 8 |
Верхний Нерген | 6 | 7 | 7 |
Верхняя Манома | 6 | 7 | 8 |
Верхняя Эконь | 6 | 7 | 8 |
Видное | 6 | 6 | 8 |
Виноградовка | 6 | 6 | 8 |
Владимировка | 7 | 8 | 8 |
Власьево | 8 | 8 | 9 |
Вознесенское | 6 | 7 | 8 |
Высокогорный | 7 | 8 | 8 |
Вяземский | 6 | 6 | 8 |
Гайтер | 6 | 7 | 8 |
Галичный | 6 | 7 | 8 |
Гаровка | 6 | 6 | 7 |
Гатка | 7 | 8 | 9 |
Гвасюги | 7 | 7 | 8 |
Георгиевка | 6 | 6 | 7 |
Глебово | 6 | 6 | 8 |
Горин | 7 | 7 | 8 |
Горный | 7 | 7 | 8 |
Гурское | 7 | 7 | 8 |
Дада | 6 | 7 | 7 |
Даппы | 6 | 7 | 8 |
Датта | 8 | 8 | 9 |
Де-Кастри | 8 | 8 | 9 |
Джигда | 7 | 7 | 8 |
Джонка | 6 | 7 | 7 |
Джуен | 6 | 7 | 8 |
Добролюбово | 6 | 6 | 8 |
Долми | 6 | 7 | 8 |
Дормидонтовка | 6 | 6 | 8 |
Дружба | 6 | 6 | 7 |
Дубовый Мыс | 6 | 7 | 7 |
Дуди | 7 | 8 | 8 |
Дуки | 7 | 8 | 8 |
Дурмин | 6 | 6 | 7 |
Забайкальское | 6 | 6 | 8 |
Заветы Ильича | 7 | 8 | 9 |
Золотой | 6 | 7 | 8 |
Известковый | 6 | 7 | 8 |
Ильинка | 6 | 7 | 7 |
Имени Полины | 7 | 8 | 8 |
Осипенко | | | |
Имени Тельмана | 6 | 6 | 7 |
Иннокентьевка | 7 | 8 | 8 |
Казакевичево | 6 | 6 | 7 |
Калиновка | 7 | 8 | 9 |
Кальма | 7 | 8 | 8 |
Капитоновка | 6 | 6 | 8 |
Кедрово | 6 | 6 | 8 |
Кенада | 7 | 8 | 8 |
Кенай | 7 | 8 | 8 |
Киселевка | 7 | 8 | 9 |
Князе-Волконское | 6 | 6 | 7 |
Кольчем | 7 | 8 | 8 |
Комсомольск-на-Амуре | 6 | 7 | 8 |
Константиновка | 8 | 8 | 8 |
Корсаково-1 | 6 | 6 | 7 |
Корфовский | 6 | 6 | 7 |
Котиково | 6 | 6 | 8 |
Красицкое | 6 | 6 | 8 |
Красное | 8 | 8 | 9 |
Кругликово | 6 | 6 | 7 |
Кукан | 7 | 8 | 9 |
Кукелево | 6 | 6 | 7 |
Лазарев | 8 | 9 | 9 |
Лермонтовка | 6 | 6 | 8 |
Лесопильное | 6 | 7 | 8 |
Лидога | 6 | 7 | 7 |
Литовко | 6 | 7 | 8 |
Лончаково | 6 | 6 | 8 |
Лососина | 8 | 8 | 9 |
Маго | 7 | 8 | 8 |
Майский | 7 | 8 | 9 |
Малая Сидима | 6 | 7 | 8 |
Малышево | 6 | 6 | 7 |
Мариинское | 7 | 8 | 9 |
Марусино | 6 | 6 | 7 |
Медвежий | 6 | 6 | 8 |
Многовершинный | 7 | 7 | 8 |
Могилевка | 6 | 6 | 7 |
Молодежный | 6 | 7 | 8 |
Монгохто | 7 | 8 | 9 |
Мухен | 6 | 7 | 8 |
Найхин | 6 | 7 | 7 |
Наумовка | 7 | 8 | 9 |
Некрасовка | 6 | 6 | 7 |
Нелькан | 7 | 7 | 9 |
Нигирь | 8 | 8 | 9 |
Нижнее Пронге | 8 | 8 | 9 |
Нижнетамбовское | 7 | 7 | 9 |
Нижние Халбы | 7 | 7 | 8 |
Нижняя Гавань | 7 | 8 | 8 |
Николаевск-на-Амуре | 8 | 8 | 8 |
Новая Иня | 7 | 7 | 8 |
Новое Устье | 7 | 7 | 8 |
Новоильиновка | 7 | 8 | 9 |
Новокуровка | 6 | 7 | 8 |
Новый Мир | 6 | 7 | 8 |
Новый Ургал | 7 | 8 | 9 |
Обор | 6 | 6 | 7 |
Озерпах | 8 | 8 | 9 |
Октябрьский | 7 | 8 | 8 |
Омми | 6 | 7 | 8 |
Орель-Чля | 7 | 7 | 8 |
Оремиф | 8 | 8 | 9 |
Осиновая Речка | 6 | 6 | 7 |
Отрадное | 6 | 6 | 8 |
Охотск | 7 | 7 | 8 |
Переяславка | 6 | 6 | 7 |
Петропавловка | 6 | 6 | 7 |
Пивань | 6 | 7 | 8 |
Победа | 7 | 7 | 8 |
Покровка | 6 | 7 | 8 |
Полетное | 6 | 6 | 7 |
Приамурский | 6 | 6 | 7 |
Пуир | 8 | 8 | 9 |
Ракитное | 6 | 6 | 7 |
Резиденция | 7 | 7 | 8 |
Решающий | 7 | 8 | 9 |
Савинское | 7 | 8 | 8 |
Санболи | 6 | 7 | 8 |
Святогорье | 6 | 6 | 7 |
Селихино | 6 | 7 | 8 |
Сергеевка | 6 | 6 | 7 |
Сикачи-Алян | 6 | 6 | 7 |
Синда | 6 | 6 | 7 |
Сита | 6 | 6 | 7 |
Советская Гавань | 8 | 8 | 9 |
Согда | 8 | 8 | 9 |
Солнечный | 7 | 7 | 8 |
Солонцы | 7 | 8 | 8 |
Софийск | 7 | 8 | 9 |
Среднехорский | 7 | 7 | 8 |
Средний Ургал | 7 | 8 | 9 |
Сусанино | 7 | 8 | 8 |
Тавлинка | 7 | 8 | 8 |
Тахта | 7 | 8 | 8 |
Тором | 7 | 8 | 9 |
Троицкое | 6 | 7 | 7 |
Тугур | 7 | 8 | 9 |
Тулучи | 7 | 8 | 9 |
Тумнин | 7 | 8 | 9 |
Тыр | 7 | 8 | 8 |
Тырма | 8 | 8 | 9 |
Удинск | 7 | 8 | 8 |
Удское | 7 | 8 | 9 |
Уктур | 7 | 8 | 8 |
Улика-Национальное | 6 | 7 | 8 |
Усть-Ургал | 7 | 8 | 9 |
Уська-Орочская | 7 | 8 | 9 |
Ухта | 7 | 8 | 8 |
Хабаровск | 6 | 6 | 7 |
Харпичан | 7 | 7 | 8 |
Херпучи | 7 | 8 | 8 |
Хор | 6 | 6 | 7 |
Хурба | 6 | 7 | 8 |
Хурмули | 6 | 7 | 8 |
Циммермановка | 7 | 8 | 9 |
Чегдомын | 7 | 8 | 9 |
Чекунда | 7 | 8 | 9 |
Челны | 6 | 6 | 7 |
Черная Речка | 6 | 6 | 7 |
Черняево | 6 | 6 | 7 |
Чля | 7 | 8 | 8 |
Чумикан | 7 | 8 | 9 |
Шахтинский | 7 | 8 | 9 |
Шереметьево | 6 | 6 | 8 |
Шумный | 6 | 6 | 8 |
Эворон | 7 | 8 | 8 |
Эльбан | 6 | 7 | 8 |
Ягодный | 7 | 8 | 9 |
|
Амурская область |
Архара | 7 | 7 | 8 |
Белогорск | 6 | 6 | 7 |
Белогорье | 6 | 6 | 7 |
Березовка | 6 | 6 | 7 |
Благовещенск | 6 | 6 | 7 |
Богородское | 6 | 6 | 7 |
Бурея | 6 | 7 | 8 |
Варваровка | 6 | 6 | 7 |
Волково | 6 | 6 | 7 |
Грибское | 6 | 6 | 7 |
Дмитриевка | 6 | 6 | 7 |
Ерофей Павлович | 7 | 7 | 8 |
Завитинск | 6 | 7 | 7 |
Зея | 7 | 8 | 9 |
Златоустовск | 7 | 7 | 8 |
Ивановка | 6 | 6 | 7 |
Игнатьево | 6 | 6 | 7 |
Коболдо | 7 | 7 | 9 |
Константиновка | 6 | 7 | 7 |
Лермонтовка | 6 | 6 | 7 |
Лозовое | 6 | 6 | 7 |
Магдагачи | 7 | 7 | 8 |
Майский | 6 | 6 | 7 |
Марково | 6 | 6 | 7 |
Михайловка | 6 | 6 | 7 |
Моховая Пядь | 6 | 6 | 7 |
Невер | 7 | 8 | 8 |
Николаевка | 6 | 6 | 7 |
Новобурейский | 6 | 7 | 8 |
Новорайчихинск | 6 | 7 | 7 |
Новотроицкое | 6 | 6 | 7 |
Огоджа | 7 | 7 | 9 |
Петропавловка | 6 | 6 | 7 |
Поярково | 6 | 7 | 7 |
Прогресс | 6 | 7 | 8 |
Раздольное | 6 | 6 | 7 |
Райчихинск | 6 | 7 | 7 |
Садовое | 6 | 6 | 7 |
Свободный | 6 | 6 | 7 |
Семиозерка | 6 | 6 | 7 |
Серышево | 6 | 6 | 7 |
Сиваки | 6 | 7 | 7 |
Сковородино | 7 | 7 | 8 |
Солнечное | 6 | 6 | 7 |
Соловьевск | 7 | 8 | 9 |
Стойба | 7 | 7 | 9 |
Талакан | 6 | 7 | 8 |
Талдан | 7 | 7 | 8 |
Тамбовка | 6 | 6 | 7 |
Тахтамыгда | 7 | 8 | 8 |
Токур | 7 | 7 | 9 |
Толстовка | 6 | 6 | 7 |
Тында | 7 | 8 | 9 |
Уруша | 7 | 7 | 8 |
Усть-Ивановка | 6 | 6 | 7 |
Ушумун | 6 | 7 | 7 |
Февральск | 6 | 7 | 8 |
Черемхово | 6 | 6 | 7 |
Чигири | 6 | 6 | 7 |
Шимановск | 6 | 7 | 7 |
Широкий | 6 | 7 | 7 |
Экимчан | 7 | 7 | 9 |
Архангельская область |
Авнюгский | - | 6 | 7 |
Алферовская | - | - | 6 |
Андриановская | 6 | 6 | 7 |
Анциферовский Бор | - | - | 6 |
Архангельск | 6 | 6 | 8 |
Белогорский | 6 | 6 | 7 |
Березник | - | 6 | 7 |
Березонаволок | - | - | 6 |
Боброво | 6 | 6 | 7 |
Большая | - | - | 7 |
Бурцевская | - | 6 | 7 |
Бычье | - | - | 7 |
Важский | - | 6 | 7 |
Веркола | - | 6 | 7 |
Верхняя Золотица | - | - | 7 |
Верхняя Тойма | - | - | 7 |
Вожгора | - | - | 6 |
Вознесенье | 6 | 6 | 7 |
Воронцы | - | 6 | 7 |
Вычегодский | - | - | 6 |
Гридинская | - | 6 | 7 |
Двинской | - | - | 7 |
Долгощелье | 6 | 6 | 7 |
Дорогорское | 6 | 6 | 7 |
Дубровская | - | - | 6 |
Емца | - | - | 6 |
Жердь | 6 | 6 | 7 |
Заболотье | - | 6 | 7 |
Занюхча | - | - | 6 |
Заручей | 6 | 6 | 7 |
Зеленник | - | 6 | 7 |
Ивановское | - | - | 6 |
Илеза | - | - | 6 |
Исаковская | - | - | 7 |
Кадыевская | - | - | 6 |
Каменка | 6 | 6 | 7 |
Карпогоры | 6 | 6 | 7 |
Карьеполье | - | 6 | 6 |
Катунино | - | 6 | 7 |
Кеврола | 6 | 6 | 7 |
Кизема | - | - | 6 |
Кобелево | 6 | 6 | 7 |
Кодино | - | - | 6 |
Козьмогородское | 6 | 6 | 7 |
Койда | 6 | 6 | 7 |
Койнас | - | - | 6 |
Комсомольский | - | - | 6 |
Конецгорье | - | 6 | 7 |
Копачево | - | 6 | 7 |
Коряжма | - | - | 6 |
Котлас | - | - | 6 |
Кузомень | 6 | 6 | 7 |
Куимиха | - | - | 6 |
Куликово | - | - | 6 |
Кушкопала | - | 6 | 7 |
Лампожня | 6 | 6 | 7 |
Левоплосская | - | - | 6 |
Летнеозерский | - | - | 6 |
Летний Наволок | - | 6 | 7 |
Летняя Золотица | - | 6 | 7 |
Лешуконское | 6 | 6 | 7 |
Лойга | - | - | 6 |
Ломоносово | 6 | 6 | 7 |
Лопшеньга | - | 6 | 7 |
Луковецкий | 6 | 6 | 7 |
Малошуйка | - | - | 6 |
Медведка | - | - | 6 |
Мезень | 6 | 6 | 7 |
Мирный | - | - | 6 |
Мосеево | - | - | 6 |
Мудьюга | - | - | 6 |
Нижняя Золотица | - | 6 | 7 |
Никифоровская | - | - | 6 |
Нименьга | - | - | 6 |
Новолавела | - | 6 | 7 |
Новодвинск | 6 | 6 | 7 |
Носовская | - | - | 6 |
Обозерский | - | - | 6 |
Одиночка | 6 | 6 | 7 |
Одинцовская | - | - | 6 |
Окуловская | - | - | 6 |
Олема | - | 6 | 7 |
Онега | - | - | 6 |
Осиново | - | 6 | 7 |
Патракеевка | 6 | 6 | 8 |
Пертоминск | - | 6 | 7 |
Петрова | - | 6 | 7 |
Пинега | - | 6 | 7 |
Плесецк | - | - | 6 |
Подволочье | - | - | 6 |
Порог | - | - | 6 |
Посад | - | - | 6 |
Приводино | - | - | 6 |
Прилуки | - | - | 6 |
Пуксоозеро | - | - | 6 |
Раковская | - | - | 6 |
Ровдино | - | - | 6 |
Рочегда | - | 6 | 7 |
Рыбогорская | - | - | 6 |
Савватия | - | - | 6 |
Савинский | - | - | 6 |
Самодед | - | 6 | 7 |
Сафоново | - | 6 | 7 |
Светлый | - | 6 | 7 |
Северодвинск | - | 6 | 7 |
Семеновская 1-я | - | 6 | 7 |
Синники | - | 6 | 6 |
Согра | - | - | 6 |
Сольвычегодск | - | - | 6 |
Сояна | - | 6 | 6 |
Строевское | - | - | 6 |
Сура | - | 6 | 7 |
Талаги | 6 | 6 | 8 |
Тамица | - | - | 6 |
Топса | - | 6 | 7 |
Труфанова | - | 6 | 7 |
Удимский | - | - | 6 |
Уемский | 6 | 6 | 8 |
Уйта | - | 6 | 7 |
Усть-Ваеньга | - | 6 | 7 |
Усть-Кожа | - | - | 6 |
Усть-Паденьга | - | - | 6 |
Усть-Пинега | - | 6 | 7 |
Федотовская | - | - | 6 |
Харитоново | - | - | 6 |
Харлово | - | 6 | 7 |
Хачела | - | - | 6 |
Холмогоры | - | 6 | 7 |
Хомяковская | 6 | 6 | 7 |
Хорьково | 6 | 6 | 7 |
Ценогора | - | - | 7 |
Часовенская | - | 6 | 7 |
Черевково | - | 6 | 7 |
Черемушский | - | - | 6 |
Черный Ручей | - | - | 7 |
Чикинская | - | 6 | 7 |
Шеговары | - | 6 | 7 |
Шенкурск | - | - | 6 |
Шидрово | - | 6 | 7 |
Шипицыно | - | - | 7 |
Щипуновская | - | - | 6 |
Шотогорка | 6 | 6 | 7 |
Юрома | 6 | 6 | 7 |
Яковлевская | - | 6 | 7 |
Астраханская область |
Астрахань | - | - | 6 |
Ахтубинск | - | 6 | 7 |
Верхний Баскунчак | - | 6 | 7 |
Волго-Каспийский | - | - | 6 |
Володарский | - | - | 6 |
Енотаевка | - | 6 | 7 |
Знаменск | - | 6 | 7 |
Икряное | - | - | 6 |
Ильинка | - | - | 6 |
Камызяк | - | - | 6 |
Капустин Яр | - | 6 | 7 |
Кировский | - | - | 6 |
Красные Баррикады | - | - | 6 |
Красный Яр | - | - | 6 |
Лиман | - | - | 6 |
Нариманов | - | 6 | 7 |
Нижний Баскунчак | - | 6 | 7 |
Оранжереи | - | - | 6 |
Трудфронт | - | - | 6 |
Харабали | - | 6 | 7 |
Черный Яр | - | 6 | 7 |
Белгородская область |
Алексеевка | - | - | 6 |
Красногвардейское | - | - | 6 |
Брянская область |
Вышков | - | - | 6 |
Злынка | - | - | 6 |
Чуровичи | - | - | 6 |
Владимирская область |
Андреево | - | - | 6 |
Анопино | - | - | 6 |
Боголюбово | - | - | 6 |
Владимир | - | - | 6 |
Вязники | - | - | 6 |
Галицы | - | - | 6 |
Гороховец | - | - | 6 |
Гусевский | - | - | 6 |
Гусь-Хрустальный | - | - | 6 |
Иванищи | - | - | 6 |
Имени Воровского | - | - | 6 |
Камешково | - | - | 6 |
Ковров | - | - | 6 |
Костерево | - | - | 6 |
Красное Эхо | - | - | 6 |
Красный Богатырь | - | - | 6 |
Красный Маяк | - | - | 6 |
Красный Октябрь | - | - | 6 |
Лакинск | - | - | 6 |
Лукново | - | - | 6 |
Мелехово | - | - | 6 |
Мстера | - | - | 6 |
Никологоры | - | - | 6 |
Новки | - | - | 6 |
Нововязники | - | - | 6 |
Октябрьский | - | - | 6 |
Оргтруд | - | - | 6 |
Радужный | - | - | 6 |
Собинка | - | - | 6 |
Ставрово | - | - | 6 |
Степанцево | - | - | 6 |
Судогда | - | - | 6 |
Суздаль | - | - | 6 |
Уршельский | - | - | 6 |
Юрьевец | - | - | 6 |
Волгоградская область |
Быково | - | 6 | 7 |
Водстрой | - | 6 | 7 |
Волгоград | - | 6 | 7 |
Волжский | - | 6 | 7 |
Городище | - | 6 | 7 |
Горьковский | - | 6 | 7 |
Гумрак | - | 6 | 7 |
Даниловка | - | - | 6 |
Дубовка | - | 6 | 7 |
Елань | - | - | 6 |
Ерзовка | - | 6 | 7 |
Жирновск | - | 6 | 7 |
Иловля | - | 6 | 7 |
Калач-на-Дону | - | - | 7 |
Камышин | - | 6 | 7 |
Клетская | - | - | 6 |
Котово | - | 6 | 7 |
Краснооктябрьский | - | 6 | 7 |
Краснослободск | - | 6 | 7 |
Красный Яр | - | 6 | 7 |
Кумылженская | - | - | 6 |
Ленинск | - | 6 | 7 |
Линево | - | 6 | 7 |
Лог | - | 6 | 7 |
Медведица | - | 6 | 7 |
Михайловка | - | - | 6 |
Нижний Чир | - | - | 6 |
Николаевск | - | 6 | 7 |
Новоаннинский | - | - | 6 |
Новониколаевский | - | - | 6 |
Новый Рогачик | - | 6 | 7 |
Обливский | - | - | 6 |
Октябрьский | - | - | 6 |
Палласовка | - | 6 | 7 |
Петров Вал | - | 6 | 7 |
Приморск | - | 6 | 7 |
Романовка | - | - | 6 |
Рудня | - | - | 7 |
Светлый Яр | - | 6 | 7 |
Себрово | - | - | 6 |
Серафимович | - | - | 6 |
Средняя Ахтуба | - | 6 | 7 |
Суровикино | - | - | 6 |
Урюпинск | - | - | 6 |
Фролово | - | - | 6 |
Чернышковский | - | - | 6 |
Эльтон | - | 6 | 7 |
Южный | - | 6 | 7 |
Вологодская область |
Великий Устюг | - | - | 6 |
Красавино | - | - | 6 |
Кузино | - | - | 6 |
Воронежская область |
Анна | - | - | 6 |
Бобров | - | - | 6 |
Богучар | - | - | 6 |
Борисоглебск | - | - | 6 |
Бутурлиновка | - | - | 6 |
Волоконовка | - | - | 6 |
Воробьевка | - | - | 6 |
Воронеж | - | - | 6 |
Грибановский | - | - | 6 |
Давыдовка | - | - | 6 |
Елань-Коленовский | - | - | 6 |
Калач | - | - | 6 |
Каменка | - | - | 6 |
Кантемировка | - | - | 6 |
Краснолесный | - | - | 6 |
Латная | - | - | 6 |
Лиски | - | - | 6 |
Нижний Кисляй | - | - | 6 |
Нововоронеж | - | - | 6 |
Новохоперский | - | - | 6 |
Ольховатка | - | - | 6 |
Острогожск | - | - | 6 |
Павловск | - | - | 6 |
Панино | - | - | 6 |
Перелешинский | - | - | 6 |
Петропавловка | - | - | 6 |
Поворино | - | - | 6 |
Подгоренский | - | - | 6 |
Придонской | - | - | 6 |
Рамонь | - | - | 6 |
Россошь | - | - | 6 |
Семилуки | - | - | 6 |
Слобода | - | - | 6 |
Сомово | - | - | 6 |
Стрелица | - | - | 6 |
Таловая | - | - | 6 |
Хохольский | - | - | 6 |
Шилово | - | - | 6 |
Эртиль | - | - | 6 |
Ивановская область |
Верхний Ландех | - | - | 6 |
Вичуга | - | - | 6 |
Долматовский | - | - | 6 |
Заволжск | - | - | 6 |
Заречный | - | - | 6 |
Кинешма | - | - | 6 |
Колобово | - | - | 6 |
Лежнево | - | - | 6 |
Лух | - | - | 6 |
Моста | - | - | 6 |
Мугреевский | - | - | 6 |
Нов. Горки | - | - | 6 |
Новописцово | - | - | 6 |
Палех | - | - | 6 |
Пестяки | - | - | 6 |
Пучеж | - | - | 6 |
Родники | - | - | 6 |
Савино | - | - | 6 |
Старая Вичуга | - | - | 6 |
Талицы | - | - | 6 |
Холуй | - | - | 6 |
Шуя | - | - | 6 |
Южа | - | - | 6 |
Юрьевец | - | - | 6 |
Иркутская область |
Алексеевск | 6 | 7 | 8 |
Алехино | 7 | 8 | 9 |
Алзамай | 6 | 7 | 7 |
Анга | 7 | 7 | 8 |
Ангарск | 8 | 8 | 9 |
Артемовский | 6 | 7 | 8 |
Атагай | 6 | 7 | 7 |
Байкальск | 9 | 9 | 10 |
Баклаши | 8 | 9 | 10 |
Балаганск | 7 | 7 | 8 |
Балахнинский | 6 | 7 | 8 |
Барлук | 6 | 7 | 7 |
Белореченский | 7 | 8 | 9 |
Бельск | 7 | 8 | 9 |
Бикей | - | - | 6 |
Бирюлька | 7 | 8 | 8 |
Бирюсинск | 6 | 6 | 7 |
Бодайбо | 7 | 7 | 8 |
Большая Елань | 8 | 8 | 9 |
Большая Речка | 8 | 9 | 10 |
Большеокинское | - | - | 6 |
Большой Луг | 8 | 9 | 10 |
Боровской | - | - | 6 |
Братск | - | - | 6 |
Будагово | 7 | 7 | 8 |
Венгерка | 6 | 7 | 8 |
Верхнемарково | 6 | 6 | 7 |
Веселый | - | 6 | 7 |
Видим | - | - | 6 |
Витимский | 6 | 7 | 8 |
Вихоревка | - | - | 6 |
Владимир | 7 | 7 | 8 |
Выдрино | 9 | 9 | 10 |
Гадалей | 7 | 7 | 8 |
Голуметь | 8 | 8 | 9 |
Горно-Чуйский | 7 | 7 | 8 |
Гуран | 6 | 7 | 7 |
Дзержинск | 8 | 9 | 9 |
Еланцы | 8 | 9 | 10 |
Железнодорожный | 7 | 8 | 9 |
Жигалово | 6 | 7 | 7 |
Залари | 7 | 7 | 8 |
Замзор | 6 | 7 | 7 |
Заречье | 6 | 6 | 7 |
Звездный | 6 | 6 | 7 |
Зима | 7 | 7 | 8 |
Икей | 7 | 7 | 8 |
Илир | 6 | 6 | 7 |
Иркутск | 8 | 9 | 9 |
Казарки | 6 | 6 | 6 |
Казачинское | 7 | 7 | 8 |
Калтук | - | - | 6 |
Камышет | 6 | 7 | 8 |
Карлук | 8 | 8 | 9 |
Карымск | 7 | 7 | 8 |
Качуг | 7 | 7 | 8 |
Квиток | - | 6 | 7 |
Кимильтей | 7 | 7 | 8 |
Киренск | 6 | 6 | 7 |
Китой | 8 | 8 | 9 |
Ключи | 7 | 7 | 8 |
Ключи-Булак | - | 6 | 7 |
Коршуновский | - | - | 6 |
Костино | 6 | 6 | 7 |
Котик | 6 | 7 | 8 |
Кропоткин | 6 | 7 | 8 |
Куватка | - | 6 | 7 |
Куда | 8 | 8 | 9 |
Куйтун | 6 | 7 | 8 |
Култук | 8 | 9 | 10 |
Кумарейка | 6 | 7 | 7 |
Кунерма | 8 | 8 | 9 |
Лесогорск | - | 6 | 7 |
Листвянка | 9 | 9 | 10 |
Луговский | 6 | 7 | 8 |
Магистральный | 7 | 7 | 8 |
Макарово | 6 | 7 | 7 |
Малое Голоустное | 8 | 9 | 10 |
Мальта | 7 | 8 | 9 |
Мама | 6 | 7 | 8 |
Мамакан | 7 | 7 | 8 |
Мамоны | 8 | 8 | 9 |
Манзурка | 7 | 8 | 9 |
Марково | 8 | 8 | 9 |
Мегет | 8 | 8 | 9 |
Михайловка | 7 | 8 | 9 |
Мишелевка | 7 | 8 | 9 |
Нижнеудинск | 7 | 7 | 8 |
Николаевка | 6 | 6 | 7 |
Новая Уда | 6 | 7 | 8 |
Новобирюсинский | - | - | 6 |
Новожилкино | 8 | 8 | 9 |
Новомальтинск | 7 | 8 | 9 |
Оек | 8 | 8 | 9 |
Озерный | - | - | 6 |
Октябрьский | - | 6 | 7 |
Олха | 8 | 9 | 10 |
Осиновка | - | - | 6 |
Пивовариха | 8 | 9 | 9 |
Покосное | - | 6 | 7 |
Половино-Черемхово | 6 | 6 | 7 |
Порожский | - | - | 6 |
Прибрежный | 6 | 6 | 7 |
Раздолье | 8 | 9 | 10 |
Ручей | - | - | 6 |
Саянск | 7 | 7 | 8 |
Свирск | 7 | 8 | 9 |
Семигорск | - | - | 6 |
Слюдянка | 8 | 9 | 10 |
Смоленщина | 8 | 9 | 9 |
Согдиондон | 7 | 7 | 8 |
Соляная | 6 | 7 | 8 |
Сосновка | 7 | 8 | 9 |
Средний | 7 | 8 | 9 |
Средняя Муя | 6 | 7 | 7 |
Суворовский | - | - | 6 |
Суховская | 8 | 8 | 9 |
Тайтурка | 7 | 8 | 9 |
Тайшет | 6 | 6 | 7 |
Тальяны | 8 | 9 | 10 |
Тангуй | 6 | 6 | 7 |
Тарма | - | - | 6 |
Тельма | 7 | 8 | 9 |
Троицк | 7 | 8 | 8 |
Тулун | 7 | 7 | 8 |
Тулюшка | 6 | 7 | 8 |
Тыреть 1-я | 7 | 7 | 8 |
Ук | 6 | 7 | 8 |
Улькан | 7 | 7 | 8 |
Урик | 8 | 8 | 9 |
Усолье-Сибирское | 7 | 8 | 9 |
Усть-Кут | - | 6 | 6 |
Усть-Уда | 6 | 7 | 8 |
Утай | 7 | 7 | 8 |
Утулик | 9 | 9 | 10 |
Уховский | 6 | 7 | 8 |
Уян | 6 | 7 | 8 |
Ханжиново | 7 | 7 | 8 |
Харанжино | - | 6 | 7 |
Харбатово | 7 | 8 | 8 |
Харик | 7 | 7 | 8 |
Хомутово | 8 | 8 | 9 |
Хребтовая | - | - | 6 |
Худоеланское | 7 | 7 | 8 |
Хужир | 9 | 9 | 10 |
Центральный Хазан | 7 | 7 | 8 |
Чекановский | - | - | 6 |
Черемхово | 7 | 8 | 9 |
Чунский | - | - | 6 |
Шаманка | 8 | 9 | 10 |
Шелехов | 8 | 9 | 10 |
Шелехово | 6 | 7 | 8 |
Шерагул | 7 | 7 | 8 |
Шестаково | - | - | 6 |
Шиткино | - | 6 | 7 |
Шумилово | - | - | 6 |
Шумский | 7 | 7 | 8 |
Юрты | 6 | 6 | 7 |
Якурим | 6 | 6 | 6 |
Янталь | - | 6 | 6 |
Камчатская область |
Апача | 9 | 9 | 10 |
Атласово | 9 | 9 | 10 |
Березняки | 9 | 10 | 10 |
Большерецк | 8 | 9 | 9 |
Двуречье | 9 | 10 | 10 |
Долиновка | 9 | 9 | 10 |
Елизово | 9 | 10 | 10 |
Запорожье | 9 | 10 | 10 |
Зеленый | 9 | 10 | 10 |
Ключи | 9 | 9 | 10 |
Козыревск | 9 | 9 | 10 |
Красный | 9 | 10 | 10 |
Крутоберегово | 10 | 10 | 10 |
Крутогорово | 7 | 7 | 8 |
Лазо | 9 | 9 | 10 |
Лаучан | 8 | 8 | 9 |
Лесной | 9 | 9 | 10 |
Мильково | 9 | 9 | 10 |
Моховая | 9 | 10 | 10 |
Нагорный | 9 | 10 | 10 |
Начики | 9 | 9 | 10 |
Николаевка | 9 | 10 | 10 |
Озерновский | 9 | 10 | 10 |
Октябрьский | 8 | 8 | 9 |
Паратунка | 9 | 10 | 10 |
Петропавловск-Камчатский | 9 | 10 | 10 |
Пионерский | | 10 | 10 |
Привольное | 7 | 8 | 8 |
Пущино | 9 | 9 | 10 |
Раздольный | 9 | 10 | 10 |
Светлый | 9 | 10 | 10 |
Соболево | 7 | 8 | 8 |
Сокоч | 9 | 9 | 10 |
Сосновка | 9 | 10 | 10 |
Термальный | 9 | 10 | 10 |
Усть-Большерецк | 8 | 8 | 9 |
Усть-Камчатск | 10 | 10 | 10 |
Устьевое | 7 | 7 | 8 |
Шаромы | 9 | 9 | 10 |
Эссо | 8 | 9 | 10 |
Кемеровская область |
Абагур | 7 | 7 | 8 |
Анжеро-Судженск | 6 | 6 | 7 |
Артышта | 6 | 7 | 8 |
Барзас | 6 | 6 | 7 |
Бачатский | 6 | 7 | 8 |
Белово | 6 | 7 | 8 |
Белогорск | 6 | 6 | 8 |
Березовский | 6 | 6 | 7 |
Берикулькский | 6 | 6 | 7 |
Боровой | 6 | 6 | 7 |
Верх-Чебула | 6 | 6 | 7 |
Грамотеино | 6 | 7 | 8 |
Гурьевск | 6 | 7 | 8 |
Зеленогорский | 6 | 6 | 7 |
Ижморский | 6 | 6 | 7 |
Инской | 6 | 7 | 8 |
Итатский | 6 | 6 | 7 |
Каз | 7 | 7 | 8 |
Калтан | 7 | 7 | 8 |
Карагайлинский | 6 | 7 | 8 |
Кедровка | 6 | 6 | 7 |
Кемерово | 6 | 6 | 7 |
Киселевск | 7 | 7 | 8 |
Кожевниково | 6 | 6 | 7 |
Комсомольск | 6 | 6 | 7 |
Крапивинский | 6 | 6 | 7 |
Краснобродский | 6 | 7 | 8 |
Красногорский | 6 | 7 | 8 |
Кузедеево | 7 | 7 | 8 |
Ленинск-Кузнецкий | 6 | 7 | 8 |
Листвяги | 7 | 7 | 8 |
Макаракский | 6 | 6 | 7 |
Малиновка | 7 | 7 | 8 |
Мариинск | 6 | 6 | 7 |
Междуреченск | 7 | 7 | 8 |
Мундыбаш | 7 | 7 | 8 |
Мыски | 7 | 7 | 8 |
Никитинский | 6 | 7 | 8 |
Новокузнецк | 7 | 7 | 8 |
Новый Городок | 6 | 7 | 8 |
Осинники | 7 | 7 | 8 |
Пионер | 6 | 6 | 7 |
Полысаево | 6 | 7 | 8 |
Притомский | 7 | 7 | 8 |
Прокопьевск | 7 | 7 | 8 |
Рудничный | 6 | 6 | 7 |
Салаир | 6 | 7 | 8 |
Спасск | 7 | 7 | 8 |
Старобачаты | 6 | 7 | 8 |
Тайга | 6 | 6 | 7 |
Тайжина | 7 | 7 | 8 |
Таштагол | 7 | 7 | 8 |
Темиртау | 7 | 7 | 8 |
Тисуль | 6 | 6 | 7 |
Топки | 6 | 6 | 7 |
Трудармейский | 6 | 7 | 8 |
Тяжинский | 6 | 6 | 7 |
Урск | 6 | 7 | 8 |
Центральный | 6 | 6 | 7 |
Чистогорский | 7 | 7 | 8 |
Чугунаш | 7 | 7 | 8 |
Шерегеш | 7 | 7 | 8 |
Юрга | 6 | 6 | 7 |
Ягуновский | 6 | 6 | 7 |
Яшкино | 6 | 6 | 7 |
Яя | 6 | 6 | 7 |
Кировская область |
Белая Холуница | - | - | 6 |
Боровой | - | - | 6 |
Вятские Поляны | - | 6 | 7 |
Даровской | - | - | 6 |
Демьяново | - | - | 6 |
Заря | - | - | 6 |
Кикнур | - | - | 6 |
Кильмезь | - | - | 6 |
Киров | - | - | 6 |
Кирово-Чепецк | - | - | 6 |
Котельнич | - | - | 6 |
Красная Поляна | - | 6 | 7 |
Ленинское | - | - | 7 |
Лянгасово | - | - | 6 |
Маромица | - | - | 6 |
Мирный | - | - | 6 |
Мураши | - | - | 6 |
Мурыгино | - | - | 7 |
Нагорск | - | - | 6 |
Нижнеивкино | - | - | 6 |
Опарино | - | - | 6 |
Оричи | - | - | 6 |
Орлов | - | - | 6 |
Первомайский | - | - | 6 |
Подосиновец | - | - | 6 |
Радужный | - | - | 6 |
Санчурск | - | - | 6 |
Свеча | - | - | 7 |
Слободской | - | - | 6 |
Стрижи | - | - | 6 |
Торфяной | - | - | 6 |
Тужа | - | - | 6 |
Юрья | - | - | 7 |
Костромская область |
Ветлужский | - | - | 6 |
Зебляки | - | - | 6 |
Кадый | - | - | 6 |
Макарьев | | | 6 |
Мантурово | - | - | 6 |
Октябрьский | - | - | 6 |
Полдневица | - | - | 6 |
Поназырево | - | - | 6 |
Шарья | - | - | 6 |
Шекшема | - | - | 6 |
Якшанга | - | - | 6 |
Курская область |
Горшечное | - | - | 6 |
Касторное | - | - | 6 |
Олымский | - | - | 6 |
Ленинградская область |
Вейно | - | - | 6 |
Курголово | - | - | 6 |
Липово | - | - | 6 |
Липецкая область |
Грязи | - | - | 6 |
Добринка | - | - | 6 |
Елец | - | - | 6 |
Задонск | - | - | 6 |
Казинка | - | - | 6 |
Лебедянь | - | - | 6 |
Лев Толстой | - | - | 6 |
Липецк | - | - | 6 |
Матырский | - | - | 6 |
Сырское | - | - | 6 |
Усмань | - | - | 6 |
Чаплыгин | - | - | 6 |
Магаданская область |
Адыгалах | 8 | 9 | 10 |
Армань | 8 | 8 | 9 |
Атка | 7 | 8 | 9 |
Балаганное | 7 | 8 | 8 |
Балыгычан | 6 | 6 | 7 |
Беличан | 8 | 8 | 10 |
Большевик | 8 | 8 | 10 |
Буксунда | 7 | 7 | 8 |
Буркандья | 8 | 9 | 10 |
Бурхала | 8 | 8 | 9 |
Верх. Парень | 6 | 7 | 8 |
Верхний Ат-Урях | 7 | 8 | 9 |
Верхний Балыгычан | 7 | 8 | 9 |
Верхний Сеймчан | 7 | 8 | 9 |
Гадля | 8 | 9 | 10 |
Галимый | 7 | 7 | 9 |
Гарманда | 7 | 7 | 8 |
Гвардеец | 7 | 8 | 9 |
Гижига | 7 | 7 | 8 |
Глухариный | 6 | 6 | 7 |
Дебин | 7 | 8 | 9 |
Дукат | 7 | 7 | 9 |
Кадыкчан | 8 | 9 | 10 |
Карамкен | 8 | 8 | 9 |
Клепка | 8 | 9 | 10 |
Колымское | 7 | 8 | 9 |
Кулу | 7 | 8 | 9 |
Магадан | 8 | 8 | 9 |
Мадаун | 7 | 8 | 9 |
Меренга | 7 | 8 | 9 |
Мой-Уруста | 7 | 8 | 9 |
Мякит | 7 | 8 | 9 |
Мяунджа | 8 | 9 | 10 |
Нексикан | 8 | 8 | 10 |
Нелькоба | 7 | 8 | 9 |
Озерное | 9 | 9 | 10 |
Ола | 8 | 9 | 10 |
Омсукчан | 7 | 7 | 9 |
Омчак | 7 | 8 | 9 |
Оротук | 7 | 8 | 9 |
Оротукан | 7 | 8 | 9 |
Палатка | 8 | 8 | 9 |
Сеймчан | 7 | 8 | 9 |
Синегорье | 7 | 8 | 9 |
Сокол | 8 | 8 | 9 |
Солнечный | 6 | 7 | 8 |
Сплавная | 8 | 8 | 9 |
Спорное | 7 | 8 | 9 |
Стекольный | 8 | 8 | 9 |
Сусуман | 8 | 8 | 10 |
Талая | 8 | 8 | 9 |
Талон | 7 | 8 | 8 |
Таскан | 7 | 8 | 9 |
Тауйск | 7 | 8 | 8 |
Тахтоямск | 8 | 8 | 9 |
Тополовка | 7 | 8 | 9 |
Уптар | 8 | 8 | 9 |
Усть-Хакчан | 9 | 9 | 10 |
Усть-Омчуг | 7 | 8 | 9 |
Усть-Среднекан | 7 | 8 | 9 |
Холодный | 8 | 8 | 10 |
Чайбуха | 7 | 8 | 9 |
Широкий | 8 | 9 | 10 |
Штурмовой | 8 | 8 | 9 |
Эвенск | 7 | 7 | 8 |
Эльген | 7 | 8 | 9 |
Ягодное | 8 | 8 | 9 |
Московская область |
Бакшеево | - | - | 6 |
Керва | - | - | 6 |
Мишеронский | - | - | 6 |
Рошаль | - | - | 6 |
Туголесский бор | - | - | 6 |
Черусти | - | - | 6 |
Мурманская область |
Апатиты | - | 6 | 7 |
Африканда | 6 | 6 | 7 |
Верхнетуломский | - | 6 | 7 |
Заозерск | 6 | 6 | 7 |
Заполярный | 6 | 6 | 7 |
Зашеек | 6 | 6 | 7 |
Зеленоборский | 6 | 6 | 7 |
Кандалакша | 6 | 6 | 7 |
Кильдинстрой | - | 6 | 7 |
Кировск | - | 6 | 7 |
Ковдор | 6 | 6 | 7 |
Кола | - | 6 | 7 |
Молочный | 6 | 6 | 7 |
Мончегорск | - | 6 | 7 |
Мурманск | - | 6 | 7 |
Мурмаши | - | 6 | 7 |
Никель | 6 | 6 | 7 |
Оленегорск | - | 6 | 7 |
Островной | 6 | 6 | 7 |
Печенга | 6 | 6 | 7 |
Полярные Зори | 6 | 6 | 7 |
Полярный | 6 | 6 | 7 |
Приречный | 6 | 6 | 7 |
Ревда | - | 6 | 7 |
Росляково | - | 6 | 7 |
Сафоново | - | 6 | 7 |
Североморск | - | 6 | 7 |
Скалистый | 6 | 6 | 7 |
Снежногорск | 6 | 6 | 7 |
Териберка | 6 | 6 | 7 |
Туманный | 6 | 6 | 7 |
Умба | 6 | 6 | 7 |
Шонгуй | - | 6 | 7 |
Нижегородская область |
Арья | - | - | 7 |
Бабино | - | - | 6 |
Балахна | - | 6 | 6 |
Богородск | - | - | 6 |
Большое Козино | - | - | 6 |
Большое Мурашкино | - | - | 6 |
Большое Пикино | - | 6 | 7 |
Бор | - | 6 | 7 |
Варнавино | - | 6 | 7 |
Васильсурск | 6 | 6 | 7 |
Вахтан | - | - | 7 |
Ветлуга | - | - | 7 |
Ветлужский | - | 6 | 7 |
Володарск | - | - | 6 |
Воротынец | - | 6 | 7 |
Воскресенское | - | 6 | 7 |
Гавриловка | - | - | 6 |
Гидроторф | - | - | 6 |
Горбатовка | - | - | 6 |
Городец | - | 6 | 6 |
Желнино | - | - | 6 |
Заволжье | - | - | 6 |
Зеленый Город | 7 | 8 | 8 |
Ильиногорск | - | - | 6 |
Имени Калинина | - | - | 6 |
Катунки | - | - | 6 |
Керженец | - | 6 | 7 |
Княгинино | - | - | 6 |
Ковернино | - | - | 7 |
Красная Горка | - | - | 6 |
Красные Баки | - | 6 | 7 |
Кстово | - | - | 6 |
Ленинская Слобода | - | 6 | 6 |
Линда | - | 6 | 7 |
Лукино | - | - | 6 |
Лысково | - | 6 | 7 |
Макарьево | - | 6 | 7 |
Малое Козино | - | - | 6 |
Неклюдово | - | 6 | 7 |
Нижний Новгород | - | - | 6 |
Октябрьский | - | 6 | 7 |
Первомайский | - | - | 6 |
Пижма | - | - | 6 |
Пильна | - | - | 6 |
Пыра | - | - | 6 |
Решетиха | - | - | 6 |
Семенов | - | 6 | 7 |
Ситники | - | 6 | 7 |
Смолино | - | - | 6 |
Сокольское | - | - | 6 |
Сухобезводное | - | 6 | 7 |
Сява | - | - | 7 |
Тонкино | - | - | 6 |
Тоншаево | - | - | 6 |
Урень | - | - | 7 |
Фролищи | - | - | 6 |
Центральный | - | - | 6 |
Чистое | - | - | 6 |
Чкаловск | - | - | 6 |
Шайгино | - | - | 6 |
Шаранга | - | - | 6 |
Шахунья | - | - | 6 |
Юганец | - | - | 6 |
Новосибирская область |
Бердск | 6 | 7 | 8 |
Болотное | 6 | 6 | 7 |
Горный | 6 | 6 | 7 |
Довольное | - | - | 6 |
Дорогино | 6 | 7 | 8 |
Искитим | 6 | 7 | 8 |
Карасук | - | - | 6 |
Каргат | - | - | 6 |
Колывань | 6 | 6 | 7 |
Кольцово | 6 | 6 | 8 |
Коченево | 6 | 6 | 7 |
Краснозерское | - | 6 | 7 |
Краснообск | 6 | 6 | 7 |
Криводановка | 6 | 6 | 7 |
Линево | 6 | 7 | 8 |
Листвянский | 6 | 7 | 8 |
Маслянино | 6 | 7 | 8 |
Мошково | 6 | 6 | 7 |
Новосибирск | 6 | 6 | 7 |
Обь | 6 | 6 | 7 |
Ордынское | 6 | 7 | 8 |
Пашино | 6 | 6 | 7 |
Посевная | 6 | 7 | 8 |
Прокудское | 6 | 6 | 7 |
Сузун | 6 | 7 | 8 |
Тальменка | 6 | 7 | 8 |
Тогучин | 6 | 6 | 7 |
Черепаново | 6 | 7 | 8 |
Чик | 6 | 6 | 7 |
Чулым | - | 6 | 7 |
Омская область |
Большая Бича | - | - | 6 |
Большеречье | - | - | 6 |
Большие Уки | - | - | 7 |
Евгащино | - | - | 6 |
Ермиловка | - | - | 6 |
Знаменское | - | - | 6 |
Колосовка | - | - | 7 |
Крутинка | - | - | 6 |
Моторово | - | - | 7 |
Муромцево | - | - | 6 |
Седельниково | - | - | 6 |
Тара | - | - | 6 |
Тевриз | - | - | 6 |
Тюкалинск | - | - | 6 |
Усть-Ишим | - | - | 6 |
Усть-Тара | - | - | 6 |
Оренбургская область |
Акбулак | - | - | 6 |
Аккермановка | - | - | 6 |
Бугуруслан | - | - | 6 |
Бузулук | - | - | 6 |
Гай | - | - | 6 |
Грачевка | - | - | 6 |
Дубенский | - | - | 6 |
Илек | - | - | 6 |
Ириклинский | - | - | 6 |
Каргала | - | - | 6 |
Колтубановский | - | - | 6 |
Кувандык | - | - | 6 |
Медногорск | - | - | 6 |
Новорудный | - | - | 6 |
Новосергиевка | - | - | 6 |
Новотроицк | - | - | 6 |
Октябрьское | - | - | 6 |
Оренбург | - | - | 6 |
Орск | - | - | 6 |
Первомайский | - | - | 6 |
Переволоцкий | - | - | 6 |
Пономаревка | - | - | 6 |
Ракитянка | - | - | 6 |
Саракташ | - | - | 6 |
Соль-Илецк | - | - | 6 |
Сорочинск | - | - | 6 |
Ташла | - | - | 6 |
Тоцкое | - | - | 6 |
Тюльган | - | - | 6 |
Халилово | - | - | 6 |
Шарлык | - | - | 6 |
Энергетик | - | - | 6 |
Пензенская область |
Верхозим | - | - | 6 |
Евлашево | - | - | 6 |
Кузнецк | - | - | 6 |
Радищево | - | - | 6 |
Сосновоборск | - | - | 6 |
Пермская область |
Александровск | - | 6 | 7 |
Барда | - | - | 6 |
Березники | - | - | 6 |
Березовка | - | - | 6 |
Верещагино | - | - | 6 |
Верхнечус. Городки | - | 6 | 7 |
Всеволодо-Вильва | - | 6 | 7 |
Горнозаводск | 6 | 6 | 7 |
Гремячинск | 6 | 6 | 7 |
Губаха | - | 6 | 7 |
Дивья | - | 6 | 7 |
Добрянка | - | - | 7 |
Елово | - | - | 6 |
Звездный | - | - | 7 |
Зюкайка | - | - | 6 |
Ильинский | - | - | 6 |
Калино | 6 | 6 | 7 |
Карагай | - | - | 6 |
Керчевский | - | - | 6 |
Кизел | - | 6 | 7 |
Комарихинский | - | 6 | 7 |
Кордон | 6 | 6 | 7 |
Красновишерск | - | - | 6 |
Краснокамск | - | - | 6 |
Кукуштан | - | - | 7 |
Кунгур | - | 6 | 7 |
Кын | 6 | 6 | 7 |
Луньевка | - | 6 | 7 |
Лысьва | - | - | 6 |
Лямино | 6 | 6 | 7 |
Майский | - | - | 6 |
Медведка | 6 | 6 | 7 |
Нагорнский | - | 6 | 7 |
Нововильвенский | 6 | 6 | 7 |
Новоильинский | - | - | 6 |
Новые Ляды | - | 6 | 7 |
Ныроб | - | - | 6 |
Нытва | - | - | 6 |
Оверята | - | - | 7 |
Октябрьский | - | - | 6 |
Орел | - | - | 6 |
Оса | - | - | 6 |
Оханск | - | - | 6 |
Очер | - | - | 6 |
Павловский | - | - | 6 |
Пашия | 6 | 6 | 7 |
Пермь | - | - | 7 |
Полазна | - | - | 7 |
Промысла | 6 | 6 | 7 |
Рудничный | - | 6 | 7 |
Сараны | 6 | 6 | 7 |
Сарс | - | - | 6 |
Сев. Коспашский | - | 6 | 7 |
Северный Коммунар | - | - | 6 |
Скальный | 6 | 6 | 7 |
Соликамск | - | - | 6 |
Старый Бисер | 6 | 6 | 7 |
Суксун | - | 6 | 7 |
Сылва | - | 6 | 7 |
Теплая Гора | 6 | 6 | 7 |
Углеуральский | - | 6 | 7 |
Уральский | - | - | 6 |
Усолье | - | - | 6 |
Усьва | - | 6 | 7 |
Центр.-Коспашский | - | 6 | 7 |
Чайковский | - | - | 6 |
Чердынь | - | - | 6 |
Чермоз | - | - | 6 |
Чернушка | - | - | 6 |
Чусовой | 6 | 6 | 7 |
Шахта | - | 6 | 7 |
Широковский | - | 6 | 7 |
Шумихинский | - | 6 | 7 |
Юбилейный | - | 6 | 7 |
Юго-Камский | - | - | 6 |
Южный-Коспашский | - | 6 | 7 |
Яйва | - | - | 7 |
Ростовская область |
Азов | 6 | 6 | 7 |
Аксай | 6 | 6 | 7 |
Алмазный | - | - | 6 |
Аютинский | - | - | 6 |
Багаевская | - | - | 7 |
Батайск | 6 | 6 | 7 |
Белая Калитва | - | - | 6 |
Боковская | - | - | 6 |
Больш. Мартыновка | - | - | 6 |
Вешенская | - | - | 6 |
Гигант | - | - | 6 |
Глубокий | - | - | 6 |
Горный | - | - | 6 |
Гуково | - | - | 6 |
Гундоровский | - | - | 6 |
Донецк | - | - | 6 |
Донской | 6 | 6 | 7 |
Егорлыкская | - | 6 | 6 |
Заветное | - | - | 6 |
Заводской | - | - | 6 |
Зверево | - | - | 6 |
Зерноград | - | 6 | 6 |
Кагальницкая | - | 6 | 6 |
Казанская | - | - | 6 |
Каменоломни | - | - | 6 |
Каменск-Шахтинский | - | - | 6 |
Кашары | - | - | 6 |
Коксовый | - | - | 6 |
Константиновск | - | - | 6 |
Красный | - | - | 6 |
Красный Сулин | - | - | 6 |
Куйбышево | - | - | 6 |
Кулешовка | 6 | 6 | 7 |
Лиховской | - | - | 6 |
Майский | - | - | 6 |
Новочеркасск | - | - | 7 |
Новошахтинск | - | - | 6 |
Орловский | - | - | 6 |
Песчанокопское | 6 | 6 | 6 |
Покровское | - | 6 | 6 |
Пролетарск | - | - | 6 |
Ремонтное | - | - | 6 |
Ростов-на-Дону | 6 | 6 | 7 |
Сальск | - | - | 6 |
Самбек | - | 6 | 6 |
Семикаракорск | - | - | 6 |
Синегорский | - | - | 6 |
Таганрог | 6 | 6 | 7 |
Таловый | - | - | 6 |
Углеродовский | - | - | 6 |
Усть-Донецкий | - | - | 6 |
Целина | - | 6 | 6 |
Чалтырь | 6 | 6 | 7 |
Шахты | - | - | 6 |
Рязанская область |
Александро-Невский | - | - | 6 |
Самарская область |
Алексеевка | - | - | 6 |
Балашейка | - | 6 | 7 |
Безенчук | - | - | 6 |
Богатое | - | - | 6 |
Богатырь | - | - | 6 |
Борское | - | - | 6 |
Волжский | - | - | 6 |
Жигулевск | - | - | 7 |
Зольное | - | - | 7 |
Зубчаниновка | - | - | 7 |
Кинель | - | - | 6 |
Клявлино | - | - | 6 |
Кошки | - | 6 | 7 |
Красноармейское | - | - | 6 |
Красный Яр | - | - | 6 |
Междуреченск | - | 6 | 7 |
Мирный | - | - | 6 |
Нефтегорск | - | - | 6 |
Новокашпирский | - | 6 | 7 |
Новокуйбышевск | - | - | 6 |
Новосемейкино | - | - | 6 |
Октябрьск | - | 6 | 7 |
Осинки | - | - | 6 |
Отрадный | - | - | 6 |
Первомайский | - | - | 6 |
Петра-Дубрава | - | - | 6 |
Поволжский | - | - | 7 |
Похвистнево | - | - | 6 |
Прибрежный | - | - | 7 |
Рождествено | - | - | 6 |
Самара | - | - | 7 |
Сергиевск | - | - | 6 |
Смышляевка | - | - | 6 |
Суходол | - | - | 6 |
Сызрань | - | 6 | 7 |
Тимашево | - | - | 6 |
Тольятти | - | 6 | 7 |
Усть-Кинельский | - | - | 7 |
Чапаевск | - | - | 7 |
Челно-Вершины | - | 6 | 7 |
Шентала | - | - | 7 |
Яблоневый Овраг | - | - | 6 |
Саратовская область |
Александров Гай | - | - | 6 |
Алексеевка | - | - | 7 |
Аткарск | - | - | 6 |
Базарный Карабулак | - | 6 | 7 |
Балаково | - | - | 6 |
Балтай | - | 6 | 7 |
Возрождение | - | 6 | 7 |
Вольск | - | 6 | 7 |
Дергачи | - | - | 6 |
Духовницкое | - | - | 7 |
Жасминный | - | 6 | 7 |
Калининск | - | - | 6 |
Каменский | - | 6 | 7 |
Красный Октябрь | - | 6 | 7 |
Красноармейск | - | 6 | 7 |
Красн. Текстильщик | - | 6 | 7 |
Маркс | - | 6 | 7 |
Мокроус | - | - | 6 |
Новые Бурасы | - | 6 | 7 |
Новоузенск | - | - | 6 |
Озинки | - | - | 6 |
Орлов Гай | - | - | 6 |
Павловка | - | - | 6 |
Петровск | - | - | 6 |
Питерка | - | - | 6 |
Приволжский | - | 6 | 7 |
Пугачев | - | - | 6 |
Пушкино | - | - | 6 |
Ровное | - | 6 | 7 |
Саратов | - | 6 | 7 |
Светлый | - | 6 | 7 |
Свободный | - | 6 | 7 |
Сенной | - | 6 | 7 |
Советское | - | - | 7 |
Соколовый | - | 6 | 7 |
Степное | - | 6 | 7 |
Татищево | - | 6 | 7 |
Хвалынск | - | - | 7 |
Хватовка | - | 6 | 7 |
Черкасское | - | 6 | 7 |
Шиханы | - | 6 | 7 |
Энгельс | - | 6 | 7 |
Сахалинская область |
Александровск-Сахалинский | 9 | 9 | 10 |
Анива | 8 | 9 | 9 |
Бошняково | 9 | 9 | 10 |
Буюклы | 8 | 9 | 9 |
Быков | 8 | 9 | 9 |
Вахрушев | 8 | 9 | 9 |
Взморье | 8 | 9 | 9 |
Восток | 8 | 9 | 9 |
Гастелло | 8 | 9 | 9 |
Горнозаводск | 9 | 9 | 9 |
Горный | 9 | 10 | 10 |
Горячие Ключи | 9 | 10 | 10 |
Долинск | 8 | 8 | 9 |
Дуэ | 9 | 9 | 10 |
Ильинский | 8 | 9 | 9 |
Катангли | 9 | 9 | 10 |
Китовый | 9 | 10 | 10 |
Колендо | 9 | 10 | 10 |
Корсаков | 8 | 8 | 9 |
Красногорск | 8 | 9 | 10 |
Курильск | 9 | 10 | 10 |
Леонидово | 8 | 9 | 9 |
Лесогорское | 9 | 10 | 10 |
Макаров | 8 | 9 | 9 |
Малокурильское | 10 | 10 | 10 |
Мгачи | 9 | 9 | 10 |
Невельск | 9 | 9 | 9 |
Новиково | 8 | 8 | 9 |
Ноглики | 9 | 9 | 10 |
Озерский | 8 | 8 | 9 |
Оха | 9 | 10 | 10 |
Погиби | 8 | 9 | 10 |
Поронайск | 8 | 9 | 9 |
Правда | 9 | 9 | 9 |
Рейдово | 9 | 10 | 10 |
Северо-Курильск | 9 | 10 | 10 |
Синегорск | 8 | 9 | 9 |
Смирных | 8 | 9 | 9 |
Соболиное | 8 | 9 | 9 |
Сокол | 8 | 8 | 9 |
Соловьевка | 8 | 8 | 9 |
Тельновский | 9 | 10 | 10 |
Тихменево | 8 | 9 | 9 |
Томари | 8 | 8 | 9 |
Троицкое | 8 | 9 | 9 |
Тунгор | 9 | 10 | 10 |
Тымовское | 9 | 9 | 10 |
Углегорск | 9 | 9 | 10 |
Углезаводск | 8 | 9 | 9 |
Ударный | 9 | 9 | 10 |
Холмск | 8 | 9 | 9 |
Хомутово | 8 | 8 | 9 |
Чапаево | 8 | 8 | 9 |
Чехов | 8 | 9 | 9 |
Шахтерск | 9 | 9 | 10 |
Шебунино | 9 | 9 | 9 |
Эхаби | 9 | 10 | 10 |
Южно-Курильск | 9 | 10 | 10 |
Южно-Сахалинск | 8 | 8 | 9 |
Яблочный | 8 | 9 | 9 |
Ясноморский | 9 | 9 | 9 |
Свердловская область |
Алапаевск | - | - | 6 |
Арамиль | - | 6 | 8 |
Артемовский | - | - | 6 |
Арти | 6 | 6 | 7 |
Асбестовский | - | - | 6 |
Атиг | 6 | 6 | 8 |
Ачит | 6 | 6 | 7 |
Аять | 6 | 6 | 8 |
Байкалово | - | - | 6 |
Баранчинский | 6 | 6 | 7 |
Басьяновский | - | - | 6 |
Белоречка | 6 | 6 | 7 |
Белоярский | - | 6 | 7 |
Березовский | - | 6 | 8 |
Билимбай | 6 | 6 | 8 |
Бисерть | 6 | 6 | 8 |
Бобровский | - | 6 | 8 |
Богданович | - | - | 6 |
Большой Исток | - | 6 | 8 |
Валериановск | - | 6 | 7 |
Верх-Нейвинский | 6 | 6 | 8 |
Верхнее Дуброво | - | 6 | 7 |
Верхняя Пышма | - | 6 | 8 |
Верхние Серги | 6 | 6 | 8 |
Верхний Тагил | 6 | 6 | 7 |
Верхняя Салда | - | 6 | 7 |
Верхняя Синячиха | - | - | 6 |
Верхняя Сысерть | - | 6 | 7 |
Верхняя Тура | - | 6 | 7 |
Веселовка | - | 6 | 7 |
Висим | 6 | 6 | 7 |
Висимо-Уткинск | 6 | 6 | 7 |
Волчанск | - | - | 7 |
Воронцовка | - | 6 | 7 |
Восточный | - | - | 7 |
Гари | - | - | 7 |
Горноуральский | - | 6 | 7 |
Двуреченск | - | 6 | 7 |
Дегтярск | 6 | 6 | 8 |
Дружинино | 6 | 6 | 8 |
Екатеринбург | - | 6 | 8 |
Елкино | - | 6 | 7 |
Зайково | - | - | 6 |
Заречный | - | 6 | 7 |
Зыряновский | - | - | 6 |
Зюзельский | 6 | 6 | 8 |
Ивдель | - | - | 6 |
Изумруд | - | - | 7 |
Ирбит | - | - | 6 |
Ис | - | 6 | 7 |
Исеть | 6 | 6 | 8 |
Калиново | 6 | 6 | 8 |
Калья | - | - | 7 |
Каменск-Уральский | - | - | 6 |
Карпинск | - | 6 | 7 |
Карпунинский | - | - | 6 |
Карпушиха | 6 | 6 | 7 |
Качканар | - | 6 | 7 |
Кедровое | - | 6 | 7 |
Кировград | 6 | 6 | 7 |
Ключевск | - | 6 | 7 |
Кольцово | - | 6 | 8 |
Косья | - | 6 | 7 |
Красногвардейский | - | - | 6 |
Краснотурьинск | - | - | 7 |
Красноуральск | - | 6 | 7 |
Красноуфимск | - | 6 | 7 |
Кузино | 6 | 6 | 8 |
Кушва | - | 6 | 7 |
Кытлым | - | 6 | 7 |
Левиха | 6 | 6 | 7 |
Лесной | - | 6 | 7 |
Лобва | - | 6 | 7 |
Лосиный | - | 6 | 7 |
Малышева | - | - | 7 |
Марсяты | - | - | 7 |
Маслово | - | - | 7 |
Махнево | - | - | 6 |
Межевая | 6 | 6 | 7 |
Михайловск | 6 | 6 | 7 |
Монетный | - | 6 | 7 |
Натальинск | - | 6 | 7 |
Невьянск | 6 | 6 | 7 |
Нейво-Рудянка | 6 | 6 | 7 |
Нейво-Шайтанский | - | - | 6 |
Нижние Серги | 6 | 6 | 8 |
Нижний Тагил | 6 | 6 | 7 |
Нижняя Салда | - | - | 6 |
Нижняя Тура | - | 6 | 7 |
Новая Ляля | - | 6 | 7 |
Новоасбест | - | 6 | 7 |
Новоуральск | 6 | 6 | 8 |
Новоуткинск | 6 | 6 | 8 |
Озерный | - | - | 7 |
Пелым | - | - | 6 |
Первоуральск | 6 | 6 | 8 |
Покровск-Уральский | - | - | 7 |
Полуночное | - | - | 6 |
Привокзальный | - | 6 | 7 |
Ревда | 6 | 6 | 8 |
Реж | - | - | 6 |
Рефтинский | - | - | 6 |
Рудничный | - | 6 | 7 |
Сарана | - | 6 | 6 |
Сарапулка | - | 6 | 7 |
Свободный | - | 6 | 7 |
Северка | 6 | 6 | 8 |
Североуральск | - | - | 7 |
Синегорский | 6 | 6 | 7 |
Сосьва | - | - | 7 |
Среднеуральск | 6 | 6 | 8 |
Старопышминск | - | 6 | 7 |
Староуткинск | 6 | 6 | 8 |
Сухой Лог | - | - | 6 |
Таватуй | 6 | 6 | 8 |
Третий Северный | - | - | 7 |
Тугулым | - | - | 6 |
Туринск | - | - | 7 |
Туринская Слобода | - | - | 6 |
Уралец | 6 | 6 | 7 |
Уральский | - | 6 | 7 |
Уфимский | 6 | 6 | 7 |
Цементный | 6 | 6 | 7 |
Черноисточинск | 6 | 6 | 7 |
Шабровский | - | 6 | 8 |
Шаля | 6 | 6 | 8 |
Шамары | 6 | 6 | 8 |
Широкая Речка | 6 | 6 | 8 |
Тамбовская область |
Дмитриевка | - | - | 6 |
Жердевка | - | - | 6 |
Знаменка | - | - | 6 |
Инжавино | - | - | 6 |
Котовск | - | - | 6 |
Мичуринск | - | - | 6 |
Мордова | - | - | 6 |
Мучкапский | - | - | 6 |
Новая Ляда | - | - | 6 |
Новопокровка | - | - | 6 |
Первомайский | - | - | 6 |
Рассказово | - | - | 6 |
Ржакса | - | - | 6 |
Сосновка | - | - | 6 |
Тамбов | - | - | 6 |
Токаревка | - | - | 6 |
Уварово | - | - | 6 |
Томская область |
Асино | 6 | 6 | 7 |
Дзержинский | 6 | 6 | 7 |
Зоркальцево | 6 | 6 | 7 |
Зырянское | 6 | 6 | 7 |
Кафтанчиково | 6 | 6 | 7 |
Кожевниково | 6 | 6 | 7 |
Кривошеино | - | - | 6 |
Молчаново | - | - | 6 |
Нелюбино | 6 | 6 | 7 |
Первомайское | 6 | 6 | 7 |
Поросино | 6 | 6 | 7 |
Рыбалово | 6 | 6 | 7 |
Северск | 6 | 6 | 7 |
Тахтамышево | 6 | 6 | 7 |
Тимирязевский | 6 | 6 | 7 |
Томск | 6 | 6 | 7 |
Черная Речка | 6 | 6 | 7 |
Эушта | 6 | 6 | 7 |
Тюменская область |
Абатское | - | - | 7 |
Аромашево | - | - | 7 |
Богандинский | - | - | 6 |
Боровский | - | - | 6 |
Вагаево | - | - | 6 |
Викулово | - | - | 7 |
Винзили | - | - | 6 |
Голышманово | - | - | 6 |
Заводоуковск | - | - | 6 |
Ишим | - | - | 6 |
Красный Гуляй | - | 6 | 7 |
Лебедевка | - | - | 6 |
Мелиораторов | - | - | 6 |
Нижняя Тавда | - | - | 6 |
Омутинское | - | - | 6 |
Сумкино | - | - | 6 |
Тобольск | - | - | 6 |
Тюмень | - | - | 6 |
Юргинское | - | - | 7 |
Ялуторовск | - | - | 6 |
Ярково | - | - | 7 |
Ульяновская область |
Базарный Сызган | - | - | 6 |
Барыш | - | - | 6 |
Вешкайма | - | - | 6 |
Димитровград | - | 6 | 7 |
Жадовка | - | - | 6 |
Игнатовка | - | - | 6 |
Измайлово | - | - | 6 |
Имени В.И. Ленина | - | - | 6 |
Ишеевка | - | | 6 |
Канадей | - | 6 | 7 |
Карсун | - | - | 6 |
Кузоватово | - | 6 | 7 |
Майна | - | - | 6 |
Мулловка | - | 6 | 7 |
Николаевка | - | 6 | 7 |
Новая Майна | - | 6 | 7 |
Новоспасское | - | 6 | 7 |
Новоульяновск | - | 6 | 7 |
Новочеремшанск | - | 6 | 7 |
Октябрьский | - | 6 | 7 |
Павловка | - | 6 | 7 |
Радищево | - | 6 | 7 |
Сенгилей | - | 6 | 7 |
Силикатный | - | 6 | 7 |
Старая Кулатка | - | 6 | 7 |
Старая Майна | - | 6 | 7 |
Старотимошкино | - | - | 6 |
Тереньга | - | 6 | 7 |
Ульяновск | - | - | 7 |
Цемзавод | - | 6 | 7 |
Чердаклы | - | 6 | 7 |
Чуфарово | - | - | 6 |
Языково | - | - | 6 |
Челябинская область |
Агаповка | - | - | 6 |
Аргаяш | - | 6 | 7 |
Аша | - | - | 6 |
Бакал | - | - | 6 |
Бердяуш | - | - | 6 |
Верхнеуральск | - | - | 6 |
Верхний Уфалей | 6 | 6 | 7 |
Вишневогорск | - | 6 | 7 |
Вязовая | - | - | 6 |
Долгодеревенское | - | - | 6 |
Златоуст | - | 6 | 6 |
Карабаш | - | 6 | 7 |
Касли | - | 6 | 7 |
Катав-Ивановск | - | - | 6 |
Кизильское | - | - | 6 |
Кропачево | - | - | 6 |
Кунашак | - | - | 6 |
Куса | - | 6 | 6 |
Кыштым | - | 6 | 7 |
Ленинск | - | | 6 |
Магнитка | - | 6 | 7 |
Магнитогорск | - | - | 6 |
Межевой | - | - | 6 |
Межозерный | - | - | 6 |
Миасс | - | - | 6 |
Миньяр | - | - | 6 |
Нижний Уфалей | 6 | 6 | 7 |
Новогорный | - | 6 | 7 |
Нязепетровск | 6 | 6 | 7 |
Озерск | - | 6 | 7 |
Сатка | - | - | 6 |
Сим | - | - | 6 |
Снежинск | - | 6 | 7 |
Сулея | - | - | 6 |
Трехгорный | - | - | 6 |
Тургояк | - | 6 | 6 |
Усть-Катав | - | - | 6 |
Чебаркуль | - | 6 | 6 |
Юрюзань | - | - | 6 |
Читинская область |
Абагайтуй | 6 | 7 | 8 |
Аксеново-Зиловское | 6 | 7 | 8 |
Акурай | 6 | 7 | 8 |
Акша | 6 | 7 | 8 |
Александровка | 6 | 7 | 8 |
Алия | 6 | 7 | 8 |
Алтан | 6 | 7 | 8 |
Альбитуй | 7 | 8 | 9 |
Амазар | 7 | 7 | 8 |
Арахлей | 6 | 7 | 8 |
Арбагар | 6 | 7 | 8 |
Аргунск | 6 | 7 | 8 |
Аренда | 6 | 7 | 8 |
Арта | 6 | 7 | 8 |
Архангельское | 7 | 8 | 9 |
Атамановка | 6 | 7 | 8 |
Бада | 7 | 7 | 8 |
Байгул | 6 | 7 | 8 |
Байхор | 7 | 8 | 9 |
Балей | 6 | 7 | 8 |
Бальзой | 6 | 7 | 8 |
Баляга | 7 | 8 | 9 |
Баляга-Катангар | 7 | 8 | 9 |
Батакан | 6 | 7 | 8 |
Безречная | 6 | 6 | 8 |
Беклемишево | 6 | 7 | 8 |
Биликтуй | 6 | 7 | 8 |
Бищигино | 6 | 7 | 8 |
Богдановка | 6 | 7 | 8 |
Богомягково | 6 | 7 | 8 |
Бол. Боты | 6 | 7 | 8 |
Большая Речка | 7 | 8 | 9 |
Большой Зерентуй | 6 | 7 | 8 |
Борзя | 6 | 7 | 8 |
Бохто | 6 | 7 | 8 |
Брусиловка | 6 | 7 | 8 |
Буйлэсан | 6 | 7 | 8 |
Букачача | 6 | 7 | 8 |
Булдуруй 1-й | 6 | 7 | 8 |
Булум | 6 | 6 | 8 |
Бура | 6 | 7 | 8 |
Бурукан | 6 | 7 | 8 |
Бурулятуй | 6 | 7 | 8 |
Бутунтай | 6 | 7 | 8 |
Бухта | 6 | 7 | 8 |
Бушулей | 6 | 7 | 8 |
Бырка | 6 | 7 | 8 |
Бытэв | 6 | 7 | 8 |
Васильевский Хутор | 6 | 7 | 8 |
Верх-Чита | 6 | 7 | 8 |
Верх. Куларки | 6 | 7 | 8 |
Верх. Ульхун | 6 | 7 | 8 |
Верх. Усугли | 6 | 7 | 8 |
Верх. Цасучей | 6 | 7 | 8 |
Верх. Шаранай | 6 | 6 | 8 |
Верх. Шергольджин | 7 | 8 | 9 |
Верхний Калгукан | 6 | 7 | 8 |
Верхняя Куэнга | 6 | 7 | 8 |
Верхняя Хила | 6 | 7 | 8 |
Гавань | 6 | 7 | 8 |
Газимурский Завод | 6 | 7 | 8 |
Галкино | 6 | 6 | 8 |
Гаур | 6 | 7 | 8 |
Георгиевка | 6 | 7 | 8 |
Глинка | 7 | 7 | 8 |
Глинянка | 6 | 7 | 8 |
Горбуновка | 6 | 7 | 8 |
Горекацан | 6 | 7 | 8 |
Горный Зерентуй | 6 | 7 | 8 |
Гуля | 7 | 7 | 8 |
Давенда | 7 | 7 | 8 |
Дарасун | 6 | 7 | 8 |
Даурия | 6 | 7 | 8 |
Долгокыча | 6 | 7 | 8 |
Домна | 6 | 7 | 8 |
Доно | 6 | 7 | 8 |
Доронинское | 6 | 7 | 8 |
Досауй | 6 | 7 | 8 |
Дровяная | 6 | 7 | 8 |
Дунаево | 6 | 7 | 8 |
Дурбачи | 6 | 7 | 8 |
Дурой | 6 | 7 | 8 |
Единение | 6 | 7 | 8 |
Елизаветино | 6 | 7 | 8 |
Жидка | 6 | 7 | 8 |
Жимбира | 6 | 7 | 8 |
Жиндо 1-е | 7 | 8 | 9 |
Жипхеген | 7 | 7 | 8 |
Жирекен | 6 | 7 | 8 |
Забайкальск | 6 | 7 | 8 |
Заречное | 7 | 7 | 8 |
Засопка | 7 | 7 | 8 |
Захарово | 7 | 8 | 8 |
Зеленое Озеро | 7 | 7 | 8 |
Зерен | 6 | 7 | 8 |
Знаменка | 6 | 7 | 8 |
Золотореченск | 6 | 7 | 8 |
Зоргол | 6 | 7 | 8 |
Зугмара | 7 | 8 | 9 |
Зюльзя | 6 | 7 | 8 |
Икабья | 9 | 9 | 10 |
Икшица | 6 | 7 | 8 |
Илим | 6 | 7 | 8 |
Ингода | 6 | 7 | 8 |
Итака | 7 | 7 | 8 |
Кадахта | 6 | 7 | 8 |
Кадая | 6 | 7 | 8 |
Казаново | 6 | 7 | 8 |
Кайдалово | 6 | 6 | 8 |
Кайластуй | 6 | 7 | 8 |
Кактолга | 6 | 7 | 8 |
Калга | 6 | 7 | 8 |
Калинино | 6 | 7 | 8 |
Капцегайтуй | 6 | 7 | 8 |
Карымское | 6 | 7 | 8 |
Катаево | 7 | 8 | 9 |
Катангар | 7 | 8 | 9 |
Кличка | 6 | 7 | 8 |
Ключевский | 7 | 7 | 8 |
Ключевское | 6 | 7 | 8 |
Ковыли | 6 | 7 | 8 |
Козлово | 6 | 7 | 8 |
Комсомольское | 6 | 7 | 8 |
Кондуй | 6 | 7 | 8 |
Конкино | 7 | 8 | 9 |
Копунь | 6 | 7 | 8 |
Коротково | 7 | 8 | 9 |
Красная Ималка | 6 | 7 | 8 |
Краснокаменск | 6 | 7 | 8 |
Красноярово | 6 | 7 | 8 |
Красный Великан | 6 | 7 | 8 |
Красный Чикой | 7 | 8 | 9 |
Ксеньевка | 7 | 7 | 8 |
Куанда | 9 | 9 | 10 |
Кузнецово | 6 | 7 | 8 |
Куйтун | 6 | 7 | 8 |
Кулусутай | 6 | 7 | 8 |
Курорт Дарасун | 6 | 7 | 8 |
Курулга | 6 | 7 | 8 |
Курунзулай | 6 | 7 | 8 |
Кутугай | 6 | 7 | 8 |
Кыкер | 6 | 7 | 8 |
Кыра | 6 | 7 | 8 |
Ленинский | 6 | 7 | 8 |
Лесной Городок | 6 | 7 | 8 |
Линево Озеро | 6 | 7 | 8 |
Ложниково | 6 | 7 | 8 |
Любовь | 6 | 7 | 8 |
Маккавеево | 6 | 7 | 8 |
Мал. Тонтой | 6 | 7 | 8 |
Малета | 7 | 8 | 9 |
Малоархангельск | 7 | 8 | 9 |
Малышево | 6 | 7 | 8 |
Мангут | 6 | 7 | 8 |
Манкечур | 6 | 7 | 8 |
Маньково | 6 | 7 | 8 |
Маргуцек | 6 | 7 | 8 |
Матусово | 6 | 7 | 8 |
Менза | 7 | 7 | 8 |
Мильгидун | 6 | 7 | 8 |
Мирная | 6 | 6 | 8 |
Мироново | 6 | 7 | 8 |
Мирсаново | 6 | 7 | 8 |
Митрофаново | 6 | 7 | 8 |
Михайло-Павловск | 6 | 7 | 8 |
Михайловка | 6 | 7 | 8 |
Могзон | 6 | 7 | 8 |
Могойтуй | 6 | 7 | 8 |
Могоча | 7 | 7 | 8 |
Моклакан | 7 | 7 | 8 |
Молодежный | 6 | 7 | 8 |
Молодовск | 6 | 7 | 8 |
Мордой | 6 | 7 | 8 |
Мулино | 6 | 7 | 8 |
Нагорный | 6 | 7 | 8 |
Надежный | 6 | 7 | 8 |
Нарасун | 6 | 7 | 8 |
Нарын-Талача | 6 | 6 | 8 |
Неляты | 9 | 9 | 10 |
Нерчинск | 6 | 7 | 8 |
Ниж. Гирюнино | 6 | 7 | 8 |
Ниж. Ильдикан | 6 | 7 | 8 |
Ниж. Калгукан | 6 | 7 | 8 |
Ниж. Ключи | 6 | 7 | 8 |
Ниж. Кокуй | 6 | 7 | 8 |
Нижний Стан | 6 | 7 | 8 |
Нижний Цасучей | 6 | 7 | 8 |
Нижняя Шахтама | 6 | 7 | 8 |
Николаевка | 6 | 7 | 8 |
Николаевское | 6 | 7 | 8 |
Новая Кука | 6 | 7 | 8 |
Новая Заря | 6 | 7 | 8 |
Новая Чара | 9 | 9 | 10 |
Новоберезовское | 6 | 7 | 8 |
Новоборзинское | 6 | 7 | 8 |
Новодоронинск | 6 | 7 | 8 |
Новоивановка | 6 | 7 | 8 |
Новоильинск | 6 | 7 | 8 |
Новокручининский | 6 | 7 | 8 |
Новопавловка | 7 | 8 | 9 |
Новотроицк | 6 | 7 | 8 |
Новоцурухайтуй | 6 | 7 | 8 |
Новый Акатуй | 6 | 7 | 8 |
Новый Дурулгуй | 6 | 7 | 8 |
Новый Олов | 6 | 7 | 8 |
Норинск | 6 | 7 | 8 |
Октябрьский | 6 | 7 | 8 |
Олекан | 6 | 7 | 8 |
Оленгуй | 6 | 7 | 8 |
Олинск | 6 | 7 | 8 |
Оловянная | 6 | 6 | 8 |
Олочи | 6 | 7 | 8 |
Онон | 6 | 7 | 8 |
Онон-Борзя | 6 | 7 | 8 |
Орой | 6 | 7 | 8 |
Первомайский | 6 | 7 | 8 |
Передняя Бырка | 6 | 7 | 8 |
Пески | 7 | 8 | 9 |
Пешково | 6 | 7 | 8 |
Погодаево | 6 | 7 | 8 |
Пограничный | 6 | 7 | 8 |
Прав. Кумаки | 6 | 7 | 8 |
Приаргунск | 6 | 7 | 8 |
Приисковый | 6 | 7 | 8 |
Размахнино | 6 | 7 | 8 |
Савва-Борзя | 6 | 7 | 8 |
Савватеево | 6 | 7 | 8 |
Сбега | 6 | 7 | 8 |
Селинда | 6 | 7 | 8 |
Семиозерный | 7 | 7 | 8 |
Сивяково | 6 | 7 | 8 |
Смоленка | 6 | 7 | 8 |
Соктуй-Милозан | 6 | 7 | 8 |
Соловьевск | 6 | 7 | 8 |
Солонечный | 6 | 7 | 8 |
Сохондо | 6 | 7 | 8 |
Средний Калар | 8 | 9 | 9 |
Среднеаргунск | 6 | 7 | 8 |
Средняя Борзя | 6 | 7 | 8 |
Средняя Олекма | 7 | 8 | 9 |
Староцурухайтуй | 6 | 7 | 8 |
Старый Олов | 6 | 7 | 8 |
Степной | 6 | 7 | 8 |
Тайна | 6 | 7 | 8 |
Талман-Борзя | 6 | 7 | 8 |
Танга | 6 | 7 | 8 |
Таптугары | 7 | 7 | 8 |
Тарбагатай | 7 | 8 | 9 |
Тарбальджей | 6 | 7 | 8 |
Татаурово | 6 | 7 | 8 |
Толбага | 7 | 8 | 9 |
Тохтор | 6 | 7 | 8 |
Трубачево | 6 | 7 | 8 |
Тунгокочен | 7 | 7 | 8 |
Тупик | 7 | 7 | 8 |
Турга | 6 | 7 | 8 |
Тыргетуй | 6 | 7 | 8 |
Убур-Тохтор | 6 | 7 | 8 |
Угдан | 6 | 7 | 8 |
Укурей | 6 | 7 | 8 |
Укурик | 6 | 7 | 8 |
Улан | 6 | 7 | 8 |
Улан-Цацык | 6 | 6 | 8 |
Улача | 6 | 7 | 8 |
Улеты | 6 | 7 | 8 |
Ульхун-Партия | 6 | 7 | 8 |
Ульякан | 6 | 7 | 8 |
Улятуй | 6 | 7 | 8 |
Унда | 6 | 7 | 8 |
Ундино-Поселье | 6 | 7 | 8 |
Урейск | 6 | 7 | 8 |
Урлук | 7 | 8 | 9 |
Уровские Ключи | 6 | 7 | 8 |
Урульга | 6 | 6 | 8 |
Урулюнгуй | 6 | 7 | 8 |
Усть-Иля | 6 | 7 | 8 |
Усть-Ималка | 6 | 7 | 8 |
Усть-Каренга | 7 | 7 | 8 |
Усть-Наринзор | 6 | 7 | 8 |
Усть-Обор | 7 | 8 | 9 |
Усть-Озерная | 6 | 7 | 8 |
Усть-Тасуркай | 6 | 7 | 8 |
Усть-Теленгуй | 6 | 7 | 8 |
Усугли | 6 | 7 | 8 |
Утан | 6 | 7 | 8 |
Ушмун | 6 | 7 | 8 |
Фирсово | 6 | 7 | 8 |
Хада-Булак | 6 | 7 | 8 |
Хадакта | 6 | 7 | 8 |
Хапчеранга | 6 | 7 | 8 |
Хара-Бырка | 6 | 6 | 8 |
Харагун | 6 | 7 | 8 |
Харанор | 6 | 7 | 8 |
Харауз | 7 | 8 | 9 |
Хилогосон | 7 | 7 | 8 |
Хилок | 7 | 7 | 8 |
Холбон | 6 | 7 | 8 |
Холуй-База | 6 | 7 | 8 |
Хохотуй | 7 | 7 | 9 |
Хушенга | 6 | 7 | 8 |
Цаган-Олуй | 6 | 7 | 8 |
Целинный | 6 | 7 | 8 |
Чалдонка | 7 | 7 | 8 |
Чапо-Олого | 9 | 9 | 10 |
Чара | 9 | 9 | 10 |
Чашино-Ильдикан | 6 | 7 | 8 |
Черемхово | 7 | 7 | 8 |
Чернышевск | 6 | 7 | 8 |
Чикичей | 6 | 7 | 8 |
Чингильтуй | 6 | 7 | 8 |
Чиндагатай | 6 | 7 | 8 |
Чирон | 6 | 7 | 8 |
Чита | 6 | 7 | 8 |
Чупрово | 6 | 7 | 8 |
Шара | 6 | 7 | 8 |
Шаранча | 6 | 7 | 8 |
Шерловая Гора | 6 | 7 | 8 |
Шивия | 6 | 7 | 8 |
Шилка | 6 | 7 | 8 |
Шимбилик | 7 | 7 | 8 |
Широкая | 6 | 7 | 8 |
Шишкино | 6 | 7 | 8 |
Шоноктуй | 6 | 7 | 8 |
Шумунда | 6 | 7 | 8 |
Энгорок | 7 | 7 | 8 |
Юбилейный | 6 | 7 | 8 |
Яблоново | 6 | 7 | 8 |
Явленка | 6 | 7 | 8 |
Ясная | 6 | 6 | 8 |
Ясногорск | 6 | 6 | 8 |
АВТОНОМНЫЕ ОБЛАСТИ ИЛИ ОКРУГА |
Еврейская автономная область |
Амурзет | 8 | 8 | 9 |
Бира | 8 | 8 | 10 |
Биракан | 8 | 8 | 10 |
Биробиджан | 7 | 8 | 9 |
Известковый | 8 | 8 | 9 |
Имени Тельмана | 6 | 6 | 7 |
Кульдур | 8 | 8 | 9 |
Ленинское | 7 | 7 | 8 |
Лондоко | 8 | 8 | 10 |
Николаевка | 6 | 7 | 7 |
Облучье | 8 | 8 | 9 |
Приамурский | 6 | 6 | 7 |
Смидович | 6 | 7 | 8 |
Теплоозерск | 8 | 8 | 10 |
Хинганск | 8 | 8 | 9 |
Агинский Бурятский автономный округ |
Агинское | 6 | 6 | 8 |
Дульдурга | 6 | 7 | 8 |
Могойтуй | 6 | 6 | 8 |
Новоорловск | 6 | 6 | 8 |
Орловский | 6 | 6 | 8 |
Коми-Пермяцкий автономный округ |
Майкор | - | - | 6 |
Пожва | - | - | 6 |
Юсьва | - | - | 6 |
Корякский автономный округ |
Апука | 8 | 8 | 9 |
Ачайваям | 8 | 8 | 9 |
Аянка | 6 | 7 | 8 |
Воямполка | 7 | 8 | 9 |
Вывенка | 8 | 9 | 10 |
Ивашка | 8 | 8 | 10 |
Каменское | 6 | 7 | 8 |
Ковран | 8 | 8 | 9 |
Корф | 8 | 9 | 10 |
Лесная | 7 | 8 | 9 |
Макарьевское | 8 | 9 | 10 |
Манилы | 6 | 7 | 8 |
Оссора | 8 | 8 | 10 |
Пахачи | 8 | 8 | 9 |
Палана | 7 | 8 | 9 |
Седанка | 8 | 8 | 9 |
Слаутное | 6 | 7 | 8 |
Таловка | 7 | 7 | 8 |
Тигиль | 8 | 8 | 9 |
Тиличики | 8 | 8 | 10 |
Тымлат | 8 | 8 | 9 |
Усть-Хайрюзово | 8 | 8 | 9 |
Хаилино | 8 | 8 | 9 |
Хайрюзово | 8 | 8 | 9 |
Ненецкий автономный округ |
Амдерма | - | - | 6 |
Кара | - | - | 6 |
Таймырский (Долгано-Ненецкий) автономный округ |
Челюскин | - | - | 6 |
Нордвик | 6 | 6 | 7 |
Усть-Ордынский Бурятский автономный округ |
Аларь | 7 | 8 | 9 |
Александровское | 7 | 8 | 9 |
Аляты | 7 | 8 | 9 |
Апхульта | 7 | 7 | 8 |
Баяндай | 7 | 8 | 9 |
Бильчир | 7 | 7 | 8 |
Бохан | 7 | 8 | 8 |
Буреть | 7 | 8 | 9 |
Гаханы | 7 | 8 | 8 |
Забитуй | 7 | 8 | 9 |
Закулей | 7 | 7 | 8 |
Казачье | 7 | 7 | 8 |
Каменка | 7 | 8 | 8 |
Кутулик | 7 | 8 | 8 |
Ленино | 7 | 7 | 8 |
Новоленино | 7 | 7 | 8 |
Новонукутский | 7 | 7 | 8 |
Олонки | 7 | 8 | 9 |
Ользоны | 7 | 8 | 9 |
Оса | 7 | 7 | 8 |
Первомайское | 7 | 7 | 8 |
Приморский | 7 | 7 | 8 |
Тараса | 7 | 8 | 8 |
Тихоновка | 7 | 7 | 8 |
Тугутуй | 8 | 8 | 9 |
Усть-Ордынский | 7 | 8 | 9 |
Хогот | 7 | 8 | 9 |
Чукотский автономный округ |
Айон | - | - | 7 |
Алискерово | 6 | 6 | 7 |
Алькатваам | 6 | 7 | 8 |
Амгуэма | 6 | 7 | 8 |
Анадырь | 6 | 6 | 7 |
Апапельгино | - | 6 | 7 |
Бараниха | 6 | 6 | 7 |
Беринговский | 6 | 7 | 8 |
Билибино | 6 | 6 | 7 |
Биллингс | - | 6 | 7 |
Быстрый | 6 | 6 | 7 |
Ваеги | 6 | 7 | 8 |
Ванкарем | 7 | 8 | 9 |
Весенний | 6 | 6 | 7 |
Встречный | 6 | 6 | 7 |
Второй | 6 | 6 | 7 |
Илирней | 6 | 6 | 7 |
Инчоун | 6 | 7 | 8 |
Канчалан | 6 | 6 | 7 |
Кепервеем | 6 | 6 | 7 |
Комсомольский | 6 | 6 | 7 |
Конергино | 6 | 6 | 7 |
Краснено | 6 | 6 | 7 |
Лаврентия | 6 | 7 | 8 |
Ламутское | 6 | 6 | 8 |
Ленинградский | 6 | 6 | 7 |
Лорино | 6 | 7 | 8 |
Маркове | 6 | 7 | 8 |
Мыс Шмидта | 6 | 6 | 7 |
Нешкан | 7 | 7 | 8 |
Новое Чаплино | 6 | 6 | 7 |
Нунлигран | 6 | 7 | 7 |
Нутэпэльмен | 7 | 8 | 9 |
Омолон | - | - | 6 |
Островное | 6 | 6 | 7 |
Певек | - | 6 | 7 |
Рыркарпий | 6 | 6 | 7 |
Рыткучи | 6 | 6 | 7 |
Сиреники | 6 | 7 | 7 |
Снежное | 6 | 6 | 8 |
Тавайваам | 6 | 6 | 7 |
Угольные Копи | 6 | 6 | 7 |
Урелики | 6 | 6 | 7 |
Усть-Белая | 6 | 6 | 8 |
Уэлькаль | 6 | 6 | 7 |
Хатырка | 6 | 7 | 8 |
Чуванское | 6 | 6 | 7 |
Эгвекинот | 6 | 7 | 7 |
Энмелен | 6 | 7 | 7 |
Энурмино | 6 | 7 | 8 |
Янракыннот | 6 | 7 | 8 |
Янранай | - | - | 7 |
| | О применении данных карт см. Рекомендации по применению карт общего сейсмического районирования территории российской федерации (Письмо Госстроя РФ от 23.03.2001 N АШ-1382/9). | |
КАРТЫ ОБЩЕГО СЕЙСМИЧЕСКОГО РАЙОНИРОВАНИЯ
ТЕРРИТОРИИ РОССИЙСКОЙ ФЕДЕРАЦИИ - ОСР-97
Карты ОСР-97-А, ОСР-97-В и ОСР-97-С отражают 10%-, 5%- и 1%-ную вероятность возможного превышения (или 90%-, 95%- и 99%-ную вероятность непревышения) в течение 50 лет интенсивности сейсмических воздействий, указанных на картах цифрами в баллах шкалы MSK-64, и соответствуют повторяемости сейсмических потрясений в среднем один раз в 500 (карта А), 1000 (В) и 5000 (С) лет.
рис. 1
| | В "Бюллетене строительной техники" N 11, 2008 опубликованы изменения в части карт ОСР-97-В и ОСР-97-С для района расположения населенных пунктов Богучаны, Кодинск, Мотыгино. | |
рис. 2
| | В "Бюллетене строительной техники" N 11, 2008 опубликованы изменения в части карт ОСР-97-В и ОСР-97-С для района расположения населенных пунктов Богучаны, Кодинск, Мотыгино. | |
рис. 3
рис. 4
рис. 5
рис. 6
рис. 7
рис. 8
рис. 9
рис. 10