Главная // Актуальные документы // ПравилаСПРАВКА
Источник публикации
В данном виде документ опубликован не был.
Первоначальный текст документа опубликован в издании
М., 2016.
Информацию о публикации документов, создающих данную редакцию, см. в справке к этим документам.
Примечание к документу
О порядке применения данного документа при проверке соответствия проектной документации и (или) результатов инженерных изысканий, представленных на первичную или повторную государственную или негосударственную экспертизу, в целях обеспечения соблюдения требований Федерального
закона от 30.12.2009 N 384-ФЗ см.
п. 2 Постановления Правительства РФ от 28.05.2021 N 815.
Отдельные положения данного документа до 01.09.2022 были включены в
Перечень национальных стандартов и сводов правил (частей таких стандартов и сводов правил), в результате применения которых на обязательной основе обеспечивается соблюдение требований Федерального
закона "Технический регламент о безопасности зданий и сооружений" (
Постановление Правительства РФ от 28.05.2021 N 815).
Отдельные положения данного документа включены в
Перечень национальных стандартов и сводов правил (частей таких стандартов и сводов правил), в результате применения которых на обязательной основе обеспечивается соблюдение требований Федерального
закона "Технический регламент о безопасности зданий и сооружений" (
Постановление Правительства РФ от 04.07.2020 N 985).
Документ включен в
Перечень документов в области стандартизации, в результате применения которых на добровольной основе обеспечивается соблюдение требований Федерального
закона от 30.12.2009 N 384-ФЗ "Технический регламент о безопасности зданий и сооружений" (
Приказ Росстандарта от 02.04.2020 N 687).
Название документа
"СП 128.13330.2016. Свод правил. Алюминиевые конструкции. Актуализированная редакция СНиП 2.03.06-85"
(утв. Приказом Минстроя России от 16.12.2016 N 948/пр)
(ред. от 29.07.2024)
"СП 128.13330.2016. Свод правил. Алюминиевые конструкции. Актуализированная редакция СНиП 2.03.06-85"
(утв. Приказом Минстроя России от 16.12.2016 N 948/пр)
(ред. от 29.07.2024)
и жилищно-коммунального хозяйства
Российской Федерации
от 16 декабря 2016 г. N 948/пр
СВОД ПРАВИЛ
АЛЮМИНИЕВЫЕ КОНСТРУКЦИИ
АКТУАЛИЗИРОВАННАЯ РЕДАКЦИЯ
Aluminium structures
СП 128.13330.2016
| | Список изменяющих документов Минстроя России от 29.07.2024 N 486/пр) | |
Дата введения
17 июня 2017 года
Сведения о своде правил
1 ИСПОЛНИТЕЛИ - АО "НИЦ "Строительство" ЦНИИСК им. В.А. Кучеренко, институт ЦНИИПСК им. Мельникова, ЗАО "МЕТАКОН ЦЕНТР"
2 ВНЕСЕН Техническим комитетом по стандартизации ТК 465 "Строительство"
3 ПОДГОТОВЛЕН К УТВЕРЖДЕНИЮ Департаментом градостроительной деятельности и архитектуры Министерства строительства и жилищно-коммунального хозяйства Российской Федерации (Минстрой России)
4 УТВЕРЖДЕН
Приказом Министерства строительства и жилищно-коммунального хозяйства Российской Федерации от 16 декабря 2016 г. N 948/пр и введен в действие с 17 июня 2017 г.
5 ЗАРЕГИСТРИРОВАН Федеральным агентством по техническому регулированию и метрологии (Росстандарт). Пересмотр
СП 128.13330.2012 "СНиП 2.03.06-85 Алюминиевые конструкции"
В случае пересмотра (замены) или отмены настоящего свода правил соответствующее уведомление будет опубликовано в установленном порядке. Соответствующая информация, уведомление и тексты размещаются также в информационной системе общего пользования - на официальном сайте разработчика (Минстрой России) в сети Интернет
Настоящий свод правил составлен с целью повышения уровня безопасности людей в зданиях и сооружениях и сохранности материальных ценностей в соответствии с Федеральным
законом от 30 декабря 2009 г. N 384-ФЗ "Технический регламент о безопасности зданий и сооружений", повышения уровня гармонизации нормативных требований с европейскими и международными нормативными документами, применения единых методов определения эксплуатационных характеристик и методов оценки.
Пересмотр
СП 128.13330.2012 выполнен следующим авторским коллективом: АО "НИЦ "Строительство" Центральный научно-исследовательский институт строительных конструкций им. В.А. Кучеренко в составе специалистов: д-ра техн. наук, профессоры
И.И. Ведяков,
П.Д. Одесский,
Ю.В. Кривцов, канд. техн. наук
М.И. Гукова,
Б.С. Цетлин,
Е.Р. Мацелинский, инженеры
Л.С. Сошникова,
П.П. Колесников; ЗАО "Метакон центр" инженер
Е.Б. Алексеева, ЦНИИПСК им. Мельникова: д-р техн. наук
В.К. Востров, канд. техн. наук
И.Л. Ружанский.
Изменение N 1 к СП 128.13330.2016 разработано авторским коллективом: Объединение производителей, поставщиков и потребителей алюминия (Алюминиевая Ассоциация) (руководитель темы - И.С. Казовская), ООО "МЕТАКОН ЦЕНТР" (О.А. Хохлова, Е.Б. Алексеева), ГАУ НО "Управление госэкспертизы" (канд. техн. наук А.Е. Святошенко).
(абзац введен
Изменением N 1, утв. Приказом Минстроя России от 29.07.2024 N 486/пр)
1.1 Настоящий свод устанавливает правила проектирования строительных алюминиевых конструкций (далее - конструкции из алюминия и алюминиевых сплавов) зданий и сооружений.
Правила не распространяются на проектирование алюминиевых конструкций мостов и конструкций зданий и сооружений, подвергающихся многократному воздействию нагрузок (усталостная прочность), а также непосредственному воздействию подвижных или динамических нагрузок или воздействию температуры свыше 100 °C.
1.2 При проектировании конструкций, находящихся в особых условиях эксплуатации, конструкций уникальных зданий и сооружений, а также специальных видов конструкций необходимо соблюдать требования, предусмотренные соответствующими нормативными документами, в которых отражены особенности работы этих конструкций.
(раздел 2 в ред.
Изменения N 1, утв. Приказом Минстроя России от 29.07.2024 N 486/пр)
В настоящем своде правил использованы нормативные ссылки на следующие документы:
ГОСТ 4.221-82 Система показателей качества продукции. Строительство. Строительные конструкции и изделия из алюминиевых сплавов. Номенклатура показателей
ГОСТ 9.303-84 Единая система защиты от коррозии и старения. Покрытия металлические и неметаллические неорганические. Общие требования к выбору
ГОСТ 1583-93 Сплавы алюминиевые литейные. Технические условия
ГОСТ 1759.0-87 (СТ СЭВ 4203-83) Болты, винты, шпильки и гайки. Технические условия
ГОСТ 5915-70 Гайки шестигранные класса точности B. Конструкция и размеры
ГОСТ 7798-70 (СТ СЭВ 4728-84) Болты с шестигранной головкой класса точности B. Конструкция и размеры
ГОСТ 7871-2019 Проволока сварочная из алюминия и алюминиевых сплавов. Технические условия
ГОСТ 8617-2018 Профили прессованные из алюминия и алюминиевых сплавов. Технические условия
ГОСТ 10299-80 Заклепки с полукруглой головкой классов точности B и C. Технические условия
ГОСТ 10300-80 Заклепки с потайной головкой классов точности B и C. Технические условия
ГОСТ 10301-80 Заклепки с полупотайной головкой классов точности B и C. Технические условия
ГОСТ 10304-80 Заклепки классов точности B и C. Общие технические условия
ГОСТ 10618-80 Винты самонарезающие для металла и пластмассы. Общие технические условия
ГОСТ 10619-80 Винты самонарезающие с потайной головкой для металла и пластмассы. Конструкция и размеры
ГОСТ 10621-80 Винты самонарезающие с полукруглой головкой для металла и пластмассы. Конструкция и размеры
ГОСТ 11738-84 (ИСО 4762-77) Винты с цилиндрической головкой и шестигранным углублением под ключ класса точности A. Конструкция и размеры
ГОСТ 13726-2023 Ленты из алюминия и алюминиевых сплавов. Технические условия
ГОСТ 14806-80 Дуговая сварка алюминия и алюминиевых сплавов в инертных газах. Соединения сварные. Основные типы, конструктивные элементы и размеры
ГОСТ 14838-78 Проволока из алюминия и алюминиевых сплавов для холодной высадки. Технические условия
ГОСТ 15150-69 Машины, приборы и другие технические изделия. Исполнения для различных климатических районов. Категории, условия эксплуатации, хранения и транспортирования в части воздействия климатических факторов внешней среды
ГОСТ 17232-2023 Плиты из алюминия и алюминиевых сплавов. Технические условия
ГОСТ 17473-80 Винты с полукруглой головкой классов точности A и B. Конструкция и размеры
ГОСТ 17475-80 Винты с потайной головкой классов точности A и B. Конструкция и размеры
ГОСТ 18475-82 Трубы холоднодеформированные из алюминия и алюминиевых сплавов. Технические условия
ГОСТ 18482-2018 Трубы прессованные из алюминия и алюминиевых сплавов. Технические условия
ГОСТ 21488-97 Прутки прессованные из алюминия и алюминиевых сплавов. Технические условия
ГОСТ 21631-2023 Листы из алюминия и алюминиевых сплавов. Технические условия
ГОСТ 22233-2018 Профили прессованные из алюминиевых сплавов для ограждающих конструкций. Технические условия
ГОСТ 27751-2014 Надежность строительных конструкций и оснований. Основные положения
ГОСТ 28778-90 Болты самоанкерующиеся распорные для строительства. Технические условия
ГОСТ 32484.1-2013 (EN 14399-1:2005) Болтокомплекты высокопрочные для предварительного натяжения конструкционные. Общие требования
ГОСТ 32484.3-2013 (EN 14399-3:2005) Болтокомплекты высокопрочные для предварительного натяжения конструкционные. Система HR - комплекты шестигранных болтов и гаек
ГОСТ 32484.5-2013 (EN 14399-5:2005) Болтокомплекты высокопрочные для предварительного натяжения конструкционные. Плоские шайбы
ГОСТ ISO 898-1-2014 Механические свойства крепежных изделий из углеродистых и легированных сталей. Часть 1. Болты, винты и шпильки установленных классов прочности с крупным и мелким шагом резьбы
ГОСТ ISO 898-2-2015 Механические свойства крепежных изделий из углеродистых и легированных сталей. Часть 2. Гайки установленных классов прочности с крупным и мелким шагом резьбы
ГОСТ Р 56281-2014 Трубы прессованные крупногабаритные круглые из алюминиевых сплавов. Технические условия
ГОСТ Р 56282-2014 Профили прессованные крупногабаритные сплошные из алюминиевых сплавов. Технические условия
СП 16.13330.2017 "СНиП II-23-81* Стальные конструкции" (с изменениями N 1, N 2, N 3, N 4, N 5)
СП 20.13330.2016 "СНиП 2.01.07-85* Нагрузки и воздействия" (с изменениями N 1, N 2, N 3, N 4)
СП 28.13330.2017 "СНиП 2.03.11-85 Защита строительных конструкций от коррозии" (с изменениями N 1, N 2, N 3)
СП 43.13330.2012 "СНиП 2.09.03-85 Сооружения промышленных предприятий" (с изменениями N 1, N 2, N 3)
СП 131.13330.2020 "СНиП 23-01-99* Строительная климатология" (с изменениями N 1, N 2)
Примечание - При пользовании настоящим сводом правил целесообразно проверить действие ссылочных документов в информационной системе общего пользования - на официальном сайте федерального органа исполнительной власти в сфере стандартизации в сети Интернет, на официальном сайте федерального органа исполнительной власти, разработавшего и утвердившего настоящий свод правил, или по ежегодному информационному указателю "Национальные стандарты", который опубликован по состоянию на 1 января текущего года, и по выпускам ежемесячного информационного указателя "Национальные стандарты" за текущий год. Если заменен ссылочный документ, на который дана недатированная ссылка, то рекомендуется использовать действующую версию этого документа с учетом всех внесенных в данную версию изменений. Если заменен ссылочный документ, на который дана датированная ссылка, то рекомендуется использовать версию этого документа с указанным выше годом утверждения (принятия). Если после утверждения настоящего свода правил в ссылочный документ, на который дана датированная ссылка, внесено изменение, затрагивающее положение, на которое дана ссылка, то это положение рекомендуется применять без учета данного изменения. Если ссылочный документ отменен без замены, то положение, в котором дана ссылка на него, рекомендуется применять в части, не затрагивающей эту ссылку. Сведения о действии сводов правил целесообразно проверить в Федеральном информационном фонде стандартов.
Термины, использованные в настоящем СП, применены в соответствии с
ГОСТ 1583.
4.1 Алюминиевые конструкции следует применять при строительстве и реконструкции зданий и сооружений для ограждающих и несущих конструкций в следующих случаях:
при необходимости значительного снижения массы ограждающих и несущих конструкций зданий и сооружений;
с целью обеспечения повышенных архитектурных требований к конструкциям зданий или сооружений;
при необходимости обеспечения повышенной коррозионной стойкости, сохранения прочностных характеристик при низких температурах, отсутствия новообразования и магнитных свойств.
4.2 При проектировании алюминиевых конструкций необходимо:
выбирать конструктивные схемы, а также сечения элементов и марки деформируемых алюминиевых сплавов и технического алюминия (условно названных "алюминий") и литейных сплавов (условно названных "литейный алюминий"), обеспечивающие прочность и устойчивость конструкций;
максимально использовать широкие возможности получения профилей оптимального сечения при прессовании;
учитывать технологические возможности предприятий-изготовителей профилей и конструкций;
соблюдать требования по защите строительных конструкций от коррозии согласно
СП 28.13330;
соблюдать требования нормативных документов по пожарной безопасности;
учитывать требования национальных стандартов и пользоваться каталогами алюминиевых профилей;
(в ред.
Изменения N 1, утв. Приказом Минстроя России от 29.07.2024 N 486/пр)
для конструкций, подвергающихся непосредственному воздействию подвижных или динамических нагрузок, воздействию многократных нагрузок, следует соблюдать требования
СП 443.1325800.
(введено
Изменением N 1, утв. Приказом Минстроя России от 29.07.2024 N 486/пр)
4.3 Расчет алюминиевых конструкций должен удовлетворять требованиям настоящего СП.
4.4 Буквенные обозначения величин, использованные в настоящем СП, приведены в
приложении А.
5 Материалы для конструкций и соединений
5.1 Выбор марки сплава и состояния поставки полуфабрикатов для алюминиевых конструкций следует проводить в зависимости от:
характера и интенсивности нагрузки, напряженного состояния элементов конструкций, расчетных температур и требуемых механических свойств алюминия;
стойкости к коррозии;
технологичности изготовления полуфабрикатов;
технологии изготовления и монтажа конструкций;
архитектурных требований.
5.2 Для алюминиевых конструкций следует применять алюминий марок и состояний, указанных в таблице 1.
Минстроя России от 29.07.2024 N 486/пр)
Химический состав | Обозначение марок | Состояние поставки | Обозначение стандарта на поставку по механическим свойствам полуфабрикатов |
Лист | Профиль | Труба | Лента |
Al | 1013 | М | | - | | |
Сплавы, термически не упрочняемые |
Al Mn | 1400 | М | | - | | |
Н2 | | - | - | |
Al Mg | 1520 | М | | - | - | |
Н2 | | - | - | |
1530 | М | | - | - | |
Н2 | | - | - | |
| М Н1 Н2 | | - | - | - |
Сплавы, термически упрочняемые |
Al Mg Si | 1310 | Т | - | | | - |
Т1 | - | | | - |
Т5; Т4 | - | | - | - |
АД33 1330 | Т | - | | - | - |
Т1 | | | - | - |
1340 | М | | - | | |
| Т | | | | - |
Т1 | | | | - |
EN AW 6060 | | - | | | - |
EN AW 6063 |
EN AW 6082 | | - | | - | - |
AW 6061 | | - | | - | - |
Al Zn Mg | | Т | 21631 (II; III) | | | - |
Т1 | - |
| Т | - | | | - |
Al Zn Mg Cu | 1950 | Т | - | | - | - |
Т1 | | | - |
<*> Алюминий марки АМцМ следует применять преимущественно для листовых конструкций декоративного назначения, подлежащих анодированию в черный цвет. <**> Кроме указанных в таблице 1, из данной марки алюминия изготавливают полуфабрикат в виде плиты. <***> Кроме указанных в таблице 1, из данных марок алюминия изготавливают полуфабрикат в виде прутка. <****> Зарубежные сплавы (аналоги сплава АД31). В стандартах указаны состояния поставки по зарубежному обозначению, где Т4 соответствует отечественному Т, а Т6 - Т1. <*****> Алюминий марки В95 следует применять для сжатых элементов конструкций, принимая меры для снижения концентрации напряжений. Примечание - В скобках указаны группы конструкций, в которых применяется данный сплав (см. 5.3). |
По химическому составу алюминий поставляется по
ГОСТ 4784. Марка алюминиевого сплава в стандарте и в
таблице 1, кроме буквенного, имеет цифровое обозначение, в котором первая цифра - основа сплава (1 - алюминий), вторая - главный легирующий компонент или группа основных легирующих компонентов, две последние - порядковый номер в своей группе.
Состояние полуфабрикатов из алюминиевых деформируемых сплавов обозначаются буквенно-цифровой маркировкой: М - мягкий, отожженный; Т - закаленный и естественно состаренный; Т1 - закаленный и искусственно состаренный; Т4 - не полностью закаленный и естественно состаренный; Т5 - не полностью закаленный и искусственно состаренный; Н - нагартованный; Н2 - полунагартованный.
5.3 В зависимости от назначения зданий и сооружений при использовании алюминия конструкции разделяются на четыре группы. Примерный состав групп:
группа I - ограждающие конструкции (кровли, витрины, витражи, фонарные переплеты, подвесные потолки, перегородки) и заполнение проемов (окна, двери, ворота);
группа II - конструкции, совмещающие несущие и ограждающие функции:
- пространственные листовые покрытия зданий, в том числе купольные или висячие;
- крупноблочные и решетчатые покрытия с предварительно напряженной кровельной обшивкой;
- резервуары и силосы;
- кровельные и стеновые панели общественных и промышленных зданий, в том числе со взрывоопасным производством, а также при наличии высокой влажности внутреннего воздуха;
- кровельные панели общественных зданий, к которым предъявляются высокие архитектурные требования;
группа III - несущие сварные конструкции:
- стационарные несущие конструкции: фермы, колонны, прогоны покрытий, пространственные решетчатые конструкции покрытий промышленных большепролетных зданий; зданий при наличии агрессивных сред; покрытий общественных зданий: выставочных павильонов, аэровокзалов и т.п.;
- элементы стволов и башен антенных сооружений; опоры высоковольтных линий электропередач, в том числе возводимые в удаленных или труднодоступных районах;
- сборно-разборные конструкции каркасов зданий и сооружений, блоки покрытия и др.;
группа IV - конструкции, относящиеся к группе III, не имеющие сварных соединений.
5.4 Виды алюминиевых полуфабрикатов для строительных конструкций следует принимать по
таблице 1. Применять другие виды полуфабрикатов из сплавов, обеспечивающих требуемые характеристики прочности, жесткости, долговечности и др. свойств, следует по согласованию с металлургическими заводами.
5.5 Для изготовления алюминиевых отливок, а также для соединительных элементов, опорных элементов конструкций следует применять литейный сплав марки АК8М3ч (ВАЛ8), удовлетворяющий по химическому составу требованиям
ГОСТ 1583. При необходимости повышения коррозионной стойкости следует применять сплавы АК7ч (АЛ9) или АК9ч (АЛ4).
Применять отливки из материалов, указанных в
СП 16.13330, следует при соответствующей защите от контактной коррозии.
5.6 При аргонодуговой сварке алюминиевых конструкций следует в зависимости от свариваемого сплава (см.
таблицу 8) применять сварочную проволоку по
ГОСТ 7871 из алюминия марок СвА5, СвАМг3 и Св1557, удовлетворяющих по химическому составу требованиям
ГОСТ 4784, и аргон марки А по
ГОСТ 10157.
5.7 Следует применять болты из алюминия марок АМг5п, Д18Т, В65Т по
ГОСТ 14838, марок АВТ1, АД33Т1 - по
ГОСТ 21488. Болты из алюминия марки В94Т1 следует применять при соответствующем обосновании.
5.8 Стальные болты в алюминиевых конструкциях следует применять согласно требованиям
СП 16.13330. Для соединений с использованием стальных болтов необходимо предусматривать мероприятия по защите их от контактной коррозии в соответствии с
ГОСТ 9.303.
В случае применения болтов из нержавеющей стали дополнительные мероприятия по защите алюминия от контактной коррозии не требуются.
(в ред.
Изменения N 1, утв. Приказом Минстроя России от 29.07.2024 N 486/пр)
Для фрикционных и фланцевых соединений следует применять высокопрочные болты (болты в исполнении ХЛ класса прочности не ниже 10.9 с предварительным напряжением):
(в ред.
Изменения N 1, утв. Приказом Минстроя России от 29.07.2024 N 486/пр)
Следует применять следующие алюминиевые сплавы для поставленных в холодном состоянии заклепок:
нагартованных - АД1Н;
термически неупрочняемых - АМц и АМг;
отожженных - АМг5пМ;
закаленных и искусственно состаренных - сплавы повышенной пластичности и коррозионной стойкости - АД33Т1 и АВТ1 и высокопрочный заклепочный сплав - В94Т1;
"сырых" (без термической обработки) - Д18п;
закаленных и естественно состаренных (с термической обработкой) - дюралюминиевый заклепочный сплав повышенной пластичности Д18Т и дюралюминиевый заклепочный сплав повышенной прочности В65Т.
В целях повышения коррозионной стойкости следует не допускать расхождения в содержании меди в основном металле и металле заклепок.
5.9 В конструкциях из алюминиевых сплавов анкерные болты следует выполнять из стали при соответствующей защите от контактной коррозии. Анкерные болты следует применять согласно требованиям
СП 43.13330.
5.10 Физические характеристики алюминия для строительных конструкций следует принимать по
приложениям Б и
В.
6 Расчетные характеристики материалов и соединений
6.1 Расчетные значения сопротивления (расчетные сопротивления) для расчетных температур <*> наружного воздуха от плюс 50° до минус 65 °C для деформируемых алюминиевых сплавов, не упрочняемых термической обработкой, приведены в
таблице 3, а упрочняемых термической обработкой - в
таблице 4, при этом расчетные сопротивления сдвигу и смятию установлены в соответствии с
таблицей 2 с округлением значений расчетных сопротивлений до 5 Н/мм
2.
--------------------------------
<*> Для положительных температур знак не указывается (за исключением диапазонов температур).
Напряженное состояние | Расчетные сопротивления |
Растяжение, сжатие и изгиб | R |
Сдвиг | Rs = 0,6R |
Смятие: | |
торцевой поверхности (при наличии пригонки) | Rp = 1,6R |
местное при плотном касании | Rlp = 0,75R |
Минстроя России от 29.07.2024 N 486/пр)
Напряженное состояние | Обозначение | Расчетное сопротивление, Н/мм2, термически не упрочняемого алюминия марок |
АД1М | АМцМ | АМцН2 | АМг2М | АМг2Н2, АМг3Н2 | 1565чМ | 1565чН2 | литейного АК8М3ч (ВАЛ8) |
плиты, прутки, профили, трубы | листы |
Растяжение, сжатие и изгиб | R | 25 | 40 | 100 | 70 | 120 | 140 | 155 | 225 | 135 |
Сдвиг | Rs | 15 | 25 | 60 | 40 | 75 | 85 | | 135 | 80 |
Смятие торцевой поверхности (при наличии пригонки) | Rp | 40 | 65 | 160 | 110 | 190 | 220 | | 360 | 215 |
Местное смятие при плотном касании | Rlp | 20 | 30 | 75 | 50 | 90 | 105 | | 165 | 105 |
Растяжение в направлении толщины прессованных полуфабрикатов | Rth | 25 | 40 | 100 | 70 | 120 | - | - | - | - |
<*> Расчетные сопротивления для полуфабрикатов из сплава 1565ч в других состояниях поставки следует определять по данным ГОСТ 21631 и ГОСТ 17232 согласно положениям 6.1. |
Напряженное состояние | Обозначение | Расчетное сопротивление, Н/мм2, термически упрочняемого алюминия марок |
АД31Т; АД31Т4 | АД31Т5 | АД31Т1 | АД33Т | АД33Т1 | АВМ (листы) | | 1925Т | |
Растяжение, сжатие и изгиб | R | 55 | 100 | 120 | 95 | 160 | 70 | 170 | 175 | 195 |
Сдвиг | Rs | 35 | 60 | 75 | 60 | 100 | 45 | 105 | 105 | 120 |
Смятие торцевой поверхности (при наличии пригонки) | Rp | 90 | 160 | 190 | 155 | 255 | 115 | 270 | 280 | 310 |
Местное смятие при плотном касании | Rlp | 40 | 75 | 90 | 75 | 120 | 55 | 130 | 130 | 145 |
Растяжение в направлении толщины прессованных полуфабрикатов | Rth | 55 | 100 | 120 | 95 | 160 | 70 | 170 | 50 | 50 |
<*> Для труб следует принимать R = 175 Н/мм 2. <**> Для профилей и труб через 3 мес после прессования следует принимать R = 220 Н/мм 2; а через 6 и более месяцев - R = 230 Н/мм 2. |
Окончание таблицы 4
Напряженное состояние | Обозначение | Расчетное сопротивление, Н/мм2, термически упрочняемого алюминия марок |
АВТ | В95Т1 |
листы (0,5 - 4) | листы (5 - 25); прутки; профили | плиты (26 - 40) | трубы | (5 - 10); прутки; профили трубы | листы (0,5 - 4); (26 - 40) |
Растяжение, сжатие и изгиб | R | 110 | 100 | 90 | 115 | 300 | 290 |
Сдвиг | Rs | 70 | 60 | 55 | 70 | 180 | 175 |
Смятие торцевой поверхности (при наличии пригонки) | Rp | 175 | 160 | 145 | 185 | 480 | 465 |
Местное смятие при плотном касании | Rlp | 85 | 75 | 70 | 90 | 225 | 220 |
Растяжение в направлении толщины прессованных полуфабрикатов | Rth | 110 | 100 | 90 | 115 | 300 | 290 |
<*> Листы и плиты плакированные. <**> Для профилей из сплава В95Т1 толщиной от 10 до 20 мм - R = 320 Н/мм 2; от 20 до 40 мм - R = 340 Н/мм 2. Примечание - Значения в скобках приведены в мм. |
Значение расчетного сопротивления алюминия при растяжении, сжатии и изгибе R следует принимать равным меньшему из значений расчетного сопротивления по условному пределу текучести Ry и расчетного сопротивления по временному сопротивлению Ru. При этом

;

,
где
Ryn - нормативное сопротивление алюминия, принимаемое равным значению условного предела текучести сечения

по национальным стандартам и техническим условиям на алюминий;
Run - нормативное сопротивление алюминия разрыву, принимаемое равным минимальному значению временного сопротивления

по национальным стандартам и техническим условиям на алюминий;

;

.
При проектировании ограждающих конструкций из алюминиевых сплавов марок АМц и АМг (состояние поставок М и Н2) расчетные сопротивления при изгибе, растяжении и сжатии следует увеличить на 10% для:
профилированных листов и замкнутых погонных элементов, у которых плоские прямолинейные участки не превышают 50 толщин исходной заготовки;
профилированных, холодногнутых погонных элементов, если они заканчиваются деформированным участком и плоские участки не превышают 50 толщин исходной заготовки.
При расчете конструкций следует учитывать коэффициенты влияния изменения температуры

и коэффициенты условий работы элементов алюминиевых конструкций

, приведенные соответственно в таблицах 5 и
6, а также коэффициенты надежности по назначению

, принимаемые согласно требованиям
[2].
Марка алюминия | Значения коэффициента  при расчетной температуре, °C |
ниже минус 65 | от минус 65 до 50 | от 51 до 100 |
АД1, АМц | 1 | 1 | 0,85 |
АМг2, АМг3 | 1,05 | 0,9 |
АД31, АД33, АВ | 1,1 |
В95, 1915, 1925, | 1,05 |
АК8М3ч (ВАЛ8) |
Элементы конструкций | Коэффициенты условий работы,  |
1 Корпуса и днища резервуаров | 0,80 |
2 Колонны жилых и общественных зданий при постоянной нагрузке, составляющей не менее 0,8 от расчетной | 0,90 |
3 Сжатые элементы решетки плоских ферм при гибкости: | |
| 0,90 |
| 0,75 |
4 Сжатые раскосы и стойки пространственных решетчатых конструкций из одиночных уголков, прикрепляемых к поясам одной полкой (для неравнополочных уголков -  полкой): | |
а) сварными швами или двумя и более болтами (заклепками), установленными вдоль уголка: | 0,75 |
б) одним болтом | 0,60 |
5 Сжатые элементы из одиночных уголков, прикрепляемых одной полкой (для неравнополочных уголков -  полкой), за исключением элементов конструкций, указанных в пункте 4 настоящей таблицы и плоских ферм из одиночных уголков | 0,60 |
Примечания 1 Коэффициенты условий работы в соответствии с пунктами 3 и 5 при расчете совместно учитывать не следует. 2 Коэффициенты условий работы в соответствии с пунктами 3 и 4 не распространяются на крепления соответствующих элементов в узлах. 3 Для сжатых раскосов пространственных решетчатых конструкций из одиночных уголков при треугольной решетке с распорками (см. рисунок 8, а) коэффициент условий работы в соответствии с пунктом 4 не учитывается. 4 Для случаев, не оговоренных настоящей таблицей, в формулах следует принимать  . |
Отнесение объекта к конкретному уровню ответственности осуществляет генеральный проектировщик по согласованию с заказчиком и в соответствии с
ГОСТ 27751.
Приведенные в
таблице 5 значения коэффициентов

не зависят от состояния поставки алюминия (см.
таблицу 1).
При непрерывном действии нормативной нагрузки свыше одного года, а также при непрерывном действии свыше двух лет нормативной нагрузки, составляющей свыше 0,9 расчетной, для конструкций, эксплуатируемых при расчетных температурах выше 50 °C, коэффициенты

следует уменьшать на 10%.
За расчетную температуру в районе строительства следует принимать температуру наружного воздуха наиболее холодных суток обеспеченностью 0,98, определенную согласно нормативным документам по климатологии.
Расчетная технологическая температура устанавливается заданием на разработку строительной части проекта.
6.2 Расчетные сопротивления растяжению алюминия Rpl из листов для элементов конструкций, эксплуатация которых возможна и после достижения алюминием условного предела текучести, следует принимать по таблице 7.
Марка и состояние алюминия | АД1М | АМцМ | АМг2М | АМг3М |
Расчетное сопротивление Rpl, Н/мм2 | 35 | 55 | 85 | 100 |
6.3 Расчетные сопротивления сварных соединений для расчетных температур от 50 °C до минус 65 °C приведены в
таблицах 8 и
10.
6.4 Расчетное сопротивление
Rw сварных соединений, выполненных аргонодуговой сваркой с физическим контролем качества шва (рентгено- или гамма-графированием, ультразвуковой дефектоскопией и др.), следует принимать для термически не упрочняемого алюминия по
таблице 8 и для термически упрочняемого алюминия - по
таблице 9.
Для сварных стыковых растянутых швов, качество которых не контролируется физическими методами, значения расчетных сопротивлений по таблицам 8 и
9 следует умножать на 0,8.
Минстроя России от 29.07.2024 N 486/пр)
Сварные соединения и швы | Напряженное состояние | Обозначение | Расчетное сопротивление сварных швов, Н/мм2, термически не упрочняемого алюминия марок |
АД1М | АМцМ | АМг2М; АМг2Н2 | АМг3М; АМг3Н2 | 1565чМ; 1565чН2 |
при сварке с применением электродной или присадочной проволоки марок |
СвА5 | СвАМц | СвАМг3 | СвАМг5 | СвАМг61 | Св1597 |
Встык | Сжатие, растяжение | Rw | 25 | 40 | 65 | 70 | 140 | 150 |
Изгиб | | | 65 | 70 | 140 | 150 |
Сдвиг | Rws | 15 | 25 | 40 | 45 | 90 | 95 |
Угловые швы | Срез | Rwf | 20 | 30 | 45 | 50 | 100 | 105 |
<*> Для конструкций, эксплуатация которых возможна и после достижения алюминием предела текучести. |
Сварные соединения и швы | Напряженное состояние | Обозначение | Расчетное сопротивление сварных швов, Н/мм2, термически упрочняемого алюминия марок |
АД31Т; АД31Т4 | АД31Т5 | АД31Т1 | АД33Т; АВТ | |
при толщине металла, мм |
4 - 10 | 5 - 12 |
с применением электродной или присадочной проволоки марок |
СвАМг3; 1557 | 1557 |
Встык | Сжатие, растяжение, изгиб <**> | Rw | 55 | 65 | 80 | 100 | 155 |
Сдвиг | Rws | 35 | 40 | 50 | 60 | 105 |
Угловые швы (фланговые и лобовые) | Срез | Rwf | 45 | 55 | 110 |
<*> Сварку алюминия марки 1915Т при толщине металла 4 мм проводят только вольфрамовым электродом, при этом следует принимать Rws = 110 Н/мм 2. <**> При сварке плавящимся (автоматическая и механизированная сварка) или вольфрамовым (ручная и механизированная сварка) электродом. Примечания 1 Расчетные сопротивления сварных соединений алюминия марки 1915Т указаны для прессованных профилей и листов. 2 Расчетные сопротивления сварных соединений могут быть повышены повторной закалкой и старением (после сварки соединения), при этом для сплава АД31 следует принимать Rw = 0,9 R; для сплава 1915Т - Rw = R (где R - расчетное сопротивление, определяемое по таблице 6). 3 В сварных нахлесточных соединениях из сплава АД31 применять лобовые швы не допускается. |
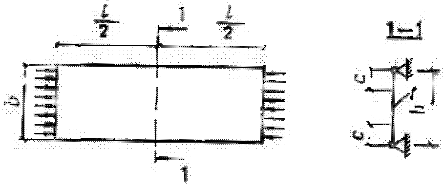
6.5 Расчетное сопротивление
Rwz алюминия в околошовной зоне (рисунок 1, сечение 1-1) при аргонодуговой сварке и использовании электродной или присадочной проволоки следует принимать по
таблице 10.
а - встык; б - внахлест лобовыми швами; в - внахлест
фланговыми швами; г - схема прикрепления поперечного
элемента 1 к элементу 2, не имеющему стыка;
1-1 - расчетное сечение
Рисунок 1 - Схемы сварных соединений конструкций
Вид сварного соединения | Напряженное состояние | Обозначение | Расчетное сопротивление, Н/мм2, в околошовной зоне алюминия |
термически не упрочняемого марок | термически упрочняемого марок |
АД1М | АМцМ | АМг3М; АМг3Н2 | АД31Т; АД31Т4 | АД31Т5 | АД31Т1 | 1915Т |
при сварке с применением проволоки марок |
СвА5 | СвАМг3 | СвАМг3; 1557 | 1557 |
Встык и внахлест лобовыми швами (сечение 1-1 на рисунках 1, а и 1, б) | Растяжение, сжатие и изгиб | Rwz | 25 | 40 | 65 | 55 | 65 | 80 | 160 |
Сдвиг | Rwzs | 15 | 25 | 40 | 35 | 40 | 50 | 105 |
Внахлест фланговыми швами (сечение 1-1 на рисунке 1, в) | Растяжение, сжатие и изгиб | Rwz | 25 | 40 | 65 | 50 | --------- | --------- | --------- |
<*> Для соединения прессованных профилей внахлест. Примечания 1 Расчетное сопротивление Rwz алюминия марки 1915Т указано для профилей толщиной 5 - 12 мм. Для профилей толщиной 4 мм при сварке вольфрамовым электродом Rwz = 165 Н/мм2. 2 Влияние продольных сварных швов элементов конструкций (в обшивках, кровельных полотнищах и т.п.) на разупрочнение алюминия в околошовной зоне не учитывают. 3 Над чертой указаны расчетные сопротивления при сварке алюминия вольфрамовым электродом, под чертой - плавящимся электродом. |
6.6 При расчете на прочность сварных конструкций с элементами без стыка, к которым прикрепляются сваркой поперечные элементы (
рисунок 1, г), следует учитывать ослабление этих элементов в зоне термического влияния путем снижения расчетного сопротивления алюминия
R до значения
Rw, принимаемого по
таблицам 8 и
9.
6.7 В алюминиевых тонколистовых конструкциях применяют аргонодуговую точечную сварку плавящимся электродом. Расчетная несущая способность на срез сварных точек, выполненных аргонодуговой точечной сваркой плавящимся электродом, указана в таблице 11.
Таблица 11
Сварка | | Расчетная несущая способность точки на срез, Н |
Аргонодуговая точечная плавящимся электродом (алюминий марок АМг2Н2 и АМг3Н2; сварочная проволока марки СвАМг3 или 1557) | 1,0 + 1,0 | 1950 |
1,0 + 2,0 | 2350 |
1,5 + 1,5 | 2950 |
2,0 + 2,0 | 3350 |
Примечание - Первая цифра в графе "толщина элементов" - толщина верхнего элемента. |
6.8 Расчетные сопротивления срезу сварных соединений внахлест
Rwsm, выполненных контактной роликовой сваркой, для алюминия марок АД1М, АМцМ, АМг2М и АМг3М следует принимать равными расчетным сопротивлениям
R (см.
таблицы 3 и
7).
Для алюминия марок АМг2Н2 или АМг3Н2 Rwsm = (0,9 - 0,1t)R (t - толщина более тонкого из свариваемых элементов, мм).
6.9 Расчетные сопротивления заклепочных и болтовых соединений для расчетных температур от 50 °C до минус 65 °C приведены в таблицах 12 и
13.
Соединение на болтах | Напряженное состояние | Обозначение | Расчетное сопротивление соединений на болтах Rb, Н/мм2, из алюминия марок |
АМг5п | АД33Т1; АВТ1 | Д18Т | В65Т | В94Т1 |
Повышенной точности | Растяжение | Rbt | 125 | 160 | 145 | 200 | 250 |
Срез | Rbs | 90 | 95 | 95 | 130 | 150 |
Нормальной и грубой точности | Растяжение | Rbt | 125 | 160 | 145 | 200 | 250 |
Срез | Rbs | 80 | 85 | 85 | 115 | 135 |
Соединение на заклепках | Расчетное сопротивление срезу соединений на заклепках Rrs, Н/мм2, из алюминия марок |
АД1Н | АМцН | АМг2Н | АМг5пМ; АД33Т1; АВТ1; Д18п | Д18Т | В65Т | В94Т1 |
35 | 40 | 70 | 100 | 110 | 145 | 170 |
Примечания 1 Расчетное сопротивление на растяжение болтов с обжимными кольцами следует принимать равным 0,9Rbs. 2 В продавленные отверстия ставить заклепки не допускается. 3 Расчетные сопротивления соединений на заклепках с потайными или полупотайными головками следует снижать на 20%. Указанные заклепки растягивающие усилия не воспринимают. |
Для соединений на болтах и заклепках расчетные сопротивления растяжению и срезу следует принимать по материалу заклепок или болтов (см.
таблицу 12), смятию - по материалу соединяемых элементов (см. таблицу 13).
Марка алюминия элементов конструкций | Расчетное сопротивление смятию элементов конструкций, Н/мм2, для соединений |
на заклепках Rrp | на болтах Rbp |
АД1М | 40 | 35 |
АМцМ | 65 | 60 |
АМцН2; АВТ | 160 | 145 |
АМг2М; АМг3М; АВМ | 110 | 100 |
АМг2Н2; АМг3Н2; АД31Т1 | 195 | 175 |
АД31Т; АД31Т4 | 90 | 80 |
АД31Т5 | 155 | 140 |
АД33Т | 140 | 125 |
АВТ1 | 270 | 255 |
В95Т1 | 460 | 420 |
1915Т | 315 | 285 |
1925Т1 | 275 | 245 |
Примечание - Расчетные сопротивления приведены для соединений на болтах, поставленных на расстоянии 2d от их оси до края элемента. При сокращении этого расстояния до 1,5d приведенные расчетные сопротивления следует понижать на 40%. |
6.10 Расчетные сопротивления растяжению
Rbt и срезу
Rbs соединений на болтах, поставленных в сверленые или рассверленные отверстия, приведены в
таблице 12.
6.11 Расчетные сопротивления срезу
Rrs соединений на заклепках, поставленных в холодном состоянии в сверленые и затем рассверленные отверстия, приведены в
таблице 12.
6.12 Расчетные сопротивления смятию элементов конструкций для соединений на заклепках
Rrp и болтах
Rbp, поставленных в сверленые или рассверленные отверстия, следует принимать по
таблице 13.
6.13 Расчетные сопротивления алюминия и литейного алюминия, соединений сварных и на болтах для конструкций, эксплуатируемых при расчетных температурах свыше 50 °C, необходимо умножать на коэффициент

, указанный в
таблице 5.
6.14 При расчете элементов и соединений алюминиевых конструкций следует учитывать коэффициенты условий работы

, принимаемые по
таблице 6.
7 Расчет элементов алюминиевых конструкций при центральном растяжении, сжатии и изгибе
7.1 Расчет элементов сплошного сечения
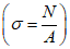
7.1.1 Расчет на прочность элементов, подверженных центральному растяжению или сжатию силой N, следует выполнять по формуле

. (1)
7.1.2 Расчет на устойчивость элементов сплошного сечения (приведенных в
таблице Г.1), подверженных центральному сжатию силой
N, следует выполнять по формуле

. (2)
7.1.3 При расчете стержней из одиночных уголков на центральное сжатие радиус инерции сечения
i следует принимать:
а) минимальным, если стержни прикреплены только по концам;
б) относительно оси, параллельной одной из полок уголка при наличии промежуточного закрепления (распорок, шпренгелей, связей и т.п.), предопределяющего направление выпучивания уголка в плоскости, параллельной второй полке.
7.1.4 Сжатые элементы со сплошными стенками открытого П-образного сечения (рисунок 2), не усиленные и усиленные отбортовками или утолщениями (бульбами), при

(

и

- расчетные гибкости элемента в плоскостях, перпендикулярных к осям
x-
x и
y-
y) следует укреплять планками или решеткой, при этом должны быть выполнены требования
7.2.2 и
7.2.6.
а - открытое; б, в - укрепленные планками
или решетками; г - расчетное сечение
Рисунок 2 - П-образные сечения элементов
При отсутствии планок или решеток такие элементы, помимо расчета по
формуле (2) в главных плоскостях
x-
x и
y-
y, следует проверять на устойчивость при изгибно-крутильной форме потери устойчивости по формуле

, (3)
где c - коэффициент, вычисляемый по формуле

, (4)
где

;

;

;

- относительное расстояние между центром изгиба и центром тяжести;

- здесь

- секториальный момент инерции сечения;

- момент инерции сечения при свободном кручении, здесь
bi и
ti - соответственно ширина и толщина листов, образующих сечение, включая стенку.
Для сечения, приведенного на
рисунке 2, г, при

:

(5)
При наличии утолщений круглого сечения (бульб) момент инерции при кручении
It следует увеличить на

, где
n - число бульб в сечении;
D - диаметр бульб.
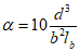
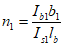
7.2 Расчет элементов сквозного сечения
7.2.1 Расчет на прочность элементов сквозного сечения при центральном растяжении и сжатии следует выполнять по
формуле (1), где
An - площадь сечения нетто всего стержня.
7.2.2 При расчете на устойчивость по
формуле (2) для составных сжатых стержней сквозного сечения, ветви которых соединены планками или решетками, коэффициент

относительно свободной оси (перпендикулярной к плоскости планок или решеток) следует определять по
таблице Г.2 с заменой

на

. Значение

- условную гибкость стержня следует определять в зависимости от значений

, приведенных в таблице 14 для стержней с числом панелей не менее шести.
Тип сечения | Схема сечения | Приведенная гибкость  стержня сквозного сечения |
с планками | с решетками |
1 | |  , (6) где  |  , (9) где  |
2 | |  , (7) где  ;  |  , (10) где  ;  (d1 и d2 относятся к сторонам соответственно b1 и b2) |
3 | |  , (8) где  |  , (11) где  |
Обозначения, принятые в таблице 14:  - гибкость сквозного стержня в целом в плоскости, перпендикулярной к оси y- y; - наибольшая из гибкостей сквозного стержня в целом в плоскостях, перпендикулярных к осям x- x или y- y;  ,  ,  - гибкости отдельных ветвей при изгибе в плоскостях, перпендикулярных к осям соответственно 1-1, 2-2 и 3-3, на участках между сварными швами или крайними болтами, прикрепляющими планки; b, (b1, b2) - расстояние между осями ветвей; A - площадь сечения всего стержня; Ad1, Ad2 - площади сечений раскосов решеток (при крестовой решетке - двух раскосов), расположенных соответственно в плоскостях, перпендикулярных к осям 1-1 и 2-2; Ad3 - площадь сечения раскоса решетки (при крестовой решетке - двух раскосов), лежащей в плоскости одной грани (для трехгранного равностороннего стержня); Ib1, Ib3 - моменты инерции сечения ветвей относительно осей соответственно 1-1 и 3-3 (для сечений типов 1 и 3); Ib1, Ib2 - то же, двух уголков относительно осей соответственно 1-1 и 2-2 (для сечений типа 2); Is - момент инерции сечения одной планки относительно собственной оси x- x ( рисунок 4; для сечений типов 1 и 3); Is1, Is2 - момент инерции сечения одной из планок, расположенных в плоскостях, перпендикулярных к осям соответственно 1-1 и 2-2 (для сечения типа 2). |
Примечание - К типу 1 также следует относить сечения, у которых вместо швеллеров применены двутавры, трубчатые и другие профили для одной или обеих ветвей; при этом оси y- y и 1-1 должны проходить через центры тяжести соответственно сечения в целом и отдельной ветви, а значения n и  в формуле (6) должны обеспечивать наибольшее значение  . |
7.2.3 В сквозных стержнях с планками условная гибкость отдельной ветви

,

или

, (см.
таблицу 14) на участке между сварными швами или крайними болтами (заклепками), прикрепляющими планки, должна быть не более 1,4.
При наличии в одной из плоскостей сплошного листа вместо планок (см.
рисунок 2, б, в) гибкость ветви следует вычислять по радиусу инерции полусечения относительно его центральной оси, перпендикулярной к плоскости планок.
7.2.4 В сквозных стержнях с решетками помимо расчета на устойчивость стержня в целом следует проверять устойчивость отдельных ветвей на участках между узлами. При необходимости следует учитывать влияние моментов в узлах, например от расцентровки элементов решетки.
В сквозных стержнях с решетками условная гибкость отдельных ветвей между узлами должна быть не более 2,7 и не должна превышать условную приведенную гибкость

стержня в целом.
а - треугольная; б - треугольная с распорками;
в - крестовая; г - крестовая с распорками
Рисунок 3 - Схемы решеток сквозных стержней
Рисунок 4 - Сквозной стержень с планками
7.2.5 Расчет стержней составных сечений из уголков, швеллеров и др., соединенных вплотную или через прокладки, следует выполнять как сплошностенчатых при условии, что участки между соединяющими сварными швами или центрами крайних болтов не превышают для сжатых элементов 30i и для растянутых 80i. Здесь радиус инерции сечения i уголка или швеллера следует принимать для тавровых или двутавровых сечений относительно оси, параллельной плоскости расположения прокладок, а для крестовых сечений - минимальный.
При этом в пределах длины сжатого элемента следует предусматривать не менее двух промежуточных связей (прокладок).
7.2.6 Расчет соединительных планок и элементов решеток сжатых стержней сквозного сечения следует выполнять на условную поперечную силу
Qfic, принимаемую постоянной по всей длине стержня и вычисляемую по формуле

, (12)
где N - продольное усилие в сквозном стержне;

- коэффициент устойчивости при центральном сжатии, принимаемый при расчете сквозного стержня в плоскости планок или решеток.
Условную поперечную силу Qfic следует распределять:
при наличии только соединительных планок (решеток) - поровну между планками (решетками), лежащими в плоскостях, перпендикулярных к оси, относительно которой проводят проверку устойчивости;
при наличии сплошного листа и соединительных планок (решеток) - пополам между листом и планками (решетками), лежащими в плоскостях, параллельных листу;
при расчете равносторонних трехгранных сквозных стержней - по 0,8 Qfic для каждой системы соединительных планок (решеток), расположенной в одной грани.
7.2.7 Расчет соединительных планок и их прикреплений (см.
рисунок 4) следует выполнять, как расчет элементов безраскосных ферм, на совместное действие силы
Fs, срезывающей планку, и момента
Ms, изгибающего планку в ее плоскости, значения которых следует вычислять по формулам:
Fs = Qslb/b; (13)
Ms = Qslb/2, (14)
где Qs - условная поперечная сила, приходящаяся на планку одной грани.
7.2.8 Расчет элементов соединительных решеток составных стержней следует выполнять как расчет элементов решеток плоских ферм. При расчете раскосов решеток по
рисунку 3 усилие в раскосе следует вычислять по формуле

, (15)
где

- коэффициент, принимаемый равным: 1,0 для решетки по
рисунку 3, а, б и 0,5 - по
рисунку 3, в;
Qs - условная поперечная сила, приходящаяся на одну плоскость решетки.
При расчете раскосов крестовой решетки с распорками (
рисунок 3, г) следует учитывать дополнительное усилие
Nad, возникающее в каждом раскосе от обжатия ветвей и вычисляемое по формуле

, (16)
где

- здесь
b,
lb,
d - размеры, указанные на
рисунке 3;
Nb - усилие в одной ветви стержня;
Ad, Ab - площадь сечения раскоса и ветви соответственно.
7.2.9 Расчет стержней, предназначенных для уменьшения расчетной длины сжатых элементов, следует выполнять на усилие, равное условной поперечной силе в основном сжатом элементе, определяемой по
формуле (12).
7.3 Расчет изгибаемых элементов
7.3.1 Расчет на прочность элементов следует выполнять по формулам:
при действии момента в одной из главных плоскостей

; (17)
при действии в сечении поперечной силы

; (18)
при действии моментов в двух главных плоскостях (и наличии бимомента)

, (19)
где x и y - расстояния от главных осей до рассматриваемой точки сечения;
B - бимомент;

- секториальный момент инерции сечения;

- секториальная координата.
7.3.2 Для стенок балок при одновременном действии момента и поперечной силы должны быть выполнены условия:

, (20)
где

- нормальное напряжение в срединной плоскости стенки, параллельное продольной оси балки;

- то же, перпендикулярное к продольной оси балки, в том числе

, определяемое по
формуле (42);

- касательное напряжение в стенке.
Напряжения

и

, принимаемые в
формуле (20) со своими знаками, а также

следует определять в одной и той же точке стенки балки.
В балках, рассчитываемых по
формуле (19), значения напряжений в стенке балки должны быть проверены по
формуле (20) в двух главных плоскостях изгиба.
При ослаблении стенки отверстиями для болтов левую часть
формулы (18), а также значение

в
формуле (20), следует умножать на коэффициент

, вычисляемый по формуле

, (21)
где s - шаг отверстий в одном ряду;
d - диаметр отверстия.
7.3.3 Расчет на устойчивость балок двутаврового сечения следует выполнять по формулам:
при изгибе в плоскости стенки, совпадающей с плоскостью симметрии сечения

; (22)
при изгибе в двух главных плоскостях (и наличии бимомента)

. (23)

- коэффициент устойчивости при изгибе, определяемый по
приложению Д;
Wcx - момент сопротивления сечения относительно оси x-x, вычисленный для сжатого пояса;
Wy - момент сопротивления сечения относительно оси y-y, совпадающей с плоскостью изгиба;

- секториальный момент сопротивления сечения.
7.3.4 При определении значения

за расчетную длину балки
lef следует принимать расстояние между точками закреплений сжатого пояса от поперечных смещений (узлами поперечных связей, точками крепления жесткого настила); при отсутствии связей
lef =
l (
l - пролет балки); за расчетную длину консоли следует принимать:
lef =
l при отсутствии закрепления сжатого пояса на конце консоли в горизонтальной плоскости (в данном случае
l - длина консоли) или расстояние между точками закрепления сжатого пояса в горизонтальной плоскости - при закреплении пояса на конце и по длине консоли.
7.3.5 Устойчивость балок следует считать обеспеченной:
а) при передаче нагрузки на балку через сплошной жесткий настил (железобетонные плиты из тяжелого, легкого и ячеистого бетона, плоский, профилированный и волнистый металлический настилы и т.п.), непрерывно опирающийся на сжатый пояс балки и с ним связанный с помощью сварки, болтов, самонарезающих винтов и др.; при этом силы трения учитывать не следует;
б) при значениях условной гибкости сжатого пояса балки

, не превышающих ее предельных значений

, определяемых по формулам таблицы 15 для балок симметричного двутаврового сечения или асимметричного - с более развитым сжатым поясом, рассчитываемых по
формуле (22), и имеющих отношение ширины растянутого пояса к ширине сжатого пояса не менее 0,75.
Таблица 15
Место приложения нагрузки | Условная предельная гибкость сжатого пояса сварной или прессованной балки  |
К верхнему поясу | 0,45[0,35 + 0,0032b/t + (0,76 - 0,02b/t)b/h] (24) |
К нижнему поясу | 0,45[0,57 + 0,0032b/t + (0,92 - 0,02b/t)b/h] (25) |
Независимо от уровня приложения нагрузки при расчете участка балки между связями или при чистом изгибе | 0,45[0,41 + 0,0032b/t + (0,73 - 0,016b/t)b/h] (26) |
Обозначения, принятые в таблице 15: b и t - соответственно ширина и толщина сжатого пояса; h - расстояние (высота) между осями поясных листов. Примечания 1 Значения  определены при 1 <= h/ b <= 6 и 15 <= b/ t <= 35; для балок с отношением b/ t < 15 в формулах таблицы 15 следует принимать b/ t = 15. 2 Для балок с поясными соединениями на заклепках или высокопрочных болтах значения  следует умножать на 1,2. |
При выполнении требований
7.3.5 а) балки, изгибаемые в двух плоскостях, на устойчивость не проверяются.
7.4 Расчет элементов, подверженных действию осевой силы с изгибом
7.4.1 Расчет на прочность сплошностенчатых внецентренно сжатых (сжато-изгибаемых) и внецентренно растянутых (растянуто-изгибаемых) элементов следует выполнять по формуле

, (27)
где x, y - расстояния от главных осей до рассматриваемой точки сечения.
7.4.2 Расчет на устойчивость внецентренно сжатых и сжато-изгибаемых элементов при действии момента в одной из главных плоскостей следует выполнять как в этой плоскости (плоская форма потери устойчивости), так и из этой плоскости (изгибно-крутильная форма потери устойчивости).
Расчет на устойчивость внецентренно сжатых и сжато-изгибаемых элементов постоянного сечения в плоскости действия момента, совпадающей с плоскостью симметрии, следует выполнять по формуле

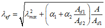
. (28)
В
формуле (28) коэффициент устойчивости при сжатии с изгибом

следует определять:
а) для сплошностенчатых стержней по
таблице Е.1 в зависимости от условной гибкости

и приведенного относительного эксцентриситета
mef, определяемого по формуле

, (29)
где

- коэффициент влияния формы сечения, определяемый по
таблице Е.3;
m =
eA/
Wc - относительный эксцентриситет (здесь
e =
M/
N - эксцентриситет, при вычислении которого значения
M следует принимать согласно требованиям
7.4.3;
Wc - момент сопротивления сечения, вычисленный для наиболее сжатого волокна).
При значениях mef > 10 расчет на устойчивость сплошностенчатых стержней выполнять не требуется.
б) для сквозных стержней с решетками или планками, расположенными в плоскостях, параллельных плоскости изгиба, - по
таблице Е.2 в зависимости от условной приведенной гибкости, вычисляемой по формуле

(30)
и относительного эксцентриситета mx, вычисляемого по формуле

или

(31)
где x1, y1 - расстояния соответственно от оси y-y или x-x до оси наиболее сжатой ветви, но не менее расстояния до оси стенки ветви.
В составных сквозных стержнях каждую ветвь необходимо проверять по
формуле (27) при соответствующих значениях
N,
Mx,
My, вычисленных для данной ветви, принимая
B = 0.
(в ред.
Изменения N 1, утв. Приказом Минстроя России от 29.07.2024 N 486/пр)
7.4.3 Расчетные значения изгибающих моментов
M, необходимые для вычисления эксцентриситета
e =
M/
N в элементе (для одного и того же сочетания нагрузок), следует принимать равными:
для стержней постоянного сечения рамных систем - наибольшему моменту в пределах длины стержней;
для ступенчатых стержней - наибольшему моменту на длине участка постоянного сечения;
для консолей - моменту в заделке, но не менее момента в сечении, отстоящем на треть длины стержня от заделки;
для сжатых стержней с шарнирно-опертыми концами и сечениями, имеющими одну ось симметрии, совпадающую с плоскостью изгиба, - моменту, определяемому по формулам таблицы 16 в зависимости от относительного эксцентриситета mmax = MmaxA/(NWc) и принимаемому равным не менее 0,5Mmax.
Таблица 16
Относительный эксцентриситет mmax | Момент M при условной гибкости стержня |
| |
mmax <= 3 | | M = M1 |
3 < mmax <= 10 | M = M2 + (mmax - 3)(Mmax - M2)/7 | M = M1 + (mmax - 3)(Mmax - M1)/7 |
Обозначения, принятые и таблице 16: Mmax - наибольший изгибающий момент в пределах длины стержня; M1 - наибольший изгибающий момент в пределах средней трети длины стержня, принимаемый равным не менее 0,5Mmax. |
Для сжатых стержней с шарнирно-опертыми концами и сечениями, имеющими две оси симметрии, приведенные относительные эксцентриситеты
mef следует определять по
таблице Е.4.
7.4.4 Расчет на устойчивость внецентренно сжатых стержней сплошного постоянного сечения из плоскости действия момента при изгибе их в плоскости наибольшей жесткости (
Ix >
Iy), совпадающей с плоскостью симметрии, а также швеллеров следует вычислять по формуле

, (32)
где c - коэффициент, вычисляемый по формуле

, (33)
здесь

,

- коэффициенты, вычисляемые по таблице 17.
Таблица 17
Тип сечения | Схема сечения и эксцентриситет | Значения коэффициентов |
 при |  при |
1 < mx <= 5 | | |
1 | | 0,75 + 0,05mx | 1 | |
2 | |
3 | |
4 | | 1 - (0,25 - 0,05mx)I2/I1 | 1 |  ;  при I2/ I1 < 0,5 |
5 | Замкнутое или сквозное с решетками или планками | 0,55 + 0,05mx | 1 | |
Обозначения, принятые в таблице 17: I1 и I2 - моменты инерции соответственно большей и меньшей полок относительно оси симметрии сечения y-y; Примечания 1 При значениях b/h < 0,3 следует принимать b/h = 0,3. 2 При значениях mx < 1 или mx > 5 следует принимать соответственно mx = 1 или mx = 5. |
Значения коэффициентов

и

для сквозных стержней с решетками или планками следует принимать только при наличии не менее двух промежуточных диафрагм по длине стержня. В противном случае следует принимать коэффициенты, установленные для стержней открытого двутаврового сечения.
При определении относительного эксцентриситета mx за расчетный момент Mx следует принимать:
для стержней с шарнирно-опертыми концами, закрепленными от смещения перпендикулярно к плоскости действия момента, - максимальный момент в пределах средней трети длины, но не менее половины наибольшего момента по длине стержня:
для консолей - момент в заделке, но не менее момента в сечении, отстоящем на треть длины стержня от заделки.
При гибкости

коэффициент
c не должен превышать для стержней:
замкнутого сечения - единицы;
двутаврового сечения - значений, вычисляемых по формуле

, (34)
где

;

;

;

; где

- для двутаврового сечения с двумя осями симметрии;

- для двутаврового сечения с одной осью симметрии;

- для таврового сечения;
h - расстояние между осями поясов.
7.4.5 Внецентренно сжатые элементы постоянного сечения, изгибаемые в плоскости наименьшей жесткости (
Iy <
Ix и
ey /= 0), следует рассчитывать по
формуле (28), а при гибкости

- также проверять расчетом на устойчивость из плоскости действия момента как центрально сжатые элементы по формуле

, (35)
где

- коэффициент устойчивости при центральном сжатии, определяемый согласно требованиям
7.1.2.
При

проверки устойчивости из плоскости действия момента не требуется.
7.4.6 При проверке на устойчивость внецентренно сжатых стержней сквозного сечения с соединительными планками или решетками следует выполнять расчет как стержня в целом, так и отдельных ветвей.
При расчете стержня в целом относительно свободной оси по
формуле (28), когда решетка или планки расположены в плоскостях, параллельных плоскости действия момента, коэффициент

следует определять по
таблице Е.2 в зависимости от условной приведенной гибкости

и относительного эксцентриситета
m, вычисляемого по формуле
m = eAa/I, (36)
где
e =
M/
N - эксцентриситет, при вычислении которого значения
M следует принимать согласно требованиям
7.4.3;
a - расстояние от главной оси сечения, перпендикулярной к плоскости действия момента, до оси наиболее сжатой ветви, но не менее расстояния до оси стенки ветви;
I - момент инерции сечения сквозного стержня относительно свободной оси.
При значениях m > 10 расчет на устойчивость стержня в целом не требуется; в этом случае расчет следует выполнять как для изгибаемых элементов.
При расчете отдельных ветвей сквозных стержней с решетками по
формуле (2) продольную силу в каждой ветви следует определять с учетом дополнительного усилия
Nad от момента. Значение этого усилия следует вычислять по формулам:
Nad =
My/
b - при изгибе стержня в плоскости, перпендикулярной к оси
y-
y, для сечений типов 1 и 3 (см.
таблицу 14);
Nad = 0,5
My/
b1 - то же, для сечений типа 2 (см.
таблицу 14);
Nad = 1,16
Mx/
b - при изгибе стержня в плоскости, перпендикулярной к оси
x-
x, для сечений типов 1 и 3 (см.
таблицу 14);
Nad = 0,5
Mx/
b2 - то же, для сечений типа 2 (см.
таблицу 14).
В данном случае
b,
b1,
b2 - расстояния между осями ветвей (см.
таблицу 14).
При изгибе стержня сквозного сечения типа 2 (см.
таблицу 14) в двух плоскостях усилие
Nad следует вычислять по формуле
Nad = 0,5(My/b1 + Mx/b2). (37)
При расчете отдельных ветвей сквозных стержней с планками в
формуле (28) следует учитывать дополнительное усилие
Nad от момента
M и местный изгиб ветвей от фактической или условной поперечной силы (как в поясах безраскосной фермы).
7.4.7 Расчет на устойчивость стержней сплошного постоянного сечения, подверженных сжатию и изгибу в двух главных плоскостях, при совпадении плоскости наибольшей жесткости (
Ix >
Iy) с плоскостью симметрии, а также при сечении типа 3 (см.
таблицу 14) следует выполнять по формуле

, (38)
где

.
Здесь следует определять:

- согласно требованиям
7.4.2, принимая в формулах вместо
m и

соответственно
my и

;
c - согласно требованиям
7.4.4.
Значения относительных эксцентриситетов следует вычислять по формулам:
mx = exA/Wcx и my = eyA/Wcy, (39)
где Wcx и Wcy - моменты сопротивления сечений для наиболее сжатого волокна относительно осей соответственно x-x и y-y.
Если плоскость наибольшей жесткости сечения стержня (Ix > Iy) не совпадает с плоскостью симметрии, то расчетное значение mx следует увеличить на 25%.
7.4.8 Расчет на устойчивость сквозных стержней из двух сплошностенчатых ветвей, симметричных относительно оси
x-
x (рисунок 5), с решетками в двух параллельных плоскостях, подверженных сжатию и изгибу в обеих главных плоскостях, следует выполнять:
для стержня в целом - в плоскости, параллельной плоскостям решеток, согласно требованиям
7.4.2, принимая
ex = 0;
для отдельных ветвей - как внецентренно сжатых элементов по
формулам (28) и
(32); при этом продольную силу в каждой ветви следует определять с учетом дополнительного усилия от момента
My (см.
7.4.6), а момент
Mx распределять между ветвями пропорционально их жесткостям
Ixe (см. рисунок 5); если момент
Mx действует в плоскости одной из ветвей, то следует считать его полностью передающимся на эту ветвь.
Рисунок 5 - Схема стержня сквозного сечения
из двух сплошностенчатых ветвей
При расчете отдельной ветви по
формуле (32) ее гибкость определяют по максимальному расстоянию между узлами решетки.
7.4.9 Расчет соединительных планок или решеток сквозных внецентренно сжатых стержней согласно требованиям
7.2.6 и
7.2.8 следует выполнять на поперечную силу, равную

из двух значений: фактической поперечной силы
Q или условной поперечной силы
Qfic, вычисляемой согласно требованиям
7.2.6.
В случае, когда фактическая поперечная сила больше условной, ветви сквозных внецентренно сжатых элементов следует соединять решетками.
7.5 Проверка устойчивости стенок и поясных листов изгибаемых и сжатых элементов
Стенки балок
7.5.1 Стенки балок для обеспечения их устойчивости следует укреплять двусторонними ребрами:
поперечными, поставленными на всю высоту стенки;
поперечными и продольными, а также поперечными промежуточными, расположенными в сжатой зоне стенки балки.
7.5.2 Расчет на устойчивость стенок балок следует выполнять с учетом всех компонентов напряженного состояния:

,

и

. Напряжения

,

и

следует вычислять в предположении упругой работы материала по сечению брутто без учета коэффициента

.
Сжимающее (краевое) напряжение

у расчетной границы стенки, принимаемое со знаком "плюс", и среднее касательное напряжение

следует вычислять по формулам:

; (40)

, (41)
где M и Q - средние значения соответственно изгибающего момента и поперечной силы в пределах отсека; если длина отсека a (расстояние между осями поперечных ребер жесткости) больше его расчетной высоты hef, то значения M и Q следует вычислять как средние для более напряженного участка с длиной, равной hef; если в пределах отсека момент или поперечная сила меняют знак, то их средние значения следует вычислять на участке отсека с одним знаком;
hef - расчетная высота стенки, равная: в балках с поясными соединениями на высокопрочных болтах - расстоянию между ближайшими к оси балки краями поясных уголков; в клепаных балках - расстоянию между ближайшими к оси балки рисками поясных уголков; в сварных балках - полной высоте стенки; в прессованных профилях - высоте в свету между полками
(рисунок 6);
hw - полная высота стенки;
tw - толщина стенки.
Рисунок 6 - Расчетные размеры стенок, свесов полок,
поясных листов в прессованных, составных и гнутых
профилях и типы прессованных профилей
Местное напряжение

в стенке под сосредоточенной нагрузкой следует определять согласно требованиям
7.5.4.
7.5.3 Устойчивость стенок балок следует считать в соответствии с требованиями, если условная гибкость стенки

не превышает предельных значений:

- для сварных или прессованных балок;

- для балок на болтах и высокопрочных болтах.
При наличии местных напряжений в стенках балок указанные предельные значения

следует умножать на 0,7.
Стенки балок следует укреплять поперечными ребрами жесткости (см.
7.5.6) при

.
7.5.4 При сосредоточенной нагрузке на верхнем поясе балки в местах, не укрепленных ребрами, местное напряжение в стенке под грузом

следует вычислять по формуле

, (42)
где F - расчетное значение сосредоточенной нагрузки (силы);
t - толщина стенки;

- условная длина распределения сосредоточенной нагрузки;
c - коэффициент, принимаемый равным 3,25 для сварных балок и 3,75 - для балок на высокопрочных болтах;
If - момент инерции пояса балки относительно собственной оси.
В отсеках, где местная нагрузка приложена к растянутому поясу, одновременно учитывают только два компонента -

и

или

и

.
Расчет на устойчивость стенок балок симметричного сечения, укрепленных только поперечными ребрами жесткости, при наличии местного напряжения

следует выполнять:
а) при

- по формуле

, (43)
где

,

и

- значения, определяемые согласно требованиям
7.5.2;

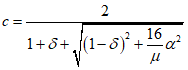
- критическое напряжение смятия стенки под нагрузкой, определяемое по формуле

(44)
здесь
c1 - коэффициент, принимаемый по
таблице 18,

;

- значения, определяемые согласно требованиям
7.5.5.
(в ред.
Изменения N 1, утв. Приказом Минстроя России от 29.07.2024 N 486/пр)
Отношение  | 0,5 | 0,8 | 1,0 | 1,2 | 1,4 | 1,6 | 1,8 | 2,0 |
Коэффициент c1 | 11,28 | 14,52 | 17,77 | 21,86 | 26,80 | 32,30 | 38,35 | 45,00 |
Обозначения, принятые в таблице 18, - см. 7.5.2. |
при первой проверке

следует вычислять по формуле

, (45)
Отношение  | 1,0 | 1,2 | 1,4 | 1,6 | 1,8 | 2,0 | 2,2 | 2,4 | 2,6 |
Коэффициент c2 | 33,70 | 38,77 | 45,26 | 53,16 | 62,18 | 72,20 | 83,75 | 96,16 | 109,56 |
Обозначения, принятые в таблице 19, - см. 7.5.2. |
В стенке, укрепленной продольным ребром жесткости, расположенным на расстоянии h1 от сжатой кромки отсека, обе пластинки, на которые ребро разделяет отсек, следует проверять отдельно:
первую пластинку, расположенную между сжатым поясом и продольным ребром, - по формуле

, (46)
где

, (47)

, (48)
в данном случае

;

;

- параметр, равный:
a/
h1 при
a/
h1 <= 2 и

при
a/
h1 > 2;

- значения, определяемые согласно требованиям
7.5.5;
вторую пластинку, расположенную между растянутым поясом и продольным ребром, - по формуле

,

;
Если первая пластинка укреплена дополнительно короткими поперечными ребрами, то их следует доводить до продольного ребра. При этом для проверки первой пластинки необходимо применять
формулы (46) и
(48), в которых
a следует заменять величиной
a1 (где
a1 - расстояние между осями соседних коротких ребер).
Проверка второй пластинки в этом случае остается без изменений.
7.5.5 Устойчивость стенок балок симметричного сечения, укрепленных только поперечными ребрами жесткости, при отсутствии местного напряжения

следует считать обеспеченной, если выполнено условие

, (49)
где

; (50)

; (51)

(52)
(здесь при

следует принимать

. Значения

не допускаются);

- отношение

стороны отсека стенки к

;

- условная гибкость отсека стенки высотой
d;
d -

из сторон отсека стенки (
hef или
a);

. (53)
В стенке балки симметричного сечения (при отсутствии местного напряжения), укрепленной кроме поперечных ребер одним продольным ребром, расположенным на расстоянии h1 от расчетной (сжатой) границы отсека, обе пластинки, на которые это ребро разделяет отсек, следует рассчитывать отдельно:
а) пластинку, расположенную между сжатым поясом и продольным ребром, - по формуле

, (54)
где

(55)
(здесь

- условная гибкость пластинки высотой
h1);

- следует определять по
формуле (51) с подстановкой размеров проверяемой пластинки;

;
б) пластинку, расположенную между растянутым поясом и продольным ребром, - по формуле

, (56)
где

; (57)

- следует определять по
формуле (51) с подстановкой размеров проверяемой пластинки;
7.5.6 В стенке, укрепленной только поперечными ребрами жесткости, ширина их выступающей части
br должна быть для парного симметричного ребра не менее -

; толщина ребра
tr - не менее
br/12; расстояние между ребрами не должно превышать 2
hef.
7.5.7 При укреплении стенки поперечными ребрами и одним парным продольным ребром жесткости места расположения и моменты инерции сечений этих ребер должны соответствовать требованиям
7.5.6 и формулам таблицы 20.
Таблица 20
| Моменты инерции ребра |
поперечного (Ir) | продольного (Irl) |
требуемое | предельное |
минимальное | максимальное |
0,20 | | | | |
0,25 | | | |
0,30 | | - | - |
Примечание - При вычислении Irl для промежуточных значений h1/hef применяется линейная интерполяция. |
При расположении продольного и поперечных ребер жесткости с одной стороны стенки моменты инерции сечений каждого из них следует вычислять относительно оси, совпадающей с ближайшей к ребру гранью стенки.
7.5.8 Участок стенки балки над опорой следует рассчитывать на устойчивость при центральном сжатии из плоскости балки как стойку, нагруженную опорной реакцией.
При укреплении стенки балки опорными ребрами жесткости с шириной выступающей части
br (не менее 0,5
bfi,
bfi - ширина нижнего пояса балки) в расчетное сечение этой стойки следует включать сечение опорных ребер и полосы стенки шириной не более

с каждой стороны ребра.
Толщина опорного ребра жесткости
tr должна быть не менее

, где
br - ширина выступающей части.
Расчетную длину стойки следует принимать равной расчетной высоте стенки балки hef.
Нижние торцы опорных ребер жесткости должны быть плотно пригнаны или приварены к нижнему поясу балки и рассчитаны на воздействие опорной реакции.
Стенки центрально сжатых, внецентренно сжатых и сжато-изгибаемых элементов
7.5.9 Для центрально сжатых элементов условную гибкость стенки

следует принимать не более значений, определяемых по формулам таблицы 21.
Таблица 21
Сечение элемента | Наибольшие значения  при значениях условной гибкости стержня |
| |
Двутавровое | | 3,1 |
Н-образное | | 3,5 |
Швеллерное, трубчатое прямоугольное (hef - для большей стенки) | | 2,5 |
Трубчатое квадратное | | 2,25 |
Примечания 1 Приведенные в таблице 21 данные относятся к сварным и прессованным профилям. 2 При вычислении  промежуточные значения  определяются линейной интерполяцией между значениями при  и  . |
При назначении сечения элемента по предельной гибкости наибольшие значения

следует умножать на коэффициент

, но не более чем в 1,5 раза. При этом значения

следует принимать не более 5,3.
7.5.10 Для внецентренно сжатых и сжато-изгибаемых элементов условную гибкость стенки

следует определять в зависимости от значения

(

- наибольшее сжимающее напряжение у расчетной границы стенки, принимаемое со знаком "плюс" и вычисленное без учета коэффициентов

,

или

;

- соответствующее напряжение у противоположной расчетной границы стенки) и принимать не более значений, определяемых при:

- по формуле

; (58)
- линейной интерполяцией между значениями, вычисленными при

и

.
7.5.11 При укреплении стенки внецентренно сжатого или сжато-изгибаемого элемента продольным ребром жесткости с моментом инерции
Irl >= 6
heft3, расположенным посередине стенки, наиболее нагруженную часть стенки между поясом и осью ребра следует рассматривать как самостоятельную пластинку и проверять согласно требованиям
7.5.10.
Продольные ребра жесткости следует включать в расчетные сечения элементов.
Если устойчивость стенки не обеспечена, то в расчет следует вводить два крайних участка стенки шириной по

, считая от границ расчетной высоты.
7.5.12 Стенки внецентренно сжатых элементов сплошного сечения (колонн, стоек, опор и т.п.) при

следует укреплять поперечными ребрами жесткости, расположенными на расстоянии 2
hef одно от другого; на каждом отправочном элементе должно быть не менее двух ребер. При наличии продольного ребра расстояние между поперечными ребрами следует увеличивать, но не более чем в 1,5 раза.
Минимальные размеры выступающей части поперечных ребер жесткости следует принимать согласно требованиям
7.5.6.
Поясные листы и полки центрально сжатых, внецентренно сжатых, сжато-изгибаемых и изгибаемых элементов
7.5.13 Расчетную ширину свеса поясных листов (полок)
bef следует принимать равной расстоянию (см.
рисунок 6):
в прессованных, составных и сварных элементах без поясных листов - от грани стенки до края полки;
в болтовых элементах с поясными листами - от ближайшей риски болтов до свободного края листа.
При наличии вута, образующего со свесом угол не менее 30°, расчетную ширину свеса следует измерять до начала вута (в случае выкружки - принимать вписанный вут).
7.5.14 В центрально сжатых, внецентренно сжатых и сжато-изгибаемых элементах значение гибкости свеса поясного листа (полки)

следует принимать не более значений, указанных в
таблице 22 в зависимости от условной гибкости

и типа сечений (
bef следует принимать в соответствии с
7.5.13;
t - толщина свеса).
(п. 7.5.14 в ред.
Изменения N 1, утв. Приказом Минстроя России от 29.07.2024 N 486/пр)
В случае недонапряжения элемента наибольшие значения

из таблицы 22 следует увеличивать в

раз, но не более чем в 1,5 раза, при этом значения

необходимо принимать не более 1,3 (

- меньшее из значений

,

,

,

, использованное при проверке устойчивости стержня;

).
Характеристика полки (поясного листа) и сечения элемента | Наибольшие значения  при значениях условной гибкости стержня |
| |
Неокаймленная полка двутавра и тавра | | 0,8 |
Неокаймленная  полка неравнополочного уголка, стенка тавра и полка швеллера | | 0,8 |
Неокаймленная полка равнополочных уголков | | 0,7 |
Примечание - При вычислении  промежуточные значения  определяются линейной интерполяцией между значениями при  и  . |
7.5.15 В изгибаемых элементах наибольшую гибкость свеса поясного листа (полки) прессованных и сварных балок следует назначать с учетом предельных размеров свесов, приведенных в
таблице 22 для

.
В случае недонапряжения элемента наибольшую гибкость свеса поясного листа (полки) следует увеличить в

раз, но не более чем в 1,5 раза; здесь

- большее из двух значений;

. (59)
7.5.16 При усилении свободных свесов утолщениями (бульбами) наибольшее значение гибкости свеса

[
bef1 - расчетная ширина свеса поясных листов или полок, измеряемая от центра утолщения до грани примыкающей стенки (полки) или до начала вута (см.
7.5.13)] следует определять по формуле

, (60)
где

- наибольшее значение условной гибкости свеса при отсутствии утолщения, принимаемое по
таблице 22;
k - коэффициент, определяемый по
таблице 23 в зависимости от

,

и

;

,
где D - размер утолщения, принимаемый равным диаметру круглой бульбы; в квадратных и трапециевидных утолщениях нормального профиля D - высота утолщения при ширине бульбы не менее 1,5D в трапециевидных (рисунок 7) и не менее D - в прямоугольных утолщениях.
Рисунок 7 - Схема утолщения (бульбы)
Сечение | | | Значение коэффициента k в формуле (60) при гибкости , равной |
1 | 5 |
Швеллер, двутавр | | 2,5 | 1,06 | 1,35 |
3,0 | 1,24 | 1,69 |
3,5 | 1,46 | 2,06 |
| 2,5 | 1,04 | 1,28 |
3,0 | 1,20 | 1,59 |
3,5 | 1,40 | 1,94 |
Уголок, тавр, крестовое | | 2,5 | 1,06 | 1,17 |
3,0 | 1,24 | 1,47 |
3,5 | 1,46 | 1,67 |
| 2,5 | 1,04 | 1,13 |
3,0 | 1,20 | 1,35 |
3,5 | 1,40 | 1,67 |
Примечание - Коэффициент k для промежуточных значений  от 0,6 до 0,75 и гибкости  от 1 до 5 следует определить линейной интерполяцией. |
7.5.17 Расчет на устойчивость замкнутых круговых цилиндрических оболочек вращения, равномерно сжатых параллельно образующим, следует выполнять по формуле

, (61)
где

- расчетное напряжение в оболочке;

- критическое напряжение, при
r/
t <= 300 равное меньшему из значений

или
cEt/
r, а при
r/
t > 300 равное
cEt/
r (здесь
r - радиус срединной поверхности оболочки;
t - толщина оболочки).
Значения коэффициентов

и
c следует определять соответственно по таблицам 24 и
25.
Таблица 24
Значение R, Н/мм2 | Коэффициент  при r/ t |
0 | 25 | 50 | 75 | 100 | 125 | 150 | 200 | 250 |
R <= 140 | 1,00 | 0,98 | 0,88 | 0,79 | 0,72 | 0,65 | 0,59 | 0,45 | 0,39 |
R >= 280 | 1,00 | 0,94 | 0,78 | 0,67 | 0,57 | 0,49 | 0,42 | 0,29 | - |
Примечание - Значения коэффициентов  при 140 Н/мм 2 < R < 280 Н/мм 2 и для промежуточных значений r/ t следует определять линейной интерполяцией. |
Значение r/t | <= 50 | 100 | 150 | 200 | 250 | 500 |
Коэффициент c | 0,30 | 0,22 | 0,20 | 0,18 | 0,16 | 0,12 |
Примечание - Для промежуточных значений r/t коэффициенты c следует определять линейной интерполяцией. |
В случае внецентренного сжатия параллельно образующим или чистого изгиба в диаметральной плоскости при касательных напряжениях в месте наибольшего момента, не превышающих значения 0,07
E(
t/
r)
3/2, напряжение

должно быть увеличено в

раза,

- наименьшее напряжение (растягивающие напряжения считать отрицательными).
7.5.18 В круглых трубах, рассчитываемых как сжатые или сжато-изгибаемые стержни по
разделу 7, при условной гибкости

, должно быть выполнено условие

.
Кроме этого, устойчивость стенок таких труб должна быть проверена по
7.5.17.
Расчет на устойчивость стенок бесшовных труб не требуется, если
r/
t не превышает значений

или 35.
8 Расчетные длины и предельные гибкости элементов алюминиевых конструкций
8.1 Расчетные длины элементов плоских ферм и связей
8.1.1 Расчетные длины сжатых элементов плоских ферм и связей в их плоскости
lef и из плоскости
lef,1 (рисунок 8, а, б, в, г), за исключением элементов, указанных в
8.1.2 и
8.1.3, следует принимать по
таблице 26.
а - треугольная со стойками; б - раскосная;
в - треугольная со шпренгелями; г - полураскосная
треугольная; д - перекрестная
Рисунок 8 - Схемы для определения расчетных длин сжатых
элементов (обозначения - см. таблицу 26) решеток ферм
Направление продольного изгиба элемента фермы | Расчетные длины lef и lef,1 |
поясов | опорных раскосов и опорных стоек | прочих элементов решетки |
1 В плоскости фермы lef: | | | |
а) для ферм, кроме указанных в позиции 1, б; | l | l | 0,8l |
б) для ферм из одиночных уголков и ферм с прикреплением элементов решетки к поясам впритык | l | l | 0,9l |
2 В направлении, перпендикулярном к плоскости фермы (из плоскости фермы) lef,1: | | | |
а) для ферм, кроме указанных в позиции 2, б | l1 | l1 | l1 |
б) для ферм с прикреплением элементов решетки к поясам впритык | l1 | l1 | 0,9l1 |
3 В любом направлении lef = lef,1 для ферм из одиночных уголков при одинаковых расстояниях между точками закрепления элементов в плоскости и из плоскости фермы | 0,85l | l | 0,85l |
Обозначения, принятые в таблице 26 (см. рисунок 8): l - геометрическая длина элемента (расстояние между центрами ближайших узлов) в плоскости фермы; l1 - расстояние между узлами, закрепленными от смещения из плоскости фермы (поясами ферм, специальными связями, жесткими плитами покрытий, прикрепленными к поясу сварными швами или болтами и т.п.) |
8.1.2 Расчетные длины
lef и
lef,1 верхнего пояса фермы (неразрезного стержня) постоянного сечения с различными сжимающими или растягивающими усилиями на участках (число участков равной длины
k >= 2) в предположении шарнирного сопряжения (
рисунок 9, а) элементов решетки и связей, определяют по формулам:
в плоскости пояса фермы

, (62)
где

- отношение усилия, соседнего с максимальным, к максимальному усилию в панелях фермы; при этом

;
из плоскости пояса фермы

(63)
где

- отношение суммы усилий на всех участках (рассматриваемой длины между точками закрепления пояса из плоскости), кроме максимального, к максимальному усилию; при этом

. При вычислении параметра

в
формуле (63) растягивающие усилия в стержнях необходимо принимать со знаком "минус".
Расчетные длины
lef и
lef,1 ветви сквозной колонны постоянного сечения (неразрезного стержня) с различными сжимающими усилиями на участках (число участков равной длины

) с граничными условиями, когда один конец стержня (нижний) жестко закреплен, а другой - шарнирно оперт в плоскости решетки при шарнирном креплении к нему элементов решетки (
рисунок 9, б), вычисляются по формулам:
в плоскости ветви

, (64)
где

- отношение усилия, соседнего с максимальным, к максимальному усилию в месте заделки; при этом

;
а - пояс фермы; б - ветвь колонны
Рисунок 9 - Схемы для определения расчетной длины элементов
из плоскости ветви

, (65)
где

- отношение суммы усилий на всех участках, кроме максимального, к максимальному усилию в месте заделки; при этом

.
В обоих случаях
l - длина участка (см.
рисунки 8 и
9);
l1 - расстояние между точками связей из плоскости стержня (см.
рисунок 9), и расчет на устойчивость следует выполнять на максимальное усилие.
8.1.3 Расчетные длины
lef,1 (при допущении, что они не зависят от соотношения усилий) элементов перекрестной решетки, скрепленных между собой (см.
рисунок 8, д), следует принимать по таблице 27.
Таблица 27
Конструкция узла пересечения элементов решетки | Расчетная длина lef,1 из плоскости фермы (связи) при поддерживающем элементе |
растянутом | неработающем | сжатом |
Оба элемента не прерываются | l | 0,7l1 | l1 |
Поддерживающий элемент прерывается и перекрывается фасонкой: | | | |
рассматриваемый элемент не прерывается | 0,7l1 | l1 | 1,4l1 |
рассматриваемый элемент прерывается и перекрывается фасонкой | 0,7l1 | - | - |
Обозначения, принятые в таблице 27 (см. рисунок 8, д): l - расстояние от центра узла фермы (связи) до точки пересечения элементов; l1 - полная геометрическая длина элемента. |
8.1.4 Радиусы инерции i сечений элементов из одиночных уголков при определении гибкости следует принимать:
при расчетной длине элемента не менее 0,85l (l - расстояние между центрами ближайших узлов) - минимальными (i = imin);
в остальных случаях - относительно оси уголка, перпендикулярной к плоскости фермы или параллельной ей (i = ix или i = iy в зависимости от направления продольного изгиба).
8.2 Расчетные длины элементов пространственных решетчатых конструкций
8.2.1 Расчетные длины
lef и радиусы инерции сечений
i сжатых, растянутых и ненагруженных элементов пространственных конструкций (рисунок 10) из одиночных уголков при определении гибкости следует принимать по
таблицам 28,
29 и
30.
а, б, в - с совмещенными в смежных гранях узлами;
г, д - с не совмещенными в смежных гранях узлами;
е - с частично совмещенными в смежных гранях узлами
Рисунок 10 - Схемы пространственных решетчатых конструкций
Элементы пространственных конструкций | Сжатые и ненагруженные элементы | Растянутые элементы |
lef | i | lef | i |
Пояса по рисунку: | | | | |
| lm | imin | lm | imin |
| 0,73lm | imin | 0,73lm | imin |
| 0,64lm | imin | 0,64lm | imin |
Раскосы по рисунку: | | | | |
| | imin | ld (ld1) | imin (ix) |
| | imin | ld | imin |
Распорки по рисунку: | | | | |
| 0,80lc | imin | - | - |
| 0,73lc | imin | | |
Обозначения, принятые в таблице 28 (см. рисунок 10):  - коэффициент расчетной длины раскоса, принимаемый по таблице 30. Примечания 1 Раскосы по рисунку 10, а, д в точках пересечения должны быть скреплены между собой. 2 Значение lef для распорок по рисунку 10 приведено для равнополочных уголков. 3 В скобках приведены значения lef и i для раскосов из плоскости грани конструкции. |
Конструкции узла пересечения элементов решетки | Условная длина раскоса ldc при поддерживающем элементе |
растянутом | неработающем | сжатом |
Оба стержня не прерываются | ld | 1,3ld | 0,8ld1 |
Поддерживающий элемент прерывается и перекрывается фасонкой; рассматриваемый элемент не прерывается - в конструкциях по рисунку: | | | |
| 1,3ld | 1,6ld | ld1 |
| (1,75 - 0,15n)ld | (1,9 - 0,1n)ld | ld1 |
Узел пересечения элементов закреплен от смещения из плоскости грани (диафрагмой и т.п.) | ld | ld | ld |
Обозначение, принятое в таблице 29 (см. рисунок 10): n = Im,minld/(Id,minlm), где Im,min и Id,min - наименьшие моменты инерции сечения соответственно пояса и раскоса. Примечание - При n < 1 и n > 3 в формулах таблицы следует принимать соответственно n = 1 и n = 3. |
Прикрепление раскоса к поясам | Значение n | Значение  при l/ imin, равном |
не более 60 | св. 60 до 160 | св. 160 |
Сварными швами, болтами или заклепками (не менее двух), расположенными вдоль раскоса | До 2 | 1,14 | 0,54 + 36imin/l | 0,765 |
Св. 6 | 1,04 | 0,54 + 28,8imin/l | 0,740 |
| При любых значениях | 1,12 | 0,64 + 28,8imin/l | 0,820 |
Обозначения, принятые в таблице 30: Примечания 1 Значение  при 2 <= n <= 6 следует определять линейной интерполяцией. 2 При прикреплении одного конца раскоса к поясу без фасонок сваркой или болтами, а второго конца - через фасонку коэффициент расчетной длины раскоса следует принимать равным  ; при прикреплении обоих концов раскосов через фасонки -  . |
8.2.2 Для определения расчетных длин раскосов по
рисунку 10, в, при прикреплении их без фасонок к распорке и поясу сварными швами или болтами (не менее двух), расположенными вдоль раскоса, значение коэффициента расчетной длины

следует принимать по строке
таблицы 30 при значении
n "Не более 2". В случае прикрепления их концов одним болтом значение

следует принимать по
строке таблицы 30 "Одним болтом без фасонки", а при вычислении значения
lef по
таблице 28 вместо

следует принимать

.
| | ИС МЕГАНОРМ: примечание. В официальном тексте документа, видимо, допущена опечатка: имеются в виду пункты 8.1.1 - 8.1.3, а не пункты 6.1.1 - 6.1.3. | |
8.2.3 Расчетные длины
lef и радиусы инерции
i элементов из труб или парных уголков следует прижимать согласно требованиям
6.1.1 -
6.1.3.
8.2.4 Расчетные длины сжатых элементов пространственных решетчатых конструкций определяют из расчета с использованием сертифицированных вычислительных комплексов (в предположении упругой работы алюминия и недеформированной схемы).
8.3 Расчетные длины колонн (стоек)
8.3.1 Расчетные длины lef колонн (стоек) постоянного сечения следует вычислять по формуле

, (66)
где l - длина колонны, ее отдельного участка или высота этажа.
Коэффициенты расчетной длины

колонн (стоек) постоянного сечения следует определять в зависимости от условий закрепления их концов и вида нагрузки. Для некоторых случаев закрепления концов и вида нагрузки значения

приведены в таблице 31.
Таблица 31
Схема закрепления колонны (стойки) и вид нагрузки | | | | | | | | |
| 1,0 | 0,7 | 0,5 | 2,0 | 1,0 | 2,0 | 0,725 | 1,12 |
8.3.2 Коэффициенты расчетной длины

колонн постоянного сечения в плоскости одноэтажных рам при жестком креплении ригелей к колоннам и при одинаковом нагружении верхних узлов, расположенных в одном уровне, следует определять по формулам таблицы 32.
Таблица 32
Схема рамы | Параметры | Коэффициент расчетной длины |
p | n |
| p = 0 | |  (67) |
 ; k >= 2 |
| | |  (68) |
 ; k >= 2 |
Обозначения, принятые в таблице 32: Is1, Is2 - моменты инерции сечения ригелей, примыкающих к верхнему концу проверяемой колонны; Ic, lc - соответственно момент инерции сечения и длина проверяемой колонны; l, l1, l2 - пролеты рамы; k - число пролетов;  ;  ; p - относительная жесткость нижних узлов Примечание - Для крайней колонны свободной многопролетной рамы коэффициент  следует определять при значениях p и n как для колонн однопролетной рамы. |
При шарнирном креплении ригелей к колоннам в
формуле (68) следует принимать
n = 0.
8.3.3 Расчетную длину колонн рам в направлении вдоль здания (из плоскости рамы) следует принимать равной расстоянию между точками, закрепленными от смещения из плоскости рамы (опорами колонн, подкрановых балок и подстропильных ферм, узлами крепления связей и ригелей и т.п.).
Расчетную длину следует определять на основе расчетной схемы, учитывающей фактические условия закрепления концов колонн.
8.4 Предельные гибкости элементов
8.4.1 Гибкости элементов

не должны превышать предельных значений

, приведенных в таблице 33 для сжатых элементов и в
таблице 34 - для растянутых. При этом гибкость растянутых элементов проверяют только в вертикальной плоскости.
Таблица 33
Минстроя России от 29.07.2024 N 486/пр)
Элементы конструкций | Предельная гибкость сжатых элементов  |
1 Пояса, опорные раскосы и стойки, передающие опорные реакции | 100 |
2 Прочие элементы ферм | 120 |
3 Колонны основные | 100 |
4 Колонны второстепенные (стойки фахверка, фонарей и т.п.), элементы решетки колонн | 120 |
5 Элементы связей, а также стержни, служащие для уменьшения расчетной длины сжатых стержней, и другие ненагруженные элементы | 150 |
6 Элементы ограждающих конструкций: | |
симметрично нагруженные | 100 |
несимметрично нагруженные (крайние и угловые стойки витражей и т.д.) | 70 |
Примечание - Приведенные в настоящей таблице данные относятся к элементам с сечениями, симметричными относительно действия сил. При сечениях, несимметричных относительно действия сил, предельную гибкость надлежит уменьшать на 30%. |
Элементы конструкций | Предельная гибкость растянутых элементов  |
1 Пояса и опорные раскосы плоских ферм | 300 |
2 Прочие элементы ферм | 300 |
3 Связи (кроме элементов, подвергающихся предварительному натяжению) | 300 |
8.4.2 При проверке гибкости растянутых стержней перекрестной решетки из одиночных уголков радиус инерции следует принимать относительно оси, параллельной полке уголка. Стержни перекрестной решетки в месте пересечения должны быть скреплены между собой.
8.4.3 Для растянутых раскосов стропильных ферм с незначительными усилиями, в которых при неблагоприятном расположении нагрузки может изменяться знак усилия, предельную гибкость принимают как для сжатых элементов, при этом соединительные прокладки следует устанавливать не реже чем через 40i.
9 Расчет элементов конструкций с применением тонколистового алюминия
Тонколистовой алюминий следует применять в качестве элементов ограждающих и несущих конструкций:
а) мембран;
б) плоских листов, укрепленных ребрами или специальной штамповкой;
в) плоских листов и лент, предварительно напряженных как в одном, так и в двух направлениях;
г) гофрированных листов без укреплений или со специальными укреплениями.
9.1 Элементы, работающие на сжатие и изгиб
9.1.1 При расчете на прочность сжатого в одном направлении плоского листа, шарнирно опертого по контуру
(рисунок 11), в рабочую площадь следует включать часть листа размером 2
c, определяемым по формуле

, (69)
где t - толщина листа.
b - полная ширина сечения; c - рабочая ширина сечения
Рисунок 11 - Расчетная схема сжатого тонколистового элемента
9.1.2 При расчете тонколистовых конструкций, усиленных продольными ребрами, в которых лист подвержен действию продольной и поперечной нагрузок, в рабочую площадь ребер следует включать часть листа размером
c (рисунок 12), определяемым по
формуле (69).
а - плоский лист; б - гофрированный лист
Рисунок 12 - Расчетная схема тонколистовых конструкций,
усиленных продольными ребрами
9.1.3 При расчете на прочность листов с волнистыми и трапециевидными гофрами, шарнирно опертых по контуру и сжимаемых в направлении гофров, при отношении

(
рисунок 13, а) в рабочую площадь следует включать часть листа размером 2
c:

, (70)
здесь
K,
d - соответственно шаг и длина по периметру одной полуволны
(рисунок 14);
Ix1 - момент инерции одной волны;

- коэффициент поперечной деформации;
G - модуль сдвига.
а - без поперечных ребер жесткости;
б - с поперечными ребрами жесткости
Рисунок 13 - Расчетная схема сжатого гофрированного листа
а - трапециевидный гофр; б - волнистый гофр
Рисунок 14 - Геометрические параметры для гофра
Когда отношение

или гофрированный лист разделяется поперечными ребрами, имеющими момент инерции
Is (см.
9.1.4), на ряд ячеек с соотношением сторон

(см.
рисунок 13, б), значение
c следует вычислять по формуле

. (71)
При наличии продольных ребер (рисунок 15) в рабочую площадь следует включать площадь этих ребер и часть листа размером c в каждую сторону от ребра.
1 - продольные ребра; 2 - поперечные ребра
Рисунок 15 - Схема плиты из гофрированного
листа с продольными и поперечными ребрами
9.1.4 При расчете по
формуле (40) момент инерции поперечных ребер жесткости не должен быть меньше величины

. (72)
Если гофрированный лист и поперечные ребра имеют различные модули упругости, то

, (73)
где Es - модуль упругости материала ребра.
При этом значение Dy следует принимать

.
9.1.5 Гофрированный лист, не имеющий усиливающих ребер, при действии поперечной нагрузки следует рассчитывать на изгиб по
формулам (17) и
(18) как балку.
Для листов с трапециевидным гофром размер сжатых полок, включаемых в расчетное сечение, следует определять по
формуле (69). При этом в
формулах (17) и
(18) Wx и
Ix следует вычислять для рабочей площади сечения.
9.1.6 Прогиб f свободно опертых гофрированных листов при изгибе следует вычислять по формуле

, (74)
где

- коэффициент, учитывающий увеличение прогиба вследствие деформации поперечного сечения гофрированного листа под нагрузкой и принимаемый: для волнистых листов и листа с трапециевидным гофром с приклеенным жестким утеплителем (типа пенопласта) равным 1; для трапециевидных - по
таблице 35;
f0 - прогиб гофрированного листа, работающего как балка, при вычислении которого
Ix принимается согласно
9.1.5.
Отношение b/a | Значение  при угле наклона боковых граней гофра, град |
45 | 60 | 75 | 90 |
>= 2,0 | 1,10 | 1,14 | 1,20 | 1,30 |
1,5 | 1,15 | 1,20 | 1,30 | 1,40 |
1,0 | 1,20 | 1,25 | 1,35 | 1,45 |
0,5 | 1,25 | 1,30 | 1,40 | 1,50 |
Обозначения, принятые в таблице 35: b - размер наклонной грани; a - размер сжатой горизонтальной грани (см. рисунок 14). Примечание - Значения  для промежуточных отношений b/ a следует определять линейной интерполяцией. |
9.1.7 Изгибаемые тонколистовые конструкции с гофрированным листом, усиленным продольными ребрами, следует рассчитывать на прочность и прогиб с учетом включения в работу ребер и части листа размером
c в каждую сторону от ребра (см.
рисунок 12, б), определяемым по
формуле (70) независимо от наличия поперечных ребер.
9.1.8 При расчете сжато-изгибаемых и растянуто-изгибаемых гофрированных листов с трапециевидным гофром (обшивок трехслойных панелей с закладным утеплителем) на прочность при обеспечении совместной работы обшивок и продольных ребер, кроме моментов инерции гофрированных листов относительно их нейтральных осей, следует учитывать момент инерции сечения, в которое входят продольные ребра и часть обшивок размером
c, мм
(рисунок 16):

, (75)
где

- отношение ширины панели к шагу поперечных ребер;

- жесткость гофра относительно его нейтральной оси, деленная на длину по периметру, кН·м.
Рисунок 16 - Сечение трехслойной панели
9.1.9 Местную устойчивость сжатых горизонтальных граней изгибаемых листов с трапециевидным гофром (см.
рисунок 14, а) следует проверять с учетом упругого защемления продольных кромок по формуле

, (76)
где

- сжимающие напряжения в грани от внешней нагрузки;
Отношение  | 0,4 | 0,5 | 0,6 | 0,7 | 0,8 | 0,9 | 1,0 | 1,1 | 1,2 | 1,4 |
Коэффициент kloc | 5,22 | 5,15 | 5,10 | 5,05 | 5,00 | 4,95 | 4,88 | 4,84 | 4,80 | 4,72 |
Обозначения, принятые в таблице 36: b - размер наклонной грани; a - размер сжатой горизонтальной грани (см. рисунок 14). |
Отношение  | 0,7 | 0,8 | 1,0 | 1,2 | 1,4 | 1,6 | 1,8 | 2,0 | 2,5 | 3,0 |
Коэффициент  | 1,00 | 0,86 | 0,76 | 0,67 | 0,61 | 0,56 | 0,52 | 0,48 | 0,41 | 0,35 |
Примечание - Напряжение  следует определять в зависимости от напряженного состояния по формулам (76) - (79) при  . |
9.1.10 Местную устойчивость волнистых листов при изгибе (см.
рисунок 14, б) следует проверять по формуле

. (77)
9.1.11 Общую устойчивость центрально сжатого гофрированного листа следует проверять в соответствии с требованиями
7.1.3 и
таблицы Г.2. За расчетную длину следует принимать расстояние между закреплениями, препятствующими смещению гофрированного листа из его плоскости, независимо от наличия поперечных ребер.
9.1.12 Местную устойчивость элементов листа трапециевидной формы при центральном сжатии следует проверять по формуле

, (78)
где b - ширина большей грани.
Местную устойчивость волнистого гофрированного листа при центральном сжатии следует проверять по формуле

. (79)
9.1.13 Местную устойчивость наклонных граней листов с трапециевидным гофром (см.
рисунок 14) в местах опирания на прогоны или ригели проверяют по
формуле (43) с заменой коэффициента

на

. При этом значения напряжения

и критических напряжений

,

,

следует вычислять по формулам:

; (80)

; (81)

; (82)

; (83)

, (84)
где

,

- нормальные напряжения соответственно у верхней и нижней границ наклонной грани листа, взятые со своими знаками;
b - размер наклонной грани, принимаемый по
рисунку 14;
Q - поперечная сила в проверяемом сечении волны листа.
Кроме наклонных граней необходимо проверять на устойчивость горизонтальные сжатые грани профилированного листа, при этом местные напряжения

следует определять с учетом ослабления сечения по формуле

, (85)
где F - опорная реакция, приходящаяся на одну волну листа;
b - ширина полки прогона или ригеля;
r - радиус сочленения наклонной и горизонтальной граней листа;
9.2 Элементы мембранных конструкций
9.2.1 Для пролетной конструкции мембранных систем следует применять поставляемый в рулонах алюминиевый лист марок АМг2Н2, АМг3Н2.
9.2.2 Расчет элементов мембранных конструкций следует проводить на основе совместной работы мембраны и контура с учетом их деформированного состояния, геометрической нелинейности мембраны, начального (имеющегося до нагружения) провиса мембраны.
9.2.3 При расчете опорного контура мембранных конструкций следует учитывать:
осевое сжатие;
сжатие, вызываемое усилиями сдвига по линии контакта мембраны с элементами контура;
изгиб в горизонтальной и вертикальной плоскостях.
9.2.4 При прикреплении мембраны с эксцентриситетом относительно центра тяжести сечения контура кроме факторов, указанных в
9.2.3, при расчете контура следует учитывать его кручение.
9.2.5 При расчете пространственных блоков (панелей) с одноосным предварительным напряжением верхней (кровельной) обшивки при наличии торцевых элементов жесткости обшивку следует вводить в работу верхнего (сжатого) пояса каркаса блока при условии обеспечения их надежной совместной работы.
При контроле процесса натяжения по силовым параметрам и возможности регулирования растягивающих усилий их величину следует назначать с учетом коэффициента условий работы

. При контроле только по геометрическим параметрам напряжения в обшивке должны удовлетворять условиям:

(86)
где

,

- напряжения в листе соответственно от предварительного натяжения и от внешней нагрузки.
9.2.6 Величина предварительного натяжения обшивки, расположенной в сжатой зоне, определяется из условия равенства нулю суммарных напряжений (без учета мембранных) при действии нормативной нагрузки.
9.2.7 При расчете элементов мембранных конструкций с одноосным предварительным напряжением обшивок следует учитывать дополнительное воздействие мембранных (цепных) усилий в обшивке на продольные элементы каркаса.
9.2.8 Мембранные конструкции следует рассчитывать на температурные воздействия с учетом разности коэффициентов линейного расширения материалов мембраны и контура.
10 Расчет соединений конструкций из алюминиевых сплавов
10.1.1 Сварные швы следует рассчитывать по формулам таблицы 38.
Таблица 38
Сварные швы | Напряженное состояние | Расчетная формула |
Стыковые, расположенные перпендикулярно к действующей силе | Сжатие, растяжение | |
Угловые | Срез | |
Обозначения, принятые в таблице 38: N - расчетная продольная сила; lw - расчетная длина шва, равная его полной длине за вычетом 3t или 3kf (при выводе шва за пределы соединения на подкладки за расчетную длину шва следует принимать его полную длину); t - наименьшая толщина соединяемых элементов;  - коэффициент, принимаемый равным: 0,9 - при автоматической одно- и двухпроходной сварке; 0,7 - при автоматической многопроходной сварке, при ручной и механизированной сварке с любым числом проходов; kf - катет углового шва, принимаемый равным катету вписанного равнобедренного треугольника. |
Сварные соединения внахлест двумя лобовыми швами (см.
рисунок 1, б) имеют расчетное сопротивление, равное расчетному сопротивлению сварного соединения встык (см.
рисунок 1, а) при условии, что лобовые швы выполнены с катетом не менее толщины привариваемого элемента и их концы выведены за пределы соединения.
10.1.2 Сварные стыковые соединения, работающие на изгиб, следует рассчитывать по формулам для расчета целого сечения с расчетными сопротивлениями, принятыми по
таблицам 8 и
9.
10.1.3 Сварные стыковые соединения, работающие одновременно на изгиб и срез, следует проверять по формуле

, (87)
где

- напряжение в сварном соединении от изгиба;

- напряжение в сварном соединении от среза.
10.1.4 При одновременном действии срезывающих напряжений в двух направлениях в одном и том же сечении углового шва расчет следует проводить на равнодействующую этих напряжений.
10.1.5 Угловые швы, прикрепляющие элемент, на который действуют одновременно осевое усилие и изгибающий момент, следует рассчитывать по
формуле (27), в которой:
An = Awf - расчетная площадь швов;
Ixn, Iyn - момент инерции расчетной площади швов соответственно относительно осей x-x y-y;
R = Rwf - расчетное сопротивление углового шва.
10.2 Заклепочные и болтовые соединения
10.2.1 В болтовых соединениях при действии продольной силы N, проходящей через центр тяжести соединения, распределение этой силы между болтами следует принимать равномерным.
Болтовые или заклепочные соединения, воспринимающие продольные силы, следует рассчитывать на срез болтов или заклепок, смятие основного металла и на растяжение болтов (во фланцевых соединениях) по формулам таблицы 39.
Таблица 39
Напряженное состояние | Расчетная формула для соединения на болтах | Расчетная формула для соединения на заклепках |
Срез |  (88) |  (88, а) |
Смятие соединяемых элементов |  (89) |  (89, а) |
Растяжение |  (90) | - |
Отрыв головки заклепки | - |  (90, а) |
Обозначения, принятые в таблице 39: N - расчетная продольная сила, действующая на соединение; n - число болтов или заклепок в соединении; ns - число рабочих срезов одного болта или заклепки; d - диаметр заклепки (или отверстия для заклепки) или наружный диаметр стержня болта;  - наименьшая суммарная толщина элементов, сминаемых в одном направлении; d0 - внутренний диаметр резьбы болта; h = 0,4d - высота поверхности отрыва головки. |
10.2.2 Болты, работающие одновременно на срез и растяжение, следует проверять отдельно на срез и растяжение.
10.2.3 В креплениях одного элемента к другому через прокладки или иные промежуточные элементы, а также в креплениях с односторонней накладкой число болтов или заклепок должно быть увеличено против расчетного числа на 10%.
При прикреплении выступающих полок уголков или швеллеров с помощью коротышей количество болтов, прикрепляющих коротыш к этой полке, должно быть увеличено против расчетного числа на 50%.
10.3 Монтажные соединения на высокопрочных стальных болтах
10.3.1 Монтажные соединения на высокопрочных стальных болтах следует рассчитывать в предположении передачи действующих в стыках и прикреплениях усилий через трение, возникающее по соприкасающимся плоскостям соединяемых элементов от натяжения высокопрочных болтов. При этом распределение продольной силы между болтами следует принимать равномерным.
10.3.2 Расчетное усилие Qbh, которое может быть воспринято каждой поверхностью трения соединяемых элементов, стянутых одним высокопрочным болтом, следует вычислять по формуле

, (91)
где Rbh - расчетное сопротивление растяжению высокопрочного болта, определяемое по соответствующим нормативным документам;

- коэффициент условия работы соединения, принимаемый равным 0,8;
Abn - площадь сечения болта нетто, определяемая по соответствующим нормативным документам;

- коэффициент, принимаемый по
таблице 42 СП 16.13330.
Способ обработки соединяемых поверхностей | Пескоструйная очистка | Травление поверхности | Без обработки (после обезжиривания) |
Коэффициент трения  | 0,45 | 0,4 | 0,15 |
Количество n высокопрочных болтов в соединении при действии продольной силы следует вычислять по формуле

, (92)
где k1 - количество поверхностей трения соединяемых элементов.
Натяжение высокопрочного болта следует производить осевым усилием
P = RbhAbn.
10.3.3 Расчет на прочность соединяемых элементов, ослабленных отверстиями под высокопрочные болты, следует выполнять с учетом того, что половина усилия, приходящегося на каждый болт, в рассматриваемом сечении уже передана силами трения. При этом проверку ослабленных сечений следует проводить по площади сечения брутто A при An >= 0,85A или по условной площади Ac = 1,18An при An < 0,85A.
10.4 Соединения с фрезерованными торцами
В соединениях с фрезерованными торцами сжимающую силу следует считать полностью передающейся через торцы.
Во внецентренно сжатых и сжато-изгибаемых элементах сварные швы и болты, включая высокопрочные, указанных соединений следует рассчитывать на максимальное растягивающее усилие от действия момента и продольной силы при наиболее неблагоприятном их сочетании, а также на сдвигающее усилие от действия поперечной силы.
10.5 Поясные соединения в составных балках
10.5.1 Сварные швы, заклепки и высокопрочные болты, соединяющие стенки и пояса составных двутавровых балок, следует рассчитывать по формулам таблицы 41.
Таблица 41
Нагрузка | Вид соединения | Формулы для расчета поясных соединений в составных балках |
Неподвижная (распределенная и сосредоточенная) | Угловые швы |  (93) |
Высокопрочные болты |  (94) |
Заклепки |  (94, а) |
Местная сосредоточенная | Угловые швы |  (95) |
Высокопрочные болты |  (96) |
Заклепки |  (96, а) |
T = QS/I - сдвигающее пояс усилие на единицу длины, вызываемое поперечной силой Q (здесь S - статический момент брутто пояса балки относительно нейтральной оси);
a - шаг поясных заклепок или высокопрочных болтов;
Qbh - расчетное усилие одного высокопрочного болта, вычисляемое по
формуле (91);
k1 - количество поверхностей трения соединяемых элементов;

- расчетное усилие одной заклепки на срез;
ns - число расчетных срезов одной заклепки;

- давление от сосредоточенного груза
F (здесь

- коэффициент, принимаемый согласно
СП 20.13330);
lef - условная длина распределения сосредоточенной нагрузки, принимаемая по
7.5.4;

- коэффициент, принимаемый при нагрузке по верхнему поясу балки, в которой стенка пристрогана к верхнему поясу,

; при отсутствии пристрожки стенки или при нагрузке по нижнему поясу

.
10.5.2 В балках с соединениями на заклепках или высокопрочных болтах с многолистовыми поясными пакетами прикрепление каждого из листов за местом своего теоретического обрыва следует рассчитывать на половину усилия, которое может быть воспринято сечением листа. Прикрепление каждого листа на участке между действительным местом его обрыва и местом обрыва предыдущего листа следует рассчитывать на полное усилие, которое может быть воспринято сечением листа.
11 Проектирование алюминиевых конструкций
11.1 Общие указания по проектированию
11.1.1 При проектировании алюминиевых конструкций необходимо предусматривать:
а) связи, обеспечивающие в процессе монтажа и эксплуатации устойчивость и пространственную неизменяемость сооружения в целом и его элементов, назначая их в зависимости от основных параметров и режима эксплуатации сооружения (конструктивной схемы пролетов, температурных воздействий и т.д.);
б) возможность укрупнения элементов конструкций на строительной площадке для монтажа их крупными блоками и обеспечения устойчивости отдельных элементов и блоков сооружения в процессе монтажа;
в) монтажные крепления элементов, обеспечивающие возможность их легкой сборки и удобного выполнения соединений на монтаже (устройство монтажных столиков и т.п.), а также быстроту выверки конструкций;
г) монтажные соединения элементов болтовыми; сварные монтажные соединения применять лишь в случаях, когда болты нерациональны или не разрешены нормативными документами.
11.1.2 Прогибы изгибаемых элементов следует определять без учета коэффициентов динамичности и ослабления сечений отверстиями для заклепок и болтов.
Относительные прогибы элементов алюминиевых конструкций не должны превышать значений, приведенных в
СП 20.13330.
11.1.3 Температурные климатические воздействия на алюминиевые конструкции следует учитывать путем соблюдения наибольших расстояний между температурными швами в соответствии с таблицей 42.
Таблица 42
Характеристика зданий и сооружений | Наибольшие расстояния, м |
между температурными швами | от температурного шва или торца здания до оси ближайшей вертикальной связи |
по длине блока (вдоль здания) | по ширине блока |
Отапливаемые здания | 144 | 120 | 72 |
Неотапливаемые здания и горячие цехи | 96 | 90 | 48 |
Открытые эстакады | 72 | - | 36 |
Примечание - Наибольшие расстояния указаны для зданий и сооружений, в которых конструкции покрытий или (и) стен выполнены из алюминия, а колонны из стали или алюминия. |
11.1.4 Коррозионную стойкость алюминиевых конструкций, подвергающихся воздействию агрессивных сред, следует обеспечивать путем выбора марки и состояния алюминия, назначения рациональных конструктивных форм и минимальных толщин в соответствии с
СП 28.13330.
11.1.5 Для повышения коррозионной стойкости стальные болты подлежат оцинковке или кадмированию. Для исключения местного повреждения алюминиевых сплавов в момент стягивания болта под головки и гайки болтов следует устанавливать шайбы. При выполнении шайб из стали они должны быть оцинкованы или кадмированы.
11.2 Проектирование ограждающих конструкций
11.2.1 Ограждающие конструкции зданий (стены и покрытия, отдельные панели, настилы и их стыки), а также детали крепления ограждений к каркасу здания следует проектировать с учетом изменения температуры в течение года, обеспечивая при этом свободу температурных деформаций при сохранении теплотехнических свойств и герметичности ограждений.
11.2.2 При расчете ограждающих конструкций значения перепадов температуры наружных поверхностей следует определять исходя из расчетных значений температуры наружного воздуха в летнее и зимнее время года в соответствии с
СП 131.13330.
При этом в летнее время должно быть учтено воздействие солнечной радиации.
11.2.3 Расчетные перепады температуры между наружными и внутренними поверхностями ограждающих конструкций следует принимать с учетом внутреннего температурного режима эксплуатации здания.
11.2.4 Выбор материала для утеплителя, клея и герметиков при проектировании ограждающих конструкций следует проводить с учетом расчетных перепадов температуры между наружными и внутренними поверхностями ограждающих конструкций.
11.2.5 При применении в конструкциях алюминия в сочетании с другими строительными материалами (дерево в оконных и дверных конструкциях, полимеры в стеновых и кровельных конструкциях, сталь и др.) необходимо учитывать различие в значениях модулей упругости и коэффициентов линейного расширения материалов, а также предусматривать мероприятия по защите алюминия от контактной коррозии.
11.2.6 Крепление панелей ограждающих конструкций к несущему каркасу и конструкции стыков должны обеспечивать: необходимую прочность надежность и долговечность; восприятие монтажных и эксплуатационных нагрузок; исключение контактной коррозии; компенсацию температурных деформаций с сохранением необходимой герметизации; возможность проводить ремонт и демонтаж панелей.
11.2.7 Наиболее распространенными видами крепления ограждающих конструкций к несущему каркасу являются разъемное болтовое соединение, крепление анкерным болтом, фасадным дюбелем, заклепочное или на винтах
(приложение Ж).
Другие соединения: с использованием профилей специальной формы, в том числе в замок, шпунт, паз и др.; осуществляемые за счет пластических деформаций алюминия, в том числе в фальц, запрессовкой, пистонного типа; защелкиванием (разъемные и неразъемные); осуществляемые за счет упругих деформаций алюминия; болтами с обжимными кольцами (болт-заклепки или "лок-болты"); фрикционные; сшиванием; клеевые, клеесварные и клеезаклепочные и др. следует применять с учетом специфики свойств алюминия и изготовления алюминиевых профилей.
11.2.8 В фасадных ограждающих конструкциях не допускается применение алюминиевых сплавов без защитно-декоративного покрытия. Для защитно-декоративной отделки ограждающих алюминиевых конструкций и изделий архитектурного назначения надлежит применять покрытия, предусмотренные
ГОСТ 9.303,
ГОСТ 15150 и
ГОСТ 22233 В зависимости от условий эксплуатации в качестве защитно-декоративных следует применять покрытия с физико-механическими показателями, толщиной и стойкостью в соответствии с требованиями
ГОСТ 22233.
11.2.9 При проектировании ограждающих алюминиевых конструкций необходимо обеспечить возможность легкой замены элементов, подверженных ускоренному старению, износу или ремонту (например, уплотнительных прокладок, стекла и др.)
12 Конструктивные требования
12.1.1 Выбор вида соединения (сварное, болтовое и др.) следует проводить в зависимости от характера работы соединения и с учетом степени ослабления алюминия, определяемого видом соединения.
Для термически не упрочняемых сплавов (особенно в отожженном состоянии) основным способом соединения следует выбирать сварку.
Сварные соединения элементов несущих конструкций следует выполнять в заводских условиях. При проектировании сварных конструкций необходимо предусматривать применение кондукторов.
12.1.2 Тонколистовые ограждающие конструкции и их соединения следует проектировать сварными или клепаными (заводские и монтажные крепления обшивок к каркасам, стыки для укрупнения тонколистовых элементов, стыки в кровельных покрытиях), а также с применением соединений на фальцах, защелках и др.
12.1.3 При проектировании сварных тонколистовых конструкций необходимо обеспечить сохранение внешнего вида конструкции путем: выбора способа сварки, обеспечивающего требуемый внешний вид сварных соединений; применения жестких кондукторов; проковки сварных швов для уменьшения сварочных деформаций и др.
12.1.4 Минимальную толщину несущих и ограждающих алюминиевых конструкций следует назначать по расчету и в зависимости от условий их перевозки, монтажа и эксплуатации.
Толщина элементов ограждающих конструкций при нормальных условиях их эксплуатации должна быть не менее 0,8 мм.
12.1.5 Комбинированные соединения, в которых часть усилий воспринимается заклепками, а часть - сварными швами, применять запрещается.
12.1.6 При сочетании в одной конструкции элементов из алюминия и стали должны быть обеспечены меры по предотвращению контактной коррозии.
12.1.7 Соединения элементов ограждающих конструкций (витрин, витражей, окон, дверей и др.), выполняемые на вкладышах, должны быть проверены в опытных конструкциях.
Непосредственное соприкосновение заполнения из стекла с элементами алюминиевого каркаса не допускается.
12.2.1 При проектировании конструкций со сварными соединениями следует:
применять высокопроизводительные механизированные способы сварки;
предусматривать возможность сварки без кантовки конструкций при изготовлении;
обеспечивать свободный доступ к местам наложения швов с учетом выбранного способа и технологии сварки;
назначать размеры и взаимное расположение швов и выбирать способ сварки исходя из требований обеспечения наименьших собственных напряжений и деформаций при сварке;
избегать сосредоточения большого числа швов в одном месте;
принимать количество и размеры сварных швов минимально необходимыми.
12.2.2 Разделку кромок под сварку следует назначать с учетом способа и технологии сварки, положения шва в пространстве и толщины свариваемых элементов и заводским нормалям.
12.2.3 При проектировании сварных соединений и узлов в несущих конструкциях следует предусматривать снижение концентрации напряжений, применяя для этого соответствующие конструктивные решения и технологические мероприятия.
Сварные соединения встык следует предусматривать с обязательной подваркой корня шва или с использованием формирующих подкладок. Концы швов встык следует выводить за пределы стыка (например, с помощью выводных планок).
При сварке встык двух листов разной толщины следует осуществлять переход от толстого листа к тонкому устройством скоса.
Число стыков в расчетных элементах должно быть минимальным.
12.2.4 Сварные соединения следует располагать в менее напряженных местах элементов конструкции.
12.2.5 В узлах несущих конструкций из прессованных профилей следует предусматривать сварные соединения встык и в тавр.
12.2.6 Размеры и форма сварных угловых швов должны удовлетворять следующим требованиям:
катет швов kf следует принимать не менее толщины наиболее тонкого элемента. Если в соединении более тонкий элемент имеет бульбу, то предельное значение катета шва kf может быть увеличена до 1,5t (t - наименьшая толщина соединяемых элементов);
расчетная длина флангового и лобового швов должна быть не менее 40 мм;
расчетная длина флангового шва должна быть не более 50kf,
в соединениях внахлест размер нахлестки должен быть не менее пяти толщин наиболее тонкого элемента.
Рекомендации по конструированию сварных соединений приведены в
приложении И.
12.2.7 Сварные соединения тонколистовых конструкций следует проектировать с учетом технологических особенностей применяемых способов сварки:
приварку тонких листов обшивок к более толстым элементам каркаса выполнять аргонодуговой точечной сваркой, в том числе с рассверливанием перед сваркой листа и подкрепляющего элемента со стороны листа;
укрупнение тонколистовых элементов в заводских условиях выполнять сваркой аргонодуговой точечной и аргонодуговой непрерывным швом.
При сварке стыков кровельных покрытий в монтажных условиях следует применять аргонодуговую сварку вольфрамовым или плавящимся электродом с импульсивным питанием дуги. Основными видами соединений при этом являются нахлесточное и бортовое.
При применении аргонодуговой точечной сварки в монтажных условиях для соединения тонколистовых элементов основным видом соединения является нахлесточное: значение нахлестки должно быть не менее 30 мм.
12.3 Заклепочные и болтовые соединения
12.3.1 Размещение заклепок и болтов, в том числе высокопрочных, следует проводить согласно таблице 43.
Таблица 43
Характеристика расстояния | Расстояния при размещении болтов |
Между центрами заклепок и болтов в любом направлении: | |
минимальное для заклепок | 3d |
минимальное для болтов | 3,5d |
максимальное в крайних рядах при отсутствии окаймляющих уголков при растяжении и сжатии максимальное в средних и крайних рядах при наличии окаймляющих уголков | 5d или 10t |
при растяжении | 12d или 20t |
при сжатии | 10d или 14t |
От центра заклепки или болта до края элемента: | |
минимальное вдоль усилия и по диагонали | 2,5d |
минимальное поперек усилия при обрезных кромках | 2,5d |
то же, при прокатных или прессованных кромках | 2d |
максимальное | 6d |
| | ИС МЕГАНОРМ: примечание. В официальном тексте документа, видимо, допущена опечатка: имеется в виду таблица 43, а не таблица 44. | |
|
Обозначения, принятые в таблице 44: d - диаметр отверстия для болта; t - толщина наиболее тонкого наружного элемента пакета. |
Соединительные болты, располагаемые вне узлов и стыков, следует размещать на максимальных расстояниях.
12.3.2 В рабочих элементах конструкций число расположенных по одну сторону стыка заклепок, прикрепляющих элемент в узле, должно быть не менее двух.
12.3.3 При заводской холодной клепке толщина склепываемого пакета на скобе не должна превышать четырех диаметров заклепок.
12.3.4 Конструкция соединения тонких алюминиевых лент с контуром должна иметь регулируемое предварительное натяжение и не допускать контакта между алюминием, сталью и бетоном.
12.3.5 Диаметр заклепки должен быть не более пяти толщин наиболее тонкого элемента. За расчетный диаметр заклепки следует принимать диаметр отверстия.
12.3.6 Форма заклепки и ее размеры для холодной клепки устанавливаются техническими условиями на изготовление строительных конструкций из алюминия.
12.3.7 В конструкциях из профилированных листов ребра жесткости или диафрагмы следует соединять в каждой точке касания с гофром и элементом, усиливающим конструкцию.
12.3.8 Стыки мембранной обшивки следует выполнять внахлест, при этом стык должен быть соединен не менее чем двумя рядами сварных точек или заклепок.
13 Противопожарные требования
13.1 Алюминиевые конструкции должны сохранять несущую и (или) ограждающую способность при пожаре в течение времени, установленного в документах, приведенных в
4.2.
13.2 В зависимости от выполняемых функций огнестойкость (предел огнестойкости в минутах) алюминиевых конструкций определяется в соответствии с действующим законом
[1]:
для ограждающих конструкций - потерей целостности и, если требуется, потерей теплоизолирующей способности;
для несущих конструкций - потерей несущей способности;
для совмещающих функции несущих и ограждающих конструкций - потерей несущей способности, потерей целостности и, если требуется, потерей теплоизолирующей способности.
13.3 Пределы огнестойкости алюминиевых конструкций должны соответствовать требуемой степени огнестойкости зданий и сооружений, в которых они применяются. Собственные пределы огнестойкости следует определять по результатам испытаний или расчетным путем (в отдельных случаях).
13.4 Для обеспечения требуемого предела огнестойкости алюминиевых конструкций следует использовать:
- огнезащитные напыляемые составы, обмазки, облицовки огнестойкими плитными, листовыми и другими материалами;
- нанесение на обогреваемую поверхность конструкции тонкослойных вспучивающихся покрытий (специальных огнезащитных составов с толщиной сухого слоя, не превышающей 3 мм и многократно увеличивающих свою толщину при огневом воздействии);
- комбинации способов защиты.
13.5 При применении огнезащитных составов к конструкциям, имеющим защитное покрытие поверхности, огнезащитные характеристики следует определять с учетом поверхностного слоя, используемого в качестве гидроизоляционного или декоративного.
13.6 Применение средств огнезащиты следует осуществлять в соответствии с проектом огнезащиты.
13.7 Нагрузки от средств огнезащиты следует учитывать в нагрузках при расчетах алюминиевых конструкций.
ОСНОВНЫЕ БУКВЕННЫЕ ОБОЗНАЧЕНИЯ ВЕЛИЧИН
A - площадь сечения брутто;
Ad - площадь сечения раскосов;
Ab - площадь сечения ветви;
Af - площадь сечения полки (пояса);
An - площадь сечения нетто;
B - бимомент;
D - размер утолщения;
E - модуль упругости;
F - сила;
If - момент инерции пояса балки относительно собственной оси;
Ib - момент инерции сечения ветви;
Im; Id - моменты инерции сечения пояса и раскоса фермы;
Is - момент инерции сечения ребра жесткости, планки;
Ir - момент инерции сечения поперечного ребра;
Irl - момент инерции сечения продольного ребра;
It - момент инерции при свободном кручении балки;
Ix; Iy - моменты инерции сечения брутто относительно осей x-x и y-y соответственно;
Ixn; Iyn - то же, сечения нетто;

- секториальный момент инерции сечения;
M - момент, изгибающий момент;
Mx; My - моменты относительно осей x-x и y-y соответственно;
N - продольная сила;
Nad - дополнительное усилие;
Nb - усилие в одной ветви колонны;
Q - поперечная сила, сила сдвига;
Qfic - условная поперечная сила для соединительных элементов;
Qs - условная поперечная сила, приходящаяся на систему планок, расположенных в одной плоскости;
R - расчетное сопротивление алюминия растяжению, сжатию, изгибу;
Rbp - расчетное сопротивление смятию болтовых соединений;
Rbs - расчетное сопротивление срезу болтов;
Rbt - расчетное сопротивление растяжению болтов;
Rrs - расчетное сопротивление срезу заклепок;
Rrp - расчетное сопротивление смятию заклепочных соединений;
Rbh - расчетное сопротивление растяжению высокопрочных болтов;
Rp - расчетное сопротивление алюминия смятию торцевой поверхности (при наличии пригонки);
Rlp - расчетное сопротивление алюминия смятию при плотном касании;
Rpl - расчетное сопротивление растяжению алюминия после достижения алюминием предела текучести;
Rs - расчетное сопротивление алюминия сдвигу;
Rth - расчетное сопротивление растяжению алюминия в направлении толщины прессованного полуфабриката;
Run - нормативное сопротивление алюминия разрыву, принимаемое равным минимальному значению временного сопротивления

по национальным стандартам и техническим условиям на алюминий;
Ryn - нормативное сопротивление алюминия, принимаемое равным минимальному значению условного предела текучести

по национальным стандартам и техническим условиям на алюминий;
Rw - расчетное сопротивление стыковых сварных соединений растяжению, сжатию, изгибу;
Rws - расчетное сопротивление стыковых сварных соединений сдвигу;
Rwzs - расчетное сопротивление стыковых и нахлесточных сварных соединений сдвигу;
Rwf - расчетное сопротивление угловых швов срезу по металлу шва;
Rwsm - расчетное сопротивление соединений, выполненных контактной роликовой сваркой;
Rwz - расчетное сопротивление алюминия в околошовной зоне;
S - статический момент сдвигаемой части сечения брутто относительно нейтральной оси;
Wy - момент сопротивления сечения для наиболее сжатого волокна;
Wx; Wy - моменты сопротивления сечения брутто относительно осей x-x и y-y соответственно;
Wxn; Wyn - моменты сопротивления сечения нетто относительно осей x-x и y-y соответственно;

- секториальный момент сопротивления сечения нетто;
b - ширина;
bef - расчетная ширина свеса полки (поясного листа);
br - ширина выступающей части ребра, свеса;
d - диаметр отверстия болта;
db - наружный диаметр стержня болта;
e - эксцентриситет силы;
f - прогиб;
h - высота;
hef - расчетная высота стенки;
hw - высота стенки;
i - радиус инерции сечения;
imin - наименьший радиус инерции сечения;
ix; iy - радиусы инерции сечения относительно осей x-x и y-y соответственно;
kf - катет углового шва;
l - длина, пролет, расстояние;
lc - длина стойки, колонны, распорки;
ld - длина раскоса;
lef - расчетная длина;
lm - длина панели пояса фермы или колонны;
lw - расчетная длина сварного шва;
lx; ly - расчетные длины элемента в плоскостях, перпендикулярных к осям x-x и y-y соответственно;
m - относительный эксцентриситет, m = Ea/Wc;
mef - приведенный относительный эксцентриситет,

;
r - радиус;
t - толщина;
tr - толщина ребра;
tw - толщина стенки;

- коэффициент для расчета углового шва по металлу шва;

- коэффициент условий работы болтового соединения;

- коэффициент условий работы;

- коэффициент надежности по материалу;

- коэффициент влияния изменения температуры;

- коэффициент надежности по ответственности;

- коэффициент надежности в расчетах по временному сопротивлению;

- коэффициент влияния формы сечения;

- гибкость,

;

- условная гибкость,

;

- условная гибкость отдельной ветви;

- приведенная гибкость стержня сквозного сечения;

- условная приведенная гибкость стержня сквозного сечения,

;

- условная гибкость свеса пояса,

;

- условная гибкость свесов с утолщением (бульбой);

- условная гибкость стенки,

;

- предельная условная гибкость свеса пояса (поясного листа);

- условная гибкость сжатого пояса балки;

- предельная гибкость;

;

- расчетные гибкости элемента в плоскостях, перпендикулярных осям
x-
x и
y-
y соответственно;

- расчетное напряжение в оболочке;

- критическое напряжение в оболочке;

- местное напряжение;

;

- нормальные напряжения, параллельные осям
x-
x и
y-
y соответственно;

- напряжение в сварном соединении от изгиба;

- касательное напряжение;

- напряжение в сварном соединении от среза;

- коэффициент устойчивости при центральном сжатии;

- коэффициент устойчивости при сжатии;

- коэффициент устойчивости при изгибе;

- коэффициент устойчивости при сжатии с изгибом;

- коэффициент устойчивости при сжатии с изгибом в двух плоскостях.
ФИЗИЧЕСКИЕ ХАРАКТЕРИСТИКИ АЛЮМИНИЯ
Таблица Б.1
Физические характеристики
Характеристика | Значение |
Модуль упругости E, Н/мм2, при температуре, °C: | |
минус 70 | 0,735·105 |
от минус 40 до 50 | 0,700·105 |
100 | 0,640·105 |
Модуль сдвига G, Н/мм2, при температуре, °C: | |
минус 70 | 0,274·105 |
от минус 40 до 50 | 0,265·105 |
100 | 0,255·105 |
Коэффициент поперечной деформации (Пуассона)  | 0,3 |
Коэффициент линейного расширения  , °C -1, при температуре от минус 70 до 100 °C | 0,23·10-4 |
Среднее значение плотности  , кг/м 3 | 2700 |
Примечание - Для промежуточных значений температуры значения E и G следует определять линейной интерполяцией. |
Таблица В.1
Плотность алюминия
Марка алюминия | АМг | АВ | АД1; АД31; АД33 | АМц | 1925; 1915 | В95 | АК8М3ч |
Плотность, кг/м3 | 2680 | 2700 | 2710 | 2730 | 2770 | 2850 | 2550 |
КОЭФФИЦИЕНТЫ УСТОЙЧИВОСТИ

ДЛЯ РАСЧЕТА
ЦЕНТРАЛЬНО СЖАТЫХ ЭЛЕМЕНТОВ
В таблице Г.1 приведены схемы сечений, для которых в
таблицах Г.2 и
Г.3 приведены значения коэффициента

.
Таблица Г.1
Схемы сечений для определения коэффициента

Тип сечения | Номер таблицы |
Обозначение | Форма |
1 | | |
2 | | |
Таблица Г.2
Коэффициенты

устойчивости центрально
сжатых элементов для сечений типа 1
Гибкость элементов  | Коэффициенты  для элементов из алюминия масок |
АД1М | АМцМ | АД31Т; АД31Т4 | АМг2М | АД31Т5 | АД31Т1; АМг3Н2 | 1925; 1915 | 1915Т |
0 | 1,000 | 1,000 | 1,000 | 1,000 | 1,000 | 1,000 | 1,000 | 1,000 |
10 | 1,000 | 1,000 | 1,000 | 1,000 | 1,000 | 1,000 | 1,000 | 1,000 |
20 | 1,000 | 1,000 | 0,995 | 0,982 | 0,946 | 0,936 | 0,915 | 0,910 |
30 | 0,985 | 0,955 | 0,930 | 0,915 | 0,880 | 0,865 | 0,838 | 0,830 |
40 | 0,935 | 0,900 | 0,880 | 0,860 | 0,818 | 0,802 | 0,770 | 0,758 |
50 | 0,887 | 0,860 | 0,835 | 0,812 | 0,763 | 0,740 | 0,696 | 0,676 |
60 | 0,858 | 0,820 | 0,793 | 0,766 | 0,705 | 0,675 | 0,615 | 0,590 |
70 | 0,825 | 0,782 | 0,750 | 0,717 | 0,644 | 0,605 | 0,530 | 0,500 |
80 | 0,792 | 0,745 | 0,706 | 0,665 | 0,590 | 0,542 | 0,440 | 0,385 |
90 | 0,760 | 0,710 | 0,656 | 0,608 | 0,510 | 0,450 | 0,348 | 0,305 |
100 | 0,726 | 0,665 | 0,610 | 0,555 | 0,432 | 0,367 | 0,282 | 0,246 |
110 | 0,693 | 0,625 | 0,562 | 0,506 | 0,382 | 0,313 | 0,233 | 0,204 |
120 | 0,660 | 0,530 | 0,518 | 0,458 | 0,330 | 0,262 | 0,196 | 0,171 |
130 | 0,630 | 0,545 | 0,475 | 0,415 | 0,290 | 0,227 | 0,167 | 0,146 |
140 | 0,595 | 0,505 | 0,435 | 0,362 | 0,255 | 0,197 | 0,144 | 0,126 |
150 | 0,562 | 0,470 | 0,400 | 0,313 | 0,212 | 0,168 | 0,125 | 0,110 |
Таблица Г.3
Коэффициенты

устойчивости центрально
сжатых элементов для сечений типа 2
Гибкость элементов  | Коэффициенты  для элементов из алюминия марок |
АД1М | АМцМ | АД31Т; АД31Т4 | АМг2М | АД31Т5 | АД31Т1; АМг3Н2 | 1925; 1915 | 1915Т |
0 | 1,000 | 1,000 | 1,000 | 1,000 | 1,000 | 1,000 | 1,000 | 1,000 |
10 | 1,000 | 1,000 | 1,000 | 1,000 | 0,990 | 0,983 | 0,967 | 0,960 |
20 | 0,975 | 0,950 | 0,940 | 0,920 | 0,885 | 0,880 | 0,867 | 0,860 |
30 | 0,922 | 0,895 | 0,878 | 0,862 | 0,820 | 0,808 | 0,790 | 0,775 |
40 | 0,877 | 0,842 | 0,822 | 0,807 | 0,760 | 0,742 | 0,715 | 0,695 |
50 | 0,832 | 0,796 | 0,773 | 0,750 | 0,700 | 0,678 | 0,638 | 0,613 |
60 | 0,795 | 0,752 | 0,725 | 0,698 | 0,635 | 0,607 | 0,560 | 0,530 |
70 | 0,757 | 0,713 | 0,680 | 0,647 | 0,574 | 0,538 | 0,482 | 0,450 |
80 | 0,720 | 0,670 | 0,635 | 0,597 | 0,520 | 0,480 | 0,413 | 0,380 |
90 | 0,690 | 0,632 | 0,588 | 0,545 | 0,466 | 0,422 | 0,348 | 0,305 |
100 | 0,657 | 0,593 | 0,543 | 0,498 | 0,410 | 0,360 | 0,282 | 0,246 |
110 | 0,625 | 0,553 | 0,500 | 0,450 | 0,362 | 0,310 | 0,233 | 0,204 |
120 | 0,590 | 0,515 | 0,460 | 0,408 | 0,316 | 0,263 | 0,196 | 0,171 |
130 | 0,560 | 0,480 | 0,420 | 0,370 | 0,280 | 0,228 | 0,167 | 0,146 |
140 | 0,527 | 0,445 | 0,385 | 0,333 | 0,237 | 0,194 | 0,144 | 0,126 |
150 | 0,497 | 0,412 | 0,352 | 0,300 | 0,205 | 0,166 | 0,125 | 0,110 |
КОЭФФИЦИЕНТ УСТОЙЧИВОСТИ ПРИ ИЗГИБЕ

Минстроя России от 29.07.2024 N 486/пр)
Д.1 Коэффициент

для расчета на устойчивость изгибаемых элементов двутаврового, таврового и швеллерного сечения следует определять в зависимости от расстановки связей, раскрепляющих сжатый пояс, вида нагрузки и места ее приложения. При этом предполагается, что нагрузка действует в плоскости наибольшей жесткости (
Ix >
Iy), а опорные сечения закреплены от боковых смещений и поворота.
Д.2 Для балки на двух опорах, двутаврового сечения и с двумя осями симметрии для определения коэффициента

необходимо вычислить коэффициент

по формуле

(Д.1)
где

- коэффициент, вычисляемый согласно требованиям
Д.3;
lef - расчетная длина балки;
h - полная высота сечения.
Д.3 Значение коэффициента

в
формуле (Д.1) для балок симметричного двутаврового сечения с двумя осями симметрии следует вычислять по формуле

(Д.2)
при этом коэффициенты
A,
B,
C следует принимать по
таблице Д.1 в зависимости от вида нагрузки, места ее приложения, а также от параметра

, равного

(Д.3)
где k - коэффициент, зависящий от наличия раскрепления сжатого пояса в пролете, k = 1 при отсутствии раскреплений; k = 1,54 при наличии раскреплений;
It - момент инерции сечения при свободном (чистом) кручении.
"-" - на верхнем поясе; "+" - на нижнем поясе.
Для балок, сечение которых близко к симметричному двутавровому (наличие бульб на поясах или продольных ребер по стенке), значение коэффициента

следует вычислять по формулам
таблицы Д.2 в зависимости от коэффициентов:

- по
формуле (Д.3);

- по формуле (Д.4).

(Д.4)
| Вид нагрузки в пролете балки | К расчету коэффициента  для балок симметричного двутаврового сечения |
| |
A | B | C |
1 | | | 1,21 | 9,03 | 1,28 |
2 | | | 0,95 | 5,78 | 0 |
3 | | | 1,23 | 7,52 | 0 |
4 | | | 1,65 | 10,1 | 0 |
5 | | | 2,31 | 14,1 | 0 |
6 | | | 3,35 | 20,4 | 0 |
7 | | | 7,28 | 44,4 | 0 |
8 | | | 8,2 | 50,0 | 0 |
9 | | | 6,97 | 42,5 | 0 |
10 | | | 4,98 | 30,3 | 0 |
11 | | | 1,78 | 14,3 | 1,86 |
12 | | | 1,91 | 14,6 | 1,72 |
13 | | | 2,11 | 15,1 | 1,51 |
14 | | | 1,15 | 8,84 | 1,36 |
15 | | | 1,03 | 7,42 | 1,08 |
16 | | | 1,34 | 10,2 | 1,41 |
17 | | | 1,26 | 9,28 | 1,28 |
18 | | | 1,46 | 10,8 | 1,38 |
| Вид нагрузки в пролете балки | Выражение коэффициента  для балок симметричного сечения |
двутаврового | близкого к двутавровому |
1 | | | |
2 | | | |
3 | | | |
4 | | | |
5 | | | |
6 | | | |
7 | | | |
8 | | | |
9 | | | |
10 | | | |
11 | | | |
12 | | | |
13 | | | |
14 | | | |
15 | | | |
16 | | | |
17 | | | |
18 | | | |
Д.4 Для разрезных балок двутаврового сечения с одной осью симметрии
(рисунок Д.1) для определения коэффициента

необходимо вычислить коэффициенты

и

по формулам:

(Д.5)

(Д.6)

(Д.7)

- коэффициент, зависящий от вида нагрузки и принимаемый по
таблице Д.4;

- относительная координата точки приложения нагрузки со своим знаком (см.
рисунок Д.1);
здесь

(где
I1,
I2 - моменты инерции соответственно сжатого и растянутого поясов относительно оси симметрии сечения);

- момент инерции при свободном кручении (здесь
bi и
ti - соответственно ширина и толщина прямоугольников, образующих сечение). При наличии утолщений круглого сечения (бульб)
где D - диаметр бульб;
n - число бульб в сечении.
при

;
при

для алюминия всех марок, указанных в
таблице 1, за исключением АМг3Н2, АД31Т1 и АД31Т5, для которых

следует вычислять по
формуле (Д.6) и принимать не более 1,0.
Д.5 Для консольных балок двутаврового сечения с двумя осями симметрии для определения коэффициента

необходимо вычислить коэффициент

по формуле

(Д.8)
где

- коэффициент, вычисляемый согласно требованиям
Д.6;
lef - расчетная длина балки;
h - полная высота сечения.
Д.6 Значение коэффициента

в
формуле (Д.8) для консольных балок симметричного двутаврового сечения с двумя осями симметрии следует определять по
таблице (Д.3) в зависимости от параметра

, равного

(Д.9)
где
It - момент инерции сечения при свободном (чистом) кручении, определяемый расчетом по методам сопротивления материалов или по формулам, приведенным в пояснениях к
(Д.5) -
(Д.7).
Коэффициент

для консолей двутаврового сечения
с двумя осями симметрии
Коэффициент  | Коэффициент  при нагрузке, приложенной к поясу |
верхнему | нижнему |
4 | 0,875 | 3,640 |
6 | 1,120 | 3,745 |
8 | 1,295 | 3,850 |
10 | 1,505 | 3,920 |
12 | 1,680 | 4,025 |
14 | 1,855 | 4,130 |
16 | 2,030 | 4,200 |
24 | 2,520 | 4,550 |
32 | 2,975 | 4,830 |
40 | 3,290 | 5,040 |
100 | 5,040 | 6,720 |
Коэффициент

для балок двутаврового сечения
с одной осью симметрии
Вид нагрузки | Чистый изгиб | Равномерно распределенная | Сосредоточенная сила в середине пролета | Момент на одном конце балки |
Коэффициент | 1,00 | 1,12 | 1,35 | 1,75 |
Рисунок Д.1 - Схема двутаврового сечения
с одной осью симметрии
Д.7 Устойчивость балок швеллерного сечения следует проверять так же, как балок двутаврового сечения, при этом

следует вычислять по
формуле (Д.9); найденные значения

умножать на 0,7.
РАСЧЕТ ВНЕЦЕНТРЕННО СЖАТЫХ И СЖАТО-ИЗГИБАЕМЫХ ЭЛЕМЕНТОВ
Таблица Е.1
Коэффициенты устойчивости

для проверки
устойчивости внецентренно сжатых (сжато-изгибаемых)
сплошностенчатых стержней в плоскости действия
момента, совпадающей с плоскостью симметрии
Условная гибкость | Значение  при приведенном относительном эксцентриситете mef |
0,1 | 0,2 | 0,3 | 0,4 | 0,5 | 0,6 | 0,7 | 0,8 | 1,0 | 1,2 | 1,5 |
0,5 | 990 | 980 | 973 | 937 | 905 | 880 | 850 | 822 | 767 | 725 | 657 |
(в ред. Изменения N 1, утв. Приказом Минстроя России от 29.07.2024 N 486/пр) |
1,0 | 947 | 907 | 872 | 837 | 807 | 778 | 752 | 725 | 680 | 637 | 583 |
1,5 | 880 | 832 | 793 | 758 | 726 | 700 | 507 | 647 | 607 | 570 | 518 |
2,0 | 817 | 765 | 723 | 687 | 656 | 627 | 457 | 580 | 540 | 507 | 463 |
2,5 | 750 | 695 | 652 | 617 | 587 | 560 | 410 | 515 | 482 | 452 | 413 |
3,0 | 677 | 618 | 578 | 545 | 517 | 495 | 472 | 455 | 425 | 400 | 367 |
3,5 | 593 | 542 | 505 | 475 | 453 | 434 | 415 | 398 | 374 | 355 | 325 |
4,0 | 505 | 436 | 435 | 412 | 393 | 378 | 362 | 350 | 327 | 312 | 288 |
4,5 | 425 | 395 | 374 | 356 | 342 | 328 | 315 | 306 | 288 | 275 | 255 |
5,0 | 358 | 338 | 320 | 307 | 295 | 285 | 275 | 268 | 253 | 242 | 227 |
5,5 | 303 | 287 | 276 | 265 | 257 | 248 | 242 | 235 | 225 | 215 | 202 |
6,0 | 257 | 246 | 238 | 230 | 223 | 218 | 213 | 208 | 198 | 192 | 180 |
6,5 | 222 | 212 | 207 | 202 | 197 | 191 | 187 | 183 | 175 | 170 | 161 |
7,0 | 192 | 187 | 181 | 177 | 172 | 168 | 165 | 161 | 155 | 150 | 145 |
8,0 | 148 | 145 | 142 | 139 | 137 | 134 | 132 | 129 | 126 | 123 | 120 |
9,0 | 120 | 117 | 115 | 113 | 111 | 110 | 108 | 107 | 105 | 102 | 100 |
10,0 | 097 | 095 | 093 | 092 | 091 | 090 | 088 | 087 | 085 | 084 | 082 |
Окончание таблицы Е.1
Условная гибкость | Значение  при приведенном относительном эксцентриситете mef |
2,0 | 2,5 | 3,0 | 4,0 | 5,0 | 6,0 | 7,0 | 8,0 | 9,0 | 10,0 |
0,5 | 567 | 500 | 445 | 360 | 302 | 257 | 225 | 203 | 182 | 165 |
1,0 | 505 | 445 | 394 | 323 | 272 | 235 | 205 | 186 | 167 | 151 |
1,5 | 452 | 398 | 355 | 292 | 247 | 215 | 188 | 171 | 153 | 140 |
2,0 | 405 | 358 | 320 | 265 | 227 | 197 | 175 | 158 | 142 | 130 |
2,5 | 362 | 322 | 290 | 242 | 208 | 182 | 162 | 146 | 132 | 121 |
3,0 | 323 | 290 | 262 | 220 | 192 | 167 | 150 | 135 | 123 | 114 |
3,5 | 288 | 260 | 236 | 202 | 175 | 155 | 140 | 126 | 116 | 108 |
4,0 | 257 | 233 | 214 | 184 | 159 | 144 | 130 | 117 | 109 | 101 |
4,5 | 230 | 210 | 193 | 167 | 146 | 132 | 121 | 110 | 102 | 095 |
5,0 | 205 | 190 | 175 | 152 | 135 | 123 | 113 | 103 | 096 | 090 |
5,5 | 185 | 172 | 160 | 140 | 125 | 115 | 105 | 097 | 090 | 085 |
6,0 | 166 | 155 | 145 | 128 | 115 | 106 | 097 | 090 | 085 | 080 |
6,5 | 148 | 141 | 132 | 117 | 107 | 097 | 090 | 085 | 080 | 075 |
7,0 | 135 | 128 | 120 | 108 | 098 | 090 | 085 | 080 | 075 | 070 |
8,0 | 112 | 107 | 100 | 091 | 085 | 080 | 077 | 072 | 067 | 062 |
9,0 | 094 | 090 | 086 | 080 | 076 | 072 | 067 | 063 | 059 | 055 |
10,0 | 080 | 077 | 075 | 070 | 067 | 062 | 060 | 056 | 052 | 048 |
Примечания 1 Значения коэффициентов  в таблице увеличены в 1000 раз. 2 Значения  следует принимать не более значений  . |
Таблица Е.2
Коэффициенты устойчивости

для проверки
устойчивости внецентренно сжатых (сжато-изгибаемых)
сквозных стержней в плоскости действия момента,
совпадающей с плоскостью симметрии
Условная приведенная гибкость  | Значение  при относительном эксцентриситете m |
0,1 | 0,2 | 0,3 | 0,4 | 0,5 | 0,6 | 0,7 | 0,8 | 1,0 | 1,2 | 1,5 |
0,5 | 950 | 888 | 825 | 755 | 718 | 660 | 635 | 605 | 540 | 495 | 436 |
1,0 | 882 | 810 | 756 | 693 | 660 | 609 | 582 | 548 | 496 | 453 | 405 |
1,5 | 872 | 753 | 684 | 643 | 607 | 568 | 534 | 507 | 458 | 420 | 375 |
2,0 | 773 | 700 | 640 | 593 | 558 | 523 | 492 | 468 | 423 | 390 | 347 |
2,5 | 712 | 637 | 585 | 543 | 508 | 477 | 450 | 427 | 390 | 358 | 320 |
3,0 | 640 | 575 | 530 | 488 | 458 | 430 | 408 | 387 | 355 | 327 | 294 |
3,5 | 565 | 507 | 467 | 432 | 410 | 385 | 365 | 350 | 321 | 297 | 270 |
4,0 | 490 | 442 | 410 | 382 | 363 | 343 | 327 | 313 | 290 | 269 | 247 |
4,5 | 418 | 382 | 357 | 335 | 320 | 304 | 290 | 280 | 260 | 243 | 223 |
5,0 | 353 | 328 | 309 | 293 | 280 | 268 | 257 | 249 | 233 | 219 | 202 |
5,5 | 300 | 282 | 267 | 256 | 245 | 237 | 228 | 222 | 208 | 197 | 183 |
6,0 | 256 | 242 | 233 | 223 | 216 | 210 | 202 | 197 | 187 | 178 | 166 |
6,5 | 220 | 210 | 205 | 197 | 190 | 185 | 182 | 175 | 167 | 160 | 150 |
7,0 | 192 | 186 | 180 | 173 | 169 | 165 | 162 | 157 | 150 | 145 | 136 |
8,0 | 150 | 145 | 142 | 139 | 135 | 133 | 130 | 127 | 122 | 120 | 112 |
9,0 | 120 | 117 | 115 | 112 | 110 | 108 | 107 | 105 | 101 | 098 | 095 |
10,0 | 097 | 096 | 095 | 093 | 092 | 091 | 090 | 087 | 085 | 083 | 082 |
(в ред.
Изменения N 1, утв. Приказом Минстроя России от 29.07.2024 N 486/пр)
Окончание таблицы Е.2
Условная приведенная гибкость  | Значение  при относительном эксцентриситете m |
2,0 | 2,5 | 3,0 | 4,0 | 5,0 | 6,0 | 7,0 | 8,0 | 9,0 | 10,0 |
0,5 | 370 | 320 | 282 | 223 | 196 | 170 | 157 | 143 | 122 | 110 |
(в ред. Изменения N 1, утв. Приказом Минстроя России от 29.07.2024 N 486/пр) |
1,0 | 342 | 296 | 262 | 213 | 182 | 155 | 145 | 130 | 113 | 096 |
1,5 | 318 | 275 | 243 | 198 | 170 | 144 | 134 | 120 | 105 | 090 |
2,0 | 294 | 257 | 227 | 185 | 159 | 135 | 125 | 112 | 100 | 084 |
2,5 | 273 | 240 | 213 | 173 | 150 | 127 | 117 | 105 | 095 | 079 |
3,0 | 253 | 222 | 197 | 164 | 142 | 121 | 111 | 100 | 092 | 075 |
3,5 | 232 | 206 | 185 | 155 | 133 | 115 | 106 | 095 | 087 | 072 |
4,0 | 213 | 190 | 172 | 145 | 125 | 110 | 100 | 090 | 083 | 070 |
4,5 | 195 | 177 | 160 | 135 | 117 | 105 | 094 | 086 | 080 | 067 |
5,0 | 178 | 162 | 148 | 127 | 110 | 098 | 089 | 082 | 076 | 064 |
5,5 | 163 | 150 | 137 | 120 | 105 | 094 | 084 | 077 | 072 | 062 |
6,0 | 150 | 138 | 128 | 112 | 098 | 090 | 080 | 073 | 068 | 060 |
6,5 | 136 | 127 | 118 | 103 | 094 | 085 | 076 | 070 | 065 | 058 |
7,0 | 125 | 117 | 108 | 096 | 090 | 081 | 072 | 067 | 062 | 056 |
8,0 | 105 | 100 | 092 | 086 | 082 | 072 | 065 | 060 | 056 | 052 |
9,0 | 090 | 087 | 081 | 077 | 072 | 065 | 058 | 055 | 050 | 048 |
10,0 | 080 | 076 | 071 | 068 | 064 | 057 | 052 | 048 | 044 | 044 |
Примечания 1 Значения коэффициентов  в таблице увеличены в 1000 раз. 2 Значения  следует принимать не более значений  . |
Таблица Е.3
Коэффициенты влияния формы сечения

Тип сечения | Схема сечения и эксцентриситет | | Значения  при |
| |
0,1 <= m <= 5 | 5 < m <= 10 | 0,1 <= m <= 5 | 5 < m <= 10 |
1 | | - | 1,0 |
2 | | - | 0,85 |
3 | | - | | 0,85 |
4 | | - | | 1,1 |
5 | | 0,25 | | 1,2 |
0,5 | | 1,25 |
>= 1,0 | | | 1,3 |
6 | | - | | |
7 | | - | |
8 | | 0,25 | | 1,0 |
0,5 | | 1,0 |
>= 1 | | 1,0 |
9 | | 0,5 | | 1,0 |
>= 1 | | 1,0 |
10 | | 0,5 | 1,4 |
1,0 | | 1,6 | 1,35 + 0,05m | 1,6 |
2,0 | | 1,8 | 1,3 + 0,1m | 1,8 |
11 | | 0,5 | 1,45 + 0,04m | 1,65 | 1,45 + 0,04m | 1,65 |
1,0 | 1,8 + 0,12m | 2,4 | 1,8 + 0,12m | 2,4 |
1,5 | | - | - | - |
2,0 | | - | - | - |
Примечания 1 Для типов сечений 5 - 7 при подсчете значений Af/An площадь вертикальных элементов полок не следует учитывать. 2 Для типов сечений 6 - 7 значения  следует принимать равными значениям  для типа 5 при тех же значениях Af/ An. |
(в ред.
Изменения N 1, утв. Приказом Минстроя России от 29.07.2024 N 486/пр)
Таблица Е.4
Приведенные относительные эксцентриситеты
mef
для внецентренно сжатых стержней с шарнирно-опертыми концами
Эпюры моментов | | Значение mef при mef,1, равном |
0,1 | 0,5 | 1,0 | 1,5 | 2,0 | 3,0 | 4,0 | 5,0 | 7,0 | 10,0 | 20,0 |
| 1 | 0,10 | 0,30 | 0,68 | 1,12 | 1,60 | 2,62 | 3,55 | 4,55 | 6,50 | 9,40 | 19,40 |
2 | 0,10 | 0,17 | 0,39 | 0,68 | 1,03 | 1,80 | 2,75 | 3,72 | 5,65 | 8,60 | 18,50 |
3 | 0,10 | 0,10 | 0,22 | 0,36 | 0,55 | 1,17 | 1,95 | 2,77 | 4,60 | 7,40 | 17,20 |
4 | 0,10 | 0,10 | 0,10 | 0,18 | 0,30 | 0,57 | 1,03 | 1,78 | 3,35 | 5,90 | 15,40 |
5 | 0,10 | 0,10 | 0,10 | 0,10 | 0,15 | 0,23 | 0,48 | 0,95 | 2,18 | 4,40 | 13,40 |
6 | 0,10 | 0,10 | 0,10 | 0,10 | 0,10 | 0,15 | 0,18 | 0,40 | 1,25 | 3,00 | 11,40 |
7 | 0,10 | 0,10 | 0,10 | 0,10 | 0,10 | 0,10 | 0,10 | 0,10 | 0,50 | 1,70 | 9,50 |
| 1 | 0,10 | 0,31 | 0,68 | 1,12 | 1,60 | 2,62 | 3,55 | 4,55 | 6,50 | 9,40 | 19,40 |
2 | 0,10 | 0,22 | 0,46 | 0,73 | 1,05 | 1,88 | 2,75 | 3,72 | 5,65 | 8,60 | 18,50 |
3 | 0,10 | 0,17 | 0,38 | 0,58 | 0,80 | 1,33 | 2,00 | 2,77 | 4,60 | 7,40 | 17,20 |
4 | 0,10 | 0,14 | 0,32 | 0,49 | 0,66 | 1,05 | 1,52 | 2,22 | 3,50 | 5,90 | 15,40 |
5 | 0,10 | 0,10 | 0,26 | 0,41 | 0,57 | 0,95 | 1,38 | 1,80 | 2,95 | 4,70 | 13,40 |
6 | 0,10 | 0,16 | 0,28 | 0,40 | 0,52 | 0,95 | 1,25 | 1,60 | 2,50 | 4,00 | 11,50 |
7 | 0,10 | 0,22 | 0,32 | 0,42 | 0,55 | 0,95 | 1,10 | 1,35 | 2,20 | 3,50 | 10,80 |
| 1 | 0,10 | 0,32 | 0,70 | 1,12 | 1,60 | 2,62 | 2,55 | 4,55 | 6,50 | 9,40 | 19,40 |
2 | 0,10 | 0,28 | 0,60 | 0,90 | 1,28 | 1,96 | 2,75 | 3,72 | 5,65 | 8,40 | 18,50 |
3 | 0,10 | 0,27 | 0,55 | 0,84 | 1,15 | 1,75 | 2,43 | 3,17 | 4,80 | 7,40 | 17,20 |
4 | 0,10 | 0,26 | 0,52 | 0,78 | 1,10 | 1,60 | 2,20 | 2,83 | 4,00 | 6,30 | 15,40 |
5 | 0,10 | 0,25 | 0,52 | 0,78 | 1,10 | 1,55 | 2,10 | 2,78 | 3,85 | 5,90 | 14,50 |
6 | 0,10 | 0,28 | 0,52 | 0,78 | 1,10 | 1,55 | 2,00 | 2,70 | 3,80 | 5,60 | 13,80 |
7 | 0,10 | 0,32 | 0,52 | 0,78 | 1,10 | 1,55 | 1,90 | 2,60 | 3,75 | 5,50 | 13,00 |
| 1 | 0,10 | 0,40 | 0,80 | 1,23 | 1,68 | 2,62 | 3,55 | 4,55 | 6,50 | 9,10 | 19,40 |
2 | 0,10 | 0,40 | 0,78 | 1,20 | 1,60 | 2,30 | 3,15 | 4,10 | 5,85 | 8,60 | 18,50 |
3 | 0,10 | 0,40 | 0,77 | 1,17 | 1,55 | 2,30 | 3,10 | 3,90 | 5,55 | 8,13 | 18,00 |
4 | 0,10 | 0,40 | 0,75 | 1,13 | 1,55 | 2,30 | 3,05 | 3,80 | 5,30 | 7,60 | 17,50 |
5 | 0,10 | 0,40 | 0,75 | 1,10 | 1,55 | 2,30 | 3,00 | 3,80 | 5,30 | 7,60 | 17,00 |
6 | 0,10 | 0,40 | 0,75 | 1,10 | 1,50 | 2,30 | 3,00 | 3,80 | 5,30 | 7,60 | 16,50 |
7 | 0,10 | 0,40 | 0,75 | 1,10 | 1,40 | 2,30 | 3,00 | 3,80 | 5,30 | 7,60 | 16,00 |
Обозначения, принятые в таблице Е.4:  ;  |
ВИДЫ КРЕПЛЕНИЙ ОГРАЖДАЮЩИХ КОНСТРУКЦИЙ
Таблица Ж.1
Описание крепления | Назначение продукции | Нормативные документы |
Вытяжная алюминиевая заклепка с сердечником из нержавеющей стали или коррозионно-стойкие заклепки различного диаметра | Для крепления элементов примыкания и элементов конструкций между собой | |
Болтовое соединение (в том числе шайба, гайка) | Для крепления элементов к несущей конструкции, а также элементов конструкций между собой | |
Винтовое соединение | Для крепления элементов конструкций между собой | |
Болты самоанкерующиеся распорные для строительства | Для крепления к стене | |
КОНСТРУИРОВАНИЕ СВАРНЫХ СОЕДИНЕНИЙ
Таблица И
NN пп | Вид сварного соединения | Рекомендации |
1 | Стыковое соединение | Должна быть обязательной разделка кромок, вырубка и подварка шва. При соединении листов разной толщины более толстый должен быть скошен, в соответствии с ГОСТ 14806-80. Для более успешного сопротивления усталостным напряжениям, выступ сварного шва над плоскостью соединяемого элемента необходимо устранить. По возможности не рекомендуется применять пересекающихся швов |
2 | Соединение внахлестку | Во избежание изгибающих напряжений в сварном шве необходима постановка швов с двух сторон. Как правило, разделка кромок не требуется |
3 | Тавровое соединение | Необходима тщательная подгонка торца вертикального элемента к пластине. Сварка должна осуществляться в кондукторе. Как правило, разделка кромок не требуется. Если возможен изгиб стенки, необходимо предусмотреть сварной шов с двух сторон |
4 | | При опирании листа на ребро жесткости, в случае если лист подвергается изгибу, рекомендуется переместить сварной шов в сторону от действия максимального изгибающего момента |
5 | | Для восприятия момента тавровое соединение должно быть усилено угловыми ребрами жесткости. Ребро должно быть прикреплено так, чтобы угловой шов был непрерывен во избежание образования кратеров |
6 | | Отбортованные элементы в резервуарах должны быть расположены под прямым углом к привариваемому элементу с целью снижения изгибающих напряжений в сварном шве. Не допускается приварка закругленного конца элемента |
7 | | Рекомендуется применять двойные угловые швы, предусматривающие соединение встык или внахлестку |
8 | | Усилительная стыковая накладка лучше всего может быть выполнена из элемента ромбовидной формы со швами, проходящими за концевые точки листа. Это снижает максимальные срезающие напряжения в угловых швах по сравнению с прямоугольной накладкой |
9 | | При пересечении главных балок с элементами переборок и перегородок, во избежание возникновения в месте их пересечения высоких местных напряжений необходима постановка поперечных ребер |
10 | | Ребра жесткости, предотвращающие деформацию из плоскости стенки балки, должны иметь конструкцию крепления к полкам, с целью передачи усилий от стенки к полкам балки |
11 | | Вырезы должны быть закругленными во избежание концентраторов напряжений в углах. Если в месте выреза предусматривается усиление, то необходимо предусмотреть, чтобы сварной шов являлся достаточным для восприятия всей нагрузки, которая передается на усилительный элемент. Для небольших вырезов следует предпочесть случай "Б" случаю "А", что облегчает подгонку усилительного элемента и улучшает противодействие усталостным напряжениям |
12 | | В кронштейнах, прикрепленных к полкам, части полок отдаленные от стенки, воспринимают меньшие усилия, чем часть, примыкающая к стенке. Это приводит к высоким значениям напряжений в центральной части полки. Чтобы распределить напряжения по шву более равномерно, необходима постановка ребер жесткости, передающих нагрузку на стенку основного элемента |
[1] Федеральный
закон от 22 июля 2008 г. N 123-ФЗ "Технический регламент о требованиях пожарной безопасности"
[2] Федеральный
закон от 30 декабря 2009 г. N 384-ФЗ "Технический регламент о безопасности зданий и сооружений".