Главная // Актуальные документы // ПравилаСПРАВКА
Источник публикации
В данном виде документ опубликован не был.
Первоначальный текст документа опубликован в издании
М., 2016.
Информацию о публикации документов, создающих данную редакцию, см. в справке к этим документам.
Примечание к документу
Документ утратил силу полностью с 01.08.2020 в связи признанием утратившим силу
Постановления Правительства РФ от 26.12.2014 N 1521.
Документ утратил силу с 25.11.2018, за исключением пунктов, включенных в
Перечень национальных стандартов и сводов правил (частей таких стандартов и сводов правил), в результате применения которых на обязательной основе обеспечивается соблюдение требований Федерального
закона "Технический регламент о безопасности зданий и сооружений", утвержденный
Постановлением Правительства РФ от 26.12.2014 N 1521, до внесения соответствующих изменений в указанный Перечень, в связи с изданием
Приказа Минстроя России от 24.05.2018 N 309/пр, утвердившего новый Свод правил
СП 14.13330.2018.
Документ включен в
Перечень документов в области стандартизации, в результате применения которых на добровольной основе обеспечивается соблюдение требований Федерального
закона от 30.12.2009 N 384-ФЗ "Технический регламент о безопасности зданий и сооружений" (
Приказ Росстандарта от 30.03.2015 N 365).
Отдельные положения данного документа включены в
Перечень национальных стандартов и сводов правил (частей таких стандартов и сводов правил), в результате применения которых на обязательной основе обеспечивается соблюдение требований Федерального
закона от 30.12.2009 N 384-ФЗ "Технический регламент о безопасности зданий и сооружений" (
Постановление Правительства РФ от 26.12.2014 N 1521).
На время переходного периода данный документ не отменяет действие
СНиП II-7-81 (
Письмо Минрегиона России от 15.08.2011 N 18529-08/ИП-ОГ).
Документ
введен в действие с 01.06.2014.
Название документа
"СП 14.13330.2014. Свод правил. Строительство в сейсмических районах. СНиП II-7-81*"
(утв. Приказом Минстроя России от 18.02.2014 N 60/пр)
(ред. от 24.05.2018)
"СП 14.13330.2014. Свод правил. Строительство в сейсмических районах. СНиП II-7-81*"
(утв. Приказом Минстроя России от 18.02.2014 N 60/пр)
(ред. от 24.05.2018)
и жилищно-коммунального хозяйства
Российской Федерации
от 18 февраля 2014 г. N 60/пр
СВОД ПРАВИЛ
СТРОИТЕЛЬСТВО В СЕЙСМИЧЕСКИХ РАЙОНАХ
Seismic Building Design Code
СП 14.13330.2014
| | Список изменяющих документов Минстроя России от 23.11.2015 N 844/пр, Приказа Минстроя России от 24.05.2018 N 309/пр) | |
ОКС 91.120.25
Дата введения
1 июня 2014 года
Сведения о своде правил
1 ИСПОЛНИТЕЛИ - Центральный институт строительных конструкций и сооружений им. В.А. Кучеренко (ЦНИИСК им. В.А. Кучеренко) - институт ОАО "НИЦ "Строительство".
Изменение N 1 к СП 14.13330.2014 - институт АО "НИЦ "Строительство", ФГБУН Институт физики Земли им. О.Ю. Шмидта Российской академии наук (ИФЗ РАН)
2 ВНЕСЕН Техническим комитетом по стандартизации ТК 465 "Строительство"
3 ПОДГОТОВЛЕН к утверждению Департаментом градостроительной деятельности и архитектуры Министерства строительства и жилищно-коммунального хозяйства Российской Федерации (Минстрой России). Изменение N 1 к СП 14.13330.2014 подготовлено к утверждению Департаментом градостроительной деятельности и архитектуры Министерства строительства и жилищно-коммунального хозяйства Российской Федерации
4 УТВЕРЖДЕН
приказом Министерства строительства и жилищно-коммунального хозяйства Российской Федерации от 18 февраля 2014 г. N 60/пр и введен в действие с 1 июня 2014 г. В СП 14.13330.2014 "СНиП II-7-81* Строительство в сейсмических районах" внесено и утверждено изменение N 1
приказом Министерства строительства и жилищно-коммунального хозяйства Российской Федерации от 23 ноября 2015 г. N 844/пр и введено в действие с 1 декабря 2015 г.
5 ЗАРЕГИСТРИРОВАН Федеральным агентством по техническому регулированию и метрологии (Росстандарт)
В случае пересмотра (замены) или отмены настоящего свода правил соответствующее уведомление будет опубликовано в установленном порядке. Соответствующая информация, уведомление и тексты размещаются также в информационной системе общего пользования - на официальном сайте разработчика (Минстрой России) в сети Интернет.
Пункты, таблицы, приложения, в которые внесены изменения, отмечены в настоящем своде правил звездочкой.
| | ИС МЕГАНОРМ: примечание. В официальном тексте документа, видимо, допущена опечатка: Федеральный закон N 384-ФЗ принят 30.12.2009, а не 29.12.2009. | |
Настоящий свод правил составлен с учетом требований федеральных законов от 27 декабря 2002 г.
N 184-ФЗ "О техническом регулировании", от 29 декабря 2009 г.
N 384-ФЗ "Технический регламент о безопасности зданий и сооружений", от 23 ноября 2009 г.
N 261-ФЗ "Об энергосбережении и о повышении энергетической эффективности и о внесении изменений в отдельные законодательные акты Российской Федерации".
Работа выполнена Центром исследований сейсмостойкости сооружений ЦНИИСК им. В.А. Кучеренко - института ОАО "НИЦ "Строительство" (руководитель работы - д-р техн. наук, проф. Я.М. Айзенберг; ответственный исполнитель - канд. техн. наук, доцент В.И. Смирнов).
Изменение N 1 к настоящему своду правил разработано АО "НИЦ "Строительство" ЦНИИСК им. В.А. Кучеренко (руководитель работы - д-р техн. наук В.И. Смирнов, исполнитель - А.А. Бубис), ФГБУН Институт физики Земли им. О.Ю. Шмидта Российской академии наук (ИФЗ РАН) (руководитель работы - зам. директора, д-р геол.-минер. наук, проф. Е.А. Рогожин).
Ответственные исполнители - д-р физ.-мат. наук, проф. Ф.Ф. Аптикаев, д-р физ.-мат. наук, проф. В.И. Уломов, канд. физ.-мат. наук А.И. Лутиков, канд. геол.-минер. наук А.Н. Овсюченко, А.И. Сысолин (Институт физики Земли им. О.Ю. Шмидта РАН (г. Москва)); д-р геол.-минер. наук, проф. В.С. Имаев, д-р геол.-минер. наук А.В. Чипизубов, канд. геол.-минер. наук Л.П. Имаева, канд. геол.-минер. наук О.П. Смекалин, Г.Ю. Донцова (Институт земной коры СО РАН (г. Иркутск)); Б.М. Козьмин (Институт геологии алмаза и благородных металлов СО РАН (г. Якутск)); д-р геол.-минер. наук Н.Н. Гриб (Технический институт (филиал) СВФУ (г. Нерюнгри)); д-р физ.-мат. наук А.А. Гусев (Институт вулканологии и сейсмологии ДВО РАН (г. Петропавловск-Камчатский)); д-р геол.-минер. наук Г.С. Гусев (ФГУП Институт минералогии, геохимии и кристаллохимии редких элементов (г. Москва)); Институт тектоники и геофизики ДВО РАН (г. Хабаровск); д-р физ.-мат. наук Б.Г. Пустовитенко, канд. геол.-минер. наук Ю.М. Вольфман (Крымский федеральный университет имени В.И. Вернадского, Институт сейсмологии и геодинамики (г. Симферополь)); Геофизическая служба РАН (г. Обнинск).
| | Применение на обязательной основе раздела 1 обеспечивает соблюдение требований Федерального закона от 30.12.2009 N 384-ФЗ "Технический регламент о безопасности зданий и сооружений" (Постановление Правительства РФ от 26.12.2014 N 1521). | |
Настоящий свод правил устанавливает требования по расчету с учетом сейсмических нагрузок, по объемно-планировочным решениям и конструированию элементов и их соединений, зданий и сооружений, обеспечивающие их сейсмостойкость.
Настоящий свод правил распространяется на область проектирования зданий и сооружений, возводимых на площадках сейсмичностью 7, 8 и 9 баллов.
На площадках, сейсмичность которых превышает 9 баллов, возводить здания и сооружения, как правило, не допускается. Проектирование и строительство здания или сооружения на таких площадках осуществляются в порядке, установленном уполномоченным федеральным органом исполнительной власти.
Примечание.
Разделы 4,
5 и
6 относятся к проектированию жилых, общественных, производственных зданий и сооружений,
раздел 7 распространяется на транспортные сооружения,
раздел 8 на гидротехнические сооружения,
раздел 9 на все объекты, при проектировании которых следует предусматривать меры противопожарной защиты.
Раздел 2 утратил силу с 25.11.2018. -
Приказ Минстроя России от 24.05.2018 N 309/пр.
Раздел 3 утратил силу с 25.11.2018. -
Приказ Минстроя России от 24.05.2018 N 309/пр.
| | Применение на обязательной основе раздела 4 обеспечивает соблюдение требований Федерального закона от 30.12.2009 N 384-ФЗ "Технический регламент о безопасности зданий и сооружений" (Постановление Правительства РФ от 26.12.2014 N 1521). | |
4.1 При проектировании зданий и сооружений надлежит:
применять материалы, конструкции и конструктивные схемы, обеспечивающие снижение сейсмических нагрузок, в том числе системы сейсмоизоляции, динамического демпфирования и другие эффективные системы регулирования сейсмической реакции;
принимать, как правило, симметричные конструктивные и объемно-планировочные решения с равномерным распределением нагрузок на перекрытия, масс и жесткостей конструкций в плане и по высоте;
располагать стыки элементов вне зоны максимальных усилий, обеспечивать монолитность, однородность и непрерывность конструкций;
предусматривать условия, облегчающие развитие в элементах конструкций и их соединениях пластических деформаций, обеспечивающие устойчивость сооружения.
При назначении зон пластических деформаций и локальных разрушений следует принимать конструктивные решения, снижающие риск прогрессирующего разрушения сооружения или его частей и обеспечивающие "живучесть" сооружений при сейсмических воздействиях.
Не следует применять конструктивные решения, допускающие обрушение сооружения в случае разрушения или недопустимого деформирования одного несущего элемента.
Примечания
1 Для сооружений, состоящих из более, чем одного динамически независимого блока, классификация и соответствующие признаки относятся к одному отдельному динамически независимому блоку. Под "отдельным динамически независимым блоком" подразумевают "здание".
2 При выполнении расчетных и конструктивных требований настоящего СП расчеты на прогрессирующее обрушение зданий и сооружений не требуются.
4.2 Проектирование зданий высотой более 75 м должно осуществляться при сопровождении компетентной организации.
4.3* Интенсивность сейсмических воздействий в баллах (фоновую сейсмичность) для района строительства следует принимать на основе комплекта карт общего сейсмического районирования территории Российской Федерации (ОСР-2015), утвержденных Российской академией наук. Указанный комплект карт предусматривает осуществление антисейсмических мероприятий при строительстве объектов и отражает 10%-ную -
карта A, 5%-ную -
карта B, 1%-ную -
карта C вероятности возможного превышения (или 90%-ную, 95%-ную и 99%-ную вероятности непревышения) в течение 50 лет указанных на картах значений сейсмической интенсивности. Указанным значениям вероятностей соответствуют следующие средние интервалы времени между землетрясениями расчетной интенсивности: 500 лет
(карта A), 1000 лет
(карта B), 5000 лет
(карта C). Список населенных пунктов Российской Федерации, расположенных в сейсмических районах, с указанием расчетной сейсмической интенсивности в баллах шкалы MSK-64 для средних грунтовых условий и трех степеней сейсмической опасности - A (10%), B (5%), C (1%) в течение 50 лет приведен в
приложении А*.
Карта A предназначена для проектирования объектов нормального и пониженного уровня ответственности. Заказчик вправе принять для проектирования объектов нормального уровня ответственности
карту B или
C при соответствующем обосновании.
Решение о выборе
карты B или
C, для оценки сейсмичности района при проектировании объекта повышенного уровня ответственности, принимает заказчик по представлению генерального проектировщика.
4.4 Расчетную сейсмичность площадки строительства следует устанавливать по результатам сейсмического микрорайонирования (СМР), выполняемого в составе инженерных изысканий, с учетом сейсмотектонических, грунтовых и гидрогеологических условий.
Сейсмичность площадки строительства объектов, использующих
карту A, при отсутствии данных СМР допускается предварительно определять по таблице 1*.
Таблица 1*
Расчетная сейсмичность площадки строительства
Категория грунта по сейсмическим свойствам | Описание грунта | Дополнительная характеристика сейсмических свойств грунтов | Расчетная сейсмичность площадки при фоновой сейсмичности района, баллы |
Сейсмическая жесткость  , (г/см 3·м/с) | Скорость поперечных волн Vs, м/с Отношение скоростей продольных и поперечных волн Vp/Vs | 7 | 8 | 9 |
I | Скальные грунты (в том числе вечномерзлые и вечномерзлые оттаявшие) невыветрелые и слабовыветрелые; крупнообломочные грунты плотные, маловлажные из магматических пород, содержащие до 30% песчано-глинистого заполнителя; выветрелые и сильновыветрелые скальные и дисперсные твердомерзлые (многолетнемерзлые) грунты при температуре минус 2 °C и ниже при строительстве и эксплуатации по принципу I (сохранение грунтов основания в мерзлом состоянии) | > 1500 | > 700 1,7 - 2,2 | 6 | 7 | 8 |
II | Скальные грунты выветрелые и сильновыветрелые, в том числе вечномерзлые, кроме отнесенных к I категории; крупнообломочные грунты, за исключением отнесенных к I категории, пески гравелистые, крупные и средней крупности плотные и средней плотности маловлажные и влажные; пески мелкие и пылеватые плотные и средней плотности маловлажные; глинистые грунты с показателем консистенции IL  0,5 при коэффициенте пористости e < 0,9 для глин и суглинков и e < 0,7 - для супесей; вечномерзлые нескальные грунты пластичномерзлые или сыпучемерзлые, а также твердомерзлые при температуре выше минус 2 °C при строительстве и эксплуатации по принципу I | 350 - 1500 | 250 - 700 1,7 - 2,2 (не водонасыщенные) 2,2 - 3,5 (водонасыщенные) | 7 | 8 | 9 |
III | Пески рыхлые независимо от степени влажности и крупности; пески гравелистые, крупные и средней крупности, плотные и средней плотности водонасыщенные; пески мелкие и пылеватые плотные и средней плотности влажные и водонасыщенные; глинистые грунты с показателем консистенции IL > 0,5; глинистые грунты с показателем консистенции с IL  0,5 при коэффициенте пористости e  0,9 - для глин и суглинков и e  0,7 - для супесей; вечномерзлые дисперсные грунты при строительстве и эксплуатации по принципу II (допускается оттаивание грунтов основания) | 200 - 350 | 150 - 250 3,5 - 7 | 8 | 9 | > 9 |
IV | Наиболее динамически неустойчивые разновидности песчано-глинистых грунтов, указанные в III категории, склонные к разжижению при сейсмических воздействиях | < 200 | 60 - 150 7 - 15 | 8* | 9* | > 9* |
* Грунты с большей вероятностью склонны к разжижению и потере несущей способности при землетрясениях интенсивностью более 6 баллов. |
Примечания 1 Значения скоростей Vp и Vs, а также значения сейсмической жесткости грунта являются средневзвешенными значениями для 30-метровой толщи, считая от планировочной отметки. 2 В случае многослойного строения грунтовой толщи, грунтовые условия участка относят к более неблагоприятной категории, если в пределах верхней 30-метровой толщи (считая от планировочной отметки) слои, относящиеся к этой категории, имеют суммарную мощность более 10 м. 3 При отсутствии данных о консистенции, влажности, сейсмической жесткости, скоростях Vp и Vs глинистые и песчаные грунты при уровне грунтовых вод выше 5 м относятся к III или IV категории по сейсмическим свойствам. 4 При прогнозировании подъема уровня грунтовых вод и обводнения грунтов (в том числе просадочных) категорию грунтов следует определять в зависимости от свойств грунта в замоченном состоянии. 5 При строительстве на вечномерзлых грунтах по принципу II грунты основания следует рассматривать по их фактическому состоянию после оттаивания. 6 При определении сейсмичности площадок строительства транспортных и гидротехнических сооружений следует учитывать дополнительные требования, изложенные в разделах 7 и 8. |
4.5 Площадки строительства, в пределах которых отмечены тектонические нарушения, перекрытые чехлом рыхлых отложений мощностью менее 10 м, участки с крутизной склонов более 15°, с оползнями, обвалами, осыпями, карстом, селями, участки, сложенные грунтами III и IV категорий являются неблагоприятными в сейсмическом отношении.
При необходимости строительства зданий и сооружений на таких площадках следует принимать дополнительные меры по укреплению их оснований, усилению конструкций и инженерной защите территории от опасных геологических процессов.
4.6 Тип фундамента, его конструктивные особенности и глубина заложения, а также изменения характеристик грунта в результате его закрепления на локальном участке не могут быть основой для изменения категории площадки строительства по сейсмическим свойствам.
При выполнении специальных инженерных мероприятий по укреплению грунтов оснований на локальном участке категория грунта по сейсмическим свойствам должна быть определена по результатам СМР.
4.7 Системы сейсмоизоляции следует предусматривать с применением одного или нескольких типов сейсмоизолирующих и (или) демпфирующих устройств, в зависимости от конструктивного решения и назначения сооружения (жилые и общественные здания, архитектурные и исторические памятники, промышленные сооружения и др.), вида строительства - новое строительство, реконструкция, усиление, а также от сейсмологических и грунтовых условий площадки.
Здания и сооружения с применением систем сейсмоизоляции следует возводить, как правило, на грунтах категорий I и II по сейсмическим свойствам. В случае необходимости строительства на площадках, сложенных грунтами категории III, необходимо специальное обоснование.
Проектирование зданий и сооружений с системами сейсмоизоляции рекомендуется выполнять при сопровождении компетентной организации.
4.8 С целью получения достоверной информации о работе конструкций и прилегающих к зданиям и сооружениям колебаниях грунтов при интенсивных землетрясениях в проектах зданий и сооружений повышенного уровня ответственности, перечисленных в
позиции 1 таблицы 3, следует предусматривать установку станций наблюдения за динамическим поведением конструкций и прилегающих грунтов.
| | Применение на обязательной основе пунктов 5.1, 5.2.1 обеспечивает соблюдение требований Федерального закона от 30.12.2009 N 384-ФЗ "Технический регламент о безопасности зданий и сооружений" (Постановление Правительства РФ от 26.12.2014 N 1521). | |
5.1 Расчет конструкций и оснований зданий и сооружений, проектируемых для строительства в сейсмических районах, должен выполняться на основные и особые сочетания нагрузок с учетом расчетной сейсмической нагрузки.
При расчете зданий и сооружений на особое сочетание нагрузок значения расчетных нагрузок следует умножать на коэффициенты сочетаний, принимаемые по таблице 2. Нагрузки, соответствующие сейсмическому воздействию, следует рассматривать как знакопеременные нагрузки.
Таблица 2
Коэффициенты сочетаний нагрузок
Вид нагрузок | Значение коэффициента  |
Постоянные | 0,9 |
Временные длительные | 0,8 |
Кратковременные (на перекрытия и покрытия) | 0,5 |
Горизонтальные нагрузки от масс на гибких подвесках, температурные климатические воздействия, ветровые нагрузки, динамические воздействия от оборудования и транспорта, тормозные и боковые усилия от движения кранов при этом не учитываются.
При определении расчетной вертикальной сейсмической нагрузки следует учитывать массу моста крана, массу тележки, а также массу груза, равного грузоподъемности крана, с коэффициентом 0,3.
Расчетную горизонтальную сейсмическую нагрузку от массы мостов кранов следует учитывать в направлении, перпендикулярном к оси подкрановых балок. Снижение крановых нагрузок, предусмотренное
СП 20.13330, при этом не учитывают.
5.2 Утратил силу с 25.11.2018. -
Приказ Минстроя России от 24.05.2018 N 309/пр.
5.2.1 Расчеты по
5.2, а) следует выполнять для всех зданий и сооружений.
При выполнении расчетов по уровням ПЗ и МРЗ принимают одну карту сейсмичности района строительства в соответствие с
4.3*.
5.2.2 Утратил силу с 25.11.2018. -
Приказ Минстроя России от 24.05.2018 N 309/пр.
| | Применение на обязательной основе пунктов 5.3 - 5.5 обеспечивает соблюдение требований Федерального закона от 30.12.2009 N 384-ФЗ "Технический регламент о безопасности зданий и сооружений" (Постановление Правительства РФ от 26.12.2014 N 1521). | |
5.3 Сейсмические воздействия могут иметь любое направление в пространстве.
Для зданий и сооружений с простым конструктивно-планировочным решением допускается принимать расчетные сейсмические воздействия, действующие горизонтально в направлении их продольных и поперечных осей. Сейсмические воздействия в указанных направлениях можно учитывать раздельно.
При расчете сооружений со сложным конструктивно-планировочным решением следует учитывать наиболее опасные, с точки зрения максимальных значений сейсмической реакции сооружения или его частей, направления сейсмических воздействий.
Примечание - Конструктивно-планировочное решение зданий и сооружений считается простым, если выполняются все нижеперечисленные условия:
а) первая и вторая формы собственных колебаний сооружения не являются крутильными относительно вертикальной оси;
б) максимальное и среднее значения горизонтальных смещений каждого перекрытия по любой из поступательных форм собственных колебаний сооружения различаются не более чем на 10%;
в) значения периодов всех учитываемых форм собственных колебаний должны отличаться друг от друга не менее чем на 10%;
г) выполнять требования
4.1;
е) в перекрытиях отсутствуют большие проемы, ослабляющие диски перекрытий.
5.4 Вертикальную сейсмическую нагрузку необходимо учитывать совместно с горизонтальной при расчете:
горизонтальных и наклонных консольных конструкций;
пролетных строений мостов;
рам, арок, ферм, пространственных покрытий зданий и сооружений пролетом 24 м и более;
сооружений на устойчивость против опрокидывания или против скольжения;
каменных конструкций (по
6.14.4).
5.5 При определении расчетных сейсмических нагрузок на здания и сооружения следует принимать расчетные динамические модели конструкций (РДМ), согласованные с расчетными статическими моделями конструкций и учитывающие особенности распределения нагрузок, масс и жесткостей зданий и сооружений в плане и по высоте, а также пространственный характер деформирования конструкций при сейсмических воздействиях.
Массы (вес) нагрузок и элементов конструкций в РДМ допускается принимать сосредоточенными в узлах расчетных схем. При вычислении массы необходимо учитывать только нагрузки, создающие инерционные силы.
Для зданий и сооружений с простым конструктивно-планировочным решением для расчетной ситуации ПЗ расчетные сейсмические нагрузки допускается определять с применением консольной расчетной динамической модели (рисунок 1). Для таких зданий и сооружений при расчетной ситуации МРЗ необходимо применять пространственные расчетные динамические модели конструкций и учитывать пространственный характер сейсмических воздействий.
Рисунок 1
Расчетные сейсмические нагрузки на здания и сооружения, имеющие сложное конструктивно-планировочное решение, следует определять с применением пространственных расчетных динамических моделей зданий и с учетом пространственного характера сейсмических воздействий. Для расчетов в ситуации МРЗ допускается применять теорию предельного равновесия или иные научно обоснованные методы.
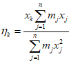
Расчетная сейсмическая нагрузка (силовая или моментная)

по направлению обобщенной координаты с номером j, приложенная к узловой точке k РДМ и соответствующая i-й форме собственных колебаний зданий или сооружений, определяется по формуле

, (1)
где

- коэффициент, учитывающий назначение сооружения и его ответственность, принимаемый по
таблице 3;

- коэффициент, учитывающий допускаемые повреждения зданий и сооружений, принимаемый по
таблице 4;

- значение сейсмической нагрузки для i-й формы собственных колебаний здания или сооружения, определяемое в предположении упругого деформирования конструкций по формуле

, (2)
где

- масса здания или момент инерции соответствующей массы здания, отнесенные к точке k по обобщенной координате j, определяемые с учетом расчетных нагрузок на конструкции согласно
5.1;
A - значение ускорения в уровне основания, принимаемое равным 1,0; 2,0; 4,0 м/с2 для расчетной сейсмичности 7, 8, 9 баллов соответственно;

- коэффициент динамичности, соответствующий i-й форме собственных колебаний зданий или сооружений, принимаемый в соответствии с
5.6;

- коэффициент, зависящий от формы деформации здания или сооружения при его собственных колебаниях по i-й форме, от узловой точки приложения рассчитываемой нагрузки и направления сейсмического воздействия, определяемый по
5.7,
5.8.
Примечания
1 При сейсмичности площадки 8 баллов и более, повышенной только в связи с наличием грунтов категорий III и IV, к значению

вводится множитель 0,7, учитывающий нелинейное деформирование грунтов при сейсмических воздействиях при отсутствии данных СМР.
2 Обобщенная координата может быть линейной координатой, и тогда ей соответствует линейная масса, либо угловой, и тогда ей соответствует момент инерции массы. Для пространственной РДМ для каждого узла обычно рассматривается 6 обобщенных координат: три линейные и три угловые. При этом, как правило, считают, что массы, соответствующие линейным обобщенным координатам, одинаковы, а моменты инерции массы относительно угловых обобщенных координат могут быть различными.
3 При вычислении силовой сейсмической нагрузки

(j = 1, 2, 3) приняты следующие размерности:

[Н],

[кг]; коэффициенты, входящие в
формулу (2), - безразмерные.
4 При вычислении моментной сейсмической нагрузки

(j = 4, 5, 6) приняты следующие размерности:

[Н·м],

[кг·м
2],

; остальные коэффициенты, входящие в
формулу (2), - безразмерные.
5

;

;

, где

,

,

- моменты инерции масс в узле k относительно 1-й, 2-й и 3-й осей соответственно.
Таблица 3
Коэффициенты
, определяемые назначением сооружения
Назначение сооружения или здания | Значение коэффициента  |
при расчете на ПЗ не менее | при расчете на МРЗ |
сооружения с пролетами более 100 м; объекты жизнеобеспечения городов и населенных пунктов; объекты гидро- и теплоэнергетики мощностью более 1000 МВт; монументальные здания и другие сооружения; правительственные здания повышенной ответственности; жилые, общественные и административные здания высотой более 200 м | 1,2 | 2,0 |
функционирование которых необходимо при землетрясении и ликвидации его последствий (здания правительственной связи; службы МЧС и полиции; системы энерго- и водоснабжения; сооружения пожаротушения, газоснабжения; сооружения, содержащие большое количество токсичных или взрывчатых веществ, которые могут быть опасными для населения; медицинские учреждения, имеющие оборудование для применения в аварийных ситуациях); здания основных музеев; государственных архивов; административных органов управления; здания хранилищ национальных и культурных ценностей; зрелищные объекты; крупные учреждения здравоохранения и торговые предприятия с массовым нахождением людей; сооружения с пролетом более 60 м; жилые, общественные и административные здания высотой более 75 м; мачты и башни сооружений связи и телерадиовещания высотой более 100 м, не вошедшие в подпункт 3) пункта 1 Кодекса [1]; трубы высотой более 100 м; тоннели, трубопроводы на дорогах высшей категории или протяженностью более 500 м, мостовые сооружения с пролетами 200 м и более, объекты гидро- и теплоэнергетики мощностью более 150 МВт; здания: дошкольных образовательных учреждений, общеобразовательных учреждений, лечебных учреждений со стационаром, медицинских центров, для маломобильных групп населения, спальных корпусов интернатов; другие здания и сооружения, разрушения которых могут привести к тяжелым экономическим, социальным и экологическим последствиям | 1,1 | 1,5 |
3 Другие здания и сооружения, не указанные в 1 и 2 | 1,0 | 1,0 |
4 Здания и сооружения временного (сезонного) назначения, а также здания и сооружения вспомогательного применения, связанные с осуществлением строительства или реконструкции здания или сооружения либо расположенные на земельных участках, представленных для индивидуального жилищного строительства | 0,8 | - |
Примечания 1 Заказчик по представлению генпроектировщика относит сооружения по назначению к перечню таблицы 3. 2 Идентификация зданий и сооружений по принадлежности к опасным производственным объектам в соответствии с законодательством [2]. |
Таблица 4
Коэффициенты
, учитывающие допускаемые
повреждения зданий и сооружений
Тип здания или сооружения | Значения  |
1 Здания и сооружения, в конструкциях которых повреждения или неупругие деформации не допускаются | 1 |
2 Здания и сооружения, в конструкциях которых могут быть допущены остаточные деформации и повреждения, затрудняющие нормальную эксплуатацию, при обеспечении безопасности людей и сохранности оборудования, возводимые: | |
из деревянных конструкций | 0,15 |
со стальным каркасом без вертикальных диафрагм или связей | 0,25 |
то же, с диафрагмами или связями | 0,22 |
со стенами из железобетонных крупнопанельных или монолитных конструкций | 0,25 |
из железобетонных объемно-блочных и панельно-блочных конструкций | 0,3 |
с железобетонным каркасом без вертикальных диафрагм или связей | 0,35 |
то же, с заполнением из кирпичной или каменной кладки | 0,4 |
то же, с диафрагмами или связями | 0,3 |
из кирпичной или каменной кладки | 0,4 |
3 Здания и сооружения, в конструкциях которых могут быть допущены значительные остаточные деформации, трещины, повреждения отдельных элементов, их смещения, временно приостанавливающие нормальную эксплуатацию при наличии мероприятий, обеспечивающих безопасность людей (объекты пониженного уровня ответственности) | 0,12 |
Примечания 1 Отнесение зданий и сооружений к 1-му типу проводится заказчиком по представлению генпроектировщика. 2 При выполнении расчета деформаций конструкций при сейсмическом воздействии в частотной области коэффициент  следует принимать равным 1,0. |
Таблица 5
Коэффициент, учитывающий способность
зданий и сооружений к рассеиванию энергии
Характеристика зданий и сооружений | |
1 Высокие сооружения небольших размеров в плане (башни, мачты, дымовые трубы, отдельно стоящие шахты лифтов и т.п.) | 1,5 |
2 Каркасные бессвязевые здания, стеновое заполнение которых не оказывает влияния на их деформируемость | 1,3 |
3 Здания и сооружения, не указанные в 1 - 2, кроме гидротехнических сооружений | 1 |
| | Применение на обязательной основе пункта 5.6 обеспечивает соблюдение требований Федерального закона от 30.12.2009 N 384-ФЗ "Технический регламент о безопасности зданий и сооружений" (Постановление Правительства РФ от 26.12.2014 N 1521). | |
5.6 Значения коэффициента динамичности

в зависимости от расчетного периода собственных колебаний

здания или сооружения по i-й форме при определении сейсмических нагрузок следует принимать по
формулам (3) и
(4) или согласно рисунку 2.
Рисунок 2
Для грунтов категорий I и II по сейсмическим свойствам (кривая 1) при:

(3)
Для грунтов категорий III и IV по сейсмическим свойствам (кривая 2) при:

(4)
Во всех случаях значения

должны приниматься не менее 0,8.
Примечание - При наличии представительной информации (записей землетрясений, подробная характеристика опасных зон ВОЗ и др.) допускается применять обоснованные значения коэффициента динамичности

.
| | Применение на обязательной основе пунктов 5.7, 5.8 обеспечивает соблюдение требований Федерального закона от 30.12.2009 N 384-ФЗ "Технический регламент о безопасности зданий и сооружений" (Постановление Правительства РФ от 26.12.2014 N 1521). | |
5.7 Для зданий и сооружений, рассчитываемых по пространственной РДМ, значение

при равномерном поступательном сейсмическом воздействии следует определять по формуле

, (5)
где

- смещения по i-й форме в узловой точке k РДМ по направлению обобщенной координаты с номером j (при j = 1; 2; 3 смещения линейные, при j = 4; 5; 6 - угловые);

- инерционные характеристики в узловой точке p, равные при j = 1; 2; 3 массе здания или сооружения, присоединенной к узловой точке p по направлению оси j, а при j = 4; 5; 6 равные моментам инерции массы относительно угловых обобщенных координат (инерционные характеристики определяют с учетом расчетных нагрузок на конструкцию согласно
5.1);

- косинусы углов между направлением сейсмического воздействия и осью с номером l. Если обобщенные перемещения вдоль осей 1 и 2 соответствуют горизонтальной плоскости, а перемещение вдоль оси 3 является вертикальным, то эти коэффициенты равны:

;

;

, где

- угол между направлением сейсмического воздействия и обобщенной координатой l = 1,

- угол между направлением сейсмического воздействия и горизонтальной плоскостью.
5.8 Для зданий и сооружений, рассчитываемых по консольной схеме, значение

при поступательном горизонтальном (вертикальном) сейсмическом воздействии без учета моментов инерции массы следует определять по формуле

, (6)
где

и

- смещения здания или сооружения при собственных колебаниях по i-й форме в рассматриваемой точке k и во всех точках j, где в соответствии с расчетной схемой его масса принята сосредоточенной;

- масса здания или сооружения, отнесенная к узловой точке j, определяемая с учетом расчетных нагрузок на конструкцию в соответствии с
5.1.
Для зданий высотой до пяти этажей включительно с незначительно изменяющимися по высоте массами и жесткостями этажей при

менее 0,4 с коэффициент

, при использовании консольной схемы для поступательного горизонтального (вертикального) сейсмического воздействия без учета моментов инерции массы, допускается определять по упрощенной формуле

, (7)
где

и

- расстояния от точек k и j до верхнего обреза фундаментов.
| | Применение на обязательной основе пунктов 5.9 - 5.11 обеспечивает соблюдение требований Федерального закона от 30.12.2009 N 384-ФЗ "Технический регламент о безопасности зданий и сооружений" (Постановление Правительства РФ от 26.12.2014 N 1521). | |
5.9 Усилия в конструкциях зданий и сооружений, проектируемых для строительства в сейсмических районах, а также в их элементах, следует определять с учетом высших форм их собственных колебаний. Минимальное число форм собственных колебаний, учитываемых в расчете, рекомендуется назначать так, чтобы сумма эффективных модальных масс, учтенных в расчете, составляла не менее 90% общей массы системы, возбуждаемой по направлению действия сейсмического воздействия для горизонтальных воздействий и не менее 75% - для вертикального воздействия. Должны быть учтены все формы собственных колебаний, эффективная модальная масса которых превышает 5%. При этом для сложных систем с неравномерным распределением жесткостей и масс необходимо учитывать остаточный член от отброшенных форм колебаний.
Для зданий и сооружений простой конструктивной формы при применении консольной РДМ усилия в конструкциях допускается определять с учетом не менее трех форм собственных колебаний, если период первой (низшей) формы собственных колебаний значение

более 0,4 с, и с учетом только первой формы, если значение

равно или менее 0,4 с.
5.10 В РДМ следует учитывать динамическое взаимодействие сооружения с основанием. При сейсмичности площадки не более 9 баллов динамические нагрузки, передаваемые сооружением на основание, следует принимать пропорциональными перемещениям самого сооружения. Коэффициенты пропорциональности (коэффициенты упругой жесткости основания) следует определять на основе упругих параметров грунтов, вычисляемых по данным о скоростях упругих волн в грунте или на основе корреляционных связей этих параметров с физико-механическими свойствами грунтов.
Примечание - При учете взаимодействия сооружения и основания возможно как снижение, так и повышение сейсмических нагрузок.
5.11 Расчетные значения поперечных и продольного усилий, изгибающих и крутящих моментов, нормальных и касательных напряжений

в конструкциях от сейсмической нагрузки при условии статического действия ее на сооружение, а также расчетные значения перемещений следует определять по формуле

, (8)
где

- значения усилия (момента, напряжения, перемещения), вызываемого сейсмическими нагрузками, соответствующими i-й форме колебаний;
n - число учитываемых в расчете форм колебаний. Знаки в формуле (8) для вычисляемых факторов следует назначать по знакам значений соответствующих факторов для форм с максимальными модальными массами.
Если периоды i-й и (i + 1)-й форм собственных колебаний сооружения отличаются менее чем на 10%, то расчетные значения соответствующих факторов необходимо вычислять с учетом их взаимной корреляции. Для этого допускается применять формулу

, (9)
| | Применение на обязательной основе пунктов 5.12 - 5.15 обеспечивает соблюдение требований Федерального закона от 30.12.2009 N 384-ФЗ "Технический регламент о безопасности зданий и сооружений" (Постановление Правительства РФ от 26.12.2014 N 1521). | |
5.12 Вертикальную сейсмическую нагрузку в случаях, предусмотренных в
5.4 (кроме каменных конструкций), следует определять по
формулам (1) и
(2), при этом коэффициент

принимают равным единице, а значение вертикальной сейсмической нагрузки умножают на 0,75.
Консольные конструкции, масса которых по сравнению с массой здания незначительна (балконы, козырьки, консоли для навесных стен и т.п. и их крепления), следует рассчитывать на вертикальную сейсмическую нагрузку при значении

.
5.13 Конструкции, возвышающиеся над зданием или сооружением и имеющие по сравнению с ним незначительные сечения и массу (парапеты, фронтоны и т.п.), а также крепления памятников, тяжелого оборудования, устанавливаемого на первом этаже, следует рассчитывать с учетом горизонтальной сейсмической нагрузки, вычисленной по
формулам (1) и
(2) при

.
5.14 Стены, панели, перегородки, соединения между отдельными конструкциями, а также крепления технологического оборудования следует рассчитывать на горизонтальную сейсмическую нагрузку по
формулам (1) и
(2) при значениях

, соответствующих рассматриваемой отметке сооружения, но не менее 2. При расчете горизонтальных стыковых соединений в крупнопанельных зданиях силы трения, как правило, не учитывают.
5.15 При расчете конструкций на прочность и устойчивость помимо коэффициентов условий работы, принимаемых в соответствии с другими действующими нормативными документами, следует вводить дополнительно коэффициент условий работы

, определяемый по таблице 6.
Таблица 6
Коэффициент условий работы
Характеристика конструкций | Значение  |
При расчетах на прочность | |
1 Стальные, деревянные, железобетонные с жесткой арматурой | 1,3 |
2 Железобетонные со стержневой и проволочной арматурой, кроме проверки на прочность наклонных сечений | 1,2 |
3 Железобетонные при проверке на прочность наклонных сечений | 1,0 |
4 Каменные, армокаменные и бетонные при расчете: | |
на внецентренное сжатие | 1,0 |
на сдвиг и растяжение | 0,8 |
5 Сварные соединения | 1,0 |
6 Болтовые и заклепочные соединения | 1,1 |
При расчетах на устойчивость | |
7 Стальные элементы гибкостью свыше 100 | 1,0 |
8 Стальные элементы гибкостью до 20 | 1,2 |
9 Стальные элементы гибкостью от 20 до 100 | От 1,2 до 1,0 по интерполяции |
Примечание - При расчете стальных и железобетонных конструкций, подлежащих эксплуатации в неотапливаемых помещениях или на открытом воздухе при расчетной температуре ниже минус 40 °C, следует принимать  , в случае проверки прочности наклонных сечений  . |
| | Применение на обязательной основе пунктов 5.16 - 5.20 обеспечивает соблюдение требований Федерального закона от 30.12.2009 N 384-ФЗ "Технический регламент о безопасности зданий и сооружений" (Постановление Правительства РФ от 26.12.2014 N 1521). | |
5.16 При расчете зданий и сооружений длиной или шириной более 30 м по консольной РДМ помимо сейсмической нагрузки, определяемой по
5.5, необходимо учитывать крутящий момент относительно вертикальной оси здания или сооружения, проходящей через его центр жесткости. Значение расчетного эксцентриситета между центрами жесткостей и масс зданий или сооружений в рассматриваемом уровне следует принимать не менее 0,1B, где B - размер здания или сооружения в плане в направлении, перпендикулярном к действию силы

.
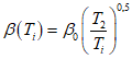
5.17 При расчете подпорных стен необходимо учитывать сейсмическое давление грунта, значение которого допускается определять с применением квазистатических расчетных схем, принимая ускорение грунта равным произведению

. Допускается принимать

при отсутствии других данных.
5.18 Расчет зданий и сооружений с учетом сейсмического воздействия, как правило, выполняют по предельным состояниям первой группы. В случаях, обоснованных технологическими требованиями, допускается выполнять расчет по второй группе предельных состояний.
5.19 Необходимость учета сейсмических воздействий при проектировании зданий и сооружений пониженного уровня ответственности, разрушение которых не связано с гибелью людей, порчей ценного оборудования и не вызывает прекращения непрерывных производственных процессов (склады, крановые эстакады, небольшие мастерские и др.), а также временных зданий и сооружений устанавливается заказчиком.
5.20 Расчет зданий с сейсмоизолирующими системами необходимо выполнять на сейсмические нагрузки, соответствующие уровням ПЗ и МРЗ, а также на эксплуатационную пригодность.
Расчет системы сейсмоизоляции на сейсмические нагрузки, соответствующие уровню ПЗ, следует выполнять по
5.2, а). Повреждения элементов конструкций сейсмической изоляции не допускаются.
Расчет системы сейсмоизоляции на сейсмические нагрузки, отвечающие уровню МРЗ, следует выполнять в соответствии с
5.2, б) и
5.2.2. При выполнении расчета на МРЗ необходима проверка по перемещениям. Необходимо применять реальные акселерограммы, характерные для района строительства, а в случае их отсутствия - генерировать искусственные акселерограммы с учетом грунтовых условий площадки строительства.
Расчет сейсмоизолирующей системы на эксплуатационную пригодность следует выполнять на воздействия вертикальных статических и ветровой нагрузок.
Каждый элемент системы изоляции должен быть спроектирован так, чтобы при максимальных горизонтальных перемещениях воспринимались максимальные и минимальные статические вертикальные нагрузки.
производственные здания и сооружения
| | Применение на обязательной основе подраздела 6.1 обеспечивает соблюдение требований Федерального закона от 30.12.2009 N 384-ФЗ "Технический регламент о безопасности зданий и сооружений" (Постановление Правительства РФ от 26.12.2014 N 1521). | |
6.1.1 Требования раздела 6 должны выполняться независимо от результатов расчета в соответствии с
разделом 5.
Требования раздела 6 следует применять в зависимости от расчетной сейсмичности, выраженной в целочисленных баллах сейсмической шкалы интенсивности MSK-64. Если в результате геологических изысканий при сейсмическом микрорайонировании получены дробные значения сейсмической интенсивности, расчетные значения сейсмической балльности следует принимать путем математического округления до целого значения.
6.1.2 Здания и сооружения следует разделять антисейсмическими швами в случаях, если:
здание или сооружение имеет сложную форму в плане;
смежные участки здания или сооружения имеют перепады высоты 5 м и более, а также существенные отличия друг от друга по жесткости и (или) массе.
Допускается устройство антисейсмических швов между высокой частью и 1 - 2 этажными пристраиваемыми частями зданий путем шарнирного опирания перекрытия пристройки на консоль высокой части. Глубина опирания должна быть не менее суммы взаимных перемещений плюс минимальная глубина опирания с обязательным устройством аварийных связей.
Для случаев, когда устройство осадочного шва не требуется, допускается не устраивать антисейсмические швы между зданием и стилобатом при расчетном обосновании совместности их работы и выполнении соответствующих конструктивных мероприятий.
Не допускается устройство антисейсмических швов внутри помещений, которые предназначены для постоянного проживания или длительного нахождения маломобильных групп населения.
В одноэтажных зданиях высотой до 10 м при расчетной сейсмичности 7 баллов антисейсмические швы допускается не устраивать.
6.1.3 Антисейсмические швы должны разделять здания или сооружения по всей высоте. Допускается не устраивать шов в фундаменте, за исключением случаев, когда антисейсмический шов совпадает с осадочным.
6.1.4 Расстояния между антисейсмическими швами не должны превышать для зданий и сооружений: из стальных каркасов - по требованиям для несейсмических районов, но не более 150 м; из деревянных конструкций и из мелких ячеистых блоков - 40 м при расчетной сейсмичности 7 - 8 баллов и 30 м - при расчетной сейсмичности 9 баллов. Для зданий остальных конструктивных решений, приведенных в
таблице 7, - 80 м при расчетной сейсмичности 7 - 8 баллов и 60 м - при расчетной сейсмичности 9 баллов.
6.1.5 Высота зданий не должна превышать размеров, указанных в таблице 7.
При различных конструктивно-планировочных решениях разных этажей здания следует применять меньшее из приведенных в таблице 7 значение параметров для соответствующих несущих конструкций.
Таблица 7
в зависимости от конструктивного решения
Несущая конструкция | Предельная высота, м (этажность) при сейсмичности площадки в баллах |
7 | 8 | 9 |
1 Стальной каркас | По требованиям для несейсмических районов |
2 Железобетонный каркас: | | | |
рамно-связевый, безригельный связевый (с железобетонными диафрагмами, ядрами жесткости или стальными связями) | 57 (16) | 43 (12) | 34 (9) |
безригельный без диафрагм и ядер жесткости | 14 (4) | 11 (3) | 8 (2) |
рамный с заполнением из штучной кладки, воспринимающей горизонтальные нагрузки, в том числе, каркасно-каменной конструкции | 34 (9) | 24 (7) | 18 (5) |
рамный без заполнения и с заполнением, отделенным от каркаса | 24 (7) | 18 (5) | 11 (3) |
3 Стены из монолитного железобетона | 75 (24) | 70 (20) | 57 (16) |
4 Крупнопанельные железобетонные стены | 57 (16) | 50 (14) | 43 (12) |
5 Объемно-блочные и панельно-блочные железобетонные стены | 50 (16) | 50 (16) | 38 (12) |
6 Стены из крупных бетонных или виброкирпичных блоков | 29 (9) | 23 (7) | 17 (5) |
7 Стены комплексной конструкции из керамических кирпичей и камней, бетонных блоков, природных камней правильной формы и мелких блоков, усиленные монолитными железобетонными включениями: | | | |
1-й категории | 20 (6) | 17 (5) | 14 (4) |
2-й категории | 17 (5) | 14 (4) | 11 (3) |
8 Стены из керамических кирпичей и камней, бетонных блоков, природных камней правильной формы и мелких блоков, кроме указанных в 7: | | | |
1-й категории | 17 (5) | 15 (4) | 12 (3) |
2-й категории | 14 (4) | 11 (3) | 8 (2) |
9 Стены из мелких ячеистых и легкобетонных блоков | 8 (2) | 8 (2) | 4 (1) |
10 Деревянные бревенчатые стены, брусчатые, щитовые | 8 (2) | 8 (2) | 4 (1) |
Примечания 1 За предельную высоту здания принимают разность отметок низшего уровня отмостки или поверхности земли, примыкающей к зданию, и низа верхнего перекрытия или покрытия. Подвальный этаж включают в число этажей в случае, если верх его перекрытия находится выше средней планировочной отметки земли не менее чем на 2 м. 2 В случаях, когда подземная часть здания конструктивно отделена от грунтовой засыпки или от конструкций примыкающих участков подземной застройки, подземные этажи включают в этажность и предельную высоту здания. 3 Верхний этаж с массой покрытия менее 50% средней массы перекрытий здания в этажность и предельную высоту не включают. 4 Высоту зданий общеобразовательных учреждений (школы, гимназии и т.п.) и учреждений здравоохранения (лечебные учреждения со стационаром, дома престарелых и т.п.) при сейсмичности площадки свыше 6 баллов следует ограничивать тремя надземными этажами. В случае, если по функциональным требованиям возникает необходимость увеличения числа этажей проектируемого здания сверх указанного, следует применять специальные системы сейсмозащиты (сейсмоизоляция, демпфирование и т.п.) для снижения сейсмических нагрузок. |
6.1.6 Антисейсмические швы следует выполнять путем возведения парных стен или рам, либо рам и стен.
Ширину антисейсмического шва следует назначать по результатам расчетов в соответствии с
5.5, при этом ширина шва должна быть не менее суммы амплитуд колебаний смежных отсеков здания.
При высоте здания или сооружения до 5 м ширина такого шва должна быть не менее 30 мм. Ширину антисейсмического шва здания или сооружения

высоты следует увеличивать на 20 мм на каждые 5 м высоты.
6.1.7 Конструкции примыкания отсеков здания или сооружения в зоне антисейсмических швов, в том числе по фасадам и в местах переходов между отсеками, не должны препятствовать их взаимным горизонтальным перемещениям.
6.1.8 Конструкция перехода между отсеками здания может быть выполнена в виде двух консолей из сопрягающихся блоков с устройством расчетного шва между концами консолей или переходов, надежно соединенных с элементами одного из смежных отсеков. Конструкцией их опирания на элементы другого отсека должно быть обеспечено взаимное расчетное смещение элементов, исключена возможность их обрушения и соударения при сейсмическом воздействии.
Переход через антисейсмический шов не должен являться единственным путем эвакуации из зданий или сооружений.
| | Применение на обязательной основе подраздела 6.2 обеспечивает соблюдение требований Федерального закона от 30.12.2009 N 384-ФЗ "Технический регламент о безопасности зданий и сооружений" (Постановление Правительства РФ от 26.12.2014 N 1521). | |
6.2. Основания, фундаменты и стены подвалов
6.2.1 Проектирование фундаментов зданий следует выполнять в соответствии с требованиями нормативных документов по основаниям и фундаментам зданий и сооружений (
СП 22.13330,
СП 24.13330).
6.2.2 Фундаменты зданий и сооружений или их отсеков, возводимые на нескальных грунтах, должны, как правило, устраиваться на одном уровне.
В случае заложения смежных отсеков зданий на разных отметках переход от более углубленной части к менее углубленной делают уступами; при этом фундаменты примыкающих частей отсеков должны иметь одинаковое заглубление на протяжении не менее 1 м от шва, а отдельные столбчатые фундаменты под колонны, разделенные осадочным швом, должны располагаться на одном уровне. Уступы подошв фундаментов выполняют высотой до 0,6 м и заложением до 1:2 (высота к длине) для связных и до 1:3 для несвязных грунтов в местах переходов от глубоко заложенных фундаментов к фундаментам с меньшей глубиной заложения.
При устройстве подвала под частью здания (отсека) следует стремиться к его симметричному расположению относительно главных осей.
6.2.3 Фундаменты высоких зданий (более 16 этажей) на нескальных грунтах следует, как правило, выполнять свайными, свайно-плитными или в виде сплошной фундаментной плиты с заглублением подошвы фундаментов относительно отметки отмостки не менее 2,5 м.
Вертикальная арматура стен и элементов каркаса, в которой расчетом на особое сочетание нагрузок допускается растяжение, должна быть надежно заанкерена в фундаменте.
6.2.4 При строительстве в сейсмических районах по верху сборных ленточных фундаментов из бетонных блоков следует укладывать слой цементного раствора марки 100 или мелкозернистого бетона класса B10 толщиной не менее 40 мм и продольную арматуру диаметром 10 мм в количестве три, четыре и шесть стержней при расчетной сейсмичности 7, 8 и 9 баллов соответственно. Через каждые 300 - 400 мм продольные стержни должны быть соединены поперечными стержнями диаметром не ниже 6 мм.
В случае выполнения стен подвалов из сборных панелей, конструктивно связанных с ленточными фундаментами, укладка указанного слоя раствора не требуется.
6.2.5 В фундаментах и стенах подвалов из крупных блоков должна быть обеспечена перевязка кладки в каждом ряду, а также во всех углах и пересечениях на глубину не менее 1/2 высоты блока; фундаментные блоки следует укладывать в виде непрерывной ленты.
Для заполнения швов между блоками следует применять цементный раствор марки не ниже 50.
6.2.6 В зданиях при расчетной сейсмичности 9 баллов должна предусматриваться укладка в горизонтальные швы в углах и пересечениях стен подвалов арматурных сеток длиной 2 м с продольной арматурой общей площадью сечения не менее 1 см2.
В зданиях до трех этажей включительно и сооружениях соответствующей высоты при расчетной сейсмичности 7 и 8 баллов допускается применение для кладки стен подвалов блоков пустотностью до 50%.
6.2.7 Гидроизоляцию в зданиях и сооружениях следует проектировать из условия недопустимости взаимных горизонтальных смещений фундаментов и основания грунта.
| | Применение на обязательной основе подраздела 6.3 обеспечивает соблюдение требований Федерального закона от 30.12.2009 N 384-ФЗ "Технический регламент о безопасности зданий и сооружений" (Постановление Правительства РФ от 26.12.2014 N 1521). | |
6.3. Перекрытия и покрытия
6.3.1 Перекрытия и (или) покрытия следует выполнять как жесткие горизонтальные диски, расположенные на одном уровне в пределах одного отсека, надежно соединенными с вертикальными конструкциями здания и обеспечивающими их совместную работу при сейсмических воздействиях.
В случае необходимости расположения перекрытий и (или) покрытий в разных уровнях в пределах одного этажа и отсека здания в расчетах должна приниматься пространственная РДМ. Поэтажная масса должна быть приложена к каждому соответствующему уровню перекрытия.
6.3.2 Жесткость сборных железобетонных перекрытий и покрытий следует обеспечивать:
устройством сварных соединений плит между собой, элементами каркаса или стенами;
устройством болтовых соединений (с применением накладных деталей);
соединением плит путем устройства замоноличиваемых шпонок с арматурной скобой, соединяющей петлевые арматурные выпуски из плит перекрытия;
устройством монолитных железобетонных обвязок (антисейсмических поясов) с анкеровкой в них выпусков арматуры из плит;
замоноличиванием швов между элементами перекрытий мелкозернистым бетоном.
6.3.3 Конструкция и число соединений элементов перекрытий должны быть рассчитаны на восприятие усилий растяжения и сдвига, возникающих в швах между плитами, а также в элементах каркаса или стенах.
Боковые грани панелей (плит) перекрытий и покрытий должны иметь шпоночную или рифленую поверхность. Для соединения с антисейсмическим поясом или для связи с элементами каркаса в панелях (плитах) следует предусматривать выпуски арматуры или закладные детали.
6.3.4 Длину участка опирания сборных плит перекрытий и покрытий на несущие конструкции принимают не менее, мм:
120 ......... | на кирпичные и каменные стены; |
90 ......... | для стен из вибрированных кирпичных блоков; |
| на железобетонные и бетонные стены, на стальные и железобетонные балки (ригели): |
80 ......... | при опирании по двум сторонам; |
60 ......... | при опирании по трем и четырем сторонам; |
70 ......... | на стены крупнопанельных зданий при опирании по двум противоположным сторонам. |
6.3.5 Длина опирания деревянных, металлических и железобетонных балок на стены из штучных материалов и бетона должно быть не менее 200 мм. Опорные части балок должны быть надежно закреплены в несущих конструкциях здания.
Перекрытия в виде прогонов (балок с вкладышами между ними) должны быть усилены с помощью слоя монолитного армированного бетона класса не ниже B15 толщиной не менее 40 мм.
6.3.6 В зданиях до 2 этажей включительно для площадок с сейсмичностью 7 баллов и в одноэтажных зданиях для площадок сейсмичностью 8 баллов при расстояниях между стенами не более 6 м в обоих направлениях допускается устройство деревянных перекрытий (покрытий). Балки перекрытий (покрытий) следует конструктивно связывать с антисейсмическим поясом и устраивать по ним сплошной дощатый диагональный настил.
| | Применение на обязательной основе подраздела 6.4 обеспечивает соблюдение требований Федерального закона от 30.12.2009 N 384-ФЗ "Технический регламент о безопасности зданий и сооружений" (Постановление Правительства РФ от 26.12.2014 N 1521). | |
6.4.1 Лестничные клетки устраивают, как правило, закрытыми с естественным освещением через окна в наружных стенах на каждом этаже. Расположение и число лестничных клеток - в соответствии с нормативными документами по противопожарным нормам проектирования зданий и сооружений, но не менее одной между антисейсмическими швами в зданиях высотой более трех этажей.
Устройство лестничных клеток в виде отдельно стоящих сооружений не допускается.
6.4.2 Лестничные клетки и лифтовые шахты каркасных зданий с заполнением, не участвующим в работе, следует устраивать в виде ядер жесткости, воспринимающих сейсмическую нагрузку, или в виде встроенных конструкций с поэтажной разрезкой, не влияющих на жесткость каркаса, а для зданий высотой до пяти этажей при расчетной сейсмичности 7 и 8 баллов их допускается устраивать в пределах плана здания в виде конструкций, отделенных от каркаса здания.
Конструкции сборных лестничных маршей и узлов их креплений к несущим элементам зданий, как правило, не должны препятствовать взаимным горизонтальным смещениям смежных перекрытий. При этом лестничные марши должны быть надежно закреплены с одного конца, а конструкция опирания другого конца должна обеспечивать свободное смещение марша относительно опоры, не допуская его обрушения.
Допускается применять конструкции лестничных маршей, связанные с перекрытиями по обоим концам, при этом несущая способность лестничных маршей и узлов их креплений должна быть рассчитана на восприятие нагрузок, возникающих при взаимном смещении перекрытий.
6.4.3 Лестницы следует выполнять из монолитного железобетона, из крупных сборных железобетонных элементов, соединяемых между собой с помощью сварки. Допускается устройство лестниц с применением металлических или железобетонных косоуров с наборными ступенями при условии соединения с помощью сварки или на болтах косоуров с площадками и ступеней с косоурами и деревянных лестниц в деревянных зданиях.
6.4.4 Междуэтажные лестничные площадки следует заделывать в стены. В каменных зданиях площадки должны заделываться на глубину не менее 250 мм и заанкериваться. Лестничные площадки, располагаемые в уровне междуэтажных перекрытий, должны надежно связываться с антисейсмическими поясами или непосредственно с перекрытиями.
Устройство консольных ступеней, заделанных в каменную кладку, не допускается.
6.4.5 Конструкции лестничных клеток и узлы крепления должны обеспечивать условия безопасного использования лестниц при эвакуации в режиме чрезвычайных ситуаций.
| | Применение на обязательной основе подразделов 6.5, 6.6 обеспечивает соблюдение требований Федерального закона от 30.12.2009 N 384-ФЗ "Технический регламент о безопасности зданий и сооружений" (Постановление Правительства РФ от 26.12.2014 N 1521). | |
6.5.1 Перегородки следует выполнять ненесущими. Перегородки следует соединять с колоннами, несущими стенами, а при длине более 3,0 м - и с перекрытиями. Допускается выполнять перегородки из штучной кладки в соответствии с требованиями
6.5.5 и
6.14.
6.5.2 Конструкция крепления перегородок к несущим элементам здания и узлов их примыкания должна исключать возможность передачи на них горизонтальных нагрузок, действующих в их плоскости. Крепления, обеспечивающие устойчивость перегородок из плоскости, должны быть жесткими.
Прочность перегородок и их креплений должна быть в соответствии с
5.5 подтверждена расчетом на действие расчетных сейсмических нагрузок из плоскости.
6.5.3 Для обеспечения независимого деформирования перегородок следует предусматривать антисейсмические швы между вертикальными торцевыми и верхней горизонтальной гранями перегородок и несущими конструкциями здания. Ширину швов принимают по максимальному значению перекоса этажей здания при действии расчетных нагрузок с учетом прогиба перекрытия в эксплуатационной стадии, но не менее 20 мм. Швы заполняют упругим эластичным материалом.
6.5.4 Крепление перегородок к несущим железобетонным конструкциям следует выполнять соединительными элементами, приваренными к закладным изделиям или накладным элементам, а также анкерными болтами или стержнями.
Крепление перегородок к несущим элементам пристрелкой дюбелями не допускается.
6.5.5 Перегородки из кирпича или камня, при их применении на площадках сейсмичностью 7 баллов, следует армировать на всю длину не реже, чем через 700 мм по высоте арматурными стержнями общим сечением в шве не менее 0,2 см
2.
Кирпичную (каменную) кладку перегородок на площадках сейсмичностью 8 и 9 баллов, в дополнение к горизонтальному армированию, следует усиливать вертикальными двухсторонними арматурными сетками, установленными в слоях цементного раствора марки не ниже М100 толщиной 25 - 30 мм. Арматурные сетки должны иметь надежное соединение с кладкой.
6.5.6 Дверные проемы в кирпичных (каменных) перегородках на площадках сейсмичностью 8 и 9 баллов должны иметь железобетонное или металлическое обрамление.
6.6. Балконы, лоджии и эркеры
6.6.1 В районах сейсмичностью до 8 баллов включительно допускается устройство эркеров с усилением образованных в стенах проемов железобетонными рамами и установкой металлических связей стен эркеров с основными стенами.
6.6.2 Устройство встроенных лоджий допускается с установкой жесткого решетчатого или рамного ограждения в плоскости наружных стен. Устройство пристроенных лоджий допускается с установкой металлических связей с несущими стенами, сечение которых определяется по расчету, но не менее 1 см2 на 1 м.
6.6.3 Конструкции балконов и их соединения с перекрытиями должны быть рассчитаны как консольные балки или плиты.
6.6.4 Вынос стен лоджий и эркеров, заделанных в каменные стены, не должен превышать 1,5 м. Вынос плит балконов, лоджий, эркеров, заделанных в каменные стены, не являющихся продолжением перекрытий, не должен превышать 1,5 м.
6.6.5 Конструкции перекрытий лоджий и эркеров должны быть связаны с закладными деталями стеновых элементов или с антисейсмическими поясами, устроенными в стенах лоджий и эркеров и связанными антисейсмическими поясами примыкающих стен или непосредственно с внутренними перекрытиями.
| | Применение на обязательной основе подраздела 6.7 обеспечивает соблюдение требований Федерального закона от 30.12.2009 N 384-ФЗ "Технический регламент о безопасности зданий и сооружений" (Постановление Правительства РФ от 26.12.2014 N 1521). | |
6.7. Особенности проектирования железобетонных конструкций
6.7.1 Проектирование элементов железобетонных конструкций следует выполнять в соответствии с требованиями
СП 63.13330 и с учетом дополнительных требований настоящего свода правил.
6.7.2 При расчете на прочность нормальных сечений изгибаемых и внецентренно сжатых элементов значения граничной относительной высоты сжатой зоны бетона

следует принимать по действующим нормативным документам на бетонные и железобетонные конструкции с коэффициентом, равным при расчетной сейсмичности: 7 баллов - 0,85; 8 баллов - 0,70; 9 баллов - 0,50.
Примечание - При расчете по прочности нормальных сечений на основе нелинейной деформационной модели характеристику

не применяют.
6.7.3 В качестве ненапрягаемой рабочей арматуры следует преимущественно использовать свариваемую арматуру класса А500. Допускается применение арматуры классов А600, В500 и класса А400 марки 25Г2С.
6.7.4 В несущих элементах железобетонных конструкций не допускается применение стыкуемых дуговой сваркой отдельных стержней, сварных сеток и каркасов, а также анкерных стержней закладных деталей из арматурной стали класса А400 марки 35ГС.
6.7.5 В качестве напрягаемой арматуры следует преимущественно использовать стержневую горячекатаную или термомеханически упрочненную арматуру классов А800 и А1000, стабилизированную арматурную проволоку классов Вр1400, В1500 и В1600 и семипроволочные стабилизированные арматурные канаты классов К1500 и К1600.
6.7.6 Не допускается использовать в качестве рабочей арматуры как напрягаемой, так и без предварительного напряжения арматурный прокат, имеющий полное относительное удлинение при максимальном напряжении

менее 2,5%, а также арматурную проволоку класса В500.
6.7.7 При применении арматурного проката класса В500С на площадках с сейсмичностью 8 - 9 баллов удлинение при максимальном напряжении

должно быть не менее 5,0% или относительное равномерное удлинение

не менее 4,5%, а отношение

.
6.7.8 При сейсмичности 9 баллов не допускается применять арматурные канаты и стержневую арматуру периодического профиля диаметром более 28 мм без специальных анкеров.
6.7.9 Во внецентренно сжатых элементах, а также в изгибаемых элементах, в которых учитывается продольная сжатая арматура, при сейсмичности 8 и 9 баллов шаг хомутов должен устанавливаться по расчету, но не более:
400 мм, а также 12d для вязаных каркасов и 15d для сварных каркасов - при

;
300 мм, а также 10d для вязаных каркасов и 12d для сварных каркасов - при

; где d - наименьший диаметр сжатых продольных стержней, мм.
6.7.10 Если общее насыщение внецентренно сжатого элемента продольной арматурой превышает 3%, хомуты должны устанавливаться на расстоянии не более 8d и не более 250 мм.
6.7.11 В вязаных каркасах концы хомутов необходимо загибать вокруг стержня продольной арматуры в направлении центра тяжести сечения и заводить их внутрь бетонного ядра не менее чем на 6d хомута, считая от оси продольного стержня.
6.7.12 В изгибаемых и внецентренно сжатых элементах конструкций допускается осуществлять стыкование рабочей арматуры при диаметре стержней до 20 мм - в 7- и 8-балльных зонах внахлестку без сварки, а в зонах 9 баллов - внахлестку без сварки, но с "лапками" или другими анкерными устройствами на концах стержней.
Длина нахлестки должна быть на 30% больше значений, требуемых по действующим нормативным документам на бетонные и железобетонные конструкции
(СП 63.13330), с учетом дополнительных требований настоящего свода правил.
Допускается применение для соединений арматуры специальных механических соединений (опрессованных или резьбовых муфт).
При диаметре стержней 20 мм и более соединение стержней и каркасов должно выполняться с помощью специальных механических соединений (опрессованных и резьбовых муфт) или сварки независимо от сейсмичности площадки.
Шаг хомутов в местах стыкования внахлестку без сварки арматуры внецентренно сжатых элементов должен быть не более 8d.
Стыкование арматуры сварными соединениями внахлестку, как правило, не допускается. При стыковании арматуры в малоответственных конструкциях, кроме элементов несущего остова зданий, возможно применение сварных соединений арматуры внахлестку. При этом значение длины сварных швов должно быть на 30% больше значений, требуемых по
ГОСТ 14098 для сварного соединения типа С23-Рэ.
В изгибаемых и внецентренно сжатых элементах стыки арматуры внахлестку со сваркой и без сварки следует располагать вне зон максимальных изгибающих моментов.
Стыкование арматуры в монолитных диафрагмах может быть сварным или вязаным внахлест.
В одном сечении должно стыковаться не более 50% растянутой арматуры.
6.7.13 Несущая способность предварительно напряженных конструкций, определяемая по прочности сечений, должна превышать не менее чем на 25% усилия, воспринимаемые сечениями при образовании трещин.
6.7.14 В предварительно напряженных конструкциях с натяжением арматуры на бетон напрягаемую арматуру, устанавливаемую из расчета по прочности (предельному состоянию первой группы), следует располагать в закрытых каналах, замоноличиваемых бетоном или раствором прочностью не ниже прочности бетона конструкции.
В качестве напрягаемой арматуры, дополнительно устанавливаемой из расчета по предельным состояниям второй группы, допускается использовать арматурные канаты, располагаемые в закрытых трубках без сцепления с бетоном.
| | Применение на обязательной основе подраздела 6.8 обеспечивает соблюдение требований Федерального закона от 30.12.2009 N 384-ФЗ "Технический регламент о безопасности зданий и сооружений" (Постановление Правительства РФ от 26.12.2014 N 1521). | |
6.8. Железобетонные каркасные здания
6.8.1 В каркасных зданиях конструкцией, воспринимающей горизонтальную сейсмическую нагрузку, могут служить: каркас; каркас с заполнением; каркас с вертикальными связями, диафрагмами или ядрами жесткости. В качестве несущих конструкций зданий высотой более 9 этажей следует использовать каркасы с диафрагмами, связями или ядрами жесткости.
Размеры выступов в здании (при наличии) в плане не должны превышать шага колонн.
При выборе конструктивных схем предпочтение следует отдавать схемам, в которых зоны пластичности возникают в первую очередь в горизонтальных элементах каркаса (ригелях, перемычках, обвязочных балках и т.п.).
6.8.2 В колоннах рамных каркасов многоэтажных зданий при расчетной сейсмичности 8 и 9 баллов шаг хомутов (кроме требований, изложенных в
6.7.9,
6.7.10) не должен превышать

, а для рамно-связевых каркасов - не более h, где h - наименьший размер стороны колонн прямоугольного или двутаврового сечения. Диаметр хомутов в этом случае должен быть не менее 8 мм.
6.8.3 В вязаных каркасах концы хомутов необходимо загибать вокруг стержня продольной арматуры и заводить внутрь бетонного ядра не менее чем на 6d хомута, считая от оси продольного стержня. В угловых стержнях угол заведения должен быть 30° - 60°.
6.8.4 Элементы сборных колонн многоэтажных каркасных зданий по возможности следует укрупнять на несколько этажей. Стыки сборных колонн необходимо располагать в зоне с наименьшими изгибающими моментами. Не допускается стыкование продольной арматуры в сборных элементах колонн внахлестку без сварки. Продольная арматура сборных элементов колонн длиной до 10,7 м должна состоять из целых стержней мерной длины.
6.8.5 Стыковать продольную арматуру следует в соответствии с требованиями
6.7.12. При стыковании арматуры сваркой следует применять соединения, выполняемые механизированной или ручной дуговой сваркой на стальной скобе-накладке. Для стержней арматуры диаметром до 22 мм, включительно, допускается стыкование дуговой сваркой продольными швами с парными накладками.
6.8.6 На опорных участках плит перекрытий число устанавливаемой поперечной арматуры, нормальной к плоскости плиты, определяют расчетом на продавливание, а если по расчету не требуется, то конструктивно. В обоих случаях стержни поперечной арматуры, ближайшие к контуру площадки передачи нагрузки, располагают на расстоянии не ближе

и не далее

этого контура. Ширина зоны размещения расчетной или конструктивной поперечной арматуры в обоих осевых направлениях должна быть не менее

, считая от контура площадки передачи нагрузки.
Расчетная и конструктивная поперечные арматуры плиты должны состоять из стержней периодического профиля диаметром не менее 8 мм, которые следует соединять с продольной рабочей арматурой посредством контактной сварки или концевых отгибов (крюков). Шаг стержней поперечной арматуры - по нормам проектирования железобетонных конструкций.
6.8.7 Для железобетонных колонн многоэтажных каркасных зданий с арматурой классов А400 и А500 общий процент армирования рабочей продольной арматурой в любом сечении не должен превышать 6%, а арматурой А600 - 4%.
Допускается более высокое насыщение колонн продольной арматурой при условии усиления приопорных участков колонн с помощью конструктивного косвенного армирования сварными сетками с ячейками размером не более 100 мм не менее четырех, располагаемыми с шагом 60 - 100 мм на длине (считая от торца элемента не менее 10d, где d - наибольший диаметр стержней продольной арматуры). Сетки из арматуры классов А400, А500, В500 должны быть диаметром не менее 8 мм.
6.8.8 Жесткие узлы железобетонных каркасов зданий должны быть усилены применением сварных сеток, спиралей или замкнутых хомутов.
Зона пересечения ригелей и колонн, а также участки ригелей и колонн, примыкающие к жестким узлам рам на расстоянии, равном полуторной высоте их сечения (но не более 1/4 высоты этажа или пролета ригеля), должны армироваться замкнутой поперечной арматурой (хомутами), устанавливаемой по расчету, но не реже чем через 100 мм, а для рамных систем с несущими диафрагмами - не реже чем через 200 мм.
6.8.9 В зданиях с диафрагмами и ядрами жесткости не менее 50% поэтажной жесткости на каждом из этажей обеспечивается стенами, диафрагмами, связями, ядрами жесткости и не более 50% - колоннами.
Диафрагмы, связи и ядра жесткости, воспринимающие горизонтальную нагрузку, должны быть непрерывными по всей высоте здания и располагаться в обоих направлениях равномерно и симметрично относительно центра тяжести здания. В каждом направлении должно устанавливаться не менее двух диафрагм, расположенных в разных плоскостях. Допускается в верхних этажах здания уменьшать число и протяженность диафрагм при сохранении симметричности их расположения в пределах этажа. Изменение сдвиговой (изгибной) жесткости диафрагм соседних этажей при этом не должно превышать 20%, а длина каждой диафрагмы жесткости должна быть не менее высоты этажа. В каркасных железобетонных зданиях допускается применение рам-диафрагм и металлических связей.
6.8.10 При проектировании зданий с существенно меньшей жесткостью нижних этажей (здания с "гибким" нижним этажом) с расчетной сейсмичностью площадки строительства 8 и 9 баллов колонны "гибкого" этажа следует, как правило, выполнять стальными или с жесткой арматурой.
6.8.11 Максимальные расстояния между осями колонн в каждом направлении при безбалочных плитах и безбалочных плитах с капителями следует принимать 7,2 м - при сейсмичности 7 баллов, 6,0 м - при сейсмичности 8, 9 баллов. Толщину перекрытий (с капителями и без них) безригельного каркаса следует принимать не менее 1/30 расстояния между осями колонн и не менее 180 мм, класс бетона - не ниже B20.
По наружному контуру вертикальных несущих конструкций зданий перекрытия следует опирать на ригели в уровне каждого этажа. Допускается устройство на консольных свесах перекрытий и ограждающих конструкций, выступающих за пределы основного каркаса частично или по периметру здания. Конструкции узлов сопряжения стен и перекрытий должны удовлетворять требованиям
6.8.15.
6.8.12 При расчете прочности нормального сечения плиты безригельных бескапительных каркасов на действие изгибающего момента расчетную ширину сжатой зоны бетона следует принимать не более трехкратной ширины колонн. На этой расчетной ширине в каждом осевом направлении должно быть размещено не менее 50% площади всей продольной рабочей арматуры плиты, приходящейся на шаг колонн в направлении, перпендикулярном направлению арматуры. 10% площади всей рабочей арматуры, размещенной на указанной расчетной ширине плиты, необходимо пропустить сквозь тело колонны.
Рекомендуется не менее 30% всей продольной арматуры плиты устанавливать в виде групп каркасов, плоских вертикальных или пространственных прямоугольного или треугольного сечения. Такие каркасы в обоих осевых направлениях следует сосредотачивать в составе полос усиленного армирования над колоннами, где не менее двух плоских каркасов или двух верхних стержней пространственного каркаса должны быть пропущены сквозь тело колонны, а также в составе арматуры, проходящей через срединные участки пролетов. Непрерывность этих каркасов в пределах общих габаритов перекрытия должна быть обеспечена стыковыми сварными соединениями продольных стержней каркасов. Эти стыковые соединения должны располагаться в зонах минимальных изгибающих моментов по соответствующим осевым направлениям и иметь прочность не ниже нормативного сопротивления стыкуемых стержней.
6.8.13 В качестве ограждающих стеновых конструкций каркасных зданий следует применять легкие навесные панели. Допускается устройство кирпичного или каменного заполнения, соответствующего требованиям
6.14.4,
6.14.5.
6.8.14 Применение самонесущих стен из каменной кладки допускается:
при шаге пристенных колонн каркаса не более 6 м;
при высоте стен зданий, возводимых на площадках сейсмичностью 7, 8 и 9 баллов, не более 12, 9 и 6 м соответственно.
6.8.15 Для обеспечения раздельной работы ненесущих и несущих конструкций при сейсмических воздействиях конструкция узлов сопряжения каменных стен и колонн, диафрагм и перекрытий (ригелей) должна исключать возможность передачи на них нагрузок, действующих в их плоскости. Прочность элементов стен и узлы их крепления к элементам каркаса должны соответствовать
5.5 и быть подтверждены расчетом на действие расчетных сейсмических нагрузок из плоскости.
Кладка самонесущих стен в каркасных зданиях должна иметь гибкие связи с каркасом, не препятствующие горизонтальным смещениям каркаса вдоль стен.
Между поверхностями стен и колонн каркаса должен предусматриваться зазор не менее 20 мм. В местах пересечения торцевых и поперечных стен с продольными стенами должны устраиваться антисейсмические швы на всю высоту стен.
По всей длине стен в уровне плит покрытия и верха оконных проемов должны устраиваться антисейсмические пояса, соединенные с каркасом здания.
6.8.16 При проектировании каркасных зданий кроме деформаций изгиба и сдвига в стойках каркаса необходимо учитывать осевые деформации, а также должен быть выполнен расчет на устойчивость против опрокидывания.
6.8.17 Стены из штучной кладки поэтажной разрезки и узлы их крепления могут конструироваться как заполнение, участвующее в работе каркаса, либо как заполнение, отделенное от каркаса. Заполнение, участвующее в работе каркаса, рассчитывают и конструируют как несущую стену.
6.8.18 Конструкции узлов примыканий элементов ненесущих стен, отделенных от каркаса, к несущим конструкциям здания должны исключать возможность передачи на них нагрузок, действующих в их плоскости. Прочность элементов стен такой конструкции и узлов их крепления к элементам каркаса должна быть подтверждена расчетом на действие сейсмических нагрузок из плоскости. В узлах примыкания участков ненесущих стен различных направлений должны быть предусмотрены вертикальные антисейсмические швы толщиной не менее 20 мм, заполненные эластичным материалом.
6.8.19 Железобетонные каркасы одноэтажных зданий в поперечном направлении рекомендуется проектировать, как правило, по конструктивной схеме в виде стоек, защемленных в фундаментах и с шарнирным сопряжением с ригелями покрытия. Для районов с сейсмичностью 7 баллов пролеты, стропильные и подстропильные конструкции принимаются как для несейсмических районов. Для районов с сейсмичностью 8 и 9 баллов пролеты принимаются соответственно 24,0 м и 12 м. Шаг стропильных конструкций принимается для 8 баллов - 6,0 м и 12 м, для 9 баллов - 6,0 м; подстропильные конструкции не применяются.
6.9. Особенности проектирования зданий со стальным каркасом
| | Применение на обязательной основе пунктов 6.9.1, 6.9.2, 6.9.4, 6.9.5 обеспечивает соблюдение требований Федерального закона от 30.12.2009 N 384-ФЗ "Технический регламент о безопасности зданий и сооружений" (Постановление Правительства РФ от 26.12.2014 N 1521). | |
6.9.1 Стальные колонны многоэтажных каркасов рамного типа следует проектировать замкнутого (коробчатого или круглого) сечения, равноустойчивого относительно главных осей инерции, а колонны рамно-связевых каркасов двутаврового, крестового или замкнутого сечений.
Ригели стальных каркасов следует проектировать из прокатных или сварных двутавров, в том числе с гофрированной стенкой.
6.9.2 Стыки колонн следует, как правило, относить от узлов и устраивать в зоне действия наименьших изгибающих моментов.
В колоннах рамных каркасов на уровне ригелей должны быть установлены поперечные ребра жесткости. Зоны развития пластических деформаций в элементах стальных конструкций должны быть вынесены за пределы сварных и болтовых соединений.
6.9.3 Утратил силу с 25.11.2018. -
Приказ Минстроя России от 24.05.2018 N 309/пр.
6.9.4 Опорные сечения ригелей стальных каркасов многоэтажных зданий следует развивать за счет увеличения ширины полок или устройства вутов с целью снижения напряжений в сварных соединениях в зоне примыкания ригелей к колоннам. Допускается стыки ригелей с колоннами выполнять на высокопрочных болтах без увеличения опорных сечений ригелей.
6.9.5 Для элементов, работающих в упругопластической стадии, должны применять малоуглеродистые и низколегированные стали с относительным удлинением не менее 20%.
6.9.6, 6.9.7 Утратили силу с 25.11.2018. -
Приказ Минстроя России от 24.05.2018 N 309/пр.
| | Применение на обязательной основе подраздела 6.10 обеспечивает соблюдение требований Федерального закона от 30.12.2009 N 384-ФЗ "Технический регламент о безопасности зданий и сооружений" (Постановление Правительства РФ от 26.12.2014 N 1521). | |
6.10. Крупнопанельные здания
6.10.1 Крупнопанельные здания следует проектировать с продольными и поперечными стенами, объединенными между собой перекрытиями и покрытиями в единую пространственную систему, воспринимающую сейсмические нагрузки.
При проектировании крупнопанельных зданий необходимо:
предусматривать панели стен и перекрытий, как правило, размером на комнату;
осуществлять вертикальные и горизонтальные стыковые соединения панелей продольных и поперечных стен между собой и с панелями перекрытий (покрытий) сваркой арматурных выпусков, закладных деталей или на болтах и замоноличиванием вертикальных и горизонтальных стыков мелкозернистым бетоном класса не ниже B15 и не ниже класса бетона панелей. Все замоноличиваемые торцевые стыкуемые грани панелей стен и перекрытий (покрытий) следует выполнять с рифлеными или зубчатыми поверхностями. Глубину (высоту) шпонок и зубьев принимают не менее 4 см;
при опирании перекрытий на наружные стены здания и стены у антисейсмических швов предусматривать охват вертикальной арматуры стеновых панелей арматурой швов, приваренной к выпускам арматуры плит перекрытия.
При соответствующем обосновании допускается выполнять вертикальные стыковые соединения стен на закладных деталях, без устройства замоноличиваемых вертикальных колодцев и рифленых поверхностей граней панелей стен.
6.10.2 Армирование стеновых панелей следует выполнять двухсторонним, в виде пространственных каркасов или арматурных сеток. Площадь вертикальной и горизонтальной арматуры, устанавливаемой у каждой плоскости панели, должна составлять не менее 0,05% площади соответствующего сечения стены.
Толщина внутреннего несущего слоя многослойных панелей должна определяться по результатам расчета и приниматься не менее 100 мм.
Закладные детали, служащие для соединения панелей между собой, должны быть приварены к рабочей арматуре.
6.10.3 В местах пересечения стен должна размещаться вертикальная арматура, непрерывная на всю высоту здания. Вертикальная арматура также должна устанавливаться по граням дверных и оконных проемов и при регулярном расположении проемов поэтажно стыковаться. Площадь поперечного сечения арматуры, устанавливаемой в стыках и по граням проемов, должна определяться по расчету, но приниматься не менее 2 см2.
В местах пересечения стен допускается размещать в наружных панелях не более 60% расчетного количества вертикальной арматуры с размещением остальной части арматуры во внутренних стеновых панелях на участке не более 1 м от места пересечения стен (за исключением конструктивной арматуры).
6.10.4 Решения стыковых соединений должны обеспечивать восприятие расчетных усилий растяжения и сдвига. Сечение металлических связей в стыках панелей (горизонтальных и вертикальных) определяют расчетом, но их минимальное сечение должно быть не менее 1 см2 на 1 погонный метр шва.
6.10.5 Встроенные лоджии выполняют длиной, равной расстоянию между соседними несущими стенами. В зданиях на площадках сейсмичностью 8 и 9 баллов в плоскости наружных стен в местах размещения лоджий следует предусматривать устройство железобетонных рам. В зданиях высотой до пяти этажей при расчетной сейсмичности 7 и 8 баллов допускается устройство пристроенных лоджий с выносом не более 1,5 м и связанных с основными стенами металлическими связями.
| | Применение на обязательной основе подраздела 6.11 обеспечивает соблюдение требований Федерального закона от 30.12.2009 N 384-ФЗ "Технический регламент о безопасности зданий и сооружений" (Постановление Правительства РФ от 26.12.2014 N 1521). | |
6.11. Здания с несущими стенами из монолитного железобетона
6.11.1 К монолитным зданиям помимо зданий, все стены и перекрытия которых выполняют из монолитного бетона, относятся также здания, наружные стены которых, а также отдельные участки внутренних стен и перекрытий монтируют из сборных элементов.
6.11.2 Монолитные здания следует проектировать, как правило, в виде перекрестно-стеновой системы с несущими (в основном из тяжелого железобетона) или ненесущими наружными стенами. При этом не менее 80% поэтажной жесткости на каждом из этажей здания, кроме верхнего этажа, обеспечивают стены, диафрагмы, ядра жесткости и не более 20% колонны. Жесткость верхнего этажа здания должна быть не менее 50% жесткости нижележащего этажа.
При технико-экономическом обосновании монолитные здания возможно проектировать ствольно-стеновой конструкции с одним или несколькими стволами.
6.11.3 Внутренние поперечные и продольные стены зданий на площадках 8 и 9 баллов должны быть без изломов в плане в пределах стены. Максимальное расстояние между несущими стенами не должно превышать 7,2 м. В зданиях с ненесущими наружными стенами должно быть не менее двух внутренних продольных и поперечных стен.
6.11.4 Выступ части наружных стен в плане не должен превышать 6 м для зданий с расчетной сейсмичностью 7 и 8 баллов и 3 м для зданий с расчетной сейсмичностью 9 баллов.
6.11.5 Перекрытия могут быть монолитными, сборными и сборно-монолитными.
6.11.6 Стены лоджий должны выполнять как продолжение несущих стен.
6.11.7 При расчете конструкций следует проверять прочность горизонтальных и наклонных сечений глухих стен и простенков, вертикальных сопряжений стен, нормальных сечений в опорных зонах перемычек, сечений по полосе между возможными наклонными трещинами и по наклонной трещине.
6.11.8 Следует предусматривать конструктивное армирование по полю стен вертикальной и горизонтальной арматурой площадью сечения у каждой плоскости стены не менее 0,05% площади соответствующего сечения стены, в пересечениях стен, местах резкого изменения толщины стены, у граней проемов арматурой площадью сечения не менее 2 см2, объединенных замкнутым хомутом с шагом не более 500 мм.
6.11.9 Армирование монолитных стен следует, как правило, выполнять пространственными каркасами, собираемыми из плоских вертикальных каркасов и горизонтальных стержней или плоских горизонтальных каркасов.
В пространственных каркасах, применяемых для армирования поля стен, диаметр вертикальной арматуры должен быть не менее 10 мм, а горизонтальной - не менее 8 мм. Шаг горизонтальных стержней, объединяющих каркасы, не должен превышать 400 мм. Армирование широких простенков можно выполнять диагональными каркасами.
6.11.10 Стыкование стержней и арматурных каркасов при бетонировании конструкций монолитных зданий (кроме колонн, если они присутствуют) допускается осуществлять:
внахлестку без сварки - в зонах 7 и 8 баллов при диаметре стержней до 20 мм;
внахлестку без сварки, но с "лапками" или с другими анкерными устройствами на концах стержней - в зонах 9 баллов.
При диаметре стержней 20 мм и более соединение стержней и каркасов должно выполняться с помощью сварки или с помощью специальных механических соединений (опрессованных и резьбовых муфт) независимо от сейсмичности площадки.
6.11.11 Перемычки следует армировать пространственными каркасами и заводить их арматуру за грань проема по требованиям действующих нормативных документов на бетонные и железобетонные конструкции
(СП 63.13330) с учетом дополнительных требований настоящих строительных норм, но не менее чем на 500 мм. Высокие перемычки допускается армировать диагональными каркасами.
Шаг поперечных стержней пространственных каркасов перемычек следует принимать не более 10d (d - диаметр продольных стержней) и не более 150 мм. Диаметр поперечных стержней следует принимать не менее 8 мм.
6.11.12 Вертикальные стыковые соединения стен следует армировать горизонтальными арматурными стержнями, площадь которых определяется расчетом, но должна быть не менее 0,5 см2 на 1 погонный метр шва в зданиях до пяти этажей на территориях с расчетной сейсмичностью 7 и 8 баллов и не менее 1 см2 на 1 погонный метр шва в остальных случаях.
| | Применение на обязательной основе подраздела 6.12 обеспечивает соблюдение требований Федерального закона от 30.12.2009 N 384-ФЗ "Технический регламент о безопасности зданий и сооружений" (Постановление Правительства РФ от 26.12.2014 N 1521). | |
6.12. Объемно-блочные и панельно-блочные здания
6.12.1 Объемно-блочные и панельно-блочные здания следует проектировать из цельноформованных или сборных объемных блоков и панелей, изготавливаемых из тяжелого или легкого бетона класса не менее B15, объединенных в единую пространственную систему, воспринимающую сейсмические воздействия.
6.12.2 Объединение объемных блоков в единую пространственную систему может осуществляться одним из следующих способов:
сваркой закладных деталей или арматурных выпусков из стен и перекрытий объемных блоков;
устройством в вертикальных полостях между стенами объемных блоков монолитных бетонных или железобетонных шпонок;
устройством горизонтальных обвязочных балок в уровнях междуэтажных перекрытий и покрытия;
замоноличиванием стыков по вертикальным и горизонтальным швам мелкозернистым бетоном с пониженной усадкой;
обжатием столбов объемных блоков вертикальной арматурой, напрягаемой в построечных условиях.
6.12.3 В объемно-блочных зданиях, наряду с объемными блоками, для восприятия сейсмических нагрузок допускается применять "скрытый" монолитный железобетонный каркас и диафрагмы жесткости, расположенные в вертикальных полостях между блоками.
6.12.4 Плита потолка блока должна быть плоской со вспарушенностью в середине не менее 20 мм. Толщина ее на опорах и в середине принимается по расчету, но не менее 50 мм (в среднем).
6.12.5 Плиты пола и стены объемных блоков следует устраивать часторебристыми или гладкими однослойными или многослойными. Толщина плоских однослойных стен и несущих слоев многослойных стен должна быть не менее 100 мм.
6.12.6 Толщина полок ребристых стен должна быть не менее 50 мм, а высота ребер, включая толщину полок, - не менее 100 мм.
6.12.7 Армирование объемных блоков следует выполнять двухсторонним, в виде пространственных каркасов, сварных сеток и отдельными стержнями, объединенными в единый арматурный пространственный блок. Допускается выполнять армирование плоских стен одинарным в виде плоской сварной сетки.
Площадь вертикальной и горизонтальной арматуры, устанавливаемой у каждой плоскости панели для арматуры каждого вида, должна составлять не менее 0,05% площади соответствующего сечения плиты.
6.12.8 Объемные блоки с одинарным армированием трех плоских стен допускается применять:
в зданиях со скрытым монолитным каркасом независимо от этажности;
в зданиях других типов - высотой не более пяти этажей при расчетной сейсмичности 7, 8 баллов и не более трех этажей - при сейсмичности 9 баллов.
6.12.9 Поэтажное опирание объемных блоков должно быть, как правило, по всей длине несущих стен. В зданиях до пяти этажей при расчетной сейсмичности 7 и 8 баллов и до трех этажей при 9 баллах допускается опирание блоков только по углам. При этом длина зоны опирания должна быть не менее 300 мм в каждую сторону от угла.
6.12.10 В зданиях более двух этажей, как правило, должно быть не менее одной внутренней стены. При этом в наружных стенах допускается применять блоки различных типоразмеров, выступающие или западающие на длину до 1,5 м.
6.12.11 Выступ части наружных стен здания в плане не должен превышать 6,0 м.
6.12.12 Конструктивные решения вертикальных и горизонтальных связей должны обеспечивать восприятие расчетных усилий. Необходимое сечение металлических связей определяют расчетом, но принимают не менее:
вертикальных - 30 мм2 на 1 погонный метр горизонтального шва между смежными по высоте блоками при сейсмичности 7 и 8 баллов и 50 - при сейсмичности 9 баллов;
горизонтальных - 150 мм2 на 1 погонный метр горизонтального шва между смежными в плане блоками.
При этом связи между смежными блоками допускается выполнять сосредоточенными по углам блоков.
В расчетах трение в горизонтальных стыковых соединениях не учитывают.
6.12.13 Размеры поперечного сечения элементов "скрытого" монолитного каркаса (колонн и ригелей) определяют расчетом, но они должны быть не менее 160 x 200 мм. Армирование колонн и ригелей "скрытого" каркаса должно осуществляться пространственными каркасами. При этом колонны должны иметь продольную арматуру не менее 4d12 класса А400, ригели - 4d10 при расчетной сейсмичности 7 и 8 баллов и не менее 4d12 при сейсмичности 9 баллов.
Класс бетона элементов "скрытого" каркаса должен быть не ниже B15.
6.12.14 Толщина монолитных диафрагм жесткости, выполняемых в полостях между блоками, должна быть не менее 100 мм. Армирование монолитных диафрагм жесткости допускается выполнять одинарными сетками.
6.12.15 Конструктивные решения диафрагм жесткости и элементов "скрытого" каркаса должны обеспечивать совместность их работы с объемными блоками.
6.12.16 При проектировании панельно-блочных зданий необходимо:
предусматривать панели стен и перекрытий размером на комнату;
соединять панели стен и перекрытий между собой и с блоками путем сварки выпусков арматуры, анкерных стержней или закладных деталей и замоноличивания вертикальных колодцев и участков стыков по горизонтальным швам мелкозернистым бетоном с пониженной усадкой;
предусматривать сварные соединения выпусков арматуры из панелей перекрытий с вертикальной арматурой стеновых панелей при опирании перекрытий на наружные стены и стены у температурных швов.
| | Применение на обязательной основе подраздела 6.13 обеспечивает соблюдение требований Федерального закона от 30.12.2009 N 384-ФЗ "Технический регламент о безопасности зданий и сооружений" (Постановление Правительства РФ от 26.12.2014 N 1521). | |
6.13. Здания со стенами из крупных блоков
6.13.1 Стеновые блоки могут быть выполнены из бетонов, в том числе легких, а также изготовлены из кирпича или других штучных материалов с применением вибрирования в формах на вибростоле. Требуемое значение нормального сцепления кирпича (камня) с раствором в блоках определяют расчетом, но должно быть не менее 120 кПа.
Блоки наружных стен могут быть однослойными или многослойными.
6.13.2 Стены из крупных блоков могут быть:
а) двухрядной и многорядной разрезки. Усилия в швах воспринимаются силами трения и шпонками. Число надземных этажей в таких зданиях не должно превышать трех на площадках сейсмичностью 7 баллов и одного на площадках сейсмичностью 8 баллов;
б) двухрядной или трехрядной разрезки, соединяемые между собой с помощью сварки закладных деталей или арматурных выпусков;
в) многорядной разрезки, усиленные вертикальными железобетонными включениями.
6.13.3 Стеновые блоки должны быть армированы пространственными каркасами. Вертикальную арматуру в блоках устанавливают по расчету, но не менее 2d8 класса А240 по каждой боковой грани. Неармированные блоки допускаются на площадках сейсмичностью 7 баллов в зданиях высотой до трех этажей, на площадках сейсмичностью 8 баллов в одноэтажных зданиях. Стеновые блоки (как для наружных, так и для внутренних стен) должны применять только с пазами или четвертями на торцевых вертикальных гранях.
Блоки должны соединяться между собой сваркой закладных деталей или выпусков арматуры. Вертикальная арматура по торцам простеночных блоков, в том числе на глухих участках стен, должна быть соединена с выпусками арматуры из фундамента, вертикальной арматурой вышележащих и нижележащих простеночных блоков, в том числе блоков смежных этажей, и заанкерена в антисейсмическом поясе перекрытия верхнего этажа.
6.13.4 Антисейсмические пояса в крупноблочных зданиях могут быть монолитными или сборно-монолитными из армированных блоков-перемычек. Блоки-перемычки соединяют между собой в двух уровнях по высоте путем сварки выпусков арматуры или закладных деталей с последующим замоноличиванием.
6.13.5 В уровне перекрытий и покрытий, выполненных из сборных железобетонных плит, по всем стенам должны быть устроены антисейсмические пояса из монолитного бетона, объединяющие выпуски арматуры из торцов плит перекрытий и выпуски из поясных блоков. Ширина пояса должна быть не менее 90 мм, высота - соответствовать толщине плит перекрытий, класс бетона не ниже B12,5. При подборе арматуры антисейсмических поясов допускается учитывать продольную арматуру поясных блоков.
6.13.6 Связь между продольными и поперечными стенами обеспечивают тщательным бетонированием вертикальных пазов примыкающих блоков, укладкой арматурных сеток в каждом горизонтальном растворном шве и антисейсмическими поясами.
6.13.7 Стержни вертикальной арматуры должны быть установлены на всю высоту здания в углах, местах изломов стен в плане и сопряжений наружных стен с внутренними, в обрамлении проемов во внутренних стенах, по длине глухих стен не более чем через 3 м, по длине наружных стен - в обрамлении простенков.
При непрерывном вертикальном армировании продольную арматуру пропускают через отверстия в поясных блоках и стыкуют сваркой. Пазы в блоках в местах установки вертикальной арматуры должны заделывать бетоном на мелком щебне класса не менее B15 с вибрированием.
6.13.8 Для повышения сейсмостойкости зданий из крупных блоков следует устраивать вертикальные железобетонные включения в местах пересечения и по свободным торцевым граням стен. Для повышения горизонтальной жесткости глухих участков стен в вертикальных швах между простеночными блоками могут также устраиваться бетонные шпонки и сварные связи выпусков горизонтальной арматуры соседних блоков.
| | Применение на обязательной основе подраздела 6.14 обеспечивает соблюдение требований Федерального закона от 30.12.2009 N 384-ФЗ "Технический регламент о безопасности зданий и сооружений" (Постановление Правительства РФ от 26.12.2014 N 1521). | |
6.14. Здания со стенами из кирпича или каменной кладки
6.14.1 Для возведения стен из каменной кладки применяют керамические кирпичи и камни, бетонные блоки, природные камни правильной формы и мелкие блоки.
Несущие каменные стены должны возводить из кладки на растворах со специальными добавками, повышающими сцепление раствора с кирпичом или камнем, с обязательным заполнением всех вертикальных швов раствором.
Кладка несущих стен без заполнения вертикальных швов раствором и без железобетонных обойм или включений допускается при применении керамических камней с пазогребневым соединением только на площадках с расчетной сейсмичностью 7 баллов и менее.
При расчетной сейсмичности 7 баллов допускается возведение несущих стен зданий из кладки на растворах с пластификаторами без применения специальных добавок, повышающих прочность сцепления раствора с кирпичом или камнем.
6.14.2 Запрещается при отрицательной температуре выполнение кладки несущих, самонесущих стен, заполнение каркаса и перегородок, в том числе усиленных армированием или железобетонными включениями, из кирпича (камня, блоков) при возведении зданий на площадках сейсмичностью 9 и более баллов.
При расчетной сейсмичности 8 баллов и менее допускается выполнение зимней кладки с обязательным включением в раствор добавок, обеспечивающих твердение раствора при отрицательных температурах.
Допускается ведение кладки в сейсмических районах при отрицательной температуре воздуха из подогретого до положительной температуры кирпича (камня, блока) на растворах без противоморозных добавок с дальнейшим укрыванием и выдержкой при положительной температуре до набора прочности раствором не менее 20% проектной.
6.14.3 Расчет каменных конструкций должен проводиться на одновременное действие горизонтально и вертикально направленных сейсмических сил.
Значение вертикальной сейсмической нагрузки при расчетной сейсмичности 7 - 8 баллов должно быть 15%, а при сейсмичности 9 баллов - 30% соответствующей вертикальной статической нагрузки.
Направление действия вертикальной сейсмической нагрузки (вверх или вниз) следует принимать более невыгодным для напряженного состояния рассматриваемого элемента.
6.14.4 Для кладки несущих и самонесущих стен или заполнения, участвующего в работе каркаса, следует применять следующие изделия и материалы:
а) полнотелый и пустотелый кирпич, керамические камни марки не ниже М125 при сейсмичности площадки строительства 8 и 9 баллов, и марки не ниже М100 при сейсмичности 7 баллов.
Изделия с пустотами должны иметь: диаметр вертикальных цилиндрических пустот и размер стороны квадратных пустот не более 20 мм, а ширину щелевых пустот не более 16 мм. Пустотность материала кладки без железобетонных включений или обойм (рубашек) не должна превышать 25%;
б) камни и блоки правильной формы из ракушечников, известняков марки не менее 35 или туфов (кроме фельзитового) марки 50 и выше;
в) для несущих стен следует применять бетонные камни, сплошные и пустотелые блоки из легкого и ячеистого бетонов классов по прочности на сжатие не ниже B3,5, марок по средней плотности не ниже D600; для самонесущих стен - классов по прочности на сжатие не ниже B2,5, марок по плотности не ниже D500.
Для возведения перегородок и ненесущих стен допускается применение кирпича и керамических камней марки не ниже М75 без ограничения размеров и пустот и гипсовых пазогребневых плит.
Штучная кладка стен должна выполняться на смешанных цементных растворах марки не ниже М25 в летних условиях и не ниже М50 - в зимних или на специальных клеях. Для кладки блоков следует применять раствор марки не ниже М50 и специальные клеи.
6.14.5 Кладки в зависимости от их сопротивляемости сейсмическим воздействиям подразделяют на категории.
Категория кирпичной или каменной кладки, выполненной из материалов, предусмотренных
6.14.4, определяется

сопротивлением осевому растяжению по неперевязанным швам (нормальное сцепление), значение которого должно быть в пределах:

- для кладки категории I;

- для кладки категории II.
Для повышения

сопротивления осевому растяжению по неперевязанным швам (нормальное сцепление)

следует применять растворы со специальными добавками.
Требуемое значение

необходимо указывать в проекте. При проектировании значение

следует назначать в зависимости от результатов испытаний, проводимых в районе строительства.
При невозможности получения на площадке строительства (в том числе на растворах с добавками, повышающими прочность их сцепления с кирпичом или камнем) значения

, применение кирпичной или каменной кладки не допускается.
Примечание - При расчетной сейсмичности 7 баллов допускается применение кладки из естественного камня при

. При этом высота здания должна быть не более трех этажей, ширина простенков - не менее 0,9 м, ширина проемов - не более 2 м, а расстояния между осями стен - не более 12 м.
Проектом производства каменных работ должны предусматриваться специальные мероприятия по уходу за твердеющей кладкой, учитывающие климатические особенности района строительства. Эти мероприятия должны обеспечивать получение необходимых прочностных показателей кладки.
6.14.6 Значения расчетных сопротивлений кладки

,

,

по перевязанным швам должны соответствовать
СП 15.13330, а по неперевязанным швам - определяют по формулам (10) - (12) в зависимости от значения

, полученного в результате испытаний, проводимых в районе строительства:

; (10)

; (11)

. (12)
Значения

,

и

не должны превышать соответствующих значений по кирпичу или камню при разрушении кладки.
6.14.7 Высота этажа зданий с несущими стенами из кирпичной или каменной кладки, не усиленной армированием или железобетонными включениями, не должна превышать при расчетной сейсмичности 7, 8 и 9 баллов 5, 4 и 3,5 м соответственно.
При усилении кладки армированием или железобетонными включениями высоту этажа допускается принимать равной 6, 5 и 4,5 м соответственно.
При этом отношение высоты этажа к толщине стены должно быть не более 12.
6.14.8 Для зданий с неполным каркасом при расчетной сейсмичности 7 - 8 баллов допускается применение наружных каменных стен и внутренних железобетонных или металлических рам (стоек), при этом должны выполняться требования, установленные для каменных зданий. Высота таких зданий не должна превышать 7 м.
6.14.9 В зданиях с несущими стенами шириной более 6,4 м кроме наружных продольных стен, как правило, должно быть не менее одной внутренней продольной стены. Расстояния между осями поперечных стен или заменяющих их рам должны проверяться расчетом и быть не более приведенных в таблице 8. Суммарная длина заменяющих рам должна быть не более 25% суммарной длины внутренних стен того же направления. Не допускается устройство двух рядом расположенных заменяющих рам одного направления.
В зданиях из мелких ячеисто-бетонных блоков расстояние между стенами независимо от расчетной сейсмичности не должно превышать 9 м.
Таблица 8
Расстояния между осями поперечных стен
или заменяющих их рам
Расчетная сейсмичность, баллы | Расстояние между осями поперечных стен или заменяющих их рам, м |
7 | 18 |
8 | 15 |
9 | 12 |
6.14.10 Размеры элементов стен каменных зданий следует определять расчетом. Они должны соответствовать требованиям, приведенным в таблице 9.
Таблица 9
Размеры элементов стен каменных зданий
Элемент стены | Размер элемента стены, м, при расчетной сейсмичности, баллы | Примечание |
7 | 8 | 9 |
1 Простенки шириной не менее, при кладке: | | | | Ширину угловых простенков следует принимать на 25 см больше указанной. Простенки меньшей ширины необходимо усиливать железобетонным обрамлением |
1-й категории | 0,64 | 0,9 | 1,16 |
2-й категории | 0,77 | 1,16 | 1,55 |
2 Проемы шириной не более | 3,5 | 3 | 2,5 | Проемы большей ширины следует окаймлять железобетонной рамкой |
3 Отношение ширины простенка к ширине проема, не менее | 0,33 | 0,5 | 0,75 | Вынос деревянных неоштукатуренных карнизов допускается до 1 м |
4 Выступ стен в плане, не более | 2 | 1 | - | - |
5 Вынос карнизов не более: | | | | - |
из материала стен; | 0,2 | 0,2 | 0,2 | |
из железобетонных элементов, связанных с антисейсмическими поясами; | 0,4 | 0,4 | 0,4 | |
из деревянных, оштукатуренных по металлической сетке | 0,75 | 0,75 | 0,75 | |
6.14.11 В уровне перекрытий и покрытий должны устраиваться антисейсмические пояса по всем продольным и поперечным стенам, выполняемые из монолитного железобетона или сборные с замоноличиванием стыков и непрерывным армированием. Антисейсмические пояса верхнего этажа должны быть связаны с кладкой вертикальными выпусками арматуры.
В зданиях с монолитными железобетонными перекрытиями, заделанными по контуру в стены, антисейсмические пояса в уровне этих перекрытий не устраивают.
6.14.12 Антисейсмический пояс (с опорным участком перекрытия) должен устраиваться, как правило, на всю ширину стены; в наружных стенах толщиной 500 мм и более ширина пояса может быть меньше на 100 - 150 мм. Высота пояса должна быть не менее 150 мм, класс бетона - не ниже B12,5.
Продольная арматура поясов устанавливается по расчету, но не менее 4d10 при расчетной сейсмичности 7 - 8 баллов и не менее 4d12 - при 9 баллах.
6.14.13 В сопряжениях стен в кладку должны укладываться арматурные сетки сечением продольной арматуры общей площадью не менее 1 см2, длиной 1,5 м через 700 мм по высоте при расчетной сейсмичности 7 - 8 баллов и через 500 мм - при 9 баллах.
Участки стен и столбы над чердачным перекрытием высотой более 400 мм должны быть армированы или усилены монолитными железобетонными включениями, заанкеренными в антисейсмический пояс. Стены по верху должны иметь обвязочный железобетонный пояс, связанный с вертикальными железобетонными сердечниками.
Кирпичные столбы допускаются только при расчетной сейсмичности 7 баллов. При этом марка раствора должна быть не ниже М50, а высота столбов - не более 4 м. В двух направлениях столбы следует связывать заанкеренными в стены балками.
6.14.14 Сейсмостойкость каменных стен здания следует повышать сетками из арматуры, созданием комплексной конструкции, предварительным напряжением кладки или другими экспериментально обоснованными методами.
Кладки следует армировать сетками в горизонтальных швах и отдельными вертикальными стержнями или каркасами, размещаемыми в теле кладки или в штукатурных слоях. Вертикальная арматура должна быть непрерывной и соединяться с антисейсмическими поясами. Не допускается соединение арматуры внахлест без сварки. В случае размещения вертикальной арматуры в штукатурных слоях, она должна быть связана с кладкой хомутами, расположенными в горизонтальных швах кладки.
Вертикальные железобетонные элементы (сердечники) должны соединяться с антисейсмическими поясами.
Железобетонные включения в кладку комплексных конструкций следует устраивать открытыми не менее чем с одной стороны и минимальным размером сечения не менее 120 мм.
При проектировании стен комплексной конструкции из кирпича усиленные монолитными железобетонными включениями антисейсмические пояса и их узлы сопряжения со стойками должны рассчитываться и конструироваться как элементы каркасов с учетом работы заполнения. В этом случае предусмотренные для бетонирования стоек пазы должны быть открытыми не менее чем с двух сторон. Если стены комплексной конструкции из кирпича выполняют с железобетонными включениями по торцам простенков, продольная арматура должна быть надежно соединена хомутами, уложенными в горизонтальных швах кладки. Бетон включений должен быть не ниже класса B12,5, кладка должна выполняться на растворе марки не ниже М50, а количество продольной арматуры не должно превышать 0,8% площади сечения бетона простенков.
Примечание - Несущая способность железобетонных включений, расположенных по торцам простенков, учитываемая при расчете на сейсмическое воздействие, не должна учитываться при расчете сечений на основное сочетание нагрузок.
6.14.15 В зданиях с несущими стенами в первых этажах, которые используют в качестве магазинов и других помещений, требующих большой свободной площади, следует применять железобетонные или стальные несущие конструкции.
6.14.16 Перемычки должны устраиваться, как правило, на всю толщину стены и заделываться в кладку на глубину не менее 350 мм. При ширине проема до 1,5 м заделка перемычек допускается на глубину 250 мм. В ненесущих (навесных) стенах заделка перемычек допускается на глубину 200 мм.
| | Применение на обязательной основе подраздела 6.15 обеспечивает соблюдение требований Федерального закона от 30.12.2009 N 384-ФЗ "Технический регламент о безопасности зданий и сооружений" (Постановление Правительства РФ от 26.12.2014 N 1521). | |
6.15.1 Деревянные здания в сейсмических районах допускается проектировать каркасными, панельными, брусчатыми и бревенчатыми
(СП 64.13330).
6.15.2 В каркасных и панельных зданиях сейсмическую нагрузку воспринимают вертикальные и горизонтальные элементы каркаса в сочетании с раскосами и обшивками.
6.15.3 Шаг стоек рекомендуется принимать не более 3 м. Каждая стойка должна крепиться к фундаменту анкерными болтами и иметь металлические связи с соответствующими им стойками по высоте здания и с элементами горизонтальных обвязок в уровне перекрытий.
6.15.4 Перекрытия каркасных зданий могут выполняться с балками из сплошных или клеевых брусьев, круглых или окантованных бревен. Перекрытия панельных зданий могут выполняться из панелей или отдельных балок. В уровне перекрытий каркасных и панельных зданий по всем несущим стенам должны быть устроены непрерывные обвязки. Элементы обвязки должны соединяться между собой по всему контуру, включая угловые стыки металлическими накладками на болтах или стяжками. Каждая балка перекрытия должна крепиться металлическими связями с балками примыкающего участка перекрытия и горизонтальными обвязками по контуру стен здания.
6.15.5 Жесткость стен и перекрытий каркасных и панельных зданий должна обеспечиваться раскосами, обшивкой из конструктивной фанеры или диагональной обшивкой из шпунтованных досок.
6.15.6 Конструкция панелей должна включать контурную обвязку из брусьев с раскосами и обшивки из конструктивной фанеры или диагональные обшивки из шпунтованных досок. Каждая панель должна по всем углам быть связана с примыкающими панелями, и горизонтальными обвязками в уровне перекрытий. Должны быть выполнены связи между вертикальными элементами обвязок панелей соседних этажей. Допускается конструктивно объединять связи панелей соседних этажей и их связи с обвязками в уровне перекрытий. Панели нижнего ряда должны быть связаны с фундаментом анкерными болтами. Допускается устанавливать один анкерный болт на две примыкающие стойки обрамления соседних панелей. Связи панелей между собой следует выполнять на болтах. Рекомендуется увеличивать жесткость панельных зданий креплением участка обшивки, выпущенной за контур обвязки панели стены или перекрытия к обвязке примыкающей панели.
6.15.7 Жесткость стен из брусьев или бревен должна обеспечиваться постановкой стальных нагелей или шипов из древесины твердых пород по всей площади стен в шахматном порядке не реже 70 см по длине, а также у углов и в пересечениях стен, на участках, примыкающих к оконным и дверным проемам.
6.15.8 Оконные и дверные проемы следует обрамлять жесткими вертикальными элементами, рассчитанными на восприятие сейсмических нагрузок из плоскости стены.
6.15.9 Венцы выше чердачного перекрытия, на которые должны опираться стропила, следует скреплять сквозными нагелями. Верхние венцы в углах и пересечениях следует объединять угловыми балками на врезках и сквозных нагелях.
6.15.10 В углах и пересечениях стен следует устанавливать сжимы в виде вертикальных стоек с обеих сторон, объединенных стяжными болтами с шагом по высоте не более 1,5 м. При этом отверстия под болты в сжимах следует выполнять продолговатыми, не препятствующими осадке срубов. Стойки рекомендуется выполнять неразрезными на всю высоту здания. Сжимы также должны ставить у проемов с пролетом более 1,5 м и на участках стен длиной более 6 м.
6.15.11 Пригонка венцов должна быть плотной. При сейсмичности 8 и 9 баллов следует применять врубку в полдерева с остатком не менее 25 см или без остатка с усилением углов плоскими уголками жесткости с прошивкой их гвоздями. В районах с расчетной сейсмичностью 7 баллов допускается врубка в полдерева с прошивкой двумя нагелями в узле по осям брусьев или впритык.
6.15.12 В рубленых домах балки перекрытия следует соединять со стенами врубкой, а в районах сейсмичностью 9 баллов балки перекрытий должны скрепляться стальными гнутыми металлическими полосами с креплением к балке болтами, а к стене нагелями.
6.15.13 В районах сейсмичностью 7 и 8 баллов в брусчатых и бревенчатых зданиях анкерные болты крепления обвязки по верху фундамента дополнительно следует устанавливать в углах и пересечениях стен, а при сейсмичности 9 баллов и в местах расположения сжимов. При этом, в целях обеспечения надежной связи стен с фундаментом, основные анкера должны пропускаться в обруб на 1 - 2 венца выше промежуточных дополнительных. Шаг основных анкеров следует принимать не более 1,5 м при сейсмичности 9 баллов и не более 2 м при сейсмичности 7 и 8 баллов.
6.15.14 Конструкции крыш следует принимать безраспорными, преимущественно с легкой кровлей. Жесткость конструкций крыш должна обеспечиваться установкой раскосов между стойками в обоих направлениях плана здания.
| | Применение на обязательной основе подразделов 6.16, 6.17 обеспечивает соблюдение требований Федерального закона от 30.12.2009 N 384-ФЗ "Технический регламент о безопасности зданий и сооружений" (Постановление Правительства РФ от 26.12.2014 N 1521). | |
6.16. Здания и сооружения из местных материалов
6.16.1 В городах и поселках строительство жилых домов со стенами из сырцового кирпича, самана, грунтоблоков не допускается.
6.16.2 В сельских населенных пунктах, размещаемых в районах сейсмичностью до 8 баллов, строительство одноэтажных зданий из материалов, перечисленных в 6.16.1, допускается при условии усиления стен деревянным антисептированным каркасом с диагональными связями.
6.17.1 Систему сейсмической изоляции зданий и сооружений следует размещать, как правило, между фундаментом и надземной частью здания. При соответствующем обосновании сейсмическую изоляцию допускается размещать в уровне любого надземного этажа.
6.17.2 Фундаменты сооружений должны проектировать в соответствии с требованиями норм на проектирование оснований и фундаментов (
СП 22.13330,
СП 24.13330).
6.17.3 Фундаменты под сейсмическими изоляторами могут быть ленточными, отдельно стоящими столбчатыми, плитными, сваями с ростверком и т.п. Отдельно стоящие столбчатые фундаменты должны быть соединены между собой жесткими связями.
6.17.4. Для обеспечения равномерного распределения горизонтальной и вертикальной сейсмических нагрузок, которым подвергаются изоляторы, над ними необходимо предусмотреть жесткую систему балок. Система верхних балок должна быть жестко связана с надземной частью сооружения. Возникновение крутящих моментов в конструктивных элементах системы верхних балок недопустимо.
6.17.5 Сейсмозащита может быть запроектирована с применением одного или нескольких перечисленных элементов или их комбинаций: изоляторов, демпфирующих устройств, устройств сопротивления ветровым нагрузкам, устройств по ограничению перемещений.
6.17.6 Места устройства систем изоляции в плане следует располагать равномерно с учетом конфигурации здания и распределения вертикальных нагрузок. Расстояния между сейсмическими изоляторами под несущими стенами должны быть, как правило, не более 3 м. Предпочтительно изоляторы устанавливать в одном уровне.
6.17.7 Минимальный зазор между сооружением с изоляцией и окружающими подпорными стенами или другими сооружениями должен быть не менее максимального расчетного перемещения части здания, находящегося над сейсмической изоляцией.
6.17.8 При устройстве нескольких изоляторов на одном опорном элементе расстояние между двумя изоляторами должно обеспечивать их установку и замену.
6.17.9 Устройства сопротивления ветровой нагрузке, установленные в изоляционном слое, должны быть расположены по периметру здания симметрично и равномерно.
6.17.10 Следует обеспечивать надежные соединения устройств сейсмоизоляции с надземными конструкциями и фундаментом, а также проведение конструктивных мероприятий, обеспечивающих восприятие расчетных усилий в узлах.
6.17.11 Для обеспечения перемещений между изолированной частью сооружения и фундаментной частью в любом направлении без каких-либо повреждений элементов конструкций, в служебные коммуникации, т.е. трубопроводы и кабели, необходимо включать гибкие соединения и компенсаторы в уровне сейсмоизоляции.
6.17.12 Следует обеспечивать доступ персонала для контроля и замены всех элементов системы изоляции.
6.17.14 Для сооружений с сейсмоизоляцией должна быть разработана инструкция для периодического мониторинга, контроля и эксплуатации системы сейсмоизоляции, которая должна храниться в жилищно-эксплуатационной конторе.
6.18.1 Утратил силу с 25.11.2018. -
Приказ Минстроя России от 24.05.2018 N 309/пр.
| | Применение на обязательной основе пункта 6.18.2 обеспечивает соблюдение требований Федерального закона от 30.12.2009 N 384-ФЗ "Технический регламент о безопасности зданий и сооружений" (Постановление Правительства РФ от 26.12.2014 N 1521). | |
6.18.2 При проектировании зданий и сооружений в сейсмических районах следует проверять расчетом или экспериментально крепление высокого и тяжелого оборудования к несущим конструкциям зданий и сооружений, а также учитывать сейсмические усилия, возникающие при этом в несущих конструкциях.
6.19. Восстановление и усиление конструкций
Подраздел 6.19 утратил силу с 25.11.2018. -
Приказ Минстроя России от 24.05.2018 N 309/пр.
| | Применение на обязательной основе раздела 7 (за исключением пункта 7.4.1) обеспечивает соблюдение требований Федерального закона от 30.12.2009 N 384-ФЗ "Технический регламент о безопасности зданий и сооружений" (Постановление Правительства РФ от 26.12.2014 N 1521). | |
7. Транспортные сооружения
7.1.1* Положения настоящего раздела распространяются на строительство железных дорог категорий I - IV, автомобильных дорог категорий I - IV, IIIп и IVп, метрополитенов, скоростных городских дорог и магистральных улиц, пролегающих в районах с расчетной сейсмичностью 6 - 9 баллов, а также зданий и сооружений речного, морского и воздушного транспортов.
На площадках, сейсмичность которых превышает 9 баллов, возводить транспортные сооружения, как правило, не допускается. Проектирование и строительство транспортных сооружений на таких площадках осуществляются в соответствии с требованиями
[5].
Примечания
1 Сейсмичность района строительства определяют по картам общего сейсмического районирования ОСР-2015 или по списку населенных пунктов, расположенных в сейсмических районах
(Приложение А*).
2 В районах сейсмичностью 6 баллов антисейсмические мероприятия при проектировании объектов транспортного строительства предусматриваются на участках сейсмичностью 7 и более баллов, определяемой на основании данных общих инженерно-геологических изысканий и геофизических исследований, выполняемых с учетом специфики строительства транспортных сооружений.
3 При проектировании сооружений на железных дорогах категории V и на железнодорожных путях промышленных предприятий сейсмические нагрузки допускается не учитывать, если отказ этих сооружений при землетрясении не влечет за собой тяжелых социальных, экономических и экологических последствий. Решение об исключении антисейсмических мероприятий при новом строительстве, реконструкции и капитальном ремонте объекта должно быть принято заказчиком.
4 Производственные, складские и другие здания транспортного назначения, а также причалы и транспортные гидротехнические сооружения следует проектировать с учетом требований к конструкциям, расчетам на сейсмостойкость и противопожарным мероприятиям, изложенным в
разделах 5,
6,
8 и
9.
5 Методика по уточнению исходной сейсмичности и сейсмическому микрорайонированию приведена в
Приложении Г.
7.1.2* Расчетную сейсмичность площадки для объектов транспортного строительства устанавливают в зависимости от классификации сооружений по ответственности
(таблица 10) по картам ОСР-2015 с поправками на вариации сейсмичности в пределах сейсмоопасных районов целочисленной балльности, а также на местные инженерно-геологические и геоморфологические условия.
Примечание - Решение о выборе уровня антисейсмической защиты (уровня ответственности объекта), не указанного в таблице 10, принимает заказчик по представлению генерального проектировщика.
Таблица 10
Классификация объектов транспортного
комплекса по ответственности
Уровень ответственности | Назначение сооружения |
Уровень 1а - особо высокий уровень ответственности | Наиболее крупные и капиталоемкие объекты транспортного комплекса на железных и автомобильных дорогах категорий I и II, на скоростных городских дорогах, линиях метрополитена и скоростного монорельсового транспорта: виадуки с опорами высотой более 50 м; мосты, эстакады, тоннели и галереи длиной более 500 м, многоярусные транспортные развязки с организацией движения в трех и более уровнях. Висячие и вантовые мосты через большие реки, морские проливы и заливы с пролетами сооружений более 300 м на дорогах всех категорий. Транспортные здания, относящиеся к выдающимся памятникам архитектуры, административные здания, в которых размещаются службы и средства управления работой крупных транспортных узлов и сетями дорог в регионах. Здания терминалов в аэропортах с годовым объемом перевозок более 10 млн чел, включая прилетающих, улетающих и транзитных пассажиров. Здания железнодорожных и морских вокзалов вместимостью более 1500 пассажиров. Причальные сооружения морских и речных портов при объеме грузооборота в навигацию свыше 6 млн тонн сухогрузов (свыше 12 млн тонн наливных грузов) или свыше 800 судозаходов |
Уровень 1б - высокий уровень ответственности | Балочные, арочные и рамные мосты с пролетами более 200 м через водотоки, виадуки, эстакады, путепроводы, транспортные развязки, тоннели и галереи, подпорные стены, трубы под насыпями, пешеходные мосты и тоннели, пассажирские платформы, насыпи и выемки, сооружаемые на железных и автомобильных дорогах категорий I и II, а также на скоростных городских дорогах, магистральных улицах (проспектах) общегородского значения, линиях метрополитена и скоростного монорельсового транспорта. Опоры контактной сети и здания тяговых подстанций на железных дорогах категорий I и II. Здания терминалов в аэропортах с годовым объемом перевозок от 4 до 10 млн чел. Здания железнодорожных, морских и речных вокзалов вместимостью 500 - 1500 пассажиров. Здания автобусных вокзалов для обслуживания 1000 и более пассажиров дальнего следования в сутки. Причальные сооружения морских и речных портов при объеме грузооборота в навигацию от 1,5 до 6 млн тонн сухогрузов (от 6 до 12 млн тонн наливных грузов) или от 600 до 800 судозаходов. Взлетно-посадочные полосы аэродромов |
Уровень 2 - нормальный уровень ответственности | Мосты через водотоки, виадуки, эстакады, путепроводы, транспортные развязки, тоннели и галереи, подпорные стены, трубы под насыпями, пассажирские платформы, пешеходные мосты и тоннели, насыпи и выемки, сооружаемые на железных и автомобильных дорогах категорий III и IV, а также на магистральных городских дорогах (улицах) районного значения. Опоры контактной сети и здания тяговых подстанций на железных дорогах категорий III и IV. Здания терминалов в аэропортах с годовым объемом перевозок до 4 млн чел. Здания железнодорожных, морских и речных вокзалов вместимостью до 500 пассажиров. Здания автобусных вокзалов для обслуживания до 1000 пассажиров дальнего следования в сутки. Подземные гаражи и парковки. Причальные сооружения морских и речных портов при объеме грузооборота в навигацию менее 1,5 млн тонн сухогрузов (менее 6 млн тонн наливных грузов) или менее 600 судозаходов |
7.1.3 В проектах зданий и сооружений транспортного назначения антисейсмические мероприятия должны предусматриваться при расчетной сейсмичности 7, 8 и 9 баллов.
7.2.1 При изысканиях железных и автомобильных дорог в условиях горного и предгорного рельефа на участках с проявлениями опасных геологических процессов (скальных обвалов, оползней, лавин, разжижения грунта) следует выбирать положение трассы по результатам технико-экономического сравнения вариантов обхода этих участков в плане и в профиле и варианта возведения защитных сооружений (тоннелей, галерей, улавливающих стен и др.).
7.2.2 Трассирование железных и автомобильных дорог вдоль берегов морей, подверженных затоплению сейсмическими морскими волнами (цунами), должно выполняться с учетом варианта размещения трассы на безопасном расстоянии от уреза воды и варианта осуществления мер по защите транспортных сооружений от цунами.
7.2.3 Выбор трассы дорог должен проводиться с учетом максимально возможного удаления больших мостов и тоннелей от мест выхода на поверхность активных тектонических разломов.
7.2.4 При трассировании дорог в селеопасных горных долинах необходимо располагать трассу выше возможного уровня селевых потоков с устройством искусственных сооружений для пропуска над дорогой селевых потоков, спускающихся в долину из поперечных логов.
7.3.1 При расчетной сейсмичности 9 баллов и высоте насыпей (глубине выемок) более 4 м откосы земляного полотна из нескальных грунтов должны быть, как правило, на 1:0,25 положе откосов, проектируемых для несейсмических районов. Откосы крутизной 1:2,25 и менее крутые допускается проектировать по нормам для несейсмических районов.
Откосы выемок и полувыемок, расположенных в скальных грунтах, а также откосы насыпей из крупнообломочных грунтов, содержащих заполнитель менее 20% по массе, допускается проектировать по нормам для несейсмических районов.
7.3.2 При устройстве насыпей на участках, сложенных илом, торфом, текучепластичными глинистыми грунтами, слабые грунты должны заменять или укреплять цементацией.
7.3.3 На подходах к мостам насыпи на слабых основаниях, в том числе сложенных склонными к разжижению водонасыщенными мелкими и пылеватыми песками, в проектах допускается заменять береговыми пролетами моста или передавать нагрузку от массы насыпи на свайное основание с погружением нижних концов свай в слой прочного грунта, подстилающего слабые покровные отложения.
7.3.4 При устройстве насыпей на участках периодически действующих водотоков не допускается засыпка тальвега глинистыми грунтами, а также склонными к разжижению песчаными грунтами с размещением водопропускной трубы на борту лога.
7.3.5 В случае применения для устройства насыпи разных грунтов отсыпку следует проводить с постепенным переходом от тяжелых грунтов в основании к более легким грунтам вверху насыпи.
7.3.6 При устройстве земляного полотна на косогорах основную площадку, как правило, следует размещать полностью на полке, врезанной в склон, или целиком на прислоненной насыпи. Протяженность переходных участков должна быть минимальной.
7.3.7 При проектировании земляного полотна на скально-обвальном косогоре следует предусматривать мероприятия по защите пути железной дороги (проезжей части автомобильной дороги) от обвалов. В качестве защитных мероприятий при расчетной сейсмичности 7 и более баллов следует предусматривать устройство заанкеренной в склон защитной металлической сетки, закрепление поверхности склона бетонным покрытием, устройство между основной площадкой и склоном траншеи или стены с размерами, достаточными для улавливания обваливающегося со склона (откоса) грунта. Улавливающие траншеи и стены должны устраиваться также в выемках, откосы которых сложены неустойчивыми при землетрясениях грунтами.
7.3.8 При расчетной сейсмичности 7 и более баллов низовые откосы дорожных насыпей, расположенных на косогорах круче 1:2 следует укреплять подпорными стенами.
7.4. Верхнее строение пути и дорожная одежда
7.4.1 Утратил силу с 25.11.2018. -
Приказ Минстроя России от 24.05.2018 N 309/пр.
7.4.2 Дорожная одежда и обочины автомобильных и городских дорог в районах сейсмичностью 8 и 9 баллов должны сохранять свои эксплуатационные свойства, позволяющие осуществлять движение автомобилей с установленной скоростью и грузоподъемностью в любое время года, включая весеннее половодье, и период выпадения ливневых дождей с целью обеспечения в необходимом объеме аварийно-спасательных работ и возможной эвакуации населения из района разрушительного землетрясения.
7.5.1 При выборе места мостового перехода через широкое водное препятствие или глубокое ущелье наилучшим по геологическим условиям следует считать створ, расположенный вне зоны активного тектонического разлома, на участках речной долины или ущелья с устойчивыми склонами и возможностью опирания фундаментов опор на прочные малосжимаемые грунты.
7.5.2 В тех случаях, когда мост необходимо построить в створе, пересекаемом активным тектоническим разломом или руслом селеопасной горной реки, в проекте моста должны быть учтены возможные подвижки по разлому, а опоры моста вынесены за пределы зоны тектонического дробления горных пород и расположены выше уровня селевого потока.
7.5.3 В проектах мостов, сооружаемых в устьях рек на цунамиопасных побережьях морей необходимо предусматривать пропуск волны цунами (бора) под мостом. Опоры таких мостов необходимо рассчитывать на гидродинамическое давление волны цунами, а низ пролетных строений должен возвышаться на 0,5 м над уровнем бора.
7.5.4 В выбранном створе следует применять такую систему моста и схему его разбивки на пролеты, которые в наибольшей степени соответствуют сейсмотектонической, инженерно-геологической, геоморфологической и гидродинамической обстановке.
7.5.5 В сейсмических районах следует проектировать преимущественно мосты с балочными разрезными и неразрезными пролетными строениями, мосты рамной системы, а также арочные мосты с шарнирным опиранием пролетных строений на опоры, в том числе арочные мосты со сводами из гофрированных металлических листов, висячие и вантовые мосты. Для устройства опор и перекрытия пролетов предпочтительны конструкции наименьшей массы, способные к значительным деформациям на стадии, предшествующей разрушению.
7.5.6 Арочные и рамные железобетонные бесшарнирные мосты допускается применять только при наличии скального основания. Пяты сводов, арок и стоек рам следует опирать на массивные опоры и располагать на возможно более низком уровне. Надарочное строение следует проектировать сквозным.
7.5.7 При расчетной сейсмичности 7 и более баллов арочные своды мостов и путепроводов, собираемые из металлических гофрированных листов, должны проверять на прочность и устойчивость при землетрясении. Грунт насыпей подходов и засыпки сводов должен подбираться по гранулометрическому составу и уплотняться таким образом, чтобы не терять устойчивость (не разжижаться) и сохранять требуемые по расчету деформационные свойства при сейсмическом воздействии. При необходимости грунт должен армироваться геосинтетическим материалом.
7.5.8 Опоры сводов из металлических гофрированных листов должны опираться на малосжимаемый грунт в случае применения фундаментов мелкого заложения или на свайные фундаменты при залегании в верхней части инженерно-геологического разреза слабых покровных отложений.
7.5.9 Пролетные строения мостов должны быть закреплены на опорах так, чтобы обеспечивать устойчивость их проектного положения при расчетном сейсмическом воздействии. Антисейсмическое закрепление пролетных строений, кроме пролетных строений арочных и рамных железобетонных бесшарнирных мостов, следует осуществлять с помощью сейсмостойких опорных частей. В случае применения обычных опорных частей для антисейсмического закрепления пролетных строений должны применять специальные антисейсмические устройства.
7.5.10 Сейсмостойкие продольно-неподвижные опорные части должны обеспечивать передачу с пролетных строений на опоры сейсмической нагрузки, действующей в продольном к оси моста направлении. Сейсмостойкие продольно-подвижные опорные части и деформационные швы должны допускать беспрепятственные перемещения подвижного конца пролетного строения во время землетрясения. Прочность поперечно-неподвижных опорных частей в сейсмостойком исполнении должна быть достаточной для передачи с пролетных строений на опоры сейсмической нагрузки, действующей в поперечном к оси моста направлении.
7.5.11 При расчетной сейсмичности 9 баллов сейсмостойкие опорные части должны воспринимать отрицательные вертикальные опорные реакции, не допуская подбрасывания пролетных строений при землетрясении.
7.5.12 Антисейсмические устройства следует применять с целью:
передачи с пролетных строений на опоры горизонтальных (направленных вдоль и поперек оси моста) и вертикальной сейсмических нагрузок;
предотвращения заклинивания подвижных опорных частей, разрушения деформационных швов;
амортизации взаимных ударов смежных секций моста, разделенных деформационными швами;
удержания пролетных строений от падения на грунт при увеличении расстояний между опорами во время землетрясения;
перераспределения сейсмической нагрузки от массы неразрезного пролетного строения между опорами;
поглощения энергии колебаний моста;
снижения сейсмических нагрузок на сооружения.
7.5.13 При расчетной сейсмичности 9 баллов следует применять монолитные, сборно-монолитные и сборные железобетонные или сборные металлические конструкции опор.
Надводные (надземные) части промежуточных опор допускается проектировать облегченного типа в виде железобетонных (стальных) рамных конструкций и железобетонных конструкций столбчатого типа, в том числе пустотелых предварительно напряженных с железобетонными оголовками.
7.5.14 При расчетной сейсмичности до 8 баллов включительно допускается применять массивные бетонные опоры с дополнительными антисейсмическими конструктивными элементами (армированием).
7.5.15 При проектировании сборно-монолитных бетонных опор из контурных блоков с монолитным ядром необходимо предусматривать армирование ядра конструктивной арматурой, заделанной в фундамент и в подферменную плиту, а также объединение контурных блоков с ядром с помощью выпусков арматуры или другими способами, обеспечивающими надежное закрепление сборных элементов.
7.5.16 При расчетной сейсмичности 9 баллов в проектах мостов с балочными разрезными пролетными строениями длиной более 18 м следует предусматривать сцепные антисейсмические устройства для предотвращения падения пролетных строений с опор.
7.5.17 При расчетной сейсмичности 9 баллов размеры подферменной плиты в балочных мостах с разрезными пролетными строениями длиной l > 50 м следует назначать такими, чтобы в плане расстояние вдоль оси моста от края площадок для установки опорных частей до граней подферменной плиты было не менее 0,005l.
7.5.18 На площадках, сложенных вечномерзлыми грунтами, фундаменты мостовых опор допускается проектировать на грунтах, используемых в качестве основания по принципу I. Если грунты немерзлые или используются по принципу II, то следует предусматривать опирание подошвы фундаментов мелкого заложения или нижних концов свай, столбов и оболочек преимущественно на скальные или крупнообломочные грунты, гравелистые плотные пески, глинистые грунты твердой и полутвердой консистенции.
Опирание нижних концов свай, столбов и оболочек на оттаивающие песчаные грунты с льдистостью за счет ледяных включений более 0,01 или глинистые грунты с показателем консистенции более 0,5 не допускается.
7.5.19 При расчетной сейсмичности 9 баллов стойки опорных поперечных рам мостов на нескальных основаниях должны иметь общий фундамент мелкого заложения или опираться на плиту, объединяющую головы всех свай (столбов, оболочек).
7.5.20 Подошва фундаментов мелкого заложения должна быть горизонтальной. Фундаменты с уступами допускаются только при скальном основании.
7.5.21 Свайные опоры и фундаменты опор с плитой, расположенной над грунтом, средних и больших мостов следует проектировать, применяя наклонные сваи сечением до 400 x 400 мм или диаметром до 600 мм. Фундаменты и опоры средних и больших мостов допускается проектировать также с вертикальными сваями сечением не менее 600 x 600 мм или диаметром не менее 800 мм независимо от положения плиты ростверка и с вертикальными сваями сечением не менее 400 x 400 мм или диаметром не менее 600 мм в случае, если плиту ростверка заглубляют в грунт.
7.6. Расчеты мостов на сейсмостойкость
7.6.1 Расчет мостов с учетом сейсмических нагрузок следует выполнять на прочность и устойчивость несущих конструкций, а также по несущей способности грунтовых оснований фундаментов мостовых опор и по предельным относительным линейным и угловым перемещениям в плане смежных секций моста, разделенных деформационным швом.
7.6.2 При разработке мер антисейсмической защиты мостов следует учитывать постоянные нагрузки (воздействия), нагрузки от подвижного состава, включая силы торможения, силы трения в подвижных опорных частях и сейсмические нагрузки. Расчет мостов с учетом сейсмического воздействия следует выполнять как при наличии подвижного состава, так и при отсутствии его на мосту.
Примечания
1 Совместное действие сейсмических нагрузок и нагрузок от подвижного состава не следует учитывать при расчете железнодорожных мостов, проектируемых на дорогах категории V, на внешних подъездных путях и на внутренних путях промышленных предприятий (за исключением случаев, оговоренных в задании на проектирование), мостов, проектируемых на автомобильных дорогах категории V, а также на автомобильных дорогах промышленных и других предприятий.
2 Сейсмические нагрузки не следует учитывать совместно с нагрузками от транспортеров и от ударов подвижного состава при расчете железнодорожных мостов, а также с нагрузками от тяжелых одиночных четырехосных транспортных единиц по схеме НК, нагрузками от торможения и от ударов подвижного состава при расчете автодорожных и городских мостов.
7.6.3 При расчете мостов с учетом сейсмических воздействий коэффициент сочетания

следует принимать равным:
1,0 - для постоянных нагрузок и воздействий, сейсмических нагрузок, учитываемых совместно с постоянными нагрузками, а также с воздействием трения от постоянных нагрузок в подвижных опорных частях;
0,8 - для сейсмических нагрузок, действие которых учитывают совместно с нагрузками от подвижного состава железных и автомобильных дорог;
0,7 - для нагрузок от подвижного состава железных дорог;
0,5 - для нагрузок от подвижного состава автомобильных и городских дорог.
7.6.4 При расчете конструкций мостов на устойчивость и пролетных строений длиной более 18 м на прочность следует учитывать сейсмические нагрузки, вызванные вертикальной и одной из горизонтальных составляющих колебаний грунта. Для мостов нормальной и повышенной сейсмостойкости сейсмическую нагрузку, вызванную вертикальной составляющей колебаний грунта, следует умножать на коэффициент 0,5. При проектировании сооружений особой сейсмостойкости поправочный коэффициент к нагрузке от вертикальных колебаний грунта определяют по данным инженерно-сейсмологических исследований. При прочих расчетах конструкций мостов сейсмическую нагрузку от вертикальной составляющей колебаний грунта допускается не учитывать. Сейсмические нагрузки, вызванные горизонтальными составляющими колебаний грунта, направленными вдоль и поперек оси моста, следует рассматривать раздельно.
7.6.5 При расчете мостов сейсмические нагрузки следует учитывать в виде возникающих при колебаниях оснований опор сил инерции частей моста и подвижного состава, а также в виде сил инерции от присоединенной к опорам массы воды и сейсмического давления грунта. При определении сейсмических нагрузок, действующих вдоль оси моста, масса железнодорожного состава не учитывается.
7.6.6 Сейсмические нагрузки от масс объектов нормальной и повышенной категорий ответственности определяют спектрально-модальным методом с учетом упругих деформаций конструкций, а также податливости рессор железнодорожного состава. Применяемые при вычислении сил инерции динамические дискретные схемы составляют для моста в целом или для отдельных частей моста, являющихся самостоятельными колебательными системами. В обоснованных случаях допускается выполнять расчет по упрощенным схемам, учитывающим симметрию, однородность и другие структурные особенности конкретного сооружения.
7.6.7 Расчетную сейсмическую нагрузку, приложенную в точке k и соответствующую i-му тону собственных колебаний системы, определяют по формуле

, (13)
где

- коэффициент, учитывающий влияние на сейсмическую нагрузку снижения жесткости сооружения и увеличение рассеяния энергии колебаний из-за появления трещин и пластических деформаций в конструкциях моста, значения которого следует принимать равным 0,25; 0,37; 0,50 для мостов уровней ответственности 1а, 1б, 2 соответственно;
A - значение ускорения в уровне основания, принимаемое равным 1,0; 2,0; 4,0 м/с2 для расчетной сейсмичности 7, 8, 9 баллов, соответственно;

- коэффициент динамичности, соответствующий i-й форме собственных колебаний зданий или сооружений, принимаемый в соответствии с
5.6;

- коэффициент, зависящий от формы деформации моста при его собственных колебаниях по i-й форме, от узловой точки приложения рассчитываемой нагрузки и направления сейсмического воздействия, определяемый по
5.8;

- масса сооружения, отнесенная к точке k, определяемая с учетом транспортных нагрузок и присоединенной к опорам массы воды;

- коэффициент, учитывающий отклонение декремента упругих колебаний объекта от стандартного значения; для мостов, как правило, принимают равным 1,0.
Примечание - Для мостов, оборудованных гасителями колебаний, пилонов висячих (вантовых) мостов, стальных пролетных строений с незначительным декрементом упругих колебаний допускается принимать коэффициент

на основании данных специального расчета, но не менее 0,7 и не более 1,5.
7.6.8 Промежуточные опоры мостов, расположенные в водоемах, следует рассчитывать с учетом сейсмического давления воды, если глубина водоема у опоры в межень превышает 5 м.
7.6.9 Сейсмическое давление воды находят как инерционную нагрузку от присоединенной к опоре массы воды. При определении глубины водоема у опоры поверхность дна принимают без учета воронки местного размыва.
7.6.10 Расчетные значения поперечных и продольного усилий, изгибающих и крутящего моментов, нормальных и касательных напряжений

в конструкциях от сейсмической нагрузки при условии ее статического действия на мост, а также расчетные значения перемещений следует определять по
формуле (8).
7.6.11 Устои мостов следует рассчитывать с учетом сейсмического давления грунта насыпей подходов, которое находят по формуле Кулона с учетом сил инерции в грунте насыпи и изменения угла внутреннего трения грунта при сейсмическом воздействии.
При расчетной сейсмичности 7, 8 и 9 баллов уменьшение угла внутреннего трения принимают равным 1,5°, 3° и 6°, соответственно. При дробном значении расчетной сейсмичности уменьшение угла внутреннего трения находят интерполяцией.
7.6.12 Расчет конструкций мостов на устойчивость против опрокидывания и сдвига с учетом сейсмического воздействия следует выполнять с учетом требований
СП 35.13330.
7.6.13 При расчете на прочность анкерных болтов, закрепляющих на опорных площадках от сдвига сейсмическими силами опорные части пролетных строений, следует принимать коэффициент надежности

.
7.6.14 При расчетной сейсмичности 9 баллов усилия в анкерах, удерживающих от подбрасывания опорные узлы пролетных строений, следует принимать не менее 10% опорной вертикальной реакции от собственного веса пролетного строения.
7.6.15 При расчете на прочность бетонных, железобетонных и стальных конструкций, а также при расчете на устойчивость формы стальных элементов, кратковременность действия сейсмической нагрузки следует учитывать с помощью дополнительного коэффициента условий работы

, регламентированного настоящими нормами.
7.6.16 Предварительно напряженные железобетонные конструкции опор и пролетных строений следует проектировать таким образом, чтобы усилие, соответствующее пределу прочности рассматриваемого сечения, было больше усилия, вызывающего образование трещин, не менее чем на 25%.
7.6.17 Амплитуду колебаний секций моста при сейсмическом воздействии следует определять как сумму амплитуд колебаний оснований, опор и пролетных строений. При определении деформированного состояния моста следует учитывать снижение жесткости железобетонных конструкций за счет образования трещин и неупругих деформаций бетона.
7.6.18 При проектировании фундаментов мелкого заложения эксцентриситет

равнодействующей активных сил относительно центра тяжести сечения по подошве фундаментов ограничивается следующими пределами:

- в сечениях по подошве фундаментов, заложенных на нескальном грунте;

- в сечениях по подошве фундаментов, заложенных на скальном грунте; где R - радиус ядра сечения по подошве фундамента со стороны более нагруженного края сечения.
7.7.1 При расчетной сейсмичности более 8 баллов следует преимущественно применять железобетонные фундаментные трубы со звеньями замкнутого контура, полукруглые арочные трубы из сборных металлических гофрированных листов с высотой свода до 1,5 м и с фундаментом в виде железобетонной плиты, уложенной на уплотненный слой крупнообломочного грунта или другое малосжимаемое основание, а также бесфундаментные круглые трубы диаметром до 1,5 м, собираемые из металлических гофрированных листов.
7.7.2 При расчетной сейсмичности до 8 баллов включительно могут применяться бетонные прямоугольные фундаментные трубы с плоскими железобетонными перекрытиями, а также бесфундаментные металлические гофрированные трубы замкнутого контура, включая круглые цельновитые трубы.
7.7.3 В случаях применения бетонных труб их стены и фундаменты следует армировать конструктивной арматурой, обеспечивая совместную работу стен и фундамента трубы с помощью выпусков арматуры. При устройстве раздельных фундаментов между ними располагают распорки.
7.7.4 Устойчивость металлических оболочек гофрированных труб должна быть обеспечена уплотнением грунта насыпи, выбором необходимого сортамента гофрированных листов, армированием при необходимости насыпного грунта геосинтетическим материалом.
7.7.5 При устройстве трубы на борту лога следует засыпать тальвег дренирующим крупнообломочным грунтом, не допуская разжижения основания и нижних слоев насыпи при землетрясении.
7.7.6 При замене малого моста трубой не допускается снижение расчетного расхода воды водопропускным сооружением.
7.7.7 В сейсмических районах не допускается увеличивать вероятность превышения расчетных расходов воды трубами под насыпями и малыми мостами за счет учета развитости сети автомобильных дорог.
7.8.1 При расчетной сейсмичности более 8 баллов подпорные стены должны преимущественно выполнять из железобетона, шпунта с шапочным брусом, соединенным металлическими тяжами с анкерными опорами или грунтовыми анкерами, или из буронабивных свай, объединенных поверху железобетонной насадкой. Допустимая высота стен определяется расчетом с учетом повышенного давления грунта при землетрясении.
7.8.2 При ограниченной высоте стен допускаются к применению конструкции из бетона, бутобетона, каменной кладки на растворе и сетчатых габионов. Высота стен, считая от подошвы фундаментов, должна быть не более:
а) стены из бетона:
12 м - при расчетной сейсмичности до 8 баллов включительно;
10 м - при расчетной сейсмичности более 8 баллов;
б) стены из бутобетона и каменной кладки на растворе:
10 м - при расчетной сейсмичности до 8 баллов включительно;
8 м - при расчетной сейсмичности более 8 баллов;
в) стены из сетчатых габионов, заанкеренных в грунт дорожной насыпи:
8 м - при расчетной сейсмичности до 8 баллов включительно;
6 м - при расчетной сейсмичности более 8 баллов.
7.8.3 Подпорные стены следует разделять по длине вертикальными деформационными швами на секции с учетом размещения подошвы каждой секции на однородных грунтах. Длина секции должна быть не более 15 м.
7.8.4 При расположении оснований смежных секций подпорной стены в разных уровнях переход от одной отметки основания к другой должен быть в виде уступов с отношением высоты уступа к его длине 1:2.
7.8.5 Применение подпорных стен из бетона, бутобетона и каменной кладки на растворе в виде обратных сводов не допускается.
7.9.1 При выборе трассы тоннельного перехода необходимо, как правило, предусматривать заложение тоннеля вне зон тектонических разломов в однородных по сейсмической жесткости грунтах. При прочих равных условиях следует отдавать предпочтение вариантам с более глубоким заложением тоннеля.
7.9.2 Для участков пересечения тоннелем тектонических разломов, по которым возможна подвижка массива горных пород, при соответствующем технико-экономическом обосновании необходимо предусматривать увеличение площади сечения тоннеля.
7.9.3 При расчетной сейсмичности 8 и более баллов обделку тоннелей следует проектировать замкнутой. Для тоннелей, сооружаемых открытым способом, следует применять цельносекционные сборные элементы. При расчетной сейсмичности менее 8 баллов обделку горного тоннеля допускается выполнять из набрызг-бетона в сочетании с анкерным креплением.
7.9.4 Порталы тоннелей и лобовые подпорные стены следует проектировать, как правило, железобетонными. При расчетной сейсмичности до 8 баллов включительно допускается применение бетонных порталов.
7.9.5 Для компенсации продольных деформаций обделки следует устраивать антисейсмические деформационные швы, конструкцией которых должна быть предусмотрена возможность смещения элементов обделки и сохранения гидроизоляции.
7.9.6 В местах примыкания к основному тоннелю камер и вспомогательных тоннелей (вентиляционных, дренажных и пр.) следует устанавливать антисейсмические деформационные швы.
7.9.7 Транспортные и пешеходные тоннели в дорожных насыпях допускается сооружать из металлических гофрированных оболочек открытого или замкнутого контура поперечного сечения с опиранием их на малосжимаемый грунт, фундаменты мелкого или глубокого заложения. Прочность и устойчивость оболочек должны быть проверены расчетом, обеспечивая необходимые характеристики грунта насыпи, уплотняя и армируя геосинтетическим материалом. Прочность и устойчивость оболочек обеспечивают подбором соответствующего сортамента гофрированных листов, а также усилением свода стальными элементами или бетонным покрытием.
8. Гидротехнические сооружения
| | Применение на обязательной основе подразделов 8.1, 8.2 обеспечивает соблюдение требований Федерального закона от 30.12.2009 N 384-ФЗ "Технический регламент о безопасности зданий и сооружений" (Постановление Правительства РФ от 26.12.2014 N 1521). | |
Настоящий раздел свода правил распространяется на проектирование вновь строящихся, расширяемых и реконструируемых напорных и безнапорных гидротехнических сооружений в сейсмических районах.
Требования свода правил следует выполнять также при строительстве, вводе в эксплуатацию, эксплуатации, обследовании реального состояния, декларировании безопасности, страховании, восстановлении, консервации и ликвидации гидротехнических сооружений.
8.2. Общие положения; определение нормативной, исходной и расчетной сейсмичности
8.2.1* Настоящий раздел свода правил устанавливает специальные требования для гидротехнических сооружений, размещаемых или расположенных в районах с нормативной сейсмичностью

, равной 6 баллам и более (по
карте C ОСР-2015).
8.2.2 Для обеспечения сейсмостойкости проектируемых, строящихся и эксплуатируемых гидротехнических сооружений требуется:
проведение на стадии проектирования водоподпорных сооружений классов I и II и морских нефтегазопромысловых сооружений специальных исследований с задачей установления исходной и расчетной сейсмичности площадки строительства, наличия опасных процессов и явлений, связанных с сейсмичностью, определения расчетных сейсмических воздействий, получение при необходимости набора акселерограмм для этих воздействий;
выполнение комплекса расчетов по оценке прочности и устойчивости сооружений и их элементов с учетом взаимодействия сооружений с основанием и водохранилищем;
применение конструктивных решений и материалов, повышающих сейсмостойкость сооружений;
включение в проекты водоподпорных сооружений классов I и II специального раздела о проведении в процессе эксплуатации сооружения слежения за опасными геодинамическими явлениями, в том числе - землетрясениями;
обследование состояния гидротехнических сооружений и их оснований после каждого перенесенного землетрясения интенсивностью на площадке сооружения 5 баллов и более.
8.2.3 Все гидротехнические сооружения должны рассчитываться на два уровня сейсмических воздействий: максимальное расчетное землетрясение (МРЗ) и проектное землетрясение (ПЗ).
Гидротехнические сооружения должны воспринимать МРЗ без угрозы собственного разрушения, в том числе водоподпорные сооружения в составе напорного фронта (ВСФ) всех классов - без угрозы прорыва напорного фронта, а морские нефтегазопромысловые сооружения (МНГС) - без угрозы собственного разрушения и без угрозы повреждений, приводящих к выбросу в окружающую среду углеводородов. При этом допускаются любые иные повреждения сооружения и основания, включая повреждения, нарушающие нормальную эксплуатацию объекта.
Сейсмические воздействия уровня ПЗ должны восприниматься гидротехническими сооружениями без угрозы для жизни и здоровья людей и с сохранением собственной ремонтопригодности (для ВСФ - при любом предусмотренном правилами эксплуатации уровне верхнего бьефа). При этом допускаются остаточные смещения, деформации, трещины и иные повреждения, не нарушающие нормальную эксплуатацию объекта.
8.2.4* При проектировании гидротехнических сооружений для определения нормативной сейсмичности района строительства надлежит применять действующую систему карт общего сейсмического районирования или списки населенных пунктов РФ, расположенных в сейсмических районах
(Приложение А*). При этом
карту C ОСР-2015 - при расчете на МРЗ водоподпорных сооружений классов I, II и III, карту B ОСР-2015 - при расчете на МРЗ водоподпорных сооружений класса IV и безнапорных гидротехнических сооружений и
карту A ОСР-2015 - при расчете на ПЗ всех гидротехнических сооружений.
8.2.5* Исходную сейсмичность

площадки ВСФ классов I и II и МНГС для МРЗ и ПЗ следует определять по результатам детального сейсмического районирования (ДСР) или уточнения исходной сейсмичности (УИС). При этом должна составляться также сейсмотектоническая модель сейсмического района расположения объекта, включающая в себя карту и характеристики основных зон возможных очагов землетрясений (ВОЗ), а также сведения о наличии или отсутствии активных разломов и возможности склоновых смещений большого объема и их параметрах.
Исходную сейсмичность остальных гидротехнических сооружений допускается принимать равной:
при расчете на МРЗ:
для ВСФ класса IV и безнапорных гидротехнических сооружений - значению величины
(карта B ОСР-2015);
при расчете на ПЗ для всех сооружений:
В случаях, когда нормативная сейсмичность района на соответствующих картах ОСР-2015
(п. 8.2.8) превышает 9 баллов, исходная сейсмичность площадки строительства независимо от вида и класса гидротехнического сооружения должна определяться на основе ДСР или УИС.
8.2.6 Расчетная сейсмичность

площадки гидротехнических сооружений должна устанавливаться исходя из исходной сейсмичности и с учетом данных СМР. Для ВСФ классов I и II и МНГС исследования СМР следует выполнять инструментальными и расчетными методами, а для других гидротехнических сооружений допускается применять результаты инженерно-геологических и геофизических изысканий на площадке строительства. Расчетная сейсмичность принимается для уровней МРЗ и ПЗ.
Расчетную сейсмичность площадок безнапорных гидротехнических сооружений всех классов, а также при соответствующем обосновании - подпорных сооружений класса IV, допускается принимать по
таблице 11 с учетом результатов инженерно-геологических изысканий на площадке строительства.
Как при сейсмическом микрорайонировании, так и при инженерно-геологических изысканиях глубина слоя исследования сейсмических свойств грунта должна определяться исходя из особенностей геологического строения площадки, но не менее 40 м от подошвы сооружения (для сооружений классов III и IV, не входящих в состав напорного фронта, - не менее 20 м).
Категория грунта и его физико-механические и сейсмические характеристики должны определяться с учетом возможных техногенных изменений свойств грунтов в процессе строительства и эксплуатации сооружения.
В случаях, когда расчетную сейсмичность площадки определяют методами СМР, дополнительно следует устанавливать скоростные, частотные и резонансные характеристики грунта основания сооружения.
Примечания
1 В случаях, когда площадки гидротехнических сооружений сложены грунтами, по своему составу занимающими промежуточное положение между грунтами категорий I и II или II и III (например, основание сооружения представлено слоистыми грунтами), дополнительно к категориям грунта, указанным в
таблице 11, допускается введение категорий I-II, II-III соответственно. При этом расчетную сейсмичность площадки

при грунтах категории I-II принимают как при грунтах категории II, а при грунтах категории II-III - как при грунтах категории III.
2 На период нахождения водохранилища в опорожненном состоянии (например, в строительный или ремонтный периоды) расчетную сейсмичность площадки водоподпорных сооружений, при соответствующем обосновании, допускается понижать на 1 балл.
8.2.7 На ранних стадиях проектирования при выборе площадки гидротехнического сооружения исходную сейсмичность надлежит определять согласно указаниям
8.2.5*, а расчетную сейсмичность допускается уточнять по таблице 11 на основании результатов инженерно-геологических изысканий.
Таблица 11
Расчетная сейсмичность площадки сооружения
Категория грунта по сейсмическим свойствам | Описание грунта | Расчетная сейсмичность площадки сооружения при исходной сейсмичности, баллы |
6 | 7 | 8 | 9 | 10 |
I | Скальные грунты всех видов (в том числе многолетнемерзлые в мерзлом и талом состояниях) невыветрелые и слабовыветрелые; крупнообломочные грунты плотные маловлажные из магматических пород, содержащие до 30% песчано-глинистого заполнителя; выветрелые и сильновыветрелые скальные и нескальные твердомерзлые (многолетнемерзлые) грунты при температуре минус 2 °C и ниже при строительстве и эксплуатации по принципу I (сохранение грунтов основания в мерзлом состоянии); скорость распространения поперечных волн  ; соотношение скоростей продольных и поперечных волн  вне зависимости от степени водонасыщения | - | - | 7 | 8 | 9 |
II | Скальные грунты выветрелые и сильновыветрелые, в том числе многолетнемерзлые, кроме отнесенных к категории I; крупнообломочные грунты, за исключением отнесенных к категории I; пески гравелистые, крупные и средней крупности плотные и средней плотности маловлажные и влажные; пески мелкие и пылеватые плотные и средней плотности маловлажные; пылевато-глинистые грунты с показателем текучести  при коэффициенте пористости e < 0,9 - для глин и суглинков и e < 0,7 - для супесей; многолетнемерзлые нескальные грунты пластичномерзлые или сыпучемерзлые, а также твердомерзлые при температуре выше минус 2 °C при строительстве и эксплуатации по принципу I;  ;  для неводонасыщенных грунтов;  для водонасыщенных грунтов | - | 7 | 8 | 9 | > 9 |
III | Пески рыхлые независимо от степени влажности и крупности; пески гравелистые, крупные и средней крупности плотные и средней плотности водонасыщенные; пески мелкие и пылеватые плотные и средней плотности влажные и водонасыщенные; пылевато-глинистые грунты с показателем текучести  ; пылевато-глинистые грунты с показателем текучести  при коэффициенте пористости e  0,9 - для глин и суглинков и e  0,7 - для супесей; многолетнемерзлые нескальные грунты при строительстве и эксплуатации по принципу II (допущение оттаивания грунтов основания);  ;  для неводонасыщенных грунтов;  для водонасыщенных грунтов | 7 | 8 | 9 | > 9 | > 9 |
8.2.8 Строительство гидротехнических сооружений на площадках с расчетной сейсмичностью более 9 баллов, а также с расчетной сейсмичностью 9 баллов, но при наличии на площадке грунтов категории III по сейсмическим свойствам, требуется осуществлять в соответствии с требованиями
[5].
8.2.9 Проектировать здания ГЭС руслового, приплотинного и деривационного типов следует в соответствии с указаниями
подразделов 8.4,
8.5 и
8.6 настоящего раздела. При этом здания всех типов должны рассматриваться в качестве ВСФ
(8.4.1).
8.2.10 Проектировать надводные здания, крановые эстакады, опоры ЛЭП и другие строительные конструкции, входящие в состав гидроузлов, следует в соответствии с
разделами 4 -
6; при этом расчетную сейсмичность площадки строительства следует принимать в соответствии с
разделом 8.
В случае размещения этих объектов на гидротехнических сооружениях или в контакте с ними сейсмическое воздействие должно задаваться движением, передаваемым со стороны основного сооружения.
| | Применение на обязательной основе подраздела 8.3 обеспечивает соблюдение требований Федерального закона от 30.12.2009 N 384-ФЗ "Технический регламент о безопасности зданий и сооружений" (Постановление Правительства РФ от 26.12.2014 N 1521). | |
8.3. Сейсмические воздействия и определение их характеристик
8.3.1 Сейсмические воздействия следует учитывать в тех случаях, когда значение величины

составляет 7 баллов и более.
Примечание - Сейсмические воздействия входят в состав особых сочетаний нагрузок и воздействий
(СП 58.13330).
8.3.2 Для гидротехнических сооружений значение периода повторяемости максимального расчетного землетрясения

принимается равным:
5000 лет - для водоподпорных сооружений классов I, II и III и морских нефтегазопромысловых сооружений;
1000 лет - для водоподпорных сооружений класса IV и безнапорных гидротехнических сооружений.
Значение периода повторяемости проектного землетрясения

для всех гидротехнических сооружений принимается равным 500 лет.
8.3.3 Для ВСФ класса I или II и МНГС должны быть установлены расположение и характеристики основных зон ВОЗ сейсмического района, включая параметры сейсмических воздействий и направление подхода к сооружению сейсмических волн из расположенных в указанных зонах очагов землетрясений.
На основе выполненных исследований для площадки гидротехнического сооружения должны устанавливаться значения максимальных пиковых ускорений основания при максимальном расчетном землетрясении

и проектном землетрясении

(с обеспеченностью не менее 50%), нижняя граница которых определяется согласно указаниям
8.4.5.
8.3.4 Расчетные сейсмические воздействия при применении динамической теории (ДТ) должны задаваться расчетными акселерограммами (РА), масштабированными (при необходимости) по значениям

и

. Расчетные акселерограммы должны подбирать с учетом данных о скоростных, частотных и резонансных характеристиках грунтов, залегающих в основании сооружения. Непосредственно для расчетов следует задавать две горизонтальные (Г1 и Г2) и вертикальную (В) компоненты расчетной акселерограммы.
Должны применять РА:
из числа записей, произведенных на площадке или в районе сооружения;
аналоговые из числа записей, сделанных в районах, сходных с районом площадки строительства по сейсмотектоническим, геологическим и другим сейсмологическим условиям;
синтезированные, сформированные в соответствии с указанными ниже расчетными параметрами сейсмического воздействия (для МРЗ и ПЗ соответственно):
общая длительность сейсмических колебаний

или

;
длительность фазы сейсмических колебаний основания

или

;
период колебаний с максимальным пиковым ускорением

или

;
При этом спектр отклика синтезированной акселерограммы не должен быть ниже огибающей спектров отклика отобранных аналоговых акселерограмм во всем диапазоне учитываемых частот сейсмических колебаний.
Приведенные параметры задают в виде своих компонент Г1, Г2 и В.
Примечание - Объем и состав сейсмологических исследований окончательно устанавливает проектировщик и согласовывает заказчик.
8.3.5 Расчетные сейсмические воздействия при применении линейно-спектральной теории (ЛСТ) следует определять в соответствии с указаниями
8.4.8.
8.3.6 В расчетах гидротехнических сооружений и их оснований учитывают следующие сейсмические нагрузки:
распределенные по объему сооружения и его основания (а также боковых засыпок и наносов) инерционные силы

интенсивностью

,
где

- плотность материала в точке наблюдения x с координатами (в общем случае)

,

,

по осям 1, 2, 3 соответственно, а

- вектор ускорения точки x в момент времени t в абсолютном движении системы "сооружение-основание";
распределенное по поверхности контакта сооружения с водой гидродинамическое давление, вызванное инерционным влиянием колеблющейся с сооружением части жидкости;
гидродинамическое давление, вызванное возникшими при землетрясении волнами на поверхности водоема.
В необходимых случаях учитывают взаимные подвижки блоков в основании сооружения, вызванные прохождением сейсмической волны.
Учитывают также возможные последствия таких связанных с землетрясениями явлений, как:
смещения по тектоническим разломам;
проседание грунта;
обвалы и оползни;
разжижение грунта.
Отказ от учета инерционных свойств основания допускается при специальном обосновании.
8.4. Расчетные сейсмические воздействия. Условия расчетов гидротехнических сооружений на сейсмические воздействия
| | Применение на обязательной основе пунктов 8.4.1, 8.4.3, 8.4.5 обеспечивает соблюдение требований Федерального закона от 30.12.2009 N 384-ФЗ "Технический регламент о безопасности зданий и сооружений" (Постановление Правительства РФ от 26.12.2014 N 1521). | |
8.4.1 Водоподпорные сооружения и морские нефтегазопромысловые сооружения следует рассчитывать методами ДТ. Водоподпорные сооружения классов III и IV допускается рассчитывать методами ЛСТ.
Безнапорные гидротехнические сооружения допускается рассчитывать методами ЛСТ.
Примечание - Перечень сооружений, относящихся к водоподпорным сооружениям в составе напорного фронта, может быть расширен по усмотрению проектной организации за счет зданий ГЭС, напорных трубопроводов большого диаметра и иных объектов, разрушение которых по своим последствиям идентично прорыву напорного фронта.
8.4.2 Утратил силу с 25.11.2018. -
Приказ Минстроя России от 24.05.2018 N 309/пр.
8.4.3 В расчетах сейсмостойкости гидротехнических сооружений с применением динамической теории сейсмическое ускорение основания следует задавать расчетной акселерограммой землетрясения, представляющей собой в общем случае однокомпонентную, двухкомпонентную или трехкомпонентную (j = 1, 2, 3) функцию времени

. При этом смещения (деформации, напряжения и усилия) определяют на всем временном интервале сейсмического воздействия на сооружение.
В случае применения линейного динамического анализа максимальные и минимальные значения указанных величин за весь рассматриваемый временной интервал следует суммировать со значениями смещений (деформаций, напряжений и усилий), полученными от остальных нагрузок и воздействий, входящих в состав особого сочетания нагрузок и воздействий, включающего сейсмические воздействия.
Примечание - В качестве исходного сейсмического воздействия можно использовать также велосиграммы либо сейсмограммы.
8.4.4 Утратил силу с 25.11.2018. -
Приказ Минстроя России от 24.05.2018 N 309/пр.
8.4.5 Расчеты гидротехнических сооружений по ДТ должны выполняться на расчетные акселерограммы с максимальными пиковыми ускорениями

в основании сооружения

. (14)
Значения соответствующих ускорений (

при расчете сооружений на МРЗ и

при расчете сооружений на ПЗ) для сооружений со сроком службы более 50 лет не должны быть меньше определяемых по нижеследующим формулам:
при расчете на МРЗ:
ВСФ классов I и II

. (15)
ВСФ класса III и МНГС

. (16)
ВСФ класса IV и безнапорные гидротехнические сооружения

. (17)
при расчете на ПЗ:
ВСФ классов I и II и МНГС

. (18)
ВСФ класса III

. (19)
ВСФ класса IV и безнапорные сооружения

. (20)
В формулах (
15 - 20) через

,

и

обозначены значения расчетных ускорений основания в долях g (g = 9,81 м/с2), определенные для землетрясений с расчетными периодами повторяемости

,

и

соответственно. Значения ускорений

,

и

в зависимости от значения исходной сейсмичности площадки строительства

, расчетной сейсмичности

и реальных грунтовых условий на конкретной площадке приведены в таблице 12.
Для сооружений со сроком службы не более 50 лет значения

и

, определенные по формулам (
15 -
20), следует умножить на коэффициент 0,9.
Таблица 12
Значения ускорений
Категория грунта |  , баллы |
6 | 7 | 8 | 9 | 10 |
 , баллы | A |  , баллы | A |  , баллы | A |  , баллы | A |  , баллы | A |
I | - | - | - | - | 7 | 0,12 | 8 | 0,24 | 9 | 0,48 |
I-II | - | - | 7 | 0,08 | 8 | 0,16 | 9 | 0,32 | - | - |
II | - | - | 7 | 0,10 | 8 | 0,20 | 9 | 0,40 | - | - |
II-III | 7 | 0,06 | 8 | 0,13 | 9 | 0,25 | - | - | - | - |
III | 7 | 0,08 | 8 | 0,16 | 9 | 0,32 | - | - | - | - |
Примечания 3 A имеет значения:  ,  и  . |
| | Применение на обязательной основе пунктов 8.4.6 - 8.4.9 обеспечивает соблюдение требований Федерального закона от 30.12.2009 N 384-ФЗ "Технический регламент о безопасности зданий и сооружений" (Постановление Правительства РФ от 26.12.2014 N 1521). | |
8.4.6 На предварительной стадии проектирования в качестве расчетных ускорений следует использовать ускорения, определенные в
8.4.5.
8.4.7 При выполнении динамического анализа сейсмостойкости гидротехнических сооружений следует применять значения параметров затухания

, установленные на основе динамических исследований поведения сооружений при сейсмических воздействиях.
При отсутствии экспериментальных данных о реальных значениях параметров затухания в расчетах сейсмостойкости допускается применять значения параметров затухания

, не превышающие:
0,01 - для стальных сооружений и стальных элементов сооружений;
0,05 - для бетонных и железобетонных сооружений и бетонных и железобетонных элементов сооружений;
0,15 - для сооружений из грунтовых материалов;
0,08 - для скальных пород оснований;
0,12 - для полускальных и нескальных грунтов оснований.
8.4.8 В расчетах сооружений по ЛСТ материалы сооружения и основания считаются линейно-упругими; в поведении системы "сооружение-основание" отсутствует геометрическая, конструктивная или физическая нелинейность.
Сейсмическое ускорение основания задается постоянной во времени векторной величиной

, модуль которой принимается равным значению максимального пикового ускорения

(см.
формулу (14)), а конкретные значения величин

и

определяют в соответствии с указаниями
8.4.5.
8.4.9 В тех случаях, когда при расчете сейсмостойкости сооружения по ЛСТ расчетная область системы "сооружение-основание" разбита на конечные элементы, то в качестве сейсмических нагрузок используют узловые инерционные силы

, действующие на элемент сооружения, отнесенный к узлу k, при i-й форме собственных колебаний.
В общем случае значения компонент узловых сил

по трем (j = 1, 2, 3) взаимно ортогональным направлениям определяют по формуле

, (21)
где

- коэффициент, зависящий от степени повреждений, допускаемых в сооружении при землетрясении;

- коэффициент, учитывающий влияние высоты сооружения на значение узловых инерционных сил;

- коэффициент, учитывающий демпфирующие свойства конструкций;

- масса элемента сооружения, отнесенного к узлу k (с учетом присоединенной массы воды);

- сейсмическое ускорение основания;

(или

) - коэффициент динамичности, соответствующий периоду собственных колебаний сооружения

по i-й форме колебаний;

- коэффициент формы собственных колебаний сооружения по i-й форме колебаний

, (22)
где

- проекции по направлениям j смещений узла k по i-й форме собственных колебаний сооружения;

- косинусы углов между направлениями вектора

сейсмического воздействия и перемещениями

;
Примечание - Указанные в пункте коэффициенты следует учитывать аналогичным образом в расчетах по методикам, позволяющим определять смещения, деформации, напряжения и усилия, возникающие в сооружениях под влиянием сейсмического воздействия, без предварительного нахождения сейсмических нагрузок.
| | Применение на обязательной основе пунктов 8.4.10, 8.4.11 обеспечивает соблюдение требований Федерального закона от 30.12.2009 N 384-ФЗ "Технический регламент о безопасности зданий и сооружений" (Постановление Правительства РФ от 26.12.2014 N 1521). | |
8.4.10 Для всех гидротехнических сооружений

принимают равным 0,45.
Для водоподпорных сооружений всех типов коэффициент

принимают равным:
0,8 - для сооружений высотой до 60 м;
1,0 - для сооружений высотой более 100 м;
в интервале между этими значениями высот - по линейной интерполяции;
1,0 - для всех других гидротехнических сооружений.
Для водоподпорных сооружений значение коэффициента

следует принимать:
0,9 - для бетонных и железобетонных сооружений;
0,7 - для сооружений из грунтовых материалов.
Для гидротехнических сооружений других видов значения коэффициента

допускается принимать на основе опыта проектирования этих сооружений с учетом сейсмических воздействий.
8.4.11 Значения коэффициента динамичности

определяют по зависимостям (23 - 25) или по графикам на
рисунке 3:

,

; (23)

,

; (24)

,

, (25)
где

,

,

- параметры, значения которых даны в таблице 13.
Примечания
1 Значения произведения

должны составлять не менее 0,80.
2 В дополнение к расчетам, выполненным с применением указанных функций

, допускается проводить расчеты, в которых применяют спектры отклика однокомпонентных расчетных акселерограмм, вычисленные при регламентируемых в
8.4.5 значениях параметров затухания колебаний.
Таблица 13
Параметры для определения коэффициента динамичности
Категория грунтов по сейсмическим свойствам | | | |
I, I-II и II | 2,5 | 0,10 | 0,40 |
II-III и III | 2,5 | 0,10 | 0,80 |
1 - кривая для грунтов категорий I, I-II и II;
2 - кривая для грунтов категорий II-III и III
Рисунок 3 - Коэффициенты динамичности 
| | Применение на обязательной основе пунктов 8.4.12, 8.4.13 обеспечивает соблюдение требований Федерального закона от 30.12.2009 N 384-ФЗ "Технический регламент о безопасности зданий и сооружений" (Постановление Правительства РФ от 26.12.2014 N 1521). | |
8.4.12 При расчете сейсмостойкости сооружений по ЛСТ расчетные значения возникающих в сооружении смещений (деформаций, напряжений и усилий) с учетом всех учитываемых в расчете форм собственных колебаний сооружений следует определять по формуле

, (26)
где W - обобщенное значение расчетных смещений (деформаций, напряжений или усилий), возникающих в рассматриваемых точках или сечениях под влиянием сейсмических воздействий;

- обобщенное значение смещений (деформаций, напряжений или усилий), возникающих в рассматриваемых точках или сечениях под влиянием сейсмических нагрузок (сил), соответствующих i-й форме собственных колебаний;
q - число учитываемых в расчетах форм собственных колебаний.
8.4.13 Плотность материалов сооружений и грунтов оснований следует определять по
СП 23.13330,
СП 39.13330,
СП 40.13330,
СП 41.13330. При этом плотность материалов и грунтов устанавливается с учетом степени их водонасыщения.
8.4.14 - 8.4.16 Утратили силу с 25.11.2018. -
Приказ Минстроя России от 24.05.2018 N 309/пр.
| | Применение на обязательной основе пунктов 8.4.17 - 8.4.19 обеспечивает соблюдение требований Федерального закона от 30.12.2009 N 384-ФЗ "Технический регламент о безопасности зданий и сооружений" (Постановление Правительства РФ от 26.12.2014 N 1521). | |
8.4.17 Для определения напряженно-деформированного состояния гидротехнического сооружения при сейсмических воздействиях следует применять расчетные схемы, как правило, соответствующие таковым для расчета сооружения на нагрузки и воздействия основного сочетания. При этом следует учитывать направление сейсмического воздействия относительно сооружения и пространственный характер колебаний сооружения при землетрясении.
Допускается для ряда сооружений применять двумерные расчетные схемы:
расчеты по схеме плоской деформации - для гравитационных плотин, подпорных стен и других массивных сооружений;
расчеты при схематизации указанных сооружений оболочками средней толщины, а также пластинами, работающими в срединной плоскости как изгибаемые плиты - для арочных плотин и аналогичных им конструкций.
При специальном обосновании допускается применять также одномерные расчетные схемы для конструкций стержневого типа.
8.4.18 Размеры расчетной области основания в совокупности с другими грунтовыми массивами должны назначаться таким образом, чтобы при принятых размерах области основания была обеспечена необходимая точность результатов расчета. Размеры расчетной области, занятой грунтовыми массивами, должны позволить проявиться предельным состояниям, характерным как для сооружений, так и для грунтовых массивов.
Для сооружений, входящих в состав напорного фронта, расчетная область основания, как правило, по своей нижней границе должна иметь плановые размеры не менее 5H, а по глубине от подошвы сооружения - не менее 2H, где H - характерный размер сооружения (для водоподпорных сооружений H - высота сооружения).
Для гидротехнических сооружений других видов размеры расчетной области основания принимают проектные организации на основе опыта проектирования подобных сооружений.
Примечание - Если на глубине менее 2H находятся породы, характеризуемые скоростями распространения упругих сдвиговых волн не менее 1100 м/с, то допускается совмещать подошву расчетной области основания с кровлей указанных пород.
8.4.19 В расчетах сейсмостойкости по ДТ для каждой из компонент вектора смещения в принятой расчетной схеме сейсмические воздействия определяют в виде акселерограмм, построенных по компонентам РА (с учетом их пространственной ориентации). Расчет проводят на совместное действие учитываемых компонент РА. При этом вычисленные значения (смещения, деформации, напряжения, усилия), характеризующие состояние сооружения при его колебаниях по каждой компоненте вектора смещения в принятой расчетной схеме, суммируют алгебраически во все моменты времени расчетного периода

или

.
В расчетах сейсмостойкости сооружений по ЛСТ направление сейсмического воздействия

должно выбираться таким образом, чтобы воздействие оказалось наиболее опасным для сооружения.
При этом водоподпорные гидротехнические сооружения следует рассчитывать на сейсмические воздействия, в которых вектор

принадлежит вертикальной плоскости, нормальной к продольной оси сооружения, а контрфорсные и арочные плотины - также и на воздействия, у которых вектор

лежит в одной плоскости с продольной осью сооружения.
При отсутствии данных о соотношении горизонтальной и вертикальной компонент сейсмического воздействия допускается рассматривать два значения угла между вектором

и горизонтальной плоскостью: 0 и 30°. При определении вертикальной составляющей принимать

.
Протяженные тоннели допускается рассчитывать на сейсмическое воздействие в плоскости, нормальной к оси тоннеля.
Отдельно стоящие гидротехнические сооружения, схематизируемые стержнями, следует рассчитывать на горизонтальные сейсмические воздействия в плоскостях наибольшей и наименьшей жесткости.
| | Применение на обязательной основе пунктов 8.4.20, 8.4.21 обеспечивает соблюдение требований Федерального закона от 30.12.2009 N 384-ФЗ "Технический регламент о безопасности зданий и сооружений" (Постановление Правительства РФ от 26.12.2014 N 1521). | |
8.4.20 Число форм собственных колебаний q, учитываемых в прочностных расчетах с применением разложения решения по указанным формам, должно выбираться таким образом, чтобы выполнялись условия:

; (27)

, (28)
где

- частота последней учитываемой формы собственных колебаний;

- минимальная частота собственных колебаний;

- частота, соответствующая пиковому значению на спектре отклика расчетной акселерограммы.
При этом число применяемых форм колебаний должно составлять не менее 25.
Примечание - На ранних стадиях проектирования при соответствующем обосновании допускается учитывать меньшее число форм колебаний, чем указано в настоящем пункте.
8.4.21 В расчетах прочности гидротехнических сооружений с учетом сейсмических воздействий в случае контакта боковых граней сооружения с грунтом (в том числе - наносами) следует учитывать влияние сейсмических воздействий на значение бокового давления грунта.
Конкретные методы определения бокового давления грунта при учете сейсмического воздействия в расчетах прочности сооружений принимают проектные организации с учетом особенностей конструкции сооружений и условий их эксплуатации.
8.4.22 Утратил силу с 25.11.2018. -
Приказ Минстроя России от 24.05.2018 N 309/пр.
| | Применение на обязательной основе пунктов 8.4.23 - 8.4.25 обеспечивает соблюдение требований Федерального закона от 30.12.2009 N 384-ФЗ "Технический регламент о безопасности зданий и сооружений" (Постановление Правительства РФ от 26.12.2014 N 1521). | |
8.4.23 В тех случаях, когда при проектировании гидротехнического сооружения прогнозируется отложение у верховой грани сооружения наносов, следует учитывать влияние этих наносов в расчетах прочности и устойчивости сооружения при сейсмических воздействиях.
При этом следует принимать во внимание характерные особенности наносов как объекта расчета:
переменная высота слоя наносов на разных временных этапах эксплуатации сооружения;
возможность существенной неоднородности слагающих наносы грунтов и их физико-механических свойств по высоте слоя наносов;
возможность изменения во времени состава и свойств грунтов, слагающих наносы.
Все основные характеристики состояния наносов у верховой грани сооружения для различных временных этапов эксплуатации сооружения должны быть определены при проектировании сооружения и уточняться в процессе эксплуатации объекта по данным натурных наблюдений и исследований. Особое внимание должно обращаться на установление возможности разжижения грунтов наносов при сейсмических воздействиях и размеров зоны этого явления.
8.4.24 В створе сооружения, в зоне водохранилища и нижнем бьефе подлежат проверке на устойчивость участки береговых склонов, потенциально опасные в отношении возможности обрушения при землетрясениях.
Для береговых склонов "назначенный срок службы" принимают равным максимальному для сооружений данного гидроузла.
8.4.25 В расчетах устойчивости гидротехнических сооружений, их оснований и береговых склонов следует учитывать возникающие под влиянием сейсмических воздействий дополнительное (динамическое) поровое давление, а также изменения деформационных, прочностных и других характеристик грунта в соответствии с
8.4.14 и
8.4.15.
8.4.26 Утратил силу с 25.11.2018. -
Приказ Минстроя России от 24.05.2018 N 309/пр.
| | Применение на обязательной основе пунктов 8.4.27, 8.4.28 обеспечивает соблюдение требований Федерального закона от 30.12.2009 N 384-ФЗ "Технический регламент о безопасности зданий и сооружений" (Постановление Правительства РФ от 26.12.2014 N 1521). | |
8.4.27 В расчетах гидротехнических сооружений на сейсмические воздействия при определении периодов собственных колебаний и сейсмических нагрузок следует учитывать инерционное влияние колеблющейся совместно с сооружением части жидкости.
С этой целью к массе сооружения, отнесенной к точке k на смоченной поверхности сооружения, добавляют массу колеблющейся воды. Присоединенную массу воды определяют для каждой из компонент вектора смещений в принятой расчетной схеме сооружения.
Сейсмическое давление воды на сооружение допускается не учитывать, если глубина водоема у сооружения менее 10 м.
8.4.28 При расчете гидротехнических сооружений на горизонтальную составляющую сейсмического воздействия присоединенную массу воды

, приходящуюся на единицу площади их поверхности, следует определять по формуле

, (29)
где

- плотность воды;
h - глубина воды у сооружения;

- безразмерный коэффициент присоединенной массы воды, определяемый по
таблице 15;

- коэффициент, учитывающий ограниченность длины водоема и принимаемый для

равным 1, а для

- по
таблице 16;
l - расстояние между сооружением и противоположным ему берегом водоема (для шлюзов и аналогичных сооружений - между противоположными стенками конструкции) на глубине

от свободной поверхности воды.
Примечания
1 Для предварительного выбора характера колебаний сооружения по
таблице 15 следует учитывать для бетонных и железобетонных плотин на нескальном основании колебания вращения и сдвига сооружения как жесткого тела, а для плотин из грунтовых материалов - деформации сдвига. В качестве расчетного следует использовать характер колебаний, приводящих к получению максимального значения присоединенной массы воды.
2 Если вода находится с двух сторон сооружения, ее присоединенную массу следует принимать равной сумме присоединенных масс воды, определяемых для каждой из сторон сооружения.
Таблица 14
Расчет коэффициентов по характеру движения сооружения
Характер движения сооружения | Коэффициенты |
| D | | |
1 Колебания вращения недеформируемого сооружения с вертикальной напорной гранью на податливом основании при  | | | | |
2 Горизонтальные поступательные перемещения недеформируемых сооружений: | | | | |
с вертикальной напорной гранью | R | R | 0,543 | 0,6 |
с наклонной напорной гранью | | | | 0,6 |
3 Горизонтальные поступательные перемещения недеформируемых сооружений с вертикальной напорной гранью в V-образном ущелье | | | - | - |
4 Горизонтальные изгибные колебания сооружений консольного типа с вертикальной напорной гранью | | | - | - |
5 Горизонтальные сдвиговые колебания сооружений консольного типа с вертикальной напорной гранью | | | - | - |
6 Горизонтальные колебания отдельно стоящих вертикальных сооружений типа водозаборных башен, опор мостов, свай с круглой формой поперечного сечения | | | | |
7 Горизонтальные колебания отдельно стоящих вертикальных сооружений типа водозаборных башен, опор мостов, свай с квадратной формой поперечного сечения | | | | |
Примечания 1 Коэффициенты R, G,  ,  ,  ,  - принимаются по таблице 16; z - ордината точки напорной грани, для которой вычисляется величина присоединенной массы воды (начало координат принимается на уровне водной поверхности);  - ордината центра вращения, определяется из расчета сооружения без учета влияния водной среды;  - угол наклона напорной грани к горизонтали;  - диаметр поперечного сечения, м;  - сторона квадрата поперечного сечения, м; a - отношение ускорения гребня, определяемого из расчета плотины без учета влияния водной среды, к величине  . 2 В случае, когда угол наклона напорной грани  , значения безразмерных коэффициентов принимают как для вертикальной напорной грани. 3 Значение безразмерного коэффициента  для ключевого сечения симметричных арочных плотин принимают по таблице 16. Для остальных сечений арочной плотины значение этого коэффициента увеличивается линейно до  в пятах. 4 Для случаев, не предусмотренных таблицей 14, присоединенную массу воды определяют специальными расчетами. |
Таблица 15
Коэффициент, учитывающий ограниченность длины водоема
Отношение l/h | 0,2 | 0,4 | 0,6 | 0,8 | 1,0 | 0,2 | 1,4 | 1,6 | 1,8 | 2,0 | 2,5 | 3,0 |
Коэффициент  | 0,26 | 0,41 | 0,53 | 0,63 | 0,72 | 0,78 | 0,83 | 0,88 | 0,90 | 0,93 | 0,96 | 1,00 |
Таблица 16
принимаемые в зависимости от отношения z/h
Безразмерные коэффициенты | Отношение z/h |
0,1 | 0,2 | 0,3 | 0,4 | 0,5 | 0,6 | 0,7 | 0,8 | 0,9 | 1 |
R | 0,23 | 0,36 | 0,47 | 0,55 | 0,61 | 0,66 | 0,70 | 0,72 | 0,74 | 0,74 |
G | 0,12 | 0,23 | 0,34 | 0,45 | 0,55 | 0,64 | 0,72 | 0,79 | 0,83 | 0,85 |
| | b/h = 3 | 0,22 | 0,38 | 0,47 | 0,53 | 0,57 | 0,59 | 0,61 | 0,62 | 0,63 | 0,64 |
b/h = 2 | 0,22 | 0,35 | 0,41 | 0,46 | 0,49 | 0,52 | 0,53 | 0,54 | 0,54 | 0,55 |
b/h = 1 | 0,21 | 0,29 | 0,35 | 0,38 | 0,41 | 0,43 | 0,44 | 0,45 | 0,45 | 0,44 |
 при всех отношениях b/h | 0,08 | 0,15 | 0,18 | 0,22 | 0,23 | 0,23 | 0,22 | 0,20 | 0,18 | 0,15 |
| 0,07 | 0,09 | 0,10 | 0,10 | 0,09 | 0,08 | 0,07 | 0,07 | 0,06 | 0,06 |
| 0,04 | 0,09 | 0,13 | 0,18 | 0,23 | 0,28 | 0,34 | 0,38 | 0,42 | 0,43 |
| 0,86 | 0,73 | 0,59 | 0,46 | 0,34 | 0,23 | 0,14 | 0,06 | 0,02 | 0 |
Примечание - Параметр b - ширина ущелья на уровне водной поверхности. |
| | Применение на обязательной основе пункта 8.4.29 обеспечивает соблюдение требований Федерального закона от 30.12.2009 N 384-ФЗ "Технический регламент о безопасности зданий и сооружений" (Постановление Правительства РФ от 26.12.2014 N 1521). | |
8.4.29 Для отдельно стоящих сооружений типа водонапорных башен и свай присоединенную массу воды, приходящуюся на единицу длины конструкции, следует определять по формуле

, (30)
где d - диаметр круглого или размер стороны квадратного поперечного сечения сооружения, м;
8.4.30 Утратил силу с 25.11.2018. -
Приказ Минстроя России от 24.05.2018 N 309/пр.
| | Применение на обязательной основе пунктов 8.4.31, 8.4.32 обеспечивает соблюдение требований Федерального закона от 30.12.2009 N 384-ФЗ "Технический регламент о безопасности зданий и сооружений" (Постановление Правительства РФ от 26.12.2014 N 1521). | |
8.4.31 В напорных водоводах гидродинамическое давление

следует определять по формуле

, (33)
где

- скорость звука в воде, равная 1300 м/с;

- преобладающий период сейсмических колебаний грунта, значение которого принимается равным 0,5 с.
8.4.32 При расчете гидротехнических сооружений на вертикальную составляющую сейсмического воздействия следует учитывать дополнительное сейсмическое давление воды

(ординаты давления) на наклонные грани сооружений, определяемое по формуле

, (34)
где z - расстояние от рассматриваемого сечения до водной поверхности;

- угол наклона напорной грани к вертикали.
8.4.33 Утратил силу с 25.11.2018. -
Приказ Минстроя России от 24.05.2018 N 309/пр.
| | Применение на обязательной основе пункта 8.4.34 обеспечивает соблюдение требований Федерального закона от 30.12.2009 N 384-ФЗ "Технический регламент о безопасности зданий и сооружений" (Постановление Правительства РФ от 26.12.2014 N 1521). | |
8.4.34 При выполнении расчетов на сейсмические воздействия плотин высотой более 100 м рекомендуется учитывать такие факторы, как сжимаемость воды и поглощение энергии дном верхнего бьефа.
8.5. Мероприятия по повышению сейсмостойкости гидротехнических сооружений
Подраздел 8.5 утратил силу с 25.11.2018. -
Приказ Минстроя России от 24.05.2018 N 309/пр.
8.6. Геодинамический мониторинг гидротехнических сооружений в процессе эксплуатации
Подраздел 8.6 утратил силу с 25.11.2018. -
Приказ Минстроя России от 24.05.2018 N 309/пр.
9. Противопожарные мероприятия
Абзац утратил силу с 25.11.2018. -
Приказ Минстроя России от 24.05.2018 N 309/пр.
| | Применение на обязательной основе пунктов 9.1.1 - 9.1.3 обеспечивает соблюдение требований Федерального закона от 30.12.2009 N 384-ФЗ "Технический регламент о безопасности зданий и сооружений" (Постановление Правительства РФ от 26.12.2014 N 1521). | |
9.1.1 Лестничные клетки должны быть закрытыми с естественным освещением через оконные проемы в наружных стенах на каждом этаже.
Устройство эвакуационных лестничных клеток в виде отдельно стоящих сооружений не допускается.
9.1.2 Расположение и число эвакуационных путей и выходов следует определять в соответствии с требованиями нормативных документов по пожарной безопасности. В зданиях высотой более трех этажей эвакуационные пути, как правило, не должны проходить через антисейсмические швы.
При устройстве двух и более путей эвакуации допускается, чтобы не более 50% из них проходило через антисейсмические швы.
9.1.3 Здания детских дошкольных учреждений, размещаемые в сейсмических районах, должны быть не выше двух этажей, школ и учебных корпусов школ-интернатов - не выше трех этажей.
9.2. Обеспечение огнестойкости объектов защиты
| | Применение на обязательной основе пунктов 9.2.1 - 9.2.10 обеспечивает соблюдение требований Федерального закона от 30.12.2009 N 384-ФЗ "Технический регламент о безопасности зданий и сооружений" (Постановление Правительства РФ от 26.12.2014 N 1521). | |
9.2.1 Для обеспечения требуемого предела огнестойкости строительных конструкций зданий, строений и сооружений, возводимых в сейсмических районах, при необходимости следует применять средства огнезащиты. Применяемые средства огнезащиты должны соответствовать требованиям Федерального
закона [3].
9.2.3 Выбор строительных конструкций со средствами огнезащиты и систем противопожарной защиты при проектировании зданий, сооружений и строений в сейсмических районах следует проводить с учетом их устойчивости при пожаре, воздействии землетрясения и после него.
9.2.4 Требования по сейсмостойкости к строительным конструкциям со средствами огнезащиты, системам противопожарной защиты должны устанавливаться в соответствии с методиками действующих норм
(СП 2.13130).
9.2.5 Применяемые средства огнезащиты должны обеспечивать выполнение конструкциями их несущих функций при сейсмических воздействиях после температурного воздействия по стандартному температурному режиму по
ГОСТ 30247.0 в течение времени, равного требуемому пределу огнестойкости защищаемой конструкции.
Применяемые средства огнезащиты не должны снижать способность конструкций противостоять сейсмическим воздействиям.
Не допускается применять для повышения огнестойкости конструктивные и иные средства огнезащиты, не прошедшие испытания на сейсмические воздействия по надежности крепления к конструкциям.
9.2.6 Расчетная сейсмичность для средств огнезащиты и систем противопожарной защиты принимается равной сейсмичности площадки защищаемого объекта с учетом высоты его размещения.
9.2.7 Устойчивость к сейсмическим воздействиям строительных конструкций со средствами огнезащиты и систем противопожарной защиты следует определять расчетными или экспериментальными методами на натурных фрагментах, с учетом требований
СП 2.13130.
9.2.8 Подвесные потолки не следует учитывать при повышении пределов огнестойкости покрытий и перекрытий зданий, строений и сооружений, размещаемых в сейсмических районах.
9.2.9 При проведении расчетов строительных конструкций со средствами огнезащиты и систем противопожарной защиты на сейсмические воздействия следует определять:
параметры колебаний и напряженно-деформированного состояния элементов крепления с учетом демпфирования и взаимодействия с основанием;
прочность элементов крепления с учетом характеристик прочности средств огнезащиты при динамических нагрузках.
9.2.10 Нагрузки от средств огнезащиты строительных конструкций и систем противопожарной защиты должны учитываться в расчетах строительных конструкций.
9.2.11 Утратил силу с 25.11.2018. -
Приказ Минстроя России от 24.05.2018 N 309/пр.
9.3. Требования к оборудованию технологической части автоматических установок пожаротушения
| | Применение на обязательной основе пунктов 9.3.1 - 9.3.3, 9.3.5 - 9.3.10 обеспечивает соблюдение требований Федерального закона от 30.12.2009 N 384-ФЗ "Технический регламент о безопасности зданий и сооружений" (Постановление Правительства РФ от 26.12.2014 N 1521). | |
9.3.1 Для технологической части автоматических установок пожаротушения (трубопроводы, их опорные конструкции, модули пожаротушения, коллекторы, распределительные устройства) следует оценивать сейсмостойкость оборудования технологической части автоматических установок пожаротушения.
9.3.2 Обоснование сейсмостойкости оборудования технологической части автоматических установок пожаротушения при сейсмических воздействиях должно выполняться расчетными и (или) экспериментальными методами в соответствии с
СП 2.13130 и положениями настоящего раздела.
9.3.3 Проверку модулей и батарей автоматических установок пожаротушения на сейсмические воздействия должны проводить с учетом их крепления к строительным конструкциям и объединения их коллектором.
9.3.4 Утратил силу с 25.11.2018. -
Приказ Минстроя России от 24.05.2018 N 309/пр.
9.3.5 Сейсмические нагрузки на оборудование технологической части автоматических установок пожаротушения должны задавать с учетом одновременного сейсмического воздействия по трем пространственным компонентам.
9.3.6 При обосновании сейсмостойкости оборудования технологической части автоматических установок пожаротушения должны учитывать два вида сейсмических нагрузок:
инерционные, вызванные динамическими колебаниями системы при заданном сейсмическом воздействии;
возникающие в результате относительного смещения опор оборудования технологической части автоматических установок пожаротушения при сейсмическом воздействии.
9.3.7 При обосновании сейсмостойкости массивного оборудования технологической части автоматических установок пожаротушения должны учитывать влияние колебаний оборудования на его опорные элементы.
9.3.8 Расчеты сейсмостойкости протяженных элементов оборудования технологической части автоматических установок пожаротушения должны выполнять с учетом различия в условиях сейсмического нагружения опорных конструкций.
9.3.9 Сейсмостойкость оборудования технологической части автоматических установок пожаротушения (модули пожаротушения, трубопроводы), частично наполненного жидкостью, должна быть обоснована с учетом гидродинамических воздействий при сейсмических колебаниях жидкости.
9.3.10 Жесткая заделка труб при проходке трубопроводов установок пожаротушения через стены не допускается. Размеры отверстий для пропусков труб через стены должны обеспечивать в стене зазор вокруг трубы не менее 0,2 м. Зазор следует заполнять эластичным негорючим материалом с пределом огнестойкости не ниже, чем у основной конструкции.
9.4. Требования к элементам систем автоматической пожарной сигнализации, оповещения и управления эвакуацией людей при пожаре, приемно-контрольным приборам и приборам управления автоматических установок пожаротушения
Подраздел 9.4 утратил силу с 25.11.2018. -
Приказ Минстроя России от 24.05.2018 N 309/пр.
(обязательное)
ОБЩЕЕ СЕЙСМИЧЕСКОЕ РАЙОНИРОВАНИЕ ТЕРРИТОРИИ
РОССИЙСКОЙ ФЕДЕРАЦИИ ОСР-2015
Приложение А утратило силу с 25.11.2018. -
Приказ Минстроя России от 24.05.2018 N 309/пр.
(справочное)
Приложение Б утратило силу с 25.11.2018. -
Приказ Минстроя России от 24.05.2018 N 309/пр.
(справочное)
ГЕОДИНАМИЧЕСКИЙ МОНИТОРИНГ НА ГИДРОТЕХНИЧЕСКИХ ОБЪЕКТАХ
Приложение В утратило силу с 25.11.2018. -
Приказ Минстроя России от 24.05.2018 N 309/пр.
(справочное)
УТОЧНЕНИЕ ИСХОДНОЙ СЕЙСМИЧНОСТИ
Приложение Г утратило силу с 25.11.2018. -
Приказ Минстроя России от 24.05.2018 N 309/пр.
Раздел утратил силу с 25.11.2018. -
Приказ Минстроя России от 24.05.2018 N 309/пр.