Главная // Актуальные документы // НормыСПРАВКА
Источник публикации
В данном виде документ опубликован не был.
Первоначальный текст документа опубликован в издании
М.: Минрегион России, 2011.
Информацию о публикации документов, создающих данную редакцию, см. в справке к этим документам.
Примечание к документу
Документ утратил силу полностью с 01.08.2020 в связи признанием утратившим силу
Постановления Правительства РФ от 26.12.2014 N 1521.
Документ утратил силу с 04.06.2017, за исключением пунктов, включенных в
Перечень национальных стандартов и сводов правил (частей таких стандартов и сводов правил), в результате применения которых на обязательной основе обеспечивается соблюдение требований Федерального
закона "Технический регламент о безопасности зданий и сооружений", утвержденный
Постановлением Правительства РФ от 26.12.2014 N 1521, до внесения соответствующих изменений в указанный Перечень, в связи с изданием
Приказа Минстроя России от 03.12.2016 N 891/пр, утвердившего новый Свод правил
СП 20.13330.2016.
О применении данного документа см.
письмо Минстроя России от 03.08.2017 N 34463-ОГ/08.
Документ включен в
Перечень документов в области стандартизации, в результате применения которых на добровольной основе обеспечивается соблюдение требований Федерального
закона от 30.12.2009 N 384-ФЗ "Технический регламент о безопасности зданий и сооружений" (
Приказ Росстандарта от 30.03.2015 N 365).
Отдельные положения данного документа включены в
Перечень национальных стандартов и сводов правил (частей таких стандартов и сводов правил), в результате применения которых на обязательной основе обеспечивается соблюдение требований Федерального
закона от 30.12.2009 N 384-ФЗ "Технический регламент о безопасности зданий и сооружений" (
Постановление Правительства РФ от 26.12.2014 N 1521).
На время переходного периода данный документ не отменяет действие
СНиП 2.01.07-85* (
Письмо Минрегиона России от 15.08.2011 N 18529-08/ИП-ОГ).
Документ включен в
Перечень документов в области стандартизации, в результате применения которых на добровольной основе обеспечивается соблюдение требований технического
регламента "О безопасности сетей газораспределения и газопотребления", утв. Постановлением Правительства Российской Федерации от 29.10.2010 N 870 (
Приказ Росстандарта от 03.10.2011 N 5214).
Документ включен в
Перечень документов в области стандартизации, содержащих правила и методы исследований (испытаний) и измерений, в том числе правила отбора образцов, необходимые для применения и исполнения технического
регламента о безопасности сетей газораспределения и газопотребления и осуществления оценки соответствия (
Распоряжение Правительства РФ от 10.06.2011 N 1005-р).
Документ включен в
Перечень документов в области стандартизации, в результате применения которых на добровольной основе обеспечивается соблюдение требований Федерального
закона от 30.12.2009 N 384-ФЗ "Технический регламент о безопасности зданий и сооружений" (
Приказом Ростехрегулирования от 01.06.2010 N 2079).
Текст документа приведен с учетом
опечаток, опубликованных в "Информационном бюллетене о нормативной, методической и типовой проектной документации", N 8, 2011.
Документ введен в действие с 20.05.2011 (
Приказ Минрегиона РФ от 27.12.2010 N 787).
Название документа
"СП 20.13330.2011. Свод правил. Нагрузки и воздействия. Актуализированная редакция СНиП 2.01.07-85*"
(утв. Приказом Минрегиона РФ от 27.12.2010 N 787)
(ред. от 10.02.2017)
"СП 20.13330.2011. Свод правил. Нагрузки и воздействия. Актуализированная редакция СНиП 2.01.07-85*"
(утв. Приказом Минрегиона РФ от 27.12.2010 N 787)
(ред. от 10.02.2017)
от 27 декабря 2010 г. N 787
СВОД ПРАВИЛ
НАГРУЗКИ И ВОЗДЕЙСТВИЯ
Loads & actions
СП 20.13330.2011
| | Список изменяющих документов от 03.12.2016 N 891/пр (ред. 10.02.2017)) | |
Дата введения
20 мая 2011 года
Цели и принципы стандартизации в Российской Федерации установлены Федеральным
законом от 27 декабря 2002 г. N 184-ФЗ "О техническом регулировании", а правила разработки -
Постановлением Правительства Российской Федерации от 19 ноября 2008 г. N 858 "О порядке разработки и утверждения сводов правил".
1. Исполнители: Центральный научно-исследовательский институт строительных конструкций им. В.А. Кучеренко - институт ОАО "НИЦ "Строительство", при участии РААСН и Государственной геофизической обсерватории (ГГО) им. А.И. Воейкова.
2. Внесен Техническим комитетом по стандартизации ТК 465 "Строительство".
3. Подготовлен к утверждению Департаментом архитектуры, строительства и градостроительной политики.
4. Утвержден
Приказом Министерства регионального развития Российской Федерации (Минрегион России) от 27 декабря 2010 г. N 787 и введен в действие с 20 мая 2011 г.
5. Зарегистрирован Федеральным агентством по техническому регулированию и метрологии (Росстандарт). Пересмотр СП 20.13330.2010.
Информация об изменениях к настоящему своду правил публикуется в ежегодно издаваемом информационном указателе "Национальные стандарты", а текст изменений и поправок - в ежемесячно издаваемых информационных указателях "Национальные стандарты". В случае пересмотра (замены) или отмены настоящего свода правил соответствующее уведомление будет опубликовано в ежемесячно издаваемом информационном указателе "Национальные стандарты". Соответствующая информация, уведомление и тексты размещаются также в информационной системе общего пользования - на официальном сайте разработчика (Минрегион России) в сети Интернет
| | ИС МЕГАНОРМ: примечание. В официальном тексте документа, видимо, допущена опечатка: Федеральный закон N 123-ФЗ принят 22.07.2008, а не 22.06.2008. | |
Настоящий свод правил составлен с учетом обязательных требований технических регламентов, отраженных в Федеральных законах от 27 декабря 2002 г.
N 184-ФЗ "О техническом регулировании", от 22 июня 2008 г.
N 123-ФЗ "Технический регламент о требованиях пожарной безопасности", от 30 декабря 2009 г.
N 384-ФЗ "Технический регламент о безопасности зданий и сооружений".
Актуализация выполнена авторским коллективом ЦНИИСК им. В.А. Кучеренко - институтом ОАО "НИЦ "Строительство": канд. техн. наук Н.А. Попов - руководитель темы, канд. техн. наук И.В. Лебедева, д-р техн. наук И.И. Ведяков при участии РААСН (д-р техн. наук В.И. Травуш) и Государственной геофизической обсерваторией им. А.И. Воейкова (д-р геогр. наук Н.В. Кобышева).
| | Применение на обязательной основе пункта 1.1 обеспечивает соблюдение требований Федерального закона от 30.12.2009 N 384-ФЗ "Технический регламент о безопасности зданий и сооружений" (Постановление Правительства РФ от 26.12.2014 N 1521). | |
1.1. Настоящий свод правил устанавливает требования по назначению нагрузок, воздействий и их сочетаний, учитываемых при расчетах зданий и сооружений по предельным состояниям первой и второй групп, в соответствии с положениями
ГОСТ Р 54257.
1.2 - 1.4. Утратили силу с 04.06.2017. -
Приказ Минстроя России от 03.12.2016 N 891/пр.
Раздел 2 утратил силу с 04.06.2017. -
Приказ Минстроя России от 03.12.2016 N 891/пр.
Раздел 3 утратил силу с 04.06.2017. -
Приказ Минстроя России от 03.12.2016 N 891/пр.
| | Применение на обязательной основе раздела 4 обеспечивает соблюдение требований Федерального закона от 30.12.2009 N 384-ФЗ "Технический регламент о безопасности зданий и сооружений" (Постановление Правительства РФ от 26.12.2014 N 1521). | |
4.1. Основными характеристиками нагрузок, установленными в настоящих нормах, являются их нормативные (базовые) значения.
При необходимости учета влияния длительности нагрузок, при проверке на выносливость и в других случаях, оговоренных в нормах проектирования конструкций и оснований, кроме того, устанавливаются пониженные нормативные значения нагрузок от людей, животных, оборудования на перекрытия жилых, общественных и сельскохозяйственных зданий, от мостовых и подвесных кранов, снеговых, температурных климатических воздействий.
4.2. Расчетное значение нагрузки следует определять как произведение ее нормативного значения на коэффициент надежности по нагрузке

, соответствующий рассматриваемому предельному состоянию. Минимальные значения коэффициента надежности

определяются следующим образом:
б) при расчете по предельным состояниям 2-й группы - принимаются равными единице, если в нормах проектирования конструкций и оснований не установлены другие значения.
4.3. В особых сочетаниях (см.
6.2) коэффициент надежности по нагрузке для постоянных, длительных и кратковременных нагрузок следует принимать равным единице, за исключением случаев, оговоренных в других нормативных документах.
4.4. Расчетные значения климатических нагрузок и воздействий (снеговые и гололедные нагрузки, воздействия ветра, температуры и др.) допускается назначать в установленном порядке на основе анализа соответствующих климатических данных для места строительства.
4.5. При расчете конструкций и оснований для условий возведения зданий и сооружений расчетные значения снеговых, ветровых, гололедных нагрузок и температурных климатических воздействий следует снижать на 20%.
5. Классификация нагрузок
Раздел 5 утратил силу с 04.06.2017. -
Приказ Минстроя России от 03.12.2016 N 891/пр.
| | Применение на обязательной основе раздела 6 обеспечивает соблюдение требований Федерального закона от 30.12.2009 N 384-ФЗ "Технический регламент о безопасности зданий и сооружений" (Постановление Правительства РФ от 26.12.2014 N 1521). | |
6.1. Расчет конструкций и оснований по предельным состояниям первой и второй групп следует выполнять с учетом неблагоприятных сочетаний нагрузок или соответствующих им усилий.
Эти сочетания устанавливаются из анализа реальных вариантов одновременного действия различных нагрузок для рассматриваемой стадии работы конструкции или основания.
6.2. В зависимости от учитываемого состава нагрузок следует различать:
а) основные сочетания нагрузок, состоящие из постоянных, длительных и кратковременных

; (6.1)
б) особые сочетания нагрузок, состоящие из постоянных, длительных, кратковременных и одной из особых нагрузок

, (6.2)
где

- нагрузка для основного сочетания;

- нагрузка для особого сочетания;

- коэффициенты сочетаний для длительных нагрузок;

- коэффициенты сочетаний для кратковременных нагрузок.
6.3. Для основных и особых сочетаний нагрузок, за исключением случаев, оговоренных в нормах проектирования сооружений в сейсмических районах и в нормах проектирования конструкций и оснований, коэффициент сочетаний длительных нагрузок

определяется следующим образом:
- для равномерно распределенных длительных нагрузок
(5.4)

;

,
где

- коэффициент сочетаний, соответствующий основной по степени влияния длительной нагрузке;

,

- коэффициенты сочетаний для остальных длительных нагрузок:
для крановых нагрузок в соответствии с указаниями
9.19;
для остальных нагрузок

.
6.4. Для основных сочетаний необходимо использовать следующие значения коэффициентов сочетаний кратковременных нагрузок
где

- коэффициент сочетаний, соответствующий основной по степени влияния кратковременной нагрузке;

- коэффициент сочетаний, соответствующий второй кратковременной нагрузке;

,

- коэффициенты сочетаний для остальных кратковременных нагрузок.
6.5. Для особых сочетаний коэффициенты сочетаний для всех кратковременных нагрузок принимаются равными 0,8, за исключением случаев, оговоренных в нормах проектирования сооружений в сейсмических районах и в нормах проектирования конструкций и оснований.
В особых сочетаниях нагрузок, включающих взрывные воздействия, нагрузки, вызываемые пожаром, столкновением транспортных средств с частями сооружений, кратковременные нагрузки допускается не учитывать.
6.6. При учете сочетаний нагрузок в соответствии с указаниями
6.3 -
6.5 за одну временную нагрузку следует принимать:
а) нагрузку определенного рода от одного источника (давление или разрежение в емкости, снеговую, ветровую, гололедную нагрузки, температурные климатические воздействия, нагрузку от одного погрузчика, электрокара, мостового или подвесного крана);
б) нагрузку от нескольких источников, если их совместное действие учтено в расчетных значениях нагрузки (нагрузку от оборудования, людей и складируемых материалов на одно или несколько перекрытий с учетом коэффициентов

, приведенных в
8.2.4 и
8.2.5; нагрузку от нескольких мостовых или подвесных кранов с учетом коэффициента

, приведенного в
9.19; гололедно-ветровую нагрузку, определяемую в соответствии с
(12.3).
| | Применение на обязательной основе раздела 7 обеспечивает соблюдение требований Федерального закона от 30.12.2009 N 384-ФЗ "Технический регламент о безопасности зданий и сооружений" (Постановление Правительства РФ от 26.12.2014 N 1521). | |
7. Вес конструкций и грунтов
7.1. Нормативное значение веса конструкций заводского изготовления следует определять на основании стандартов, рабочих чертежей или паспортных данных заводов-изготовителей, других строительных конструкций и грунтов - по проектным размерам и удельному весу материалов и грунтов с учетом их влажности в условиях возведения и эксплуатации сооружений.
7.2. Коэффициенты надежности по нагрузке

для веса строительных конструкций и грунтов приведены в таблице 7.1.
Таблица 7.1
Конструкции сооружений и вид грунтов | Коэффициент надежности по нагрузке  |
Конструкции | |
| | ИС МЕГАНОРМ: примечание. В официальном тексте документа, видимо, допущена опечатка: пункт 2.3 отсутствует. | |
|
Металлические за исключением случаев, указанных в 2.3 | 1,05 |
Бетонные (со средней плотностью свыше 1600 кг/м3), железобетонные, каменные, армокаменные, деревянные | 1,1 |
Бетонные (со средней плотностью 1600 кг/м3 и менее), изоляционные, выравнивающие и отделочные слои (плиты, материалы в рулонах, засылки, стяжки и т.п.), выполняемые: | |
в заводских условиях | 1,2 |
на строительной площадке | 1,3 |
Грунты | |
В природном залегании | 1,1 |
На строительной площадке | 1,15 |
Примечание. При определении нагрузок от грунта следует учитывать нагрузки от складируемых материалов, оборудования и транспортных средств, передаваемые на грунт. |
7.3. Для металлических конструкций, в которых усилия от собственного веса превышают 50% общих усилий, следует принимать

.
7.4. При проверке конструкций на устойчивость положения против опрокидывания, а также в других случаях, когда уменьшение веса конструкций и грунтов может ухудшить условия работы конструкций, следует произвести расчет, принимая для веса конструкции или ее части коэффициент надежности по нагрузке

, если иное значение не указано в нормах проектирования этих конструкций.
| | Применение на обязательной основе раздела 8 обеспечивает соблюдение требований Федерального закона от 30.12.2009 N 384-ФЗ "Технический регламент о безопасности зданий и сооружений" (Постановление Правительства РФ от 26.12.2014 N 1521). | |
8. Нагрузки от оборудования, людей, животных,
складируемых материалов, изделий и транспортных средств
Нормы настоящего раздела распространяются на нагрузки от людей, животных, оборудования, изделий, материалов, временных перегородок, действующие на перекрытия, покрытия, лестницы зданий и сооружений и полы на грунтах.
Варианты загружения перекрытий этими нагрузками следует принимать в соответствии с предусмотренными условиями возведения и эксплуатации зданий. Если на стадии проектирования данные об этих условиях недостаточны, при расчете конструкций и оснований необходимо рассмотреть следующие варианты загружения отдельных перекрытий:
сплошное загружение принятой нагрузкой;
неблагоприятное частичное загружение при расчете конструкций и оснований, чувствительных к такой схеме загружения;
отсутствие временной нагрузки.
При этом суммарная временная нагрузка на перекрытия многоэтажного здания при неблагоприятном частичном их загружении не должна превышать нагрузку при сплошном загружении перекрытий, определенную с учетом коэффициентов сочетаний

, значения которых вычисляются по
формулам (8.3) и
(8.4).
8.1. Определение нагрузок от оборудования, складируемых материалов и изделий
8.1.1. Нагрузки от оборудования (в том числе трубопроводов, транспортных средств), складируемых материалов и изделий устанавливаются в строительном задании на основании технологических решений, в котором должны быть приведены:
а) возможные на каждом перекрытии и полах на грунте места расположения и габариты опор оборудования, размеры участков складирования и хранения материалов и изделий, места возможного сближения оборудования в процессе эксплуатации или перепланировки;
б) нормативные значения нагрузок и коэффициенты надежности по нагрузке, принимаемые в соответствии с указаниями настоящих норм, для машин с динамическими нагрузками - нормативные значения инерционных сил и коэффициенты надежности по нагрузке для инерционных сил, а также другие необходимые характеристики.
Фактические нагрузки на перекрытия допускается заменять эквивалентными равномерно распределенными нагрузками, рассчитанные значения которых должны обеспечивать несущую способность и жесткость элементов конструкций, требуемые по условиям их загружения фактическими нагрузками.
Учет перспективного увеличения нагрузок от оборудования и складируемых материалов допускается при технико-экономическом обосновании.
8.1.2. Нормативное значение веса оборудования, в том числе трубопроводов, следует определять на основании стандартов или каталогов, а для нестандартного оборудования - на основании паспортных данных заводов-изготовителей или рабочих чертежей.
В состав нагрузки от веса оборудования следует включать собственный вес установки или машины (в том числе привода, постоянных приспособлений, опорных устройств, подливок и подбетонок), вес изоляции, заполнителей оборудования, возможных при эксплуатации, наиболее тяжелой обрабатываемой детали, вес транспортируемого груза, соответствующий номинальной грузоподъемности, и т.п.
Нагрузки от оборудования на перекрытия и полы на грунтах необходимо принимать в зависимости от условий его размещения и возможного перемещения при эксплуатации. При этом следует предусматривать мероприятия, исключающие необходимость усиления несущих конструкций, связанного с перемещением технологического оборудования во время монтажа или эксплуатации здания.
Число учитываемых одновременно погрузчиков или электрокаров и их размещение на перекрытии при расчете различных элементов следует принимать по строительному заданию на основании технологических решений.
Динамическое воздействие вертикальных нагрузок от погрузчиков и электрокаров допускается учитывать путем умножения нормативных значений статических нагрузок на коэффициент динамичности, равный 1,2.
8.1.3. При задании нормативных значений нагрузок в складских помещениях необходимо учитывать эквивалентную равномерно распределенную нагрузку на перекрытия, покрытия и полы на грунтах, а также вертикальную и, при необходимости, горизонтальную сосредоточенные нагрузки, прикладываемые для учета возможного неблагоприятного влияния местных нагрузок и воздействий.
Эти нагрузки следует определять по строительному заданию на основании технологических решений, с учетом удельного веса складируемых материалов и изделий, возможного их размещения по площади помещений и максимальных значений высоты складирования и принимать не менее нормативных значений, приведенных в таблице 8.1.
Таблица 8.1
Здания и помещения | Нормативные значения равномерно распределенных нагрузок Pt, кПа | Нормативные значения сосредоточенных нагрузок Qt, кН |
Торговые склады | Не менее 5,0 | Не менее 6,0 |
Производственные и промышленные складские помещения | По строительному заданию, но не менее, кПа: 3 - для плит и второстепенных балок; 2 - для ригелей, колонн и фундаментов | По строительному заданию, но не менее 3,0 |
8.1.4. Коэффициент надежности по нагрузке

для веса оборудования и материалов приведен в таблице 8.2.
Таблица 8.2
Оборудование и материалы | Коэффициент надежности по нагрузке  |
Стационарное оборудование | 1,05 |
Изоляция стационарного оборудования | 1,2 |
Заполнители оборудования (в том числе резервуаров и трубопроводов): | |
жидкости | 1,0 |
суспензии, шламы, сыпучие тела | 1,1 |
Погрузчики и электрокары (с грузом) | 1,2 |
Складируемые материалы и изделия | 1,2 |
8.2. Равномерно распределенные нагрузки
8.2.1. Нормативные значения равномерно распределенных временных нагрузок на плиты перекрытий, лестницы и полы на грунтах приведены в таблице 8.3.
N п.п. | Помещения зданий и сооружений | Нормативные значения равномерно распределенных нагрузок Pt, кПа |
| Квартиры жилых зданий; спальные помещения детских дошкольных учреждений и школ-интернатов; жилые помещения домов отдыха и пансионатов, общежитий и гостиниц; палаты больниц и санаториев; террасы | 1,5 |
| Служебные помещения административного, инженерно-технического, научного персонала организаций и учреждений; офисы, классные помещения учреждений просвещения; бытовые помещения (гардеробные, душевые, умывальные, уборные) промышленных предприятий и общественных зданий и сооружений | 2,0 |
| Кабинеты и лаборатории учреждений здравоохранения, лаборатории учреждений просвещения, науки; помещения электронно-вычислительных машин; кухни общественных зданий; помещения учреждений бытового обслуживания населения (парикмахерские, ателье и т.п.); технические этажи жилых и общественных зданий высотой менее 75 м; подвальные помещения | Не менее 2,0 |
| Залы: | |
| 2,0 |
б) обеденные (в кафе, ресторанах, столовых и т.п.) | 3,0 |
в) собраний и совещаний, ожидания, зрительные и концертные, спортивные, фитнес-центры, бильярдные | 4,0 |
г) торговые, выставочные и экспозиционные | Не менее 4,0 |
| Книгохранилища; архивы | Не менее 5,0 |
| Сцены зрелищных предприятий | Не менее 5,0 |
| Трибуны: | |
а) с закрепленными сиденьями | 4,0 |
б) для стоящих зрителей | 5,0 |
| Чердачные помещения | 0,7 |
| Покрытия на участках: | |
а) с возможным скоплением людей (выходящих из производственных помещений, залов, аудиторий и т.п.) | 4,0 |
б) используемых для отдыха | 1,5 |
| 0,5 |
| Балконы (лоджии) с учетом нагрузки: | |
а) полосовой равномерной на участке шириной 0,8 м вдоль ограждения балкона (лоджии) | 4,0 |
б) сплошной равномерной на площади балкона (лоджии), воздействие которой не благоприятнее, чем определяемое по 10, а | 2,0 |
| Участки обслуживания и ремонта оборудования в производственных помещениях | Не менее 1,5 |
| Вестибюли, фойе, коридоры, лестницы (с относящимися к ним проходами), примыкающие к помещениям, указанным в позициях: | |
| 3,0 |
| 4,0 |
| 5,0 |
| Перроны вокзалов | 4,0 |
| Помещения для скота: | |
а) мелкого | Не менее 2,0 |
б) крупного | Не менее 5,0 |
Примечания 1 Нагрузки, указанные в поз. 8, следует учитывать на площади, не занятой оборудованием и материалами. 2 Нагрузки, указанные в поз. 9, не следует учитывать одновременно со снеговой нагрузкой. 3 Нагрузки, указанные в поз. 10, следует учитывать при расчете несущих конструкции балконов (лоджий) и участков стен в местах защемления этих конструкций. При расчете нижележащих участков стен, фундаментов и оснований нагрузки на балконы (лоджии) следует принимать равными нагрузкам примыкающих основных помещений зданий и снижать их с учетом указаний 8.2.4 и 8.2.5. 4 Нормативные значения нагрузок для зданий и помещений, указанных в позициях 3, 4г, 5, 6, 11 и 14, следует принимать по строительному заданию на основании технологических решений. |
8.2.2. Нормативные значения нагрузок на ригели и плиты перекрытий от веса временных перегородок следует принимать в зависимости от их конструкции, расположения и характера опирания на перекрытия и стены. Указанные нагрузки допускается учитывать как равномерно распределенные добавочные нагрузки, принимая их нормативные значения на основании расчета для предполагаемых схем размещения перегородок, но не менее 0,5 кПа.
Коэффициенты надежности по нагрузке

для равномерно распределенных нагрузок следует принимать:
1,3 - при полном нормативном значении менее 2,0 кПа;
1,2 - при полном нормативном значении 2,0 кПа и более.
Коэффициент надежности по нагрузке от веса временных перегородок следует принимать в соответствии с указаниями
7.2.
8.2.3. Пониженные нормативные значения равномерно распределенных нагрузок (см.
позицию 4) определяются умножением их нормативных значений на коэффициент 0,35. Для нагрузок, указанных в
позициях 5,
8,
9, в и
11 таблицы 8.3, пониженные значения не устанавливаются.
8.2.4. При расчете балок, ригелей, плит, стен, колонн и фундаментов, воспринимающих нагрузки от одного перекрытия, нормативные значения нагрузок, указанные в
таблице 8.3, допускается снижать в зависимости от грузовой площади A, м
2, с которой передаются нагрузки на рассчитываемый элемент, умножением на коэффициент

или

, равный:

; (8.1)

. (8.2)
8.2.5. При определении усилий для расчета колонн, стен и фундаментов, воспринимающих нагрузки от двух перекрытий и более, полные нормативные значения нагрузок, указанные в
позициях 1,
2,
4,
11,
12, а и
12, б таблицы 8.3, допускается снижать умножением на коэффициенты сочетания

или

:

; (8.3)

, (8.4)
где

,

- определяются в соответствии с
8.2.4;
n - общее число перекрытий, нагрузки от которых учитываются при расчете рассматриваемого сечения колонны, стены, фундамента.
8.3. Сосредоточенные нагрузки и нагрузки на перила
8.3.1. Несущие элементы перекрытий, покрытий, лестниц и балконов (лоджий) должны быть проверены на сосредоточенную вертикальную нагрузку, приложенную к элементу, в неблагоприятном положении на квадратной площадке со сторонами не более 10 см (при отсутствии других временных нагрузок). Если в строительном задании на основании технологических решений не предусмотрены более высокие нормативные значения сосредоточенных нагрузок, их следует принимать равными, кН:
а) для перекрытий и лестниц - 1,5;
б) для чердачных перекрытий, покрытий, террас и балконов - 1,0;
в) для покрытий, по которым можно передвигаться только с помощью трапов и мостиков, - 0,5.
Элементы, рассчитанные на возможные при возведении и эксплуатации местные нагрузки от оборудования и транспортных средств, допускается не проверять на указанную сосредоточенную нагрузку.
8.3.2. Нормативные значения горизонтальных нагрузок на поручни перил лестниц и балконов следует принимать равными, кН/м:
а) для жилых зданий, дошкольных учреждений, домов отдыха, санаториев, больниц и других лечебных учреждений - 0,3;
б) для трибун и спортивных залов - 1,5;
в) для других зданий и помещений при отсутствии специальных требований - 0,8.
8.3.3. Для обслуживающих площадок, мостиков, ограждений крыш, предназначенных для непродолжительного пребывания людей, нормативное значение горизонтальной нагрузки на поручни перил следует принимать 0,3 кН/м, если по строительному заданию на основании технологических решений не требуется большее значение нагрузки.
8.3.4. Для нагрузок, указанных в
8.3.1,
8.3.2 и 8.3.3, следует принимать коэффициент надежности по нагрузке

.
8.4. Нагрузки от транспортных средств
8.4.1. Настоящий раздел регламентирует значения вертикальных строительных нагрузок на перекрытия, покрытия и полы на грунтах от колесных транспортных средств, движущихся как свободно, так и по рельсовым путям.
В случаях, оговоренных в нормах на проектирование конструкций, необходим также учет горизонтальных нагрузок, передаваемых на элементы несущих конструкций зданий и сооружений. Расчетные значения таких нагрузок включают собственный вес транспортных средств и полезные нагрузки, определяемые их техническими параметрами в соответствии с паспортной документацией заводов-изготовителей. Вертикальные, горизонтальные нагрузки, способы их приложения и расположение должны определяться в каждом конкретном случае специальным расчетом.
Нормативные значения эквивалентных вертикальных равномерно распределенных и местных сосредоточенных нагрузок на перекрытия, покрытия и полы на грунтах автостоянок следует определять по таблице 8.4.
Таблица 8.4
N п.п. | Помещения зданий и сооружений | Нормативные значения равномерно распределенных нагрузок Pt, кПа | Нормативные значения сосредоточенных нагрузок Qt, кН |
| Встроенные автостоянки для автомашин общим весом до 3 тс включительно: | | |
| площади парковки | 3,5 | 20,0 |
| пандусы и подъездные пути | 5,0 | 25,0 |
| Встроенные автостоянки для автомашин общим весом от 3 до 16 т: | | |
| площади парковки | Не менее 5,0 | Не менее 90,0 |
| пандусы и подъездные пути | Не менее 7,0 | Не менее 100,0 |
5 | Автостоянки для автомашин общим весом свыше 16 т | По строительному заданию |
Примечания 1 Общий вес - совокупность собственного веса автомобиля и максимальной полезной нагрузки. 2 Нормативные значения нагрузок для зданий и помещений, указанных в 3, 4, следует принимать по строительному заданию на основании технологических решений. 3 Внутригаражные проезды (за исключением пандусов) следует относить к площадям парковки в тех случаях, когда они недоступны для проезда постороннего автотранспорта. |
8.4.2. При расчете плит перекрытий на продавливание и в других случаях учета местных воздействий наряду с равномерно распределенной нагрузкой

следует учитывать сосредоточенные нагрузки

, приложенные на две квадратные площадки стороной 100 мм для
позиций 1 и
2 таблицы 8.4 и 200 мм для
позиций 3 и
4 таблицы 8.4, расположенные на расстоянии 1,8 м друг от друга, в наиболее неблагоприятном возможном положении.
8.4.3. Допускается уточнять расчетные значения нагрузок в соответствии с техническими данными транспортных средств.
8.4.4. Пониженные значения равномерно распределенных нагрузок от транспортных средств (см.
4.1) следует устанавливать умножением их нормативных значений на коэффициент 0,35.
8.4.5. Для нагрузок, указанных в
8.4.1, следует принимать коэффициент надежности по нагрузке

.
| | Применение на обязательной основе раздела 9 обеспечивает соблюдение требований Федерального закона от 30.12.2009 N 384-ФЗ "Технический регламент о безопасности зданий и сооружений" (Постановление Правительства РФ от 26.12.2014 N 1521). | |
9. Нагрузки от мостовых и подвесных кранов
9.1. Нагрузки от мостовых и подвесных кранов следует определять в зависимости от групп режимов их работы, устанавливаемых
ГОСТ 25546, от вида привода и от способа подвеса груза. Примерный перечень мостовых и подвесных кранов разных групп режимов работы приведен в
В.1 Приложения В.
9.2. Нормативные значения вертикальных нагрузок, передаваемых колесами кранов на балки кранового пути, и другие необходимые для расчета данные следует принимать в соответствии с требованиями государственных стандартов на краны, а для нестандартных кранов - в соответствии с данными, указанными в паспортах заводов-изготовителей.
Примечание. Под крановым путем понимаются обе балки, несущие один мостовой кран, и все балки, несущие один подвесной кран (две балки - при однопролетном, три - при двухпролетном подвесном кране и т.п.).
9.3. Нормативное значение горизонтальной нагрузки, направленной вдоль кранового пути и вызываемой торможением моста электрического крана, следует принимать равным 0,1 полного нормативного значения вертикальной нагрузки на тормозные колеса рассматриваемой стороны крана.
9.4. Нормативное значение горизонтальной нагрузки, направленной поперек кранового пути и вызываемой торможением электрической тележки, следует принимать равным:
- для кранов с гибким подвесом груза - 0,05 суммы подъемной силы крана и веса тележки;
- для кранов с жестким подвесом груза - 0,1 суммы подъемной силы крана и веса тележки.
Эту нагрузку следует учитывать при расчете поперечных рам зданий и балок крановых путей. При этом принимается, что нагрузка передается на одну сторону (балку) кранового пути, распределяется поровну между всеми опирающимися на нее колесами крана и может быть направлена как внутрь, так и наружу рассматриваемого пролета.
9.5. Нормативное значение горизонтальной нагрузки, направленной поперек кранового пути и вызываемой перекосами мостовых электрических кранов и непараллельностью крановых путей (боковой силой), для каждого ходового колеса крана следует принимать равным 0,2 полного нормативного значения вертикальной нагрузки на колесо.
Эту нагрузку необходимо учитывать только при расчете прочности и устойчивости балок крановых путей и их креплений к колоннам в зданиях с кранами групп режимов работы 7К, 8К. При этом принимается, что нагрузка передается на балку кранового пути от всех колес одной стороны крана и может быть направлена как внутрь, так и наружу рассматриваемого пролета здания. Нагрузку, указанную в
9.4, не следует учитывать совместно с боковой силой.
9.6. Горизонтальные нагрузки от торможения моста и тележки крана и боковые силы считаются приложенными в месте контакта ходовых колес крана с рельсом.
9.7. Нормативное значение горизонтальной нагрузки, направленной вдоль кранового пути и вызываемой ударом крана о тупиковый упор, следует определять в соответствии с указаниями, приведенными в
В.2 Приложения В. Эту нагрузку необходимо учитывать только при расчете упоров и их креплений к балкам кранового пути.
9.8. Коэффициент надежности по нагрузке для крановых нагрузок следует принимать равным

для всех режимов работы.
9.9. При учете местного и динамического действия сосредоточенной вертикальной нагрузки от одного колеса крана полное нормативное значение этой нагрузки следует умножать при расчете прочности балок крановых путей на дополнительный коэффициент, равный:
1,8 - для группы режима работы кранов 8К с жестким подвесом груза;
1,7 - для группы режима работы кранов 8К с гибким подвесом груза;
1,6 - для группы режима работы кранов 7К;
1,4 - для группы режима работы кранов 6К;
1,2 - для остальных групп режимов работы кранов.
9.10. При проверке местной устойчивости стенок балок значение коэффициента надежности по нагрузке следует принимать равным 1,2.
9.11. При расчете прочности и устойчивости балок кранового пути и их креплений к несущим конструкциям расчетные значения вертикальных крановых нагрузок следует умножать на коэффициент динамичности, равный 1,2 независимо от шага колонн.
При расчете конструкций на выносливость, проверке прогибов балок крановых путей и смещений колонн, а также при учете местного действия сосредоточенной вертикальной нагрузки от одного колеса крана коэффициент динамичности учитывать не следует.
9.12. Вертикальные нагрузки при расчете прочности и устойчивости балок крановых путей следует учитывать не более чем от двух наиболее неблагоприятных по воздействию мостовых или подвесных кранов.
9.13. Вертикальные нагрузки при расчете прочности и устойчивости рам, колонн, фундаментов, а также оснований в зданиях с мостовыми кранами в нескольких пролетах (в каждом пролете на одном ярусе) следует принимать на каждом пути не более чем от двух наиболее неблагоприятных по воздействию кранов, а при учете совмещения в одном створе кранов разных пролетов - не более чем от четырех наиболее неблагоприятных по воздействию кранов.
9.14. Вертикальные нагрузки при расчете прочности и устойчивости рам, колонн, стропильных и подстропильных конструкций, фундаментов, а также оснований зданий с подвесными кранами на одном или нескольких путях следует принимать на каждом пути не более чем от двух наиболее неблагоприятных по воздействию кранов. При учете совмещения в одном створе подвесных кранов, работающих на разных путях, вертикальные нагрузки следует принимать:
не более чем от двух кранов:
- для колонн, подстропильных конструкций, фундаментов и оснований крайнего ряда при двух крановых путях в пролете;
не более чем от четырех кранов:
- для колонн, подстропильных конструкций, фундаментов и оснований среднего ряда;
- для колонн, подстропильных конструкций, фундаментов и оснований крайнего ряда при трех крановых путях в пролете;
- для стропильных конструкций при двух или трех крановых путях в пролете.
9.15. Горизонтальные нагрузки при расчете прочности и устойчивости балок крановых путей, колонн, рам, стропильных и подстропильных конструкций, фундаментов, а также оснований следует учитывать не более чем от двух наиболее неблагоприятных по воздействию кранов, расположенных на одном крановом пути или на разных путях в одном створе. При этом для каждого крана необходимо учитывать только одну горизонтальную нагрузку (поперечную или продольную).
9.16. Число кранов, учитываемое в расчетах прочности и устойчивости при определении вертикальных и горизонтальных нагрузок от мостовых кранов на двух или трех ярусах в пролете, при одновременном размещении в пролете как подвесных, так и мостовых кранов, а также при эксплуатации подвесных кранов, предназначенных для передачи груза с одного крана на другой с помощью перекидных мостиков, следует принимать по строительному заданию на основании технологических решений.
9.17. При определении вертикальных и горизонтальных прогибов балок крановых путей, а также горизонтальных смещений колонн нагрузку следует учитывать от одного наиболее неблагоприятного по воздействию крана.
9.18. При наличии на крановом пути одного крана и при условии, что второй кран не будет установлен во время эксплуатации сооружения, нагрузки на этом пути должны быть учтены только от одного крана.
9.19. При учете двух кранов нагрузки от них необходимо умножать на коэффициент сочетаний:

- для групп режимов работы кранов 1К - 6К;

- для групп режимов работы кранов 7К, 8К.
При учете четырех кранов нагрузки от них необходимо умножать на коэффициент сочетаний:

- для групп режимов работы кранов 1К - 6К;

- для групп режимов работы кранов 7К, 8К.
При учете одного крана вертикальные и горизонтальные нагрузки от него необходимо принимать без снижения.
9.20. Пониженные значения крановых нагрузок определяются умножением нормативного значения вертикальной нагрузки от одного крана (см.
9.2) в каждом пролете здания на коэффициент: 0,5 - для групп режимов работы кранов 4К - 6К; 0,6 - для группы режима работы кранов 7К; 0,7 - для группы режима работы кранов 8К. Группы режимов работы кранов принимаются по
ГОСТ 25546.
9.21. При расчете на выносливость балок крановых путей под электрические мостовые краны и креплений этих балок к несущим конструкциям следует учитывать пониженные значения нагрузок в соответствии с
9.20, и при этом для проверки выносливости стенок балок в зоне действия сосредоточенной вертикальной нагрузки от одного колеса крана пониженные значения вертикального усилия колеса следует умножать на коэффициент, учитываемый при расчете прочности балок крановых путей в соответствии с
9.9. Группы режимов работы кранов, при которых следует производить расчет на выносливость, устанавливаются нормами на конструкции.
| | Применение на обязательной основе раздела 10 обеспечивает соблюдение требований Федерального закона от 30.12.2009 N 384-ФЗ "Технический регламент о безопасности зданий и сооружений" (Постановление Правительства РФ от 26.12.2014 N 1521). | |
10.1. Нормативное значение снеговой нагрузки на горизонтальную проекцию покрытия следует определять по формуле

, (10.1)
где

- коэффициент, учитывающий снос снега с покрытий зданий под действием ветра или иных факторов, принимаемый в соответствии с
10.5 -
10.9;

- термический коэффициент, принимаемый в соответствии с
10.10;

- коэффициент перехода от веса снегового покрова земли к снеговой нагрузке на покрытие, принимаемый в соответствии с
10.4;

- вес снегового покрова на 1 м
2 горизонтальной поверхности земли, принимаемый в соответствии с 10.2.
10.2. Вес снегового покрова

на 1 м
2 горизонтальной поверхности земли для площадок, расположенных на высоте не более 1500 м над уровнем моря, принимается в зависимости от снегового района Российской Федерации по данным таблицы 10.1.
Таблица 10.1
Снеговые районы (принимаются по карте 1 Приложения Ж) | I | II | III | IV | V | VI | VII | VIII |
Sg, кПа | 0,8 | 1,2 | 1,8 | 2,4 | 3,2 | 4,0 | 4,8 | 5,6 |
В горных и малоизученных районах, обозначенных на
карте 1 Приложения Ж, в пунктах с высотой над уровнем моря более 1500 м, в местах со сложным рельефом и иных случаях (см.
4.4) вес снегового покрова допускается определять в установленном порядке на основе данных ближайших метеостанций Росгидромета. При этом значение

следует принимать как превышаемый в среднем один раз в 25 лет ежегодный максимум веса снегового покрова, определяемый на основе данных маршрутных снегосъемок о запасах воды на защищенных от прямого воздействия ветра участках (в лесу под кронами деревьев или на лесных полянах) за период не менее 20 лет.
10.3. В расчетах необходимо рассматривать схемы как равномерно распределенных, так и неравномерно распределенных снеговых нагрузок, образуемых на покрытиях вследствие перемещения снега под действием ветра или других факторов, в их наиболее неблагоприятных расчетных сочетаниях.
10.4. Схемы распределения снеговой нагрузки и значения коэффициента

для покрытий, имеющих наибольший характерный размер в плане не более 100 м, следует принимать в соответствии с
Приложением Г, при этом промежуточные значения коэффициента

определяются линейной интерполяцией.
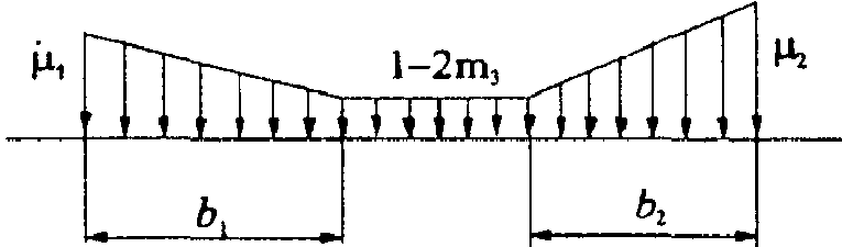
В тех случаях, когда более неблагоприятные условия работы элементов конструкций возникают при частичном загружении покрытия, следует рассматривать схемы со снеговой нагрузкой, действующей на половине или четверти его площади (для покрытий с фонарями - на участках шириной b).
Примечания. 1. В необходимых случаях снеговые нагрузки следует определять с учетом предусмотренного дальнейшего расширения здания.
2. В тех случаях, когда в
Приложении Г не приводятся схемы распределения снеговой нагрузки по покрытиям рассматриваемого типа, например для пространственных покрытий сложной геометрической формы, а также для покрытий, имеющих наибольший характерный размер в плане более 100 м, их необходимо определять по данным испытаний на основе специально разработанных рекомендаций.
3. Нормативное значение снеговой нагрузки

на схемах
Приложения Г следует принимать без учета коэффициентов

,

и

.
4. При расчетах конструкций допускается применение упрощенных схем снеговых нагрузок, эквивалентных по воздействию схемам нагрузок, приведенным в
Приложении Г.
10.5. Для пологих (с уклонами до 12% или с f/l <= 0,05) покрытий однопролетных и многопролетных зданий без фонарей, проектируемых в районах со средней скоростью ветра за три наиболее холодных месяца V >= 2 м/с (см.
схемы Г.1,
Г.2,
Г.5 и
Г.6 Приложения Г), следует установить коэффициент сноса снега

, (10.2)
b - ширина покрытия, принимаемая не более 100 м.
10.6. Для покрытий с уклонами от 12 до 20% однопролетных и многопролетных зданий без фонарей, проектируемых в районах с V >= 4 м/с (см.
схемы Г.1 и
Г.5 Приложения Г) следует установить коэффициент сноса

. (10.3)
Средняя скорость ветра V за три наиболее холодных месяца принимается по
карте 2 рекомендуемого Приложения Ж.
10.7. Для покрытий высотных зданий высотой свыше 75 м с уклонами до 20% (см.
схемы Г.1,
Г.2,
Г.5 и
Г.6 Приложения Г) допускается принимать

.
10.8. Для купольных сферических и конических покрытий зданий на круглом плане, регламентируемых
схемами Г.13,
Г.14 Приложения Г, при задании равномерно распределенной снеговой нагрузки значения коэффициента

следует устанавливать в зависимости от диаметра d основания купола:

;

;

- в промежуточных случаях.
10.9. Снижение снеговой нагрузки, предусматриваемое
пунктами 10.5 -
10.8, не распространяется:
а) на покрытия зданий в районах со среднемесячной температурой воздуха в январе выше минус 5 °C (см.
карту 5 Приложения Ж);
б) на покрытия зданий, защищенных от прямого воздействия ветра соседними более высокими зданиями, удаленными менее чем на

, где

- разность высот соседнего и проектируемого зданий;
в) на участки покрытий длиной b,

и

, у перепадов высот зданий и парапетов (см.
схемы Г.8 -
Г.11 Приложения Г).
В остальных случаях, не указанных
10.5 -
10.8, следует принимать

. (10.4)
10.10. Термический коэффициент

следует применять для учета понижения снеговых нагрузок на покрытия с высоким коэффициентом теплопередачи (> 1 Вт/(м
2 x °C) вследствие таяния, вызванного потерей тепла.
При определении снеговых нагрузок для неутепленных покрытий зданий с повышенными тепловыделениями, приводящими к таянию снега, при уклонах кровли свыше 3% и обеспечении надлежащего отвода талой воды следует вводить термический коэффициент

. (10.5)
Примечание. Допускаемые пониженные значения

, основанные на термоизоляционных свойствах материалов и форме конструктивных элементов, могут быть заданы в специальных рекомендациях.
В остальных случаях

. (10.6)
10.11. Для районов со средней температурой января минус 5 °C и ниже (по
карте 5 Приложения Ж) пониженное нормативное значение снеговой нагрузки (см.
4.1) определяется умножением ее нормативного значения на коэффициент 0,7.
Для районов со средней температурой января выше минус 5 °C пониженное значение снеговой нагрузки не учитывается.
10.12. Коэффициент надежности по снеговой нагрузке

следует принимать равным 1,4.
| | Применение на обязательной основе раздела 11 обеспечивает соблюдение требований Федерального закона от 30.12.2009 N 384-ФЗ "Технический регламент о безопасности зданий и сооружений" (Постановление Правительства РФ от 26.12.2014 N 1521). | |
Для зданий и сооружений необходимо учитывать следующие воздействия ветра:
а) основной тип ветровой нагрузки (в дальнейшем - "ветровая нагрузка");
б) пиковые значения ветровой нагрузки, действующие на конструктивные элементы ограждения и элементы их крепления;
в) резонансное вихревое возбуждение;
г) аэродинамические неустойчивые колебания типа галопирования, дивергенции и флаттера (см. также
раздел 14).
Резонансное вихревое возбуждение и аэродинамические неустойчивые колебания типа галопирования необходимо учитывать для зданий и сплошностенчатых сооружений, у которых h/d > 10, где h - высота, d - характерный поперечный размер.
11.1. Расчетная ветровая нагрузка
11.1.1. Нормативное значение ветровой нагрузки w следует задавать в одном из двух вариантов. В первом случае нагрузка w представляет собой совокупность:
а) нормального давления

, приложенного к внешней поверхности сооружения или элемента;
б) сил трения

, направленных по касательной к внешней поверхности и отнесенных к площади ее горизонтальной (для шедовых или волнистых покрытий, покрытий с фонарями) или вертикальной проекции (для стен с лоджиями и подобных конструкций);
в) нормального давления

, приложенного к внутренним поверхностям сооружений с проницаемыми ограждениями, с открывающимися или постоянно открытыми проемами.
Во втором случае нагрузка w рассматривается как совокупность:
а) проекций

и

, внешних сил в направлении осей x и y, обусловленных общим сопротивлением сооружения;
б) крутящего момента

относительно оси z.
При разработке архитектурно-планировочных решений городских кварталов, а также при планировании возведения зданий внутри существующих городских кварталов рекомендуется провести оценку комфортности пешеходных зон в соответствии с требованиями норм или технических условий.
11.1.2. Нормативное значение ветровой нагрузки w следует определять как сумму средней

и пульсационной

составляющих

. (11.1)
При определении внутреннего давления

пульсационную составляющую ветровой нагрузки допускается не учитывать.
11.1.3. Нормативное значение средней составляющей ветровой нагрузки

в зависимости от эквивалентной высоты

над поверхностью земли следует определять по формуле

, (11.2)
где

- нормативное значение ветрового давления (см. 11.1.4);

- коэффициент, учитывающий изменение ветрового давления для высоты

(см.
11.1.5 и
11.1.6);
c - аэродинамический коэффициент (см.
11.1.7).
11.1.4. Нормативное значение ветрового давления

принимается в зависимости от ветрового района по
таблице 11.1. Нормативное значение ветрового давления допускается определять в установленном порядке на основе данных метеостанций Росгидромета (см.
4.4). В этом случае

, Па, следует определять по формуле

, (11.3)
где

- давление ветра, соответствующее скорости ветра, м/с, на уровне 10 м над поверхностью земли для местности типа A
(11.1.6), определяемой с 10-минутным интервалом осреднения и превышаемой в среднем один раз в 50 лет.
Ветровые районы (принимаются по карте 3 Приложения Ж) | Iа | I | II | III | IV | V | VI | VII |
w0, кПа | 0,17 | 0,23 | 0,30 | 0,38 | 0,48 | 0,60 | 0,73 | 0,85 |
11.1.5. Эквивалентная высота

определяется следующим образом.
1. Для башенных сооружений, мачт, труб и т.п. сооружений

.
2. Для зданий:
а) при

;
б) при d < h <= 2d:
для

;
для

;
в) при h > 2d:
для

;
для

;
для

.
Здесь z - высота от поверхности земли;
d - размер здания (без учета его стилобатной части) в направлении, перпендикулярном расчетному направлению ветра (поперечный размер);
h - высота здания.
A - открытые побережья морей, озер и водохранилищ, сельские местности, в том числе с постройками высотой менее 10 м, пустыни, степи, лесостепи, тундра;
B - городские территории, лесные массивы и другие местности, равномерно покрытые препятствиями высотой более 10 м;
C - городские районы с плотной застройкой зданиями высотой более 25 м.
Высота  , м | Коэффициент k для типов местности |
A | B | C |
<= 5 | 0,75 | 0,5 | 0,4 |
10 | 1,0 | 0,65 | 0,4 |
20 | 1,25 | 0,85 | 0,55 |
40 | 1,5 | 1,1 | 0,8 |
60 | 1,7 | 1,3 | 1,0 |
80 | 1,85 | 1,45 | 1,15 |
100 | 2,0 | 1,6 | 1,25 |
150 | 2,25 | 1,9 | 1,55 |
200 | 2,45 | 2,1 | 1,8 |
250 | 2,65 | 2,3 | 2,0 |
300 | 2,75 | 2,5 | 2,2 |
350 | 2,75 | 2,75 | 2,35 |
>= 480 | 2,75 | 2,75 | 2,75 |
Сооружение считается расположенным в местности данного типа, если эта местность сохраняется с наветренной стороны сооружения на расстоянии 30h - при высоте сооружения h до 60 м и на расстоянии 2 км - при h > 60 м.
Примечание. Типы местности могут быть различными для разных расчетных направлений ветра.

. (11.4)
Значения параметров

и

для различных типов местностей приведены в таблице 11.3.
Таблица 11.3
Параметр | Тип местности |
A | B | C |
| 0,15 | 0,20 | 0,25 |
| 1,0 | 0,65 | 0,4 |
| 0,76 | 1,06 | 1,78 |
| | ИС МЕГАНОРМ: примечание. В официальном тексте документа, видимо, допущена опечатка: имеется в виду пункт Д.1 Приложения Д, а не Приложение Д.1. | |
11.1.7. При определении компонентов ветровой нагрузки

,

,

,

,

и

следует использовать соответствующие значения аэродинамических коэффициентов: внешнего давления

, трения

, внутреннего давления

и лобового сопротивления

, поперечной силы

, крутящего момента

, принимаемых по
Приложению Д.1, где стрелками показано направление ветра. Знак "плюс" у коэффициентов

или

соответствует направлению давления ветра на соответствующую поверхность (активное давление), знак "минус" - от поверхности (отсос). Промежуточные значения нагрузок следует определять линейной интерполяцией.
При определении ветровой нагрузки на поверхности внутренних стен и перегородок при отсутствии наружного ограждения (на стадии монтажа) следует использовать аэродинамические коэффициенты внешнего давления

или лобового сопротивления

.
Для сооружений повышенного уровня ответственности, а также во всех случаях, не предусмотренных
Д.1 Приложения Д (иные формы сооружений, учет при надлежащем обосновании других направлений ветрового потока или составляющих общего сопротивления тела по другим направлениям, необходимость учета влияния рядом стоящих зданий и сооружений и т.п. случаях), аэродинамические коэффициенты необходимо принимать на основе результатов продувок моделей сооружений в аэродинамических трубах или по рекомендациям, разработанным специализированными организациями.
Примечания. 1. При назначении коэффициентов

,

, и

необходимо указать размеры сооружения, к которым они отнесены.
| | ИС МЕГАНОРМ: примечание. В официальном тексте документа, видимо, допущена опечатка: имеется в виду пункт Д.1 Приложения Д, а не Приложение Д.1. | |
2. Значения аэродинамических коэффициентов, указанных в
Приложении Д.1, допускается уточнять на основе данных модельных аэродинамических испытаний сооружений.
11.1.8. Нормативное значение пульсационной составляющей ветровой нагрузки

на эквивалентной высоте

следует определять следующим образом:
а) для сооружений (и их конструктивных элементов), у которых первая частота собственных колебаний

, Гц, больше предельного значения собственной частоты

(см.
11.1.10), - по формуле

, (11.5)
где

- определяется в соответствии с
11.1.3;

- коэффициент пульсации давления ветра, принимаемый по таблице 11.4 или
формуле (11.6) для эквивалентной высоты

(см.
11.1.5);

- коэффициент пространственной корреляции пульсаций давления ветра (см.
11.1.11).
Высота  , м | Коэффициент пульсаций давления ветра  , для типов местности |
A | B | C |
<= 5 | 0,85 | 1,22 | 1,78 |
10 | 0,76 | 1,06 | 1,78 |
20 | 0,69 | 0,92 | 1,50 |
40 | 0,62 | 0,80 | 1,26 |
60 | 0,58 | 0,74 | 1,14 |
80 | 0,56 | 0,70 | 1,06 |
100 | 0,54 | 0,67 | 1,00 |
150 | 0,51 | 0,62 | 0,90 |
200 | 0,49 | 0,58 | 0,84 |
250 | 0,47 | 0,56 | 0,80 |
300 | 0,46 | 0,54 | 0,76 |
350 | 0,46 | 0,52 | 0,73 |
>= 480 | 0,46 | 0,50 | 0,68 |

. (11.6)
Значения параметров

и

для различных типов местностей приведены в
таблице 11.4;
б) для всех сооружений (и их конструктивных элементов), у которых

, - по формуле

, (11.7)
где

- вторая собственная частота;

- коэффициент динамичности, определяемый по
рисунку 11.1 в зависимости от параметра логарифмического декремента колебаний

(см.
11.1.1) и параметра

, который определяется по формуле (11.8) для первой собственной частоты

;

. (11.8)
Рисунок 11.1. Коэффициенты динамичности
Здесь

(Па) - нормативное значение давления ветра
(11.1.4);

- коэффициент, учитывающий изменение давления ветра для высоты
(11.1.6);

- коэффициент надежности по нагрузке
(11.1.12).
Для конструктивных элементов

- высота z, на которой они расположены; для зданий и сооружений

, где h - высота сооружений;
в) для сооружений, у которых вторая собственная частота меньше предельной, необходимо производить динамический расчет с учетом s первых форм собственных колебаний. Число s следует определять из условия

;
г) при расчете зданий допускается учитывать динамическую реакцию по трем низшим собственным формам колебаний (двум изгибным и одной крутильной или смешанным крутильно-изгибным).
Примечание. При расчете многоэтажных зданий высотой до 40 м и одноэтажных производственных зданий высотой до 36 м при отношении высоты к пролету менее 1,5, размещаемых в местностях типа A и B (см.
11.1.6), пульсационную составляющую ветровой нагрузки допускается определять по
формуле (11.5).
11.1.9. Усилия и перемещения при учете динамической реакции по s собственным формам определяются по формуле

, (11.9)
где X - суммарные усилия или перемещения;

- усилия или перемещения по s-й форме колебаний.
11.1.10. Предельное значение частоты собственных колебаний

, Гц, следует определять по таблице 11.5.
Таблица 11.5
Ветровые районы (принимаются по карте 3 Приложения Ж) |  , Гц |
| |
Iа | 0,85 | 2,6 |
I | 0,95 | 2,9 |
II | 1,1 | 3,4 |
III | 1,2 | 3,8 |
IV | 1,4 | 4,3 |
V | 1,6 | 5,0 |
VI | 1,7 | 5,6 |
VII | 1,9 | 5,9 |
Значение логарифмического декремента колебаний

следует принимать:
а) для железобетонных и каменных сооружений, а также для зданий со стальным каркасом при наличии ограждающих конструкций

;
б) для стальных сооружений футерованных дымовых труб, аппаратов колонного типа, в том числе на железобетонных постаментах

.
11.1.11. Коэффициент пространственной корреляции пульсаций давления

следует определять для расчетной поверхности сооружения или отдельной конструкции, для которой учитывается корреляция пульсаций.
Расчетная поверхность включает в себя те части наветренных и подветренных поверхностей, боковых стен, кровли и подобных конструкций, с которых давление ветра передается на рассчитываемый элемент сооружения.
Если расчетная поверхность близка к прямоугольнику, ориентированному так, что его стороны параллельны основным осям (рисунок 11.2), то коэффициент

следует определять по
таблице 11.6 в зависимости от параметров

и

, принимаемых по
таблице 11.7.
Рисунок 11.2. Основная система координат
при определении коэффициента корреляции 
 , м | Коэффициент  при  , м, равном |
5 | 10 | 20 | 40 | 80 | 160 | 350 |
0,1 | 0,95 | 0,92 | 0,88 | 0,83 | 0,76 | 0,67 | 0,56 |
5 | 0,89 | 0,87 | 0,84 | 0,80 | 0,73 | 0,65 | 0,54 |
10 | 0,85 | 0,84 | 0,81 | 0,77 | 0,71 | 0,64 | 0,53 |
20 | 0,80 | 0,78 | 0,76 | 0,73 | 0,68 | 0,61 | 0,51 |
40 | 0,72 | 0,72 | 0,70 | 0,67 | 0,63 | 0,57 | 0,48 |
80 | 0,63 | 0,63 | 0,61 | 0,59 | 0,56 | 0,51 | 0,44 |
160 | 0,53 | 0,53 | 0,52 | 0,50 | 0,47 | 0,44 | 0,38 |
Основная координатная плоскость, параллельно которой расположена расчетная поверхность | | |
z0y | b | h |
z0x | 0,4a | h |
x0y | b | a |
При расчете сооружения в целом размеры расчетной поверхности следует определять с учетом указаний
Д.1 Приложения Д, при этом для решетчатых сооружений в качестве расчетной поверхности необходимо принимать размеры расчетной поверхности по его внешнему контуру.
11.1.12. Коэффициент надежности по ветровой нагрузке следует принимать равным 1,4.
11.2. Пиковая ветровая нагрузка
Для элементов ограждения и узлов их крепления необходимо учитывать пиковые положительные

и отрицательные

воздействия ветровой нагрузки, нормативные значения которых определяются по формуле

, (11.10)
где

- нормативное значение давления ветра
(11.1.4);

и

- коэффициенты, учитывающие, соответственно, изменение давления и пульсаций давления ветра на высоте

(
11.1.6 и
11.1.8);

- пиковые значения аэродинамических коэффициентов положительного давления (+) или отсоса (-);

- коэффициенты корреляции ветровой нагрузки, соответствующие положительному давлению (+) и отсосу (-); значения этих коэффициентов приведены в таблице 11.8 в зависимости от площади ограждения A, с которой собирается ветровая нагрузка.
Таблица 11.8
A, м2 | < 2 | 5 | 10 | > 20 |
| 1,0 | 0,9 | 0,8 | 0,75 |
| 1,0 | 0,85 | 0,75 | 0,65 |
| | ИС МЕГАНОРМ: примечание. В официальном тексте документа, видимо, допущена опечатка: имеется в виду пункт Д.1 Приложения Д, а не Приложение Д.1. | |
Аэродинамические коэффициенты

и

, как правило, определяются на основе результатов модельных испытаний сооружений в аэродинамических трубах. Для отдельно стоящих прямоугольных в плане зданий значения этих коэффициентов приведены на
схеме Д.1.17 Приложения Д.1.
Примечание. При определении пиковой ветровой нагрузки
(формула (11.10)) принято, что конструктивные элементы ограждения и узлы их крепления к зданию являются достаточно жесткими и в них не возникает заметных динамических усилий и перемещений. В случае если собственные частоты системы "элементы ограждения - их несущие конструкции - элементы их крепления" менее 1,5 Гц, расчетные значения пиковой ветровой нагрузки должны быть уточнены на основе результатов динамического расчета указанной системы конструктивных элементов.
11.3. Резонансное вихревое возбуждение
11.3.1. Для зданий и сооружений, удовлетворяющих условию h/d > 10, необходимо проводить их поверочный расчет на резонансное вихревое возбуждение; здесь h - высота сооружения, d - его характерный поперечный размер в направлении, перпендикулярном средней скорости ветра.
11.3.2. Критические скорости ветра

, при которых происходит резонансное вихревое возбуждение по i-й собственной форме колебаний, определяются по формуле

, (11.11)
где

, Гц, - собственная частота колебаний по i-й изгибной собственной форме;
d, м, - поперечный размер сооружения;
St - число Струхаля поперечного сечения, определяемое экспериментально или по справочным данным; для круглых поперечных сечений St = 0,2; для сечений с острыми кромками (в т.ч. и прямоугольных) - St = 0,11.
11.3.3. Резонансное вихревое возбуждение не возникает в том случае, если

, (11.12)
где

- максимальная скорость ветра на уровне

, определяемая по формуле

, (11.13)
где

, Па, и

определяются в соответствии с указаниями
11.1.4 и
11.1.6.
Для зданий и башенных сооружений с плавно изменяющейся формой поперечного сечения, а также труб и мачт без оттяжек

.
11.3.4. Ветровые нагрузки, возникающие при резонансном вихревом возбуждении, допускается определять в соответствии с указаниями
Д.2 Приложения Д.
11.4. Динамическая комфортность
При оценке комфортности пребывания людей в зданиях (динамическая комфортность) расчетные значения ветровой нагрузки

принимаются равными

, (11.14)
где

- нормативное значение пульсационной составляющей ветровой нагрузки
(11.1.8).
При этом максимальное ускорение этажа здания не должно превышать величины

. (11.15)
| | Применение на обязательной основе раздела 12 обеспечивает соблюдение требований Федерального закона от 30.12.2009 N 384-ФЗ "Технический регламент о безопасности зданий и сооружений" (Постановление Правительства РФ от 26.12.2014 N 1521). | |
12.1. Гололедные нагрузки необходимо учитывать для воздушных линий электропередачи и связи, контактных сетей электрифицированного транспорта, антенно-мачтовых устройств, шпилей, вентилируемых фасадов зданий, для решетчатых ограждений балконов, стен и покрытий высотных зданий, расположенных на высоте 150 м и более, и подобных сооружений.
12.2. Нормативное значение линейной гололедной нагрузки для элементов кругового сечения диаметром до 70 мм включительно (проводов, тросов, оттяжек, мачт, вант и др.) i, Н/м, следует определять по формуле

. (12.1)
Нормативное значение поверхностной гололедной нагрузки i', Па, для вентилируемых фасадов зданий и других элементов следует определять по формуле

. (12.2)
b - толщина стенки гололеда, мм (превышаемая один раз в 5 лет), на элементах кругового сечения диаметром 10 мм, расположенных на высоте 10 м над поверхностью земли, принимаемая по
таблице 12.1, а на высоте 200 м и более - по
таблице 12.2. Для других периодов повторяемости или при наличии метеорологических данных для района строительства толщину стенки гололеда следует принимать по специальным техническим условиям, утвержденным в установленном порядке;
k - коэффициент, учитывающий изменение толщины стенки гололеда по высоте и принимаемый по
таблице 12.3;
d, мм, - диаметр провода, троса;

- коэффициент, учитывающий изменение толщины стенки гололеда в зависимости от диаметра элементов кругового сечения и определяемый по
таблице 12.4;

- коэффициент, учитывающий отношение площади поверхности элемента, подверженной обледенению, к полной площади поверхности элемента и принимаемый равным 0,6;

- плотность льда, принимаемая равной 0,9 г/см3;
g, м/с2, - ускорение свободного падения.
Гололедные районы (принимаются по карте 4 Приложения Ж) | I | II | III | IV | V |
Толщина стенки гололеда b, мм | Не менее 3 | 5 | 10 | 15 | Не менее 20 |
Высота над поверхностью земли, м | Толщина стенки гололеда b, мм, для разных районов |
I района гололедности азиатской части | V района гололедности и горных местностей | северной части европейской территории | остальных |
200 | 15 | Принимается на основании специальных обследований | | 35 |
300 | 20 | То же | | 45 |
| | ИС МЕГАНОРМ: примечание. В официальном тексте документа, видимо, допущена опечатка: карта 4, е в Приложении Ж отсутствует. | |
|
400 | 25 | " | " по карте 4, е | 60 |
Высота над поверхностью земли, м | 5 | 10 | 20 | 30 | 50 | 70 | 100 |
Коэффициент k | 0,8 | 1,0 | 1,2 | 1,4 | 1,6 | 1,8 | 2,0 |
Диаметр провода, троса или каната, мм | 5 | 10 | 20 | 30 | 50 | 70 |
Коэффициент  | 1,1 | 1,0 | 0,9 | 0,8 | 0,7 | 0,6 |
Примечания (к таблицам 12.1 - 12.4). 1. В V районе, горных и малоизученных районах, обозначенных на карте 4 Приложения Ж, а также в сильнопересеченных местностях (на вершинах гор и холмов, на перевалах, на высоких насыпях, в закрытых горных долинах, котловинах, глубоких выемках и т.п.) толщину стенки гололеда необходимо определять на основании данных специальных обследований и наблюдений. 2. Промежуточные значения величин следует определять линейной интерполяцией. 3. Толщину стенки гололеда на подвешенных горизонтальных элементах кругового сечения (тросах, проводах, канатах) допускается принимать на высоте расположения их приведенного центра тяжести. |
Для определения гололедной нагрузки на горизонтальные элементы круговой цилиндрической формы диаметром до 70 мм толщину стенки гололеда, приведенную в
таблице 12.2, следует снижать на 10%.
12.3. Нормативное значение ветровой нагрузки на покрытые гололедом элементы следует принимать равным 25% нагрузки w, определяемой согласно
11.1.
Примечания. 1. В отдельных районах, где наблюдаются сочетания значительных скоростей ветра с большими размерами гололедно-изморозевых отложений, толщину стенки гололеда и его плотность, а также давление ветра следует принимать в соответствии с фактическими данными.
2. При определении ветровых нагрузок на элементы сооружений, расположенных на высоте более 100 м над поверхностью земли, диаметр обледенелых проводов и тросов, установленный с учетом толщины стенки гололеда, приведенной в
таблице 12.2, необходимо умножать на коэффициент, равный 1,5.
12.4. Температуру воздуха при гололеде независимо от высоты сооружений следует принимать в горных районах с отметкой: более 2000 м - минус 15 °C, от 1000 до 2000 м - минус 10 °C; для остальной территории для сооружений высотой до 100 м - минус 5 °C, более 100 м - минус 10 °C.
Примечание. В районах, где при гололеде наблюдается температура ниже минус 15 °C, ее следует принимать по фактическим данным.
12.5. Коэффициент надежности по нагрузке

для гололедной нагрузки следует принимать равным 1,3, за исключением случаев, оговоренных в других нормативных документах.
| | Применение на обязательной основе раздела 13 обеспечивает соблюдение требований Федерального закона от 30.12.2009 N 384-ФЗ "Технический регламент о безопасности зданий и сооружений" (Постановление Правительства РФ от 26.12.2014 N 1521). | |
13. Температурные климатические воздействия
13.1. Для конструкций, не защищенных от суточных и сезонных изменений температуры, следует учитывать изменение во времени

средней температуры и перепад температуры

по сечению элемента, за исключением случаев, предусмотренных нормами проектирования конструкций. Для конструкций, защищенных от суточных и сезонных изменений температуры, температурные климатические воздействия не учитываются.
13.2. Нормативные значения изменений средних температур по сечению элемента в теплое

и холодное

время года соответственно следует определять по формулам:

; (13.1)

, (13.2)
где

,

- нормативные значения средних температур по сечению элемента в теплое и холодное время года, принимаемые в соответствии с 13.3;

,

- начальные температуры в теплое и холодное время года, принимаемые в соответствии с
13.6.
13.3. Нормативные значения средних температур

и

и перепадов температуры по сечению элемента в теплое

и холодное

время года для однослойных конструкций следует определять по таблице 13.1.
Примечание. Для многослойных конструкций

,

,

,

определяются расчетом. Конструкции, изготовленные из нескольких материалов, близких по теплофизическим параметрам, допускается рассматривать как однослойные.
Таблица 13.1
Конструкции зданий | Здания и сооружения в стадии эксплуатации |
неотапливаемые здания (без технологических источников тепла) и открытые сооружения | отапливаемые здания | здания с искусственным климатом или с постоянными технологическими источниками тепла |
Не защищенные от воздействия солнечной радиации (в том числе наружные ограждающие) | | |
| |
| |
| |
Защищенные от воздействия солнечной радиации (в том числе внутренние) | tw = tew | tw = tiw |
|
tc = tec | tc = tic |
|
Обозначения, принятые в табл. 13.1: tew, tec - средние суточные температуры наружного воздуха в теплое и холодное время года соответственно, принимаемые в соответствии с 13.4; tiw, tic - температуры внутреннего воздуха помещений в теплое и холодное время года соответственно, принимаемые по ГОСТ 12.1.005 или по заданию на проектирование с учетом технологических решений;  ,  ,  - приращения средних по сечению элемента температур и перепада температуры от суточных колебаний температуры наружного воздуха, принимаемые по табл. 13.2;  ,  - приращения средних по сечению элемента температур и перепада температуры от солнечной радиации, принимаемые в соответствии с 13.5. Примечания 1 При наличии исходных данных о температуре конструкций в стадии эксплуатации зданий с постоянными технологическими источниками тепла значения tw, tc,  ,  следует принимать на основе этих данных. 2 Для зданий и сооружений в стадии возведения tw, tc,  ,  определяются как для неотапливаемых зданий в стадии их эксплуатации. |
Конструкции зданий | Приращения температуры  , °C |
| | |
Металлические | 8 | 6 | 4 |
Железобетонные, бетонные, армокаменные и каменные толщиной, см: | | | |
до 15 | 8 | 6 | 4 |
от 15 до 39 | 6 | 4 | 6 |
св. 40 | 2 | 2 | 4 |
13.4. Средние суточные температуры наружного воздуха в теплое

и холодное

время года следует определять по формулам:

; (13.3)

, (13.4)
где

,

- многолетние средние месячные температуры воздуха в январе и июле, принимаемые соответственно по
картам 5 и
6 Приложения Ж;

,

- отклонения средних суточных температур от средних месячных (

принимается по
карте 7 Приложения Ж,

).
Примечание. В отапливаемых производственных зданиях на стадии эксплуатации для конструкций, защищенных от воздействия солнечной радиации,

допускается не учитывать.
Для горных и малоизученных районов, обозначенных на
картах 5 -
7 Приложения Ж,

,

определяются по формулам:

; (13.5)

, (13.6)
где

,

- средние из абсолютных значений минимальной температуры воздуха в январе и максимальной - в июле соответственно;

,

- средние суточные амплитуды температуры воздуха в январе и в июле соответственно при ясном небе;

,

,

,

- принимаются по данным органа гидрометеорологии.
13.5. Приращения

и

°C следует определять по формулам:

; (13.7)

, (13.8)
где

- коэффициент поглощения солнечной радиации материалом наружной поверхности конструкции, принимаемый по таблице 13.3;

- максимальное значение суммарной (прямой, рассеянной и отраженной) солнечной радиации, Вт x ч/м
2, принимаемое для горизонтальных поверхностей - по
таблице 13.4, для вертикальных поверхностей различной ориентации - по
таблице 13.5;
Таблица 13.3
Коэффициенты поглощения солнечной радиации
материалом наружной поверхности ограждающей конструкции
Материал наружной поверхности ограждающей конструкции | Коэффициент поглощения солнечной радиации  |
1 | Алюминий | 0,5 |
2 | Асбестоцементные (хризотилцементные) листы | 0,65 |
3 | Асфальтобетон | 0,9 |
4 | Бетоны | 0,7 |
5 | Дерево неокрашенное | 0,6 |
6 | Защитный слой рулонной кровли из светлого гравия | 0,65 |
7 | Кирпич глиняный красный | 0,7 |
8 | Кирпич силикатный | 0,6 |
9 | Облицовка природным камнем белым | 0,45 |
10 | Окраска силикатная темно-серая | 0,7 |
11 | Окраска известковая белая | 0,3 |
12 | Плитка облицовочная керамическая | 0,8 |
13 | Плитка облицовочная стеклянная синяя | 0,6 |
14 | Плитка облицовочная белая или палевая | 0,45 |
15 | Рубероид с песчаной посыпкой | 0,9 |
16 | Сталь листовая, окрашенная белой краской | 0,45 |
17 | Сталь листовая, окрашенная темно-красной краской | 0,8 |
18 | Сталь листовая, окрашенная зеленой краской | 0,6 |
19 | Сталь кровельная оцинкованная | 0,65 |
20 | Стекло облицовочное | 0,7 |
21 | Штукатурка известковая темно-серая или терракотовая | 0,7 |
22 | Штукатурка цементная светло-голубая | 0,3 |
23 | Штукатурка цементная темно-зеленая | 0,6 |
24 | Штукатурка цементная кремовая | 0,4 |
Таблица 13.4
Суммарная солнечная радиация (прямая и рассеянная)
в июле месяце на горизонтальную поверхность
при безоблачном небе, Вт x ч/м2
(максимальная часовая сумма)
Географическая широта, град с.ш. |
38 | 40 | 42 | 44 | 46 | 48 | 50 | 52 |
987 | 968 | 950 | 931 | 913 | 895 | 876 | 858 |
Географическая широта, град с.ш. |
54 | 56 | 58 | 60 | 62 | 64 | 66 | 68 |
839 | 821 | 803 | 784 | 766 | 748 | 729 | 711 |
Таблица 13.5
Суммарная солнечная радиация (прямая,
рассеянная и отраженная), поступающая в июле месяце
на вертикальную поверхность при безоблачном небе,
Вт x ч/м2 (максимальная часовая сумма)
Географическая широта, град с.ш. |
| 38 | 40 | 42 | 44 | 46 | 48 | 50 | 52 |
Южная ориентация | 389 | 415 | 440 | 465 | 490 | 515 | 540 | 566 |
Восточная и западная ориентации | 731 | 737 | 742 | 748 | 754 | 760 | 765 | 771 |
Северная ориентация | 209 | 209 | 205 | 203 | 204 | 206 | 211 | 219 |
Географическая широта, град с.ш. |
| 54 | 56 | 58 | 60 | 62 | 64 | 66 | 68 |
Южная ориентация | 591 | 616 | 641 | 666 | 691 | 717 | 742 | 767 |
Восточная и западная ориентации | 777 | 783 | 789 | 794 | 800 | 806 | 812 | 817 |
Северная ориентация | 228 | 240 | 254 | 270 | 288 | 309 | 331 | 356 |
Конструкции зданий | Коэффициент k |
Металлические | 0,7 |
Железобетонные, бетонные, армокаменные и каменные толщиной, см: | |
до 15 | 0,6 |
от 15 до 39 | 0,4 |
свыше 40 | 0,3 |
13.6. Начальную температуру, соответствующую замыканию конструкции или ее части в законченную систему, в теплое

и холодное

время года следует определять по формулам:

; (13.9)

. (13.10)
Примечание. При наличии данных о календарном сроке замыкания конструкции, порядке производства работ и др. начальную температуру допускается уточнять в соответствии с этими данными.
13.7. Температурные климатические воздействия с пониженными нормативными значениями необходимо устанавливать в соответствии с указаниями
13.2 -
13.6 при условии:

,

.
13.8. Коэффициент надежности по нагрузке

для температурных климатических воздействий

и

следует принимать равным 1,1.
| | Применение на обязательной основе разделов 14 - 15 обеспечивает соблюдение требований Федерального закона от 30.12.2009 N 384-ФЗ "Технический регламент о безопасности зданий и сооружений" (Постановление Правительства РФ от 26.12.2014 N 1521). | |
В необходимых случаях, предусматриваемых нормативными документами или устанавливаемых в зависимости от условий возведения и эксплуатации сооружений, следует учитывать прочие нагрузки, не включенные в настоящие нормы (специальные технологические нагрузки; вибрационные нагрузки от всех видов транспорта, влажностные и усадочные воздействия; ветровые воздействия, вызывающие аэродинамически неустойчивые колебания типа галопирования, бафтинга, дивергенции и флаттера), на основе рекомендаций, разработанных специализированными организациями, имеющими опыт работы в соответствующей области.
15. Прогибы и перемещения
Нормы настоящего раздела устанавливают предельные прогибы и перемещения несущих и ограждающих конструкций зданий и сооружений при расчете по второй группе предельных состояний независимо от применяемых строительных материалов.
Положения настоящего раздела не распространяются на сооружения гидротехнические, транспорта, атомных электростанций, а также опор воздушных линий электропередачи, открытых распределительных устройств и антенных сооружений связи.
15.1.1. При расчете строительных конструкций должно быть выполнено условие

, (15.1)
где f - прогиб (выгиб) и перемещение элемента конструкции (или конструкции в целом), определяемые с учетом факторов, влияющих на их значения, в соответствии с
Приложением Е;

- предельный прогиб (выгиб) или перемещение, устанавливаемые настоящими нормами.
Расчет необходимо производить исходя из следующих требований:
а) технологических (обеспечение условий нормальной эксплуатации технологического и подъемно-транспортного оборудования, контрольно-измерительных приборов и т.д.);
б) конструктивных (обеспечение целостности примыкающих друг к другу элементов конструкций и их стыков, обеспечение заданных уклонов);
в) физиологических (предотвращение вредных воздействий и ощущений дискомфорта при колебаниях);
г) эстетико-психологических (обеспечение благоприятных впечатлений от внешнего вида конструкций, предотвращение ощущения опасности).
Каждое из указанных требований должно быть выполнено при расчете независимо от других.
Ограничения колебаний конструкций следует устанавливать в соответствии с нормативными документами
Е.1.4 Приложения Е.
15.1.2. Расчетные ситуации, для которых следует определять прогибы и перемещения, соответствующие им нагрузки, а также требования, касающиеся строительного подъема, приведены в
Е.1.5 Приложения Е.
15.1.3. Прогибы элементов конструкций не ограничиваются исходя из эстетико-психологических требований, если не ухудшают внешний вид конструкций (например, мембранные покрытия, наклонные козырьки, конструкции с провисающим или приподнятым нижним поясом) или если элементы конструкций скрыты от обзора. Прогибы не ограничиваются исходя из указанных требований и для конструкций перекрытий и покрытий над помещениями с непродолжительным пребыванием людей (например, трансформаторных подстанций, чердаков).
Примечание. Для всех типов покрытий целостность кровельного ковра следует обеспечивать конструктивными мероприятиями (например, использованием компенсаторов, созданием неразрезности элементов покрытия), а не повышением жесткости несущих элементов.
15.1.4. Прогибы элементов покрытий должны быть такими, чтобы, несмотря на их наличие, был обеспечен уклон кровли не менее 1/200 в одном из направлений (кроме случаев, оговоренных в других нормативных документах).
15.1.5. Коэффициент динамичности для нагрузок от погрузчиков, электрокаров, мостовых и подвесных кранов следует принимать равным единице.
15.2.1. Предельные прогибы элементов конструкций покрытий и перекрытий, ограничиваемые исходя из технологических, конструктивных и физиологических требований, следует отсчитывать от изогнутой оси, соответствующей состоянию элемента в момент приложения нагрузки, от которой вычисляется прогиб, а ограничиваемые исходя из эстетико-психологических требований - от прямой, соединяющей опоры этих элементов (см. также
Е.1.7 Приложения Е).
15.2.2. Расстояние (зазор) от верхней точки тележки мостового крана до нижней точки прогнутых несущих конструкций покрытий (или предметов, прикрепленных к ним) должно быть не менее 100 мм.
| | ИС МЕГАНОРМ: примечание. Нумерация пунктов дана в соответствии с официальным текстом документа. | |
10.2.3. Предельные прогибы для различных расчетных ситуаций приведены в
Е.2.2 Приложения Е.
Для элементов конструкций зданий и сооружений, предельные прогибы и перемещения которых не оговорены настоящим и другими нормативными документами, вертикальные и горизонтальные прогибы и перемещения от постоянных, длительных и кратковременных нагрузок не должны превышать 1/150 пролета или 1/75 вылета консоли.
(справочное)
НОРМАТИВНЫЕ ДОКУМЕНТЫ
Приложение А утратило силу с 04.06.2017. -
Приказ Минстроя России от 03.12.2016 N 891/пр.
(справочное)
ТЕРМИНЫ И ОПРЕДЕЛЕНИЯ
Приложение Б утратило силу с 04.06.2017. -
Приказ Минстроя России от 03.12.2016 N 891/пр.
| | Применение на обязательной основе приложения В обеспечивает соблюдение требований Федерального закона от 30.12.2009 N 384-ФЗ "Технический регламент о безопасности зданий и сооружений" (Постановление Правительства РФ от 26.12.2014 N 1521). | |
(обязательное)
В.1. Мостовые и подвесные краны
Таблица В.1
Мостовые и подвесные краны различных групп
режимов работы (примерный перечень)
Краны | Группы режимов работы | Условия использования |
Ручные всех видов | 1К - 3К | Любые |
С приводными подвесными талями, в том числе с навесными захватами | Ремонтные и перегрузочные работы ограниченной интенсивности |
С лебедочными грузовыми тележками, в том числе с навесными захватами | Машинные залы электростанций, монтажные работы, перегрузочные работы ограниченной интенсивности |
То же | 4К - 6К | Перегрузочные работы средней интенсивности, технологические работы в механических цехах, склады готовых изделий предприятий строительных материалов, склады металлосбыта |
С грейферами двухканатного типа, магнитно-грейферные | Смешанные склады, работа с разнообразными грузами |
Магнитные | Склады полуфабрикатов, работа с разнообразными грузами |
Закалочные, ковочные, штыревые, литейные | 7К | Цехи металлургических предприятий |
С грейферами двухканатного типа, магнитно-грейферные | Склады насыпных грузов и металлолома с однородными грузами (при работе в одну или две смены) |
С лебедочными грузовыми тележками, в том числе с навесными захватами | Технологические краны при круглосуточной работе |
Траверсные, мульдогрейферные, мульдозавалочные, для раздевания слитков, копровые, ваграночные, колодцевые | 8К | Цехи металлургических предприятий |
Магнитные | Цехи и склады металлургических предприятий, крупные металлобазы с однородными грузами |
С грейферами двухканатного типа, магнитно-грейферные | Склады насыпных грузов и металлолома с однородными грузами (при круглосуточной работе) |
В.2. Нагрузка от удара крана о тупиковой упор
Нормативное значение горизонтальной нагрузки F, кН, направленной вдоль кранового пути и вызываемой ударом крана о тупиковый упор, следует определять по формуле

,
где v - скорость передвижения крана в момент удара, принимаемая равной половине номинальной, м/с;
f - возможная наибольшая осадка буфера, принимаемая равной 0,1 м для кранов с гибким подвесом груза грузоподъемностью не более 50 т групп режимов работы 1К - 7К и 0,2 м - в остальных случаях;
m - приведенная масса крана, определяемая по формуле

,
здесь

- масса моста крана, т;

- масса тележки, т;

- грузоподъемность крана, т;
k - коэффициент; k = 0 - для кранов с гибким подвесом; k = 1 - для кранов с жестким подвесом груза;
l - пролет крана, м;

- приближение тележки, м.
Расчетное значение рассматриваемой нагрузки с учетом коэффициента надежности по нагрузке

(см.
9.8) принимается не более предельных значений, указанных в таблице В.2.
Таблица В.2
Краны | Предельные значения нагрузок F, кН |
Подвесные (ручные и электрические) и мостовые ручные | 10 |
Электрические мостовые: | |
общего назначения групп режимов работы 1К - 3К | 50 |
общего назначения и специальные групп режимов работы 4К - 7К, а также литейные | 150 |
Специальные группы режима работы 8К с подвесом груза: | |
гибким | 250 |
жестким | 500 |
| | Применение на обязательной основе приложения Г обеспечивает соблюдение требований Федерального закона от 30.12.2009 N 384-ФЗ "Технический регламент о безопасности зданий и сооружений" (Постановление Правительства РФ от 26.12.2014 N 1521). | |
(обязательное)
СНЕГОВЫХ НАГРУЗОК И КОЭФФИЦИЕНТЫ

Г.1. Здания с односкатными и двускатными покрытиями
а) Для зданий с односкатными и двускатными покрытиями
(рисунок Г.1) коэффициент

определяется по
таблице Г.1. Промежуточные значения определяются линейной интерполяцией.
а)
Вариант 1
Уклон покрытия  , град | |
| 1 |
| 0 |
б)
Варианты 2 и
3 следует учитывать для зданий с двускатными покрытиями (профиль б), при этом
вариант 2 - при

;
вариант 3 - при

только при наличии ходовых мостиков или аэрационных устройств по коньку покрытия.
Г.2. Здания со сводчатыми и близкими к ним по очертанию покрытиями
Г.2.1. Здания со сводчатыми и близкими к ним по очертанию покрытиями
| | ИС МЕГАНОРМ: примечание. В официальном тексте документа, видимо, допущена опечатка: рисунок Г.2.2 отсутствует. Возможно, имеется в виду рисунок Г.2. | |
Для зданий со сводчатыми и близкими к ним по очертанию покрытиями
(рисунок Г.2.2) следует принимать

;

,
где

- уклон покрытия, град.
Г.2.2. Покрытия в виде стрельчатых арок
Для покрытий в виде стрельчатых арок (рисунок Г.3) при

необходимо использовать схему -
рисунок Г.1, б, принимая l = l', при

схему - рисунок Г.3.
Рисунок Г.3
Г.3. Здания с продольными фонарями
Г.3.1. Здания с продольными фонарями, закрытыми сверху
Для зданий с продольными фонарями, закрытыми сверху
(рисунок Г.4), для двух схем снеговой нагрузки
(рисунок Г.5) коэффициенты

следует определять как:

;

;

,
но не более:
4,0 - для ферм и балок при нормативном значении веса покрытия 1,5 кПа и менее;
2,5 - для ферм и балок при нормативном значении веса покрытия свыше 1,5 кПа; для железобетонных плит пролетом свыше 6 м, для стального профилированного настила, а также для прогонов независимо от пролета;
2,0 - для железобетонных плит покрытий пролетом 6 м и менее;

, но не более b.
При определении нагрузки у торца фонаря для зоны B значение коэффициента

в обоих вариантах следует принимать равным 1,0.
Примечания. 1. Схемы вариантов 1, 2 (рисунок Г.5) следует также применять для двускатных и сводчатых покрытий двух- или трехпролетных зданий с фонарями в середине зданий.
2. Влияние ветроотбойных щитов на распределение снеговой нагрузки возле фонарей не учитывать.
3. Для плоских скатов при b > 48 м следует учитывать местную повышенную нагрузку у фонаря, как у перепадов (см.
рисунки Г.11, а,
б).
Г.3.2. Здания с продольными фонарями, открытыми сверху
Для зданий с продольными фонарями, открытыми сверху (рисунок Г.6):

;

.
Рисунок Г.6
Значения

и m следует определять в соответствии с указаниями к
схеме Г.11; пролет l принимается равным расстоянию между верхними кромками фонарей.
Г.4. Шедовые покрытия
Схемы рисунка Г.7 следует применять для шедовых покрытий, в том числе с наклонным остеклением и сводчатым очертанием кровли.
Рисунок Г.7
Г.5. Двух- и многопролетные здания с двускатными покрытиями
Для двух- и многопролетных зданий с двускатными покрытиями (рисунок Г.8) вариант 2 следует учитывать при

.
Вариант 1
Вариант 2
Г.6. Двух- и многопролетные здания со сводчатыми и близкими к ним по очертанию покрытиями
Для двух- и многопролетных зданий со сводчатыми и близкими к ним по очертанию покрытиями (рисунок Г.9)
вариант 2 следует учитывать при

.
Вариант 1
Г.7. Двух- и многопролетные здания с двускатными и сводчатыми покрытиями с продольным фонарем
б) Для плоских двускатных

и сводчатых

покрытий при l' > 48 м следует учитывать местную повышенную нагрузку, как у перепадов высоты (см.
Г.8,
рисунок Г.11, а).
Г.8. Здания с перепадом высоты
| | ИС МЕГАНОРМ: примечание. В официальном тексте документа, видимо, допущена опечатка: рисунки Г.8 а, б, в отсутствуют. Возможно, имеются в виду рисунки Г.11 а, б, в соответственно. | |
б) Коэффициент

следует принимать равным

,
где h - высота перепада, м, отсчитываемая от карниза верхнего покрытия до кровли нижнего и при значении более 8 м принимаемая при определении

равной 8 м;

;

- длины участков верхнего

и нижнего

покрытий, с которых переносится снег в зону перепада высоты, м. Их следует принимать:
для покрытий без продольных фонарей или с поперечными фонарями

;

;
для покрытий с продольными фонарями

;

.
При этом

и

следует принимать не менее 0;

;

- доли снега, переносимого ветром к перепаду высоты; их значения для верхнего

и нижнего

покрытий следует принимать в зависимости от их профиля:
0,4 - для плоского покрытия с

, сводчатого с f/l <= 1/8;
0,3 - для плоского покрытия с

, сводчатого с f/l > 1/8 и покрытий с поперечными фонарями.
в) Для пониженных покрытий шириной a < 21 м (см.
рисунок Г.11, б) значение

следует принимать:

, но не менее 0,1, где

,

(при обратном уклоне, показанном на чертеже пунктиром,

);

, но не менее 0,3 (a - в м;

,

- в град).
г) Длину зоны повышенных снегоотложений b следует принимать равной:
при

b = 2h, но не более 16 м;
при

, но не более 5h и не более 16 м.
д) Коэффициенты

, принимаемые для расчетов (показанные на схемах для трех вариантов), не должны превышать:

(где h - в м;

- в кПа);
4 - если нижнее покрытие является покрытием здания и

;
6 - если нижнее покрытие является навесом или покрытием здания и

. Промежуточные значения определяются по интерполяции.
е) Коэффициент

следует принимать:

.
ж) При наличии разрыва между нижерасположенным покрытием и стенкой перепада шириной не более 1,5 м местную повышенную снеговую нагрузку на покрытие в зоне у перепада следует определять так же, как для покрытий без разрыва. При этом для нижерасположенного покрытия принимается только приходящаяся на него часть трапециевидной эпюры коэффициента

.
Примечания. 1. При

значение

для участка перепада длиной
(рисунок Г.11, а) следует определять без учета влияния фонарей на повышенном (пониженном) покрытии.
2. Если пролеты верхнего (нижнего) покрытия имеют разный профиль, то при определении

необходимо принимать соответствующее значение

для каждого пролета в пределах

.
3. Местную нагрузку у перепада не следует учитывать, если высота перепада, м, между двумя смежными покрытиями менее

(где

- в кПа).
Г.9. Здания с двумя перепадами высоты
Для зданий с двумя перепадами высоты снеговую нагрузку на верхние и нижние покрытия следует принимать по
схеме Г.8. Значения

,

,

,

следует определять для каждого перепада независимо, принимая:

и

в схеме Г.9 (при определении нагрузок возле перепадов

и

) соответствующими

в
схеме Г.8 и

(доля снега, переносимого ветром по пониженному покрытию) соответствующим

в
схеме Г.8.
При этом:

;

;

.
Вариант 1
(при
)
Вариант 2
(при
)
Рисунок Г.12
Г.10. Покрытие с парапетами
а) Снеговую нагрузку на покрытие возле парапетов следует принимать по схеме, приведенной на рисунке Г.13.
б) Схему на рисунке Г.13 для покрытий с парапетами следует применять при

(h - в м;

- в кПа);

, но не более 3.
в) Для плоских

и сводчатых

покрытий при длине зоны переноса снега l > 48 м, а также при высоте парапета более 1,2 м следует учитывать местную повышенную нагрузку, как у перепадов высоты (см. на
рисунке Г.11), в том случае, если эта схема более неблагоприятна, чем на
рисунке Г.13.
Г.11. Участки покрытий, примыкающие к возвышающимся над кровлей вентиляционным шахтам и другим надстройкам
а) Схема на рисунке Г.14 относится к участкам с надстройками с диагональю основания не более 15 м.
План
б) В зависимости от рассчитываемой конструкции (плит покрытия, подстропильных и стропильных конструкций) необходимо учитывать самое неблагоприятное положение зоны повышенной нагрузки (при произвольном угле

).
в) Коэффициент

для участков покрытий, примыкающих к возвышающимся над кровлей вентиляционным шахтам, зенитным фонарям и другим надстройкам
(рисунок Г.14), постоянный в пределах указанной зоны, следует принимать равным:
1,0 при d <= 1,5 м;

при d > 1,5 м,
но не менее 1,0 и не более:
1,5 при 1,5 < d <= 5 м;
2,0 при 5 < d <= 10 м;
2,5 при 10 < d <= 15 м;

, но не более 2d.
Наличие зенитных фонарей и надстроек с диагональю не более 5 м, возвышающихся над кровлей не более чем на 0,4 м, допускается не учитывать.
Г.12. Висячие покрытия цилиндрической формы
Для висячих покрытий цилиндрической формы (рисунок Г.15) следует принимать:

;

.
Рисунок Г.15
Г.13. Здания с купольными круговыми и близкими к ним по очертанию покрытиями
Для зданий с купольными круговыми и близкими к ним по очертанию покрытиями
(рисунок Г.16) коэффициент

определяется по
таблице Г.2. Промежуточные значения определяются линейной интерполяцией.
Уклон покрытия  , град | |
| 1 |
| 0 |
Для пологих куполов с отношением f/d <= 0,05 следует учитывать только вариант 1.
Для куполов с отношением f/d > 0,05 следует учитывать варианты 1, 2 и 3 при уклонах

< 60°.
Для варианта 2 на
рисунке Г.16 следует принимать при

, где

; при

, при

;

, при

.
Промежуточные значения определяются линейной интерполяцией.
Для варианта 3 следует принимать

.
Вариант 3 следует учитывать для куполов с f/d > 0,05 при сильно шероховатой поверхности покрытия, наличии на нем возвышающихся надстроек, фонарей или снегозадерживающих преград, а также для покрытий, защищенных от ветра соседними более высокими зданиями или объектами окружающей застройки.
Г.14. Здания с коническими круговыми покрытиями
Для зданий с коническими круговыми покрытиями
(рисунок Г.17) коэффициент

определяется по
таблице Г.3. Промежуточные значения определяются линейной интерполяцией.
Уклон покрытия  , град | |
| 1 |
| 0 |
Для пологих куполов при

следует учитывать только вариант 1.
Для менее пологих куполов при

для варианта 2 следует принимать

,
где

.
При

для варианта 2 следует принимать:

;

.
| | Применение на обязательной основе приложения Д обеспечивает соблюдение требований Федерального закона от 30.12.2009 N 384-ФЗ "Технический регламент о безопасности зданий и сооружений" (Постановление Правительства РФ от 26.12.2014 N 1521). | |
(обязательное)
ВЕТРОВЫЕ НАГРУЗКИ
Д.1. Аэродинамические коэффициенты
Д.1.1. Отдельно стоящие плоские сплошные конструкции
Отдельно стоящие плоские сплошные конструкции на земле (стены, заборы и т.д.)
Для различных участков конструкций (рисунок Д.1) коэффициент

определяется по
таблице Д.1;

.
Рисунок Д.1
Участки плоских сплошных конструкций на земле (см. рисунок Д.1) |
A | B | C | D |
2,1 | 1,8 | 1,4 | 1,2 |
Рекламные щиты
Для рекламных щитов, поднятых над землей на высоту не менее d/4 (рисунок Д.2):

, где

определено в
Д.1.15.
Рисунок Д.2
Равнодействующую нагрузку, направленную по нормали к плоскости щита, следует прикладывать на высоте его геометрического центра с эксцентриситетом в горизонтальном направлении e = +/- 0,25b.

.
Д.1.2. Прямоугольные в плане здания с двускатными покрытиями
Вертикальные стены прямоугольных в плане зданий
Для наветренных, подветренных и различных участков боковых стен
(рисунок Д.3) аэродинамические коэффициенты

приведены в таблице Д.2.
Боковые стены | Наветренная стена | Подветренная стена |
Участки |
A | B | C | D | E |
-1,0 | -0,8 | -0,5 | 0,8 | -0,5 |
ПЛАН
БОКОВЫЕ СТЕНЫ
Величина e равняется меньшему из b или 2h
Для боковых стен с выступающими лоджиями аэродинамический коэффициент трения

.
Двускатные покрытия
а)

Величина e равняется наименьшему из b или 2h
б)

Уклон  | F | G | H | I | J |
15° | -0,9 | -0,8 | -0,3 | -0,4 | -1,0 |
0,2 | 0,2 | 0,2 |
30° | -0,5 | -0,5 | -0,2 | -0,4 | -0,5 |
0,7 | 0,7 | 0,4 |
45° | 0,7 | 0,7 | 0,6 | -0,2 | -0,3 |
60° | 0,7 | 0,7 | 0,7 | -0,2 | -0,3 |
75° | 0,8 | 0,8 | 0,8 | -0,2 | -0,3 |
Уклон  | F | G | H | I |
0° | -1,8 | -1,3 | -0,7 | -0,5 |
15° | -1,3 | -1,3 | -0,6 | -0,5 |
30° | -1,1 | -1,4 | -0,8 | -0,5 |
45° | -1,1 | -1,4 | -0,9 | -0,5 |
60° | -1,1 | -1,2 | -0,8 | -0,5 |
75° | -1,1 | -1,2 | -0,8 | -0,5 |
Для углов

при

необходимо рассмотреть два варианта распределения расчетной ветровой нагрузки.
Для протяженных гладких покрытий при
(рисунок Д.4, б) аэродинамические коэффициенты трения

.
Д.1.3. Прямоугольные в плане здания со сводчатыми и близкими к ним по очертанию покрытиями
Рисунок Д.5
Примечание. При 0,2 <= f/d <= 0,3 и

необходимо учитывать два значения коэффициента

.
Распределение аэродинамических коэффициентов по поверхности покрытия приведено на рисунке Д.5.
Аэродинамические коэффициенты для стен принимаются в соответствии с
таблицей Д.2.
| | ИС МЕГАНОРМ: примечание. В официальном тексте документа, видимо, допущена опечатка: имеется в виду пункт 11.1.11, а не пункт 11.1.1. | |
При определении эквивалентной высоты
(11.1.5) и коэффициента

в соответствии с
11.1.1:

.
Д.1.4. Круглые в плане здания с купольными покрытиями
Значения коэффициентов

в точках A и C, а также в сечении BB приведены на
рисунке Д.6. Для промежуточных сечений коэффициенты

определяются линейной интерполяцией.
| | ИС МЕГАНОРМ: примечание. В официальном тексте документа, видимо, допущена опечатка: имеется в виду пункт 11.1.11, а не пункт 11.1.1. | |
При определении эквивалентной высоты
(11.1.5) и коэффициента

в соответствии с
11.1.1:

.
Д.1.5. Здания с продольными фонарями
а)
б)
Для фонарей участка C при

; при

для каждого фонаря

; при

, здесь

.
Для остальных участков покрытия

.
Для вертикальных поверхностей и стен зданий коэффициенты

следует определять в соответствии с
таблицей Д.2.
| | ИС МЕГАНОРМ: примечание. В официальном тексте документа, видимо, допущена опечатка: имеется в виду пункт 11.1.11, а не пункт 11.1.1. | |
Д.1.6. Здания с зенитными фонарями
Рисунок Д.8
Для наветренного фонаря коэффициент

следует определять в соответствии с
таблицами Д.3а и
Д.3б.
Для остальных фонарей коэффициенты

определяются так же, как и для участка C
(раздел Д.1.5).
Для остальной части покрытия

.
Для вертикальных поверхностей и стен зданий коэффициенты

следует определять в соответствии с
таблицей Д.2.
| | ИС МЕГАНОРМ: примечание. В официальном тексте документа, видимо, допущена опечатка: имеется в виду пункт 11.1.11, а не пункт 11.1.1. | |
Д.1.7. Здания с шедовыми покрытиями
Рисунок Д.9
Для остальной части покрытия

.
Для вертикальных поверхностей и стен зданий коэффициенты

следует определять в соответствии с
таблицей Д.2.
| | ИС МЕГАНОРМ: примечание. В официальном тексте документа, видимо, допущена опечатка: имеется в виду пункт 11.1.11, а не пункт 11.1.1. | |
Д.1.8. Здания с уступами
ПЛАН
Рисунок Д.10
Для участка C коэффициент

.
Для участка A коэффициент

следует принимать в соответствии с
таблицей Д.2.
Для участка B коэффициент

следует определять линейной интерполяцией.
Для остальных вертикальных поверхностей коэффициент

необходимо определять в соответствии с
таблицей Д.2.
Д.1.9. Здания, постоянно открытые с одной стороны
Рисунок Д.11
При проницаемости ограждения

. Для каждой стены здания знак "плюс" или "минус" следует выбирать из условия реализации наиболее неблагоприятного варианта нагружения.
Коэффициент

на внешней поверхности следует принимать в соответствии с
таблицей Д.2.
Примечание. Проницаемость ограждения

следует определять как отношение суммарной площади имеющихся в нем проемов к полной площади ограждения.
Д.1.10. Навесы
Аэродинамические коэффициенты

для четырех типов навесов (рисунок Д.12) без сплошностенчатых вертикальных ограждающих конструкций определяются по
таблице Д.4.
Рисунок Д.12
Тип схемы |  , град | Значения коэффициентов |
| | | |
I | 10 | 0,5 | -1,3 | -1,1 | 0 |
20 | 1,1 | 0 | 0 | -0,4 |
30 | 2,1 | 0,9 | 0,6 | 0 |
II | 10 | 0 | -1,1 | -1,5 | 0 |
20 | 1,5 | 0,5 | 0 | 0 |
30 | 2 | 0,8 | 0,4 | 0,4 |
III | 10 | 1,4 | 0,4 | - | - |
20 | 1,8 | 0,5 | - | - |
30 | 2,2 | 0,6 | - | - |
IV | 10 | 1,3 | 0,2 | - | - |
20 | 1,4 | 0,3 | - | - |
30 | 1,6 | 0,4 | - | - |
Примечания. 1. Коэффициенты  ,  ,  ,  соответствуют суммарному давлению на верхнюю и нижнюю поверхности навесов. 2. Для отрицательных значений  ,  ,  ,  направление давления на схемах следует изменять на противоположное. 3. Для навесов с волнистыми покрытиями аэродинамический коэффициент трения  . |
Аэродинамические коэффициенты лобового сопротивления

сферы при

(рисунок Д.13) приведены на
рисунке Д.14 в зависимости от числа Рейнольдса Re и относительной шероховатости

, где

, м, - шероховатость поверхности (см.
Д.1.15). При

коэффициент

следует увеличить в 1,6 раза.
Рисунок Д.13
Коэффициент подъемной силы сферы

принимается равным:
при

;
при

.
При определении коэффициента

в соответствии с
11.1.11 следует принимать
b = h = 0,7d.
Число Рейнольдса Re определяется по формуле

,
где d, м, - диаметр сферы;

, Па, - определяется в соответствии с
11.1.4;

, м, - эквивалентная высота;

- определяется в соответствии с
11.1.6;

- коэффициент надежности по нагрузке
(11.1.12).
Д.1.12. Сооружения и конструктивные элементы с круговой цилиндрической поверхностью
Аэродинамический коэффициент

внешнего давления определяется по формуле

,
где

при

; для

, определено в
Д.1.15.
Распределение коэффициентов

по поверхности цилиндра при

(см.
Д.1.16) приведено на
рисунке Д.16 для различных чисел Рейнольдса Re. Значение указанных на этом рисунке углов

и

, а также соответствующее им значение коэффициентов

и

приведены в
таблице Д.5.
Рисунок Д.15
Re | | | | |
5·105 | 85 | -2,2 | 135 | -0,4 |
2·106 | 80 | -1,9 | 120 | -0,7 |
107 | 75 | -1,5 | 105 | -0,8 |
Значения аэродинамических коэффициентов давления

и
(рисунок Д.14) приведены в таблице Д.6. Коэффициент

следует учитывать для опущенного покрытия ("плавающая кровля"), а также при отсутствии покрытия.
Таблица Д.6
h/d | 1/6 | 1/4 | 1/2 | 1 | 2 | >= 5 |
 ,  | -0,5 | -0,55 | -0,7 | -0,8 | -0,9 | -1,05 |
Аэродинамические коэффициенты лобового сопротивления определяются по формуле

,
где

- определено в
Д.1 в зависимости от относительного удлинения сооружения (см.
Д.1.15). Значения коэффициентов

приведены на рисунке Д.17 в зависимости от числа Рейнольдса Re и относительной шероховатости

(см.
Д.1.16).
Для проводов и тросов (в том числе покрытых гололедом)

.
Аэродинамические коэффициенты наклонных элементов
(рисунок Д.18) определяются по формуле

,
ось x параллельна скорости ветра V;
ось z направлена вертикально вверх;

- угол между проекцией элемента на плоскость XY и осью x;

- угол между осью элемента и осью z.
| | ИС МЕГАНОРМ: примечание. В официальном тексте документа, видимо, допущена опечатка: имеется в виду пункт 11.1.11, а не пункт 11.1.1. | |
При определении коэффициента

в соответствии с
11.1.1:
b = 0,7d;

.
Число Рейнольдса Re определяется по формуле, приведенной в
Д.1.11, где

для вертикально расположенных сооружений;

равно расстоянию от поверхности земли до оси горизонтально расположенного сооружения.
Д.1.13. Призматические сооружения
Аэродинамические коэффициенты лобового сопротивления призматических сооружений определяются по формуле

,
где

определено в
Д.1.15 в зависимости от относительного удлинения сооружения

.
Значения коэффициента

для прямоугольных сечений приведены на
рисунке Д.19, а для n-угольных сечений и конструктивных элементов (профилей) - в таблице Д.7.
Таблица Д.7
Эскизы сечений и направлений ветра |  , град | n (число сторон) |  при  |
Правильный многоугольник | Произвольный | 5 | 1,8 |
6 - 8 | 1,5 |
10 | 1,2 |
12 | 1,0 |
Д.1.14. Решетчатые конструкции
Аэродинамические коэффициенты решетчатых конструкций отнесены к площади граней пространственных ферм или площади контура плоских ферм.
Направление оси x для плоских ферм совпадает с направлением ветра и перпендикулярно плоскости конструкции; для пространственных ферм расчетные направления ветра показаны в таблице Д.8.
| b/h |
1/2 | 1 | 2 | 4 | 6 |
0,1 | 0,93 | 0,99 | 1 | 1 | 1 |
0,2 | 0,75 | 0,81 | 0,87 | 0,9 | 0,93 |
0,3 | 0,56 | 0,65 | 0,73 | 0,78 | 0,83 |
0,4 | 0,38 | 0,48 | 0,59 | 0,65 | 0,72 |
0,5 | 0,19 | 0,32 | 0,44 | 0,52 | 0,61 |
0,6 | 0 | 0,15 | 0,3 | 0,4 | 0,5 |
Аэродинамические коэффициенты 
отдельно стоящих плоских решетчатых конструкций
определяются по формуле

,
где

- аэродинамический коэффициент i-го элемента конструкций, определяемый в соответствии с указаниями
Д.1.13 для профилей и
Д.1.12, в для трубчатых элементов; при этом

;

- площадь проекции i-го элемента конструкции;

- площадь, ограниченная контуром конструкции.
Рисунок Д.20
Ряд плоских параллельно расположенных
решетчатых конструкций
Рисунок Д.21
Для наветренной конструкции коэффициент

определяется так же, как и для отдельно стоящей фермы.
Для второй и последующих конструкций

.
Для ферм из профилей из труб при

коэффициент

определяется по
таблице Д.8 в зависимости от относительного расстояния между фермами b/h
(рисунок Д.19) и коэффициента проницаемости ферм

.
Для ферм из труб при

.
Решетчатые башни и пространственные фермы
Рисунок Д.22
Аэродинамические коэффициенты

решетчатых башен и пространственных ферм определяются по формуле

,
где

- определяется так же, как и для отдельно стоящей фермы;

- определяется так же, как и для ряда плоских ферм.
Значения коэффициента

приведены в таблице Д.9.
Таблица Д.9
Форма контура поперечного сечения и направление ветра | |
| 1 |
| 0,9 |
| 1,2 |
Д.1.15. Учет относительного удлинения
Значения коэффициента

в зависимости от относительного удлинения

элемента или сооружения приведены на рисунке Д.23. Относительное удлинение

зависит от параметра

и определяется по
таблице Д.10; степень проницаемости

.
Рисунок Д.23
| | |
| | |
Примечание - l, b - соответственно максимальный и минимальный размеры сооружения или его элемента в плоскости, перпендикулярной направлению ветра. |
Д.1.16. Учет шероховатости внешней поверхности
Значения коэффициента

, характеризующего шероховатость поверхностей конструкций, в зависимости от их обработки и материала, из которого они изготовлены, приведены в таблице Д.11.
Таблица Д.11
Тип поверхности | Относительная шероховатость  , мм |
Стекло | 0,0015 |
Полированный металл | 0,002 |
Тонкомолотая масляная краска | 0,006 |
Распыленная краска | 0,02 |
Литейный чугун | 0,2 |
Оцинкованная сталь | 0,2 |
Шлифованный бетон | 0,2 |
Шероховатый бетон | 1,0 |
Ржавчина | 2,0 |
Каменная кладка | 3,0 |
Д.1.17. Пиковые значения аэродинамических коэффициентов для прямоугольных в плане зданий
а) Для стен прямоугольных в плане зданий пиковое положительное значение аэродинамического коэффициента

.
б) Пиковые значения отрицательного аэродинамического коэффициента

для стен и плоских покрытий
(рисунок Д.24) приведены в таблице Д.12.
Таблица Д.12
Участок | A | B | C | D | E |
| -2,2 | -1,2 | -3,4 | -2,4 | -1,5 |
ПЛАН КРОВЛИ
Величина e равна меньшему из b и l.
СТЕНА
Д.2. Резонансное вихревое возбуждение
Д.2.1. Для однопролетных сооружений и конструктивных элементов интенсивность воздействия F(z), действующего при резонансном вихревом возбуждении по i-й собственной форме в направлении, перпендикулярном средней скорости ветра, определяется по формуле

, (Д.2.1)
где d, м, - размер сооружения или конструктивного элемента в направлении, перпендикулярном средней скорости ветра;

- аэродинамический коэффициент поперечной силы при резонансном вихревом возбуждении;

- логарифмический декремент колебаний, принимаемый равным:

- для металлических сооружений;

- для железобетонных сооружений;
z - координата, изменяющаяся вдоль оси сооружения;

- i-я форма собственных колебаний в поперечном направлении, удовлетворяющая условию

. (Д.2.2)
Примечание. Воздействие при резонансном вихревом возбуждении (в первую очередь высотных зданий) рекомендуется уточнить на основе данных модельных аэродинамических испытаний.
Д.2.2. Аэродинамические коэффициенты

поперечной силы определяются следующим образом:
а) Для круглых поперечных сечений

.
б) Для прямоугольных поперечных сечений при b/d > 0,5:

для

;

для

,
здесь b - размер сооружения в направлении средней скорости ветра.
При b/d <= 0,5 расчет на резонансное вихревое возбуждение допускается не проводить.
Д.2.3. При расчете сооружения на резонансное вихревое возбуждение наряду с воздействием
(Д.2.1) необходимо учитывать также действие ветровой нагрузки, параллельной средней скорости ветра. Средняя

и пульсационная

составляющие этого воздействия определяются по формулам:

;

, (Д.2.3)
где

- расчетная скорость ветра на высоте

, на которой происходит резонансное вихревое возбуждение, определяемое по
формуле (11.13);

и

- расчетные значения средней и пульсационной составляющих ветровой нагрузки, определяемые в соответствии с указаниями
11.1.
Д.2.4. Критические скорости

могут иметь достаточно большую повторяемость в течение расчетного срока эксплуатации сооружения и, в связи с этим, резонансное вихревое возбуждение может привести к накоплению усталостных повреждений.
Для предотвращения резонансного вихревого возбуждения могут быть использованы различные конструктивные мероприятия: установка вертикальных и спиралевидных ребер, перфорация ограждения и установка соответствующим образом настроенных гасителей колебаний.
| | Применение на обязательной основе приложения Е обеспечивает соблюдение требований Федерального закона от 30.12.2009 N 384-ФЗ "Технический регламент о безопасности зданий и сооружений" (Постановление Правительства РФ от 26.12.2014 N 1521). | |
(обязательное)
Е.1. Определение прогибов и перемещений
Е.1.1. При определении прогибов и перемещений следует учитывать все основные факторы, влияющие на их значения (неупругие деформации материалов, образование трещин, учет деформированной схемы, учет смежных элементов, податливость узлов сопряжения и оснований). При достаточном обосновании отдельные факторы можно не учитывать или учитывать приближенным способом.
Е.1.2. Для конструкций из материалов, обладающих ползучестью, необходимо учитывать увеличение прогибов во времени. При ограничении прогибов исходя из физиологических требований следует учитывать только кратковременную ползучесть, проявляемую сразу после приложения нагрузки, а исходя из технологических и конструктивных (за исключением расчета с учетом ветровой нагрузки) и эстетико-психологических требований - полную ползучесть.
Е.1.3. При определении прогибов колонн одноэтажных зданий и эстакад от горизонтальных крановых нагрузок расчетную схему колонн следует принимать с учетом условий их закрепления, считая, что колонна:
а) в зданиях и крытых эстакадах не имеет горизонтального смещения на уровне верхней опоры (если покрытие не создает жесткого в горизонтальной плоскости диска, следует учитывать горизонтальную податливость этой опоры);
б) в открытых эстакадах рассматривается как консоль.
Е.1.4. При наличии в зданиях (сооружениях) технологического и транспортного оборудований, вызывающих колебания строительных конструкций, и других источников вибраций предельные значения виброперемещений, виброскорости и виброускорения следует принимать в соответствии с
ГОСТ 12.1.012,
СН 2.2.4/2.1.8.566.
При наличии высокоточного оборудования и приборов, чувствительных к колебаниям конструкций, на которых они установлены, предельные значения виброперемещений, виброскорости, виброускорения следует определять в соответствии со специальными техническими условиями.
Е.1.5. Расчетные ситуации, для которых необходимо определять прогибы и перемещения и соответствующие им нагрузки, следует принимать в зависимости от того, исходя из каких требований производится расчет.
Расчетная ситуация характеризуется расчетной схемой конструкции, видами нагрузок, значениями коэффициентов условий работы и коэффициентов надежности, перечнем предельных состояний, которые следует рассматривать в данной ситуации.
Если расчет производится исходя из технологических требований, расчетная ситуация должна соответствовать действию нагрузок, влияющих на работу технологического оборудования.
Если расчет производится исходя из конструктивных требований, расчетная ситуация должна соответствовать действию нагрузок, которые могут привести к повреждению смежных элементов в результате значительных прогибов и перемещений.
Если расчет производится исходя из физиологических требований, расчетная ситуация должна соответствовать состоянию, связанному с колебаниями конструкций, и при этом необходимо учитывать нагрузки, влияющие на колебания конструкций, ограничиваемые требованиями настоящего свода правил и нормативных документов, указанных в
Е.1.4.
Если расчет производится исходя из эстетико-психологических требований, расчетная ситуация должна соответствовать действию постоянных и длительных нагрузок.
Для конструкций покрытий и перекрытий, проектируемых со строительным подъемом при ограничении прогиба эстетико-психологическими требованиями, определяемый вертикальный прогиб следует уменьшать на размер строительного подъема.
Е.1.6. Прогиб элементов покрытий и перекрытий, ограниченный исходя из конструктивных требований, не должен превышать расстояния (зазора) между нижней поверхностью этих элементов и верхом перегородок, витражей, оконных и дверных коробок и др. конструктивных элементов, расположенных под несущими элементами.
Зазор между нижней поверхностью элементов покрытий и перекрытий и верхом перегородок, расположенных под элементами, как правило, не должен превышать 40 мм. В тех случаях, когда выполнение указанных требований связано с увеличением жесткости покрытий и перекрытий, необходимо конструктивными мероприятиями избегать этого увеличения (например, размещением перегородок не под изгибаемыми балками, а рядом с ними).
Е.1.7. При наличии между стенами капитальных перегородок (практически такой же высоты, как и стены) значения l в
позиции 2, а таблицы Е.1 следует принимать равными расстояниям между внутренними поверхностями несущих стен (или колонн) и этими перегородками (или между внутренними поверхностями перегородок, рисунок Е.1).
а)
б)
а - одной в пролете; б - двух в пролете; 1 - несущие стены
(или колонны); 2 - капитальные перегородки; 3 - перекрытие
(покрытие) до приложения нагрузки; 4 - перекрытие
(покрытие) после приложения нагрузки;
5 - линии отсчета прогибов; 6 - зазор
Рисунок Е.1. Схемы для определения значений
(
,
,
)
при наличии между стенами капитальных перегородок
Элементы конструкций | Предъявляемые требования | Вертикальные предельные прогибы fu | Нагрузки для определения вертикальных прогибов |
1 Балки крановых путей подмостовые и подвесные краны, управляемые: | | | |
с пола, в том числе тельферы (тали) | Технологические | l/250 | От одного крана |
из кабины при группах режимов работы (по ГОСТ 25546): | Физиологические и технологические | | |
1К - 6К | l/400 | То же |
7К | l/500 | " |
8К | l/600 | " |
2 Балки, фермы, ригели, прогоны, плиты, настилы (включая поперечные ребра плит и настилов): | | | |
а) покрытий и перекрытий, открытых для обзора, при пролете l, м: | Эстетико-психологические | | Постоянные и длительные |
l <= 1 | l/120 |
l = 3 | l/150 |
l = 6 | l/200 |
l = 24 (12) | l/250 |
l >= 36 (24) | l/300 |
| | ИС МЕГАНОРМ: примечание. В официальном тексте документа, видимо, допущена опечатка: имеется в виду пункт Е.1 Приложения Е, а не Приложение Е.1. | |
|
б) покрытий и перекрытий при наличии перегородок под ними | Конструктивные | | Приводящие к уменьшению зазора между несущими элементами конструкций и перегородками, расположенными под элементами |
в) покрытий и перекрытий при наличии на них элементов, подверженных растрескиванию (стяжек, полов, перегородок) | То же | l/150 | Действующие после выполнения перегородок, полов, стяжек |
г) покрытий и перекрытий при наличии тельферов (талей), подвесных кранов, управляемых: | | | |
с пола | Технологические | l/300 или a/150 (меньшее из двух) | Временные с учетом нагрузки от одного крана или тельфера (тали) на одном пути |
из кабины | Физиологические | l/400 или a/200 (меньшее из двух) | От одного крана или тельфера (тали) на одном пути |
д) перекрытий, подверженных действию: | Физиологические и технологические | l/350 | 0,7 полных нормативных значений временных нагрузок или нагрузки от одного погрузчика (более неблагоприятное из двух) |
перемещаемых грузов, материалов, узлов и элементов оборудования и других подвижных нагрузок (в том числе при безрельсовом напольном транспорте) |
нагрузок от рельсового транспорта: | | |
узкоколейного | l/400 | От одного состава вагонов (или одной напольной машины) на одном пути |
ширококолейного | l/500 | То же |
3 Элементы лестниц (марши, площадки, косоуры), балконов, лоджий | Эстетико-психологические | |
Физиологические | Определяются в соответствии с Е.2.2 |
4 Плиты перекрытий, лестничные марши и площадки, прогибу которых не препятствуют смежные элементы | То же | 0,7 мм | Сосредоточенная нагрузка 1 кН в середине пролета |
5 Перемычки и навесные стеновые панели над оконными и дверными проемами (ригели и прогоны остекления) | Конструктивные | l/200 | Приводящие к уменьшению зазора между несущими элементами и оконным или дверным заполнением, расположенным под элементами |
Эстетико-психологические | |
l - расчетный пролет элемента конструкции; a - шаг балок или ферм, к которым крепятся подвесные крановые пути. Примечания 1 Для консоли вместо l следует принимать удвоенный ее вылет. 2 Для промежуточных значений l в позиции 2, а предельные прогибы следует определять линейной интерполяцией, учитывая требования Е.1.7 Приложения Е. 3 В позиции 2, а цифры, указанные в скобках, следует принимать при высоте помещений до 6 м включительно. 4 Особенности вычисления прогибов по позиции 2, г указаны в Е.1.8 Приложения Е. 5 При ограничении прогибов эстетико-психологическими требованиями допускается пролет l принимать равным расстоянию между внутренними поверхностями несущих стен (или колонн). |
Е.1.8. Прогибы стропильных конструкций при наличии подвесных крановых путей (см.
таблицу Е.1, позиция 2, г) следует принимать как разность между прогибами

и

смежных стропильных конструкций (рисунок Е.2).
1 - стропильные конструкции; 2 - балка
подвесного кранового пути; 3 - подвесной кран;
4 - исходное положение стропильных конструкций;

- прогиб наиболее нагруженной стропильной конструкции;

- прогибы смежных с наиболее нагруженной
стропильных конструкций
Рисунок Е.2. Схема для определения прогибов
стропильных конструкций при наличии
подвесных крановых путей
Е.1.9. Горизонтальные перемещения каркаса следует определять в плоскости стен и перегородок, целостность которых должна быть обеспечена.
При связевых каркасах многоэтажных зданий высотой более 40 м перекос этажных ячеек, примыкающих к диафрагмам жесткости, равный

(рисунок Е.3), не должен превышать (см.
таблицу Е.4): 1/300 для
позиции 2, 1/500 - для
позиции 2, а и 1/700 - для
позиции 2, б.
Рисунок Е.3. Схема перекоса этажных ячеек 2,
примыкающих к диафрагмам жесткости 1 в зданиях
со связевым каркасом (пунктиром показана исходная
схема каркаса до приложения нагрузки)
Е.2. Предельные прогибы
Е.2.1. Вертикальные предельные прогибы элементов конструкций
| | ИС МЕГАНОРМ: примечание. В официальном тексте документа, видимо, допущена опечатка: имеется в виду Приложение Е, а не Приложение Е.1. | |
Вертикальные предельные прогибы элементов конструкций и нагрузки, от которых следует определять прогибы, приведены в
таблице Е.1. Требования к зазорам между смежными элементами приведены в
Е.1.6 Приложения Е.1.
Е.2.2. Предельные прогибы (физиологические)
Предельные прогибы элементов перекрытий (балок, ригелей, плит), лестниц, балконов, лоджий, помещений жилых и общественных зданий, а также бытовых помещений производственных зданий исходя из физиологических требований следует определять по формуле

,
где g - ускорение свободного падения;
p - нормативное значение нагрузки от людей, возбуждающих колебания, принимаемое по
таблице Е.2;

- пониженное нормативное значение нагрузки на перекрытия, принимаемое по таблице Е.2;
q - нормативное значение нагрузки от веса рассчитываемого элемента и опирающихся на него конструкций;
n - частота приложения нагрузки при ходьбе человека, принимаемая по таблице Е.2;
b - коэффициент, принимаемый по таблице Е.2.
| p, кПа |  , кПа | n, Гц | b |
| 0,25 | | 1,5 | |
| 0,5 | То же | 1,5 | |
| 1,5 | 0,2 | 2,0 | 50 |
Q - вес одного человека, принимаемый равным 0,8 кН;  - коэффициент, принимаемый равным 1,0 для элементов, рассчитываемых по балочной схеме, 0,5 - в остальных случаях (например, при опирании плит по трем или четырем сторонам); a - шаг балок, ригелей, ширина плит (настилов), м; l - расчетный пролет элемента конструкции, м. |
Прогибы следует определять от суммы нагрузок

, где

- коэффициент, определяемый по
формуле (8.1).
Е.2.3. Горизонтальные предельные прогибы колонн и тормозных конструкций от крановых нагрузок
Е.2.3.1. Горизонтальные предельные прогибы колонн зданий, оборудованных мостовыми кранами, крановых эстакад, а также балок крановых путей и тормозных конструкций (балок или ферм) следует принимать по таблице Е.3, но не менее 6 мм.
Группы режимов работы кранов | Предельные прогибы fu |
колонн | балок крановых путей и тормозных конструкций, зданий и крановых эстакад (крытых и открытых) |
зданий и крытых крановых эстакад | открытых крановых эстакад |
1К - 3К | h/500 | h/1500 | l/500 |
4К - 6К | h/1000 | h/2000 | l/1000 |
7К - 8К | h/2000 | h/2500 | l/2000 |
h - высота от верха фундамента до головки кранового рельса (для одноэтажных зданий и крытых и открытых крановых эстакад) или расстояние от оси ригеля перекрытия до головки кранового рельса (для верхних этажей многоэтажных зданий); l - расчетный пролет элемента конструкции (балки). |
Прогибы следует проверять на отметке головки крановых рельсов от сил торможения тележки одного крана, направленных поперек кранового пути, без учета крена фундаментов.
Е.2.3.2. Горизонтальные предельные сближения крановых путей открытых эстакад от горизонтальных и внецентренно приложенных вертикальных нагрузок от одного крана (без учета крена фундаментов), ограничиваемые исходя из технологических требований, следует принимать равными 20 мм.
Е.2.4. Горизонтальные предельные перемещения и прогибы зданий, отдельных элементов конструкций и опор конвейерных галерей от ветровой нагрузки, крена фундаментов и температурных климатических воздействий
Е.2.4.1. Горизонтальные предельные перемещения зданий, ограничиваемые исходя из конструктивных требований (обеспечение целостности заполнения каркаса стенами, перегородками, оконными и дверными элементами), приведены в таблице Е.4. Указания по определению перемещений приведены в
Е.1.9 Приложения Е.
Здания, стены и перегородки | Крепление стен и перегородок к каркасу здания | Предельные перемещения fu |
1 Многоэтажные здания | Любое | h/500 |
2 Один этаж многоэтажных зданий: | Податливое | hs/300 |
а) стены и перегородки из кирпича, гипсобетона, железобетонных панелей | Жесткое | hs/500 |
б) стены, облицованные естественным камнем, из керамических блоков, из стекла (витражи) | То же | hs/700 |
3 Одноэтажные здания (с самонесущими стенами) высотой этажа hs, м: | | |
hs <= 6 | Податливое | hs/150 |
hs = 15 | hs/200 |
hs >= 30 | hs/300 |
h - высота многоэтажных зданий, равная расстоянию от верха фундамента до оси ригеля покрытия; hs - высота этажа в одноэтажных зданиях, равная расстоянию от верха фундамента до низа стропильных конструкций; в многоэтажных зданиях: для нижнего этажа - равная расстоянию от верха фундамента до оси ригеля перекрытия; для остальных этажей - равная расстоянию между осями смежных ригелей. Примечания 1 Для промежуточных значений hs (по позиции 3) горизонтальные предельные перемещения следует определять линейной интерполяцией. 2 Для верхних этажей многоэтажных зданий, проектируемых с использованием элементов покрытий одноэтажных зданий, горизонтальные предельные перемещения следует принимать такими же, как и для одноэтажных зданий. При этом высота верхнего этажа hs принимается от оси ригеля междуэтажного перекрытия до низа стропильных конструкций. 3 К податливым креплениям относятся крепления стен или перегородок к каркасу, не препятствующие смещению каркаса (без передачи на стены или перегородки усилий, способных вызвать повреждения конструктивных элементов); к жестким - крепления, препятствующие взаимным смещениям каркаса, стен или перегородок. 4 Для одноэтажных зданий с навесными стенами (а также при отсутствии жесткого диска покрытия) и многоэтажных этажерок предельные перемещения допускается увеличивать на 30% (но принимать не более hs/150). |
Горизонтальные перемещения зданий следует определять с учетом крена (неравномерных осадок) фундаментов. При этом нагрузки от веса оборудования, мебели, людей, складируемых материалов и изделий следует учитывать только при сплошном равномерном загружении всех перекрытий многоэтажных зданий этими нагрузками (с учетом их снижения в зависимости от числа этажей), за исключением случаев, при которых по условиям нормальной эксплуатации предусматривается иное загружение.
Для зданий высотой до 40 м (и опор конвейерных галерей любой высоты), расположенных в ветровых районах I - IV, крен фундаментов, вызываемый ветровой нагрузкой, допускается не учитывать.
Е.2.4.2. Для 2-го предельного состояния горизонтальные перемещения бескаркасных зданий от ветровых нагрузок не ограничиваются.
Е.2.4.3. Горизонтальные предельные прогибы стоек и ригелей фахверка, а также навесных стеновых панелей от ветровой нагрузки, ограничиваемые исходя из конструктивных требований, следует принимать равными l/200, где l - расчетный пролет стоек или панелей.
Е.2.4.4. Горизонтальные предельные прогибы опор конвейерных галерей от ветровых нагрузок, ограничиваемые исходя из технологических требований, следует принимать равными h/250, где h - высота опор от верха фундамента до низа ферм или балок.
Е.2.4.5. Горизонтальные предельные прогибы колонн (стоек) каркасных зданий от температурных климатических и усадочных воздействий следует принимать равными:

- при стенах и перегородках из кирпича, гипсобетона, железобетона и навесных панелей;

- при стенах, облицованных естественным камнем, из керамических блоков, из стекла (витражи), где

- высота этажа, а для одноэтажных зданий с мостовыми кранами - высота от верха фундамента до низа балок кранового пути.
При этом температурные воздействия следует принимать без учета суточных колебаний температуры наружного воздуха и перепада температуры от солнечной радиации.
При определении горизонтальных прогибов от температурных климатических и усадочных воздействий их значения не следует суммировать с прогибами от ветровых нагрузок и от крена фундаментов.
Е.2.5. Предельные выгибы элементов междуэтажных перекрытий от усилий предварительного обжатия
Предельные выгибы

элементов междуэтажных перекрытий, ограничиваемые исходя из конструктивных требований, следует принимать равными 15 мм при l <= 3 м и 40 мм - при l >= 12 м (для промежуточных значений l предельные выгибы следует определять линейной интерполяцией).
Выгибы f следует определять от усилий предварительного обжатия, собственного веса элементов перекрытий и веса пола.
(рекомендуемое)
КАРТЫ РАЙОНИРОВАНИЯ ТЕРРИТОРИИ РОССИЙСКОЙ ФЕДЕРАЦИИ
ПО КЛИМАТИЧЕСКИМ ХАРАКТЕРИСТИКАМ
Приложение Ж утратило силу с 04.06.2017. -
Приказ Минстроя России от 03.12.2016 N 891/пр.