Главная // Актуальные документы // ПереченьСПРАВКА
Источник публикации
В данном виде документ опубликован не был.
Первоначальный текст документа опубликован в издании
М.: Минрегион России, 2011.
Информацию о публикации документов, создающих данную редакцию, см. в справке к этим документам.
Примечание к документу
Документ утратил силу с 01.07.2021 в связи с изданием
Приказа Минстроя России от 30.12.2020 N 902/пр, утвердившего новый Свод правил
СП 15.13330.2020.
Отдельные положения данного документа включены в
Перечень национальных стандартов и сводов правил (частей таких стандартов и сводов правил), в результате применения которых на обязательной основе обеспечивается соблюдение требований Федерального
закона "Технический регламент о безопасности зданий и сооружений" (
Постановление Правительства РФ от 04.07.2020 N 985).
Документ был включен в
Перечень документов в области стандартизации, в результате применения которых на добровольной основе обеспечивается соблюдение требований Федерального
закона от 30.12.2009 N 384-ФЗ "Технический регламент о безопасности зданий и сооружений" (
Приказ Росстандарта от 02.04.2020 N 687).
Документ включен в
Перечень документов в области стандартизации, в результате применения которых на добровольной основе обеспечивается соблюдение требований Федерального
закона от 30.12.2009 N 384-ФЗ "Технический регламент о безопасности зданий и сооружений" (
Приказ Росстандарта от 17.04.2019 N 831).
Документ включен в
Перечень документов в области стандартизации, в результате применения которых на добровольной основе обеспечивается соблюдение требований Федерального
закона от 30.12.2009 N 384-ФЗ "Технический регламент о безопасности зданий и сооружений" (
Приказ Росстандарта от 30.03.2015 N 365).
Отдельные положения данного документа включены в
Перечень национальных стандартов и сводов правил (частей таких стандартов и сводов правил), в результате применения которых на обязательной основе обеспечивается соблюдение требований Федерального
закона от 30.12.2009 N 384-ФЗ "Технический регламент о безопасности зданий и сооружений" (
Постановление Правительства РФ от 26.12.2014 N 1521).
При применении данного документа следует учитывать, что в соответствии с
пунктом 32 Правил разработки и утверждения сводов правил, утв. Постановлением Правительства РФ от 19.11.2008 N 858, для соблюдения требований технических регламентов и оценки соответствия своды правил применяют после внесения их в перечни национальных стандартов и (или) сводов правил, подлежащие утверждению и опубликованию в установленном порядке.
Изменение N 3, утв.
Приказом Минстроя России от 28.01.2019 N 50/пр, введено в действие с 29 июля 2019 года.
Название документа
"СП 15.13330.2012. Свод правил. Каменные и армокаменные конструкции. Актуализированная редакция СНиП II-22-81*"
(утв. Приказом Минрегиона России от 29.12.2011 N 635/5)
(ред. от 28.01.2019)
"СП 15.13330.2012. Свод правил. Каменные и армокаменные конструкции. Актуализированная редакция СНиП II-22-81*"
(утв. Приказом Минрегиона России от 29.12.2011 N 635/5)
(ред. от 28.01.2019)
от 29 декабря 2011 г. N 635/5
СВОД ПРАВИЛ
КАМЕННЫЕ И АРМОКАМЕННЫЕ КОНСТРУКЦИИ
Masonry and reinforced masonry structures
СП 15.13330.2012
| | Список изменяющих документов Минстроя России от 18.08.2016 N 576/пр, Минстроя России от 18.11.2016 N 821/пр, Минстроя России от 28.01.2019 N 50/пр) | |
Дата введения
1 января 2013 года
Цели и принципы стандартизации в Российской Федерации установлены Федеральным
законом от 27 декабря 2002 г. N 184-ФЗ "О техническом регулировании", а правила разработки -
Постановлением Правительства Российской Федерации от 19 ноября 2008 г. N 858 "О порядке разработки и утверждения сводов правил".
1 ИСПОЛНИТЕЛИ - Центральный научно-исследовательский институт строительных конструкций им. В.А. Кучеренко (ЦНИИСК им. В.А. Кучеренко) - институт ОАО "НИЦ "Строительство"
2 ВНЕСЕН Техническим комитетом по стандартизации ТК 465 "Строительство"
3 ПОДГОТОВЛЕН к утверждению Департаментом архитектуры, строительства и градостроительной политики.
4 УТВЕРЖДЕН
Приказом Министерства регионального развития Российской Федерации (Минрегион России) от 29 декабря 2011 г. N 635/5 и введен в действие с 1 января 2013 г.
5 ЗАРЕГИСТРИРОВАН Федеральным агентством по техническому регулированию и метрологии (Росстандарт). Пересмотр СП 15.13330.2010 "СНиП II-22-81*. Каменные и армокаменные конструкции"
Информация об изменениях к настоящему своду правил публикуется в ежегодно издаваемом информационном указателе "Национальные стандарты", а текст изменений и поправок - в ежемесячно издаваемых информационных указателях "Национальные стандарты". В случае пересмотра (замены) или отмены настоящего свода правил соответствующее уведомление будет опубликовано в ежемесячно издаваемом информационном указателе "Национальные стандарты". Соответствующая информация, уведомление и тексты размещаются также в информационной системе общего пользования - на официальном сайте разработчика (Минрегион России) в сети Интернет.
| | ИС МЕГАНОРМ: примечание. В официальном тексте документа, видимо, допущена опечатка: Федеральный закон N 123-ФЗ принят 22.07.2008, а не от 22.06.2008. | |
Настоящий свод правил составлен с учетом требований Федеральных законов от 27 декабря 2002 г.
N 184-ФЗ "О техническом регулировании", от 22 июня 2008 г.
N 123-ФЗ "Технический регламент о требованиях пожарной безопасности", от 30 декабря 2009 г.
N 384-ФЗ "Технический регламент о безопасности зданий и сооружений".
Актуализация выполнена авторским коллективом ЦНИИСК им. В.А. Кучеренко - институтом ОАО "НИЦ "Строительство": кандидаты техн. наук А.В. Грановский, М.К. Ищук (руководители работ), В.М. Бобряшов, Н.Н. Кручинин, М.О. Павлова, С.И. Чигрин; инженеры: А.М. Горбунов, В.А. Захаров, С.А. Минаков, А.А. Фролов (ЦНИИСК им. В.А. Кучеренко); кандидаты техн. наук А.И. Бедов (МГСУ), А.Л. Алтухов (МОСГРАЖДАНПРОЕКТ). Общая редакция - канд. техн. наук О.И. Пономарева (ЦНИИСК им. В.А. Кучеренко).
Изменение N 1 к своду правил СП 15.13330.2012 разработано авторским коллективом ЦНИИСК им. В.А. Кучеренко АО "НИЦ "Строительство" (канд. техн. наук М.К. Ищук - руководитель работы, канд. техн. наук А.В. Грановский, канд. техн. наук О.К. Гогуа, инж. Е.М. Ищук, инж. И.Г. Фролова) при участии ЦНИИЭПжилища (канд. техн. наук Э.И. Киреева), МГСУ (А.И. Бедов, Д.А. Алехина, Д.Ш. Файзова).
(абзац введен
Изменением N 1, утв. Приказом Минстроя России от 18.11.2016 N 821/пр)
Изменение N 3 к СП 15.13330.2012 разработано авторским коллективом АО "НИЦ "Строительство" - ЦНИИСК им. В.А. Кучеренко: канд. техн. наук М.К. Ищук - руководитель работы, канд. техн. наук А.В. Грановский, канд. техн. наук О.К. Гогуа, канд. техн. наук О.И Пономарев, Е.М. Ищук, И.Г Фролова, В.А. Черемных, Х.А. Айзятуллин, при участии ГП МО "Институт "Мосгражданпроект" - А.Л. Алтухов; НИУ МГСУ - канд. техн. наук А.И. Бедов.
(абзац введен
Изменением N 3, утв. Приказом Минстроя России от 28.01.2019 N 50/пр)
| | Применение на обязательной основе разд. 1 обеспечивает соблюдение требований Федерального закона от 30.12.2009 N 384-ФЗ "Технический регламент о безопасности зданий и сооружений" (Постановление Правительства РФ от 04.07.2020 N 985). | |
Настоящий свод правил распространяется на проектирование каменных и армокаменных конструкций новых и реконструируемых зданий и сооружений различного назначения, эксплуатируемых в климатических условиях России.
Нормы устанавливают требования к проектированию каменных и армокаменных конструкций, возводимых с применением керамического и силикатного кирпича, керамических, силикатных, бетонных блоков и природных камней.
Требования настоящих норм не распространяются на проектирование зданий и сооружений, подверженных динамическим нагрузкам, возводимых на подрабатываемых территориях, вечномерзлых грунтах, в сейсмоопасных районах, а также мостов, труб и тоннелей, гидротехнических сооружений, тепловых агрегатов.
Нормативные документы, на которые в тексте настоящих норм имеются ссылки, приведены в
Приложении А.
Примечание - При пользовании настоящим сводом правил целесообразно проверить действие ссылочных стандартов и классификаторов в информационной системе общего пользования на официальном сайте национального органа Российской Федерации по стандартизации в сети Интернет или по ежегодно издаваемому информационному указателю "Национальные стандарты", который опубликован по состоянию на 1 января текущего года, и по соответствующим ежемесячно издаваемым информационным указателям, опубликованным в текущем году. Если ссылочный документ заменен (изменен), то при пользовании настоящим сводом правил следует руководствоваться замененным (измененным) документом. Если ссылочный документ отменен без замены, то положение, в котором дана ссылка на него, применяется в части, не затрагивающей эту ссылку.
В настоящем своде правил приняты термины и определения, приведенные в
Приложении Б.
4.1 При проектировании каменных и армокаменных конструкций следует применять конструктивные решения, изделия и материалы, обеспечивающие требуемую несущую способность, долговечность, пожаробезопасность, теплотехнические характеристики конструкций и температурно-влажностный режим (
ГОСТ 4.206,
ГОСТ 4.210,
ГОСТ 4.219).
4.2 При проектировании зданий и сооружений следует предусматривать мероприятия, обеспечивающие возможность возведения их в зимних условиях.
4.3 Проектируемые каменные и армокаменные конструкции должны удовлетворять требованиям по безопасности, эксплуатационной пригодности и иметь такие начальные характеристики, чтобы при различных расчетных воздействиях не происходило деформаций и других повреждений, затрудняющих нормальную эксплуатацию зданий.
Безопасность, эксплуатационная пригодность, долговечность, энергоэффективность каменных и армокаменных конструкций и другие требования, установленные заданием на проектирование, должны обеспечиваться выполнением требований к кирпичу, камню, блокам, тяжелым и легким растворам, клеевым растворам, клеям, арматуре, конструктивным решениям, а также требований по эксплуатации.
Нормативные и расчетные значения нагрузок и воздействий, предельные деформации, расчетные значения температуры наружного воздуха и относительной влажности помещения, защита конструкций от воздействий агрессивных сред и др. устанавливаются соответствующими нормативными документами (
СП 20.13330,
СП 28.13330,
СП 22.13330,
СП 131.13330).
(п. 4.3 в ред.
Изменения N 2, утв. Приказом Минстроя России от 18.08.2016 N 576/пр)
| | Применение на обязательной основе п. 4.4 обеспечивает соблюдение требований Федерального закона от 30.12.2009 N 384-ФЗ "Технический регламент о безопасности зданий и сооружений" (Постановление Правительства РФ от 04.07.2020 N 985). | |
4.4 Конструктивное исполнение строительных элементов не должно являться причиной скрытого распространения горения по зданию, сооружению, строению.
При использовании в качестве внутреннего слоя горючего утеплителя предел огнестойкости и класс конструктивной пожарной опасности строительных конструкций должны быть определены в условиях стандартных огневых испытаний или расчетно-аналитическим методом.
Методики проведения огневых испытаний и расчетно-аналитические методы определения пределов огнестойкости и класса конструктивной пожарной опасности строительных конструкций устанавливаются нормативными документами по пожарной безопасности.
4.5 Применение настоящего документа обеспечивает выполнение требований Технического
регламента "О безопасности зданий и сооружений".
| | Применение на обязательной основе разд. 5 обеспечивает соблюдение требований Федерального закона от 30.12.2009 N 384-ФЗ "Технический регламент о безопасности зданий и сооружений" (Постановление Правительства РФ от 04.07.2020 N 985). | |
(в ред.
Изменения N 2, утв. Приказом Минстроя России от 18.08.2016 N 576/пр)
а) камни - по среднему пределу прочности на сжатие (кирпич - сжатие с учетом его среднего значения предела прочности при изгибе): М7, М10, М15, М25, М35, М50, М75 - камни малой прочности - легкие бетонные и природные камни, керамические, в том числе крупноформатные; М100, М125, М150, М200 - кирпич и камни средней прочности, в том числе крупноформатные, керамические, бетонные и природные; М250, М300, М400, М500, М600, М800 и М1000 - кирпич и камни высокой прочности, в том числе клинкерные природные и бетонные;
б) бетоны классов по прочности на сжатие:
тяжелые - В3,5; В5; В7,5; В12,5; В15; В20; В22,5; В25; В30;
на пористых заполнителях - В2; В2,5; В3,5; В5; В7,5; В12,5; В15; В20; В25; В30;
ячеистые - В1; В2; В2,5; В3,5; В5; В7,5; В12,5;
полистиролбетон - В1,0; В1,5; В2,0; В2,5; В3,5;
крупнопористые - В1; В2; В2,5; В3,5; В5; В7,5;
поризованные - В2,5; В3,5; В5; В7,5;
силикатные - В12,5; В15; В20; В25; В30.
Допускается применение в качестве утеплителей бетонов, предел прочности которых на сжатие 0,5 МПа и более; а для вкладышей и плит не менее 1,0 МПа;
в) растворы по среднему пределу прочности на сжатие - 0,4 МПа, и по маркам по прочности на сжатие - М4, М10, М25, М50, М75, М100, М150, М200;
г) каменные материалы по морозостойкости - F10, F15, F25, F35, F50, F75, F100, F150, F200, F300.
Для бетонов марки по морозостойкости те же, кроме F10.
5.2 Проектные марки по морозостойкости каменных материалов для наружной части стен (на толщину 12 см) и для фундаментов (на всю толщину), возводимых во всех строительно-климатических зонах, в зависимости от предполагаемого срока службы конструкций, но не менее 100, 50 и 25 лет, приведены в
5.3 и таблице 1.
Примечание - Проектные марки по морозостойкости устанавливают только для материалов, из которых возводится верхняя часть фундаментов (до половины расчетной глубины промерзания грунта, определяемой в соответствии с
СП 22.13330).
Минстроя России от 28.01.2019 N 50/пр)
Вид конструкций | Значения морозостойкости F кладочных материалов при предполагаемом сроке службы конструкций, лет |
100 | 50 | 25 |
1 Лицевой слой кладки наружных однослойных стен в зданиях с влажностным режимом помещений: | | | |
а) сухим и нормальным | 25 | 25 | 15 |
б) влажным | 35 | 25 | 15 |
в) мокрым | 50 | 35 | 25 |
2 Лицевой слой кладки двухслойных стен при плотности кладки внутреннего слоя 1400 кг/м 3 и более в зданиях с влажностным режимом помещений: | | | |
а) сухим и нормальным | 25 | 25 | 15 |
б) влажным | 35 | 25 | 15 |
в) мокрым | 50 | 35 | 25 |
3 Лицевой слой кладки двухслойных стен при плотности кладки внутреннего слоя менее 1400 кг/м 3 | 35 | 25 | 15 |
4 Внутренний слой кладки двухслойных стен при плотности кладки внутреннего слоя менее 1400 кг/м3 и толщине лицевого слоя 120 мм и менее | 25 | 25 | 15 |
5 Наружные трехслойные стены с эффективным утеплителем: | | | |
а) лицевой слой кладки толщиной 120 мм | 50 | 35 | 15 |
б) лицевой слой кладки толщиной 250 мм и более | 35 | 25 | 15 |
6 Фундаменты, цоколи и подземные части стен: | | | |
а) из бетонных блоков, кирпича керамического пластического формования полнотелого (в т.ч. клинкерного), силикатных блоков прочностью М200 и более | 100 | 50 | 25 |
б) из природного камня | 35 | 25 | 25 |
Примечания 1 Марки по морозостойкости, приведенные в пунктах 1 и 2 настоящей таблицы, могут быть снижены для кладки из керамического кирпича пластического прессования на одну марку в следующих случаях: а) для наружных стен с влажным и мокрым режимами помещений, защищенных с внутренней стороны гидроизоляционными или пароизоляционными покрытиями; б) для фундаментов и подземных частей стен зданий с тротуарами или отмостками, возводимых в маловлажных грунтах, если уровень грунтовых вод ниже планировочной отметки земли на 3 м и более. 2 В Северной строительно-климатической зоне марки по морозостойкости, приведенные в пунктах 1 и 2 настоящей таблицы, повышаются на одну марку, а приведенные в пунктах 3 и 5 - на две марки. 3 Марку кладочного раствора по морозостойкости следует принимать по таблице Ж.2 СП 28.13330.2012 по графе для тяжелого бетона. 4 По согласованию с заказчиком требования по испытанию на морозостойкость не предъявляются к природным каменным материалам, которые по опыту прошлого строительства показали достаточную морозостойкость в аналогичных условиях эксплуатации. 5 При оценке долговечности кладки следует дополнительно руководствоваться ГОСТ 530. |
5.3 Для побережий Северного Ледовитого и Тихого океанов шириной 100 км, не входящих в Северную строительно-климатическую зону, марки по морозостойкости материалов для наружной части стен (при сплошных стенах - на толщину 25 см) и для фундаментов (на всю ширину и высоту) должны быть на одну ступень выше указанных в
таблице 1.
Примечание - Определения границ Северной строительно-климатической зоны и ее подзон приведены в
СП 131.13330.
5.4 Для армирования каменных конструкций в соответствии с
СП 63.13330 следует применять:
для сетчатого армирования - арматуру классов А240 и В500;
для продольной и поперечной арматуры, анкеров и связей - арматуру классов А240, А300, В500.
Для закладных деталей и соединительных накладок следует применять сталь в соответствии с
СП 16.13330.
| | Применение на обязательной основе разд. 6 (за исключением п. п. 6.19, 6.26) обеспечивает соблюдение требований Федерального закона от 30.12.2009 N 384-ФЗ "Технический регламент о безопасности зданий и сооружений" (Постановление Правительства РФ от 04.07.2020 N 985). | |
6. Расчетные характеристики
Расчетные сопротивления
6.1 Расчетные сопротивления
R сжатию кладки на тяжелых растворах из кирпича всех видов и керамических камней со щелевидными вертикальными пустотами шириной до 12 мм, пустотностью до 27% при высоте ряда кладки 50 - 150 мм на тяжелых растворах приведены в таблице 2.
Марка кирпича или камня | Расчетные сопротивления R, МПа, сжатию кладки из кирпича всех видов и керамических камней со щелевидными вертикальными пустотами шириной до 12 мм при высоте ряда кладки 50 - 150 мм на тяжелых растворах |
при марке раствора | при прочности раствора |
200 | 150 | 100 | 75 | 50 | 25 | 10 | 4 | 0,2 | нулевой |
300 | 3,9 | 3,6 | 3,3 | 3,0 | 2,8 | 2,5 | 2,2 | 1,8 | 1,7 | 1,5 |
250 | 3,6 | 3,3 | 3,0 | 2,8 | 2,5 | 2,2 | 1,9 | 1,6 | 1,5 | 1,3 |
200 | 3,2 | 3,0 | 2,7 | 2,5 | 2,2 | 1,8 | 1,6 | 1,4 | 1,3 | 1,0 |
150 | 2,6 | 2,4 | 2,2 | 2,0 | 1,8 | 1,5 | 1,3 | 1,2 | 1,0 | 0,8 |
125 | - | 2,2 | 2,0 | 1,9 | 1,7 | 1,4 | 1,2 | 1,1 | 0,9 | 0,7 |
100 | - | 2,0 | 1,8 | 1,7 | 1,5 | 1,3 | 1,0 | 0,9 | 0,8 | 0,6 |
75 | - | - | 1,5 | 1,4 | 1,3 | 1,1 | 0,9 | 0,7 | 0,6 | 0,5 |
50 | - | - | - | 1,1 | 1,0 | 0,9 | 0,7 | 0,6 | 0,5 | 0,35 |
35 | - | - | - | 0,9 | 0,8 | 0,7 | 0,6 | 0,45 | 0,4 | 0,25 |
Примечание - Расчетные сопротивления кладки на растворах марок от 4 до 50 следует уменьшать, применяя понижающие коэффициенты: 0,85 - для кладки на жестких цементных растворах (без добавок извести или глины), легких и известковых растворах в возрасте до 3 мес; 0,9 - для кладки на цементных растворах (без извести или глины) с органическими пластификаторами. Уменьшать расчетное сопротивление сжатию не требуется для кладки высшего качества - растворный шов выполняется под рамку с выравниванием и уплотнением раствора рейкой. В проекте указывается марка раствора для обычной кладки и для кладки повышенного качества. |
Расчетные сопротивление сжатию
R кладки из пустотелого керамического кирпича с вертикальными прямоугольными пустотами шириной 12 - 16 мм и квадратными пустотами сечением 20 x 20 мм пустотностью до 48% при высоте ряда 77 - 100 мм определяется по экспериментальным данным. При отсутствии таких данных значение
R следует принимать по
таблице 2 с понижающими коэффициентами:
(в ред.
Изменения N 2, утв. Приказом Минстроя России от 18.08.2016 N 576/пр)
на растворе марки 100 и выше - 0,9;
на растворе марок 75, 50 - 0,8;
на растворе марок 25, 10 - 0,75;
на растворах с нулевой прочностью и прочностью до 0,4 МПа (4 кгс/см2) - 0,65;
при пустотности 39 - 48% значения понижающих коэффициентов следует умножать на 0,9.
Расчетные сопротивления сжатию кладки из крупноформатных камней с вертикальным соединением "паз-гребень" (без заполнения раствором) из керамики шириной до 260 мм, пустотностью до 56% с вертикально расположенными пустотами шириной до 16 мм при высоте ряда кладки до 250 мм устанавливаются по экспериментальным данным. При отсутствии таких данных расчетные сопротивления следует принимать по таблице 2а.
(в ред.
Изменения N 2, утв. Приказом Минстроя России от 18.08.2016 N 576/пр)
Расчетные сопротивления R сжатию кладки из полистиролбетонных блоков на клею принимаются по экспериментальным данным.
Таблица 2а
Минстроя России от 18.08.2016 N 576/пр)
Марка камня | Расчетные сопротивления R, МПа, сжатию кладки из керамических крупноформатных камней пустотностью от 40% до 55% со щелевидными вертикально расположенными пустотами шириной до 16 мм при высоте ряда кладки 200 - 260 мм на тяжелых растворах при марке раствора |
200 | 150 | 100 | 75 | 50 |
300 | 4,1 | 3,8 | 3,5 | 3,2 | 3,0 |
250 | 3,7 | 3,6 | 3,2 | 3,0 | 2,7 |
200 | 3,5 | 3,2 | 2,9 | 2,7 | 2,4 |
150 | 2,8 | 2,6 | 2,4 | 2,3 | 2,2 |
125 | - | 2,5 | 2,3 | 2,2 | 2,1 |
100 | - | 2,2 | 2,0 | 1,9 | 1,8 |
75 | - | - | 1,6 | 1,5 | 1,4 |
50 | - | - | - | 1,1 | 1,0 |
Примечания 1 Расчетное сопротивление сжатию кладки из шлифованного крупноформатного керамического камня для тонкошовной кладки и на клеях определяется по экспериментальным данным. 2 Расчетное сопротивление сжатию кладки из крупноформатных керамических камней с вертикальным соединением "паз-гребень" (без заполнения вертикальных швов раствором) пустотностью до 62% с вертикально расположенными крупными пустотами шириной до 55 мм при высоте ряда кладки до 220 мм и толщине швов 3 - 5 мм принимают по экспериментальным данным. При отсутствии таких данных расчетное сопротивление принимают равным 0,9 МПа при марке камня М75 и 0,7 МПа при марке камня М50. |
6.2 Расчетные сопротивления
R сжатию кладки из ячеистобетонных блоков автоклавного твердения на тяжелых растворах при высоте ряда кладки 200 - 300 мм приведены в таблице 3.
Таблица 3
Минстроя России от 18.08.2016 N 576/пр)
Класс бетона | Расчетные сопротивления R, МПа, сжатию кладки из ячеистобетонных блоков (автоклавного твердения) на тяжелых растворах при высоте ряда кладки 150 - 300 мм |
при марке раствора | при прочности раствора |
100 | 75 | 50 | 25 | 10 | 4 | 0,2 | нулевой |
B7,5 | 2,3 | 2,2 | 2,0 | 1,8 | 1,7 | 1,5 | 1,3 | 1,0 |
B5 | 1,9 | 1,8 | 1,7 | 1,5 | 1,4 | 1,2 | 1,1 | 0,8 |
B3,5 | 1,5 | 1,4 | 1,3 | 1,2 | 1,0 | 0,9 | 0,8 | 0,6 |
B2,5 | - | - | 1,0 | 0,95 | 0,85 | 0,7 | 0,6 | 0,45 |
B2 | - | - | 0,8 | 0,75 | 0,65 | 0,55 | 0,5 | 0,35 |
B1,5 | - | - | 0,6 | 0,56 | 0,49 | 0,41 | 0,38 | 0,26 |
Примечания 1 Расчетное сопротивление сжатию кладки на клеевых составах устанавливается по экспериментальным данным. 2 Расчетное сопротивление сжатию кладки из ячеистобетонных блоков принимается с коэффициентом 0,9: для кладки из блоков неавтоклавного твердения; для кладки на легких растворах; для кладки при толщине шва от 15 до 20 мм. |
6.3 Расчетные сопротивления
R сжатию виброкирпичной кладки на тяжелых растворах приведены в таблице 4.
Марка кирпича | Расчетные сопротивления R, МПа, сжатию виброкирпичной кладки на тяжелых растворах при марке раствора |
200 | 150 | 100 | 75 | 50 |
300 | 5,6 | 5,3 | 4,8 | 4,5 | 4,2 |
250 | 5,2 | 4,9 | 4,4 | 4,1 | 3,7 |
200 | 4,8 | 4,5 | 4,0 | 3,6 | 3,3 |
150 | 4,0 | 3,7 | 3,3 | 3,1 | 2,7 |
125 | 3,6 | 3,3 | 3,0 | 2,9 | 2,5 |
100 | 3,1 | 2,9 | 2,7 | 2,6 | 2,3 |
75 | - | 2,5 | 2,3 | 2,2 | 2,0 |
Примечания 1 Расчетные сопротивления сжатию кирпичной кладки, вибрированной на вибростолах, принимаются по таблице 4 с коэффициентом 1,05. 2 Расчетные сопротивления сжатию виброкирпичной кладки толщиной более 30 см следует принимать по таблице 4 с коэффициентом 0,85. 3 Расчетные сопротивления, приведенные в таблице 4, относятся к участкам кладки шириной 40 см и более. В самонесущих и ненесущих стенах допускаются участки шириной от 25 до 38 см, при этом расчетные сопротивления кладки следует принимать с коэффициентом 0,8. |
| | ИС МЕГАНОРМ: примечание. В официальном тексте документа, видимо, допущена опечатка: пункт 2.1 отсутствует. | |
6.4 Расчетные сопротивления
R сжатию кладки из крупных сплошных блоков из бетонов всех видов, перечисленных в 2.1, и из блоков природного камня (пиленых или чистой тески) при высоте ряда кладки 500 - 1000 мм приведены в таблице 5.
Класс бетона | Марка блока | Расчетные сопротивления R, МПа, сжатию кладки из крупных сплошных блоков из бетонов всех видов, в том числе силикатных и блоков из природного камня (пиленых или чистой тески) при высоте ряда кладки 500 - 1000 мм |
при марке раствора | при нулевой прочности раствора |
200 | 150 | 100 | 75 | 50 | 25 | 10 |
В80 | 1000 | 17,9 | 17,5 | 17,1 | 16,8 | 16,5 | 15,8 | 14,5 | 11,3 |
В62,5 | 800 | 15,2 | 14,8 | 14,4 | 14,1 | 13,8 | 13,3 | 12,3 | 9,4 |
В45 | 600 | 12,8 | 12,4 | 12,0 | 11,7 | 11,4 | 10,9 | 9,9 | 7,3 |
В40 | 500 | 11,1 | 10,7 | 10,3 | 10,1 | 9,8 | 9,3 | 8,7 | 6,3 |
В30 | 400 | 9,3 | 9,0 | 8,7 | 8,4 | 8,2 | 7,7 | 7,4 | 5,3 |
В22,5 | 300 | 7,5 | 7,2 | 6,9 | 6,7 | 6,5 | 6,2 | 5,7 | 4,4 |
В20 | 250 | 6,7 | 6,4 | 6,1 | 5,9 | 5,7 | 5,4 | 4,9 | 3,8 |
В15 | 200 | 5,4 | 5,2 | 5,0 | 4,9 | 4,7 | 4,3 | 4,0 | 3,0 |
В12 | 150 | 4,6 | 4,4 | 4,2 | 4,1 | 3,9 | 3,7 | 3,4 | 2,4 |
В7,5 | 100 | - | 3,3 | 3,1 | 2,9 | 2,7 | 2,6 | 2,4 | 1,7 |
В5 | 75 | - | - | 2,3 | 2,2 | 2,1 | 2,0 | 1,8 | 1,3 |
В4 | 50 | - | - | 1,7 | 1,6 | 1,5 | 1,4 | 1,2 | 0,85 |
В2,5 | 35 | - | - | - | - | 1,1 | 1,0 | 0,9 | 0,6 |
В2 | 25 | - | - | - | - | 0,9 | 0,8 | 0,7 | 0,5 |
Примечания 1 Расчетные сопротивления сжатию кладки из крупных блоков высотой более 1000 мм принимаются по таблице 5 с коэффициентом 1,1. 2 Классы бетона следует принимать по ГОСТ 18105. За марку крупных бетонных блоков и блоков из природного камня следует принимать предел прочности на сжатие, МПа, эталонного образца-куба, испытанного согласно требованиям ГОСТ 10180 и ГОСТ 8462. |
(в ред. Изменения N 2, утв. Приказом Минстроя России от 18.08.2016 N 576/пр) |
3 Расчетные сопротивления сжатию кладки из крупных бетонных блоков и блоков из природного камня, растворные швы в которой выполнены под рамку с разравниванием и уплотнением рейкой (о чем указывается в проекте), допускается принимать по таблице 5 с коэффициентом 1,2. |
(в ред.
Изменения N 2, утв. Приказом Минстроя России от 18.08.2016 N 576/пр)
6.5 Расчетные сопротивления R сжатию кладки из сплошных бетонных, гипсобетонных и природных камней (пиленых или чистой тески) при высоте ряда кладки 200 - 300 мм приведены в таблице 6. Расчетные сопротивления сжатию кладки и другие характеристики кладки из полистиролбетонных блоков определяются по экспериментальным данным.
Марка камня | Расчетные сопротивления R, МПа, сжатию кладки из сплошных бетонных, гипсобетонных и природных камней (пиленых или чистой тески) при высоте ряда кладки 200 - 300 мм |
при марке раствора | при прочности раствора |
200 | 150 | 100 | 75 | 50 | 25 | 10 | 4 | 0,2 | нулевой |
1000 | 13,0 | 12,5 | 12,0 | 11,5 | 11,0 | 10,5 | 9,5 | 8,5 | 8,3 | 8,0 |
800 | 11,0 | 10,5 | 10,0 | 9,5 | 9,0 | 8,5 | 8,0 | 7,0 | 6,8 | 6,5 |
600 | 9,0 | 8,5 | 8,0 | 7,8 | 7,5 | 7,0 | 6,0 | 5,5 | 5,3 | 5,0 |
500 | 7,8 | 7,3 | 6,9 | 6,7 | 6,4 | 6,0 | 5,3 | 4,8 | 4,6 | 4,3 |
400 | 6,5 | 6,0 | 5,8 | 5,5 | 5,3 | 5,0 | 4,5 | 4,0 | 3,8 | 3,5 |
300 | 5,8 | 4,9 | 4,7 | 4,5 | 4,3 | 4,0 | 3,7 | 3,3 | 3,1 | 2,8 |
200 | 4,0 | 3,8 | 3,6 | 3,5 | 3,3 | 3,0 | 2,8 | 2,5 | 2,3 | 2,0 |
150 | 3,3 | 3,1 | 2,9 | 2,8 | 2,6 | 2,4 | 2,2 | 2,0 | 1,8 | 1,5 |
100 | 2,5 | 2,4 | 2,3 | 2,2 | 2,0 | 1,8 | 1,7 | 1,5 | 1,3 | 1,0 |
75 | - | - | 1,9 | 1,8 | 1,7 | 1,5 | 1,4 | 1,2 | 1,1 | 0,8 |
50 | - | - | 1,5 | 1,4 | 1,3 | 1,2 | 1,0 | 0,9 | 0,8 | 0,6 |
35 | - | - | - | - | 1,0 | 0,95 | 0,85 | 0,7 | 0,6 | 0,45 |
25 | - | - | - | - | 0,8 | 0,75 | 0,65 | 0,55 | 0,5 | 0,35 |
15 | - | - | - | - | - | 0,5 | 0,45 | 0,38 | 0,35 | 0,25 |
1 Расчетные сопротивления кладки из сплошных шлакобетонных камней, изготовленных с применением шлаков от сжигания бурых и смешанных углей, следует принимать по таблице 6 с коэффициентом 0,8. 2 Гипсобетонные камни допускается применять только для кладки стен со сроком службы 25 лет (см. 5.3); при этом расчетное сопротивление этой кладки следует принимать по таблице 6 с коэффициентами: 0,7 - для кладки наружных стен в зонах с сухим климатом, 0,5 - в прочих зонах; 0,8 - для внутренних стен. Климатические зоны принимаются в соответствии с СП 50.13330. 3 Расчетные сопротивления кладки из бетонных и природных камней марки 150 и выше с ровными поверхностями и допусками по размерам, не превышающими +/- 2 мм, при толщине растворных швов не более 5 мм, выполненных на цементных пастах, клеевых составах, допускается принимать по таблице 6 с коэффициентом 1,3. |
6.6 Расчетные сопротивления сжатию
R кладки из пустотелых бетонных камней пустотностью до 25% при высоте ряда кладки 200 - 300 мм приведены в таблице 7.
Минстроя России от 18.08.2016 N 576/пр)
Марка камня | Расчетные сопротивления R, МПа, сжатию кладки из бетонных камней и силикатных блоков пустотностью до 25% при высоте ряда кладки 200 - 300 мм |
при марке раствора | при прочности раствора |
100 | 75 | 50 | 25 | 10 | 4 | 0,2 | нулевой |
300 | 4,6 | 4,4 | 4,2 | 3,9 | 3,6 | 3,2 | 3,0 | 2,7 |
200 | 3,4 | 3,3 | 3,0 | 2,9 | 2,6 | 2,4 | 2,1 | 1,7 |
150 | 2,7 | 2,6 | 2,4 | 2,2 | 2,0 | 1,8 | 1,7 | 1,3 |
125 | 2,4 | 2,3 | 2,1 | 1,9 | 1,7 | 1,6 | 1,4 | 1,1 |
100 | 2,0 | 1,8 | 1,7 | 1,6 | 1,4 | 1,3 | 1,1 | 0,9 |
75 | 1,6 | 1,5 | 1,4 | 1,3 | 1,1 | 1,0 | 0,9 | 0,7 |
50 | 1,2 | 1,15 | 1,1 | 1,0 | 0,9 | 0,8 | 0,7 | 0,5 |
35 | - | 1,0 | 0,9 | 0,8 | 0,7 | 0,6 | 0,55 | 0,4 |
25 | - | - | 0,7 | 0,65 | 0,55 | 0,5 | 0,45 | 0,3 |
15 | - | - | - | 0,45 | 0,4 | 0,35 | 0,3 | 0,2 |
Примечание - Расчетные сопротивления сжатию кладки из пустотелых шлакобетонных камней, изготовленных с применением шлаков от сжигания бурых и смешанных углей, а также кладки из гипсобетонных, пустотелых камней следует снижать в соответствии с примечаниями 1 и 2 к таблице 6. |
Расчетное сопротивление сжатию
R кладки из пустотелых бетонных камней пустотностью от 25 до 40% следует принимать по
таблице 7 с учетом коэффициентов:
на растворе марки 50 и выше - 0,8;
на растворе марки 25 - 0,7;
на растворе марки 10 и ниже - 0,6.
6.7 Расчетные сопротивления R сжатию кладки из природных камней (пиленых и чистой тески) при высоте ряда до 150 мм приведены в таблице 8.
Вид кладки | Марка камня | Расчетные сопротивления R, МПа, сжатию кладки из природных камней низкой прочности правильной формы (пиленых и чистой тески) |
при марке раствора | при прочности раствора |
25 | 10 | 4 | 0,2 | нулевой |
1. Из природных камней при высоте ряда до 150 мм | 25 | 0,6 | 0,45 | 0,35 | 0,3 | 0,2 |
15 | 0,4 | 0,35 | 0,25 | 0,2 | 0,13 |
10 | 0,3 | 0,25 | 0,2 | 0,18 | 0,1 |
7 | 0,25 | 0,2 | 0,18 | 0,15 | 0,07 |
2. То же, при высоте ряда 200 - 300 мм | 10 | 0,38 | 0,33 | 0,28 | 0,25 | 0,2 |
7 | 0,28 | 0,25 | 0,23 | 0,2 | 0,12 |
4 | - | 0,15 | 0,14 | 0,12 | 0,08 |
6.8 Расчетные сопротивления R сжатию бутовой кладки из рваного бута приведены в таблице 9.
Марка рваного бутового камня | Расчетные сопротивления R, МПа, сжатию бутовой кладки из рваного бута |
при марке раствора | при прочности раствора |
100 | 75 | 50 | 25 | 10 | 4 | 0,2 | нулевой |
1000 | 2,5 | 2,2 | 1,8 | 1,2 | 0,8 | 0,5 | 0,4 | 0,33 |
800 | 2,2 | 2,0 | 1,6 | 1,0 | 0,7 | 0,45 | 0,33 | 0,28 |
600 | 2,0 | 1,7 | 1,4 | 0,9 | 0,65 | 0,4 | 0,3 | 0,22 |
(в ред. Изменения N 2, утв. Приказом Минстроя России от 18.08.2016 N 576/пр) |
500 | 1,8 | 1,5 | 1,3 | 0,85 | 0,6 | 0,38 | 0,27 | 0,18 |
400 | 1,5 | 1,3 | 1,1 | 0,8 | 0,55 | 0,33 | 0,23 | 0,15 |
300 | 1,3 | 1,15 | 0,95 | 0,7 | 0,5 | 0,3 | 0,2 | 0,12 |
200 | 1,1 | 1,0 | 0,8 | 0,6 | 0,45 | 0,28 | 0,18 | 0,08 |
150 | 0,9 | 0,8 | 0,7 | 0,55 | 0,4 | 0,25 | 0,17 | 0,07 |
100 | 0,75 | 0,7 | 0,6 | 0,5 | 0,35 | 0,23 | 0,15 | 0,05 |
50 | - | - | 0,45 | 0,35 | 0,25 | 0,2 | 0,13 | 0,03 |
35 | - | - | 0,36 | 0,29 | 0,22 | 0,18 | 0,12 | 0,02 |
25 | - | - | 0,3 | 0,25 | 0,2 | 0,15 | 0,1 | 0,02 |
Примечания 1 Приведенные в таблице 9 расчетные сопротивления для бутовой кладки даны в возрасте 3 мес для марок раствора 4 и более. При этом марка раствора определяется в возрасте 28 дн. Для кладки в возрасте 28 дн. расчетные сопротивления, приведенные в таблице 9 для растворов марки 4 и более, следует принимать с коэффициентом 0,8. 2 Для кладки из постелистого бутового камня расчетные сопротивления, принятые в таблице 9, следует умножать на коэффициент 1,5. 3 Расчетные сопротивления бутовой кладки фундаментов, засыпанных со всех сторон грунтом, допускается повышать: при кладке с последующей засыпкой пазух котлована грунтом - на 0,1 МПа, при кладке в траншеях "враспор" с нетронутым грунтом и при надстройках - на 0,2 МПа. |
6.9 Расчетные сопротивления R сжатию бутобетона (невибрированного) приведены в таблице 10.
Вид бутобетона | Расчетные сопротивления R, МПа, сжатию бутобетона (невибрированного) при классе бетона |
В15 | В12,5 | В10 | В7,5 | В3,5 | В2,5 |
С рваным бутовым камнем марки: | | | | | | |
200 и выше | 4 | 3,5 | 3 | 2,5 | 2,0 | 1,7 |
100 | - | - | - | 2,2 | 1,8 | 1,5 |
50 или с кирпичным боем | - | - | - | 2,0 | 1,7 | 1,3 |
Примечание - При вибрировании бутобетона расчетные сопротивления сжатию следует принимать с коэффициентом 1,15. |
6.10 Расчетные сопротивления сжатию кладки из силикатных пустотелых (с круглыми пустотами диаметром не более 35 мм и пустотностью до 25%) кирпичей толщиной 88 мм и камней толщиной 138 мм допускается принимать по
таблице 2 с коэффициентами:
на растворах нулевой прочности и прочности 0,2 МПа - 0,8;
на растворах марок 4, 10, 25 и выше - соответственно 0,85, 0,9 и 1.
6.11 Расчетные сопротивления сжатию кладки при промежуточных размерах высоты ряда от 150 до 200 мм должны определяться как среднее арифметическое значений, принятых по
таблицам 2 и
6, при высоте ряда от 300 до 500 мм - по интерполяции между значениями, принятыми по
таблицам 5 и
6.
6.12 Расчетные сопротивления кладки сжатию, приведенные в
таблицах 2 -
10, следует умножать на коэффициенты условий работы

, равные:
а) 0,8 - для столбов и простенков площадью сечения 0,3 м2 и менее;
б) 0,6 - для элементов круглого сечения, выполняемых из обыкновенного (нелекального) кирпича, не армированных сетчатой арматурой;
в) 1,1 - для блоков и камней, изготовленных из тяжелых бетонов и из природного камня

;
0,9 - для кладки из блоков и камней из силикатных бетонов классов по прочности выше В25;
0,8 - для кладки из блоков и камней из крупнопористых бетонов и из автоклавных ячеистых бетонов;
0,7 - для кладки из блоков и камней из неавтоклавных ячеистых бетонов;
г) 1,15 - для кладки после длительного периода твердения раствора (более года);
д) 0,85 - для кладки из силикатного кирпича на растворе с добавками поташа;
е) для зимней кладки, выполняемой способом замораживания, - на коэффициенты условий работы

по
таблице 34;
(в ред.
Изменения N 2, утв. Приказом Минстроя России от 18.08.2016 N 576/пр)
ж) 0,8 - для кладки из камней и блоков пустотностью более 48%.
(перечисление "ж" введено
Изменением N 2, утв. Приказом Минстроя России от 18.08.2016 N 576/пр)
6.13 Расчетные сопротивления сжатию кладки из крупных пустотелых бетонных блоков различных типов устанавливаются по экспериментальным данным. При отсутствии таких данных расчетные сопротивления следует принимать по
таблице 5 с коэффициентами:
0,9 при пустотности блоков <= 5%;
0,5 " " " <= 25%;
0,25 " " " <= 45%,
где процент пустотности определяется по среднему горизонтальному сечению.
Для промежуточных значений процента пустотности указанные коэффициенты следует определять интерполяцией.
6.14 Расчетные сопротивления сжатию кладки из природного камня, указанные в
таблицах 5,
6 и
8, следует принимать с коэффициентами:
0,8 - для кладки из камней получистой тески (выступы до 10 мм);
0,7 - для кладки из камней грубой тески (выступы до 20 мм).
6.15 Расчетные сопротивления сжатию кладки из сырцового кирпича и грунтовых камней следует принимать по
таблице 8 с коэффициентами:
0,7 - для кладки наружных стен в зонах с сухим климатом;
0,5 - то же, в прочих зонах;
0,8 - для кладки внутренних стен.
Сырцовый кирпич и грунтовые камни разрешается применять только для стен зданий с предполагаемым сроком службы не более 25 лет.
6.16 Расчетные сопротивления кладки из сплошных камней на цементно-известковых, цементно-глиняных и известковых растворах осевому растяжению Rt, растяжению при изгибе Rtb и главным растягивающим напряжениям при изгибе Rtw, срезу Rsq при расчете сечений кладки, проходящих по горизонтальным и вертикальным швам, приведены в таблице 11.
Вид напряженного состояния | Обозначения | Расчетные сопротивления R, МПа, кладки из сплошных камней на цементно-известковых, цементно-глиняных и известковых растворах осевому растяжению, растяжению при изгибе, срезу и главным растягивающим напряжениям при изгибе при расчете сечений кладки, проходящих по горизонтальным и вертикальным швам |
при марке раствора | при прочности раствора 0,2 |
50 и выше | 25 | 10 | 4 |
А. Осевое растяжение | Rt | | | | | |
1. По неперевязанному сечению для кладки всех видов (нормальное сцепление; рисунок 1) | | 0,08 | 0,05 | 0,03 | 0,01 | 0,005 |
| | | | | | |
а) для кладки из камней правильной формы | | 0,16 | 0,11 | 0,05 | 0,02 | 0,01 |
б) для бутовой кладки | | 0,12 | 0,08 | 0,04 | 0,02 | 0,01 |
Б. Растяжение при изгибе | Rtb (Rtw) | | | | | |
3. По неперевязанному сечению для кладки всех видов и по косой штробе (главные растягивающие напряжения при изгибе) | | 0,12 | 0,08 | 0,04 | 0,02 | 0,01 |
| | | | | | |
а) для кладки из камней правильной формы | | 0,25 | 0,16 | 0,08 | 0,04 | 0,02 |
б) для бутовой кладки | | 0,18 | 0,12 | 0,06 | 0,03 | 0,015 |
В. Срез | Rsq | | | | | |
5. По неперевязанному сечению для кладки всех видов (касательное сцепление) | | 0,16 | 0,11 | 0,05 | 0,02 | 0,01 |
6. По перевязанному сечению для бутовой кладки | | 0,24 | 0,16 | 0,08 | 0,04 | 0,02 |
Примечания 1 Расчетные сопротивления отнесены ко всему сечению разрыва или среза кладки, перпендикулярному или параллельному (при срезе) направлению усилия. 2 Расчетные сопротивления кладки, приведенные в таблице 11, следует принимать с коэффициентами: для кирпичной кладки с вибрированием на вибростолах при расчете на особые воздействия - 1,4; для вибрированной кирпичной кладки из керамического кирпича пластического прессования, а также для обычной кладки из дырчатого и щелевого кирпича и пустотелых бетонных камней - 1,25; для невибрированной кирпичной кладки на жестких цементных растворах без добавки глины или извести - 0,75; для кладки из полнотелого и пустотелого силикатного кирпича - 0,7, а из силикатного кирпича, изготовленного с применением мелких (барханных) песков - по экспериментальным данным; для зимней кладки, выполняемой способом замораживания, - по таблице 33. При расчете по раскрытию трещин по формуле (33) расчетные сопротивления растяжению при изгибе Rtb для всех видов кладки следует принимать по таблице 11 без учета коэффициентов, указанных в настоящем примечании. 3 При отношении глубины перевязки кирпича (камня) правильной формы к высоте ряда кладки менее единицы расчетные сопротивления кладки осевому растяжению и растяжению при изгибе по перевязанным сечениям принимаются равными величинам, указанным в таблице 11, умноженным на значения отношения глубины перевязки к высоте ряда. 4 Расчетные сопротивления кладки из ячеистобетонных и полистиролбетонных блоков на клеевых составах для всех видов напряженного состояния, приведенных в столбце 1 таблицы 11, определяются по экспериментальным данным. |

Рисунок 1. Растяжение кладки по неперевязанному сечению
Рисунок 2. Растяжение кладки по перевязанному сечению
Рисунок 3. Растяжение кладки при изгибе
по перевязанному сечению
6.17 Расчетные сопротивления кладки из кирпича и камней правильной формы осевому растяжению Rt, растяжению при изгибе Rtb, срезу Rsq и главным растягивающим напряжениям при изгибе Rtw при расчете кладки по перевязанному сечению, проходящему по кирпичу или камню, приведены в таблице 12.
(в ред.
Изменения N 2, утв. Приказом Минстроя России от 18.08.2016 N 576/пр)
Вид напряженного состояния | Обозначение | Расчетные сопротивления R, МПа, кладки из кирпича и камней правильной формы осевому растяжению, растяжению при изгибе, срезу и главным растягивающим напряжениям при изгибе при расчете кладки по перевязанному сечению, проходящему по кирпичу или камню, при марке изделия |
200 | 150 | 100 | 75 | 50 | 35 | 25 | 15 | 10 |
1. Осевое растяжение | Rt | 0,25 | 0,2 | 0,18 | 0,13 | 0,1 | 0,08 | 0,06 | 0,05 | 0,03 |
2. Растяжение при изгибе и главные растягивающие напряжения | Rtb (Rtw) | 0,4 | 0,3 | 0,25 | 0,2 | 0,16 | 0,12 | 0,1 | 0,07 | 0,05 |
3. Срез | Rsq | 1,0 | 0,8 | 0,65 | 0,55 | 0,4 | 0,3 | 0,2 | 0,14 | 0,09 |
Примечания 1 Расчетные сопротивления осевому растяжению Rt, растяжению при изгибе Rtb и главным растягивающим напряжениям Rtw отнесены ко всему сечению разрыва кладки. 2 Расчетные сопротивления срезу по перевязанному сечению Rsq отнесены только к площади сечения кирпича или камня (площади сечения нетто) за вычетом площади сечения вертикальных швов. 3 Расчетные сопротивления кладки из крупноформатных поризованных камней и полистиролбетонных блоков определяются по экспериментальным данным. |
(примечание 3 в ред. Изменения N 2, утв. Приказом Минстроя России от 18.08.2016 N 576/пр) |
6.18 Расчетные сопротивления бутобетона осевому растяжению Rt, главным растягивающим напряжениям Rtw и растяжению при изгибе Rtb приведены в таблице 13.
Вид напряженного состояния | Обозначение | Расчетные сопротивления R, МПа, бутобетона осевому растяжению, главным растягивающим напряжениям и растяжению при изгибе при классе бетона |
В15 | В12,5 | В7,5 | В5 | В3,5 | В2,5 |
1 Осевое растяжение и главные растягивающие напряжения | Rt Rtw | 0,2 | 0,18 | 0,16 | 0,14 | 0,12 | 0,1 |
2 Растяжение при изгибе | Rtb | 0,27 | 0,25 | 0,23 | 0,2 | 0,18 | 0,16 |
6.19 Расчетные сопротивления кладки из природного камня для всех видов напряженного состояния допускается уточнять по специальным указаниям, составленным на основе экспериментальных исследований и утвержденным в установленном порядке.
6.20 Расчетные сопротивления арматуры
Rs, принимаемые в соответствии с
СП 63.13330, следует умножать в зависимости от вида армирования конструкций на коэффициенты условий работы

, приведенные в таблице 14.
Вид армирования конструкций | Коэффициенты условий работы  для арматуры классов |
А240 | А300 | В500 |
1 Сетчатое армирование | 0,75 | - | 0,6 |
2 Продольная арматура в кладке: | | | |
а) продольная арматура растянутая | 0,8 | 0,9 | 0,7 |
б) то же, сжатая | 0,85 | 0,7 | 0,6 |
в) отогнутая арматура и хомуты | 0,8 | 0,8 | 0,6 |
3 Анкеры и связи в кладке: | | | |
а) на растворе марки 25 и выше | 0,9 | 0,9 | 0,8 |
б) на растворе марки 10 и ниже | 0,5 | 0,5 | 0,6 |
Примечания 1 При применении других видов арматурных сталей расчетные сопротивления принимаются не выше, чем для арматуры классов А300 или соответственно В500. 2 При расчете зимней кладки, выполненной способом замораживания, расчетные сопротивления арматуры при сетчатом армировании следует принимать с дополнительным коэффициентом условий работы  , приведенным в таблице 34. |
Модули упругости и деформаций кладки при кратковременной
и длительной нагрузке, упругие характеристики кладки,
деформации усадки, коэффициенты линейного
расширения и трения
6.21 Модуль упругости (начальный модуль деформаций) кладки E0 при кратковременной нагрузке должен приниматься равным:
для неармированной кладки

; (1)
для кладки с продольным армированием

. (2)
В формулах (1) и (2)

- упругая характеристика кладки, принимается по
таблице 16.
Модуль упругости кладки с сетчатым армированием принимается таким же, как для неармированной кладки.
Для кладки с продольным армированием упругую характеристику следует принимать такой же, как для неармированной кладки; Ru - временное сопротивление (средний предел прочности) сжатию кладки, определяемое по формуле
Ru = kR, (3)
где k - коэффициент, принимаемый по таблице 15;
R - расчетные сопротивления сжатию кладки, принимаемые по
таблицам 2 -
10 с учетом коэффициентов, приведенных в примечаниях к этим таблицам, а также в
6.10 -
6.15.
Вид кладки | Коэффициент k |
1 Из кирпича и камней всех видов, из крупных блоков, рваного бута и бутобетона, кирпичная вибрированная | 2,0 |
2 Из крупных и мелких блоков из ячеистых бетонов | 2,2 |
Вид кладки | Упругая характеристика  |
при марках раствора | при прочности раствора |
25 - 200 | 10 | 4 | 0,2 | нулевой |
1 Из крупных блоков, изготовленных из тяжелого и крупнопористого бетона на тяжелых заполнителях и из тяжелого природного камня  | 1500 | 1000 | 750 | 750 | 500 |
2 Из камней, изготовленных из тяжелого бетона, тяжелых природных камней и бута | 1500 | 1000 | 750 | 500 | 350 |
3 Из крупных блоков, изготовленных из бетона на пористых заполнителях и поризованного, крупнопористого бетона на легких заполнителях, плотного силикатного бетона и из легкого природного камня | 1000 | 750 | 500 | 500 | 350 |
4 Из крупных блоков, изготовленных из ячеистых бетонов: | | | | | |
автоклавных | 750 | 750 | 500 | 500 | 350 |
неавтоклавных | 500 | 500 | 350 | 350 | 350 |
5 Из камней, изготовленных из ячеистых бетонов: | | | | | |
автоклавных | 750 | 500 | 350 | 350 | 200 |
неавтоклавных | 500 | 350 | 200 | 200 | 200 |
6 Из керамических камней (кроме крупноформатных) | 1200 | 1000 | 750 | 500 | 350 |
7 Из кирпича керамического пластического прессования полнотелого и пустотелого, из пустотелых силикатных камней, из камней, изготовленных из бетона на пористых заполнителях и поризованного, из легких природных камней | 1000 | 750 | 500 | 350 | 200 |
8 Из кирпича силикатного полнотелого и пустотелого | 750 | 500 | 350 | 350 | 200 |
9 Из кирпича керамического полусухого прессования полнотелого и пустотелого | 500 | 500 | 350 | 350 | 200 |
Примечания 1 При определении коэффициентов продольного изгиба для элементов с гибкостью l0/ i <= 28 или отношением l0/ h <= 8 (см. 7.2) допускается принимать величины упругой характеристики кладки из кирпича всех видов как из кирпича пластического прессования. 2 Приведенные в таблице 16 ( позиции 7 - 9) значения упругой характеристики  для кирпичной кладки распространяются на виброкирпичные панели и блоки. 3 Упругая характеристика бутобетона принимается равной  . 4 Для кладки на легких растворах значения упругой характеристики  следует принимать по таблице 16 с коэффициентом 0,7. 5 Упругие характеристики кладки из природных камней, полистиролбетонных блоков допускается уточнять по специальным указаниям, составленным на основе результатов экспериментальных исследований и утвержденным в установленном порядке. 6 Для кладки из крупноформатных камней  следует принимать как для керамических камней с коэффициентом 0,7. |
Упругую характеристику кладки с сетчатым армированием следует определять по формуле

. (4)
В
формулах (2) и (4)
Rsku - временное сопротивление (средний предел прочности) сжатию армированной кладки из кирпича или камней при высоте ряда не более 150 мм, определяемое по формулам:
для кладки с продольной арматурой

; (5)
для кладки с сетчатой арматурой

; (6)

- процент армирования кладки;
для кладки с продольной арматурой

,
где
As и
Ak - соответственно площади сечения арматуры и кладки, для кладки с сетчатой арматурой

определяется по
7.31;
Rsn - нормативные сопротивления арматуры в армированной кладке, принимаемые для сталей классов А240 и А300 в соответствии с
СП 63.13330, а для стали класса В500 - с коэффициентом условий работы 0,6 также по
СП 63.13330.
6.22 Модуль деформаций кладки E должен приниматься:
а) при расчете конструкций по прочности для определения усилий в кладке при знакопеременных и малоцикловых нагружениях (для определения усилий в затяжках сводов, в слоях сжатых многослойных сечений, усилий, вызываемых температурными деформациями, при расчете кладки над рандбалками или под распределительными поясами) по формуле
где
E0 - модуль упругости (начальный модуль деформаций) кладки, определяемый по
формулам (1) и
(2).
б) при определении деформаций кладки от продольных или поперечных сил, усилий в статически неопределимых рамных системах, в которых элементы конструкций из кладки работают совместно с элементами из других материалов, периода колебаний каменных конструкций, жесткости конструкций по формуле
E = 0,8E0. (7а)
6.23 Для нелинейных расчетов относительные деформации кладки

при кратковременной нагрузке могут определяться при любых напряжениях по формуле

. (8)
При зависимости между напряжениями и деформациями по формуле (8) тангенциальный модуль деформаций определяется по формуле

. (8а)
6.24 Относительная деформация кладки с учетом ползучести определяется по формуле

, (9)
где

- напряжение, при котором определяется

;
v - коэффициент, учитывающий влияние ползучести кладки:
v = 1,8 - для кладки из керамических камней, в том числе крупноформатных, с вертикальными щелевидными пустотами (высота камня от 138 до 220 мм);
v = 2,2 - для кладки из керамического кирпича пластического и полусухого прессования;
v = 2,8 - для кладки из крупных блоков или камней, изготовленных из тяжелого бетона;
v = 3,0 - для кладки из силикатного кирпича и камней полнотелых и пустотелых, а также из камней, изготовленных из бетона на пористых заполнителях или поризованного и силикатных крупных блоков;
v = 3,5 - для кладки из мелких и крупных блоков или камней, изготовленных из автоклавных ячеистых бетонов;
v = 4,0 - то же, из неавтоклавных ячеистых бетонов и полистиролбетонов.
6.25 Модуль упругости кладки E0 при постоянной и длительной нагрузке с учетом ползучести следует уменьшать путем деления его на коэффициент ползучести v.
6.26 Модуль упругости и деформаций кладки из природных камней допускается принимать на основе результатов экспериментальных исследований и утвержденным в установленном порядке.
6.27 Деформации усадки кладки из керамического кирпича и керамических камней, в том числе крупноформатных, не учитываются.
Деформации усадки следует принимать для кладок:
из кирпича, камней, мелких и крупных блоков, изготовленных на силикатном или цементном вяжущем, - 3·10-4;
из камней и блоков, изготовленных из автоклавных ячеистых бетонов на песке и вторичных продуктах обогащения различных руд, - 4·10-4;
то же, из автоклавных бетонов на золе - 6·10-4.
6.28 Модуль сдвига кладки следует принимать равным G = 0,4E0, где E0 - модуль упругости при сжатии.
6.29 Величины коэффициентов линейного расширения кладки следует принимать по таблице 17.
Материал кладки | Коэффициент линейного расширения кладки  , град. -1 |
1 Кирпич керамический полнотелый, пустотелый и керамические камни | 0,000005 |
2 Кирпич силикатный, камни и блоки бетонные и бутобетон | 0,00001 |
3 Природные камни, камни и блоки из ячеистых бетонов | 0,000008 |
Примечание - Величины коэффициентов линейного расширения для кладки из полистиролбетонов и других материалов допускается принимать по опытным данным. |
6.30 Коэффициент трения

следует принимать по таблице 18.
Материал | Коэффициент трения  при состоянии поверхности |
сухом | влажном |
1 Кладка по кладке или бетону | 0,7 | 0,6 |
2 Дерево по кладке или бетону | 0,6 | 0,5 |
3 Сталь по кладке или бетону | 0,45 | 0,35 |
4 Кладка и бетон по песку или гравию | 0,6 | 0,5 |
5 То же, по суглинку | 0,55 | 0,4 |
6 То же, по глине | 0,5 | 0,3 |
| | Применение на обязательной основе разд. 7 (за исключением п. п. 7.7, 7.9, 7.12, 7.13, 7.15, 7.16, 7.18) обеспечивает соблюдение требований Федерального закона от 30.12.2009 N 384-ФЗ "Технический регламент о безопасности зданий и сооружений" (Постановление Правительства РФ от 04.07.2020 N 985). | |
7. Расчет элементов конструкций по предельным состояниям
первой группы (по несущей способности)
Центрально-сжатые элементы
7.1 Расчет элементов неармированных каменных конструкций при центральном сжатии следует производить по формуле

, (10)
где N - расчетная продольная сила;
R - расчетное сопротивление сжатию кладки, определяемое по
таблицам 2 -
10;

- коэффициент продольного изгиба, определяемый по
7.2;
A - площадь сечения элемента;
mg - коэффициент, учитывающий влияние длительной нагрузки и определяемый по
формуле (16) при

.
При меньшем размере прямоугольного поперечного сечения элементов h >= 30 см (или с меньшим радиусом инерции элементов любого сечения i >= 8,7 см) коэффициент mg следует принимать равным единице.
7.2 Коэффициент продольного изгиба

для элементов постоянного по длине сечения следует принимать по
таблице 19 в зависимости от гибкости элемента

(11)
или прямоугольного сплошного сечения при отношении

(12)
и упругой характеристики кладки

, принимаемой по
таблице 17, а для кладки с сетчатым армированием - по
формуле (4).
l0 - расчетная высота (длина) элемента, определяемая согласно указаниям
7.3;
i - наименьший радиус инерции сечения элемента;
h - меньший размер прямоугольного сечения.
Гибкость | Коэффициент продольного изгиба  при упругих характеристиках кладки  |
| | 1500 | 1000 | 750 | 500 | 350 | 200 | 100 |
4 | 14 | 1 | 1 | 1 | 0,98 | 0,94 | 0,9 | 0,82 |
6 | 21 | 0,98 | 0,96 | 0,95 | 0,91 | 0,88 | 0,81 | 0,68 |
8 | 28 | 0,95 | 0,92 | 0,9 | 0,85 | 0,8 | 0,7 | 0,54 |
10 | 35 | 0,92 | 0,88 | 0,84 | 0,79 | 0,72 | 0,6 | 0,43 |
12 | 42 | 0,88 | 0,84 | 0,79 | 0,72 | 0,64 | 0,51 | 0,34 |
14 | 49 | 0,85 | 0,79 | 0,73 | 0,66 | 0,57 | 0,43 | 0,28 |
16 | 56 | 0,81 | 0,74 | 0,68 | 0,59 | 0,5 | 0,37 | 0,23 |
18 | 63 | 0,77 | 0,7 | 0,63 | 0,53 | 0,45 | 0,32 | - |
22 | 76 | 0,69 | 0,61 | 0,53 | 0,43 | 0,35 | 0,24 | - |
26 | 90 | 0,61 | 0,52 | 0,45 | 0,36 | 0,29 | 0,2 | - |
30 | 104 | 0,53 | 0,45 | 0,39 | 0,32 | 0,25 | 0,17 | - |
34 | 118 | 0,44 | 0,38 | 0,32 | 0,26 | 0,21 | 0,14 | - |
38 | 132 | 0,36 | 0,31 | 0,26 | 0,21 | 0,17 | 0,12 | - |
42 | 146 | 0,29 | 0,25 | 0,21 | 0,17 | 0,14 | 0,09 | - |
46 | 160 | 0,21 | 0,18 | 0,16 | 0,13 | 0,1 | 0,07 | - |
50 | 173 | 0,17 | 0,15 | 0,13 | 0,1 | 0,08 | 0,05 | - |
54 | 187 | 0,13 | 0,12 | 0,1 | 0,08 | 0,06 | 0,04 | - |
Примечания 1 Коэффициент  при промежуточных величинах гибкостей определяется интерполяцией. 2 Коэффициент  для отношений  , превышающих предельные ( 9.16 - 9.20), следует принимать при определении (7.7) в случае расчета на внецентренное сжатие с большими эксцентриситетами. 3 Для кладки с сетчатым армированием величины упругих характеристик, определяемые по формуле (4), могут быть менее 200. |
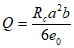
7.3 Расчетные высоты стен и столбов
l0 при определении коэффициентов продольного изгиба

в зависимости от условий опирания их на горизонтальные опоры следует принимать:
а) при неподвижных шарнирных опорах
l0 =
H (
рисунок 4, а);
б) при упругой верхней опоре и жестком защемлении в нижней опоре: для однопролетных зданий l0 = 1,5H, для многопролетных зданий l0 = 1,25H (рисунок 4, б);
в) для свободно стоящих конструкций l0 = 2H (рисунок 4, в);
г) для конструкций с частично защемленными опорными сечениями - с учетом фактической степени защемления, но не менее l0 = 0,8H, где H - расстояние между перекрытиями или другими горизонтальными опорами, при железобетонных горизонтальных опорах - расстояние между ними в свету.
а - шарнирно опертых на неподвижные опоры;
б - защемленных внизу и имеющих верхнюю упругую опору;
в - свободно стоящих
Рисунок 4. Коэффициенты
и mg по высоте
сжатых стен и столбов
Примечания. 1. При жестких опорах (см.
9.7) и заделке в стены сборных железобетонных перекрытий принимается
l0 = 0,9
H, а при монолитных железобетонных перекрытиях, опираемых на стены по четырем сторонам,
l0 = 0,8
H.
2. Если нагрузкой является только собственная масса элемента в пределах рассчитываемого участка, то расчетную высоту
l0 сжатых элементов, указанную в
7.3, следует уменьшить путем умножения на коэффициент 0,75.
7.4 Значения коэффициентов

и
mg для стен и столбов, опирающихся на шарнирные неподвижные опоры, с расчетной высотой
l0 =
H (см.
7.3) при расчете сечений, расположенных в средней трети высоты
l0, следует принимать постоянными, равными расчетным значениям

и
mg, определенным для данного элемента. При расчете сечений на участках в крайних третях
l0 коэффициенты

и
mg увеличиваются по линейному закону до единицы на опоре (
рисунок 4, а).
Для стен и столбов, имеющих нижнюю защемленную и верхнюю упругую опоры, при расчете сечений нижней части стены или столба до высоты 0,7
H принимаются расчетные значения

и
mg, а при расчете сечений верхней части стены или столба значения

и
mg для этих сечений увеличиваются до единицы по линейному закону (
рисунок 4, б).
Для свободно стоящих стен и столбов при расчете сечений в их нижней части (до высоты 0,5
H) принимаются расчетные значения

и
mg, а в верхней половине значения

и
mg увеличиваются до единицы по линейному закону (
рисунок 4, в).
В месте пересечения продольной и поперечной стен, при условии их надежного взаимного соединения, коэффициенты

и
mg разрешается принимать равными 1. На расстоянии
H от пересечения стен коэффициенты

и
mg определяются по
7.1 -
7.3. Для промежуточных вертикальных участков коэффициенты

и
mg принимаются интерполяцией.
7.5 В стенах, ослабленных проемами, при расчете простенков коэффициент

принимается по гибкости стены.
Для узких простенков, ширина которых меньше толщины стены, производится также расчет простенка в плоскости стены, при этом расчетная высота простенка принимается равной высоте проема.
7.6 Для ступенчатых стен и столбов, верхняя часть которых имеет меньшее поперечное сечение, коэффициенты

и
mg определяются:
а) при опирании стен (столбов) на неподвижные шарнирные опоры - по высоте
l0 =
H (
H - высота стены или столба согласно
7.3) и наименьшему сечению, расположенному в средней трети высоты
H;
б) при упругой верхней опоре или при ее отсутствии - по расчетной высоте
l0, определенной согласно
7.3, и сечению у нижней опоры, а при расчете верхнего участка стены (столба) высотой
H1 - по расчетной высоте
l01 и поперечному сечению этого участка;
l01 определяется так же, как
l0, но при
H =
H1.
Внецентренно сжатые элементы
7.7 Расчет внецентренно сжатых неармированных элементов каменных конструкций следует производить по формуле

, (13)
где
Ac - площадь сжатой части сечения при прямоугольной эпюре напряжений
(рисунок 5), определяемая из условия, что ее центр тяжести совпадает с точкой приложения расчетной продольной силы N. Положение границы площади
Ac определяется из условия равенства нулю статического момента этой площади относительно ее центра тяжести для прямоугольного сечения:

, (14)

. (15)
Рисунок 5. Внецентренное сжатие
R - расчетное сопротивление кладки сжатию;
A - площадь сечения элемента;
h - высота сечения в плоскости действия изгибающего момента;
e0 - эксцентриситет расчетной силы N относительно центра тяжести сечения;

- коэффициент продольного изгиба для всего сечения в плоскости действия изгибающего момента, определяемый по расчетной высоте элемента
l0 (см.
7.2,
7.3) по
таблице 19;

- коэффициент продольного изгиба для сжатой части сечения, определяемый по фактической высоте элемента
H по
таблице 18 в плоскости действия изгибающего момента при отношении
или гибкости

,
где hc и ic - высота и радиус инерции сжатой части поперечного сечения Ac в плоскости действия изгибающего момента.
Для прямоугольного сечения hc = h - 2e0.
Для таврового сечения (при e0 > 0,45y) допускается приближенно принимать Ac = 2(y - e0) и hc = 2(y - e0), где y - расстояние от центра тяжести сечения элемента до его края в сторону эксцентриситета; b - ширина сжатой полки или толщина стенки таврового сечения в зависимости от направления эксцентриситета.
При знакопеременной эпюре изгибающего момента по высоте элемента
(рисунок 6) расчет по прочности следует производить в сечениях с максимальными изгибающими моментами различных знаков. Коэффициент продольного изгиба

следует определять по высоте части элемента в пределах однозначной эпюры изгибающего момента при отношениях или гибкостях

или

и

или

,
где H1 и H2 - высоты частей элемента с однозначной эпюрой изгибающего момента;
hc1; ic1 и hc2; ic2 - высоты и радиусы инерции сжатой части элементов в сечениях с максимальными изгибающими моментами;

- коэффициент, определяемый по формулам, приведенным в
таблице 20;
mg - коэффициент, определяемый по формуле

, (16)
где Ng - расчетная продольная сила от длительных нагрузок;

- эксцентриситет от действия длительных нагрузок.
Рисунок 6. Знакопеременная эпюра изгибающего момента
для внецентренно сжатого элемента
Вид кладки | Значения  для сечений |
произвольной формы | прямоугольного |
1 Кладка всех видов, кроме указанных в поз. 2 | | |
2 Кладка из керамических кирпича, камней и блоков пустотностью более 25%; из камней и крупных блоков, изготовленных из ячеистых, полистиролбетонов и крупнопористых бетонов; из природных камней (включая бут) | 1 | 1 |
Примечание - Если 2 y < h, то при определении коэффициента  вместо 2 y следует принимать h. |
Гибкость | Коэффициент  для кладки |
| | из керамических кирпича и камней; из камней и крупных блоков из тяжелого бетона; из природных камней всех видов | из силикатного кирпича и силикатных камней; камней из бетона на пористых заполнителях; крупных блоков из ячеистого бетона |
при проценте продольного армирования |
0,1 и менее | 0,3 и более | 0,1 и менее | 0,3 и более |
<= 10 | <= 35 | 0 | 0 | 0 | 0 |
12 | 42 | 0,04 | 0,03 | 0,05 | 0,03 |
14 | 49 | 0,08 | 0,07 | 0,09 | 0,08 |
16 | 56 | 0,12 | 0,09 | 0,14 | 0,11 |
18 | 63 | 0,15 | 0,13 | 0,19 | 0,15 |
20 | 70 | 0,20 | 0,16 | 0,24 | 0,19 |
22 | 76 | 0,24 | 0,20 | 0,29 | 0,22 |
24 | 83 | 0,27 | 0,23 | 0,33 | 0,26 |
26 | 90 | 0,31 | 0,26 | 0,38 | 0,30 |
Примечание - Для неармированной кладки значения коэффициента  следует принимать как для кладки с армированием 0,1% и менее. При проценте армирования более 0,1 и менее 0,3 коэффициент  определяется интерполяцией. |
При h >= 30 см или i >= 8,7 см коэффициент mg следует принимать равным единице.
7.8 При
e0 > 0,7
y, кроме расчета внецентренно сжатых элементов по
формуле (13), следует производить расчет по раскрытию трещин в швах кладки согласно указаниям
8.3.
7.9 При расчете несущих и самонесущих стен (см.
9.6) толщиной 25 см и менее следует учитывать случайный эксцентриситет
ev, который должен суммироваться с эксцентриситетом продольной силы.
Величину случайного эксцентриситета следует принимать равной: для несущих стен - 2 см; для самонесущих стен, а также для отдельных слоев трехслойных несущих стен - 1 см; для перегородок и ненесущих стен, а также заполнений фахверковых стен случайный эксцентриситет допускается не учитывать.
7.10 Наибольшая величина эксцентриситета (с учетом случайного) во внецентренно сжатых конструкциях без продольной арматуры в растянутой зоне не должна превышать: для основных сочетаний нагрузок - 0,9 y, для особых - 0,95 y; в стенах толщиной 25 см и менее: для основных сочетаний нагрузок - 0,8 y, для особых - 0,85 y, при этом расстояние от точки приложения силы до более сжатого края сечения для несущих стен и столбов должно быть не менее 2 см.
7.11 Элементы, работающие на внецентренное сжатие, должны быть проверены расчетом на центральное сжатие в плоскости, перпендикулярной к плоскости действия изгибающего момента в тех случаях, когда ширина их поперечного сечения b < h.
Косое внецентренное сжатие
7.12 Расчет элементов при косом внецентренном сжатии следует производить по
формуле (13) при прямоугольной эпюре напряжений в обоих направлениях. Площадь сжатой части сечения
Ac условно принимается в виде прямоугольника, центр тяжести которого совпадает с точкой приложения силы и две стороны ограничены контуром сечения элемента (рисунок 7), при этом
hc = 2
ch;
bc = 2
cb и
Ac = 4
chcb, где
ch и
cb - расстояния от точки приложения силы N до ближайших границ сечения.
Рисунок 7. Расчетная схема прямоугольного сечения
при косом внецентренном сжатии
В случаях сложного по форме сечения для упрощения расчета допускается принимать прямоугольную часть сечения без учета участков, усложняющих его форму (рисунок 8).
Рисунок 8. Расчетная схема сложного сечения
при косом внецентренном сжатии;
площади A1 и A2 в расчете не учитываются
Величины
w,

и
mg определяются дважды:
а) при высоте сечения h или радиусе инерции ih и эксцентриситете eh в направлении h;
б) при высоте сечения b или радиусе инерции ib и эксцентриситете eb в направлении b.
За расчетную несущую способность принимается меньшая из двух величин, вычисленных по
формуле (13) при двух значениях
w,

и
mg.
Если
eb > 0,7
cb или
eh > 0,7
ch, то кроме расчета по несущей способности должен производиться расчет по раскрытию трещин в соответствующем направлении по указаниям
8.3.
Смятие (местное сжатие)
7.13 Расчет сечений на смятие при распределении нагрузки на части площади сечения следует производить по формуле

, (17)
где Nc - продольная сжимающая сила от местной нагрузки;
Rc - расчетное сопротивление кладки на смятие, определяемое согласно указаниям
7.14;
Ac - площадь смятия, на которую передается нагрузка;

- для кирпичной и виброкирпичной кладки, а также кладки из сплошных камней или блоков, изготовленных из тяжелого и легкого бетонов;
d = 1 - для кладки из пустотелых бетонных или сплошных камней и блоков из крупнопористого и ячеистого бетонов; крупноформатных керамических камней;

- коэффициент полноты эпюры давления от местной нагрузки.
При равномерном распределении давления

, при треугольной эпюре давления

.
(в ред.
Изменения N 2, утв. Приказом Минстроя России от 18.08.2016 N 576/пр)
Если под опорами изгибаемых элементов не требуется установка распределительных плит, то допускается принимать

- для кладок из материалов, указанных в
позициях 1 и
2 таблицы 22, и

- для кладок из материалов, указанных в
позиции 3 этой таблицы.
Материал кладки |  , для нагрузок по схеме |
| |
местная нагрузка | сумма местной и основной нагрузок | местная нагрузка | сумма местной и основной нагрузок |
1 Полнотелый кирпич, сплошные камни и крупные блоки из тяжелого бетона или бетона на пористых заполнителях класса В3,5 и выше | 2 | 2 | 1 | 1,2 |
2 Керамические кирпич и камни с пустотами (кроме крупноформатных), бутобетон | 1,5 | 2 | 1 | 1,2 |
3 Пустотелые бетонные камни и блоки. Сплошные камни и блоки из бетона М35. Камни и блоки из ячеистого бетона и природного камня | 1,2 | 1,5 | 1 | 1 |
4 Для всех типов кладки при растворе марки < М10 | 1 | 1 | 1 | 1 |
Примечания 1 Для кладок всех видов на неотвердевшем растворе или на замороженном растворе в период его оттаивания при зимней кладке, выполненной способом замораживания, принимаются значения  , указанные в поз. 3 настоящей таблицы. 2 Для кирпича, камней и блоков пустотностью более 25% значение коэффициента  принимается равным 1. 3 Для керамических поризованных крупноформатных камней значение коэффициента  принимается равным 0,8. 4 Для полистиролбетонных блоков значение  принимается по экспериментальным данным. |

а - з - различные случаи местного сжатия
Рисунок 9. Определение расчетных площадей сечений
при смятии (местном сжатии)
7.14 Расчетное сопротивление кладки на смятие
Rc следует определять по формуле

; (18)

, (19)
где
A - расчетная площадь сечения, определяемая согласно указаниям
7.16;

- коэффициент, зависящий от материала кладки и места приложения нагрузки, определяется по
таблицам 22 и
22а.
(в ред.
Изменения N 2, утв. Приказом Минстроя России от 18.08.2016 N 576/пр)
При расчете на смятие кладки с сетчатым армированием расчетное сопротивление кладки
Rc принимается в
формуле (17) большим из двух значений:
Rc, определяемого по
формуле (18) для неармированной кладки, или
Rc =
Rsk, где
Rsk - расчетное сопротивление кладки с сетчатым армированием при осевом сжатии, определяемое по
формуле (27) или
(28).
В кладке из камней и блоков пустотностью более 48% расчетное сопротивление на смятие
Rс следует умножать на коэффициент условия работы

.
(абзац введен
Изменением N 2, утв. Приказом Минстроя России от 18.08.2016 N 576/пр)
Минстроя России от 18.08.2016 N 576/пр)
Материал кладки |  для нагрузок по схеме |
| | |
местная нагрузка | сумма местной и основной нагрузок | местная нагрузка | сумма местной и основной нагрузок | местная нагрузка | сумма местной и основной нагрузок |
Керамический крупноформатный камень пустотностью от 40% до 55% | 1,1 | 1,2 | 1,0 | 1,0 | 1,1 | 1,2 |
Примечания 1 Глубина опирания балок на кладку ( рисунок 9, в, и 9, в1) должна быть не менее 380 мм. При меньшей глубине опирания необходимо применять распределительные плиты. 2 При большей пустотности камня во всех случаях коэффициент  принимается равным 1. |
7.15 При одновременном действии местной (опорные реакции балок, прогонов, перекрытий и т.п.) и основной нагрузок (вес вышележащей кладки и нагрузка, передающаяся на эту кладку) расчет производится раздельно на местную нагрузку и на сумму местной и основной нагрузок, при этом принимаются различные значения

согласно
таблице 22.
При расчете на сумму местной и основной нагрузок разрешается учитывать только ту часть местной нагрузки, которая будет приложена до загружения площади смятия основной нагрузкой.
Примечание - В случае, когда площадь сечения достаточна для восприятия одной лишь местной нагрузки, но недостаточна для восприятия суммы местной и основной нагрузок, допускается устранять передачу основной нагрузки на площадь смятия путем устройства промежутка или укладки мягкой прокладки над опорным концом прогона, балки или перемычки.
7.16 Расчетная площадь сечения
A определяется по следующим правилам:
а) при площади смятия, включающей всю толщину стены, в расчетную площадь смятия включаются участки длиной не более толщины стены в каждую сторону от границы местной нагрузки (см.
рисунок 9, а);
б) при площади смятия, расположенной на краю стены по всей ее толщине, расчетная площадь равна площади смятия, а при расчете на сумму местной и основной нагрузок принимается также расчетная площадь, указанная на
рисунке 9, б пунктиром;
в) при опирании на стену концов прогонов и балок в расчетную площадь смятия включается площадь сечения стены шириной, равной глубине заделки опорного участка прогона или балки, и длиной не более расстояния между осями двух соседних пролетов между балками (
рисунок 9, в); если расстояние между балками превышает двойную толщину стены, длина расчетной площади сечения определяется как сумма ширины балки
bc и удвоенной толщины стены
h (
рисунок 9, в
1);
г) при смятии под краевой нагрузкой, приложенной к угловому участку стены, расчетная площадь равна площади смятия, а при расчете на сумму местной и основной нагрузок принимается расчетная площадь, ограниченная на
рисунке 9, г пунктиром;
д) при площади смятия, расположенной на части длины и ширины сечения, расчетная площадь принимается согласно
рисунку 9, д. Если площадь смятия расположена вблизи от края сечения, то при расчете на сумму местной и основной нагрузок принимается расчетная площадь сечения, не меньшая, чем определяемая по
рисунку 9, г при приложении той же нагрузки к угловому участку стены;
е) при площади смятия, расположенной в пределах пилястры, расчетная площадь равна площади смятия, а при расчете на сумму местной и основной нагрузок принимается расчетная площадь, ограниченная на
рисунке 9, е пунктиром;
ж) при площади смятия, расположенной в пределах пилястры и части стены или простенка, увеличение расчетной площади по сравнению с площадью смятия следует учитывать только для нагрузки, равнодействующая которой приложена в пределах полки (стены) или же в пределах ребра (пилястры) с эксцентриситетом
e0 > 1/6
L в сторону стены (где
L - длина площади смятия,
e0 - эксцентриситет по отношению к оси площади смятия). В этих случаях в расчетную площадь сечения включается кроме площади смятия часть площади сечения полки шириной
C, равной глубине заделки опорной плиты в кладку стены и длиной в каждую сторону от края плиты не более толщины стены (
рисунок 9, ж);
з) если сечение имеет сложную форму, не допускается учитывать при определении расчетной площади сечения участки, связь которых с загруженным участком недостаточна для перераспределения давления (участки 1 и 2 на
рисунке 9, з).
Примечание - Во всех случаях, приведенных на
рисунке 9, в расчетную площадь сечения
A включается площадь смятия
Ac.
7.17 При опирании на край кладки изгибаемых элементов (балок, прогонов и т.п.) без распределительных плит или с распределительными плитами, которые могут поворачиваться вместе с концами элемента, длина опорного участка элемента должна приниматься по расчету. При этом плита обеспечивает распределение нагрузки только по своей ширине в направлении, перпендикулярном изгибаемому элементу.
Указания настоящего пункта не распространяются на расчет опор висячих стен который производится согласно
7.13 и
9.5.
Примечания. 1. При необходимости увеличения площади смятия под опорными плитами следует укладывать на них стальные прокладки, фиксирующие положение опорного давления.
2. Конструктивные требования к участкам кладки, загруженным местными нагрузками, приводятся в
9.40 -
9.43.
Изгибаемые элементы
7.18 Расчет изгибаемых неармированных элементов следует производить по формуле
M <= RtbW, (20)
где M - расчетный изгибающий момент;
W - момент сопротивления сечения кладки при упругой ее работе;
Rtb - расчетное сопротивление кладки растяжению при изгибе по перевязанному сечению (см.
таблицы 11 -
13).
Расчет изгибаемых неармированных элементов на поперечную силу следует производить по формуле
Q <= Rtwbz, (21)
где
Rtw - расчетное сопротивление кладки главным растягивающим напряжениям при изгибе, по
таблицам 12 -
14;
b - ширина сечения;
z - плечо внутренней пары сил, для прямоугольного сечения z = 2/3h.
Примечание - Проектирование элементов каменных конструкций, работающих на изгиб по неперевязанному сечению, допускается только в случае проверки прочности нормального сцепления кирпича (камня, блока) с кладочным раствором непосредственно на объекте в соответствии с
ГОСТ 24992.
(примечание в ред.
Изменения N 3, утв. Приказом Минстроя России от 28.01.2019 N 50/пр)
Центрально-растянутые элементы
7.19 Расчет элементов неармированных каменных конструкций на прочность при осевом растяжении следует производить по формуле
N <= RtAn, (22)
где N - расчетная осевая сила при растяжении;
Rt - расчетное сопротивление кладки растяжению, принимаемое по
таблицам 10 -
12 по перевязанному сечению;
An - расчетная площадь сечения нетто.
Примечание - Проектирование элементов каменных конструкций, работающих на осевое растяжение по неперевязанному сечению, не допускается.
Срез
7.20 Расчет неармированной кладки на срез по горизонтальным неперевязанным швам и перевязанным швам кладки следует производить по формуле

, (23)
где
Rsq - расчетное сопротивление срезу (см.
таблицу 11);

- коэффициент трения по шву кладки, принимаемый для кладки из кирпича и камней правильной формы равным 0,7;

- среднее напряжение сжатия при наименьшей расчетной нагрузке, определяемой с коэффициентом надежности по нагрузке 0,9;
n - коэффициент, принимаемый равным 1,0 для кладки из полнотелого кирпича и камней и равным 0,5 для кладки из пустотелого кирпича и камней с вертикальными пустотами, а также для кладки из рваного бутового камня;
A - расчетная площадь сечения.
Расчет кладки на срез по перевязанному сечению (по кирпичу или камню) следует производить по
формуле (23) без учета обжатия (2-й член
формулы 23). Расчетные сопротивления кладки должны приниматься по
таблице 12.
При внецентренном сжатии с эксцентриситетами, выходящими за пределы ядра сечения (для прямоугольных сечений e0 > 0,17h), в расчетную площадь сечения включается только площадь сжатой части сечения Ac.
Многослойные стены с облицовкой каменными
кладочными материалами
Минстроя России от 18.11.2016 N 821/пр)
7.21 Отдельные слои многослойных стен должны быть соединены между собой жесткими или гибкими связями. Жесткие связи должны обеспечивать распределение нагрузки между конструктивными слоями. При гибком соединении слоев каждый слой следует рассчитывать раздельно на воспринимаемые нагрузки.
7.22 Жесткими являются связи:
а) при любом теплоизоляционном слое и расстояниях между осями вертикальных диафрагм из тычковых рядов кирпичей или камней не более 10h и не более 120 см, где h - толщина более тонкого конструктивного слоя;
б) при теплоизоляционном слое из монолитного бетона с пределом прочности на сжатие не менее 0,7 МПа или кладке из камней марки не ниже М10 при тычковых горизонтальных прокладных рядах, расположенных на расстояниях между осями рядов по высоте кладки не более 5h;
(в ред.
Изменения N 1, утв. Приказом Минстроя России от 18.11.2016 N 821/пр)
в) при соблюдении требований по перевязке слоев в соответствии с
9.3.
(перечисление "в" введено
Изменением N 1, утв. Приказом Минстроя России от 18.11.2016 N 821/пр)
7.23 Расчет многослойных стен с жесткими связями следует производить:
б) при внецентренном сжатии по
формуле (13), при этом коэффициент

для кладки с вертикальными диафрагмами принимается равным 1,0.
В
формулах (10) и
(13) принимаются: площадь приведенного сечения
Ared, площадь сжатой части приведенного сечения
Acred и расчетное сопротивление слоя, к которому приводится сечение, с учетом коэффициента использования его прочности
mR.
Коэффициенты продольного изгиба

,

и коэффициент
mg следует определять по указаниям
7.2 -
7.7 для материала слоя, к которому приводится сечение.
При приведении сечения стены к одному материалу толщина слоев должна приниматься фактической, а ширина слоев (по длине стены) изменяться пропорционально отношению расчетных сопротивлений и коэффициентов использования прочности слоев по формуле

, (24)
где bred - приведенная ширина слоя;
b - фактическая ширина слоя;
R; m - расчетное сопротивление и коэффициент использования прочности слоя, к которому приводится сечение;
Ri; mi - расчетное сопротивление и коэффициент использования прочности любого другого слоя стены. Коэффициенты использования прочности слоев в многослойных стенах m и mi приведены в таблице 23.
Коэффициенты использования прочности слоев |
из бетонных камней m | из материалов mi |
керамические камни | кирпич керамический пластического прессования | кирпич силикатный | кирпич керамический полусухого прессования |
m | mi | m | mi | m | mi | m | mi |
Камни марок М25 и выше из бетонов на пористых заполнителях и из поризованных бетонов | 0,8 | 1 | 0,9 | 1 | 1 | 0,9 | 1 | 0,85 |
Камни марок М25 и выше из автоклавных ячеистых бетонов | - | - | 0,85 | 1 | 1 | 0,8 | 1 | 0,8 |
Камни марок М25 и выше из неавтоклавных ячеистых бетонов | - | - | 0,7 | 1 | 0,8 | 1 | 0,9 | 1,0 |
7.24 При расчете многослойных стен с гибкими связями коэффициенты

,

и
mg следует принимать по
7.2 -
7.7 для условной толщины, равной сумме толщин двух конструктивных слоев, умноженной на коэффициент 0,7, но не меньше полученной отдельно для основного слоя.
(в ред.
Изменения N 3, утв. Приказом Минстроя России от 28.01.2019 N 50/пр)
При различном материале слоев принимается приведенная упругая характеристика кладки

, определяемая по формуле

, (25)
где

и

- упругие характеристики слоев;
h1 и h2 - толщина слоев.
7.25 Многослойные стены с утеплителями с пределом прочности на сжатие 1,5 МПа и ниже следует рассчитывать по сечению кладки без учета несущей способности утеплителя.
7.26 В двухслойных стенах при жесткой связи слоев эксцентриситет продольной силы, направленной в сторону термоизоляционного слоя относительно оси, проходящей через центр тяжести приведенного сечения, не должен превышать 0,5 y.
7.27 Сечение стен с облицовкой следует приводить к материалу основного несущего слоя стены. Расчет по раскрытию швов облицовки на растянутой стороне сечения при эксцентриситете в сторону кладки, превышающем 0,7
y относительно оси приведенного сечения, следует производить по указаниям
8.3. Коэффициенты использования прочности слоев в стенах с облицовками
m и
mi приведены в таблице 24.
Материал \облицовочного слоя mi | Материал стены m |
керамические камни | керамический кирпич пластического прессования | силикатный кирпич | керамический кирпич полусухого прессования |
mi | m | mi | m | mi | m | mi | m |
Лицевой кирпич пластического прессования высотой 65 мм | 0,8 | 1 | 1 | 0,9 | 1 | 0,6 | 1 | 0,65 |
Лицевые керамические камни со щелевидными пустотами высотой 140 мм | 1 | 0,9 | 1 | 0,8 | 0,85 | 0,6 | 1 | 0,5 |
Крупноразмерные плиты из силикатного бетона | 0,6 | 0,8 | 0,6 | 0,7 | 0,7 | 0,6 | 0,9 | 0,6 |
Силикатный кирпич | 0,6 | 0,85 | 0,6 | 1 | 1 | 1 | 1 | 0,8 |
Силикатные камни высотой 138 мм | 0,9 | 1 | 0,8 | 1 | 1 | 0,8 | 1 | 0,7 |
Крупноразмерные плиты из тяжелого цементного бетона | 1 | 0,9 | 1 | 0,9 | 1 | 0,75 | 1 | 0,65 |
7.28 При расчете стен с облицовками эксцентриситет нагрузки в сторону облицовки не должен превышать 0,25
y (
y - расстояние от центра тяжести приведенного сечения до края сечения в сторону эксцентриситета). При эксцентриситете, направленном в сторону внутренней грани стены,

, но не менее 0,1
y, расчет по
формулам (10) -
(13) производится без учета коэффициентов
m и
mi, приведенных в
таблицах 23 и
24, как однослойного сечения по материалу основного несущего слоя стены, при этом в расчет вводится вся площадь сечения элемента.
Стены с вертикальными диафрагмами
7.29 Кладка вертикальных кирпичных диафрагм, соединяющих слои кладки, проверяется на срез:

, (25а)
где

- касательные напряжения, действующие в вертикальной плоскости, проходящей через диафрагму, и возникающие от совместного действия вертикальной нагрузки и температурно-влажностных деформаций;
Rsq - расчетное сопротивление кладки диафрагм срезу, определяемое по
7.20.
При расчете на центральное и внецентренное сжатие рассматривается фрагмент стены двутаврового сечения (рисунок 10). Изгибающие моменты от внецентренного приложения нагрузки учитываются только от нагрузок, приложенных в пределах рассматриваемого этажа. Помимо вертикальных усилий следует учитывать изгибающие моменты, возникающие от температурных воздействий.
Рисунок 10. Приведенное сечение рассчитываемого
фрагмента стены
Коэффициенты продольного изгиба

,

и коэффициент
mg следует определять для сечения, проходящего по диафрагме.
В
формулах (10) и
(13) принимаются: площадь приведенного сечения
Ared, площадь сжатой части приведенного сечения
Acred и расчетное сопротивление слоя, к которому приводится сечение, с учетом коэффициента использования его прочности
mR.
Коэффициенты продольного изгиба

,

и коэффициент
mg следует определять по указаниям
7.2 -
7.7 для материала слоя, к которому приводится сечение, для сечения, проходящего по диафрагме.
Приведенная площадь горизонтального сечения рассчитываемого участка стены определяется по формуле
Ared = Aвс + Ared,нс + Ared,д, (26)
где Aвс - площадь горизонтального сечения внутреннего слоя, к которому приводится сечение;
Ared,нс - приведенная площадь горизонтального сечения наружного слоя;
Ared,д - приведенная площадь горизонтального сечения диафрагмы;
hнс - толщина наружного слоя;
hд - толщина диафрагмы (расстояние в свету между наружным и внутренним слоями).
Приведение материала наружного слоя и диафрагмы к материалу внутреннего слоя производится по
7.23.
Высота сжатой зоны определяется из условия равенства нулю суммы статических моментов эпюры вертикальных напряжений относительно оси приложения вертикального усилия. При этом принимается, что в предельном состоянии эпюра вертикальных напряжений является прямоугольной. Для многослойной кладки с вертикальными диафрагмами принимается приведенная упругая характеристика кладки, определяемая по формуле

, (27)
где

;

;

- упругие характеристики, соответственно, внутреннего, наружного слоев и диафрагмы.
Многослойные стены с гибкими связями
с поэтажным опиранием лицевого слоя
Приказом Минстроя России от 18.11.2016 N 821/пр)
7.29.1 Расчет кладки по перевязанному (вертикальному) сечению при действии растягивающих усилий в плоскости стены проводят из условий:
- для неармированной кладки:
N <= RtA; (27.1)
- для армированной кладки:

(27.2)
где
Rt - расчетное сопротивление кладки растяжению по перевязанному сечению, принимаемое по
таблице 12;
Rs - расчетное сопротивление растяжению продольной арматуры;
A - площадь вертикального сечения кладки;
As - площадь сечения продольной арматуры;

- понижающий коэффициент условий работы продольной арматуры в кладке, определяемый по
пункту 2а таблицы 14;
N - горизонтальное растягивающее усилие.
Горизонтальное растягивающее усилие от температурно-влажностных воздействий
N(
t) в лицевом слое кладки определяется по
формуле (27.4).
Проверка неармированной кладки на возможность образования вертикальных трещин от температурно-влажностных воздействий производится из условия:

(27.3)
где

- коэффициент условий работы кладки при расчете на растяжение по второй группе предельных состояний, назначаемый равным 1,5 для зданий с предполагаемым сроком службы 100 лет, 2,0 со сроком службы 50 лет и 3,0 со сроком службы 25 лет.
Горизонтальное растягивающее усилие от температурно-влажностных воздействий
N(
t), действующее в основании лицевого слоя, при проверке его прочности определяется при расчетном перепаде температур для холодного времени, определяемом по
СП 20.13330:

(27.4)
где горизонтальные растягивающие напряжения в основании стены

, МПа, равны:

(27.5)
где

;

;

для кладки из керамического кирпича и

для кладки из силикатного кирпича, бетонных камней;

при

; 1,1 при

и 1,25 при

и выше, учитывающий влияние температуры замыкания и температуры плиты перекрытия в эксплуатационный период

;

для кладки из керамического кирпича и

для кладки из силикатного кирпича и бетонных камней, учитывающий возможность концентрации растягивающих напряжений на опоре вблизи соединяющих торцевую часть плиты с внутренней железобетонных ребер;

- коэффициент, равный 114 °C/МПа;
L - расстояние между двумя вертикальными деформационными швами:
L = Lx + Ly, (27.6)
где Lx и Ly - длины стен от угла до деформационного шва по осям X и Y.
Деформации усадки кладки из силикатного кирпича и бетонных камней задаются с помощью эквивалентной температуры tэкв, вызывающей в кладке ту же деформацию.
(п. 7.29.1 в ред.
Изменения N 3, утв. Приказом Минстроя России от 28.01.2019 N 50/пр)
7.29.2 Конструкция, количество, шаг и сечение гибких связей между лицевым и внутренним слоями назначаются конструктивно в соответствии с
9.34.
При необходимости увеличения расстояний между вертикальными деформационными швами подбор сечения связей и сеток возможно провести по результатам расчетов связей и сеток на растяжение от суммарного действия температурно-влажностных деформаций и ветровой нагрузки.
Суммарная прочность на растяжение расположенных на углу стен гибких связей и Г-образных связевых сеток, уложенных в горизонтальных растворных швах лицевого слоя кладки, Nt,s проверяется по формуле

(27.7)
где
Ns - суммарное горизонтальное растягивающее усилие в связях и продольных стержнях Г-образных сеток того же направления, расположенных на углу стены на участке высотой на один этаж, от температурно-влажностных воздействий при расчетном перепаде температур, определяемом по
СП 20.13330 для теплого времени, и от ветровой нагрузки;
mc - коэффициент условий работы связей, зависящий от неравномерности включения в работу отдельных связей, зависящий от конструкции связи, наличия или отсутствия предварительного натяжения связей. При отсутствии данных принимается mc = 0,5;
As,c, As,m - суммарная площадь сечения, соответственно, связей и продольных стержней связевых сеток;
Rs,c, Rs,m - расчетное сопротивление растяжению, соответственно, связей и продольных стержней связевых сеток;
| | ИС МЕГАНОРМ: примечание. В официальном тексте документа, видимо, допущена опечатка: таблица 6.1 отсутствует. | |

,

- понижающие коэффициенты условий работы, соответственно, связей и продольных стержневых связевых сеток определяемые по таблице 6.1.
Прочность узла анкеровки связи Nt,a проверяют по формуле

(27.8)
При применении связей из композитных материалов прочность узла анкеровки связи
Nt,a назначают в соответствии с
ГОСТ Р 54923 и
ГОСТ 23279 и с учетом коэффициента надежности по материалу

.
(п. 7.29.2 в ред.
Изменения N 3, утв. Приказом Минстроя России от 28.01.2019 N 50/пр)
7.29.3 При разработке конструкции крепления к каркасу наружных стен наряду с ветровой нагрузкой следует учитывать усилия от перекоса каркаса, вызванного деформациями его элементов (колонн, пилонов), неравномерными осадками основания и др.
(п. 7.29.3 введен
Изменением N 1, утв. Приказом Минстроя России от 18.11.2016 N 821/пр)
Армокаменные конструкции
7.30 Элементы с сетчатым армированием выполняются на растворах марки не ниже 50 при высоте ряда кладки не более 150 мм.
Расчет элементов с сетчатым армированием
(рисунок 11) при центральном сжатии следует производить по формуле

, (28)
где N - расчетная продольная сила;
Rsk <= 2R - расчетное сопротивление при центральном сжатии, определяемое для армированной кладки из кирпича всех видов и керамических камней со щелевидными вертикальными пустотами по формуле

, (28а)
где p - коэффициент, принимаемый при пустотности кирпича (камня) до 20% включительно равным 2, при пустотности от 20% до 30% включительно - равным 1,5, при пустотности выше 30% - равным 1.
1 - арматурная сетка; 2 - выпуск арматурной сетки
для контроля ее укладки
Рисунок 11. Поперечное (сетчатое) армирование
каменных конструкций
При прочности раствора менее 2,5 МПа при проверке прочности кладки в процессе ее возведения для кирпича всех видов и керамических камней со щелевидными вертикальными пустотами по формуле

, (28б)
где R1 - расчетное сопротивление неармированной кладки в рассматриваемый срок твердения раствора;
R25 - расчетное сопротивление кладки при марке раствора 25;

- процент армирования по объему. Для сеток с квадратными ячейками из арматуры сечением
Ast с размером ячейки
C при расстоянии между сетками
S

,
Vs и Vk - соответственно объемы арматуры и кладки;

- коэффициент продольного изгиба, определяемый по
таблице 19 для

или

при упругой характеристике кладки с сетчатым армированием
ask, определяемой по
формуле (4).
Примечание - Процент армирования кладки сетчатой арматурой, учитываемый в расчете на центральное сжатие, не должен превышать определяемого по формуле

.
Rs - расчетное сопротивление арматуры.
При армировании меньше 0,1% сечение рассчитывается как неармированное.
При прочности раствора более 2,5 МПа отношение R1/R25 принимается равным 1.
7.31 Расчет внецентренно сжатых элементов с сетчатым армированием при малых эксцентриситетах, не выходящих за пределы ядра сечения (для прямоугольного сечения
e0 <= 0,17
h), следует производить по формуле

(29)
или для прямоугольного сечения

, (30)
где Rskb <= 2R - расчетное сопротивление армированной кладки при внецентренном сжатии, определяемое для армированной кладки из кирпича всех видов и керамических камней со щелевидными вертикальными пустотами при марке раствора М50 и выше по формуле

, (31)
а при марке раствора менее 25 (при проверке прочности кладки в процессе ее возведения) для кирпича всех видов и керамических камней со щелевидными вертикальными пустотами по формуле

. (32)
Остальные величины имеют те же значения, что в
7.1 и
7.7.
Примечания. 1. При эксцентриситетах, выходящих за пределы ядра сечения (для прямоугольных сечений
e0 > 0,17
h), а также при

или

применять сетчатое армирование не следует.
2. Процент армирования кладки сетчатой арматурой при внецентренном сжатии не должен превышать определяемого по формуле

.
При армировании меньше 0,1% сечение рассчитывается как неармированное.
| | Применение на обязательной основе разд. 8 обеспечивает соблюдение требований Федерального закона от 30.12.2009 N 384-ФЗ "Технический регламент о безопасности зданий и сооружений" (Постановление Правительства РФ от 04.07.2020 N 985). | |
8. Расчет элементов конструкций по предельным состояниям
второй группы (по образованию и раскрытию трещин
и по деформациям)
8.1 По образованию и раскрытию трещин (швов кладки) и по деформациям следует рассчитывать:
а) внецентренно сжатые неармированные элементы при e0 > 0,7y;
б) смежные, работающие совместно конструктивные элементы кладки из материалов различной деформативности (с различными модулями упругости, ползучестью, усадкой) или при значительной разнице в напряжениях, возникающих в этих элементах;
в) самонесущие стены, связанные с каркасами и работающие на поперечный изгиб, если несущая способность стен недостаточна для самостоятельного (без каркаса) восприятия нагрузок;
г) стеновые заполнения каркасов - на перекос в плоскости стен;
д) продольно армированные изгибаемые, внецентренно сжатые и растянутые элементы, эксплуатируемые в условиях среды, агрессивной для арматуры;
е) продольно армированные емкости при наличии требований непроницаемости штукатурных или плиточных изоляционных покрытий;
ж) другие элементы зданий и сооружений, в которых образование трещин не допускается или же раскрытие трещин должно быть ограничено по условиям эксплуатации.
8.2 Расчет каменных и армокаменных конструкций по предельным состояниям второй группы следует производить на воздействие нормативных нагрузок при основных их сочетаниях. Расчет внецентренно сжатых неармированных элементов по раскрытию трещин при e0 > 0,7y (см. 8.3) должен производиться на воздействие расчетных нагрузок.
8.3 Расчет по раскрытию трещин (швов кладки) внецентренно сжатых неармированных каменных конструкций следует производить при
e0 > 0,7
y исходя из следующих положений:
при расчете принимается линейная эпюра напряжений внецентренного сжатия как для упругого тела;
расчет производится по условному краевому напряжению растяжения, которое характеризует величину раскрытия трещин в растянутой зоне.
Расчет следует производить по формуле

, (33)
где I - момент инерции сечения в плоскости действия изгибающего момента;
y - расстояние от центра тяжести сечения до сжатого его края;
Rtb - расчетное сопротивление кладки растяжению при изгибе по неперевязанному сечению (см.
таблицу 10);
yr - коэффициент условий работы кладки при расчете по раскрытию трещин, принимаемый по таблице 25.
Характеристика и условия работы кладки | Коэффициент условий работы  при предполагаемом сроке службы конструкций, лет |
100 | 50 | 25 |
1 Неармированная внецентренно нагруженная и растянутая кладка | 1,5 | 2,0 | 3,0 |
2 То же, с декоративной отделкой для конструкций с повышенными архитектурными требованиями | 1,2 | 1,2 | - |
3 Неармированная внецентренно нагруженная кладка с гидроизоляционной штукатуркой для конструкций, работающих на гидростатическое давление жидкости | 1,2 | 1,5 | - |
4 То же, с кислотоупорной штукатуркой или облицовкой на замазке на жидком стекле | 0,8 | 1,0 | 1,0 |
Примечание - Коэффициент условий работы  при расчете продольно армированной кладки на внецентренное сжатие, изгиб, осевое и внецентренное растяжение и главные растягивающие напряжения принимается по таблице 25 с коэффициентами: k = 1,25 при  ; k = 1 при  . При промежуточных процентах армирования - интерполяцией, выполняемой по формуле  . |
Остальные обозначения величин те же, что в
7.7.
8.4 Конструкции, в которых по условиям эксплуатации не может быть допущено появление трещин в штукатурных и других покрытиях, должны быть проверены на деформации растянутых поверхностей. Эти деформации для неармированной кладки следует определять при нормативных нагрузках, которые будут приложены после нанесения штукатурных или других покрытий, по
формулам (34) -
(37). Они не должны превышать величин относительных деформаций

, приведенных в таблице 26.
Вид и назначение покрытий | |
Гидроизоляционная цементная штукатурка для конструкций, подверженных гидростатическому давлению жидкостей | 0,8·10-4 |
Кислотоупорная штукатурка на жидком стекле или однослойное покрытие из плиток каменного литья (диабаз, базальт) на кислотоупорной замазке | 0,5·10-4 |
Двух- и трехслойные покрытия из прямоугольных плиток каменного литья на кислотоупорной замазке: | |
а) вдоль длинной стороны плиток | 1·10-4 |
б) то же, вдоль короткой стороны плиток | 0,8·10-4 |
Примечание - При продольном армировании конструкций, а также при оштукатуривании неармированных конструкций по сетке предельные относительные деформации  допускается увеличивать на 25%. |
8.5 Расчет по деформациям растянутых поверхностей каменных конструкций из неармированной кладки следует производить по формулам:
при осевом растяжении

; (34)
при изгибе

; (35)
при внецентренном сжатии

; (36)
при внецентренном растяжении

. (37)
N и M - продольная сила и момент от нормативных нагрузок, которые будут приложены после нанесения на поверхность кладки штукатурных или плиточных покрытий;

- предельные относительные деформации, принимаемые по
таблице 26;
(h - y) - расстояние от центра тяжести сечения кладки до наиболее удаленной растянутой грани покрытия;
I - момент инерции сечения;
E - модуль деформаций кладки, определяемый по
формуле (8).
| | Применение на обязательной основе разд. 9 (за исключением п. п. 9.1.2, 9.2, 9.8, 9.10, 9.13, абз. первого п. 9.19, абз. седьмого - двенадцатого п. 9.30, п. п. 9.32.1, 9.32.2, 9.33, 9.34, 9.46, 9.47, абз. второго п. 9.59, п. п. 9.61, 9.69, 9.75, 9.79, 9.83) обеспечивает соблюдение требований Федерального закона от 30.12.2009 N 384-ФЗ "Технический регламент о безопасности зданий и сооружений" (Постановление Правительства РФ от 04.07.2020 N 985). | |
9. Проектирование конструкций
Общие указания
9.1 Силикатный кирпич и камни, пустотелый керамический кирпич и камни, блоки из ячеистых бетонов, бетонные блоки с пустотами, керамический кирпич полусухого прессования применяются для наружных стен помещений с влажным режимом при условии нанесения на их внутренние поверхности пароизоляционного покрытия. Применение указанных материалов для стен помещений с мокрым режимом, а также для наружных стен подвалов, цоколей, фундаментов не допускается.
9.1.1 Полнотелые силикатные блоки для возведения фундаментов и стен подвалов применяются при соблюдении требований, изложенных в
9.65. Силикатный кирпич, перегородочные блоки и плиты в санузлах, душевых, ванных применяются при условии вертикальной гидроизоляции или облицовки плиткой внутренней поверхности.
9.1.2 Трехслойная кладка с эффективным утеплителем для наружных стен помещений с влажным режимом эксплуатации применяется при условии нанесения на их внутренние поверхности пароизоляционного покрытия. Применение такой кладки для наружных стен помещений с мокрым режимом эксплуатации, а также для наружных стен подвалов не допускается.
9.1.3 При проверке прочности и устойчивости стен, столбов, карнизов и других элементов в период возведения зданий следует учитывать, что элементы перекрытий (балки, плиты и пр.) укладываются по ходу кладки. Возможно опирание элементов на свежую кладку.
(п. 9.1 в ред.
Изменения N 2, утв. Приказом Минстроя России от 18.08.2016 N 576/пр)
9.2 Крупноразмерные элементы конструкций (панели, крупные блоки и т.п.) должны быть проверены расчетом для стадий их изготовления, транспортирования и монтажа. Собственный вес элементов сборных конструкций следует принимать в расчете с учетом коэффициента динамичности, величина которого принимается равной: при транспортировании - 1,8; при подъеме и монтаже - 1,5; при этом коэффициент перегрузки к собственному весу элемента не вводится. Допускается уменьшение указанных выше коэффициентов динамичности, если это подтверждено длительным опытом применения таких элементов, но не ниже 1,25.
9.3 Для сплошной кладки из кирпича и камней правильной формы, за исключением кирпичных панелей, необходимо предусматривать следующие минимальные требования к перевязке:
а) для кладки из полнотелого кирпича толщиной 65 мм - один тычковый ряд на шесть рядов кладки, а из кирпича толщиной 88 мм и пустотелого кирпича толщиной 65 мм - один тычковый ряд на четыре ряда кладки;
б) для кладки из камней правильной формы при высоте ряда до 200 мм - один тычковый ряд на три ряда кладки;
в) для кладки из крупноформатных камней шириной до 260 мм, толщиной до 250 мм и длиной до 510 мм на толщину стены перевязку следует осуществлять в полкамня в каждом ряду.
9.4 Необходимо предусматривать защиту стен и столбов от увлажнения со стороны фундаментов, а также со стороны примыкающих тротуаров и отмосток устройством гидроизоляционного слоя выше уровня тротуара или верха отмостки. Гидроизоляционный слой следует устраивать также ниже пола подвала.
Для подоконников, поясков, парапетов и тому подобных выступающих, особо подверженных увлажнению частей стен следует предусматривать защитные покрытия из цементного раствора, кровельной стали и др. Выступающие части стен должны иметь уклоны, обеспечивающие сток атмосферной влаги.
9.5 Неармированные кладки из каменных материалов в зависимости от вида кладки, а также прочности камней и растворов подразделяются на четыре группы (таблица 27).
Вид кладки | Группа кладки |
I | II | III | IV |
1 Сплошная кладка из кирпича или камней марки 50 и выше | На растворе марки 10 и выше | На растворе марки 4 | - | - |
2 То же, марок 35 и 25 | - | На растворе марки 10 и выше | На растворе марки 4 | - |
3 То же, марок 15, 10 и 7 | - | - | На любом растворе | На любом растворе |
4 Крупные блоки из кирпича или камней, в том числе крупноформатных (вибрированные и невибрированные) | На растворе марки 25 и выше | - | - | - |
5 Кладка из грунтовых материалов (грунтоблоки и сырцовый кирпич) | - | - | На известковом растворе | На глиняном растворе |
6 Облегченная кладка из кирпича, в т.ч. крупноформатных или бетонных камней с перевязкой горизонтальными тычковыми рядами или скобами | На растворе марки 50 и выше с заполнением бетоном не ниже класса В2 или вкладышами марок 25 и выше | На растворе марки 25 с заполнением бетоном или вкладышами марки 15 | На растворе марки 10 и с заполнением засыпкой | - |
7 Облегченная кладка из кирпича или камней колодцевая (с перевязкой вертикальными диафрагмами) | На растворе марки 50 и выше с заполнением теплоизоляционными плитами или засыпкой | На растворе марки 25 с заполнением теплоизоляционными плитами или засыпкой | - | - |
8 Кладка из постелистого бута | - | На растворе марки 25 и выше | На растворе марок 10 и 4 | На глиняном растворе |
9 Кладка из рваного бута | - | На растворе марки 50 и выше | На растворе марок 25 и 10 | На растворе марки 4 |
10 Бутобетон | На бетоне класса В7,5 и выше | На бетоне классов В5и В3,5 | На бетоне класса В2,5 | - |
9.6 Каменные стены в зависимости от конструктивной схемы здания подразделяются на:
несущие, воспринимающие кроме нагрузок от собственного веса и ветра также нагрузки от покрытий, перекрытий, кранов и т.п.;
самонесущие, воспринимающие нагрузку только от собственного веса стен всех вышележащих этажей зданий и ветровую нагрузку;
ненесущие (в том числе навесные), воспринимающие нагрузку только от собственного веса и ветра в пределах одного этажа при высоте этажа не более 6 м; при большей высоте этажа эти стены относятся к самонесущим;
перегородки - внутренние стены, воспринимающие нагрузки только от собственного веса и ветра (при открытых оконных проемах) в пределах одного этажа при высоте его не более 6 м; при большей высоте этажа стены этого типа условно относятся к самонесущим.
В зданиях с самонесущими и ненесущими наружными стенами нагрузки от покрытий, перекрытий и т.п. передаются на каркас или другие несущие конструкции зданий.
9.7 Каменные стены и столбы зданий при расчете на горизонтальные нагрузки, внецентренное и центральное сжатие следует принимать опертыми в горизонтальном направлении на междуэтажные перекрытия, покрытия и поперечные стены и другие несущие конструкции здания. Эти опоры делятся на жесткие (несмещаемые) и упругие.
За жесткие опоры следует принимать:
а) поперечные каменные и бетонные стены толщиной не менее 12 см, железобетонные толщиной не менее 6 см, контрфорсы, поперечные рамы с жесткими узлами, участки поперечных стен и другие конструкции, рассчитанные на восприятие горизонтальной нагрузки;
б) покрытия и междуэтажные перекрытия при расстоянии между поперечными, жесткими конструкциями не более указанных в таблице 28;
в) ветровые пояса, фермы, ветровые связи и железобетонные обвязки, рассчитанные по прочности и по деформациям на восприятие горизонтальной нагрузки, передающейся от стен.
Тип покрытий и перекрытий | Расстояние между поперечными жесткими конструкциями, м, при группе кладки |
I | II | III | IV |
А. Железобетонные сборные замоноличенные (см. примечание 2) и монолитные | 54 | 42 | 30 | - |
Б. Из сборных железобетонных настилов (см. примечание 3) и из железобетонных или стальных балок с настилом из плит или камней | 42 | 36 | 24 | - |
В. Деревянные | 30 | 24 | 18 | 12 |
Примечания 1 Указанные в таблице 28 предельные расстояния должны быть уменьшены в следующих случаях: а) при скоростных напорах ветра 70, 85 и 100 кгс/м2 соответственно на 15, 20 и 25%; б) при высоте здания 22 - 32 м - на 10%; 33 - 48 м - на 20% и более 48 м - на 25%; в) для узких зданий при ширине b менее двойной высоты этажа H - пропорционально отношению b/2 H. 2 В сборных замоноличенных перекрытиях типа А стыки между плитами должны быть усилены для передачи через них растягивающих усилий (путем сварки выпусков арматуры, прокладки в швах дополнительной арматуры с заливкой швов раствором марки не ниже М100 - при плитах из тяжелого бетона и марки не ниже М50 - при плитах из легкого бетона или другими способами замоноличивания). 3 В перекрытиях типа Б швы между плитами или камнями, а также между элементами заполнения и балками должны быть тщательно заполнены раствором марки не ниже М50. 4 Перекрытия типа В должны иметь двойной деревянный настил или настил, накат и подшивку (СП 64.13330). |
За упругие опоры следует принимать покрытия и междуэтажные перекрытия при расстояниях между поперечными жесткими конструкциями, превышающих указанные в
таблице 28, при отсутствии ветровых связей, указанных в
подпункте "в".
Стены и столбы, не имеющие связи с перекрытиями (при устройстве катковых опор и т.п.), следует рассчитывать как свободно стоящие.
9.8 При упругих опорах производится расчет рамной системы, стойками которой являются стены и столбы (железобетонные, кирпичные и др.), а ригелями - перекрытия и покрытия. При этом следует принимать, что стойки жестко защемлены в опорных сечениях.
При статических расчетах рам жесткость стен или столбов, выполненных из кирпичной или каменной кладки, допускается определять при модуле упругости кладки E = 0,8E0 и моменте инерции сечения без учета раскрытия швов, а перекрытия и покрытия следует принимать как жесткие ригели (распорки), шарнирно связанные со стенами.
9.9 В стенах с пилястрами или без пилястр ширину стены при расчете следует принимать:
а) если конструкция покрытия обеспечивает равномерную передачу давления по всей длине опирания его на стену, равной ширине между проемами, а в стенах без проемов равной ширине участка стены между осями пролетов;
б) если боковое давление от стены на покрытие передается в местах опирания на стены ферм или прогонов, то стена с пилястрой рассматривается как стойка рамы с постоянным по высоте сечением, при этом ширина полки принимается равной 1/3 H в каждую сторону от края пилястры, но не более 6 h и ширины стены между проемами (H - высота стены от уровня заделки, h - толщина стены). При отсутствии пилястр и передаче на стены сосредоточенных нагрузок ширина участка 1/3 H принимается в каждую сторону от края распределительной плиты, установленной под опорами ферм или прогонов.
9.10 Стены и столбы, имеющие в плоскостях междуэтажных перекрытий опоры, рассматриваемые согласно
9.7 как жесткие, рассчитываются на внецентренную нагрузку как вертикальные неразрезные балки.
Допускается стены или столбы считать расчлененными по высоте на однопролетные балки с расположением опорных шарниров в плоскостях опирания перекрытий. При этом нагрузку от верхних этажей следует принимать приложенной в центре тяжести сечения стены или столба вышележащего этажа; нагрузки в пределах рассчитываемого этажа принимают приложенными с фактическими эксцентриситетами относительно центра тяжести сечения стены или столба с учетом изменения сечения в пределах этажа и ослабления горизонтальными и наклонными бороздами. При отсутствии специальных опор, фиксирующих положение опорного давления, допускается принимать расстояние от точки приложения опорной реакции прогонов, балок или настила до внутренней грани стены или опорной плиты равным одной трети глубины заделки, но не более 7 см.
Изгибающие моменты от ветровой нагрузки следует определять в пределах каждого этажа как для балки с заделанными концами, за исключением верхнего этажа, в котором верхняя опора принимается шарнирной.
9.11 При расчете стен (или их отдельных вертикальных участков) на вертикальные и горизонтальные нагрузки должны быть проверены:
а) горизонтальные сечения на сжатие или внецентренное сжатие;
б) наклонные сечения на главные растягивающие напряжения при изгибе в плоскости стены;
в) раскрытие трещин от вертикальной нагрузки в зоне примыкания связанных между собой участков стен различной жесткости или разнонагруженных участков стен.
При учете совместной работы поперечных и продольных стен при действии горизонтальной нагрузки должно быть обеспечено восприятие сдвигающих усилий в местах их взаимного примыкания, определяемых по формуле

, (38)
где T - сдвигающее усилие в пределах одного этажа;
Q - расчетная поперечная сила от горизонтальной нагрузки в середине высоты этажа;
y - расстояние от оси продольной стены до оси, проходящей через центр тяжести сечения стен в плане
(рисунок 12);
A - площадь сечения полки (участка продольной стены, учитываемого в расчете);
I - момент инерции сечения стен относительно оси, проходящей через центр тяжести сечения стен в плане;
h - толщина поперечной стены;
H - высота этажа;
Rsq - расчетное сопротивление кладки срезу по вертикальному перевязанному сечению (см.
7.20).
1 - простенок продольной стены; 2 - поперечная стена
Рисунок 12. План поперечной стены и простенков
продольных стен
При определении площади сечения полки
A и момента инерции сечения стен следует учитывать указания, приведенные в
9.9.
9.12 Расчет поперечных стен на главные растягивающие напряжения следует производить по формуле

; (39)
при наличии в стене растянутой части сечения - по формуле

. (40)
В формулах (39) и (40):
Q - расчетная поперечная сила от горизонтальной нагрузки в середине высоты этажа;

, (41)
Rtw - расчетное сопротивление главным растягивающим напряжениям по швам кладки
(таблица 10);
Rtq - расчетное сопротивление скалыванию кладки, обжатой расчетной силой N, определяемой с коэффициентом перегрузки 0,9;

. (42)
При наличии в стене растянутой части сечения принимается

, (43)
где
A - площадь сечения поперечной стены с учетом (или без учета) участков продольной стены (см.
рисунок 12);
Ac - площадь только сжатой части сечения стены при эксцентриситетах, выходящих за пределы ядра сечения;
h - толщина поперечной стены на участке, где эта толщина наименьшая, при условии, если длина этого участка превышает 1/4 высоты этажа или же 1/4 длины стены; при наличии в стене каналов их ширина из толщины стены исключается;
l - длина поперечной стены в плане, если в сечение входят полки в виде отрезков наружных стен, то l - расстояние между осями этих полок;
v = S0l/I - коэффициент неравномерности касательных напряжений в сечении. Значения v допускается принимать: для двутавровых сечений v = 1,15; для тавровых сечений v = 1,35; для прямоугольных сечений (без учета работы продольных стен) v = 1,5;
S0 = 1,15 - статический момент части сечения, находящейся по одну сторону от оси, проходящей через центр тяжести сечения;
I - момент инерции всего сечения относительно оси, проходящей через центр тяжести сечения.
9.13 При недостаточном сопротивлении кладки скалыванию, определяемому по
формулам (39),
(40), допускается армирование ее продольной арматурой в горизонтальных швах. Расчетное сопротивление скалыванию армированной кладки
Rstq следует определять по формуле

(44)
Минстроя России от 18.08.2016 N 576/пр)
где

- процент армирования, определяемый по вертикальному сечению стены.
9.14 При расчете поперечных стен здания на горизонтальные нагрузки, действующие в их плоскости, перемычки, перекрывающие проемы в стенах, рассматриваются как шарнирные вставки между вертикальными участками стен.
Если прочность поперечных стен с проемами при действии горизонтальных нагрузок обеспечивается только с учетом жесткости перемычек, то перемычки должны воспринимать возникающие в них перерезывающие силы, определяемые по формуле

, (45)
где Q - расчетная поперечная сила от горизонтальной нагрузки, воспринимаемая поперечной стеной в уровне перекрытия, примыкающего к рассчитываемым перемычкам;
H - высота этажа;
l - длина поперечной стены в плане
(9.12);
9.15 Расчет перемычек на перерезывающую силу от горизонтальной нагрузки, определяемую по
формуле (45), производится на скалывание и на изгиб по формулам (46) и (47), причем принимается меньшая из двух полученных величин

, (46)

, (47)
где h и l - высота и пролет перемычки (в свету);
A - поперечное сечение перемычки;
Если прочность перемычек недостаточна, то они должны быть усилены продольным армированием или железобетонными балками, рассчитываемыми на изгиб и скалывание на момент

(48)
и поперечную силу
T,
формула (45), в соответствии с
СП 63.13330. Расчет заделки концов балок (перемычек) в кладке производится по указаниям
9.46.
Допустимые отношения высот стен и столбов к их толщинам
9.16 Отношение высоты стены или столба к толщине независимо от результатов расчета не должно превышать указанных в 9.17 -
9.20.
9.17 Отношение

(где
H - высота этажа,
h - толщина стены или меньшая сторона прямоугольного сечения столба) для стен без проемов, несущих нагрузки от перекрытий или покрытий, при свободной длине стены
l <= 2,5
H не должно превышать величин, приведенных в таблице 29 (для кладки из каменных материалов правильной формы).
Марка раствора | |
I | II | III | IV |
50 и выше | 25 | 22 | - | - |
25 | 22 | 20 | 17 | - |
10 | 20 | 17 | 15 | 14 |
4 | - | 15 | 14 | 13 |
Для стен с пилястрами и столбов сложного сечения вместо
h принимается условная толщина
hred = 3,5
i, где

. Для столбов круглого и многоугольного сечения, вписанного в окружность,
hred = 0,85
d, где
d - диаметр сечения столба.
Примечание - При высоте этажа
H, большей свободной длины стены
l, отношение
l/
h не должно превышать значения

по
таблице 29.
9.18 Отношения

для стен и перегородок при условиях, отличающихся от указанных в
9.17, следует принимать с поправочным коэффициентом
k, приведенным в таблице 30.
Характеристика стен и перегородок | Коэффициент k |
1 Стены и перегородки, не несущие нагрузки от перекрытий или покрытий, при толщине, см: | |
25 и более | 1,2 |
10 и менее | 1,8 |
2 Стены с проемами | |
3 Перегородки с проемами | 0,9 |
4 Стены и перегородки при свободной их длине между примыкающими поперечными стенами или колоннами от 2,5 до 3,5H | 0,9 |
5 То же, при l > 3,5H | 0,8 |
6 Стены из бутовых кладок и бутобетона | 0,8 |
Примечания 1 Общий коэффициент снижения отношений  , определяемый путем умножения отдельного коэффициента снижения k (таблица 30), принимается не ниже коэффициента снижения kp, указанного в таблице 31 для столбов. 2 При толщине ненесущих стен и перегородок более 10 и менее 25 см величина поправочного коэффициента k определяется интерполяцией. 3 Значения An - площадь нетто и Ab - площадь брутто определяются по горизонтальному сечению стены. |
Предельные отношения

для столбов принимаются по
таблице 29 с коэффициентами, приведенными в таблице 31.
Меньший размер поперечного сечения столба, см | Коэффициент kp для столбов |
из кирпича и камней правильной формы | из бутовой кладки и бутобетона |
90 и более | 0,75 | 0,6 |
70 - 89 | 0,7 | 0,55 |
50 - 69 | 0,65 | 0,5 |
Менее 50 | 0,6 | 0,45 |
Примечание - Предельные отношения  несущих узких простенков, имеющих ширину менее толщины стены, должны приниматься как для столбов с высотой, равной высоте проемов. |
9.19 Отношения

, приведенные в
таблице 29 и умноженные на коэффициент
k по
таблице 30 для стен и перегородок, могут быть увеличены: при конструктивном продольном армировании кладки (при

) в одном направлении (в горизонтальных швах кладки) - на 20%.
При расстояниях между связанными со стенами поперечными устойчивыми конструкциями

высота стен
H не ограничивается и определяется расчетом на прочность. При свободной длине
l, равной или большей
H, но не более 2
H (где
H - высота этажа), должно соблюдаться условие

. (49)
9.20 Для стен, перегородок и столбов, не закрепленных в верхнем сечении, значения отношений

должны быть на 30% менее установленных в
9.17 -
9.19.
Стены из панелей и крупных блоков
9.21 Кирпичные панели следует проектировать из керамического или силикатного кирпича марки не ниже М75 на растворах марок не ниже М50.
9.22 При проектировании панелей следует предусматривать заполнение растворных швов с применением вибрации. Расчетные сопротивления вибрированной кладки следует принимать по
6.2, при проектировании однослойных панелей наружных стен из пустотелых керамических камней, эффективных в теплотехническом отношении, - толщиной в один, полтора и два камня без применения вибрации. Расчетные сопротивления кладки следует принимать в этом случае по
6.1.
Примечание - В панелях из пустотелых керамических камней, изготовленных без применения вибрации, должна быть соблюдена перевязка вертикальных швов кладки, что должно быть указано в проекте.
(п. 9.22 в ред.
Изменения N 2, утв. Приказом Минстроя России от 18.08.2016 N 576/пр)
9.23 Кирпичные панели наружных стен следует проектировать двухслойными или трехслойными. Двухслойные панели следует выполнять толщиной в полкирпича или более с утеплителем из жестких теплоизоляционных плит, расположенных с наружной или внутренней стороны панелей и защищенных отделочным армированным слоем из раствора марки не ниже 50, толщиной не менее 40 мм.
Трехслойные панели следует выполнять с наружными слоями толщиной в четверть или в полкирпича и средним слоем из жестких или полужестких теплоизоляционных плит.
Каркасы в панелях наружных стен должны устанавливаться в ребрах или швах, расположенных по периметру панелей и по контуру проемов в пределах всей толщины панелей. Ширина ребер, в которые устанавливаются каркасы, не должна превышать 30 мм.
При проектировании панелей наружных стен следует учитывать, что в зависимости от архитектурных требований наружный слой панелей можно выполнять с открытой фактурой кирпича и камней или с отделочным слоем из раствора.
9.24 Кирпичные панели внутренних стен и перегородок следует проектировать однослойными толщиной: в четверть кирпича (8,5 см), в полкирпича (14 см) и в кирпич (27 см) и двухслойными из двух слоев толщиной по четверти кирпича (18 см).
Каркасы в панелях внутренних стен должны устанавливаться по периметру панелей и по контуру проемов в соответствии с расчетом.
Примечания. 1. Толщины панелей указаны с учетом наружных и внутреннего растворных слоев.
2. Панели толщиной в четверть кирпича следует проектировать только для перегородок.
9.25 Кирпичные и керамические стеновые панели следует рассчитывать на внецентренное сжатие по указаниям, приведенным в
7.7 и
7.8 при действии вертикальной и ветровой нагрузок, а также на усилия, возникающие при транспортировании и монтаже (см.
9.2).
Если требуемая прочность панели обеспечивается без учета арматуры, то площадь сечения продольных стержней каркасов должна определяться из условия, чтобы она составляла не менее 0,25 см2 на один метр горизонтального и вертикального сечений панели. Если арматура должна учитываться при определении несущей способности панели, то расчет ее должен производиться как для армокаменной конструкции. При расчете панелей толщиной 27 см и менее следует учитывать случайный эксцентриситет, величина которого принимается равной 1 см - для несущих однослойных панелей; 0,5 см - для самонесущих панелей, а также для отдельных слоев трехслойных несущих панелей; для ненесущих панелей и перегородок случайный эксцентриситет не учитывается.
9.26 Панели с армированными ребрами при различном материале несущих слоев рассчитываются как многослойные стены с жестким соединением слоев согласно
7.22 -
7.24.
9.27 Соединения панелей наружных и внутренних стен, а также панелей наружных стен с панелями перекрытий следует проектировать при помощи стальных связей, приваренных к закладным деталям или к пластинам каркасов. Связи между панелями должны быть установлены в углублениях, расположенных в углах панелей, и покрыты слоем раствора толщиной не менее 10 мм. При выполнении закладных деталей и соединительных стержней из обычной стали они должны быть защищены от коррозии. Марку раствора для монтажных швов стен из панелей следует принимать по расчету, но не менее М50.
9.28 Крупные блоки для наружных и внутренних стен следует проектировать из цементных и силикатных тяжелых бетонов, бетонов на пористых заполнителях, ячеистых бетонов и природного камня, а также из кладки, выполняемой из кирпича, керамических, бетонных и природных камней. Расчетное сопротивление кладки из крупных блоков принимают по
6.3, а для блоков, изготовленных из кирпича или камней без вибрации, - по
6.1,
6.4 и
6.6.
Марку раствора для монтажных швов кладки блоков из кирпича или камней следует принимать на одну ступень выше марки раствора блоков.
9.29 В крупноблочных зданиях высотой до 5 этажей включительно при высоте этажа до 3 м связь между продольными и поперечными стенами следует осуществлять:
а) в наружных углах - перевязкой кладки специальными угловыми блоками (не менее одного ряда блоков на этаж);
б) в местах примыкания внутренних поперечных стен к продольным, а также средней продольной стены к торцевым - закладкой Т-образных анкеров из полосовой стали или арматурных сеток в одном горизонтальном шве в каждом этаже в уровне перекрытий.
Для крупноблочных зданий высотой более 5 этажей и для зданий с высотой этажей более 3 м должны быть предусмотрены жесткие связи между стенами как в углах, так и в местах примыкания внутренних стен к наружным. Связи следует проектировать в виде закладных деталей в блоках, соединяемых сваркой с накладками.
Многослойные стены (стены облегченной кладки
и с облицовкой из кирпича)
9.30 Долговечность изделий и материалов, применяемых в многослойных стенах, должна приниматься с учетом срока службы конструкции.
Кирпичи и камни должны отвечать требованиям по морозостойкости, указанным в
таблице 1.
(в ред.
Изменения N 3, утв. Приказом Минстроя России от 28.01.2019 N 50/пр)
Марка по прочности должна приниматься для кирпича и камня не менее М100, для кладочного раствора не менее М75.
Прочность кладочных материалов внутреннего слоя многослойных конструкций из легких и ячеистых бетонов следует принимать не ниже класса В2.
Армирование лицевого слоя следует выполнять сетками из коррозионно-стойкой стали или стали с антикоррозионным покрытием. Минимальная толщина цинкового покрытия определяется в соответствии с
пунктом 5.5.8 СП 28.13330.2012 и составляет 30 мкм при гальваническом методе нанесения.
Требования по конструкции сеток приведены в
9.33.
Допускается армирование кладки сетками и отдельными стержнями из композиционных материалов в соответствии с
7.29.1 и
9.33.
Абзац исключен с 29 июля 2019 года. -
Изменение N 3, утв. Приказом Минстроя России от 28.01.2019 N 50/пр.
Материалы, применяемые для изготовления гибких связей и арматуры из стали, полимерных композитных материалов и др., должны соответствовать требованиям действующих нормативных документов, иметь сопроводительную документацию, подтверждающую их соответствие нормативным требованиям, включая паспорта качества и/или протоколы испытаний, и подвергаться входному контролю.
(в ред.
Изменения N 3, утв. Приказом Минстроя России от 28.01.2019 N 50/пр)
В соответствии с
ГОСТ Р 54923 при эксплуатации в условиях холодного климата с температурой наиболее холодной пятидневки от минус 60 °C до минус 40 °C в расчет прочностных характеристик следует вводить понижающий коэффициент условий работы (хрупкости), равный 0,7.
В качестве утеплителя в облегченной кладке должны использоваться материалы, прошедшие экспертизу в организациях соответствующего профиля.
При использовании одиночных гибких связей и связевых сеток между лицевым и внутренним слоями стен, устанавливаемых в растворных швах кладки, высота ряда кладки облицовочного слоя должна быть кратной высоте ряда основного (внутреннего) слоя кладки. Допускается применять кладочные изделия без учета краткости высоты ряда при использовании гибких связей, монтируемых в толщу кладочных изделий основного слоя кладки или регулируемых по высоте.
(п. 9.30 в ред.
Изменения N 1, утв. Приказом Минстроя России от 18.11.2016 N 821/пр)
9.31 Проектирование двухслойных стен следует выполнять с учетом изложенных ниже требований.
При различии в прочности и деформационных свойствах слоев расчет стен с жесткими связями проводится в соответствии с
7.21 -
7.29.
Перевязка облицовки, жестко связанной с кладкой тычковыми рядами, выполняется согласно указаниям
9.3.
(п. 9.31 в ред.
Изменения N 1, утв. Приказом Минстроя России от 18.11.2016 N 821/пр)
9.32 Проектирование трехслойных стен с гибкими связями со средним слоем из эффективного утеплителя следует выполнять с учетом изложенных ниже требований.
9.32.1 Для лицевого слоя толщиной до 120 мм включительно следует преимущественно применять клинкерный или полнотелый кирпич (в том числе пустотностью до 13%), пустотелый кирпич с утолщенной наружной стенкой не менее 20 мм, а также пустотелый кирпич с несквозными пустотами. Форма растворного шва в кладке принимается произвольной при соблюдении требований
СП 70.13330.
(в ред.
Изменения N 3, утв. Приказом Минстроя России от 28.01.2019 N 50/пр)
Допускается применение пустотелого кирпича марки по морозостойкости на одну марку выше приведенной в таблице 1 со сквозными пустотами с толщиной наружной стенки менее 20 мм, но не менее 12 мм при условии, что заглубленные швы не допускаются и выполнении одного из следующих мероприятий:
(в ред.
Изменения N 3, утв. Приказом Минстроя России от 28.01.2019 N 50/пр)
кладка одного или более рядов, находящихся непосредственно под горизонтальным деформационным швом, должна выполняться из клинкерного или полнотелого кирпича (в том числе пустотностью до 13%), пустотелого кирпича с утолщенной наружной стенкой не менее 20 мм, кирпича с горизонтальными пустотами;
горизонтальный деформационный шов защищен сверху выступающим из плоскости стены не менее чем на 50 мм козырьком из металлопластика либо выступающей на 50 мм плитой перекрытия со скошенным торцом (при этом устанавливаемый на плиту перекрытия кирпич должен свешиваться с верха плиты на 10 мм);
крайние пустоты верхнего ряда кирпичей заполняются раствором, по которому выполняется гидроизоляция.
Допускается применение полнотелого силикатного кирпича с маркой по морозостойкости F25 при условии расшивки растворных швов с внешним валиком или заподлицо и выполнении следующих мероприятий: защиты горизонтального деформационного шва сверху выступающим из плоскости стены не менее чем на 50 мм козырьком из металлопластика либо выступающей плитой перекрытия со скошенным торцом и устройства вентилируемой прослойки, назначаемой по расчету.
Опирание лицевого слоя кладки с гибкими связями должно выполняться на консоли междуэтажных железобетонных перекрытий при обеспечении допустимого отклонения от вертикальной грани торцов перекрытия (свес) не более 10 мм. Допускается опирание кладки лицевого слоя на детали заводского изготовления из железобетона или коррозионно-стойкой стали. Конструкция деталей и способов их анкеровки к плите перекрытия должны проверяться экспериментально и иметь технические условия, утвержденные в установленном порядке.
(в ред.
Изменения N 3, утв. Приказом Минстроя России от 28.01.2019 N 50/пр)
Внутренний слой кладки наружных стен с гибкими связями должен обеспечивать восприятие ветровых нагрузок, которые могут передаваться от лицевого слоя стены и заполнения проемов.
Закрепление плит утеплителя к основанию должно выполняться с плотным прилеганием к основанию.
При устройстве воздушного вентилируемого зазора в конструкции стены в лицевом слое кладки следует устраивать вентиляционные отверстия, площадь которых назначается по расчету.
Не допускается в построечных условиях наносить на наружный торец плиты перекрытия декоративные элементы, проводить выравнивание торца штукатуркой. Устройство декоративной отделки, например из керамической плитки, следует выполнять до заливки плиты бетоном с заведением в плиту анкеров.
Крепление к лицевому слою стен с гибкими связями растяжек, вентиляционного и другого оборудования не допускается.
9.32.2 Требования к конструкции лицевого слоя в двухслойных стенах с горизонтальными деформационными швами аналогичны приведенным в
9.32.1 для трехслойных стен.
(п. 9.32 в ред.
Изменения N 1, утв. Приказом Минстроя России от 18.11.2016 N 821/пр)
Требования по армированию кладки лицевого слоя
9.33 Армирование кладки лицевого слоя с гибкими связями и поэтажным опиранием на высоту 1 м от опоры выполняется сетками, располагаемыми с шагом по высоте не более 40 см. Для армирования следует использовать сварные сетки, изготовляемые в соответствии с
ГОСТ 23279, выполняемые из двух или более продольных стальных стержней диаметром от 3 до 5 мм с поперечной арматурой диаметром 3 мм, располагаемой с шагом не более 100 мм.
Требуемая суммарная площадь сечения продольной арматуры сеток, расположенных в нижней части стены высотой на 1 м, должна быть эквивалентна по прочности шести стержням диаметром 5 мм арматуры класса В500 при расстоянии между вертикальными температурными швами, устанавливаемыми по
таблице 33.1.
Выше 1 м от опоры армирование выполняется конструктивно сварными сетками с шагом по высоте не более 60 см, состоящими из двух продольных стержней диаметром 3 мм с поперечной арматурой диаметром 3 мм, располагаемой с шагом не более 100 мм.
Абзац исключен с 29 июля 2019 года. -
Изменение N 3, утв. Приказом Минстроя России от 28.01.2019 N 50/пр.
На углах каждый из слоев кладки должен быть армирован Г-образными сварными стальными сетками на длину не менее 1 м от угла или до вертикального деформационного шва, если он расположен ближе, с шагом по высоте не более 60 см.
На прямолинейных участках допускается укладывать сетки внахлест, длина перехлеста должна составлять не менее 25 см.
В целях снижения расхода арматуры или увеличения расстояний между вертикальными деформационными швами, устраиваемыми в лицевом слое, подбор арматуры допускается проводить по результатам расчетов кладки на растяжение от температурно-влажностных деформаций в соответствии с
7.29.1.
Армирование каждого из слоев стены с соединением слоев вертикальными кирпичными диафрагмами осуществляется сетками, располагаемыми по высоте не реже, чем через 1 м. Диафрагмы армируются сетками из арматуры диаметром не менее 3 мм или Z-образными стержнями диаметром не менее 5 мм с шагом по высоте не более 60 см.
(п. 9.33 в ред.
Изменения N 1, утв. Приказом Минстроя России от 18.11.2016 N 821/пр)
Требования по устройству гибких связей
для крепления кладки лицевого слоя к внутреннему слою
9.34 Гибкие связи могут выполняться в виде сеток, отдельных стержней, пластин или в их сочетании.
Материалом связей могут служить стальная арматура, полимерные композитные материалы на основе углепластика, базальтового волокна, стеклопластика.
(в ред.
Изменения N 3, утв. Приказом Минстроя России от 28.01.2019 N 50/пр)
При проектировании стен независимо от вида материала и типа связи предъявляются следующие требования.
Одиночные связи следует устанавливать в шахматном порядке не менее 5 шт./м2.
Шаг связевых сеток по высоте не должен превышать 60 см.
По периметру проемов, на углах здания и вблизи температурных вертикальных швов необходимо устанавливать дополнительные связи с шагом по вертикали и горизонтали не более 25 см.
К связям, выполненным из стальной арматуры, дополнительно предъявляются следующие требования.
Диаметр одиночных стальных связей, закрепленных в растворном шве с помощью загнутого конца (Z-, Г-образные), должен быть не менее 5 мм. Одиночные связи в виде сеток, а также связи, крепящиеся сваркой к расположенным в горизонтальных швах сеткам или стержням, могут выполняться из стали диаметром 3 мм.
Одиночные связи должны отстоять от вертикальных растворных швов не менее чем на 2 см.
Связевые сетки должны выполняться из стальной арматуры, имеющей диаметр 3 - 5 мм. Требования к изготовлению сеток приведены в
ГОСТ 23279.
Прочность кладочного раствора должна соответствовать марке не ниже М75.
Глубина заделки связей в горизонтальный растворный шов должна составлять 80 - 100 мм.
К связям, выполненным из полимерных композитных материалов, предъявляются следующие дополнительные требования. Связи должны изготовляться по технической документации, утвержденной в установленном порядке. К числу рекомендуемых связей относятся связи, приведенные в
приложении Л ГОСТ Р 54923-2012.
(в ред.
Изменения N 3, утв. Приказом Минстроя России от 28.01.2019 N 50/пр)
абзацы четырнадцатый - шестнадцатый исключены с 29 июля 2019 года. -
Изменение N 3, утв. Приказом Минстроя России от 28.01.2019 N 50/пр.
Прочность кладочного раствора при установке связей из композиционных материалов должна соответствовать марке не ниже М100. Глубина заделки связей в горизонтальный растворный шов должна составлять не менее 100 мм.
При соблюдении этих требований и разрезке лицевого слоя стены вертикальными деформационными швами на плоские фрагменты установка связей выполняется конструктивно в соответствии с приведенными выше положениями.
Другие конструкции связей из стальной арматуры и полимерных композитных материалов, в том числе регулируемые по высоте, требуют экспериментальной проверки по прочности и жесткости. При этом максимальное значение горизонтального перемещения связей всех типов не должно превышать 1 мм при действии расчетной нагрузки с учетом деформаций, как самой связи, так и обоих анкерных узлов.
(в ред.
Изменения N 3, утв. Приказом Минстроя России от 28.01.2019 N 50/пр)
Для фрагментов стен, у которых в лицевом слое на углах отсутствуют вертикальные деформационные швы, связи, расположенные на углах стен, подбираются по результатам расчетов связей и узлов их анкеровки на растяжение от суммарного действия температурно-влажностных деформаций и ветровой нагрузки в соответствии с
7.29.2 при соблюдении приведенных выше конструктивных требований.
При несовпадении рядов внутреннего и наружного слоев кладки в уровне расположения связей более чем на 5 мм допускается использование в кладке гибких связей, монтируемых в толщу камней основного слоя кладки или регулируемых по высоте.
(п. 9.34 в ред.
Изменения N 1, утв. Приказом Минстроя России от 18.11.2016 N 821/пр)
Анкеровка стен и столбов
9.35 Каменные стены и столбы должны крепиться к перекрытиям и покрытиям анкерами сечением не менее 0,5 см2 на 1 п.м.
9.36 Концы балок, прогонов, ферм должны крепиться анкерами к стенам. Расстояние между анкерами перекрытий из сборных настилов или панелей, опирающихся на стены, должно быть не более 3 м. При увеличении расстояния следует предусматривать дополнительные анкеры, соединяющие стены с покрытием. Концы балок и плит, укладываемые на прогоны, внутренние стены или столбы, должны быть заанкерены и при двухстороннем опирании соединены между собой.
9.37 Самонесущие стены в каркасных зданиях должны быть соединены с колоннами гибкими связями, допускающими возможность независимых вертикальных деформаций стен и колонн. Связи, устанавливаемые по высоте колонн, должны обеспечивать устойчивость стен, а также передачу действующей на них ветровой нагрузки на колонны каркаса.
9.38 Расчет анкеров должен производиться:
а) при расстоянии между анкерами более 3 м;
б) при несимметричном изменении толщины столба или стены;
в) для простенков при общей величине нормальной силы N более 1000 кН (100 т).
Расчетное усилие в анкере определяется по формуле

, (50)
где
M - изгибающий момент от расчетных нагрузок в уровне перекрытия или покрытия (см.
9.10) в местах опирания их на стену на ширине, равной расстоянию между анкерами;
H - высота этажа;
N - расчетная нормальная сила в уровне расположения анкера на ширине, равной расстоянию между анкерами.
Примечание - Указания настоящего пункта не распространяются на стены из виброкирпичных панелей.
9.39 В случае назначения толщины стены или перегородок с учетом опирания по контуру необходимо предусматривать их крепление к примыкающим боковым конструкциям и к верхнему перекрытию.
Опирание элементов конструкций на кладку
9.40 Под опорными участками элементов, передающих местные нагрузки на кладку, следует предусматривать слой раствора толщиной не более 15 мм, что должно быть указано в проекте.
9.41 В местах приложения местных нагрузок в случае, когда это требуется по расчету на смятие, следует предусматривать установку распределительных плит толщиной, кратной толщине рядов кладки, но не менее 15 см, армированных по расчету двумя сетками с общим количеством арматуры не менее 0,5% объема бетона.
9.42 При опирании ферм, балок покрытий, подкрановых балок и т.п. на пилястры следует предусматривать связь распределительных плит на опорном участке кладки с основной стеной. Глубина заделки плит в стену должна составлять не менее 12 см (рисунок 13). Выполнение кладки, расположенной над плитами, следует предусматривать непосредственно после установки плит. Предусматривать установку плит в борозды, оставляемые при кладке стен, не допускается.
Рисунок 13. Железобетонные распределительные плиты
9.43 При местных краевых нагрузках, превышающих 80% расчетной несущей способности кладки при местном сжатии, следует предусматривать армирование опорного участка кладки сетками из стержней диаметром не менее 3 мм с размером ячейки не более 60 x 60 мм, уложенными не менее чем в трех верхних горизонтальных швах.
При передаче местных нагрузок на пилястры участок кладки, расположенный в пределах 1 м ниже распределительной плиты, следует армировать через три ряда кладки сетками, указанными в настоящем пункте. Сетки должны соединять опорные участки пилястр с основной частью стены и заделываться в стену на глубину не менее 120 мм.
Расчет узлов опирания элементов на кирпичную кладку
9.44 При опирании на кирпичные стены и столбы железобетонных прогонов, балок и настилов кроме расчета на внецентренное сжатие и смятие сечений ниже опорного узла должно быть проверено на центральное сжатие сечение по кладке и железобетонным элементам.
Расчет опорного узла при центральном сжатии следует производить по формуле
где A - суммарная площадь сечения кладки и железобетонных элементов в опорном узле в пределах контура стены или столба, на которые уложены элементы;
R - расчетное сопротивление кладки сжатию;
g - коэффициент, зависящий от величины площади опирания железобетонных элементов в узле;
p - коэффициент, зависящий от типа пустот в железобетонном элементе.
Коэффициент g при опирании всех видов железобетонных элементов (прогонов, балок, перемычек, поясов, настилов) принимается:
g = 1, если Ab <= 0,1A;
g = 0,8, если Ab >= 0,4A,
где Ab - суммарная площадь опирания железобетонных элементов в узле.
При промежуточных значениях Ab коэффициент g определяется интерполяцией.
Если железобетонные элементы (балки, настилы и др.), опертые на кладку с различных сторон, имеют одинаковую высоту и площадь их опирания в узле
Ab > 0,8
A, разрешается производить расчет без учета коэффициента
g, принимая в
формуле (51) A =
Ab.
Коэффициент p принимается равным:
при сплошных элементах и настилах с круглыми пустотами - 1;
при настилах с овальными пустотами и наличии хомутов на опорных участках - 0,5.
9.45 В сборных железобетонных настилах с незаполненными пустотами кроме проверки несущей способности опорного узла в целом должна быть проверена несущая способность горизонтального сечения, пересекающего ребра настила, по формуле
N <= (nRbAn + RAk), (52)
где
Rb - расчетное сопротивление бетона осевому сжатию, принимается в соответствии с
СП 63.13330;
An - площадь горизонтального сечения настила, ослабленная пустотами, на длине опирания настила на кладку (суммарная площадь сечения ребер);
R - расчетное сопротивление кладки сжатию;
Ak - площадь сечения кладки в пределах опорного узла (без учета части сечения, занимаемой участками настилов);
n = 1,25 - для тяжелых бетонов и n = 1,1 для бетонов на пористых заполнителях.
9.46 Расчет заделки в кладку консольных балок (
рисунок 14, а) следует производить по формуле

, (53)
где Q - расчетная нагрузка от веса балки и приложенных к ней нагрузок;
Rc - расчетное сопротивление кладки при смятии;
a - глубина заделки балки в кладку;
b - ширина полок балки;
e0 - эксцентриситет расчетной силы относительно середины заделки

,
c - расстояние силы Q от плоскости стены.
Рисунок 14. Расчетные схемы заделки консольных балок
Необходимую глубину заделки следует определять по формуле

. (54)
Если заделка конца балки не удовлетворяет расчету по
формуле (53), то следует увеличить глубину заделки или уложить распределительные подкладки под балкой и над ней.
Если эксцентриситет нагрузки относительно центра площади заделки превышает более чем в 2 раза глубину заделки (e0 > 2a), напряжения от сжатия могут не учитываться: расчет в этом случае производится по формуле

. (55)
При применении распределительных подкладок в виде узких балок с шириной не более 1/3 глубины заделки допускается принимать под ними прямоугольную эпюру напряжений (
рисунок 14, б).
Перемычки и висячие стены
9.47 Железобетонные перемычки следует рассчитывать на нагрузку от перекрытий и на давление от свежеуложенной, неотвердевшей кладки, эквивалентное весу пояса кладки высотой, равной 1/3 пролета для кладки в летних условиях и целому пролету для кладки в зимних условиях (в стадии оттаивания).
Примечания. 1. Допускается при наличии соответствующих конструктивных мероприятий (выступы в сборных перемычках, выпуски арматуры и т.п.) учитывать совместную работу кладки с перемычкой.
2. Нагрузки на перемычки от балок и настилов перекрытий не учитываются, если они расположены выше квадрата кладки со стороной, равной пролету перемычки, а при оттаивающей кладке, выполненной способом замораживания, - выше прямоугольника кладки с высотой, равной удвоенному пролету перемычки в свету. При оттаивании кладки перемычки допускается усиливать постановкой временных стоек на клиньях на период оттаивания и первоначального твердения кладки.
3. В вертикальных швах между брусковыми перемычками в случаях, когда не обеспечивается требуемое сопротивление их теплопередаче, следует предусматривать укладку утеплителя.
9.48 Кладку висячих стен, поддерживаемых рандбалками, следует проверять на прочность при смятии в зоне над опорами и под опорами рандбалок. Длину эпюры распределения давления в плоскости контакта стены и рандбалки следует определять в зависимости от жесткости кладки и рандбалки. При этом рандбалка заменяется эквивалентным по жесткости условным поясом кладки, высота которого определяется по формуле

, (56)
где Eb - начальный модуль упругости бетона;
Ired - момент инерции приведенного сечения рандбалки, принимаемый в соответствии с
СП 63.13330;
E - модуль деформации кладки, определяемый по
формуле (7);
h - толщина висячей стены.
Жесткость стальных рандбалок определяется как произведение
EsIs,
где Es и Is - модуль упругости стали и момент инерции сечения рандбалки.
9.49 Эпюру распределения давления в кладке над промежуточными опорами неразрезных рандбалок следует принимать по треугольнику при
a <= 2
s (
рисунок 15, а) и по трапеции при 3
s >=
a > 2
s (
рисунок 15, б) с меньшим ее основанием, равным
a - 2
s. Максимальная величина напряжений смятия

(высота треугольника или трапеции) должна определяться из условия равенства объема эпюры давления и опорной реакции рандбалки по формулам:
при треугольной эпюре давления (a <= 2s)

, (57)
при трапециевидной эпюре давления (3s > a > 2s)

, (58)
где a - длина опоры (ширина простенка);
N - опорная реакция рандбалки от нагрузок, расположенных в пределах ее пролета и длины опоры, за вычетом собственного веса рандбалки;
s = 1,57H0 - длина участка эпюры распределения давления в каждую сторону от грани опоры;
h - толщина стены.
а - на средних опорах неразрезных балок при a <= 2s;
б - то же, при 3s >= a > 2s; в - то же, при a > 3s;
г - на крайних опорах неразрезных балок и на опорах
однопролетных рандбалок
Рисунок 15. Распределение давления в кладке
над опорами висячих стен
Если
a > 3
s, то в
формуле (58) вместо
a следует принимать расчетную длину опоры, равную
a1 = 3
s, состоящую из двух участков длиной по 1,5
s с каждой стороны простенка (рисунок 15, в).
9.50 Эпюру распределения давления над крайними опорами рандбалок, а также над опорами однопролетных рандбалок следует принимать треугольной (рисунок 15, г) с основанием
lc = a1 + s1, (59)
где s1 = 0,9H0 - длина участка распределения давления от грани опоры;
a1 - длина опорного участка рандбалки, но не более 1,5H (H - высота рандбалки).
Максимальное напряжение над опорой рандбалки

. (60)
9.51 Прочность кладки висячих стен при местном сжатии в зоне, расположенной над опорами рандбалок, следует проверять по указаниям, приведенным в
7.13 -
7.16.
Расчет на местное сжатие кладки под опорами неразрезных рандбалок следует производить для участка, расположенного в пределах опоры длиной не более 3H от ее края (H - высота рандбалки) и длиной не более 1,5H для однопролетных рандбалок и крайних опор неразрезных рандбалок.
Если рассчитываемое сечение расположено на высоте H1 над верхней гранью рандбалки, то при определении длины участков s и s1 следует принимать высоту пояса кладки H01 = H0 + H1.
Расчетную площадь сечения A при расчете висячих стен на местное сжатие следует принимать: в зоне, расположенной над промежуточными опорами неразрезных рандбалок, как для кладки, загруженной местной нагрузкой в средней части сечения; в зоне над опорами однопролетных рандбалок или крайними опорами неразрезных рандбалок, а также при расчете кладки под опорами рандбалок как для кладки, загруженной на краю сечения.
9.52 Эпюру распределения давления в кладке висячих стен при наличии проемов следует принимать по трапеции, причем площадь треугольника, который отнимается от эпюры давления в пределах проема, заменяется равновеликой площадью параллелограмма, добавляемой к остальной части эпюры (рисунок 16). При расположении проемов на высоте
H1 над рандбалкой длина участка
s соответственно увеличивается (см.
9.51).
Рисунок 16. Эпюра распределения давления в кладке
висячих стен при наличии проема
9.53 Расчет рандбалок должен производиться на два случая загружения:
а) на нагрузки, действующие в период возведения стен. При кладке стен из кирпича, керамических камней или обыкновенных бетонных камней должна приниматься нагрузка от собственного веса неотвердевшей кладки высотой, равной 1/3 пролета для кладки в летних условиях и целому пролету - для кладки в зимних условиях (в стадии оттаивания при выполнении кладки способом замораживания, см.
10.1).
При кладке стен из крупных блоков (бетонных или кирпичных) высоту пояса кладки, на нагрузку от которого должны быть рассчитаны рандбалки, следует принимать равной 1/2 пролета, но не менее высоты одного ряда блоков. При наличии проемов и высоте пояса кладки от верха рандбалок до подоконников менее 1/3 пролета следует учитывать также вес кладки стен до верхней грани железобетонных или стальных перемычек (рисунок 17). При рядовых, клинчатых и арочных перемычках должен учитываться вес кладки стен до отметки, превышающей отметку верха проема на 1/3 его ширины;
б) на нагрузки, действующие в законченном здании. Эти нагрузки следует определять исходя из приведенных выше эпюр давлений, передающихся на балки от опор и поддерживаемых балками стен.
1 - нагрузка на рандбалку; 2 - железобетонная перемычка
Рисунок 17. Схема нагрузки на рандбалку
при наличии проема в стене
Количество и расположение арматуры в балках устанавливают по максимальным величинам изгибающих моментов и поперечных сил, определенных по двум указанным выше случаям расчета.
Карнизы и парапеты
9.54 Расчет верхних участков стен в сечении, расположенном непосредственно под карнизами, производится для двух стадий готовности здания:
а) для незаконченного здания, когда отсутствуют крыша и чердачное перекрытие;
б) для законченного здания.
9.55 При расчете стены под карнизом для незаконченного здания должны учитываться следующие нагрузки:
а) расчетная нагрузка от собственного веса карниза и опалубки (для монолитных железобетонных и армированных каменных карнизов), если она поддерживается консолями или подкосами, укрепленными в кладке;
б) временная расчетная нагрузка по краю карниза 100 кг на 1 м карниза или на один элемент сборного карниза, если он имеет длину менее 1 м;
в) нормативная ветровая нагрузка на внутреннюю сторону стены.
Примечания. 1. Если по проекту концы анкеров, обеспечивающих устойчивость карниза, заделываются под чердачным перекрытием, то при расчете должно учитываться наличие чердачного перекрытия (полностью или частично).
2. Расчетом должна быть также проверена устойчивость карниза при неотвердевшей кладке.
9.56 Карнизы и участки стен под карнизами законченных зданий должны быть рассчитаны на следующие нагрузки:
а) вес всех элементов здания, как создающих опрокидывающий момент относительно наружной грани стены, так и повышающих устойчивость стены, при этом вес крыши принимается уменьшенным на величину отсоса от ветровой нагрузки;
б) расчетная нагрузка на край карниза 150 кг на 1 м или на один элемент сборного карниза длиной менее 1 м;
в) половина расчетной ветровой нагрузки.
Примечание - Снеговая нагрузка при расчете карнизов не учитывается.
9.57 Общий вынос карниза в сплошной кладке, образованного напуском рядов кладки, не должен превышать половины толщины стены. При этом вынос каждого ряда не должен превышать 1/3 длины камня или кирпича.
Устройство кирпичных карнизов в трехслойных стенах, образованных напуском рядов, не допускается.
9.58 Для кладки карнизов с выносом менее половины толщины стены и не более 200 мм применяются те же растворы, что и для кладки верхнего этажа. При большем выносе кирпичных карнизов марка раствора для кладки должна быть не ниже 50.
9.59 Карнизы и парапеты при недостаточной их устойчивости должны закрепляться анкерами, заделываемыми в нижних участках кладки.
Расстояние между анкерами не должно превышать 2 м, если концы анкеров закрепляются отдельными шайбами. При закреплении концов анкеров за балку или за концы прогонов расстояние между анкерами может быть увеличено до 4 м. Заделка анкеров должна располагаться не менее чем на 150 мм ниже того сечения, где они требуются по расчету.
При железобетонных чердачных перекрытиях концы анкеров следует заделывать под ними.
При сборных карнизах из железобетонных элементов в процессе возведения должна быть обеспечена устойчивость каждого элемента.
9.60 Анкеры должны располагаться в кладке на расстоянии 1/2 кирпича от внутренней поверхности стены. Анкеры, расположенные снаружи кладки, должны быть защищены слоем цементной штукатурки толщиной 30 мм (от поверхности анкера).
При кладке на растворах марки 10 и ниже анкеры должны закладываться в борозды с последующей заделкой их бетоном.
(п. 9.60 в ред.
Изменения N 2, утв. Приказом Минстроя России от 18.08.2016 N 576/пр)
9.61 Сечение анкера допускается определять по усилию, определяемому по формуле

, (61)
где M - наибольший изгибающий момент от расчетных нагрузок;
h0 - расстояние от сжатого края сечения стены до оси анкера (расчетная высота сечения).
9.62 Кладка стен под карнизами проверяется на внецентренное сжатие. При отсутствии анкеров, а также при наличии анкеров в сечении на уровне их заделки эксцентриситеты более 0,7y не допускаются.
Во всех случаях должны быть проверены расчетом все узлы передачи усилий (места заделки анкеров, анкерных балок и т.п.).
9.63 Парапеты следует рассчитывать в нижнем сечении на внецентренное сжатие при действии нагрузок от собственного веса и расчетной ветровой нагрузки, принимаемой с аэродинамическим коэффициентом 1,4. При отсутствии анкеров эксцентриситеты более 0,7y не допускаются.
9.64 Нагрузки, повышающие устойчивость карнизов и парапетов, принимаются с коэффициентом 0,9.
Фундаменты и стены подвалов
9.65 Фундаменты, стены подвалов и цоколи, возводимые из кладочных стеновых материалов, следует проектировать из крупных и мелких бетонных блоков и камней, природных камней правильной и неправильной формы, монолитного бетона и бутобетона, клинкерного полнотелого керамического кирпича пластического формования.
Полнотелые силикатные блоки прочностью 20,0 МПа и более и морозостойкостью F100 и выше применяются для возведения фундаментов и стен подвалов в зданиях уровня ответственности III при соблюдении следующих требований:
- наличие горизонтальной и вертикальной оклеечной гидроизоляции (не менее двух слоев);
- заполнение раствором вертикальных швов кладки;
- применение теплоизоляции при возведении стен подвалов;
- отсутствие кислых грунтовых вод и агрессивных сульфатосодержащих грунтов и грунтовых вод;
- кладка фундаментов должна выполняться на тяжелых растворах марки М100 и выше.
Требования к морозостойкости силикатных блоков не относятся к кладке утепленных стен подвалов и фундаментов, находящихся ниже уровня промерзания грунта.
(п. 9.65 в ред.
Изменения N 2, утв. Приказом Минстроя России от 18.08.2016 N 576/пр)
9.66 Переход от одной глубины заложения фундамента к другой следует производить уступами. При плотных грунтах отношение высоты уступа к его длине должно быть не более 1:1 и высота уступа - не более 1 м. При неплотных грунтах отношение высоты уступа к его длине должно быть не более 1:2 и высота уступа - не более 0,6 м.
Уширение бутобетонных и бутовых фундаментов к подошве производится уступами. Высота уступа принимается для бутобетона не менее 300 мм, а для бутовой кладки - в два ряда кладки (350 - 600 мм). Минимальные отношения высоты уступов к их ширине для бутобетонных и бутовых фундаментов должны быть не менее указанных в таблице 32.
Таблица 32
Класс бетона | Марка раствора | Минимальное отношение высоты уступов к их ширине при расчетной нагрузке, МПа (кгс/см2) |
| |
В3,5 - В7,5 | 50 - 100 | 1,25 | 1,5 |
В1 - В2 | 10 - 25 | 1,5 | 1,75 |
- | 4 | 1,75 | 2,0 |
Примечание - Проверка уступов на изгиб и срез не требуется. |
9.67 В фундаментах и стенах подвалов:
а) из бутобетона толщина стен принимается не менее 350 мм и размеры сечения столбов не менее 400 мм;
б) из бутовой кладки толщина стен принимается не менее 500 мм и размеры сечения столбов не менее 600 мм.
9.68 Наружные стены подвалов должны быть рассчитаны с учетом бокового давления грунта и нагрузки, находящейся на поверхности земли. При отсутствии специальных требований нормативную нагрузку на поверхности земли следует принимать равной 1000 кгс/м2. Стены подвалов следует рассчитывать как балки с двумя неподвижными шарнирными опорами.
9.69 Тонкостенные сводчатые покрытия следует проектировать в виде сводов двоякой кривизны.
Для кладки сводов двоякой кривизны следует применять:
а) кирпич керамический (полнотелый и пустотелый) или силикатный марки не ниже 75 при пролете сводов до 18 м и не ниже 100 при больших пролетах;
б) камни из тяжелого бетона, бетона на пористых заполнителях, автоклавного цементного ячеистого бетона, а также природные камни марки не ниже 50.
Примечание - При пролете сводов до 12 м допускается применение природных камней марки не ниже 25, при этом толщина сводов должна быть не менее 90 мм.
9.70 Для кладки сводов двоякой кривизны, включая их пяты, а также верхние участки стен в пределах 6 - 7 рядов кладки ниже уровня примыкания свода, следует применять растворы марки не ниже 50.
9.71 Расчет сводов двоякой кривизны должен производиться на внецентренное сжатие по условной расчетной схеме как плоских двухшарнирных арок. Рассчитывается одна волна сводчатого покрытия в сечениях с максимальными изгибающими моментами.
Расчетные сопротивления кладки сводов толщиной в 1/4 кирпича должны приниматься по
6.1 с коэффициентом 1,25.
9.72 Величина эксцентриситета приложения нормальной силы в поперечных сечениях сводов и в верхних частях стен при основных сочетаниях нагрузок не должна превышать 0,7y, где y - расстояние от оси поперечного сечения свода или стены до края сечения в сторону эксцентриситета. В сводах с затяжками для уменьшения расчетного изгибающего момента от внецентренного расположения затяжек должны устраиваться выносные пяты с внутренней стороны стен.
9.73 Расчетные изгибающие моменты, вызываемые удлинением затяжек, обжатием свода и смещением пят, следует учитывать только от нагрузок, действующих на свод после его раскружаливания (вес утеплителя, кровли, фонарей, снеговой нагрузки и т.п.).
9.74 Модуль деформаций кладки сводов при определении усилий в затяжках следует принимать по
формуле (7).
Конструктивные требования к армированной кладке
9.75 Сетчатое армирование горизонтальных швов кладки допускается применять только в случаях, когда повышение марок кирпича, камней и растворов не обеспечивает требуемой прочности кладки и площадь поперечного сечения элемента не может быть увеличена.
Количество сетчатой арматуры, учитываемой в расчете столбов и простенков, должно составлять не менее 0,1% объема кладки (см.
7.30).
9.76 Арматурные сетки следует укладывать не реже чем через пять рядов кирпичной кладки из одинарного керамического полнотелого кирпича, через четыре ряда кладки из утолщенного кирпича и через три ряда кладки из керамических камней.
В многослойных стенах с прокладными тычковыми рядами сетки необходимо располагать под прокладными рядами не реже чем через 6 рядов кладки из одинарного керамического кирпича по высоте стены.
Армирование ненесущих многослойных стен с гибкими связями следует выполнять с применением кладочных сеток или продольными стержнями диаметром не более 5 мм и поперечными стержнями диаметром 3 мм, устанавливаемыми с шагом не более 200 мм.
Длина перехлеста сеток в местах их стыковки должна составлять не менее 150 мм.
Армирование лицевого слоя при отсутствии вертикальных деформационных швов на углах должно выполняться сетками через 3 ряда кладки по высоте, длиной 1 м в обе стороны от угла или до ближайшего вертикального деформационного шва.
9.77 Диаметр сетчатой арматуры должен быть не менее 3 мм.
Диаметр арматуры в горизонтальных швах кладки должен быть, не более:
при пересечении арматуры в швах - 6 мм;
без пересечения арматуры в швах - 8 мм.
Расстояние между поперечными стержнями сетки должно быть не более 120 мм и не менее 30 мм.
Швы кладки армокаменных конструкций должны иметь толщину не более 16 мм и превышать диаметр арматуры не менее чем на 4 мм.
Деформационные швы в зданиях с несущими стенами
9.78 Температурно-усадочные швы в стенах каменных зданий должны устраиваться в местах возможной концентрации температурных и усадочных деформаций, которые могут вызвать недопустимые по условиям эксплуатации разрывы кладки, трещины, перекосы и сдвиги кладки по швам (по концам протяженных армированных и стальных включений, а также в местах значительного ослабления стен отверстиями или проемами). Расстояния между температурно-усадочными швами должны устанавливаться расчетом.
9.79 Максимальные расстояния между температурно-усадочными швами, которые допускается принимать для неармированных наружных стен без расчета:
а) для надземных каменных и крупноблочных стен отапливаемых зданий при длине армированных бетонных и стальных включений (перемычки, балки и т.п.) не более 3,5 м и ширине простенков не менее 0,8 м - по
таблице 33; при длине включений более 3,5 м участки кладки по концам включений должны проверяться расчетом по прочности и раскрытию трещин;
б) то же, для стен из бутобетона - по
таблице 33 как для кладки из бетонных камней на растворах марки 50 с коэффициентом 0,5;
в) то же, для многослойных стен - по
таблице 33 для материала основного конструктивного слоя стен;
г) для стен неотапливаемых каменных зданий и сооружений для условий, указанных в
"а", - по таблице 33 с умножением на коэффициенты:
для закрытых зданий и сооружений - 0,7;
для открытых сооружений - 0,6;
д) для каменных и крупноблочных стен подземных сооружений и фундаментов зданий, расположенных в зоне сезонного промерзания грунта, - по таблице 33 с увеличением в два раза; для стен, расположенных ниже границы сезонного промерзания грунта, а также в зоне вечной мерзлоты, - без ограничения длины.
Средняя температура наружного воздуха наиболее холодной пятидневки | Расстояние между температурными швами, м, при кладке |
из керамического кирпича и камней, в т.ч. крупноформатных, природных камней, крупных блоков из бетона или керамического кирпича | из силикатного кирпича, бетонных камней, крупных блоков из силикатного бетона и силикатного кирпича |
на растворах марок |
50 и более | 25 и более | 50 и более | 25 и более |
Минус 40 °C и ниже | 50 | 60 | 35 | 40 |
" 30 °C | 70 | 90 | 50 | 60 |
" 20 °C и выше | 100 | 120 | 70 | 80 |
Примечания 1 Для промежуточных значений расчетных температур расстояния между температурными швами допускается определять интерполяцией. 2 Расстояния между температурно-усадочными швами крупнопанельных зданий из кирпичных панелей назначаются в соответствии с [2]. |
9.80 Деформационные швы в стенах, связанных с железобетонными или стальными конструкциями, должны совпадать со швами в этих конструкциях. При необходимости в зависимости от конструктивной схемы зданий в кладке стен следует предусматривать дополнительные температурные швы без разрезки швами в этих местах железобетонных или стальных конструкций.
9.81 Осадочные швы в стенах должны быть предусмотрены во всех случаях, когда возможна неравномерная осадка основания здания или сооружения.
9.82 Деформационные и осадочные швы следует проектировать со шпунтом или четвертью, заполненными упругими прокладками, исключающими возможность продувания швов.
Горизонтальные деформационные швы
в ненесущих наружных стенах
Минстроя России от 18.11.2016 N 821/пр)
9.83 Горизонтальные швы в ненесущих стенах устраиваются в уровне низа перекрытий по всей толщине стены во внутреннем и наружном слоях.
Высота швов назначается из условия исключения передачи нагрузки на стену от кладки вышележащего этажа и перекрытия и должна быть не менее 30 мм.
Плиты перекрытий и их консольные выступы должны рассчитываться на дополнительную нагрузку от опирания стен.
Для защиты горизонтальных швов от прямого воздействия дождя в уровне перекрытий на каждом этаже следует предусматривать водоотбойники из оцинкованной стали или металлопластика.
Допускается выполнение плиты перекрытия со скошенным торцом под углом 15° - 30° таким образом, чтобы низ плиты свешивался над верхним рядом кирпичной кладки на 50 - 80 мм.
(п. 9.83 в ред.
Изменения N 1, утв. Приказом Минстроя России от 18.11.2016 N 821/пр)
Горизонтальные деформационные швы в несущих
и самонесущих наружных стенах
9.84 В несущих и самонесущих двухслойных стенах с соединением слоев сетками, а также при жестком соединении слоев в случае, если не выполняется условие по обеспечению совместной работы слоев при расчете на центральное и внецентренное сжатие по
7.23, следует выполнять поэтажные деформационные горизонтальные швы в лицевом слое кладки.
Опирание лицевого слоя в этом случае проводится на торец плиты перекрытия или защемленную в основном слое железобетонную балку.
Требования по устройству такого шва аналогичны приведенным в
9.83.
При расчете на центральное и внецентренное сжатие по
формулам (10) и
(13) работа лицевого слоя в этом случае не учитывается.
(п. 9.84 в ред.
Изменения N 1, утв. Приказом Минстроя России от 18.11.2016 N 821/пр)
9.85 В несущих и самонесущих трехслойных облегченных стенах с соединением слоев гибкими связями следует выполнять поэтажные деформационные швы в лицевом слое кладки. Требования по устройству такого шва аналогичны приведенным в
9.83.
Опирание лицевого слоя в этом случае проводится на торец плиты перекрытия или защемленную в основном слое железобетонную балку.
При расчете на центральное и внецентренное сжатие по
формулам (10) и
(13) работа лицевого слоя в этом случае не учитывается.
(п. 9.85 введен
Изменением N 1, утв. Приказом Минстроя России от 18.11.2016 N 821/пр)
Вертикальные деформационные швы в лицевом
слое кладки трехслойных наружных стен
| | ИС МЕГАНОРМ: примечание. В официальном тексте документа, видимо, допущена опечатка: пункты 9.21.1 и 9.29.2 отсутствуют. | |
9.86 Расстояния между вертикальными деформационными швами в лицевом слое трехслойных стен с горизонтальными деформационными швами должны назначаться из соблюдения условия непревышения прочности кладки лицевого слоя, связей и анкерных узлов на растяжение в соответствии с 9.21.1 и 9.29.2 либо назначаться конструктивно в соответствии с таблицей 33.1.
Минстроя России от 28.01.2019 N 50/пр)
| Максимальные значения расстояний между вертикальными деформационными швами в лицевом (наружном) слое кладки наружных стен, м |
Форма участка стены из керамического кирпича, керамических и природных камней | Форма участка стены из силикатного кирпича, бетонных, ячеистобетонных камней |
Прямолинейная | L-образная | Прямолинейная | L-образная |
80 | 6,0 | 3,0 | 4,2 | 2,1 |
60 | 8,4 | 4,3 | 5,9 | 2,4 |
40 | 10,8 | 5,4 | 7,6 | 3,8 |
Примечания 1 Расстояния между вертикальными деформационными швами назначены для случая конструктивного армирования кладки и установки гибких связей и угловых связевых сеток согласно 9.33 и 9.34 и расстояния между горизонтальными деформационными швами не более 3,5 м. 2 В случае дополнительного армирования кладки расстояния между вертикальными швами назначаются по результатам расчета. 3 Расстояния между вертикальными швами приведены в настоящей таблице для лицевого слоя толщиной 12 см. При толщине лицевого слоя 19 - 25 см эти значения принимаются с коэффициентом 1,5, при толщине более 25 см - по таблице 33. 4 Изменение температур  определяют в соответствии с приложением Б с коэффициентом надежности по нагрузке  при допущении трещин с шириной раскрытия до 0,5 мм в местах концентрации напряжений. В остальных случаях принимается  и приведенные в настоящей таблице значения умножают на коэффициент условий работы  . |
В целях оптимизации расхода арматуры на армирование кладки лицевого слоя, устройства гибких связей, мест расположения и расстояний между вертикальными деформационными швами назначение последних возможно провести на основании расчетов стен на температурно-влажностные воздействия по
7.29.1 и
7.29.2.
Независимо от результатов расчетов при назначении мест расположения вертикальных температурных швов следует придерживаться изложенных ниже правил:
рекомендуется разбивка вертикальными деформационными швами ломаных в плане стеновых конструкций на линейные фрагменты;
не рекомендуются Z-образные в плане фрагменты, особенно при длине средней стены менее 2 м;
швы предпочтительно располагать на углах, в местах пересечений стен, перепадах высот, вблизи проемов;
при разбивке Z-образных в плане фрагментов деформационный шов рекомендуется назначать в наиболее длинной стене в месте пересечения со средней стеной фрагмента;
вертикальные швы рекомендуется выполнять в остекленных лоджиях и балконах по границам оконных и дверных проемов;
толщину шва следует принимать не менее 10 мм, в заполнении шва следует предусматривать упругие прокладки и атмосферостойкие мастики.
(п. 9.86 введен
Изменением N 1, утв. Приказом Минстроя России от 18.11.2016 N 821/пр)
| | Применение на обязательной основе разд. 10 (за исключением абз. третьего п. 10.1, абз. второго п. 10.8) обеспечивает соблюдение требований Федерального закона от 30.12.2009 N 384-ФЗ "Технический регламент о безопасности зданий и сооружений" (Постановление Правительства РФ от 04.07.2020 N 985). | |
10. Указания по проектированию конструкций,
возводимых в зимнее время
10.1 Способ кладки, применяемый для возведения зданий и сооружений в зимнее время при отрицательных температурах, должен обосновываться предварительными технико-экономическими расчетами, обеспечивающими оптимальные показатели стоимости, трудоемкости, расхода цемента, электроэнергии, топлива и т.п. Принятый способ зимней кладки должен обеспечивать прочность и устойчивость конструкций как в период их возведения, так и последующей эксплуатации. Выполнение зимней кладки из кирпича, камней правильной формы и крупных блоков следует предусматривать одним из следующих способов:
а) на растворах не ниже марки М50, твердеющих на морозе без обогрева с применением противоморозных химических добавок, не вызывающих коррозии материалов кладки и удовлетворяющих требованиям стандартов;
(перечисление "а" в ред.
Изменения N 2, утв. Приказом Минстроя России от 18.08.2016 N 576/пр)
б) способом замораживания на обыкновенных растворах не ниже марки 10 без химических добавок. При этом элементы конструкций должны иметь достаточную прочность и устойчивость как в период их первого оттаивания (при наименьшей прочности свежеоттаявшего раствора), так и в последующий период эксплуатации зданий. Высота каменных конструкций, возводимых способом замораживания, определяется расчетом, но не должна превышать 15 м и четырех этажей. Допускается выполнение способом замораживания фундаментов малоэтажных зданий (до трех этажей включительно) из постелистого камня, укладываемого "враспор" со стенками траншей на растворах не ниже марки М25;
в) способом замораживания на обыкновенных растворах не ниже марки 50 без химических добавок с обогревом возводимых конструкций в течение времени, за которое кладка достигает несущей способности, достаточной для нагружения вышележащими конструкциями зданий.
10.2 Расчетные сопротивления сжатию кладки, выполнявшейся на растворах с противоморозными химическими добавками, принимаются:
равными расчетным сопротивлениям летней кладки, приведенным в
таблицах 2 -
8, если каменная кладка будет выполняться при среднесуточной температуре наружного воздуха до минус 15 °C, и с понижающим коэффициентом 0,9, если кладка будет выполняться при температуре ниже минус 15 °C.
10.3 Расчетные сопротивления сжатию кладки, выполнявшейся способом замораживания и способом замораживания с обогревом возведенных конструкций на растворах без противоморозных добавок в законченном здании после оттаивания и твердения раствора при положительных температурах следует принимать по
таблицам 2 -
8 с понижающими коэффициентами: для кирпичной и каменной кладок при среднесуточной температуре наружного воздуха, при которой выполнялись кладки, до минус 15 °C - 0,9 и до минус 30 °C - 0,8, для кладки из крупных блоков расчетные сопротивления не снижаются.
10.4 Мероприятия, обеспечивающие необходимую конечную прочность зимней кладки (повышение марок растворов, применение кирпича и камней повышенной прочности или в отдельных случаях применение сетчатого армирования), должны быть указаны на рабочих чертежах. При кладке, выполняемой на растворах с химическими добавками
(10.2), указанные мероприятия применяются для элементов кладки, несущая способность которых используется более чем на 90%, при кладке, выполняемой способом замораживания
(10.3), - для элементов, несущая способность которых используется более чем на 70%.
10.5 При кладке на растворах с противоморозными добавками, не вызывающими коррозии арматуры, коэффициенты условий работы

и

, приведенные в таблице 34, не учитываются. При кладке способом замораживания или способом замораживания с искусственным обогревом возведенных конструкций следует учитывать влияние пониженного сцепления раствора с камнем и арматурой введением в расчетные формулы коэффициентов условий работы

и

.
Вид напряженного состояния зимней кладки | Коэффициенты условий работы |
кладки  | сетчатой арматуры  |
1 Сжатие отвердевшей (после оттаивания) кладки из кирпича | 1,0 | - |
2 То же, бутовой кладки из постелистого камня | 0,8 | - |
3 Растяжение, изгиб, срез отвердевшей кладки всех видов по растворным швам | 0,5 | - |
4 Сжатие кладки с сетчатым армированием, возводимой способом замораживания в стадии оттаивания | - | 0,5 |
5 То же, отвердевшей (после оттаивания) | - | 0,7 |
6 То же, возводимой на растворах с противоморозными добавками при твердении на морозе и прочности раствора не менее 1,5 МПа (15 кгс/см2) в момент оттаивания | - | 1,0 |
10.6 В рабочих чертежах зданий повышенной этажности (9 этажей и более), возводимых зимой на растворах с противоморозными химическими добавками, следует указывать требуемые промежуточные прочности раствора на этажах для различных стадий готовности здания.
10.7 Расчет несущей способности конструкций, возводимых способом замораживания на обыкновенных растворах (без противоморозных добавок), должен производиться: в стадии оттаивания при расчетной прочности оттаивающего раствора 0,2 МПа (2 кгс/см2) при растворе на портландцементе и толщине стен и столбов 38 см и более; при нулевой прочности оттаивающего раствора и растворе на шлакопортландцементе или пуццолановом цементе независимо от толщины стен и столбов, а также при растворе на портландцементе, если толщина стен и столбов менее 38 см.
При расчете в стадии оттаивания должно учитываться влияние пониженного сцепления раствора с камнем и арматурой введением в расчетные формулы дополнительных коэффициентов условий работы

и

, приведенных в
таблице 34.
10.8 Прочность зимней кладки, выполняемой способом замораживания с обогревом, должна определяться расчетом с учетом упрочнения, достигнутого раствором в пределах всего или части сечения.
Отогревание конструкций допускается только после проверки расчетом их достаточной несущей способности в период искусственного оттаивания кладки.
10.9 Участки кладки, выполняемой способом замораживания (столбы, простенки), в которых расчетом были выявлены перенапряжения в стадии оттаивания, необходимо усиливать установкой временных стоек на клиньях на период оттаивания и последующего твердения кладки.
10.10 Возведение кладки на обыкновенных растворах способом замораживания не допускается для конструкций:
а) из бутобетона и рваного бута;
б) подвергающихся в стадии оттаивания вибрации или значительным динамическим нагрузкам;
в) подвергающихся в стадии оттаивания поперечным нагрузкам, величина которых превышает 10% продольных;
г) с эксцентриситетами в стадии оттаивания, превышающими 0,25y для конструкций, не имеющих верхней опоры, и 0,7y при наличии верхней опоры;
д) с отношением высот стен (столбов) к их толщинам, превышающим в стадии оттаивания значения

, установленные для кладок IV группы (см.
9.17 -
9.19).
Для конструкций, не имеющих верхней опоры (см.
9.20), предельные отношения следует уменьшать в два раза и принимать не более

. В случаях превышения предельно допускаемой гибкости конструкции при их возведении следует усилить временными креплениями, обеспечивающими их устойчивость в период оттаивания.
10.11 В качестве противоморозной добавки к растворам допускается применять только нитрит натрия:
а) при возведении цехов, бань, прачечных и других помещений с влажным и мокрым режимами эксплуатации, а также помещений с температурой воздуха выше 40 °C;
б) при возведении конструкций, расположенных в зоне переменного уровня воды и под водой, не имеющих гидроизоляции.
10.12 Не допускается непосредственный контакт растворов с добавками нитрита натрия, поташа, НКМ, ННХКМ с оцинкованными и алюминиевыми закладными частями без предварительной защиты их протекторными покрытиями.
10.13 Растворы с добавками поташа не допускается применять в стенах из силикатного кирпича марки ниже М100 и морозостойкостью ниже F25.
10.14 При проектировании каменных стен с облицовками из плит, устанавливаемых одновременно с кладкой в зимних условиях, необходимо учитывать различную деформативность облицовочных слоев и кладки стен и в проекте указывать мероприятия, исключающие возможность образования трещин и отслоений облицовки от основной кладки стен.
10.15 В рабочих чертежах зданий или сооружений, каменные конструкции которых будут возводиться способом замораживания, дополнительно к мероприятиям, приведенным в
10.4, необходимо указывать:
а) предельные высоты стен, которые могут быть допущены в период оттаивания раствора;
б) в необходимых случаях временные крепления конструкций, устанавливаемые до возведения вышележащих этажей, на период их оттаивания и твердения раствора кладки.
ПЕРЕЧЕНЬ НОРМАТИВНЫХ ДОКУМЕНТОВ
Минстроя России от 28.01.2019 N 50/пр)
| Система показателей качества продукции. Строительство. Материалы стеновые каменные. Номенклатура показателей |
| Система показателей качества продукции. Строительство. Материалы керамические отделочные и облицовочные. Номенклатура показателей |
| Система показателей качества продукции. Строительство. Материалы облицовочные из природного камня и блоки для их изготовления. Номенклатура показателей |
| Система показателей качества продукции. Строительство. Растворы строительные. Номенклатура показателей |
| Кирпич и камни силикатные. Технические условия |
| Кирпич и камень керамические. Общие технические условия |
| Камни стеновые из горных пород. Технические условия |
| Растворы строительные. Методы испытаний |
| Камни бетонные стеновые. Технические условия |
| Материалы стеновые. Методы определения пределов прочности при сжатии и изгибе |
| Блоки из горных пород для производства облицовочных, архитектурно-строительных, мемориальных и других изделий. Технические условия |
| Бетоны. Методы определения прочности по контрольным образцам |
| Блоки бетонные для стен подвалов. Технические условия |
| Бетоны. Правила контроля и оценки прочности |
| Сетки арматурные сварные для железобетонных конструкций и изделий. Общие технические условия |
| Добавки для бетонов и строительных растворов. Общие технические условия |
| Конструкции каменные. Метод определения прочности сцепления в каменной кладке |
| Бетоны ячеистые. Технические условия |
| Растворы строительные. Общие технические условия |
| Добавки для бетонов и строительных растворов. Определение и оценка эффективности |
| Смеси сухие строительные. Классификация |
| Смеси сухие строительные на цементном вяжущем. Общие технические условия |
| Полистиролбетон. Технические условия |
| Композитные гибкие связи для многослойных ограждающих конструкций. Технические условия |
| "СНиП II-7-81* Строительство в сейсмических районах" (с изменением N 1) |
| "СНиП II-23-81* Стальные конструкции" (с изменением N 1) |
| "СНиП 2.01.07-85* Нагрузки и воздействия" (с изменением N 1) |
| "СНиП 2.02.01-83* Основания зданий и сооружений" (с изменением N 1) |
| "СНиП 2.03.11-85 Защита строительных конструкций от коррозии" (с изменением N 1) |
| "СНиП 23-02-2003 Тепловая защита зданий" (с изменением N 1) |
| "СНиП 52-01-2003 Бетонные и железобетонные конструкции. Основные положения" |
| "СНиП II-25-80 Деревянные конструкции" (с изменением N 1) |
| "СНиП 23-01-99* Строительная климатология". |
(в ред.
Изменения N 3, утв. Приказом Минстроя России от 28.01.2019 N 50/пр)
В настоящем своде правил использованы общетехнические термины, используемые в нормативно-технической документации
(раздел 2), а также следующие термины с соответствующими определениями:
Б.1 каменная кладка: Конструкция из природных или искусственных камней (кирпича, блоков), соединенных между собой раствором, клеевым составом или пастой.
Б.2 кирпич, камни и блоки: Полнотелые и пустотелые кладочные изделия, удовлетворяющие требованиям соответствующих национальных стандартов.
Б.3 кладка зимняя: Возведение каменных конструкций при отрицательных температурах наружного воздуха на растворах с противоморозными добавками, способом замораживания, с обогревом.
Б.4 многослойная (трехслойная) кладка: Конструкция, состоящая из двух слоев кладки и слоя из теплоизоляционных материалов, соединенных гибкими связями.
Б.5 двухслойная кладка: Кладка, состоящая из основного и облицовочного слоев, соединенных между собой сетками, связями или прокладными рядами.
Б.6 колодцевая кладка: Кладка с внутренними пустотами, заполненными утеплителем.
Б.7 обрез: Горизонтальный уступ стены или фундамента, образованный в результате изменения толщины кладки вышележащей части.
Б.8 перемычка: Конструктивный элемент балочного или арочного типа, перекрывающий проем в стене и воспринимающий нагрузку от вышерасположенных конструкций.
(в ред.
Изменения N 3, утв. Приказом Минстроя России от 28.01.2019 N 50/пр)
ОСНОВНЫЕ БУКВЕННЫЕ ОБОЗНАЧЕНИЯ ВЕЛИЧИН
As - площадь сечения арматуры;
Ak - площадь сечения кладки;
A - расчетная площадь сечения элемента;
площадь сечения полки (участка продольной стены, учитываемого в расчете);
поперечное сечение перемычки;
суммарная площадь сечения кладки и железобетонных элементов в опорном узле в пределах контура стены или столба, на которые уложены элементы;
Ac - площадь сжатой части сечения при прямоугольной эпюре напряжений; площадь смятия, на которую передается нагрузка;
An - расчетная площадь сечения нетто;
площадь нетто горизонтального сечения стены;
площадь горизонтального сечения настила, ослабленная пустотами, на длине опирания настила на кладку (суммарная площадь сечения ребер);
Ared - площадь приведенного сечения;
Ac,red - площадь сжатой части приведенного сечения;
Ab - площадь брутто горизонтального сечения стены;
суммарная площадь опирания железобетонных элементов в узле;
E0 - модуль упругости (начальный модуль деформаций) кладки;
E - модуль деформаций кладки;
Eb - начальный модуль упругости бетона;
Es - модуль упругости стали;
G - модуль сдвига кладки;
H - расстояние между перекрытиями или другими горизонтальными опорами;
высота этажа;
H1 - высота верхнего участка стены;
расстояние над верхней гранью рандбалки;
H0 - высота эквивалентного по жесткости рандбалке условного пояса кладки;
I - момент инерции сечения стен относительно оси, проходящей через центр тяжести сечения стен в плане;
Is - момент инерции сечения стальной рандбалки;
L - размер сечения элементов при расчете на смятие;
M - расчетный изгибающий момент;
наибольший изгибающий момент от расчетных нагрузок;
момент от нормативных нагрузок, который будет приложен после нанесения на поверхность кладки штукатурных или плиточных покрытий;
изгибающий момент от расчетных нагрузок в уровне перекрытия или покрытия в местах опирания их на стену на ширине, равной расстоянию между анкерами;
N - расчетная продольная сила;
расчетная осевая сила при растяжении;
продольная сила от нормативных нагрузок, которая будет приложена после нанесения на поверхность кладки штукатурных или плиточных покрытий;
расчетная нормальная сила в уровне расположения анкера на ширине, равной расстоянию между анкерами;
опорная реакция рандбалки от нагрузок, расположенных в пределах ее пролета и длины опоры, за вычетом собственного веса рандбалки;
Ng - расчетная продольная сила от длительных нагрузок;
Nc - продольная сжимающая сила от местных нагрузок;
Ncc - расчетная несущая способность;
Ns - расчетное усилие в анкере;
| | ИС МЕГАНОРМ: примечание. Текст абзаца приведен в соответствии с Изменением N 1, утв. Приказом Минстроя России от 18.11.2016 N 821/пр. | |
площади сечения вертикальных швов);
(абзац введен
Изменением N 1, утв. Приказом Минстроя России от 18.11.2016 N 821/пр)
Nt - несущая способность неармированной кладки на растяжение;
(абзац введен
Изменением N 1, утв. Приказом Минстроя России от 18.11.2016 N 821/пр)
Nt,a - прочность узла анкеровки связи;
(абзац введен
Изменением N 1, утв. Приказом Минстроя России от 18.11.2016 N 821/пр)
Nt,s - прочность на растяжение гибких связей;
(абзац введен
Изменением N 1, утв. Приказом Минстроя России от 18.11.2016 N 821/пр)
Nt,sh - суммарная прочность на растяжение продольных стержней Г-образных связевых сеток высотой на один этаж;
(абзац введен
Изменением N 1, утв. Приказом Минстроя России от 18.11.2016 N 821/пр)
Q - расчетная поперечная сила;
расчетная поперечная сила от горизонтальной нагрузки в середине высоты этажа;
расчетная поперечная сила от горизонтальной нагрузки, воспринимаемая поперечной стеной в уровне перекрытия, примыкающего к рассматриваемым перемычкам;
расчетная нагрузка от веса балки и приложенных к ней нагрузок;
R - расчетное сопротивление сжатию кладки;
Rk - расчетное сопротивление сжатию виброкирпичной кладки на тяжелых растворах;
Rtb - расчетное сопротивление растяжению при изгибе кладки;
Rtw - расчетное сопротивление кладки главным растягивающим напряжениям;
Rsq - расчетное сопротивление при срезе кладки;
Rs - расчетное сопротивление арматуры;
Ru - временное сопротивление (средний предел прочности) сжатию кладки;
Rsku - временное сопротивление (средний предел прочности) сжатию армированной кладки из кирпича или камней;
Rsn - нормативное сопротивление арматуры в армированной кладке;
Rc - расчетное сопротивление кладки при смятии;
Ri - расчетное сопротивление любого другого слоя стены;
Rsk - расчетное сопротивление кладки с сетчатым армированием при осевом, центральном сжатии;
R1 - расчетное сопротивление сжатию неармированной кладки в рассматриваемый срок твердения раствора;
R25 - расчетное сопротивление кладки при растворе марки 25;
Rskb - расчетное сопротивление армированной кладки при внецентренном сжатии;
Rstq - расчетное сопротивление скалыванию кладки, армированной продольной арматурой в горизонтальных швах;
Rb - расчетное сопротивление бетона осевому сжатию;
Rt - расчетное сопротивление кладки растяжению по перевязанному сечению;
(абзац введен
Изменением N 1, утв. Приказом Минстроя России от 18.11.2016 N 821/пр)
S0 - статический момент части сечения, находящейся по одну сторону от оси, проходящей через центр тяжести сечения;
S - длина участка эпюры распределения давления в каждую сторону от грани опоры;
S1 - длина участка распределения треугольной эпюры давления над крайними опорными рандбалками, а также над опорами однопролетных рандбалок от грани опоры;
T - сдвигающее усилие в пределах одного этажа;
Vs - объем арматуры;
Vk - объем кладки;
W - момент сопротивления сечения кладки при упругой ее работе;
a,
b,
c,
c1,
h - геометрические размеры сечения элементов при расчете на смятие (местном сжатии) в соответствии со схемами
рисунка 9;
a - глубина заделки балки в кладку;
длина опоры (ширина простенка);
a1 - длина опорного участка рандбалки;
b - ширина сжатой полки или толщина стенки таврового сечения в зависимости от направления эксцентриситета;
фактическая ширина слоя при расчете многослойных стен;
ширина сечения элемента;
ширина полок балки;
bc - ширина балки;
bred - приведенная ширина слоя;
c - размер квадратной ячейки сетки;
расстояние от точки приложения силы Q до плоскости стены;
cb, ch - расстояния от точки приложения силы Q до ближайших границ прямоугольного сечения элемента;
e0 - эксцентриситет действия расчетной нагрузки;
эксцентриситет расчетной силы относительно середины заделки;

- эксцентриситет действия длительных нагрузок;
eb, eh - эксцентриситеты при косом внецентренном сжатии прямоугольного сечения элемента соответственно сторонам;
g - коэффициент, зависящий от величины площади опирания железобетонных элементов в узле;
h - меньший размер прямоугольного сечения:
меньшая сторона прямоугольного сечения столба:
толщина стены;
высота сечения;
толщина поперечной стены;
высота перемычки в свету;
hc1, hc2 - высоты сжатой части элементов в сечениях с максимальными изгибающими моментами;
hred - условная толщина стен, столбов сложного сечения;
h0 - расстояние от сжатого края сечения стены до оси анкера (расчетная высота сечения);
hc - высота сжатой части поперечного сечения в плоскости действия изгибающего момента;
i - наименьший радиус инерции сечения элемента;
радиус инерции стен, столбов сложного сечения;
ic - радиус инерции сжатой части поперечного сечения в плоскости действия изгибающего момента;
ib, ih - радиусы инерции при косом внецентренном сжатии прямоугольного сечения элемента соответственно сторонам;
ic1, ic2 - радиусы инерции сжатой части элементов в сечениях с максимальными изгибающими моментами;
поправочные коэффициенты;
kp - коэффициент для столбов;
l0 - расчетная высота (длина) стен и столбов;
l01 - расчетная высота верхнего участка стены;
l - длина поперечной стены в плане; пролет перемычки в свету; свободная длина стены;
lc - основание треугольной эпюры распределения над крайними опорами рандбалок, а также над опорами однопролетных рандбалок;
m - коэффициент использования прочности слоя, к которому приводится сечение при расчете многослойной стены;
mg - коэффициент, учитывающий влияние длительного воздействия нагрузки;
mi - коэффициент использования прочности любого другого слоя стены;
n - эмпирический коэффициент, используемый при расчете на срез;
p - коэффициент, зависящий от типа пустот в железобетонном элементе;
p1 - коэффициент, зависящий от пустотности кирпича (камня) при определении расчетного сопротивления армированной кладки;
s - расстояние между сетками по высоте;
v - коэффициент неравномерности касательных напряжений в сечении;
y - расстояние от центра тяжести сечения элемента в сторону эксцентриситета до сжатого его края;
расстояние от оси продольной стены до оси, проходящей через центр тяжести сечения стен в плане;
yb, yh - расстояния от центра тяжести элемента прямоугольного сечения до его края в сторону эксцентриситета, соответственно сторонам, при косом внецентренном сжатии;
z - плечо внутренней пары сил;

- упругая характеристика кладки;

- приведенная упругая характеристика кладки;

- упругая характеристика кладки с сетчатым армированием;

- коэффициент линейного расширения кладки;

,

- упругие характеристики слоев кладки в многослойной стене и соответственно их толщины;

- отношение высоты этажа к толщине стены или меньшей стороне прямоугольного сечения столба;

- коэффициент условий работы кладки;

- коэффициент условий работы для зимней кладки;
коэффициент условий работы кладки в стадии оттаивания;

- коэффициент условий работы арматуры;

- плотность;

- коэффициент условий работы кладки при расчете по раскрытию трещин;

- коэффициент условий работы сетчатой арматуры при расчете кладки в стадии оттаивания;

- относительная деформация кладки;

- предельная относительная деформация;

,

- гибкость элементов соответственно прямоугольного сечения и сечения произвольной формы;

,

- гибкости сжатой части элементов в сечениях с максимальными изгибающими моментами;

- процент армирования сетчатой арматурой кладки по объему;
процент армирования по вертикальному сечению стены;

- коэффициент трения;
v - коэффициент, учитывающий влияние ползучести кладки;

- коэффициент, зависящий от материала кладки и места приложения нагрузки, определяется по
таблице 21;

- напряжение в кладке, при котором определяется

;

- среднее напряжение сжатия при наименьшей расчетной нагрузке, определяемой с коэффициентом перегрузки 0,9;

- максимальное напряжение над опорой рандбалки;

- коэффициент продольного изгиба;

- коэффициент продольного изгиба сжатой части сечения элемента;

- коэффициент продольного изгиба при внецентренном сжатии элемента;

- коэффициент полноты эпюры давления от местной нагрузки;
(в ред.
Изменения N 3, утв. Приказом Минстроя России от 28.01.2019 N 50/пр)
РАСЧЕТ СТЕН ЗДАНИЙ С ЖЕСТКОЙ КОНСТРУКТИВНОЙ СХЕМОЙ
Г.1 Стены и столбы, имеющие в плоскостях междуэтажных перекрытий жесткие опоры, рассчитываются согласно указаниям, приведенным в
6.10 -
6.14. Эпюры изгибающих моментов при расчете стен как неразрезных балок с шарнирными опорами приведены на
рисунке Г.1, а. В запас прочности допускается выполнять расчет стен как однопролетных балок (
рисунок Г.1, б). Величины эксцентриситетов, возникающих в стенах при действии вертикальных и горизонтальных (ветровых) нагрузок относительно оси, проходящей через центр тяжести сечения стены, определяются по формуле

, (Г.1)
где M - изгибающий момент в сечении;
N - нормальная сила от вертикальной нагрузки.
а - стена рассчитывается как неразрезная балка;
б - стена рассчитывается в пределах каждого этажа
как однопролетная балка
Рисунок Г.1. Расчетные схемы и эпюры изгибающих моментов
от вертикальных внецентренно приложенных нагрузок
Изгибающие моменты в стенах учитываются от нагрузок, приложенных в пределах рассматриваемого этажа, т.е. от перекрытия над этим этажом, балконов и т.п., а также от ветровой нагрузки. Моменты от нагрузок вышележащих этажей учитываются, если сечение стены изменяется в уровне перекрытия над данным этажом. При изменении сечения стены в пределах рассчитываемого этажа следует учитывать момент, вызванный смещением оси стены.
При отсутствии специальных опор, фиксирующих положение опорного давления, допускается принимать расстояние от точки приложения опорной реакции прогонов, балок или настила до внутренней грани стены или опорной плиты равным одной трети глубины заделки, но не более 7 см.
Изгибающие моменты от ветровой нагрузки следует определять в пределах каждого этажа как для балки с заделанными концами, за исключением верхнего этажа, в котором верхняя опора принимается шарнирной.
Г.2 При расчете стен здания на ветровые нагрузки, направленные параллельно стенам, производится распределение ветровой нагрузки между поперечными или продольными стенами, расположенными в направлении действия нагрузки.
Г.3 Если стены взаимно перпендикулярного направления соединены перевязкой или другими достаточно жесткими и прочными связями, то следует учитывать совместную работу рассчитываемой стены и участков примыкающих к ней стен.
Г.4 Поперечные стены, воспринимающие действующие в их плоскости горизонтальные (ветровые) нагрузки, должны быть рассчитаны на главные растягивающие напряжения по
9.12,
9.13. Если прочность поперечных стен с проемами обеспечивается только с учетом жесткости перемычек, то перемычки должны быть рассчитаны на возникающие в них перерезывающие силы.
Расчет стен зданий с упругой конструктивной схемой
Г.5 К зданиям с упругой конструктивной схемой относятся здания, в которых расстояния между поперечными стенами или другими жесткими опорами для перекрытий и покрытий превышают указанные в
таблице 28. Независимо от расстояния между поперечными конструкциями к упругим опорам относятся покрытия из легких конструкций, опирающихся на металлические или железобетонные фермы, прогоны, балки.
Г.6 При упругих опорах производится расчет рамной системы, стойками которой являются стены и столбы (железобетонные, кирпичные и др.), а ригелями - перекрытия и покрытия, которые рассматриваются как жесткие распорки, шарнирно связанные со стенами. При упругих опорах принимается, что стойки заделаны в грунт в уровне пола здания (при наличии бетонного подстилающего слоя под полы и отмостки).
Г.7 При статических расчетах рам жесткость стен или столбов, выполненных из кирпичной или каменной кладки, допускается определять при модуле упругости кладки E = 0,8E0 и моменте инерции сечения без учета раскрытия швов, а перекрытия и покрытия следует принимать как жесткие ригели (распорки), шарнирно связанные со стенами.
Г.8 Если нагрузка от перекрытия или покрытия распределена равномерно по длине стены (например, при покрытии из железобетонного настила), за ширину полки стены с пилястрой может приниматься вся ширина простенка или же, при глухих стенах, - вся длина стены между осями примыкающих к пилястре пролетов.
Если нагрузка от перекрытия сосредоточена на отдельных участках (опирание ферм, балок и пр.), при статическом расчете допускается принимать ширину полки тавра согласно следующим указаниям: не более 6h и ширины стены между проемами (H - высота стены от уровня заделки, h - толщина стены). При отсутствии пилястр и передаче на стены сосредоточенных нагрузок ширина участка 1/3H принимается в каждую сторону от края распределительной плиты, установленной под опорами ферм или прогонов.
Если толщина стены меньше 0,1 высоты сечения пилястры, то сечение рассматривается как прямоугольное без учета примыкающих участков стены.
Г.9 Каждая поперечная рама, состоящая из вертикальных и горизонтальных элементов, расположенных на одной оси, рассчитывается, как правило, независимо от других рам, если нет специальных условий, при которых возможна существенная перегрузка какой-либо рамы при загрузке других пролетов. Расчет производится на все нагрузки, расположенные между средними осями пролетов здания, примыкающих к рассчитываемой раме.
Г.10 До установки перекрытий или покрытий стены и столбы рассчитываются на собственный вес стен, некоторые виды оборудования и др. как свободно стоящие стойки, заделанные в грунт. На нагрузки, приложенные после устройства перекрытий, стены и столбы рассчитываются как элементы рам. Усилия, вычисленные при этих двух нагрузках, суммируются.
Опорные реакции в шарнирной верхней опоре каждой стойки определяются последовательно от всех приложенных нагрузок, и полученные значения суммируются.
(рекомендуемое)
ТРЕБОВАНИЯ ПО АРМИРОВАНИЮ КЛАДКИ ЛИЦЕВОГО СЛОЯ
Приложение Д исключено с 19 мая 2017 года. -
Изменение N 1, утв. Приказом Минстроя России от 18.11.2016 N 821/пр.
(в ред.
Изменения N 3, утв. Приказом Минстроя России от 28.01.2019 N 50/пр)
РАСЧЕТ СТЕН МНОГОЭТАЖНЫХ ЗДАНИЙ ИЗ КАМЕННОЙ КЛАДКИ
НА ВЕРТИКАЛЬНУЮ НАГРУЗКУ ПО РАСКРЫТИЮ ТРЕЩИН ПРИ РАЗЛИЧНОЙ
ЗАГРУЗКЕ ИЛИ РАЗНОЙ ЖЕСТКОСТИ СМЕЖНЫХ УЧАСТКОВ СТЕН
При различии наружных и примыкающих к ним внутренних стен по степени загрузки или выполнении их из различных материалов участки стен, близкие к местам их взаимного примыкания, должны быть рассчитаны по образованию и раскрытию трещин.
При расчете условно принимается, что обе стены (или смежные участки одной и той же стены) не связаны друг с другом, и определяется свободная деформация каждой из двух стен отдельно при действии расчетных длительных нагрузок. Разность свободных деформаций этих стен должна удовлетворять условию

,
где

- абсолютная свободная деформация сжатия одной из стен (или участка стены);

- то же, второй стены;

- предельная допустимая разность деформаций, определяемая по таблице Е.1.
Таблица Е.1
Число этажей | 5 | 6 | 7 | 8 | 9 | 12 и более |
| | ИС МЕГАНОРМ: примечание. Единицы измерения даны в соответствии с официальным текстом документа. | |
|
Высота стены, Н | 15 | 18 | 21 | 24 | 27 | 36 и более |
 , мм | 7 | 8 | 9 | 10 | 12 | 15 |
Величины свободных деформаций определяются как сумма деформаций кладки во всех этажах здания от уровня верха фундамента до верха стены по формулам:

;

;
где

- напряжения в кладке первой свободно стоящей стены в первом этаже;

- то же, второй стены;
E1i - модули деформации кладки первой стены на первом этаже;
E2i - то же, второй стены;
hi - высота i-го этажа;

и

- абсолютные деформации усадки первой и второй стены, вычисленные по относительным значениям усадок материалов стен, умноженным на высоту соответствующих участков стен;
n - число этажей от пола подвала до верхнего или рассматриваемого промежуточного этажа.
Напряжения определяются в середине каждого этажа и вычисляются при расчетных значениях всех длительных нагрузок. Модули упругости Ei вычисляются по формуле
| | ИС МЕГАНОРМ: примечание. Формула дана в соответствии с официальным текстом документа. | |

,
где Riu - средний предел прочности кладки первой или второй стены данного этажа;

- характеристика деформаций, которая зависит от материала кладки и учитывает полные деформации кладки (без учета деформаций усадки).
Значение характеристики

для кладки на растворе марки 25 и выше приведено в таблице Е.2.
Таблица Е.2
Кладка |  для кладки |
летней | зимней после затвердевания |
Из кирпича: | | |
керамического пластического прессования | 450 | 300 |
силикатного и керамического полусухого прессования | 250 | 170 |
из керамических камней высотой 140 - 220 мм | 650 | 430 |
Примечание - При зимней кладке, выполняемой на растворах с противоморозными химическими добавками, значения характеристики деформаций принимаются такими же, как для летней кладки. В этом случае разницу в деформациях стен допускается уменьшить в 1,5 раза, когда свободная длина несущих стен до пересечения их с внутренними продольными ненесущими стенами или отрезками стен не превышает 7,5 м, и в 1,25 раза - при свободной длине более 7,5 м. |
ОБЩИЕ ПОЛОЖЕНИЯ ПО РАСЧЕТУ НАРУЖНЫХ СТЕН
НА ВЕТРОВУЮ НАГРУЗКУ
Минстроя России от 28.01.2019 N 50/пр)
Ж.1 Напряженно-деформированное состояние кладки стен и усилия в гибких связях при действии ветровой нагрузки определяют с учетом совместной работы наружного и внутреннего слоев стены.
Ж.2 При расчете по предельным усилиям принимают, что предельное состояние характеризуется достижением предельных усилий в кладке растянутой зоны. При расчете допускается образование трещин длиной не более 15 см на участках концентрации напряжений.
Расчетный изгибающий момент M простенков, не имеющих вертикальных опор, определяют из условия:
где
Rtb - расчетное сопротивление кладки растяжению при изгибе, учитывающее нелинейную работу кладки, определяемое по
таблице 11;
Wупр - упругий момент сопротивления поперечного сечения простенка.
В остальных случаях следует соблюдать условие:

(Ж.2)
где

- растягивающие напряжения.
Ж.3 При расчете кладки по образованию трещин при изгибе из плоскости по
формуле (33) следует учитывать возможность концентрации растягивающих напряжений на отдельных участках стен (например, по концам надоконных перемычек, углах проемов, местах установки связей и др.). В этой связи к полученным значениям краевых напряжений

следует вводить коэффициент учета возможной концентрации напряжений, принимаемый при отсутствии данных сравнительных расчетов равным 1,5.
Ж.4 В случае невыполнения
условий (Ж.1) и
(Ж.2) значения изгибающих моментов, действующих в слоях кладки, могут быть снижены за счет таких конструктивных мероприятий, как увеличение количества гибких связей между слоями, в том числе в виде сеток, рациональное соотношение изгибных жесткостей лицевого и внутреннего слоев и др.
Ж.5 Устойчивость простенка против опрокидывания в случае, когда равнодействующая всех сил выходит за пределы ядра сечения, определяют из условия
Mопр <= mудерMудер, (Ж.3)
где Mопр - суммарный опрокидывающий момент относительно оси возможного поворота опоры;
Mудер - суммарный удерживающий момент относительно оси возможного поворота опоры;
mудер - коэффициент условий работы при проверке устойчивости на сдвиг и опрокидывание. Данный коэффициент принимают равным 0,9 при опирании кладки непосредственно на плиту перекрытия и 0,8 - при опирании на слой гидроизоляции, отлив из жести, металлопластика и т.п.
Ж.6 Устойчивость простенка против сдвига определяют из условия
Nсдв <= (mудер/nудер)Nудер, (Ж.4)
где nудер - коэффициент надежности при проверке устойчивости;
Nсдв; Nудер - соответственно сдвигающие горизонтальные нагрузки и удерживающие силы.
ВЕРТИКАЛЬНЫЕ ПЕРЕМЕЩЕНИЯ НАРУЖНОГО И ВНУТРЕННЕГО СЛОЕВ
МНОГОСЛОЙНОЙ КЛАДКИ
Минстроя России от 28.01.2019 N 50/пр)
И.1 Разность вертикальных перемещений слоев верхней точки стены

, определяемую с момента окончания ее возведения, вычисляют по формуле

(И.1)
где

- разность вертикальных перемещений слоев стены от вертикальной нагрузки и собственного веса;

- разность вертикальных перемещений слоев стены от усадки кладки.
И.2 Для вычисления деформаций кладки каждого из слоев применяют длительный модуль деформаций Eдл, равный:

(И.2)
где

- коэффициент для определения деформаций ползучести, развившихся с момента окончания роста нагрузки, вычисляемый по формуле

(И.3)
здесь t1 - возраст кладки на момент окончания ее возведения (сут);

- коэффициент, равный 1/сут;
C - коэффициент, учитывающий деформационные характеристики, равный:
0,46 - для кладки из керамических камней;
0,7 - для кладки из керамического кирпича пластического прессования;
1,1 - для кладки из силикатного кирпича.
И.3 Деформации усадки

кладки из силикатного кирпича и ячеистого бетона, развивающиеся во времени, допускается определять по формуле

(И.4)
t - возраст кладки (сут).
[1] Ссылка исключена с 19 мая 2017 года. -
Изменение N 1, утв. Приказом Минстроя России от 18.11.2016 N 821/пр.
[2] Инструкция по проектированию конструкций крупнопанельных жилых домов.