Главная // Актуальные документы // ГрафикСПРАВКА
Источник публикации
В данном виде документ опубликован не был.
Первоначальный текст документа опубликован в издании
М.: Минрегион России, 2011.
Информацию о публикации документов, создающих данную редакцию, см. в справке к этим документам.
Примечание к документу
Документ утратил силу полностью с 01.08.2020 в связи с признанием утратившим силу
Постановления Правительства РФ от 26.12.2014 N 1521.
Документ утратил силу с 28.08.2017, за исключением пунктов, включенных в
Перечень национальных стандартов и сводов правил (частей таких стандартов и сводов правил), в результате применения которых на обязательной основе обеспечивается соблюдение требований Федерального закона "Технический регламент о безопасности зданий и сооружений", утвержденный
Постановлением Правительства РФ от 26.12.2014 N 1521, до внесения соответствующих изменений в указанный Перечень, в связи с изданием
Приказа Минстроя России от 27.02.2017 N 129/пр, утвердившего новый Свод правил
СП 64.13330.2017.
Документ включен в
Перечень документов в области стандартизации, в результате применения которых на добровольной основе обеспечивается соблюдение требований Федерального
закона от 30.12.2009 N 384-ФЗ "Технический регламент о безопасности зданий и сооружений" (
Приказ Росстандарта от 30.03.2015 N 365).
Отдельные положения данного документа включены в
Перечень национальных стандартов и сводов правил (частей таких стандартов и сводов правил), в результате применения которых на обязательной основе обеспечивается соблюдение требований Федерального
закона от 30.12.2009 N 384-ФЗ "Технический регламент о безопасности зданий и сооружений" (
Постановление Правительства РФ от 26.12.2014 N 1521).
На время переходного периода данный документ не отменяет действие
СНиП II-25-80 (
Письмо Минрегиона России от 15.08.2011 N 18529-08/ИП-ОГ).
Текст документа приведен с учетом
опечатки, опубликованной в "Информационном бюллетене о нормативной, методической и типовой проектной документации в строительстве", N 7, 2011.
Название документа
"СП 64.13330.2011. Свод правил. Деревянные конструкции. Актуализированная редакция СНиП II-25-80"
(утв. Приказом Минрегиона РФ от 28.12.2010 N 826)
(ред. от 27.02.2017)
"СП 64.13330.2011. Свод правил. Деревянные конструкции. Актуализированная редакция СНиП II-25-80"
(утв. Приказом Минрегиона РФ от 28.12.2010 N 826)
(ред. от 27.02.2017)
от 28 декабря 2010 г. N 826
СВОД ПРАВИЛ
ДЕРЕВЯННЫЕ КОНСТРУКЦИИ
Timber structures
СП 64.13330.2011
| | Список изменяющих документов Минстроя России от 03.12.2016 N 884/пр, Приказа Минстроя России от 27.02.2017 N 129/пр) | |
Дата введения
20 мая 2011 года
Цели и принципы стандартизации в Российской Федерации установлены Федеральным
законом от 27 декабря 2002 г. N 184-ФЗ "О техническом регулировании", а правила разработки -
Постановлением Правительства Российской Федерации от 19 ноября 2008 г. N 858 "О порядке разработки и утверждения сводов правил".
1. Исполнители - ЦНИИСК им. В.А. Кучеренко - институт ОАО "НИЦ "Строительство".
2. Внесен Техническим комитетом по стандартизации ТК 465 "Строительство".
3. Подготовлен к утверждению Департаментом архитектуры, строительства и градостроительной политики.
4. Утвержден
Приказом Министерства регионального развития Российской Федерации (Минрегион России) от 28 декабря 2010 г. N 826 и введен в действие с 20 мая 2011 г.
5. Зарегистрирован Федеральным агентством по техническому регулированию и метрологии (Росстандарт). Пересмотр СП 64.13330.2010.
Информация об изменениях к настоящему своду правил публикуется в ежегодно издаваемом информационном указателе "Национальные стандарты", а текст изменений и поправок - в ежемесячно издаваемых информационных указателях "Национальные стандарты". В случае пересмотра (замены) или отмены настоящего свода правил соответствующее уведомление будет опубликовано в ежемесячно издаваемом информационном указателе "Национальные стандарты". Соответствующая информация, уведомление и тексты размещаются также в информационной системе общего пользования - на официальном сайте разработчика (Минрегион России) в сети Интернет
Настоящий свод правил составлен с целью повышения уровня безопасности в зданиях и сооружениях людей и сохранности материальных ценностей в соответствии с Федеральным
законом от 30 декабря 2009 г. N 384-ФЗ "Технический регламент о безопасности зданий и сооружений", выполнения требований Федерального
закона от 23 ноября 2009 г. N 261-ФЗ "Об энергосбережении и о повышении энергетической эффективности и о внесении изменений в отдельные законодательные акты Российской Федерации", повышения уровня гармонизации нормативных требований с европейскими и международными нормативными документами, применения единых методов определения эксплуатационных характеристик и методов оценки. Учитывались также требования Федерального
закона от 22 июля 2008 г. N 123-ФЗ "Технический регламент о требованиях пожарной безопасности" и сводов правил системы противопожарной защиты.
Работа выполнена: лабораторией деревянных конструкций ЦНИИСК им. В.А. Кучеренко - института ОАО "НИЦ "Строительство": канд. техн. наук А.А. Погорельцев (руководитель разработки), засл. деят. науки и техники РФ, д-р техн. наук, проф. Л.М. Ковальчук, д-р техн. наук С.Б. Турковский, кандидаты техн. наук И.П. Преображенская, Ю.Ю. Славик, А.Д. Ломакин, В.Н. Зигерн-Корн, инженеры М.А. Филимонов, П.Н. Смирнов, Д.С. Солоницын, А.В. Федченко, при участии д-ра техн. наук, проф. Д.К. Арленинова (МГСУ), д-ра техн. наук, проф. Е.Н. Серова (СПбГАСУ), д-ра техн. наук, проф. А.Я. Найчука ("Институт БелНИИС" - НТЦ).
| | Применение на обязательной основе пунктов 1.1, 1.2, 1.7 обеспечивает соблюдение требований Федерального закона от 30.12.2009 N 384-ФЗ "Технический регламент о безопасности зданий и сооружений" (Постановление Правительства РФ от 26.12.2014 N 1521). | |
1.1. Настоящий свод правил распространяется на методы проектирования и расчета конструкций из цельной и клееной древесины (далее - ДК), применяемых в общественной, жилищной, промышленной и других отраслях строительства.
1.2. Нормы не распространяются на проектирование ДК гидротехнических сооружений, мостов, фундаментов и свай.
1.3 - 1.6. Утратили силу с 28.08.2017. -
Приказ Минстроя России от 27.02.2017 N 129/пр.
1.7. ДК в условиях постоянного или периодического длительного нагрева допускается применять, если температура окружающего воздуха не превышает 50 °C. Для конструкций из клееной древесины (далее - КДК) температура выше 35 °C допускается при влажности воздуха не менее 50%.
(в ред.
Изменения N 1, утв. Приказом Минстроя России от 03.12.2016 N 884/пр)
Раздел 2 утратил силу с 28.08.2017. -
Приказ Минстроя России от 27.02.2017 N 129/пр.
Раздел 3 утратил силу с 28.08.2017. -
Приказ Минстроя России от 27.02.2017 N 129/пр.
4.1. Утратил силу с 28.08.2017. -
Приказ Минстроя России от 27.02.2017 N 129/пр.
| | Применение на обязательной основе пунктов 4.2, 4.3 обеспечивает соблюдение требований Федерального закона от 30.12.2009 N 384-ФЗ "Технический регламент о безопасности зданий и сооружений" (Постановление Правительства РФ от 26.12.2014 N 1521). | |
4.2. Качество древесины, используемой для элементов несущих ДК, должно соответствовать требованиям действующих нормативных документов, а также дополнительным требованиям, указанным в
Приложении Б.
(в ред.
Изменения N 1, утв. Приказом Минстроя России от 03.12.2016 N 884/пр)
Прочность древесины соответствующих сортов (классов прочности) должна быть не ниже нормативных сопротивлений, приведенных в
Приложении В.
(в ред.
Изменения N 1, утв. Приказом Минстроя России от 03.12.2016 N 884/пр)
4.2а. По функциональному назначению клееные ДК подразделяют на классы, указанные в таблице 1а.
Таблица 1а
Обозначение класса функционального назначения | Общая характеристика класса |
1 | 1а | Несущие конструкции с пролетами более 100 м |
1б | Несущие конструкции для зданий музеев, спортивно-зрелищных объектов и торговых предприятий с массовым нахождением людей, а также сооружений с пролетами более 60 м; мачт и башен высотой более 40 м |
2 | 2а | Несущие конструкции любых форм пролетом до 60 м, не вошедшие в классы 1а, 1б, 2б и 3 |
2б | Конструкции стен зданий и сооружений различного назначения, не вошедшие в класс 3 Конструкции покрытий и перекрытий пролетами до 7,5 м, к которым предъявляются требования нормы ПК ("промышленное качество") по качеству древесины поверхностей КДК (см. 6.4.4) |
3 | Конструкции теплиц, парников, мобильных зданий (сборно-разборные и контейнерного типа); складов временного содержания; бытовок вахтового персонала и других подобных сооружений с ограниченными сроками службы и пребывания в них людей |
(п. 4.2а введен
Изменением N 1, утв. Приказом Минстроя России от 03.12.2016 N 884/пр)
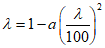
4.3. В зависимости от температурно-влажностных условий эксплуатации (классов) должны предъявляться требования к максимальным значениям эксплуатационной влажности древесины и учитываться зависимость ее прочности от этих значений.
Классификация условий эксплуатации приведена в таблице 1, а особенности ее учета при проектировании и изготовлении конструкций - в Приложении Г
(таблица Г.2).
Классы условий эксплуатации | Эксплуатационная влажность древесины, % | Максимальная влажность воздуха при температуре 20 °C, % |
| до 8 | 40 |
| 8 - 12 | 65 |
| до 15 | 75 |
| до 20 | 85 |
| более 20 | более 85 |
Примечания. 1. Допускается в качестве "эксплуатационной" принимать "равновесную" влажность древесины (рисунок Г1). 2. Допускается кратковременное превышение максимальной влажности в течение 2 - 3 недель в году. |
| | Применение на обязательной основе пунктов 4.4, 4.11 обеспечивает соблюдение требований Федерального закона от 30.12.2009 N 384-ФЗ "Технический регламент о безопасности зданий и сооружений" (Постановление Правительства РФ от 26.12.2014 N 1521). | |
4.4. Клееные деревянные конструкции должны соответствовать нормативным документам на изготовление конструкций. Не допускается применение клееных деревянных конструкций для класса эксплуатации 1А (относительная влажность воздуха ниже 45% при температуре до 35 °C).
(в ред.
Изменения N 1, утв. Приказом Минстроя России от 03.12.2016 N 884/пр)
4.5 - 4.10. Утратили силу с 28.08.2017. -
Приказ Минстроя России от 27.02.2017 N 129/пр.
4.11. Клеи для склеивания древесины, LVL и фанеры в клееных деревянных конструкциях должны соответствовать требованиям стандарта на клеи для несущих деревянных конструкций и назначаться в соответствии с
таблицей 2. Клеи для вклеивания арматурных стержней см. в
разделе 7 настоящих правил.
(в ред.
Изменения N 1, утв. Приказом Минстроя России от 03.12.2016 N 884/пр)
Другие клеи, не перечисленные в таблице, допускается использовать при условии, что их свойства и долговечность будут не ниже указанных в таблице 2.
Тип клея | Склеиваемые материалы | | Класс ответственности ( Г.2 Прил. Г) | Вид клея |
1 | Древесина, древесные плитные материалы | | | На основе резорцина и меламина с предварительным перемешиванием компонентов |
2 | | | На основе меламина с раздельным нанесением компонентов на склеиваемые поверхности |
3 | | | На основе карбамида, полиуретановые двухкомпонентные клеи повышенной водостойкости на основе поливинилацетата |
(в ред. Изменения N 1, утв. Приказом Минстроя России от 03.12.2016 N 884/пр) |
4 | Древесина с металлом | | | На основе эпоксидных смол |
4.12 - 4.16. Утратили силу с 28.08.2017. -
Приказ Минстроя России от 27.02.2017 N 129/пр.
| | Применение на обязательной основе раздела 5 обеспечивает соблюдение требований Федерального закона от 30.12.2009 N 384-ФЗ "Технический регламент о безопасности зданий и сооружений" (Постановление Правительства РФ от 26.12.2014 N 1521). | |
5. Расчетные характеристики материалов
5.1. Расчетные сопротивления древесины сосны, ели и лиственницы европейской влажностью 12% для основного сочетания нагрузок (режим В согласно
таблице В.1) в сооружениях нормального (2-го согласно
Приложению Г) уровня ответственности при сроке эксплуатации до 50 лет приведены в
таблице 3. Расчетные сопротивления для других пород древесины устанавливают путем умножения величин, приведенных в таблице 3, на переходные коэффициенты

, указанные в
таблице 5. Расчетные сопротивления LVL из однонаправленного шпона приведены в
таблице 4.
Напряженное состояние и характеристика элементов | Расчетные сопротивления, МПа, для сортов (классов) древесины |
обозначение | 1/К26 | 2/К24 | 3/К16 |
1. Изгиб, сжатие и смятие вдоль волокон: | | | | |
а) элементы прямоугольного сечения (за исключением указанных в подпунктах "б", "в") высотой до 50 см. При высоте сечения более 50 см см. 5.2, д | | 14 | 13 | 8,5 |
б) элементы прямоугольного сечения шириной свыше 11 до 13 см при высоте сечения свыше 11 до 50 см | | 15 | 14 | 10 |
в) элементы прямоугольного сечения шириной свыше 13 см при высоте сечения свыше 13 до 50 см | | 16 | 15 | 11 |
г) элементы из круглых лесоматериалов без врезок в расчетном сечении | | - | 16 | 10 |
2. Растяжение вдоль волокон: | | | | |
а) элементы из цельной древесины | | 10 | 7 | - |
б) клееные элементы | | 12 | 9 | - |
3. Сжатие и смятие по всей площади поперек волокон | | 1,8 | 1,8 | 1,8 |
4. Смятие поперек волокон местное: | | | | |
а) в опорных частях конструкций, лобовых врубках и узловых примыканиях элементов | | 3 | 3 | 3 |
б) под шайбами при углах смятия от 90 до 60° | | 4 | 4 | 4 |
5. Скалывание вдоль волокон: | | | | |
а) при изгибе элементов из цельной древесины | | 1,8 | 1,6 | 1,6 |
б) при изгибе клееных элементов | | 1,6 | 1,5 | 1,5 |
в) в лобовых врубках для максимального напряжения | | 2,4 | 2,1 | 2,1 |
г) местное в клеевых соединениях для максимального напряжения | | 2,1 | 2,1 | 2,1 |
6. Скалывание поперек волокон: | | | | |
а) в соединениях элементов из цельной древесины | | 1 | 0,8 | 0,6 |
б) в соединениях клееных элементов | | 0,7 | 0,7 | 0,6 |
7. Растяжение поперек волокон элементов из клееной древесины | | 0,15 | 0,1 | 0,08 |
8. Срез под углом к волокнам: | | | | |
45° | Rср45 | 6 | 5 | 4 |
90° | Rср90 | 11 | 9 | 8 |
(п. 8 введен Изменением N 1, утв. Приказом Минстроя России от 03.12.2016 N 884/пр) |
Примечания. 1. Расчетное сопротивление древесины местному смятию поперек волокон на части длины (при длине незагруженных участков не менее длины площадки смятия и толщины элементов), за исключением случаев, оговоренных в поз. 4 данной таблицы, определяется по формуле  , (1) где  - расчетное сопротивление древесины сжатию и смятию по всей поверхности поперек волокон ( поз. 3 данной таблицы);  - длина площадки смятия вдоль волокон древесины, см. 2. Расчетное сопротивление древесины смятию под углом  к направлению волокон определяется по формуле  , (2) 2а. Расчетное сопротивление древесины растяжению под углом  к направлению волокон определяется по формуле  (2а) |
(примечание 2а введено Изменением N 1, утв. Приказом Минстроя России от 03.12.2016 N 884/пр) |
3. Расчетное сопротивление древесины скалыванию под углом к направлению волокон определяется по формуле  . (3) 4. В конструкциях построечного изготовления величины расчетных сопротивлений на растяжение, принятые по поз. 2, а данной таблицы, следует снижать на 30%. 5. Расчетное сопротивление изгибу для элементов настила и обрешетки под кровлю из древесины 3-го сорта следует принимать равным 13 МПа. |
N п.п. | Напряженное состояние | Расчетные сопротивления, МПа, для сортов/классов прочности LVL |
обозначение | 1/К45 | 2/К40 | 3/К35 |
1 | Изгиб | Rи | 26 | 22,5 | 20 |
2 | Сжатие в плоскости листа вдоль волокон | Rс, Rсм | 21 | 20 | 18 |
3 | Сжатие в плоскости листа поперек волокон | | 3,2 | 3,1 | 3,0 |
4 | Сжатие из плоскости листа поперек волокон | | 1,6 | 1,5 | 1,5 |
5 | Смятие местное в плоскости листа поперек волокон в опорных частях конструкций и узловых примыканиях | | 5,0 | 4,9 | 4,8 |
6 | Растяжение вдоль волокон | Rр | 20,5 | 18 | 16 |
7 | Растяжение поперек волокон в плоскости листа | Rр90 | 0,3 | 0,3 | 0,3 |
8 | Скалывание вдоль волокон поперек плоскости листа | | 2,7 | 2,6 | 2,6 |
9 | Скалывание вдоль волокон в плоскости листа | Rск | 2,1 | 2,0 | 1,9 |
10 | Скалывание поперек волокон в плоскости листа | Rск90 | 1,0 | 1,0 | 1,0 |
Древесные породы | Коэффициент mп для расчетных сопротивлений |
растяжению, изгибу, сжатию и смятию вдоль волокон Rр, Rи, Rс, Rсм | сжатию и смятию поперек волокон Rс90, Rсм90 | скалыванию Rск |
Хвойные | | | |
1. Лиственница, кроме европейской | 1,2 | 1,2 | 1 |
2. Кедр сибирский, кроме кедра Красноярского края | 0,9 | 0,9 | 0,9 |
3. Кедр Красноярского края | 0,65 | 0,65 | 0,65 |
4. Пихта | 0,8 | 0,8 | 0,8 |
Твердые лиственные | | | |
5. Дуб | 1,3 | 2 | 1,3 |
6. Ясень, клен, граб | 1,3 | 2 | 1,6 |
7. Акация | 1,5 | 2,2 | 1,8 |
8. Береза, бук | 1,1 | 1,6 | 1,3 |
9. Вяз, ильм | 1 | 1,6 | 1 |
Мягкие лиственные | | | |
10. Ольха, липа, осина, тополь | 0,8 | 1 | 0,8 |
Примечание. Коэффициенты mп, указанные в таблице, для конструкций опор воздушных линий электропередачи, изготавливаемых из не пропитанной антисептиками лиственницы (при влажности <= 25%), умножаются на коэффициент 0,85. |
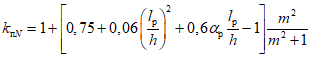
5.2. Расчетные сопротивления, приведенные в
таблицах 3,
4 и
6, в соответствующих случаях следует умножать на коэффициенты условий работы:
а) для различных условий эксплуатации конструкций - на коэффициент

, указанный в
таблице 7;
б) для конструкций, эксплуатируемых при установившейся температуре воздуха до +35 °C, - на коэффициент

; при температуре +50 °C - на коэффициент

. Для промежуточных значений температуры коэффициент принимается по интерполяции;
в) для конструкций, в которых напряжения в элементах, возникающие от постоянных и временных длительных нагрузок, превышают 80% суммарного напряжения от всех нагрузок, - на коэффициент

;
г) для конструкций, рассчитываемых с учетом воздействия кратковременных (ветровой, монтажной или гололедной) нагрузок, а также нагрузок от тяжения и обрыва проводов воздушных ЛЭП и сейсмической, - на коэффициент

, указанный в
таблице 8;
д) для изгибаемых, внецентренно-сжатых, сжато-изгибаемых и сжатых клееных элементов прямоугольного сечения высотой более 50 см значения расчетных сопротивлений изгибу и сжатию вдоль волокон - на коэффициент

, указанный в
таблице 9;
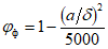
е) для растянутых элементов с ослаблением в расчетном сечении и изгибаемых элементов из круглых лесоматериалов с подрезкой в расчетном сечении - на коэффициент

;
ж) для элементов, подвергнутых глубокой пропитке антипиренами под давлением, - на коэффициент

;
и) для изгибаемых, внецентренно-сжатых, сжато-изгибаемых и сжатых клееных элементов, в зависимости от толщины слоев, значения расчетных сопротивлений изгибу, скалыванию и сжатию вдоль волокон - на коэффициент

, указанный в
таблице 10;
к) для гнутых элементов конструкций значения расчетных сопротивлений растяжению, сжатию и изгибу - на коэффициент

, указанный в
таблице 11.
Вид фанеры | Расчетные сопротивления, МПа |
растяжению в плоскости листа Rф.р | сжатию в плоскости листа Rф.с | изгибу из плоскости листа Rф.и | скалыванию в плоскости листа Rф.ск | срезу перпендикулярно плоскости листа Rф.ср |
1. Фанера клееная березовая марки ФСФ сортов В/ВВ, В/С, ВВ/С: | | | | | |
а) семислойная толщиной 8 мм и более: | | | | | |
вдоль волокон | 14 | 12 | 16 | 0,8 | 6 |
поперек волокон наружных слоев | 9 | 8,5 | 6,5 | 0,8 | 6 |
под углом 45° к волокнам | 4,5 | 7 | - | 0,8 | 9 |
б) пятислойная толщиной 5 - 7 мм: | | | | | |
вдоль волокон наружных слоев | 14 | 13 | 18 | 0,8 | 5 |
поперек волокон наружных слоев | 6 | 7 | 3 | 0,8 | 6 |
под углом 45° к волокнам | 4 | 6 | - | 0,8 | 9 |
2. Фанера клееная из древесины лиственницы марки ФСФ сортов В/ВВ и ВВ/С семислойная толщиной 8 мм и более: | | | | | |
вдоль волокон наружных слоев | 9 | 17 | 18 | 0,6 | 5 |
поперек волокон наружных слоев | 7,5 | 13 | 11 | 0,5 | 5 |
под углом 45° к волокнам | 3 | 5 | - | 0,7 | 7,5 |
3. Фанера бакелизированная марки ФСБ толщиной 7 мм и более: | | | | | |
вдоль волокон наружных слоев | 32 | 28 | 33 | 1,8 | 11 |
поперек волокон наружных слоев | 24 | 23 | 25 | 1,8 | 12 |
под углом 45° к волокнам | 16,5 | 21 | - | 1,8 | 16 |
Примечания 1. Расчетные сопротивления смятию и сжатию перпендикулярно плоскости листа для березовой фанеры марки ФСФ Rф.с90 = Rф.см90 = 4 МПа и марки ФБС Rф.с90 = Rф.см90 = 8 МПа. 2. Расчетные сопротивления растяжению перпендикулярно к плоскости листа - отрыв шпона, принимается Rф.р90 = 0,1 МПа. |
(примечание в ред. Изменения N 1, утв. Приказом Минстроя России от 03.12.2016 N 884/пр) |
| | | | |
Коэффициент mв | 1 | 0,9 | 0,85 | 0,75 |
Нагрузка | Коэффициент mн |
для всех видов сопротивлений, кроме смятия поперек волокон | для смятия поперек волокон |
1. Ветровая, монтажная, кроме указанной в поз. 3 | 1,2 | 1,4 |
2. Сейсмическая | 1,4 | 1,6 |
Для опор воздушных линий электропередачи |
3. Гололедная, монтажная, ветровая при гололеде, от тяжения проводов при температуре ниже среднегодовой | 1,45 | 1,6 |
4. При обрыве проводов и тросов | 1,9 | 2,2 |
Высота сечения, см | 50 и менее | 60 | 70 | 80 | 100 | 120 и более |
Коэффициент mб | 1 | 0,96 | 0,93 | 0,90 | 0,85 | 0,8 |
Минстроя России от 03.12.2016 N 884/пр)
Толщина слоя, мм | 10 и менее | 19 | 26 | 33 | 42 |
Коэффициент mсл | 1,2 | 1,1 | 1,05 | 1,0 | 0,95 |
Напряженное состояние | Обозначение расчетных сопротивлений | Коэффициент mгн при отношении rк/a |
150 | 200 | 250 | 500 и более |
Сжатие и изгиб | Rс, Rи | 0,8 | 0,9 | 1 | 1 |
Растяжение | Rр | 0,6 | 0,7 | 0,8 | 1 |
Примечание. rк - радиус кривизны гнутой доски или бруска; a - толщина гнутой доски или бруска в радиальном направлении. |
Абзац исключен с 4 июня 2017 года. -
Изменение N 1, утв. Приказом Минстроя России от 03.12.2016 N 884/пр.
л) в зависимости от срока службы - на коэффициент mсс, указанный в таблице 12.
(перечисление "л" введено
Изменением N 1, утв. Приказом Минстроя России от 03.12.2016 N 884/пр)
Минстроя России от 03.12.2016 N 884/пр)
Вид напряженного состояния | Значения коэффициента надежности по сроку службы  при сроке службы сооружения |
<= 50 лет | <= 75 лет | 100 лет и более |
Изгиб, сжатие, смятие вдоль и поперек волокон древесины | 1,0 | 0,9 | 0,8 |
Растяжение и скалывание вдоль волокон древесины | 1,0 | 0,85 | 0,7 |
Растяжение поперек волокон древесины | 1,0 | 0,8 | 0,5 |
Примечание - Значения коэффициента надежности по сроку службы  для промежуточных сроков службы сооружения принимаются по линейной интерполяции. |
5.3. Модуль упругости древесины при расчете по предельным состояниям второй группы следует принимать равным: вдоль волокон Е = 10000 МПа; поперек волокон

. Модуль сдвига древесины относительно осей, направленных вдоль и поперек волокон, следует принимать равным

. Коэффициент Пуассона древесины поперек волокон при напряжениях, направленных вдоль волокон, следует принимать равным

, а вдоль волокон при напряжениях, направленных поперек волокон,

.
(в ред.
Изменения N 1, утв. Приказом Минстроя России от 03.12.2016 N 884/пр)
Упругие характеристики LVL при расчете по предельным состояниям второй группы вдоль волокон следует принимать по таблице 13.
Таблица 13
N п.п. | Упругая характеристика | Обозначение | Значение, МПа, для сортов/ классов прочности LVL |
1/К45 | 2/К40 | 3/К35 |
1 | Модуль упругости вдоль волокон | | 12000 | 11000 | 10000 |
2 | Модуль упругости поперек волокон в плоскости листа вдоль волокон | | 500 | 450 | 400 |
3 | Модуль сдвига в плоскости листа | G | 700 | 600 | 500 |
4 | Коэффициент Пуассона поперек волокон при напряжениях, направленных вдоль волокон | | 0,45 | 0,45 | 0,45 |
5 | Коэффициент Пуассона вдоль волокон при напряжениях, направленных поперек волокон | | 0,018 | 0,018 | 0,018 |
Величины модулей упругости и сдвига строительной фанеры в плоскости листа

и

и коэффициенты Пуассона

при расчете по второй группе предельных состояний следует принимать по таблице 14.
Вид фанеры | Модуль упругости  , МПа | Модуль сдвига  , МПа | Коэффициент Пуассона  |
1. Фанера клееная березовая марки ФСФ сортов В/ВВ, В/С, ВВ/С семислойная и пятислойная: | | | |
вдоль волокон наружных слоев | 9000 | 750 | 0,085 |
поперек волокон наружных слоев | 6000 | 750 | 0,065 |
под углом 45° к волокнам | 2500 | 3000 | 0,6 |
2. Фанера клееная из древесины лиственницы марки ФСФ сортов В/ВВ и ВВ/С семислойная: | | | |
вдоль волокон наружных слоев | 7000 | 800 | 0,07 |
поперек волокон наружных слоев | 5500 | 800 | 0,06 |
под углом 45° к волокнам | 2000 | 2200 | 0,6 |
3. Фанера бакелизированная марки ФБС: | | | |
вдоль волокон наружных слоев | 12000 | 1000 | 0,085 |
поперек волокон наружных слоев | 8500 | 1000 | 0,065 |
под углом 45° к волокнам | 3500 | 4000 | 0,7 |
Примечание. Коэффициент Пуассона  указан для направления перпендикулярно оси, вдоль которой определен модуль упругости  . |
5.4. При расчете по предельным состояниям первой группы по деформированной схеме модули упругости и сдвига следует принимать согласно
5.3 с умножением на коэффициент

, равный 0,75 - для древесины и 0,8 - для LVL.
5.5. Модули упругости древесины, LVL и фанеры для конструкций, находящихся в различных условиях эксплуатации, подвергающихся воздействию повышенной температуры, совместному воздействию постоянной и временной длительной нагрузок, следует определять умножением указанных выше величин E и G на коэффициент
(таблица 7) и коэффициенты

и

, приведенные в
5.2, б и
5.2, в настоящих правил.
5.6. Модуль упругости древесины, LVL и фанеры в расчетах конструкций (кроме опор ЛЭП) на устойчивость следует принимать равным для древесины

(

- расчетное сопротивление сжатию вдоль волокон, принимаемое по
таблице 3), а модуль сдвига относительно осей, направленных вдоль и поперек волокон, -

;
| | Применение на обязательной основе раздела 6 обеспечивает соблюдение требований Федерального закона от 30.12.2009 N 384-ФЗ "Технический регламент о безопасности зданий и сооружений" (Постановление Правительства РФ от 26.12.2014 N 1521). | |
6. Расчет элементов деревянных конструкций
Расчет элементов деревянных конструкций
по предельным состояниям первой группы
Центрально-растянутые и центрально-сжатые элементы
6.1. Расчет центрально-растянутых элементов следует производить по формуле

, (4)
где N - расчетная продольная сила;

- расчетное сопротивление древесины растяжению вдоль волокон;
| | ИС МЕГАНОРМ: примечание. В официальном тексте документа, видимо, допущена опечатка: пункт 5.7 отсутствует. | |

- то же, для древесины из однонаправленного шпона (5.7);

- площадь поперечного сечения элемента нетто.
При определении

ослабления, расположенные на участке длиной до 200 мм, следует принимать совмещенными в одном сечении.
6.2. Расчет центрально-сжатых элементов постоянного цельного сечения следует производить по формулам:
а) на прочность

; (5)
б) на устойчивость

; (6)
Минстроя России от 03.12.2016 N 884/пр)
где

- расчетное сопротивление древесины сжатию вдоль волокон;

- то же, для древесины из однонаправленного шпона;

- коэффициент продольного изгиба, определяемый согласно
6.3;

- площадь нетто поперечного сечения элемента;
Fрасч - расчетная площадь поперечного сечения элемента, принимаемая равной:
при отсутствии ослаблений или ослаблениях в опасных сечениях, не выходящих на кромки
(рисунок 1, а), если площадь ослаблений не превышает

,

, где

- площадь сечения брутто; при ослаблениях, не выходящих на кромки, если площадь ослабления превышает

,

; при симметричных ослаблениях, выходящих на кромки
(рисунок 1, б),

.
(в ред.
Изменения N 1, утв. Приказом Минстроя России от 03.12.2016 N 884/пр)
6.3. Коэффициент продольного изгиба

следует определять по формулам:
при гибкости элемента


; (7)
при гибкости элемента


, (8)
где коэффициент a = 0,8 для древесины и a = 1,0 для фанеры;
коэффициент A = 3000 для древесины и A = 2500 для фанеры и древесины из однонаправленного шпона.
а - не выходящие на кромку; б - выходящие на кромку
Рисунок 1. Ослабление сжатых элементов
6.4. Гибкость элементов цельного сечения определяют по формуле

, (9)
где

- расчетная длина элемента;
r - радиус инерции сечения элемента с максимальными размерами брутто относительно осей X и Y.
6.5 Расчетную длину элемента

следует определять умножением его свободной длины l на коэффициент


(10)
6.6. Составные элементы на податливых соединениях, опертые всем сечением, следует рассчитывать на прочность и устойчивость по
формулам (8) и
(9), при этом

и

определять как суммарные площади всех ветвей. Гибкость составных элементов

следует определять с учетом податливости соединений по формуле

, (11)
где

- гибкость всего элемента относительно оси y
(рисунок 2), вычисленная по расчетной длине элемента

без учета податливости;

- гибкость отдельной ветви относительно оси I-I (см.
рисунок 2), вычисленная по расчетной длине ветви

; при

меньше семи толщин

ветви принимаются с

;

- коэффициент приведения гибкости, определяемый по формуле

, (12)
где b и h - ширина и высота поперечного сечения элемента, см;

- расчетное число швов в элементе, определяемое числом швов, по которым суммируется взаимный сдвиг элементов (на
рисунке 2, а - 4 шва, на
рисунке 2, б - 5 швов);

- расчетная длина элемента, м;

- расчетное число срезов связей в одном шве на 1 м элемента (при нескольких швах с различным числом срезов следует принимать среднее для всех швов число срезов);

- коэффициент податливости соединений, который следует определять по формулам
таблицы 15.
а - с прокладками; б - без прокладок
Рисунок 2. Составные элементы
Вид связей | Коэффициент  при |
центральном сжатии | сжатии с изгибом |
1. Гвозди, шурупы | | |
2. Стальные цилиндрические нагели: | | |
а) диаметром </= 1/7 толщины соединяемых элементов | | |
б) диаметром > 1/7 толщины соединяемых элементов | | |
3. Вклеенные стержни из арматуры А400 - А600 | | |
(в ред. Изменения N 1, утв. Приказом Минстроя России от 03.12.2016 N 884/пр) |
4. Дубовые цилиндрические нагели | | |
5. Дубовые пластинчатые нагели | - | |
6. Клей | 0 | 0 |
Примечание. Диаметры гвоздей, шурупов, нагелей и вклеенных стержней d, толщину элементов a, ширину  и толщину  пластинчатых нагелей следует принимать в см. |
При определении

диаметр гвоздей следует принимать не более 0,1 толщины соединяемых элементов. Если размер защемленных концов гвоздей менее 4d, то срезы в примыкающих к ним швах в расчете не учитывают. Значение

соединений на стальных цилиндрических нагелях следует определять по толщине a более тонкого из соединяемых элементов.
При определении

диаметр дубовых цилиндрических нагелей следует принимать не более 0,25 толщины более тонкого из соединяемых элементов.
Связи в швах следует расставлять равномерно по длине элемента. В шарнирно-опертых прямолинейных элементах допускается в средних четвертях длины ставить связи в половинном количестве, вводя в расчет по
формуле (12) величину

, принятую для крайних четвертей длины элемента.
Гибкость составного элемента, вычисленную по
формуле (11), следует принимать не более гибкости

отдельных ветвей, определяемой по формуле

, (13)
где

- сумма моментов инерции брутто поперечных сечений отдельных ветвей относительно собственных осей, параллельных оси y (см.
рисунок 2);

- площадь сечения брутто элемента;

- расчетная длина элемента.
Гибкость составного элемента относительно оси, проходящей через центры тяжести сечений всех ветвей (ось x на
рисунке 2), следует определять как для цельного элемента, т.е. без учета податливости связей, если ветви нагружены равномерно. В случае неравномерно нагруженных ветвей следует руководствоваться
6.7.
Если ветви составного элемента имеют различное сечение, то расчетную гибкость

ветви в
формуле (11) следует принимать равной

, (14)
6.7. Составные элементы на податливых соединениях, часть ветвей которых не оперта по концам, допускается рассчитывать на прочность и устойчивость по
формулам (5),
(6) при соблюдении следующих условий:
а) площади поперечного сечения элемента

и

следует определять по сечению опертых ветвей;
б) гибкость элемента относительно оси y (см.
рисунок 2) определяется по
формуле (11); при этом момент инерции принимается с учетом всех ветвей, а площадь - только опертых;
в) при определении гибкости относительно оси x (см.
рисунок 2) момент инерции следует определять по формуле

, (15)
где

и

- моменты инерции поперечных сечений соответственно опертых и неопертых ветвей.
6.8. Расчет на устойчивость центрально-сжатых элементов переменного по высоте сечения следует выполнять по формуле

, (16)
где

- площадь поперечного сечения брутто с максимальными размерами;

- коэффициент, учитывающий переменность высоты сечения, определяемый по
таблице Е.1 Приложения Е (для элементов постоянного сечения

);

- коэффициент продольного изгиба, определяемый по
6.3 для гибкости, соответствующей сечению с максимальными размерами.
6.9. Расчет изгибаемых элементов, обеспеченных от потери устойчивости плоской формы деформирования (см.
6.14 и
6.15), на прочность по нормальным напряжениям следует производить по формуле

, (17)
где M - расчетный изгибающий момент;

- расчетное сопротивление изгибу;

- расчетное сопротивление изгибу древесины из однонаправленного шпона;

- расчетный момент сопротивления поперечного сечения элемента; для цельных элементов

.
Для изгибаемых составных элементов на податливых соединениях расчетный момент сопротивления следует принимать равным моменту сопротивления нетто

, умноженному на коэффициент

; значения

для элементов, составленных из одинаковых слоев, приведены в таблице 16. При определении

ослабления сечений, расположенные на участке элемента длиной до 200 мм, принимают совмещенными в одном сечении.
Коэффициент | Число слоев в элементе | Значение коэффициента для расчета изгибаемых составных элементов при пролетах, м |
2 | 4 | 6 | 9 и более |
kw | 2 | 0,7 | 0,85 | 0,9 | 0,9 |
3 | 0,6 | 0,8 | 0,85 | 0,9 |
10 | 0,4 | 0,7 | 0,8 | 0,85 |
kж | 2 | 0,45 | 0,65 | 0,75 | 0,8 |
3 | 0,25 | 0,5 | 0,6 | 0,7 |
10 | 0,07 | 0,2 | 0,3 | 0,4 |
Примечания. 1. Для промежуточных значений величины пролета и числа слоев коэффициенты определяются интерполяцией. 2. Для составных балок на наклонно вклеенных связях при числе слоев не более 4, независимо от пролета, следует принимать kw = 0,95, kж = 0,9. |
6.10. Расчет изгибаемых элементов на прочность по скалыванию следует выполнять по формуле

, (18)
где Q - расчетная поперечная сила;

- статический момент брутто сдвигаемой части поперечного сечения элемента относительно нейтральной оси;

- момент инерции брутто поперечного сечения элемента относительно нейтральной оси;

- расчетная ширина сечения элемента;

- расчетное сопротивление скалыванию при изгибе;

- расчетное сопротивление скалыванию при изгибе древесины из однонаправленного шпона.
6.11. Число срезов связей

, равномерно расставленных в каждом шве составного элемента на участке с однозначной эпюрой поперечных сил, должно удовлетворять условию

, (19)
где T - расчетная несущая способность связи в данном шве;

,

- изгибающие моменты в начальном A и конечном B сечениях рассматриваемого участка.
Примечание. При наличии в шве связей разной несущей способности, но одинаковых по характеру работы (например, нагелей и гвоздей), несущие способности их следует суммировать.
6.12. Расчет элементов цельного сечения на прочность при косом изгибе следует производить по формуле

, (20)
где

и

- составляющие расчетного изгибающего момента для главных осей сечения x и y;

и

- моменты сопротивлений поперечного сечения нетто относительно главных осей сечения x и y.
6.13. Криволинейные (гнутые) участки
(рисунок 3) клееных деревянных конструкций, изгибаемые моментом M, уменьшающим их кривизну, следует рассчитывать по формулам кривых брусьев:
а) по тангенциальным нормальным напряжениям на внутренней и внешней кромках бруса:

; (21)

; (22)
где

,

- соответственно тангенциальные нормальные напряжения на внутренней и внешней кромках бруса;
M - расчетный изгибающий момент;

,

и

- соответственно радиусы кривизны нейтрального слоя, нижней (ближней к центру кривизны) и верхней кромок бруса;
F - площадь поперечного сечения кривого бруса;
y0 = I/(Fr) - смещение нейтрального слоя от геометрической оси криволинейного участка;
(в ред.
Изменения N 1, утв. Приказом Минстроя России от 03.12.2016 N 884/пр)
I - момент инерции поперечного сечения кривого бруса;
(абзац введен
Изменением N 1, утв. Приказом Минстроя России от 03.12.2016 N 884/пр)

- расчетное сопротивление древесины изгибу;
б) по максимальным радиальным нормальным напряжениям

, (23)
где

- расчетное сопротивление клееной древесины растяжению поперек волокон
(поз. 7 таблицы 3).
Рисунок 3. Расчетная схема кривого бруса при чистом изгибе
При невыполнении
условия (23) допускается выполнять усиление постановкой стержней, рассчитанных на восприятие растягивающего усилия, определяемого по формуле

(23а)
где
l2 - длина хорды криволинейного участка, на котором не выполняется
условие (23).
(абзац введен
Изменением N 1, утв. Приказом Минстроя России от 03.12.2016 N 884/пр)
6.14. Расчет на устойчивость плоской формы деформирования изгибаемых элементов прямоугольного постоянного сечения следует производить по формуле

, (24)
где M - максимальный изгибающий момент на рассматриваемом участке

;

- максимальный момент сопротивления брутто на рассматриваемом участке

.
Коэффициент

для изгибаемых элементов прямоугольного постоянного поперечного сечения, шарнирно закрепленных от смещения из плоскости изгиба и закрепленных от поворота вокруг продольной оси в опорных сечениях, следует определять по формуле

, (25)
где

- расстояние между опорными сечениями элемента, а при закреплении сжатой кромки элемента в промежуточных точках от смещения из плоскости изгиба - расстояние между этими точками;
b - ширина поперечного сечения;
h - максимальная высота поперечного сечения на участке

;

- коэффициент, зависящий от формы эпюры изгибающих моментов на участке

, определяемый по
таблице Е.2 Приложения Е настоящих норм.
При расчете изгибаемых элементов с линейно меняющейся по длине высотой и постоянной шириной поперечного сечения, не имеющих закреплений из плоскости по растянутой от момента M кромке, или при m < 4 коэффициент

по
формуле (25) следует умножать на дополнительный коэффициент

. Значения

приведены в
таблице Е.2 Приложения Е. При

.
При подкреплении из плоскости изгиба в промежуточных точках растянутой кромки элемента на участке

коэффициент

, определенный по
формуле (25), следует умножать на коэффициент


, (26)
где

- центральный угол в радианах, определяющий участок

элемента кругового очертания (для прямолинейных элементов

);
m - число подкрепленных (с одинаковым шагом) точек растянутой кромки на участке

(при m >/= 4 величину

следует принимать равной 1).
6.15. Проверку устойчивости плоской формы деформирования изгибаемых элементов постоянного двутаврового или коробчатого поперечного сечений следует производить в тех случаях, когда

, (27)
где b - ширина сжатого пояса поперечного сечения.
Расчет следует производить по формуле

, (28)
где

- коэффициент продольного изгиба из плоскости изгиба сжатого пояса элемента, определяемый по
6.3;

- расчетное сопротивление сжатию;

- расчетное сопротивление сжатию древесины из однонаправленного шпона LVL;

- момент сопротивления брутто поперечного сечения; в случае фанерных стенок - приведенный момент сопротивления в плоскости изгиба элемента.
Элементы, подверженные действию осевой силы с изгибом
6.16. Расчет внецентренно-растянутых и растянуто-изгибаемых элементов по нормальным напряжениям следует производить по формуле

(29)
где Mд - изгибающий момент от действия поперечных и продольных нагрузок, определяемый из расчета по деформированной схеме;
Wрасч - расчетный момент сопротивления поперечного сечения (см.
6.9);
Fрасч - площадь расчетного сечения нетто.
(в ред.
Изменения N 1, утв. Приказом Минстроя России от 03.12.2016 N 884/пр)
Для древесины из однонаправленного шпона в
формуле (24) следует использовать соответствующие значения расчетных сопротивлений.
6.17. Расчет на прочность по нормальным напряжениям внецентренно-сжатых и сжато-изгибаемых элементов следует производить по формуле
(в ред.
Изменения N 1, утв. Приказом Минстроя России от 03.12.2016 N 884/пр)

, (30)
где

- изгибающий момент от действия поперечных и продольных нагрузок, определяемый из расчета по деформированной схеме.
Примечания. 1. Для шарнирно-опертых элементов при симметричных эпюрах изгибающих моментов синусоидального, параболического, полигонального и близких к ним очертаний, а также для консольных элементов

допускается определять по формуле

, (31)
где

- коэффициент, изменяющийся от 1 до 0, учитывающий дополнительный момент от продольной силы вследствие прогиба элемента, определяемый по формуле

, (32)
для древесины из однонаправленного шпона

,
M - изгибающий момент в расчетном сечении без учета дополнительного момента от продольной силы;
2. В случаях, когда в шарнирно-опертых элементах эпюры изгибающих моментов имеют треугольное или прямоугольное очертание, коэффициент по
формуле (30) следует умножать на поправочный коэффициент

.

, (33)
где

- коэффициент, который следует принимать равным 1,22 при эпюрах изгибающих моментов треугольного очертания (от сосредоточенной силы) и 0,81 - при эпюрах прямоугольного очертания (от постоянного изгибающего момента).
3. При несимметричном загружении шарнирно-опертых элементов величину изгибающего момента

следует определять по формуле

, (34)
где

и

- изгибающие моменты в расчетном сечении элемента от симметричной и кососимметричной составляющих нагрузки;

и

- коэффициенты, определяемые по
формуле (27) при величине гибкости, соответствующей симметричной и кососимметричной формам продольного изгиба.
4. Для элементов, переменных по высоте сечения, площадь

в
формуле (27) следует принимать для максимального по высоте сечения, а коэффициент

следует умножать на коэффициент

, принимаемый по
таблице Е.1 Приложения Е.
5. При отношении напряжений от изгиба к напряжениям от сжатия менее 0,1, сжато-изгибаемые элементы следует проверять также на устойчивость по
формуле (6) без учета изгибающего момента.
6.18. Расчет внецентренно-сжатых и сжато-изгибаемых элементов на прочность по скалыванию следует выполнять по формуле

, (35)
где

;
Q - расчетная поперечная сила;
N - расчетная продольная сила;

- статический момент брутто сдвигаемой части поперечного сечения элемента относительно нейтральной оси;

- момент инерции брутто поперечного сечения элемента относительно нейтральной оси;

и

- расчетные ширина и высота сечения элемента;
e - эксцентриситет передачи усилия N;

- расчетное сопротивление скалыванию при изгибе;

- расчетное сопротивление скалыванию при изгибе древесины из однонаправленного шпона.
6.19. Криволинейные (гнутые) участки сжато-изгибаемых клееных деревянных конструкций следует рассчитывать по формулам кривых брусьев (см.
6.13):
а) на сжатой кромке

(36)
Минстроя России от 03.12.2016 N 884/пр)
б) на растянутой кромке

. (37)
Минстроя России от 03.12.2016 N 884/пр)
6.20. Расчет на устойчивость плоской формы деформирования сжато-изгибаемых элементов следует производить по формуле

, (38)
где

- площадь брутто с максимальными размерами сечения элемента на участке

;
n = 2 - для элементов без закрепления растянутой зоны из плоскости деформирования и n = 1 для элементов, имеющих такие закрепления;

- коэффициент продольного изгиба, определяемый по
формуле (8) для гибкости участка элемента с расчетной длиной

из плоскости деформирования;
| | ИС МЕГАНОРМ: примечание. В официальном тексте документа, видимо, допущена опечатка: пункт 5.7 отсутствует. | |
Для древесины из однонаправленного шпона следует принимать соответствующие значения расчетных сопротивлений по 5.7.
При наличии в элементе на участке

закреплений из плоскости деформирования со стороны растянутой от момента M кромки, коэффициент

следует умножать на коэффициент

, определяемый по
формуле (24), а коэффициент

- на коэффициент

по формуле

, (39)
где

,

, h, m - см.
6.14.
При расчете элементов переменного по высоте сечения, не имеющих закреплений из плоскости по растянутой от момента M кромке, или при m < 4 коэффициенты

и

, определяемые по
формулам (8) и
(25), следует дополнительно умножать, соответственно, на коэффициенты

и

, приведенные в
таблицах Е.1 и
Е.2 Приложения Е.
При

.
6.21. В составных сжато-изгибаемых элементах следует проверять устойчивость наиболее напряженной ветви, если расчетная длина ее превышает семикратную толщину ветви, по формуле

, (40)
где

- коэффициент продольного изгиба для отдельной ветви, вычисленный по ее расчетной длине

(см.
6.6);

,

- площадь и момент сопротивления брутто поперечного сечения элемента.
Устойчивость сжато-изгибаемого составного элемента из плоскости изгиба следует проверять по
формуле (6) без учета изгибающего момента.
6.22. Число срезов связей

, равномерно расставленных в каждом шве сжато-изгибаемого составного элемента на участке с однозначной эпюрой поперечных сил, при приложении сжимающей силы по всему сечению, должно удовлетворять условию

, (41)
где

- статический момент брутто сдвигаемой части поперечного сечения относительно нейтральной оси;

- момент инерции брутто поперечного сечения элемента;
T - расчетная несущая способность одной связи в данном шве;

- изгибающий момент, определяемый по
6.17.
Расчетные длины и предельные гибкости
элементов деревянных конструкций
6.23. Для определения расчетной длины прямолинейных элементов, загруженных продольными силами по концам, коэффициент

следует принимать равным:
при шарнирно-закрепленных концах, а также при шарнирном закреплении в промежуточных точках элемента - 1;
при одном шарнирно-закрепленном и другом защемленном конце - 0,8;
при одном защемленном и другом свободном нагруженном конце - 2,2;
при обоих защемленных концах - 0,65.
В случае равномерно распределенной по длине элемента продольной нагрузки, коэффициент

следует принимать равным:
при обоих шарнирно-закрепленных концах - 0,73;
при одном защемленном и другом свободном конце - 1,2.
Расчетную длину пересекающихся элементов, соединенных между собой в месте пересечения, следует принимать равной:
при проверке устойчивости в плоскости конструкций - расстоянию от центра узла до точки пересечения элементов;
при проверке устойчивости из плоскости конструкции:
а) в случае пересечения двух сжатых элементов - полной длине элемента;
б) в случае пересечения сжатого элемента с неработающим - величине

, умноженной на коэффициент


, (42)
где

,

,

- полная длина, гибкость и площадь поперечного сечения сжатого элемента;

,

,

- длина, гибкость и площадь поперечного сечения неработающего элемента.
Величину

следует принимать не менее 0,5;
в) в случае пересечения сжатого элемента с элементом, растянутым равной по величине силой, - наибольшей длине сжатого элемента, измеряемой от центра узла до точки пересечения элементов.
Если пересекающиеся элементы имеют составное сечение, то в
формулу (42) следует подставлять соответствующие значения гибкости, определяемые по
формуле (11).
6.24. Гибкость элементов и их отдельных ветвей в деревянных конструкциях не должна превышать значений, указанных в таблице 17.
Таблица 17
Наименование элементов конструкций | Предельная гибкость  |
1. Сжатые пояса, опорные раскосы и опорные стойки ферм, колонны | 120 |
2. Прочие сжатые элементы ферм и других сквозных конструкций | 150 |
3. Сжатые элементы связей | 200 |
4. Растянутые пояса ферм в вертикальной плоскости | 150 |
5. Прочие растянутые элементы ферм и других сквозных конструкций | 200 |
Для опор воздушных линий электропередачи | |
6. Основные элементы (стойки, приставки, опорные раскосы) | 150 |
7. Прочие элементы | 175 |
8. Связи | 200 |
Примечание. Для сжатых элементов переменного сечения величина предельной гибкости  умножается на  , где коэффициент  принимается по таблице Е.1 Приложения Е. |
Особенности расчета клееных элементов
из фанеры с древесиной
6.25. Расчет клееных элементов из фанеры с древесиной следует выполнять по методу приведенного поперечного сечения.
6.26. Прочность растянутой фанерной обшивки плит
(рисунок 4) и панелей следует проверять по формуле

, (43)
где M - расчетный изгибающий момент;

- расчетное сопротивление фанеры растяжению;

- коэффициент, учитывающий снижение расчетного сопротивления в стыках фанерной обшивки, принимаемый равным при усовом соединении или с двусторонними накладками:

для фанеры обычной и

для фанеры бакелизированной; при отсутствии стыков

;

- момент сопротивления поперечного сечения, приведенного к фанере, который следует определять в соответствии с указаниями
6.25.
1 - продольные ребра; 2 - обшивка
Рисунок 4. Поперечное сечение клееных плит
из фанеры и древесины
6.27. Приведенный момент сопротивления поперечного сечения клееных элементов из фанеры с древесиной следует определять по формуле

,
где

- расстояние от центра тяжести приведенного сечения до нижней грани обшивки;

- момент инерции сечения, приведенного к фанере

, (45)
где

- момент инерции поперечного сечения фанерных обшивок;
I - момент инерции поперечного сечения деревянных ребер каркаса;

- отношение модулей упругости древесины и фанеры.
При определении приведенных моментов инерции и приведенных моментов сопротивления расчетную ширину фанерных обшивок следует принимать равной

при

и

при

(b - полная ширина сечения плиты, l - пролет плиты, a - расстояние между продольными ребрами по осям).
6.28. Устойчивость сжатой обшивки плит и панелей следует проверять по формуле

, (46)
где

при

;

при

(a - расстояние между ребрами в свету;

- толщина фанеры).
Верхнюю обшивку плит дополнительно следует проверять на местный изгиб от сосредоточенного груза P = 1 кН (с коэффициентом перегрузки n = 1,2) как заделанную в местах приклеивания к ребрам пластинку.
6.29. Проверку на скалывание ребер каркаса плит и панелей или обшивки по шву в месте примыкания ее к ребрам следует производить по формуле

, (47)
где Q - расчетная поперечная сила;

- статический момент сдвигаемой части приведенного сечения относительно нейтральной оси;

- расчетное сопротивление скалыванию древесины вдоль волокон или фанеры вдоль волокон наружных слоев;

- расчетная ширина сечения, которую следует принимать равной суммарной ширине ребер каркаса.
6.30. Расчет на прочность поясов изгибаемых элементов двутаврового и коробчатого сечений с фанерными стенками
(рисунок 5) следует производить по
формуле (17), принимая

, при этом напряжения в растянутом поясе не должны превышать

, а в сжатом -

(

- коэффициент продольного изгиба из плоскости изгиба).
а - двутаврового сечения; б - коробчатого сечения
Рисунок 5. Поперечные сечения клееных балок
с плоской фанерной стенкой
6.31. При проверке стенки на срез по нейтральной оси в
формуле (47) значение

принимается равным

, а расчетная ширина

равна

, (48)
где

- суммарная толщина стенок.
При проверке скалывания по швам между поясами и стенкой в
формуле (47) 
, а расчетную ширину сечения следует принимать равной

, (49)
где

- высота поясов;
n - число вертикальных швов.
6.32. Прочность стенки в опасном сечении на действие главных растягивающих напряжений в изгибаемых элементах двутаврового и коробчатого сечений следует проверять по формуле

, (50)
где

- расчетное сопротивление фанеры растяжению под углом

, определяемое по графику
рисунка Ж.1 Приложения Ж;

- нормальное напряжение в стенке от изгиба на уровне внутренней кромки поясов;

- касательные напряжения в стенке на уровне внутренней кромки поясов;

- угол, определяемый из зависимости

. (51)
Устойчивость стенки с продольным по отношению к оси элемента расположением волокон наружных слоев следует проверять на действие касательных и нормальных напряжений при условии

, (52)
где

- высота стенки между внутренними гранями полок;

- толщина стенки.
Расчет следует производить по формуле

, (53)
где

и

- коэффициенты, определяемые по графикам
рисунков Ж.2 и
Ж.3 Приложения Ж;

- расчетная высота стенки, которую следует принимать равной

при расстоянии между ребрами

и равной a при

.
При поперечном по отношению к оси элемента расположении наружных волокон фанерной стенки проверку устойчивости следует производить по формуле (53) на действие только касательных напряжений в тех случаях, когда

. (54)
Расчет элементов деревянных конструкций
по предельным состояниям второй группы
6.33. Деформации деревянных конструкций или их отдельных элементов следует определять с учетом сдвига и податливости соединений. Величину деформаций податливого соединения при полном использовании его несущей способности следует принимать по таблице 18, а при неполном - пропорциональной действующему на соединение усилию.
Таблица 18
Вид соединения | Деформация соединения, мм |
На лобовых врубках и торец в торец | 1,5 |
В примыканиях поперек волокон | 3 |
На нагелях всех видов | 2 |
На МЗП | 1,5 |
На стержнях, вклеенных перпендикулярно плоскости сплачивания | 1,5 |
На наклонно вклеенных стержнях | 0,5 |
В клеевых соединениях | 0 |
Величину деформаций податливого соединения следует делить на коэффициенты условия работы

,

,

и умножать на

коэффициент надежности, учитывающий срок службы сооружения
(таблица 12).
6.34. Прогибы и перемещения элементов конструкций не должны превышать предельных, установленных таблицей 19.
Элементы конструкций | Предельные прогибы в долях пролета, не более |
1. Балки междуэтажных перекрытий | 1/250 |
2. Балки чердачных перекрытий | 1/200 |
3. Покрытия (кроме ендов): | |
а) прогоны, стропильные ноги | 1/200 |
б) балки консольные | 1/150 |
в) фермы, клееные балки (кроме консольных) | 1/300 |
г) плиты | 1/250 |
д) обрешетки, настилы | 1/150 |
4. Несущие элементы ендов | 1/400 |
5. Панели и элементы фахверка | 1/250 |
Примечания. 1. При наличии штукатурки прогиб элементов перекрытий только от длительной временной нагрузки не должен превышать 1/350 пролета. 2. При наличии строительного подъема предельный прогиб клееных балок допускается увеличивать до 1/200 пролета. |
6.35. Прогиб изгибаемых элементов следует определять по моменту инерции поперечного сечения брутто. Для составных сечений момент инерции умножается на коэффициент

, учитывающий сдвиг податливых соединений и приведенный в
таблице Е.2 Приложения Е.
Наибольший прогиб шарнирно-опертых и консольных изгибаемых элементов постоянного и переменного сечений f следует определять по формуле

, (55)
где

- прогиб балки постоянного сечения высотой h без учета деформаций сдвига;
h - наибольшая высота сечения;
l - пролет балки;
k - коэффициент, учитывающий влияние переменности высоты сечения, принимаемый равным 1 для балок постоянного сечения;
c - коэффициент, учитывающий влияние деформаций сдвига от поперечной силы.
Значения коэффициентов k и c для основных расчетных схем балок приведены в
таблице Е.3 Приложения Е.
6.36. Прогиб клееных элементов из фанеры с древесиной следует определять, принимая жесткость сечения равной

. Расчетная ширина обшивок плит и панелей при определении прогиба принимается в соответствии с указаниями
6.27.
Прогиб сжато-изгибаемых шарнирно-опертых симметрично нагруженных элементов и консольных элементов следует определять по формуле

, (56)
| | Применение на обязательной основе раздела 7 обеспечивает соблюдение требований Федерального закона от 30.12.2009 N 384-ФЗ "Технический регламент о безопасности зданий и сооружений" (Постановление Правительства РФ от 26.12.2014 N 1521). | |
7. Расчет соединений элементов деревянных конструкций
7.1. Действующее на соединение (связь) усилие не должно превышать расчетной несущей способности соединения (связи) T.
7.2. Расчетную несущую способность соединений, работающих на смятие и скалывание, следует определять по формулам:
а) из условия смятия древесины

; (57)
б) из условия скалывания древесины

, (58)
где

- расчетная площадь смятия;

- расчетная площадь скалывания;

- расчетное сопротивление древесины или LVL смятию под углом

к направлению волокон;

- расчетное среднее по площадке скалывания сопротивление древесины или LVL скалыванию вдоль волокон, определяемое в 7.3.
7.3. Среднее по площадке скалывания расчетное сопротивление древесины или LVL скалыванию следует определять по формуле

, (59)
где

- расчетное сопротивление скалыванию вдоль волокон (при расчете по максимальному напряжению);

- расчетная длина плоскости скалывания, принимаемая не более 10-кратной глубины врезки в элемент;
e - плечо сил скалывания, принимаемое равным 0,5h при расчете элементов с несимметричной врезкой в соединениях без зазора между элементами
(рисунок 6, а) и 0,25h при расчете симметрично загруженных элементов с симметричной врезкой
(рисунок 6, б) (h - полная высота поперечного сечения элемента);
| | ИС МЕГАНОРМ: примечание. В официальном тексте документа, видимо, допущена опечатка: рисунки 5, г и 5, в отсутствуют. Возможно, имеются в виду рисунки 6, в и 6, г соответственно. | |

- коэффициент, принимаемый равным 0,25 при расчете соединений, работающих по схеме, показанной на
рисунке 5, г и

при расчете соединений, работающих по схеме согласно
рисунку 5, в, если обеспечено обжатие по плоскостям скалывания.
Отношение

должно быть не менее 3.
а - несимметричная; б - симметричная;
в, г - схемы скалывания в соединениях
Рисунок 6. Врезки в элементах соединений
7.4. При расчете конструкций клеевые соединения следует рассматривать как неподатливые соединения.
7.5. Клеевые соединения следует использовать:
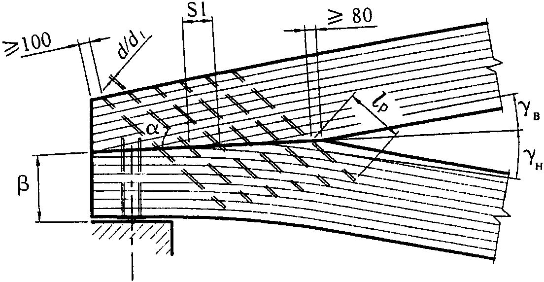
а) для стыкования отдельных слоев на зубчатом соединении (рисунок 7, а);
б) для образования сплошного сечения (пакетов) путем сплачивания слоев по высоте и ширине сечения. При этом по ширине пакета швы склеиваемых кромок в соседних слоях следует сдвигать не менее чем на толщину слоя

по отношению друг к другу (рисунок 7, б). По длине пакета зубчатые шипы в соседних слоях следует сдвигать не менее чем на 5-кратную толщину слоя. При этом в одном сечении пакета не должно совпадать более 25% слоев с зубчатыми шипами, кроме крайних слоев растянутой зоны изгибаемых элементов, где допускается совпадение не более двух слоев.
а - при стыковании отдельных слоев по длине зубчатым шипом,
выходящим на пласть; б - при образовании пакетов
и сплачивании по пласти и кромке
Рисунок 7. Клеевые соединения
7.6. Применение усового соединения допускается для фанеры вдоль волокон наружных слоев. Длину усового соединения следует принимать не менее 10-кратной толщины стыкуемых элементов.
7.7. Толщину склеиваемых слоев в элементах, как правило, следует принимать не более 33 мм. В прямолинейных элементах допускается толщина слоев до 42 мм при условии устройства в них продольных компенсационных прорезей.
7.8. В клееных элементах из фанеры с древесиной не следует применять деревянные элементы без компенсационных прорезей шириной более 100 мм при склеивании их с фанерой и более 150 мм - в примыканиях элементов под углом от 30 до 45°.
(в ред.
Изменения N 1, утв. Приказом Минстроя России от 03.12.2016 N 884/пр)
Примечание. Соединения на вклеенных стержнях рассмотрены в
7.30 -
7.45.
7.9. Узловые соединения элементов из брусьев и круглого леса на лобовых врубках следует выполнять с одним зубом (рисунок 8).
Рисунок 8. Лобовая врубка с одним зубом
Рабочая плоскость смятия во врубках при соединении элементов, не испытывающих поперечного изгиба, должна располагаться перпендикулярно оси примыкающего сжатого элемента. Если примыкающий элемент, помимо сжатия, испытывает поперечный изгиб, рабочую плоскость смятия во врубках следует располагать перпендикулярно равнодействующей осевой и поперечной сил.
Элементы, соединяемые на лобовых врубках, должны быть стянуты болтами.
7.10. Лобовые врубки следует рассчитывать на скалывание, согласно указаниям
7.2 и
7.3, принимая расчетное сопротивление скалыванию по
поз. 5 таблицы 3.
7.11. Длину плоскости скалывания лобовых врубок следует принимать не менее 1,5h, где h - полная высота сечения скалываемого элемента.
Глубину врубки следует принимать не более

в промежуточных узлах сквозных конструкций и не более

в остальных случаях, при этом глубина врубок

в брусьях должна быть не менее 2 см, а в круглых лесоматериалах - не менее 3 см.
7.12. Расчет на смятие лобовых врубок с одним зубом следует производить по плоскости смятия (см.
рисунок 8). Угол смятия древесины

следует принимать равным углу между направлениями сминающего усилия и волокон сминаемого элемента.
Соединения на цилиндрических нагелях
7.13. Цилиндрическими нагелями называются болты, шпильки, нагели, гвозди, шурупы, глухари, саморезы и т.п. в соединениях, работающих на сдвиг. Общие технические требования изложены в нормативных документах на соединения нагельного типа для деревянных конструкций.
(в ред.
Изменения N 1, утв. Приказом Минстроя России от 03.12.2016 N 884/пр)
Расчетную несущую способность цилиндрического нагеля на один шов сплачивания в соединениях элементов из сосны и ели, в том числе клееных, и древесины из однонаправленного шпона
(рисунок 9) при направлении усилий, передаваемых нагелями вдоль волокон, гвоздями под любым углом и стальными нагелями, установленными в торец клееных деревянных элементов, следует определять по
таблице 20. В необходимых случаях расчетную несущую способность цилиндрического нагеля, определенную по
таблице 20, следует устанавливать с учетом указаний
7.15.
а) - симметричные; б) - несимметричные
Рисунок 9 - Виды соединений по конструктивному сочетанию
нагелей и соединяемых деревянных элементов
Минстроя России от 03.12.2016 N 884/пр)
Схемы соединений | Напряженное состояние соединения | Расчетная несущая способность T на один шов сплачивания (условный срез), кН |
гвоздя, стального, алюминиевого, стеклопластикового нагеля | дубового нагеля |
| а) смятие в средних элементах | 0,5cd | 0,3cd |
б) смятие в крайних элементах | 0,8ad | 0,5ad |
| а) смятие во всех элементах равной толщины, а также в более толстых элементах односрезных соединений | 0,35cd | 0,2cd |
б) смятие в более толстых средних элементах двухсрезных соединений при a <= 0,5c | 0,25cd | 0,14cd |
в) смятие в более тонких крайних элементах при a <= 0,35c | 0,8ad | 0,5ad |
г) смятие в более тонких элементах односрезных соединений и в крайних элементах при c > a > 0,35c | kнad | kнad |
3. Симметричные и несимметричные соединения | а) изгиб гвоздя | 2,5d2 + 0,01a2, но не более 4d2 | - |
б) изгиб нагеля из стали А240 | 1,8d2 + 0,02a2, но не более 2,5d2 | - |
в) изгиб нагеля из алюминиевого сплава Д16-Т | 1,6d2 + 0,02a2, но не более 2,2d2 | - |
г) изгиб нагеля из стеклопластика АГ-4С | 1,45d2 + 0,02a2, но не более 1,8d2 | - |
д) изгиб нагеля из древесно-слоистого пластика ДСПБ | 0,8d2 + 0,02a2, но не более d2 | - |
е) изгиб дубового нагеля | - | 0,45d2 + 0,02a2, но не более 0,65d2 |
4. Соединения на нагелях в торец с металлической накладкой ( рисунок 10, в, г) | изгиб нагеля из стали С235 и арматуры А240 | 160d2 | - |
Примечания. 1. В таблице: c - толщина средних элементов, а также равных по толщине или более толстых элементов односрезных соединений, a - толщина крайних элементов, а также более тонких элементов односрезных соединений; d - диаметр нагеля; все размеры в см. 2. Расчетную несущую способность нагеля в двухсрезных несимметричных соединениях при неодинаковой толщине элементов следует определять с учетом следующего: а) расчетную несущую способность нагеля из условия смятия в среднем элементе толщиной c при промежуточных значениях a между c и 0,5c следует определять интерполяцией между значениями по поз. 2 а и 2 б таблицы; б) при толщине крайних элементов a > c расчетную несущую способность нагеля следует определять из условия смятия в крайних элементах по поз. 2 а таблицы с заменой c на a; в) при определении расчетной несущей способности из условий изгиба нагеля толщину крайнего элемента a в поз. 3 таблицы следует принимать не более 0,6c. 3. Значения коэффициента k н для определения расчетной несущей способности при смятии в более тонких элементах односрезных соединений при c >= a >= 0,35c приведены в таблице 22. 4. Расчетную несущую способность нагеля в рассматриваемом шве следует принимать равной меньшему из всех значений, полученных по формулам таблиц. |
| | ИС МЕГАНОРМ: примечание. В официальном тексте документа, видимо, допущена опечатка: пункты 5.18 и 5.22 отсутствуют | |
|
5. Расчет нагельных соединений на скалывание производить не следует, если выполняются условия расстановки нагелей в соответствии с 5.18 и 5.22. 6. Диаметр нагеля d следует назначать из условия наиболее полного использования его несущей способности по изгибу. 7. Число нагелей n н в соединении следует определять по формуле  , (60) где N - расчетное усилие; T - наименьшая расчетная несущая способность, найденная по формулам таблицы 21; nш - число расчетных швов одного нагеля. |
(в ред. Изменения N 1, утв. Приказом Минстроя России от 03.12.2016 N 884/пр) |
8. В соединениях число нагелей должно быть не менее 2. Исключение могут составлять нагели, устанавливаемые конструктивно (например, на период сборки и монтажа). |
Угол, град | Коэффициент  |
для стальных, алюминиевых и стеклопластиковых нагелей диаметром, мм | для дубовых нагелей |
12 | 16 | 20 | 24 |
30 | 0,95 | 0,9 | 0,9 | 0,9 | 1 |
60 | 0,75 | 0,7 | 0,65 | 0,6 | 0,8 |
90 | 0,7 | 0,65 | 0,55 | 0,5 | 0,7 |
Примечания. 1. Значение  для промежуточных углов определяется интерполяцией. 2. При расчете односрезных соединений для более толстых элементов, работающих на смятие под углом, значение  следует умножать на дополнительный коэффициент 0,9 при c/a < 1,5 и на 0,75 при c/a > 1,5. |
Вид нагеля | Значения коэффициента kн для односрезных соединений при a/c |
0,35 | 0,5 | 0,6 | 0,7 | 0,8 | 0,9 | 1 |
Гвоздь, стальной, алюминиевый и стеклопластиковый нагель | 0,8 | 0,58 | 0,48 | 0,43 | 0,39 | 0,37 | 0,35 |
Дубовый нагель | 0,5 | 0,5 | 0,44 | 0,38 | 0,32 | 0,26 | 0,2 |
7.14. Расчетную несущую способность цилиндрических нагелей, кроме нагелей в торец, при направлении передаваемого нагелем усилия под углом к волокнам следует определять согласно
7.13 с умножением:
а) на коэффициент
(таблица 21) при расчете на смятие древесины в нагельном гнезде;
б) на величину

при расчете нагеля на изгиб; угол

следует принимать равным большему из углов смятия нагелем элементов, прилегающих к рассматриваемому шву.
7.15. Расчетную несущую способность нагелей в соединениях элементов конструкций из древесины других пород, в различных условиях эксплуатации, в условиях повышенной температуры, при действии только постоянных и длительных временных нагрузок следует определять согласно
7.13 и
7.14 с учетом
5.4:
а) при расчете нагельного соединения из условия смятия древесины в нагельном гнезде умножением на коэффициенты

,

,

,

,

и делением на

;
б) при расчете нагельного соединения из условия изгиба нагеля умножением или делением на корни квадратные из этих коэффициентов.
7.16. Нагельное соединение со стальными накладками
(рисунок 10) и прокладками
(рисунок 10а) на болтах или глухих цилиндрических нагелях допускается применять в тех случаях, когда обеспечена необходимая плотность постановки нагелей.
(в ред.
Изменения N 1, утв. Приказом Минстроя России от 03.12.2016 N 884/пр)
Глухие стальные цилиндрические нагели должны иметь заглубление в древесину не менее 5 диаметров нагеля и не менее 12,5 диаметров нагеля при установке в торец. В последнем случае диаметр отверстия должен быть на 0,5 мм меньше диаметра нагеля.
Нагельные соединения со стальными накладками и прокладками следует рассчитывать согласно указаниям
7.13 -
7.15, причем в расчете из условия изгиба
(поз. 3 таблицы 20) следует принимать наибольшее значение несущей способности нагеля.
Стальные накладки и прокладки следует проверять на растяжение по ослабленному сечению и на смятие под нагелем в соответствии с указаниями
СП 16.13330.
7.17. Несущую способность соединения на цилиндрических нагелях из одного материала, но разных диаметров следует определять как сумму несущих способностей всех нагелей, за исключением растянутых стыков, для которых вводится снижающий коэффициент 0,9.
7.18. Расстояние между осями цилиндрических нагелей вдоль волокон древесины

, поперек волокон

и от кромки элемента
(рисунок 10) следует принимать не менее:
для стальных нагелей

;

;

;
для алюминиевых и стеклопластиковых нагелей

;

;

;
для дубовых нагелей

;

;

.
При толщине пакета b меньше 10d (см.
рисунок 10) и для клееных элементов, включая LVL, с расположением нагелей перпендикулярно клеевым швам следует принимать:
для стальных, алюминиевых и стеклопластиковых нагелей

;

;

;
для дубовых нагелей

;

.
а) - на болтах и шпильках; б) - на глухих
цилиндрических нагелях; в) - на глухих цилиндрических
нагелях, установленных в торец клееного элемента
Рисунок 10 - Нагельные соединения с накладками
Минстроя России от 03.12.2016 N 884/пр)
а) - на нагелях; б) - на нагелях и шпильках
Рисунок 10а - Нагельные соединения с прокладками
Минстроя России от 03.12.2016 N 884/пр)
Для стальных нагелей, установленных в торец, расстановку принимать по рисункам 11, в - для нагелей, установленных в торец без армирования, и 11, г - для нагелей с усилением армированием.
(в ред.
Изменения N 1, утв. Приказом Минстроя России от 03.12.2016 N 884/пр)
а - прямая; б - в шахматном порядке;
в - установленных в торец без армирования;
г - то же, с усилением армированием
Рисунок 11. Расстановка нагелей
7.19. Нагели в растянутых стыках следует располагать в два или четыре продольных ряда; в конструкциях из круглых лесоматериалов допускается шахматное расположение нагелей в два ряда с расстоянием между осями нагелей вдоль волокон

, а поперек волокон -

.
7.20. При определении расчетной длины защемления конца гвоздя не следует учитывать заостренную часть гвоздя длиной 1,5d; кроме того, из длины гвоздя следует вычитать по 2 мм на каждый шов между соединяемыми элементами.
Если расчетная длина защемления конца гвоздя получается меньше 4d, его работу в примыкающем к нему шве учитывать не следует.
При свободном выходе гвоздя из пакета расчетную толщину последнего элемента следует уменьшать на 1,5d (рисунок 12).
Диаметр гвоздей следует принимать не более 0,25 толщины пробиваемых элементов.
Рисунок 12. Определение расчетной длины
защемления конца гвоздя
7.21. Расстояние между осями гвоздей вдоль волокон древесины следует принимать не менее:

при толщине пробиваемого элемента c >/= 10d;

при толщине пробиваемого элемента c = 4d.
Для промежуточных значений толщины c наименьшее расстояние следует определять по интерполяции.
Для элементов, не пробиваемых гвоздями насквозь, независимо от их толщины, расстояние между осями гвоздей следует принимать равным

.
Расстояние вдоль волокон древесины от гвоздя до торца элемента во всех случаях следует принимать не менее

.
Расстояние между осями гвоздей поперек волокон древесины при прямой расстановке гвоздей следует принимать не менее

; при шахматной расстановке или расстановке их косыми рядами под углом

(рисунок 13) расстояние может быть уменьшено до 3d.
Рисунок 13. Расстановка гвоздей косыми рядами
7.22. При использовании шурупов, саморезов и глухарей в качестве нагелей, работающих на сдвиг, расстояния между их осями следует принимать по указаниям 7.18 как для стальных цилиндрических нагелей.
7.23. Несущую способность шурупов и глухарей, при расстоянии от плоскости сплачивания до конца ненарезанной части более чем два диаметра, следует определять по правилам для стальных цилиндрических нагелей. В других случаях расчет на сдвиг следует вести по внутреннему диаметру ослабленного резьбой сечения.
Соединения на гвоздях и шурупах, работающих на выдергивание
7.24. Сопротивление гвоздей выдергиванию допускается учитывать во второстепенных элементах (настилы, подшивка потолков и т.д.) или в конструкциях, где выдергивание гвоздей сопровождается одновременной работой их как нагелей.
Не допускается учитывать работу на выдергивание гвоздей, забитых в заранее просверленные отверстия, забитых в торец (вдоль волокон), а также при динамических воздействиях на конструкцию.
7.25. Расчетную несущую способность на выдергивание одного гвоздя, МН, забитого в древесину, в том числе в древесину из однонаправленного шпона, поперек волокон, следует определять по формуле

, (61)
где

- расчетное сопротивление выдергиванию на единицу поверхности соприкасания гвоздя с древесиной, которое следует принимать для воздушно-сухой древесины, равным 0,3 МПа, а для сырой, высыхающей в конструкции, - 0,1 МПа;
d - диаметр гвоздя, м (см);

- расчетная длина защемленной, сопротивляющейся выдергиванию части гвоздя, м (см), определяемая согласно
7.20.
Расстояние

от крайнего ряда гвоздей до продольной кромки элемента следует принимать не менее 4d.
Примечания. 1. Расстояние между гвоздями вдоль волокон древесины в элементах из осины, ольхи и тополя следует увеличивать на 50%, по сравнению с указанными выше.
2. В условиях повышенной влажности или температуры, а также при расчете на действие кратковременной или постоянной и длительной временной нагрузок расчетное сопротивление выдергиванию для воздушно-сухой древесины следует умножать на коэффициенты, приведенные в
таблицах 5,
7 настоящего СП.
3. При диаметре гвоздей более 5 мм в расчет вводят диаметр, равный 5 мм.
7.26. Длина защемленной части гвоздя должна быть не менее двух толщин пробиваемого деревянного элемента и не менее 10d.
Расстановку гвоздей, работающих на выдергивание, следует производить по правилам расстановки гвоздей, работающих на сдвиг (см.
7.21). При наклонной забивке расстояние до нагруженной кромки должно быть не менее 10d (рисунок 14).
Рисунок 14. Наклонная забивка гвоздей
7.27. Расчетную несущую способность на выдергивание одного шурупа или глухаря, МН, завинченного в древесину, в том числе в древесину из однонаправленного шпона, поперек волокон, следует определять по формуле

, (62)
где

- расчетное сопротивление выдергиванию шурупа или глухаря на единицу поверхности соприкасания нарезной части шурупа с древесиной, которое следует принимать для воздушно-сухой древесины, равным 1 МПа; расчетное сопротивление выдергиванию следует умножать в соответствующих случаях на коэффициенты, приведенные в
5.2;
d - наружный диаметр нарезной части шурупа, м (см);

- длина нарезной части шурупа, сопротивляющаяся выдергиванию, м (см).
Расстояние между осями шурупов должно быть не менее:

(см.
рисунок 11).
Соединения на пластинчатых нагелях
7.28. Применение дубовых или березовых пластинчатых нагелей (пластинок) допускается для сплачивания брусьев в составных элементах со строительным подъемом, работающих на изгиб и на сжатие с изгибом. Размеры пластинок и гнезд для них, а также расстановку их в сплачиваемых элементах следует принимать по рисунку 15. Направление волокон в пластинках должно быть перпендикулярно плоскости сплачивания элементов.
а)
б)
а - со сквозными пластинками; б - с глухими пластинками
Рисунок 15. Соединение на пластинчатых нагелях
Сплачивание по высоте сечения более трех элементов, а также применение элементов, срощенных по длине, не допускается.
7.29. Расчетную несущую способность, кН, дубового или березового пластинчатого нагеля размерами по рисунку 15 в соединениях элементов из сосны и ели следует определять по формуле
(в ред.
Изменения N 1, утв. Приказом Минстроя России от 03.12.2016 N 884/пр)

, (63)
где

- ширина пластинчатого нагеля, см, которую следует принимать равной ширине сплачиваемых элементов

при сквозных пластинках и

при глухих.
В случаях применения для сплачивания элементов из других древесных пород следует вводить поправочный коэффициент по
таблице 4 (для скалывающих напряжений).
Для конструкций в условиях повышенной влажности или температуры, рассчитываемых на действие кратковременных или постоянной и длительной временной нагрузок, расчетную несущую способность пластинчатого нагеля следует умножать на поправочные коэффициенты по
таблицам 6,
7 и
5.2, б,
в.
Соединения на вклеенных стержнях
Общие требования к соединениям на вклеенных стержнях
7.30. Соединения на вклеенных стержнях являются универсальным видом соединений. Вклеенные стержни могут использоваться:
- для устройства узловых сопряжений элементов плоских и пространственных конструкций (опорных узлов, поясов и решетки в фермах, ключевых шарниров в арках, рамах и т.п.);
- для устройства жестких равнопрочных стыков сборных изгибаемых, растянутых, сжато-изгибаемых, растянуто-изгибаемых элементов (балок, арок, ферм, рам, защемленных стоек, жестких нитей, куполов, сводов и т.п.);
- для анкеровки закладных деталей, воспринимающих усилия разных направлений;
- для восприятия нормальных сжимающих усилий поперек и под углом к волокнам в опорных зонах и местах приложения сосредоточенных нагрузок;
- для узловых соединений, воспринимающих сдвиг;
- для локализации главных растягивающих напряжений в приопорных зонах клееных деревянных конструкций и в окрестностях больших сосредоточенных нагрузок;
- для увеличения несущей способности участков конструкций, в которых действуют нормальные растягивающие напряжения поперек волокон и касательные напряжения (в приопорных зонах высоких балок, в зонах глубоких подрезок или ослаблений врезками, в изгибаемых элементах с криволинейной осью и др.);
- для сплачивания КДК, поперечное сечение которых состоит из двух и более элементов;
- в виде наклонно вклеенных стержней в качестве связей сдвига составных ДК, в том числе для комбинированных конструкций с деревянными балками в виде ребер и монолитной железобетонной плитой;
- для поперечного и наклонного армирования КДК с целью повышения их сдвиговой прочности и надежности, в том числе при переменном температурно-влажностном режиме эксплуатации;
- для наклонного армирования с целью повышения сдвиговой выносливости.
Общие технические требования изложены в нормативных документах на соединения на вклеенных стержнях для деревянных конструкций.
(абзац введен
Изменением N 1, утв. Приказом Минстроя России от 03.12.2016 N 884/пр)
Принципиальные конструктивные схемы соединений в узлах и стыках элементов для различных напряженно-деформированных состояний приведены на
рисунке 16.
А - опорная реакция от расчетной нагрузки;
а - в виде связей составных элементов; б - для повышения
сдвиговой прочности клееной балки; в - для анкеровки
закладных деталей; г, д - в опорных и других узлах
конструкций; е - схема симметричного универсального
жесткого стыка элементов сечением < 500 и > 600;
ж - для растянутых элементов; з - для сжатых стыков
с полимербетоном; и - для полигональных элементов,
несимметричная схема (карниз рамы);
к - для узла защемления стоек
Рисунок 16. Примеры соединений
на наклонно вклеенных стержнях
Минстроя России от 03.12.2016 N 884/пр)
7.31. Влажность древесины при вклеивании стержней должна быть в интервале 8 - 14% (в зависимости от условий эксплуатации конструкций - см.
Приложение Г). Не допускается использование вклеенных стержней для клееных пакетов с компенсационными прорезями (см.
7.7).
7.32. Для вклеивания используют эпоксидные клеи на базе смол ЭД20.
(в ред.
Изменения N 1, утв. Приказом Минстроя России от 03.12.2016 N 884/пр)
Возможность использования других марок клея и видов наполнителя для вклеивания стержней должна быть обоснована соответствующими испытаниями с определением физико-механических характеристик и технологичности.
(абзац введен
Изменением N 1, утв. Приказом Минстроя России от 03.12.2016 N 884/пр)
При температуре окружающего воздуха выше 35 °C или необходимости обеспечения повышенной огнестойкости соединения, необходимо применение эпоксидных клеев специального состава с температурой стеклования 60 °C и выше. Вклеивание стержней и контроль качества следует производить в соответствии с
Приложением И.
7.33. Диаметр отверстия в древесине должен превышать диаметр вклеиваемого стержня на 4 - 6 мм для арматуры классов А300 - А600 и на 2 мм для арматуры класса А240, круглой стали и стеклопластиковых стержней. Сверление отверстий под вклеиваемые стержни производится с помощью сверл для древесины.
Допускается использование сверл для металла, нарощенных до требуемой длины.
7.34. Стержни, вклеенные под углом к волокном менее чем 20°, рассматриваются как вклеенные вдоль волокон, при большем угле - как вклеенные под углом к волокнам. Вклеенные поперек волокон стержни являются частным случаем стержней, вклеенных под углом к волокнам.
Соединения на стержнях, вклеенных вдоль волокон
7.35. Соединения на стержнях, вклеенных вдоль волокон древесины, допускаются только в комбинации с поперечно или наклонно вклеенными стержнями. Стержни вклеиваются в круглые отверстия или прямоугольные пазы на боковых гранях, заглубленных на 2 диаметра стержня d, но не менее чем на 25 мм (рисунок 17).
а - в цилиндрические отверстия; б - в профрезерованные пазы
Рисунок 17. Соединения на стержнях из арматуры
периодического профиля, вклеенных вдоль волокон
7.36. Расчетную несущую способность, МН, вклеиваемого стержня на выдергивание или продавливание вдоль волокон в растянутых и сжатых стыках элементов деревянных конструкций из сосны и ели следует определять по формуле
(в ред.
Изменения N 1, утв. Приказом Минстроя России от 03.12.2016 N 884/пр)

, (64)
где

- диаметр отверстия, м;
l - длина заделываемой части стержня, м (см), которую следует принимать по расчету, но не менее 10d и не более 30d;

- коэффициент, учитывающий неравномерность распределения напряжений сдвига в зависимости от длины заделываемой части стержня, который следует определять по формуле

; (65)
7.37. Расстояние между осями вклеенных стержней, работающих на выдергивание или продавливание вдоль волокон, следует принимать не менее

, а до наружных граней - не менее

.
Соединения на стержнях, вклеенных под углом к волокнам
7.38. Расчетную несущую способность, МН, вклеиваемого под углом к волокнам стержня на выдергивание или продавливание в стыках клееных деревянных конструкций, следует определять по формуле

, (66)
где R - расчетное сопротивление древесины выдергиванию или продавливанию вклеенного стержня, МПа, принимаемое равным 4,5 МПа;
(в ред.
Изменения N 1, утв. Приказом Минстроя России от 03.12.2016 N 884/пр)

- диаметр отверстия, м;

- расчетная длина стержня, м

; (67)
Минстроя России от 03.12.2016 N 884/пр)
l - длина заделываемой части;

- глубина возможного снижения прочности клеевой прослойки при сварке; для стержней без сварки

;
d - диаметр вклеиваемого стержня, м;

- коэффициент, учитывающий неравномерность распределения напряжений сдвига в зависимости от длины заделываемой части стержня, который следует определять по формуле

; (68)

- коэффициент, зависящий от знака нормальных напряжений вдоль волокон в зоне установки стержней;

- коэффициент, учитывающий зависимость расчетного сопротивления от диаметра стержня
md = 1,12 - 0,1d; (69)
Минстроя России от 03.12.2016 N 884/пр)

- площадь сечения стержня;

- расчетное сопротивление материала стержня.
Для стержней, работающих на выдергивание в зоне растягивающих напряжений, действующих вдоль волокон древесины элемента конструкции, значения коэффициента

следует определять по формуле

, (70)
Минстроя России от 03.12.2016 N 884/пр)
где

- максимальные растягивающие напряжения, МПа.
При работе в сжатой зоне, а также для стержней, работающих на продавливание,

.
7.39. Минимальное расстояние от боковых граней пакета до оси стержня принимается не менее 2d и не менее 30 мм; между осями стержней по ширине пакета расстояние должно быть не менее 2d; от торца пакета вдоль волокон до оси стержня - не менее 100 мм; между стержнями вдоль волокон 10d при угле наклона стержней

к направлению волокон до 30° не менее 14d, при

от 30° до 60° - 10d, при

более 60° - 7,5d.
7.40. При устройстве жестких стыков в конструкциях используют два типа соединений на наклонно вклеенных стержнях.
Универсальными являются анкеры V-образной формы, которые представляют собой комбинацию как минимум из двух стержней, вклеенных наклонно по отношению к направлению волокон древесины и образующих между собой внутренний угол.
В растянутых стыках или в растянутых зонах стыков допускается применять соединения на стержнях, наклонно вклеенных в одном направлении, работающих на выдергивание и присоединенных на сварке к стальным пластинам, передающим на древесину усилия сжатия, возникающие от разложения усилий растяжения в наклонных стержнях. Работа стержней на продавливание (сжатие) в таких узлах не допускается.
7.41. Расчетная несущая способность V-образного анкера определяется исходя из расчетной несущей способности вклеенных стержней анкера, определенной по
формуле (66). Усилия в каждой ветви анкера определяются путем разложения усилий от внешней нагрузки по направлениям ветвей. Внутренний угол между ветвями анкера принимается от 45° до 120°.
7.42. Проверка на прочность анкеров, сварных швов, соединительных пластин и других стальных элементов выполняется по нормам проектирования металлоконструкций.
7.43. В соединении, работающем на сдвиг, несущая способность наклонно вклеенной связи

, кроме случая, указанного в 7,44, работающей на выдергивание (растяжение), определяется по формуле
(в ред.
Изменения N 1, утв. Приказом Минстроя России от 03.12.2016 N 884/пр)

, (71)
где T - несущая способность стержня, работающего на выдергивание
(7.38);

- угол наклона вклеенной связи к плоскости сдвига.
7.44. В соединении, работающем на сдвиг, несущая способность наклонно вклеенной связи

, работающей на продавливание (сжатие), при отсутствии рядом вклеенной связи, работающей на выдергивание (растяжение), проверяется по формуле
(в ред.
Изменения N 1, утв. Приказом Минстроя России от 03.12.2016 N 884/пр)

, (72)
где

- составляющая расчетного усилия на один стержень

, МН, вызывающая в наклонных стержнях напряжения растяжения;

- составляющая того же усилия

, вызывающая в наклонных стержнях напряжения изгиба;

- расчетная несущая способность одного стержня по условию прочности на растяжение, МН;

- площадь сечения стержня, м
2;

- расчетное сопротивление растяжению арматурной стали для А300

и для А400

;

- расчетная несущая способность стержня на один шов из условия его работы на изгиб, МН, принимается:
а) при жестком (сварном) соединении вклеенного стержня со стальной накладкой или анкерной полосой:

- для арматуры А300;

- для арматуры А400;
б) при нежестком болтовом соединении вклеенного стержня со стальной накладкой:

- для арматуры А300;

- для арматуры А400;
d - номинальный диаметр стержня, м.
7.45. При определении числа вклеенных стержней или анкеров необходимо учитывать коэффициент их совместной работы

:
- при одном анкере или одном наклонном стержне с одной стороны стыка и на одной грани

;
- при двух анкерах или двух наклонных стержнях

;
- при большем количестве анкеров или стержней

.
7.46. При проектировании стыков или узлов конструкций необходимо учитывать особенности конструктивной схемы. Принципиально различаются конструктивные варианты сжатой и растянутой зон стыков сжато-изгибаемых элементов ломаного сечения, например в карнизных узлах рам и т.д.
7.47. Наклонно вклеенные стержни располагаются в соединениях таким образом, чтобы в них возникали (в основном) растягивающие усилия. Возникающие при этом (от разложения сил) сжимающие усилия должны передаваться на древесину соединительными жесткими пластинами или специально вклеенными стержнями с соответствующей проверкой расчетом.
7.48. Податливость соединений на наклонно вклеенных стержнях составляет 0,001 мм/кН.
7.49. Стыки и узлы сжато-, растянуто-изгибаемых, изгибаемых и растянутых элементов сборных конструкций должны проверяться расчетом и обеспечивать восприятие перерезывающих сил, а также усилий, возникающих при сборке, кантовке, перевозке, складировании и монтаже. Для сжатых стыков большепролетных конструкций, выполненных с заполнением полимербетоном, необходимо предусматривать специальные конструктивные решения стыков на наклонно вклеенных стержнях, способные воспринимать упомянутые монтажные нагрузки и перерезывающие силы.
Соединения на вклеенных стальных нагелях
7.50. Расчетную несущую способность на сдвиг

, кН, вклеенного в древесину цилиндрического нагеля из стальной арматуры периодического профиля (рисунок 18) на один шов соединения элементов из сосны и ели при глубине заделки

в направлении усилий вдоль волокон следует определять по
таблице 23 с учетом
7.15. Максимальным значениям

соответствует

, где номинальный диаметр стержня d и глубина заделки l, см.
а - шахматная расстановка; б - двухрядная расстановка
Рисунок 18. Соединение на вклеенных стальных нагелях
Схемы соединений | Напряженное состояние соединения | Расчетная несущая способность T на один шов сплачивания (условный срез), кН |
1. Симметричные соединения | а) смятие в средних элементах | 0,5cd0 |
б) смятие в крайних элементах | 0,8ad0 |
2. Несимметричные соединения | а) смятие во всех элементах равной толщины, а также в более толстых элементах односрезных соединений | 0,35cd0 |
б) смятие в более толстых средних элементах двухсрезных соединений при a <= 0,5c | 0,25cd0 |
в) смятие в более тонких крайних элементах при a <= 0,35c | 0,8ad0 |
г) смятие в более тонких элементах односрезных соединений и в крайних элементах при c > a > 0,35c | kнad0 |
3. Симметричные и несимметричные соединения | а) изгиб нагеля из арматуры А300 |  , но не более 3,2d2 |
б) изгиб нагеля из арматуры А400 |  , но не более 3,7d2 |
Примечания. 1. В таблице: c - толщина средних элементов, а также равных по толщине или более толстых элементов односрезных соединений; a - толщина крайних элементов, а также более тонких элементов односрезных соединений; d - номинальный диаметр вклеенного нагеля; d0 - диаметр отверстия; все размеры в см. 3. Расчет нагельных соединений на скалывание производить не следует, если выполняются условия расстановки нагелей в соответствии с 7.52. |
7.51. В соединениях элементов под углом к волокнам древесины несущая способность вклеенных нагелей

определяется в соответствии с
7.14.
7.52. Расстояния между осями вклеенных нагелей при их расстановке следует принимать вдоль волокон древесины

не менее

, поперек волокон

не менее

и от кромки элемента

не менее

. При шахматной расстановке нагелей минимальные расстояния

.
| | Применение на обязательной основе раздела 8 обеспечивает соблюдение требований Федерального закона от 30.12.2009 N 384-ФЗ "Технический регламент о безопасности зданий и сооружений" (Постановление Правительства РФ от 26.12.2014 N 1521). | |
8. Указания по проектированию деревянных конструкций
8.1. При проектировании деревянных конструкций следует:
а) учитывать производственные возможности предприятий - изготовителей деревянных конструкций;
б) учитывать возможности транспортных и монтажных средств и требования дорожных служб;
в) использовать древесину с наименьшими отходами и потерями;
г) предусматривать меры по обеспечению пространственной жесткости, устойчивости и неизменяемости отдельных конструкций и всего здания или сооружения в целом в процессе монтажа и эксплуатации;
д) предусматривать мероприятия по обеспечению долговечности и требуемых показателей огнестойкости и пожарной опасности
(Приложение К).
8.2. Напряжения и деформации в деревянных конструкциях от изменения температуры древесины, а также от усушки или разбухания древесины вдоль волокон учитывать не следует.
8.3. При пролетах деревянных безраспорных конструкций более 30 м одна из опор должна быть подвижной.
(п. 8.3 в ред.
Изменения N 1, утв. Приказом Минстроя России от 03.12.2016 N 884/пр)
8.4. Действие сил трения при расчете деревянных конструкций следует учитывать:
а) если равновесие системы обеспечивается только трением при условии постоянного прижатия элемента и отсутствии динамической нагрузки; при этом коэффициент трения дерева по дереву следует принимать равным:
торца по боковой поверхности - 0,3;
боковых поверхностей - 0,2;
б) если трение ухудшает условия работы конструкций и соединений, то коэффициент трения следует принимать равным 0,6.
8.5. Расчет элементов из круглых лесоматериалов на устойчивость следует производить по сечению, расположенному в середине расчетной длины элемента, а на прочность - по сечению с максимальным изгибающим моментом.
8.6. Пространственную жесткость и устойчивость деревянных конструкций следует обеспечивать постановкой горизонтальных и вертикальных связей. Расстояние между связевыми блоками следует назначать до 30 м включительно. Расстояние более 30 м должно быть обосновано расчетом.
По длине здания поперечные связи следует располагать в плоскости верхнего пояса или по верху несущих конструкций.
В качестве поясов связевых ферм следует использовать верхние пояса или все сечение несущих конструкций.
Использование профнастила, уложенного непосредственно по верху несущих конструкций, в качестве распорок и связей допускается только при специальном креплении и дополнительном обосновании в зданиях, где отсутствует химически агрессивная среда.
При использовании косого дощатого настила непосредственно по конструкциям и прогонам или двойного перекрестного дощатого настила постановка связей жесткости в пространственном покрытии не требуется.
8.7. Размер опорной части плит покрытий должен быть не менее 5,5 см. Плиты покрытий следует прикреплять к несущей конструкции с каждой стороны соединениями, воспринимающими усилия сдвига и отрыва.
8.8. Стыки деревянных растянутых элементов следует осуществлять совмещенными в одном сечении, перекрывая их накладками на стальных цилиндрических нагелях или иных соединениях.
Конструкция стыков растянутых элементов должна обеспечивать осевую передачу растягивающего усилия.
8.9. Не следует применять узлы и стыки с соединениями на связях различной податливости, а также стыки, в которых часть деревянных элементов соединена непосредственно, а часть - через промежуточные элементы и соединения.
8.10. Элементы деревянных конструкций следует центрировать в узлах, стыках и на опорах, за исключением случаев, когда эксцентричное соединение элементов уменьшает действующий в расчетном сечении изгибающий момент. При наличии эксцентриситета последний должен учитываться расчетом.
8.11. Элементы конструкций должны быть стянуты болтами или шпильками в узлах и стыках, а составные элементы на податливых соединениях должны быть стянуты и между узлами или соединены с помощью вклеенных стержней. Число болтов или шпилек определяется расчетом, но не менее двух в узле или стыке.
В соединениях на цилиндрических нагелях должно быть поставлено не менее трех стяжных болтов с каждой стороны стыка.
Диаметр стяжных болтов

следует принимать по расчету, но не менее 12 мм. Шайбы стяжных болтов должны иметь размер сторон или диаметр не менее

и толщину не менее

.
8.12. Площадь поперечного сечения нетто деревянных элементов сквозных несущих конструкций должна быть не менее 50 см2, а также не менее 0,5 полной площади сечения брутто при симметричном ослаблении.
8.13. Расчет деревянных конструкций на сейсмические нагрузки следует производить в соответствии с
СП 14.13330.
В каркасах одноэтажных большепролетных зданий (при пролетах более 24 м) следует использовать преимущественно статически определимые конструкции.
В шарнирных узлах необходимо обеспечивать возможность их поворота без появления дополнительных внутренних усилий.
При проектировании клееных деревянных конструкций следует предусматривать мероприятия, предотвращающие скалывание древесины (например, армирование древесины вклеенными стержнями).
8.14. Для клееных конструкций переменного сечения на скошенных кромках под углом

к направлению волокон следует учитывать дополнительные напряжения на площадках, параллельных волокнам древесины:

; (73)

, (74)
где

- напряжения, действующие вдоль волокон древесины;

- угол между линией скоса и направлением волокон древесины.
Прогоны, обрешетки и настилы
8.15. Прогоны, обрешетки, настилы и другие изгибаемые элементы следует рассчитывать по двум предельным состояниям на прочность и прогиб. Значения максимальных прогибов должны быть не выше указанных в
таблице 19. Для междуэтажных перекрытий необходимо дополнительно выполнять расчет на зыбкость.
8.16. Настилы и обрешетки под кровлю следует рассчитывать на следующие сочетания нагрузок:
а) постоянная и временная от снега (расчет на прочность и прогиб);
б) постоянная и временная от сосредоточенного груза 1 кН с умножением последнего на коэффициент перегрузки n = 1,2 и учетом коэффициента условия работы

согласно
поз. 1 таблицы 8 (расчет только на прочность).
При сплошном настиле или при разреженном настиле с расстоянием между осями досок или брусков не более 150 мм нагрузку от сосредоточенного груза следует передавать на две доски или два бруска, а при расстоянии более 150 мм - на одну доску или брусок. При двойном настиле (рабочем и защитном, направленном под углом к рабочему) сосредоточенный груз следует распределять на ширину 500 мм рабочего настила.
8.17. Составным балкам на податливых связях следует придавать строительный подъем путем выгиба элементов до постановки связей. Величину строительного подъема (без учета последующего распрямления балки) следует принимать увеличенной в полтора раза, по сравнению с прогибом составной балки под расчетной нагрузкой.
8.18. Брусчатые и клееные деревянные составные балки следует сплачивать не более чем из трех брусьев с помощью пластинчатых нагелей, МЗП или наклонно вклеенных стержней.
Составные балки из досок следует сплачивать с помощью гвоздей, шурупов, МЗП и др.
8.19. Расчет на прочность составных балок следует вести, руководствуясь положениями
6.9 и
6.11.
8.20. Прогиб составных балок как со строительным подъемом, так и без него следует определять по правилам строительной механики как для цельных балок такого же сечения, но с введением коэффициента

к моменту инерции поперечного сечения балки, учитывающего податливость того или иного вида соединения
(таблица 16).
8.21. В составных балках на наклонно вклеенных стержнях последние должны устанавливаться так, чтобы в них возникали растягивающие усилия. Стержни следует вклеивать под углом

, равным 25° - 50° к плоскости сплачивания.
Несущая способность наклонно вклеенного стержня как связи сдвига

определяется по формуле

, (75)
где T - несущая способность стержня, определенная в соответствии с
7.37.
Расстояние (шаг) между вклеенными стержнями

должно удовлетворять условию

, (76)
где

- расчетная разница изгибающих моментов в начале и в конце участка

между вклеенными связями;

- статический момент брутто ветви составного элемента относительно нейтральной оси;

- момент инерции брутто поперечного сечения элемента относительно нейтральной оси.
Балки из цельной и клееной древесины
8.22. Балки следует рассчитывать по двум предельным состояниям на прочность, устойчивость плоской формы деформирования и прогиб.
8.23. Подрезка на опоре в растянутой зоне деревянных изгибаемых элементов глубиной a </= 0,25h допускается при условии:

, (77)
где A - опорная реакция от расчетной нагрузки;
b и h - ширина и высота поперечного сечения элемента без подрезки.
Длина опорной площадки подрезки c должна быть не больше высоты сечения h, а длина скошенной части подрезки

- не менее двух глубин a (рисунок 19).
Рисунок 19. Скошенная подрезка конца балки
В случае если невозможно выполнить скошенную подрезку или глубина ее превышает 0,25h, необходимо усиление зоны подрезки. Усиление производится вклеиванием поперечных (перпендикулярно волокнам) и наклонных (под углом 45° к волокнам) стержней (рисунок 20).
Рисунок 20. Усиление подрезки на конце балки
Длина поперечных стержней должна удовлетворять условию

, (78)
где

- расчетная длина стержня;

(глубина подрезки минус 30 мм на непроклей).
Расчет стержней производится с учетом того, что все растягивающее усилие воспринимается поперечно вклеенными стержнями. Наклонные стержни воспринимают сдвигающие усилия в зоне трещины и снижают касательные напряжения на приопорном участке.
Расстояние от торца подрезки до вклеенных стержней должно быть 80 - 120 мм (120 мм для конструкций, эксплуатируемых на открытом воздухе).
(в ред.
Изменения N 1, утв. Приказом Минстроя России от 03.12.2016 N 884/пр)
Для двух поперечно вклеенных стержней должно выполняться условие

, (79)
где T - несущая способность поперечно вклеенного стержня, определенная по
7.38 при

;
A - опорная реакция;
h - высота сечения без учета подрезки;
a - глубина подрезки.
Для наклонно вклеенного стержня должно выполняться условие

, (80)
где T - несущая способность поперечно вклеенного стержня, определенная по
7.38, условно принимая уровень площадки опирания за местоположение шва сплачивания.
8.24. Клееным балкам с шарнирным опиранием и прямолинейной нижней гранью следует придавать строительный подъем, равный 1/200 пролета. В клееных балках допускается сочетать древесину двух сортов, используя в крайних зонах на 0,17 высоты поперечного сечения более высокий сорт, по которому назначают расчетные сопротивления

.
8.25. Гнутоклееные балки с постоянной или переменной высотой поперечного сечения могут быть как двускатными, так и с верхней гранью положительной и отрицательной кривизны от 10% до 20%.
Одна из опор в таких балках, независимо от пролета, должна быть подвижной во избежание возникновения распора.
При расчете гнутоклееных балок на прочность, кроме проверки краевых тангенциальных нормальных напряжений, необходима проверка максимальных радиальных растягивающих напряжений

, действующих поперек волокон древесины, в соответствии с требованиями
6.13.
8.26. Двускатные гнутоклееные балки следует применять при уклонах до 20%. В односкатных и двускатных балках переменного сечения следует учитывать влияние ската на напряжения изгиба параллельно поверхности.
(в ред.
Изменения N 1, утв. Приказом Минстроя России от 03.12.2016 N 884/пр)
В случае, когда волокна древесины параллельны одной из поверхностей балки и угол ската
(рисунок 21), напряжения изгиба в крайних волокнах, параллельных поверхности, следует определять по формуле
(в ред.
Изменения N 1, утв. Приказом Минстроя России от 03.12.2016 N 884/пр)

, (81)
а на скатной поверхности - по формуле

, (82)
где

- расчетное сопротивление древесины сжатию под углом

к направлению волокон, определяемое по
формуле (5).
Рисунок 21. Односкатная балка
8.27. Пояса клееных балок с плоской фанерной стенкой следует выполнять из вертикально поставленных слоев (досок). В поясах балок коробчатого сечения расположение слоев может быть как вертикальным, так и горизонтальным. Если высота поясов превышает 100 мм, в них следует предусматривать горизонтальные пропилы со стороны стенок.
(в ред.
Изменения N 1, утв. Приказом Минстроя России от 03.12.2016 N 884/пр)
Для стенок балок должны применяться водостойкая фанера или LVL толщиной не менее 8 мм.
Балки композитного сечения
8.28. Балки композитного сечения являются составными и включают деревянные ребра с вклеенными анкерами и монолитную железобетонную плиту (рисунок 22).
а - общий вид; б - поперечное сечение; в - геометрические
характеристики поперечного сечения; г - опорная зона балки
Рисунок 22. Балка композитного сечения
8.28а. Расчет композитных балок по предельным состояниям первой и второй групп производят по упругой стадии.
При расчете конструкций и соединений следует учитывать:
- коэффициенты надежности по ответственности

, принимаемые согласно ГОСТ 27751
(раздел 10);
- коэффициенты надежности по материалу: для бетона -

, принимаемый согласно СП 63.13330
(пункт 6.1.11); для арматуры -

, принимаемый согласно СП 63.13330
(пункт 6.2.8);
- коэффициенты условий работы: элементов деревянных конструкций -
m по 5.2; бетона -

по СП 63.13330
(пункт 6.1.12).
(п. 8.28а введен
Изменением N 1, утв. Приказом Минстроя России от 03.12.2016 N 884/пр)
8.28б. Железобетонные плиты следует рассчитывать по прочности и трещиностойкости согласно соответствующим разделам
СП 63.13330.
(п. 8.28б введен
Изменением N 1, утв. Приказом Минстроя России от 03.12.2016 N 884/пр)
8.28в. При установке над опорами плиты расчетной стержневой арматуры, усилия в плите определяются как для неразрезной железобетонной конструкции согласно
СП 63.13330, допускающей перераспределение моментов в соответствии с требованиями трещиностойкости, при отсутствии расчетной гибкой арматуры над опорами - как для однопролетной конструкции.
(п. 8.28в введен
Изменением N 1, утв. Приказом Минстроя России от 03.12.2016 N 884/пр)
8.29. Изгибающие моменты, усилия и напряжения в элементах композитной балки следует, в общем случае, определять суммированием силовых факторов, возникающих на различных стадиях и этапах работы, соответствующих условиям возведения и загружения конструкции.
Для нахождения изгибающих моментов, сдвигающих и отрывающих усилий между железобетоном и деревом, внутренних напряжений, а также при определении общих деформаций работа бетона принимается, как правило, упругой, независимо от величины и знака напряжений в бетоне. При этом в необходимых случаях учитывается ползучесть бетона.
8.30. В расчетах композитных балок, выполняемых в предположении упругой работы бетона, следует использовать коэффициенты приведения n к древесине геометрических характеристик поперечных сечений этих балок
(в ред.
Изменения N 1, утв. Приказом Минстроя России от 03.12.2016 N 884/пр)

, (83)
Минстроя России от 03.12.2016 N 884/пр)
где

- модуль деформации сжатого бетона;

- модуль упругости древесины вдоль волокон.
Высота деревянного ребра принимается равной:
(1/15 - 1/25)l - для разрезных балок;
(1/20 - 1/30)l - для неразрезных балок, где l - пролет балок.
Толщина железобетонной плиты принимается равной 80 - 150 мм. Угол наклона вклеенных анкеров

.
Расстояния между осями вклеенных анкеров вдоль волокон (см.
рисунок 22) следует принимать не менее:

при

;

при

.
Расстояние от оси анкера до торца по направлению волокон следует принимать не менее 5d.
Расстояния в направлении поперек волокон следует принимать:

- между осями анкеров;

, но не менее 30 мм - от оси анкера до кромки.
Расчеты следует выполнять, исходя из гипотезы плоских сечений, без учета податливости швов объединения деревянной и железобетонной частей.
(абзац введен
Изменением N 1, утв. Приказом Минстроя России от 03.12.2016 N 884/пр)
8.31. Расчет ведется в две стадии:
1-я стадия - расчет деревянного ребра на вес железобетонной плиты;
2-я стадия - расчет на постоянные и временные нагрузки.
8.32. Напряжения по нижней грани деревянного ребра проверяют по формуле

(84)
где

- напряжение в ребре на первой стадии;

- напряжение в ребре на второй стадии;

- изгибающий момент от веса железобетонной плиты;

- изгибающий момент от расчетной нагрузки (кроме веса железобетонной плиты);

- момент сопротивления деревянного ребра;

- момент сопротивления композитного сечения, приведенного к древесине;
y - расстояние от нейтральной оси приведенного сечения по нижней грани балки.
Ползучесть бетона необходимо учитывать в соответствии с положениями
СП 63.13330.
(абзац введен
Изменением N 1, утв. Приказом Минстроя России от 03.12.2016 N 884/пр)
При расчетах на усадку бетона разгружающее влияние усадки не учитывается.
(абзац введен
Изменением N 1, утв. Приказом Минстроя России от 03.12.2016 N 884/пр)
8.33. Напряжения по верхней грани железобетонной плиты проверяют по формуле

, (85)
где

- момент сопротивления композитного сечения, приведенного к бетону;

- расчетное сопротивление бетона осевому сжатию.
8.34. Расчетная ширина железобетонной плиты принимается равной расстоянию между ребрами, но не более 1/6 пролета. При толщине плиты менее 1/10 высоты композитной балки расчетная ширина свеса принимается не более 6-кратной толщины плиты.
8.35. Требуемое число наклонных петлевых анкеров определяется из расчета на сдвиг по плоскости скалывания плиты и ребер из условия прочности анкеровки в бетоне и древесине.
(п. 8.35 в ред.
Изменения N 1, утв. Приказом Минстроя России от 03.12.2016 N 884/пр)
8.35а. Несущая способность T, кН, одной ветви петлевого анкера на сдвиг в бетоне определяется по формуле

(86)
где Fа - площадь поперечного сечения анкера, см2;
Rа - расчетное сопротивление материала анкера на растяжение;
d - номинальный диаметр анкера, см;
Rb - расчетное сопротивление бетона на осевое сжатие (призменная прочность).
(п. 8.35а введен
Изменением N 1, утв. Приказом Минстроя России от 03.12.2016 N 884/пр)
8.35б. Несущая способность одной ветви петлевого анкера на выдергивание в древесине определяется по формуле (66) и должна быть не менее несущей способности одной ветви петлевого анкера на сдвиг в бетоне.
(п. 8.35б введен
Изменением N 1, утв. Приказом Минстроя России от 03.12.2016 N 884/пр)
8.35в. Требуемое число наклонных петлевых анкеров определяется по
формуле (19).
Несущую способность по поперечной силе композитного сечения следует принимать равной несущей способности деревянного сечения.
(п. 8.35в введен
Изменением N 1, утв. Приказом Минстроя России от 03.12.2016 N 884/пр)
8.36. Расчет ферм с разрезными и неразрезными поясами следует производить по деформированной схеме с учетом податливости узловых соединений. В фермах с неразрезными поясами осевые усилия в элементах и перемещения допускается определять в предположении шарнирных узлов.
Фермы следует проектировать со строительным подъемом не менее 1/200 пролета, осуществляемым в клееных конструкциях путем выгиба по верхнему и нижнему поясам.
8.37. Расчетную длину сжатых элементов ферм при расчете их на устойчивость в плоскости фермы следует принимать равной расстоянию между центрами узлов, а из плоскости - между точками закрепления их из плоскости.
8.38. Элементы решетки ферм следует центрировать в узлах. В случае нецентрированных узлов ферм следует учитывать возникающие в элементах изгибающие моменты. Стыки сжатых поясов ферм следует располагать в узлах или вблизи узлов, закрепленных от выхода из плоскости ферм.
Особенности проектирования линзообразных ферм
на вклеенных связях
8.39. Фермы могут быть сборными из клееной древесины или металлодеревянными с нижним поясом и деталями решетки из стали. Фермы различают по виду сопряжения верхнего и нижнего поясов. На рисунке 23 показана схема с жестким узлом сопряжения.
Высота фермы в середине пролета: (1/9)L < H < (1/6)L;
Рекомендуемые пролеты таких ферм составляют 18 - 100 м.
Рисунок 23. Схемы линзообразных ферм
8.40. Элементы решетки следует располагать под углом 30° - 60° к вертикали. Крепление решетки к поясам следует осуществлять при помощи нагелей или на вклеенных стержнях. Расчет и конструирование следует выполнять согласно
7.30 -
7.46.
8.41. Опорные узлы линзообразных ферм являются наиболее нагруженными и ответственными. При жестком сопряжении поясов их следует проектировать на наклонно вклеенных стержнях (рисунок 24).
Рисунок 24. Схема опорного узла линзообразной фермы
Число вклеенных стержней

определяется по формуле

, (87)
где

- усилие сдвига по плоскости сплачивания верхнего и нижнего поясов;
T - несущая способность вклеенного стержня (см.
7.38);

- угол наклона стержней к плоскости сплачивания, назначаемый в пределах 30° - 50°;

- коэффициент совместности работы вклеенных связей.
При равномерной расстановке связей

, при расстановке не менее 30% крайних к опоре связей в виде двух вклеенных стержней по ширине сечения

.
8.42. Площадку сплачивания верхнего и нижнего поясов следует проверять на смятие под углом

к волокнам по формуле

, (88)
где V - вертикальная опорная реакция;

- угол наклона плоскости сплачивания верхнего и нижнего поясов к горизонту;
b - ширина сечения фермы;

- шаг вклеенных связей;

- расчетное сопротивление древесины смятию под углом

к волокнам, определяемое по
формуле (2);

- больший из углов наклона плоскости сплачивания к волокнам верхнего и нижнего поясов.
Если условие не выполняется, следует увеличить шаг связей или усилить древесину стержнями, вклеенными перпендикулярно плоскости сплачивания. Шаг вклеенных стержней усиления

следует определять с учетом
пункта 7.39 по формуле

, (89)
где T - несущая способность вклеенного стержня усиления (см.
7.38).
(в ред.
Изменения N 1, утв. Приказом Минстроя России от 03.12.2016 N 884/пр)
8.43. Сборные фермы могут состоять из нескольких отправочных марок. Расположение укрупнительных узлов следует определять транспортными и технологическими требованиями. В нижнем поясе следует располагать минимально возможное количество стыков.
8.44. Стыки верхнего пояса следует конструировать с передачей осевых усилий на торцы элементов посредством полимербетона, обеспечивающего равномерное распределение напряжений по высоте поперечного сечения.
8.45. Растянутые и сжатые стыки поясов должны быть рассчитаны на монтажные усилия при кантовке и подъеме ферм. Они должны обладать достаточной жесткостью из плоскости и воспринимать усилия обратного знака.
8.46. Расчет фермы необходимо осуществлять с учетом следующих особенностей:
а) усилия в поясах следует определять из условия их неразрезности; следует учитывать изгибающие моменты, возникающие в опорных узлах, выполненных на наклонно вклеенных связях;
б) усилия в решетке допускается определять из условия шарнирных узлов сопряжения ее элементов с поясами.
Особенности проектирования дощатых ферм
с соединениями в узлах на МЗП
8.47. Дощатые фермы с соединениями в узлах на металлических зубчатых пластинах (МЗП) применяют в зданиях II и III классов ответственности (см.
Приложение Г) V степени огнестойкости. Фермы изготавливают из древесины хвойных пород шириной от 100 до 200 мм, толщиной от 40 до 70 мм.
8.48. Расчетная схема ферм предполагает шарнирное закрепление элементов решетки к неразрезным поясам. Стыкование досок поясов по длине - шарнирное, вне зоны узлов крепления решетки.
8.49. Высоту ферм рекомендуется принимать не менее 1/5 пролета. При меньшей высоте ферм расчет необходимо производить с учетом линейной податливости стержней в узлах. При этом в расчете следует учитывать, что при усилиях, соответствующих расчетной несущей способности соединений, деформации стержней в узлах составляют 1,5 мм.
8.50. Пояса ферм рассчитывают как сжато-изгибаемые и растянуто-изгибаемые элементы. Элементы решетки допускается рассматривать как центрально-сжатые и центрально-растянутые. Ослабление сечения гнездами от зубьев МЗП не учитывается.
8.51. Расчетная несущая способность соединений на МЗП зависит от типа пластин с заданной геометрией зубьев. Высота зубьев рекомендуется не более 12-кратной толщины пластины. Толщина стальной пластины составляет от 1 до 2 мм. Расчетная несущая способность соединений R определяется по результатам испытаний образцов с конкретными типами МЗП на 1 см
2 поверхности пластины, в зависимости от угла наклона оси пластины к действующему усилию

и от угла наклона оси пластины к направлению волокон древесины

.
Вследствие различной перфорации пластин при выштамповке зубьев разной формы расчетные характеристики МЗП при растяжении

и срезе

при различном направлении усилия к оси пластин

определяются по результатам испытаний образцов.
8.52. Условие прочности соединений
N < R2F, (90)
где N - нормальное усилие в стержне;
R - расчетная несущая способность соединения на 1 см2;
F - расчетная площадь поверхности МЗП с одной стороны стыка, определяемая за вычетом площадей участков пластин в виде полос шириной 10 мм, примыкающих к линиям сопряжения элементов фермы.
8.53. Условие прочности МЗП при растяжении

, (91)
где b - размер пластины в направлении, перпендикулярном направлению усилия, без учета перфорации;

- расчетная несущая способность пластины на растяжение.
8.54. Условие прочности МЗП при срезе

, (92)
где

- длина среза сечения пластины без учета перфорации;

- расчетная несущая способность пластины на срез;
Q - сдвигающее усилие в узле.
8.55. При совместном действии на пластину усилий среза и растяжения должно выполняться условие

. (93)
8.56. Арки и своды следует рассчитывать на прочность в соответствии с указаниями
6.17 и на устойчивость в плоскости кривизны по
формуле (3) с учетом
6.17, причем расчетную длину элементов

следует принимать:
а) при расчете на прочность по деформированной схеме:
для двухшарнирных арок и сводов при симметричной нагрузке

;
для трехшарнирных арок и сводов при симметричной нагрузке

;
для двух- и трехшарнирных арок и сводов при кососимметричной нагрузке - по формуле

, (94)
где

- центральный угол полуарки, рад;
S - полная длина дуги арки или свода.
Для трехшарнирных стрельчатых арок с углом перелома в ключе более 10° при всех видах нагрузки

.
При расчете трехшарнирных арок на несимметричную нагрузку расчетную длину допускается принимать равной

;
б) при расчете на устойчивость в плоскости кривизны для двух- и трехшарнирных арок и сводов

.
Расчет трехшарнирных арок на устойчивость плоской формы деформирования следует производить по
6.18.
8.57. При расчете арок на прочность по деформированной схеме и на устойчивость плоской формы деформирования величины N и

следует принимать в сечении с максимальным моментом (для проверяемого случая нагружения), а коэффициенты

или

и

следует определять по
формуле (27) с подстановкой в нее значения сжимающей силы

в ключевом сечении арки; расчет арок на устойчивость в плоскости кривизны следует производить по
формуле (3) на ту же сжимающую силу

.
8.58. Расчет на прочность элементов трехшарнирных рам в их плоскости допускается выполнять по правилам расчета сжато-изгибаемых элементов с расчетной длиной, равной длине полурамы по осевой линии.
8.59. Устойчивость плоской формы деформирования трехшарнирных рам, закрепленных по внешнему контуру, допускается проверять по формулам
6.18. При этом для рам из прямолинейных элементов, если угол между осями ригеля и стойки более 130°, и для гнуто-клееных рам расчетную длину элемента следует принимать равной длине осевой линии полурамы. При угле между стойкой и ригелем меньше 130° расчетную длину ригеля и стойки следует принимать равной длинам их внешних подкрепленных кромок.
Опоры воздушных линий электропередачи
8.60. Для элементов деревянных опор воздушных линий электропередачи допускается применять круглый лес, пиломатериалы и клееную древесину.
8.61. Для основных элементов опор (стоек, приставок, траверс) диаметр бревна в верхнем отрубе должен быть не менее 18 см для ЛЭП напряжением 110 кВ и выше и не менее 16 см для ЛЭП напряжением 35 кВ и ниже.
Диаметр приставок (пасынков, свай) опор ЛЭП напряжением 35 кВ и выше должен быть не менее 18 см. Для вспомогательных элементов опор диаметр бревен в верхнем отрубе должен быть не менее 14 см.
8.62. Сопряжение элементов опор ЛЭП следует, как правило, выполнять без врубок.
8.63. Диаметр болтов должен быть не менее 16 мм и не более 27 мм.
Конструкционные требования по обеспечению
надежности деревянных конструкций
8.64. Конструкционные меры, обеспечивающие просыхание элементов деревянных конструкций и их защиту от увлажнения, обязательны независимо от срока службы здания или сооружения, а также от того, производится химическая защита древесины или нет.
В тех случаях, когда древесина имеет повышенную начальную влажность и быстрое просыхание ее в конструкции затруднено, а также в случаях, когда конструкционными мерами нельзя устранить постоянное или периодическое увлажнение древесины, следует применять химические меры защиты (консервирование, антисептирование, гидрофобизацию, нанесение влагозащитных покрытий и др.). Сказанное относится также к конструкциям из фанеры, LVL и других древесно-плитных материалов.
(в ред.
Изменения N 1, утв. Приказом Минстроя России от 03.12.2016 N 884/пр)
8.65. Конструкционные меры должны предусматривать:
а) предохранение древесины конструкций от непосредственного увлажнения атмосферными осадками, грунтовыми и талыми водами (за исключением опор воздушных линий электропередачи), эксплуатационными и производственными водами;
б) предохранение древесины конструкций от промерзания, капиллярного и конденсационного увлажнения;
в) систематическую просушку древесины конструкций путем создания осушающего температурно-влажностного режима (естественная и принудительная вентиляция помещения, устройство в конструкциях и частях зданий осушающих продухов, аэраторов).
8.66. Несущие деревянные конструкции (фермы, арки, балки и др.) должны быть открытыми, хорошо проветриваемыми, по возможности доступными во всех частях для осмотра, а также для проведения профилактического ремонта, включающего работы по химической защите элементов конструкций.
8.67. Несущие конструкции в отапливаемых зданиях и сооружениях следует располагать целиком в пределах отапливаемого помещения, либо вне его.
В случае необходимости расположения несущих деревянных клееных конструкций (балки, рамы, арки и др.) частично внутри отапливаемого помещения, а частично снаружи, конструкции должны иметь прямоугольное сплошное сечение и усиленную защиту в местах пересечений ограждающих конструкций (стен, перекрытий, покрытий) от увлажнения и биоразрушения (рисунки 25 и
26).
1 - наружная стена; 2 - несущая КДК; 3 - влагоизоляционный
бандаж; 4 - поверхность, обработанная антисептиком;
5 - спаренная несущая КДК; 6 - вклеенный металлический
стержень; 7 - деревянный брусок сечением 40 x 40 мм;
8 - монтажная пена; 9 - плитный утеплитель;
10 - заливочный ППУ; 11 - самоклеящаяся
герметизирующая лента; 12 - нащельник (плинтус)
Рисунок 25 - Узлы пересечения несущей КДК наружной стены
отапливаемого здания:
а) - с утеплением зазоров плитным утеплителем;
б) - то же, заливочным пенополиуретаном ППУ;
в) - с вентилируемым зазором
1 - наружная стена; 2 - спаренная несущая КДК;
3 - КДК вставка; 4 - вклеенный металлический
стержень; 5 - поверхность, обработанная антисептиком;
6 - влагоизоляционный бандаж; 7 - монтажная пена;
8 - плитный утеплитель; 9 - нащельник (плинтус)
Рисунок 26 - Узел (в плане) пересечения несущей КДК
спаренного сечения наружной стены отапливаемого здания
с вентилируемым зазором
(п. 8.67 в ред.
Изменения N 1, утв. Приказом Минстроя России от 03.12.2016 N 884/пр)
8.68. Не допускается заделка поясов, опорных и промежуточных узлов, концов элементов решетки ферм в толщу стен, совмещенных покрытий или чердачных перекрытий.
Опорные части несущих конструкций (ферм, арок, балок) при размещении их в гнездах каменных стен должны быть открыты. Запрещается заделывать наглухо зазоры между стенками гнезд и опорными частями конструкций кирпичом, раствором, герметизирующими материалами и т.п.
В наружных каменных стенах отапливаемых зданий и сооружений, а также во внутренних стенах, разделяющих отапливаемые и неотапливаемые помещения, задние стенки гнезд следует утеплять во избежание их промерзания, в соответствии с теплотехническим расчетом.
8.69. Для несущих конструкций, имеющих на опорах металлические башмаки (фермы, арки и др.), опирание на наружные каменные стены отапливаемых зданий и сооружений с выделкой гнезд допускается только при условиях, исключающих выпадение конденсата на металле. Такие конструкции следует опирать на железобетонные опоры (колонны), пилястры стен и другие опоры, выступающие внутрь помещения.
(в ред.
Изменения N 1, утв. Приказом Минстроя России от 03.12.2016 N 884/пр)
8.70. В местах опирания несущих конструкций на фундамент, каменные стены, пилястры, железобетонные колонны между древесиной конструкций и более теплопроводным материалом опоры следует вводить гидроизоляционные прокладки.
В том случае, если опорная часть несущих конструкций устанавливается на деревянные подкладки (подушки), последние также следует отделять от более теплопроводного материала опоры гидроизоляционными прокладками. Подкладки (подушки) должны изготавливаться из древесины твердых лиственных пород и консервироваться невымываемыми или трудновымываемыми биозащитными составами.
8.71. При эксплуатации конструкций в условиях, где возможно выпадение конденсата на металлических поверхностях, следует принимать меры по предохранению древесины от увлажнения в местах контакта с металлическими крепежными элементами (накладки, уголки, шайбы под болты и пр.). Для этого между древесиной и металлическим элементом следует вводить гидроизоляционный слой (мастику, прокладки из рулонных гидроизоляционных материалов, эластичные прокладки или уплотнительные ленты).
8.72. При расположении деревянных рам, арок и стоек (колонн) внутри помещений обрез опоры следует устраивать на такой высоте от уровня пола, чтобы в процессе эксплуатации исключалась возможность увлажнения опорного узла.
В том случае, если опорная часть несущей конструкции находится на открытом воздухе, обрез фундамента должен быть устроен так, чтобы обеспечивался быстрый отвод воды, попадающей на него в виде атмосферных осадков, и исключалось затопление опорного узла дождевыми и талыми водами.
8.73. Деревянные покрытия следует проектировать, как правило, с наружным отводом воды.
8.74. В зданиях и сооружениях с повышенной влажностью воздуха (более 85%), а также с сильной и средней химически агрессивной средой несущие деревянные конструкции должны иметь сплошное сечение и минимальное число металлических элементов. Применение металлодеревянных конструкций в таких зданиях и сооружениях следует максимально ограничивать.
В зданиях с химически агрессивной средой следует также ограничивать применение сквозных несущих конструкций из-за наличия большого числа промежуточных узлов и открытых горизонтальных и наклонных граней у деревянных элементов решетки, на которых скапливается химически агрессивная пыль.
По возможности, в этих зданиях следует применять объемно-планировочные решения, предусматривающие вынос несущих конструкций за пределы помещения с агрессивной средой (устройство подвесного потолка, чердачного перекрытия).
8.75. Несущие конструкции, эксплуатируемые на открытом воздухе, должны иметь сплошное массивное сечение и изготавливаться из брусьев, круглого леса или из клееной древесины. Конструкции из брусьев или круглого леса следует проектировать с зазорами между элементами вне зон соединений, которые способствуют более быстрому высыханию древесины в процессе эксплуатации.
В открытых сооружениях необходимо в максимальной степени использовать средства, предохраняющие деревянные элементы конструкций от прямого попадания на них атмосферной влаги.
Для защиты от атмосферных осадков открытые горизонтальные и наклонные грани ответственных несущих конструкций следует защищать досками, консервированными биозащитными составами, козырьками из атмосферо- и коррозиестойкого материала.
8.76. Опорные части и узловые соединения несущих конструкций, эксплуатируемые на открытом воздухе или в зданиях с повышенной влажностью, следует проектировать таким образом, чтобы концы элементов были, по возможности, хорошо проветриваемыми и имели минимальную площадь контакта с металлом. Следует избегать использования глухих металлических башмаков при опирании несущих конструкций на фундамент в опорных узлах арок, рам и др.
8.77. В зданиях, где возможно образование конденсата на потолочных поверхностях, верхние грани несущих конструкций (ферм, рам, арок и др.), на которые опираются плиты покрытий, следует защищать досками толщиной не менее 30 мм, консервированными невымываемыми или трудновымываемыми биозащитными составами, с последующей укладкой поверху двух слоев рулонного гидроизоляционного материала.
Устройство ендов в совмещенных покрытиях не рекомендуется.
8.78. В ограждающих конструкциях отапливаемых зданий и сооружений должно быть исключено влагонакопление в процессе эксплуатации. В панелях стен и плитах покрытий следует предусматривать вентиляционные продухи, сообщающиеся с наружным воздухом, а в случаях, предусмотренных теплотехническим расчетом, использовать пароизоляционный слой.
8.79. Пароизоляцию ограждающих конструкций следует предусматривать из рулонных и пленочных материалов, окрасочную или обмазочную.
Рулонная и пленочная пароизоляции должны применяться в ограждающих конструкциях, у которых обшивки соединены с каркасом на податливых соединениях (гвозди, шурупы, скобки). При этом пароизоляционный слой должен быть сплошным и непрерывным (рулонные полотнища склеивают, пленки сваривают или склеивают) и укладываться между каркасом и обшивкой.
Окрасочная (обмазочная) пароизоляция должна применяться в ограждающих конструкциях с соединением обшивок на клею. Наносится такая пароизоляция на внутренние поверхности обшивки. Окрасочную пароизоляцию, если она совмещает функцию влагозащитного покрытия, допускается размещать и на наружной поверхности обшивки.
8.80. Вентилирование плит покрытия под рулонную кровлю должно осуществляться через продухи, специально устраиваемые между наружной обшивкой и утеплителем.
В плитах покрытия под кровлю из волнистых листов, профилированного металлического настила такие продухи не устраивают. Карнизный узел должен проектироваться так, чтобы наружный воздух имел свободный доступ под кровельные листы. Не допускается закрывать снаружи подкровельное пространство от задувания снега с помощью гребенок без оставления продухов для вентиляции.
8.81. Стеновые панели с каркасом из древесины, фанеры или древесно-плитных материалов должны устанавливаться на фундамент или цокольную панель таким образом, чтобы наружный воздух мог свободно поступать в них снизу через вентиляционные продухи и выходить у карниза. Не допускается устанавливать панели на фундамент (цокольную стеновую панель) без прокладки гидроизоляционного слоя, герметизации и утепления швов между ними.
Не допускается использовать для наружной обшивки стеновых панелей отапливаемых зданий паронепроницаемые материалы при отсутствии между обшивкой и заполнением вентиляционного продуха.
8.82. В целях предохранения наружных стен от намокания расстояние от отмостки до низа панелей должно быть не менее 40 см, а вынос карниза (свес кровли) при неорганизованном водоотводе - не менее 50 см.
(справочное)
ПЕРЕЧЕНЬ НОРМАТИВНЫХ ДОКУМЕНТОВ
Приложение А утратило силу с 28.08.2017. -
Приказ Минстроя России от 27.02.2017 N 129/пр.
(обязательное)
ДОПОЛНИТЕЛЬНЫЕ ТРЕБОВАНИЯ
К КАЧЕСТВУ ДРЕВЕСИНЫ
Приложение Б утратило силу с 28.08.2017. -
Приказ Минстроя России от 27.02.2017 N 129/пр.
(обязательное)
НОРМАТИВНЫЕ И ВРЕМЕННЫЕ СОПРОТИВЛЕНИЯ
ЭЛЕМЕНТОВ ДК ИЗ ДРЕВЕСИНЫ СОСНЫ, ЕЛИ И ДРЕВЕСИНЫ
ИЗ ОДНОНАПРАВЛЕННОГО ШПОНА (LVL)
Приложение В утратило силу с 28.08.2017. -
Приказ Минстроя России от 27.02.2017 N 129/пр.
(обязательное)
Приложение Г утратило силу с 28.08.2017. -
Приказ Минстроя России от 27.02.2017 N 129/пр.
(обязательное)
ПЛОТНОСТЬ ДРЕВЕСИНЫ, ФАНЕРЫ И LVL
Приложение Д утратило силу с 28.08.2017. -
Приказ Минстроя России от 27.02.2017 N 129/пр.
(обязательное)
| | Применение на обязательной основе Приложения Е обеспечивает соблюдение требований Федерального закона от 30.12.2009 N 384-ФЗ "Технический регламент о безопасности зданий и сооружений" (Постановление Правительства РФ от 26.12.2014 N 1521). | |
ДАННЫЕ ДЛЯ РАСЧЕТА СЖАТЫХ, ИЗГИБАЕМЫХ
И СЖАТО-ИЗГИБАЕМЫХ ЭЛЕМЕНТОВ
Таблица Е.1
Значения коэффициента
для расчета сжатых
и сжато-изгибаемых элементов с переменной высотой
и постоянной шириной сечения
Таблица Е.2
Значения коэффициентов
и
для расчетов
на устойчивость плоской формы деформирования
Окончание таблицы Е.2
Таблица Е.3
Значения коэффициентов k и c для вычисления прогибов балок
с учетом переменности сечения и деформаций сдвига
(обязательное)
ГРАФИКИ
ДЛЯ РАСЧЕТА ФАНЕРНЫХ СТЕНОК БАЛОК И ПЛИТ
Приложение Ж утратило силу с 28.08.2017. -
Приказ Минстроя России от 27.02.2017 N 129/пр.
(обязательное)
ПРОИЗВОДСТВО РАБОТ ПРИ ВКЛЕИВАНИИ СТЕРЖНЕЙ
Приложение И утратило силу с 28.08.2017. -
Приказ Минстроя России от 27.02.2017 N 129/пр.
(обязательное)
ПОЖАРНО-ТЕХНИЧЕСКИЕ ТРЕБОВАНИЯ
К КОНСТРУКЦИЯМ ИЗ ДРЕВЕСИНЫ
Приложение К утратило силу с 28.08.2017. -
Приказ Минстроя России от 27.02.2017 N 129/пр.
(обязательное)
ОСНОВНЫЕ БУКВЕННЫЕ ОБОЗНАЧЕНИЯ
Приложение Л утратило силу с 28.08.2017. -
Приказ Минстроя России от 27.02.2017 N 129/пр.
Раздел утратил силу с 28.08.2017. -
Приказ Минстроя России от 27.02.2017 N 129/пр.