Главная // Актуальные документы // ПравилаСПРАВКА
Источник публикации
В данном виде документ опубликован не был.
Первоначальный текст документа опубликован в издании
М.: Минрегион России, 2012.
Информацию о публикации документов, создающих данную редакцию, см. в справке к этим документам.
Примечание к документу
Документ утратил силу полностью с 01.08.2020 в связи признанием утратившим силу
Постановления Правительства РФ от 26.12.2014 N 1521.
Документ утратил силу с 20.06.2019, за исключением пунктов, включенных в
Перечень национальных стандартов и сводов правил (частей таких стандартов и сводов правил), в результате применения которых на обязательной основе обеспечивается соблюдение требований Федерального
закона "Технический регламент о безопасности зданий и сооружений", утвержденный
Постановлением Правительства РФ от 26.12.2014 N 1521, до внесения соответствующих изменений в указанный Перечень, в связи с изданием
Приказа Минстроя России от 19.12.2018 N 832/пр, утвердившего новый Свод правил
СП 63.13330.2018.
Документ включен в
Перечень документов в области стандартизации, в результате применения которых на добровольной основе обеспечивается соблюдение требований Федерального
закона от 30.12.2009 N 384-ФЗ "Технический регламент о безопасности зданий и сооружений" (
Приказ Росстандарта от 30.03.2015 N 365).
Отдельные положения данного документа включены в
Перечень национальных стандартов и сводов правил (частей таких стандартов и сводов правил), в результате применения которых на обязательной основе обеспечивается соблюдение требований Федерального
закона от 30.12.2009 N 384-ФЗ "Технический регламент о безопасности зданий и сооружений" (
Постановление Правительства РФ от 26.12.2014 N 1521).
При применении данного документа следует учитывать, что в соответствии с
пунктом 32 Правил разработки и утверждения сводов правил, утв. Постановлением Правительства РФ от 19.11.2008 N 858, для соблюдения требований технических регламентов и оценки соответствия своды правил применяют после внесения их в перечни национальных стандартов и (или) сводов правил, подлежащие утверждению и опубликованию в установленном порядке.
Название документа
"СП 63.13330.2012. Свод правил. Бетонные и железобетонные конструкции. Основные положения. Актуализированная редакция СНиП 52-01-2003"
(утв. Приказом Минрегиона России от 29.12.2011 N 635/8)
(ред. от 19.12.2018)
"СП 63.13330.2012. Свод правил. Бетонные и железобетонные конструкции. Основные положения. Актуализированная редакция СНиП 52-01-2003"
(утв. Приказом Минрегиона России от 29.12.2011 N 635/8)
(ред. от 19.12.2018)
регионального развития
Российской Федерации
(Минрегион России)
от 29 декабря 2011 г. N 635/8
СВОД ПРАВИЛ
БЕТОННЫЕ И ЖЕЛЕЗОБЕТОННЫЕ КОНСТРУКЦИИ.
ОСНОВНЫЕ ПОЛОЖЕНИЯ
АКТУАЛИЗИРОВАННАЯ РЕДАКЦИЯ
Concrete and won concrete construction.
Design requirements
СП 63.13330.2012
| | Список изменяющих документов Минстроя России от 08.07.2015 N 493/пр, Минстроя России от 30.12.2015 N 981/пр, Минстроя России от 19.10.2017 N 1441/пр, Приказа Минстроя России от 19.12.2018 N 832/пр) | |
ОКС 91.080.40
Дата введения
1 января 2013 года
Цели и принципы стандартизации в Российской Федерации установлены Федеральным
законом от 27 декабря 2002 г. N 184-ФЗ "О техническом регулировании", а правила разработки -
Постановлением Правительства Российской Федерации "О порядке разработки и утверждения сводов правил" от 19 ноября 2008 г. N 858.
1. Исполнители - НИИЖБ им. А.А. Гвоздева - институт ОАО "НИЦ "Строительство".
2. Внесен Техническим комитетом по стандартизации ТК 465 "Строительство".
3. Подготовлен к утверждению Департаментом архитектуры, строительства и градостроительной политики.
4. Утвержден
Приказом Министерства регионального развития Российской Федерации (Минрегион России) от 29 декабря 2011 г. N 635/8 и введен в действие с 1 января 2013 г.
5. Зарегистрирован Федеральным агентством по техническому регулированию и метрологии (Росстандарт). Пересмотр СП 63.13330.2011 "СНиП 52-01-2003. Бетонные и железобетонные конструкции. Основные положения".
Информация об изменениях к настоящему своду правил публикуется в ежегодно издаваемом информационном указателе "Национальные стандарты", а текст изменений и поправок - в ежемесячно издаваемых информационных указателях "Национальные стандарты". В случае пересмотра (замены) или отмены настоящего свода правил соответствующее уведомление будет опубликовано в ежемесячно издаваемом информационном указателе "Национальные стандарты". Соответствующая информация, уведомление и тексты размещаются также в информационной системе общего пользования - на официальном сайте разработчика (Минрегион России) в сети Интернет.
Настоящий свод правил разработан с учетом обязательных требований, установленных в Федеральных законах от 27 декабря 2002 г.
N 184-ФЗ "О техническом регулировании", от 30 декабря 2009 г.
N 384-ФЗ "Технический регламент о безопасности зданий и сооружений" и содержит требования к расчету и проектированию бетонных и железобетонных конструкций промышленных и гражданских зданий и сооружений.
Свод правил разработан авторским коллективом НИИЖБ им. А.А. Гвоздева - института ОАО "НИЦ "Строительство" (руководитель работы - д-р техн. наук Т.А. Мухамедиев; доктора техн. наук А.С. Залесов, А.И. Звездов, Е.А. Чистяков, канд. техн. наук С.А. Зенин) при участии РААСН (доктора техн. наук В.М. Бондаренко, Н.И. Карпенко, В.И. Травуш) и ОАО "ЦНИИпромзданий" (доктора техн. наук Э.Н. Кодыш, Н.Н. Трекин, инж. И.К. Никитин).
Изменение N 3 к своду правил разработано авторским коллективом АО "НИЦ "Строительство" - НИИЖБ им. А.А. Гвоздева (руководитель организации-разработчика - д-р техн. наук А.Н. Давидюк, руководитель темы - канд. техн. наук В.В. Дьячков, Д.Е. Климов, С.О. Слышенков).
(абзац введен
Изменением N 3, утв. Приказом Минстроя России от 19.10.2017 N 1441/пр)
| | Применение на обязательной основе раздела 1 обеспечивает соблюдение требований Федерального закона от 30.12.2009 N 384-ФЗ "Технический регламент о безопасности зданий и сооружений" (Постановление Правительства РФ от 26.12.2014 N 1521). | |
Настоящий свод правил распространяется на проектирование бетонных и железобетонных конструкций зданий и сооружений различного назначения, эксплуатируемых в климатических условиях России (при систематическом воздействии температур не выше 50 °C и не ниже минус 70 °C), в среде с неагрессивной степенью воздействия.
Свод правил устанавливает требования к проектированию бетонных и железобетонных конструкций, изготовляемых из тяжелого, мелкозернистого, легкого, ячеистого и напрягающего бетонов и содержит рекомендации по расчету и конструированию конструкций с композитной полимерной арматурой.
(в ред.
Изменения N 1, утв. Приказом Минстроя России от 08.07.2015 N 493/пр)
Требования настоящего свода правил не распространяются на проектирование сталежелезобетонных конструкций, фибробетонных конструкций, бетонных и железобетонных конструкций гидротехнических сооружений, мостов, покрытий автомобильных дорог и аэродромов и других специальных сооружений, а также на конструкции, изготовляемые из бетонов средней плотностью менее 500 и свыше 2500 кг/м3, бетонополимеров и полимербетонов, бетонов на известковых, шлаковых и смешанных вяжущих (кроме применения их в ячеистом бетоне), на гипсовом и специальных вяжущих, бетонов на специальных и органических заполнителях, бетона крупнопористой структуры.
(в ред.
Изменения N 1, утв. Приказом Минстроя России от 08.07.2015 N 493/пр)
Абзац исключен с 13 июля 2015 года. -
Изменение N 1, утв. Приказом Минстроя России от 08.07.2015 N 493/пр.
Минстроя России от 19.10.2017 N 1441/пр)
Раздел 2 утратил силу с 20.06.2019. -
Приказ Минстроя России от 19.12.2018 N 832/пр.
Раздел 3 утратил силу с 20.06.2019. -
Приказ Минстроя России от 19.12.2018 N 832/пр.
| | Применение на обязательной основе раздела 4 обеспечивает соблюдение требований Федерального закона от 30.12.2009 N 384-ФЗ "Технический регламент о безопасности зданий и сооружений" (Постановление Правительства РФ от 26.12.2014 N 1521). | |
4. Общие требования к бетонным
и железобетонным конструкциям
4.1. Бетонные и железобетонные конструкции всех типов должны удовлетворять требованиям:
по безопасности;
по эксплуатационной пригодности;
по долговечности,
а также дополнительным требованиям, указанным в задании на проектирование.
4.2. Для удовлетворения требований по безопасности конструкции должны иметь такие начальные характеристики, чтобы при различных расчетных воздействиях в процессе строительства и эксплуатации зданий и сооружений были исключены разрушения любого характера или нарушения эксплуатационной пригодности, связанные с причинением вреда жизни или здоровью граждан, имуществу, окружающей среде, жизни и здоровью животных и растениям.
4.3. Для удовлетворения требований по эксплуатационной пригодности конструкция должна иметь такие начальные характеристики, чтобы при различных расчетных воздействиях не происходило образование или чрезмерное раскрытие трещин, а также не возникали чрезмерные перемещения, колебания и другие повреждения, затрудняющие нормальную эксплуатацию (нарушение требований к внешнему виду конструкции, технологических требований по нормальной работе оборудования, механизмов, конструктивных требований по совместной работе элементов и других требований, установленных при проектировании).
В необходимых случаях конструкции должны иметь характеристики, обеспечивающие требования по теплоизоляции, звукоизоляции, биологической защите и другие требования.
Требования по отсутствию трещин предъявляют к железобетонным конструкциям, у которых при полностью растянутом сечении должна быть обеспечена непроницаемость (находящимся под давлением жидкости или газов, испытывающим воздействие радиации и т.п.), к уникальным конструкциям, к которым предъявляют повышенные требования по долговечности, а также к конструкциям, эксплуатируемым в агрессивной среде в случаях, указанных в
СП 28.13330.
В остальных железобетонных конструкциях образование трещин допускается, и к ним предъявляют требования по ограничению ширины раскрытия трещин.
4.4. Для удовлетворения требований долговечности конструкция должна иметь такие начальные характеристики, чтобы в течение установленного длительного времени она удовлетворяла бы требованиям по безопасности и эксплуатационной пригодности с учетом влияния на геометрические характеристики конструкций и механические характеристики материалов различных расчетных воздействий (длительное воздействие нагрузки, неблагоприятные климатические, технологические, температурные и влажностные воздействия, попеременное замораживание и оттаивание, агрессивные воздействия и др.).
4.5. Безопасность, эксплуатационная пригодность, долговечность бетонных и железобетонных конструкций и другие устанавливаемые заданием на проектирование требования должны быть обеспечены выполнением:
требований к бетону и его составляющим;
требований к арматуре;
требований к расчетам конструкций;
конструктивных требований;
технологических требований;
требований по эксплуатации.
Требования по нагрузкам и воздействиям, пределу огнестойкости, непроницаемости, морозостойкости, предельным показателям деформаций (прогибам, перемещениям, амплитуде колебаний), расчетным значениям температуры наружного воздуха и относительной влажности окружающей среды, по защите строительных конструкций от воздействия агрессивных сред и др. устанавливаются соответствующими нормативными документами (
СП 20.13330,
СП 14.13330,
СП 28.13330,
СП 22.13330,
СП 131.13330,
СП 122.13330,
СП 2.13130).
(в ред.
Изменения N 2, утв. Приказом Минстроя России от 30.12.2015 N 981/пр,
Изменения N 3, утв. Приказом Минстроя России от 19.10.2017 N 1441/пр)
4.6. При проектировании бетонных и железобетонных конструкций надежность конструкций устанавливают согласно
ГОСТ 27751 полувероятностным методом расчета путем использования расчетных значений нагрузок и воздействий, расчетных характеристик бетона и арматуры (или конструкционной стали), определяемых с помощью соответствующих частных коэффициентов надежности по нормативным значениям этих характеристик, с учетом уровня ответственности зданий и сооружений.
(в ред.
Изменения N 2, утв. Приказом Минстроя России от 30.12.2015 N 981/пр)
Нормативные значения нагрузок и воздействий, значения коэффициентов надежности по нагрузке, коэффициентов надежности по назначению конструкций, а также деление нагрузок на постоянные и временные (длительные и кратковременные) устанавливают соответствующими нормативными документами для строительных конструкций
(СП 20.13330).
Расчетные значения нагрузок и воздействий принимают в зависимости от вида расчетного предельного состояния и расчетной ситуации.
Уровень надежности расчетных значений характеристик материалов устанавливают в зависимости от расчетной ситуации и от опасности достижения соответствующего предельного состояния и регулируют значением коэффициентов надежности по бетону и арматуре (или конструкционной стали).
Расчет бетонных и железобетонных конструкций можно производить по заданному значению надежности на основе полного вероятностного расчета при наличии достаточных данных об изменчивости основных факторов, входящих в расчетные зависимости.
| | Применение на обязательной основе раздела 5 обеспечивает соблюдение требований Федерального закона от 30.12.2009 N 384-ФЗ "Технический регламент о безопасности зданий и сооружений" (Постановление Правительства РФ от 26.12.2014 N 1521). | |
5. Требования к расчету бетонных и железобетонных
конструкций
5.1.1. Расчеты бетонных и железобетонных конструкций следует производить в соответствии с требованиями
ГОСТ 27751 по предельным состояниям, включающим:
предельные состояния первой группы, приводящие к полной непригодности эксплуатации конструкций;
предельные состояния второй группы, затрудняющие нормальную эксплуатацию конструкций или уменьшающие долговечность зданий и сооружений по сравнению с предусматриваемым сроком службы.
Расчеты должны обеспечивать надежность зданий или сооружений в течение всего срока их службы, а также при производстве работ в соответствии с требованиями, предъявляемыми к ним.
Расчеты по предельным состояниям первой группы включают:
расчет по прочности;
расчет по устойчивости формы (для тонкостенных конструкций);
расчет по устойчивости положения (опрокидывание, скольжение, всплывание).
Расчеты по прочности бетонных и железобетонных конструкций следует производить из условия, по которому усилия, напряжения и деформации в конструкциях от различных воздействий с учетом начального напряженного состояния (преднапряжение, температурные и другие воздействия) не должны превышать соответствующих значений, установленных нормативными документами.
Расчеты по устойчивости формы конструкции, а также по устойчивости положения (с учетом совместной работы конструкции и основания, их деформационных свойств, сопротивления сдвигу по контакту с основанием и других особенностей) следует производить согласно указаниям нормативных документов на отдельные виды конструкций.
В необходимых случаях в зависимости от вида и назначения конструкции должны быть произведены расчеты по предельным состояниям, связанным с явлениями, при которых возникает необходимость прекращения эксплуатации здания и сооружения (чрезмерные деформации, сдвиги в соединениях и другие явления).
Расчеты по предельным состояниям второй группы включают:
расчет по образованию трещин;
расчет по раскрытию трещин;
расчет по деформациям.
Расчет бетонных и железобетонных конструкций по образованию трещин следует производить из условия, по которому усилия, напряжения или деформации в конструкциях от различных воздействий не должны превышать соответствующих их предельных значений, воспринимаемых конструкцией при образовании трещин.
Расчет железобетонных конструкций по раскрытию трещин производят из условия, по которому ширина раскрытия трещин в конструкции от различных воздействий не должна превышать предельно допустимых значений, устанавливаемых в зависимости от требований, предъявляемых к конструкции, условий ее эксплуатации, воздействия окружающей среды и характеристик материалов с учетом особенностей коррозионного поведения арматуры.
Расчет бетонных и железобетонных конструкций по деформациям следует производить из условия, по которому прогибы, углы поворота, перемещения и амплитуды колебания конструкций от различных воздействий не должны превышать соответствующих предельно допустимых значений.
Для конструкций, в которых не допускается образование трещин, должны быть обеспечены требования по отсутствию трещин. В этом случае расчет по раскрытию трещин не производят.
Для остальных конструкций, в которых допускается образование трещин, расчет по образованию трещин производят для определения необходимости расчета по раскрытию трещин и учета трещин при расчете по деформациям.
5.1.2. Расчет бетонных и железобетонных конструкций (линейных, плоскостных, пространственных, массивных) по предельным состояниям первой и второй групп производят по напряжениям, усилиям, деформациям и перемещениям, вычисленным от внешних воздействий в конструкциях и образуемых ими системах зданий и сооружений с учетом физической нелинейности (неупругих деформаций бетона и арматуры), возможного образования трещин и в необходимых случаях - анизотропии, накопления повреждений и геометрической нелинейности (влияние деформаций на изменение усилий в конструкциях).
Физическую нелинейность и анизотропию следует учитывать в определяющих соотношениях, связывающих между собой напряжения и деформации (или усилия и перемещения), а также в условиях прочности и трещиностойкости материала.
В статически неопределимых конструкциях следует учитывать перераспределение усилий в элементах системы вследствие образования трещин и развития неупругих деформаций в бетоне и арматуре вплоть до возникновения предельного состояния в элементе. При отсутствии методов расчета, учитывающих неупругие свойства железобетона, а также для предварительных расчетов с учетом неупругих свойств железобетона усилия и напряжения в статически неопределимых конструкциях и системах допускается определять в предположении упругой работы железобетонных элементов. При этом влияние физической нелинейности рекомендуется учитывать путем корректировки результатов линейного расчета на основе данных экспериментальных исследований, нелинейного моделирования, результатов расчета аналогичных объектов и экспертных оценок.
При расчете конструкций по прочности, деформациям, образованию и раскрытию трещин на основе метода конечных элементов должны быть проверены условия прочности и трещиностойкости для всех конечных элементов, составляющих конструкцию, а также условия возникновения чрезмерных перемещений конструкции. При оценке предельного состояния по прочности допускается полагать отдельные конечные элементы разрушенными, если это не влечет за собой прогрессирующего разрушения здания или сооружения, и по истечении действия рассматриваемой нагрузки эксплуатационная пригодность здания или сооружения сохраняется или может быть восстановлена.
Определение предельных усилий и деформаций в бетонных и железобетонных конструкциях следует производить на основе расчетных схем (моделей), наиболее близко отвечающих реальному физическому характеру работы конструкций и материалов в рассматриваемом предельном состоянии.
Несущую способность железобетонных конструкций, способных претерпевать достаточные пластические деформации (в частности, при использовании арматуры с физическим пределом текучести), допускается определять методом предельного равновесия.
5.1.3. При расчетах бетонных и железобетонных конструкций по предельным состояниям следует рассматривать различные расчетные ситуации в соответствии с
ГОСТ 27751, в том числе стадии изготовления, транспортирования, возведения, эксплуатации, аварийные ситуации, а также пожар.
(в ред.
Изменения N 2, утв. Приказом Минстроя России от 30.12.2015 N 981/пр)
5.1.4. Расчеты бетонных и железобетонных конструкций следует производить на все виды нагрузок, отвечающих функциональному назначению зданий и сооружений, с учетом влияния окружающей среды (климатических воздействий и воды - для конструкций, окруженных водой), а в необходимых случаях - с учетом воздействия пожара, технологических температурных и влажностных воздействий и воздействий агрессивных химических сред.
5.1.5. Расчеты бетонных и железобетонных конструкций производят на действие изгибающих моментов, продольных сил, поперечных сил и крутящих моментов, а также на местное действие нагрузки.
5.1.6. При расчете элементов сборных конструкций на воздействие усилий, возникающих при их подъеме, транспортировании и монтаже, нагрузку от массы элементов следует принимать с коэффициентом динамичности, равным:
1,60 - при транспортировании,
1,40 - при подъеме и монтаже.
Допускается принимать более низкие, обоснованные в установленном порядке, значения коэффициентов динамичности, но не ниже 1,25.
5.1.7. При расчетах бетонных и железобетонных конструкций следует учитывать особенности свойств различных видов бетона и арматуры, влияния на них характера нагрузки и окружающей среды, способов армирования, совместность работы арматуры и бетона (при наличии и отсутствии сцепления арматуры с бетоном), технологию изготовления конструктивных типов железобетонных элементов зданий и сооружений.
5.1.8. Расчет предварительно напряженных конструкций следует производить с учетом начальных (предварительных) напряжений и деформаций в арматуре и бетоне, потерь предварительного напряжения и особенностей передачи предварительного напряжения на бетон.
5.1.9. В монолитных конструкциях должна быть обеспечена прочность конструкции с учетом рабочих швов бетонирования.
5.1.10. При расчете сборных конструкций должна быть обеспечена прочность узловых и стыковых сопряжений сборных элементов, осуществленных путем соединения стальных закладных деталей, выпусков арматуры и замоноличивания бетоном.
5.1.11. При расчете плоских и пространственных конструкций, подвергаемых силовым воздействиям в двух взаимно перпендикулярных направлениях, рассматривают отдельные, выделенные из конструкции плоские или пространственные малые характерные элементы с усилиями, действующими по боковым сторонам элемента. При наличии трещин эти усилия определяют с учетом расположения трещин, жесткости арматуры (осевой и тангенциальной), жесткости бетона (между трещинами и в трещинах) и других особенностей. При отсутствии трещин усилия определяют как для сплошного тела.
Допускается при наличии трещин определять усилия в предположении упругой работы железобетонного элемента.
Расчет элементов следует производить по наиболее опасным сечениям, расположенным под углом по отношению к направлению действующих на элемент усилий, на основе расчетных моделей, учитывающих работу растянутой арматуры в трещине и работу бетона между трещинами в условиях плоского напряженного состояния.
5.1.12. Расчет плоских и пространственных конструкций допускается производить для конструкции в целом на основе метода предельного равновесия, в том числе с учетом деформированного состояния к моменту разрушения.
5.1.13. При расчете массивных конструкций, подвергаемых силовым воздействиям в трех взаимно перпендикулярных направлениях, рассматривают отдельные выделенные из конструкции малые объемные характерные элементы с усилиями, действующими по граням элемента. При этом усилия следует определять на основе предпосылок, аналогичных принятым для плоских элементов (см.
5.1.11).
Расчет элементов следует производить по наиболее опасным сечениям, расположенным под углом по отношению к направлению действующих на элемент усилий, на основе расчетных моделей, учитывающих работу бетона и арматуры в условиях объемного напряженного состояния.
5.1.14. Для конструкций сложной конфигурации (например, пространственных) кроме расчетных методов оценки несущей способности, трещиностойкости и деформативности могут быть использованы также результаты испытания физических моделей.
5.1.15. Расчет и конструирование конструкций с композитной полимерной арматурой рекомендуется проводить по специальным правилам с учетом указаний
Приложения Л.
(п. 5.1.15 введен
Изменением N 1, утв. Приказом Минстроя России от 08.07.2015 N 493/пр)
5.2. Требования к расчету бетонных и железобетонных элементов по прочности
5.2.1. Расчет бетонных и железобетонных элементов по прочности производят:
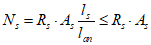
по нормальным сечениям (при действии изгибающих моментов и продольных сил) - по нелинейной деформационной модели. Для простых типов железобетонных конструкций (прямоугольного, таврового и двутаврового сечений с арматурой, расположенной у верхней и нижней граней сечения) допускается выполнять расчет по предельным усилиям;
по наклонным сечениям (при действии поперечных сил), по пространственным сечениям (при действии крутящих моментов), на местное действие нагрузки (местное сжатие, продавливание) - по предельным усилиям.
Расчет по прочности коротких железобетонных элементов (коротких консолей и других элементов) производят на основе каркасно-стержневой модели.
5.2.2. Расчет по прочности бетонных и железобетонных элементов по предельным усилиям производят из условия, что усилие от внешних нагрузок и воздействий F в рассматриваемом сечении не должно превышать предельного усилия

, которое может быть воспринято элементом в этом сечении

. (5.1)
Расчет бетонных элементов по прочности
5.2.3. Бетонные элементы в зависимости от условий их работы и требований, предъявляемых к ним, следует рассчитывать по нормальным сечениям по предельным усилиям без учета (см. 5.2.4) или с учетом (см.
5.2.5) сопротивления бетона растянутой зоны.
5.2.4. Без учета сопротивления бетона растянутой зоны производят расчет внецентренно сжатых бетонных элементов при значениях эксцентриситета продольной силы, не превышающих 0,9 расстояния от центра тяжести сечения до наиболее сжатого волокна. При этом предельное усилие, которое может быть воспринято элементом, определяют по расчетным сопротивлениям бетона сжатию

, равномерно распределенным по условной сжатой зоне сечения с центром тяжести, совпадающим с точкой приложения продольной силы.
Для массивных бетонных конструкций следует принимать в сжатой зоне треугольную эпюру напряжений, не превышающих расчетного значения сопротивления бетона сжатию

. При этом эксцентриситет продольной силы относительно центра тяжести сечения не должен превышать 0,65 расстояния от центра тяжести до наиболее сжатого волокна бетона.
5.2.5. С учетом сопротивления бетона растянутой зоны производят расчет внецентренно сжатых бетонных элементов с эксцентриситетом продольной силы, большим указанного в
5.2.4 настоящего раздела, изгибаемых бетонных элементов (которые допускаются к применению), а также внецентренно сжатых элементов с эксцентриситетом продольной силы, равным указанному в
5.2.4, но в которых по условиям эксплуатации не допускается образование трещин. При этом предельное усилие, которое может быть воспринято сечением элемента, определяют как для упругого тела при максимальных растягивающих напряжениях, равных расчетному значению сопротивления бетона осевому растяжению

.
5.2.6. При расчете внецентренно сжатых бетонных элементов следует учитывать влияние продольного изгиба и случайных эксцентриситетов.
Расчет железобетонных элементов по прочности
нормальных сечений
5.2.7. Расчет железобетонных элементов по предельным усилиям следует проводить, определяя предельные усилия, которые могут быть восприняты бетоном и арматурой в нормальном сечении, исходя из следующих положений:
сопротивление бетона растяжению принимают равным нулю;
сопротивление бетона сжатию представляется напряжениями, равными расчетному сопротивлению бетона сжатию и равномерно распределенными по условной сжатой зоне бетона;
растягивающие и сжимающие напряжения в арматуре принимаются не более расчетного сопротивления растяжению и сжатию соответственно.
5.2.8. Расчет железобетонных элементов по нелинейной деформационной модели производят на основе диаграмм состояния бетона и арматуры, исходя из гипотезы плоских сечений. Критерием прочности нормальных сечений является достижение предельных относительных деформаций в бетоне или арматуре.
5.2.9. При расчете внецентренно сжатых железобетонных элементов следует учитывать случайный эксцентриситет и влияние продольного изгиба.
Расчет железобетонных элементов по прочности
наклонных сечений
5.2.10. Расчет железобетонных элементов по прочности наклонных сечений производят: по наклонному сечению на действие поперечной силы, по наклонному сечению на действие изгибающего момента и по полосе между наклонными сечениями на действие поперечной силы.
5.2.11. При расчете железобетонного элемента по прочности наклонного сечения на действие поперечной силы предельную поперечную силу, которая может быть воспринята элементом в наклонном сечении, следует определять как сумму предельных поперечных сил, воспринимаемых бетоном в наклонном сечении и поперечной арматурой, пересекающей наклонное сечение.
5.2.12. При расчете железобетонного элемента по прочности наклонного сечения на действие изгибающего момента предельный момент, который может быть воспринят элементом в наклонном сечении, следует определять как сумму предельных моментов, воспринимаемых пересекающей наклонное сечение продольной и поперечной арматурой, относительно оси, проходящей через точку приложения равнодействующей усилий в сжатой зоне.
5.2.13. При расчете железобетонного элемента по полосе между наклонными сечениями на действие поперечной силы предельную поперечную силу, которая может быть воспринята элементом, следует определять исходя из прочности наклонной бетонной полосы, находящейся под воздействием сжимающих усилий вдоль полосы и растягивающих усилий от поперечной арматуры, пересекающей наклонную полосу.
Расчет железобетонных элементов по прочности
пространственных сечений
5.2.14. При расчете железобетонных элементов по прочности пространственных сечений предельный крутящий момент, который может быть воспринят элементом, следует определять как сумму предельных крутящих моментов, воспринимаемых продольной и поперечной арматурой, расположенной у каждой грани элемента. Кроме того, следует производить расчет по прочности железобетонного элемента по бетонной полосе, расположенной между пространственными сечениями и находящейся под воздействием сжимающих усилий вдоль полосы и растягивающих усилий от поперечной арматуры, пересекающей полосу.
Расчет железобетонных элементов на местное
действие нагрузки
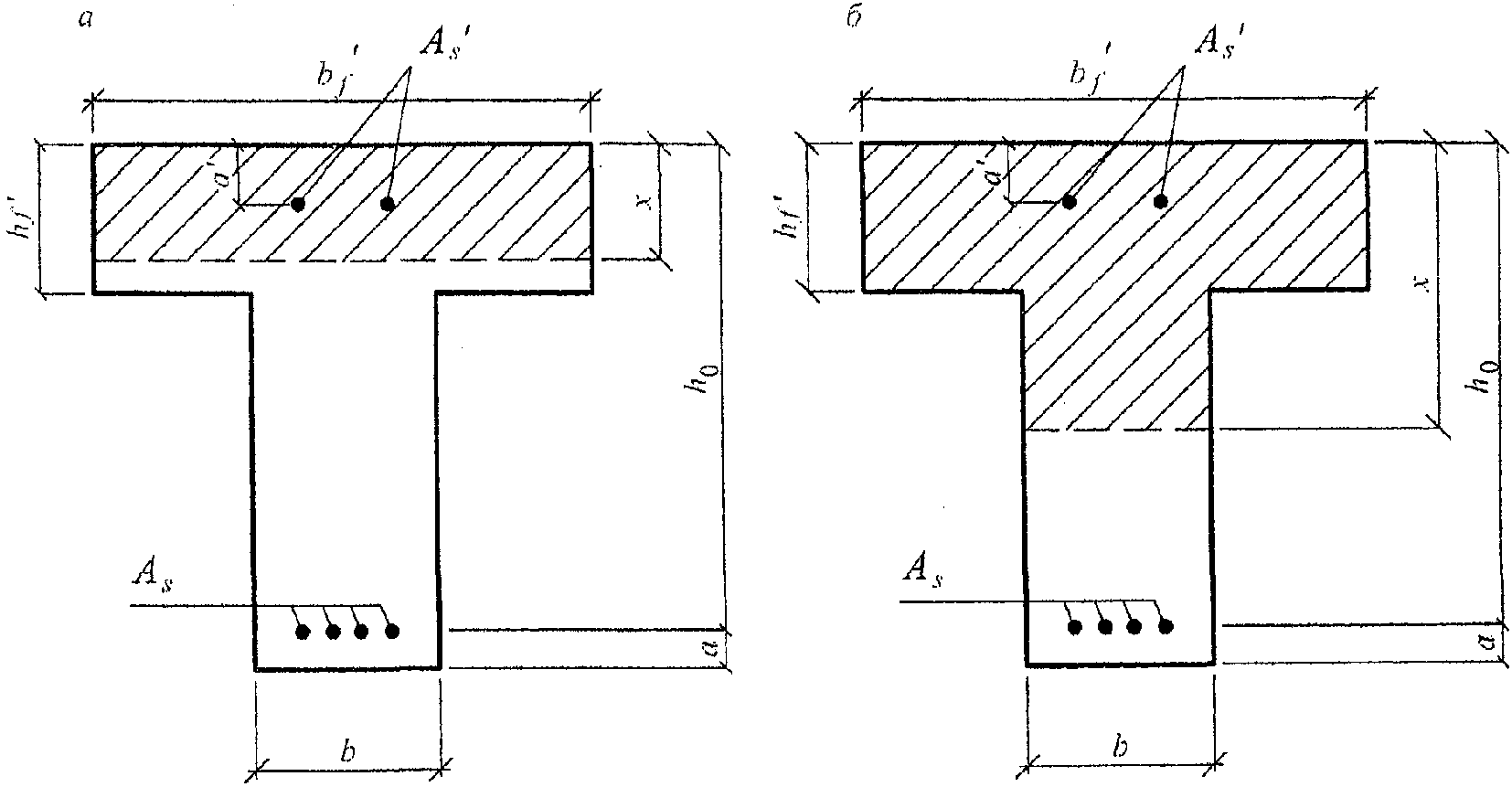
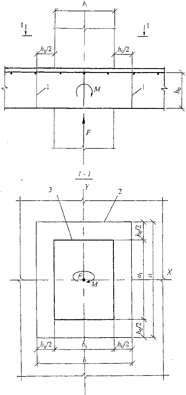
5.2.15. При расчете железобетонных элементов на местное сжатие предельную сжимающую силу, которая может быть воспринята элементом, следует определять исходя из сопротивления бетона при объемном напряженном состоянии, создаваемом окружающим бетоном и косвенной арматурой, если она установлена.
5.2.16. Расчет на продавливание производят для плоских железобетонных элементов (плит) при действии сосредоточенных силы и момента в зоне продавливания. Предельное усилие, которое может быть воспринято железобетонным элементом при продавливании, следует определять как сумму предельных усилий, воспринимаемых бетоном и поперечной арматурой, расположенной в зоне продавливания.
5.3. Требования к расчету железобетонных элементов по образованию трещин
5.3.1. Расчет железобетонных элементов по образованию нормальных трещин производят по предельным усилиям или по нелинейной деформационной модели. Расчет по образованию наклонных трещин производят по предельным усилиям.
5.3.2. Расчет по образованию трещин железобетонных элементов по предельным усилиям производят из условия, по которому усилие от внешних нагрузок и воздействий F в рассматриваемом сечении не должно превышать предельного усилия

, которое может быть воспринято железобетонным элементом при образовании трещин.

. (5.2)
5.3.3. Предельное усилие, воспринимаемое железобетонным элементом при образовании нормальных трещин, следует определять исходя из расчета железобетонного элемента как сплошного тела с учетом упругих деформаций в арматуре и неупругих деформаций в растянутом и сжатом бетоне при максимальных нормальных растягивающих напряжениях в бетоне, равных расчетным значениям сопротивления бетона осевому растяжению

.
5.3.4. Расчет железобетонных элементов по образованию нормальных трещин по нелинейной деформационной модели производят на основе диаграмм состояния арматуры, растянутого и сжатого бетона и гипотезы плоских сечений. Критерием образования трещин является достижение предельных относительных деформаций в растянутом бетоне.
5.3.5. Предельное усилие, которое может быть воспринято железобетонным элементом при образовании наклонных трещин, следует определять исходя из расчета железобетонного элемента как сплошного упругого тела и критерия прочности бетона при плоском напряженном состоянии "сжатие-растяжение".
5.4. Требования к расчету железобетонных элементов по раскрытию трещин
5.4.1. Расчет железобетонных элементов производят по раскрытию различного вида трещин в тех случаях, когда расчетная проверка на образование трещин показывает, что трещины образуются.
5.4.2. Расчет по раскрытию трещин производят из условия, по которому ширина раскрытия трещин от внешней нагрузки

не должна превосходить предельно допустимого значения ширины раскрытия трещин

.

. (5.3)
5.4.3. Ширину раскрытия нормальных трещин определяют как произведение средних относительных деформаций арматуры на участке между трещинами и длины этого участка. Средние относительные деформации арматуры между трещинами определяют с учетом работы растянутого бетона между трещинами. Относительные деформации арматуры в трещине определяют из условно упругого расчета железобетонного элемента с трещинами с использованием приведенного модуля деформации сжатого бетона, установленного с учетом влияния неупругих деформаций бетона сжатой зоны, или по нелинейной деформационной модели. Расстояние между трещинами определяют из условия, по которому разность усилий в продольной арматуре в сечении с трещиной и между трещинами должна быть воспринята усилиями сцепления арматуры с бетоном на длине этого участка.
Ширину раскрытия нормальных трещин следует определять с учетом характера действия нагрузки (повторяемости, длительности и т.п.) и вида профиля арматуры.
5.4.4. Предельно допустимую ширину раскрытия трещин

следует устанавливать исходя из эстетических соображений, наличия требований к проницаемости конструкций, а также в зависимости от длительности действия нагрузки, вида арматурной стали и ее склонности к развитию коррозии в трещине (с учетом
СП 28.13330).
5.5. Требования к расчету железобетонных элементов по деформациям
5.5.1. Расчет железобетонных элементов по деформациям производят из условия, по которому прогибы или перемещения конструкций f от действия внешней нагрузки не должны превышать предельно допустимых значений прогибов или перемещений

.

. (5.4)
5.5.2. Прогибы или перемещения железобетонных конструкций определяют по общим правилам строительной механики в зависимости от изгибных, сдвиговых и осевых деформационных характеристик железобетонного элемента в сечениях по его длине (кривизна, углы сдвига и т.д.).
5.5.3. В тех случаях, когда прогибы железобетонных элементов в основном зависят от изгибных деформаций, значения прогибов определяют по кривизнам элементов или по жесткостным характеристикам.
Кривизну железобетонного элемента определяют как частное деления изгибающего момента на жесткость железобетонного сечения при изгибе.
Жесткость рассматриваемого сечения железобетонного элемента определяют по общим правилам сопротивления материалов: для сечения без трещин - как для условно упругого сплошного элемента, а для сечения с трещинами - как для условно упругого элемента с трещинами (принимая линейную зависимость между напряжениями и деформациями). Влияние неупругих деформаций бетона учитывают с помощью приведенного модуля деформаций бетона, а влияние работы растянутого бетона между трещинами - с помощью приведенного модуля деформаций арматуры.
Расчет деформаций железобетонных конструкций с учетом трещин производят в тех случаях, когда расчетная проверка на образование трещин показывает, что трещины образуются. В противном случае производят расчет деформаций как для железобетонного элемента без трещин.
Кривизну и продольные деформации железобетонного элемента также определяют по нелинейной деформационной модели исходя из уравнений равновесия внешних и внутренних усилий, действующих в нормальном сечении элемента, гипотезы плоских сечений, диаграмм состояния бетона и арматуры и средних деформаций арматуры между трещинами.
5.5.4. Расчет деформаций железобетонных элементов следует производить с учетом длительности действия нагрузок, устанавливаемых соответствующими нормативными документами.
При вычислении прогибов жесткость участков элемента следует определять с учетом наличия или отсутствия нормальных к продольной оси элемента трещин в растянутой зоне их сечения.
5.5.5. Значения предельно допустимых деформаций принимают в соответствии с указаниями
8.2.20. При действии постоянных и временных длительных и кратковременных нагрузок прогиб железобетонных элементов во всех случаях не должен превышать 1/150 пролета и 1/75 вылета консоли.
| | Применение на обязательной основе раздела 6 обеспечивает соблюдение требований Федерального закона от 30.12.2009 N 384-ФЗ "Технический регламент о безопасности зданий и сооружений" (Постановление Правительства РФ от 26.12.2014 N 1521). | |
6. Материалы для бетонных и железобетонных конструкций
6.1.1. Для бетонных и железобетонных конструкций, проектируемых в соответствии с требованиями настоящего свода правил, следует предусматривать конструкционные бетоны:
тяжелый средней плотности от 2200 до 2500 кг/м3 включительно;
мелкозернистый средней плотности от 1800 до 2200 кг/м3;
легкий;
ячеистый;
напрягающий.
6.1.2. При проектировании бетонных и железобетонных сооружений в соответствии с требованиями, предъявленными к конкретным конструкциям, должны быть установлены вид бетона и его нормируемые показатели качества (
ГОСТ 25192,
ГОСТ 4.212), контролируемые на производстве.
6.1.3. Основными нормируемыми и контролируемыми показателями качества бетона являются:
класс по прочности на сжатие В;
класс по прочности на осевое растяжение

;
марка по морозостойкости F;
марка по водонепроницаемости W;
марка по средней плотности D;
марка по самонапряжению

.
Класс бетона по прочности на сжатие В соответствует значению кубиковой прочности бетона на сжатие, МПа, с обеспеченностью 0,95 (нормативная кубиковая прочность).
Класс бетона по прочности на осевое растяжение

соответствует значению прочности бетона на осевое растяжение, МПа, с обеспеченностью 0,95 (нормативная прочность бетона).
Допускается принимать иное значение обеспеченности прочности бетона на сжатие и осевое растяжение в соответствии с требованиями нормативных документов для отдельных специальных видов сооружений.
Марка бетона по морозостойкости F соответствует минимальному числу циклов переменного замораживания и оттаивания, выдерживаемых образцом при стандартном испытании.
Марка бетона по водонепроницаемости W соответствует максимальному значению давления воды

, выдерживаемому бетонным образцом при испытании.
Марка бетона по средней плотности D соответствует среднему значению объемной массы бетона (кг/м3).
Марка напрягающего бетона по самонапряжению представляет собой значение предварительного напряжения в бетоне, МПа, создаваемого в результате его расширения при коэффициенте продольного армирования

.
При необходимости устанавливают дополнительные показатели качества бетона, связанные с теплопроводностью, температуростойкостью, огнестойкостью, коррозионной стойкостью (как самого бетона, так и находящейся в нем арматуры), биологической защитой и с другими требованиями, предъявляемыми к конструкции (
СП 50.13330,
СП 28.13330).
Нормируемые показатели качества бетона должны быть обеспечены соответствующим проектированием состава бетонной смеси (на основе характеристик материалов для бетона и требований к бетону), технологией приготовления бетонной смеси и производства бетонных работ при изготовлении (сооружении) бетонных и железобетонных изделий и конструкций. Нормируемые показатели качества бетона должны контролироваться как в процессе производства работ, так и непосредственно в изготовленных конструкциях.
Необходимые нормируемые показатели качества бетона следует устанавливать при проектировании бетонных и железобетонных конструкций в соответствии с расчетом и условиями изготовления и эксплуатации конструкций с учетом различных воздействий окружающей среды и защитных свойств бетона по отношению к принятому виду арматуры.
Класс бетона по прочности на сжатие В назначают для всех видов бетонов и конструкций.
Класс бетона по прочности на осевое растяжение

назначают в случаях, когда эта характеристика имеет главенствующее значение в работе конструкции и ее контролируют на производстве.
Марку бетона по морозостойкости F назначают для конструкций, подвергающихся воздействию переменного замораживания и оттаивания.
Марку бетона по водонепроницаемости W назначают для конструкций, к которым предъявляют требования по ограничению водопроницаемости.
Марку бетона по самонапряжению необходимо назначать для самонапряженных конструкций, когда эту характеристику учитывают в расчете и контролируют на производстве.
6.1.4. Для бетонных и железобетонных конструкций следует предусматривать бетоны следующих классов и марок, приведенных в таблицах 6.1 -
6.6.
Таблица 6.1
Бетон | Классы по прочности на сжатие |
Тяжелый бетон | В3,5; В5; В7,5; В10; В12,5; В15; В20; В25; В30; В35; В40; В45; В50; В55; В60; В70; В80; В90; В100 |
Напрягающий бетон | В20; В25; В30; В35; В40; В45; В50; В55; В60; В70 |
Мелкозернистый бетон групп: | |
А - естественного твердения или подвергнутый тепловой обработке при атмосферном давлении | В3,5; В5; В7,5; В10; В12,5; В15; В20; В25; В30; В35; В40 |
Б - подвергнутый автоклавной обработке | В15; В20; В25; В30; В35; В40; В45; В50; В55; В60 |
Легкий бетон марок по средней плотности: | |
D800, D900 | В2,5; В3,5; В5; В7,5 |
D1000, D1100 | В2,5; В3,5; В5; В7,5; В10; В12,5 |
D1200, D1300 | В2,5; В3,5; В5; В7,5; В10; В12,5; В15; В20 |
D1400, D1500 | В3,5; В5; В7,5; В10; В12,5; В15; В20; В25; В30 |
D1600, D1700 | В7,5; В10; В12,5; В15; В20; В25; В30; В35; В40 |
D1800, D1900 | В15; В20; В25; В30; В35; В40 |
D2000 | В25; В30; В35; В40 |
Ячеистый бетон при марках по средней плотности: | Автоклавный | Неавтоклавный |
D500 | В1,5; В2; В2,5 | - |
D600 | В1,5; В2; В2,5; В3,5 | В1,5; В2 |
D700 | В2; В2,5; В3,5; В5 | В1,5; В2; В2,5 |
D800 | В2,5; В3,5; В5; В7,5 | В2; В2,5; В3,5 |
D900 | В3,5; В5; В7,5; В10 | В2,5; В3,5; В5 |
D1000 | В7,5; В10; В12,5 | В5; В7,5 |
D1100 | В10; В12,5; В15; В17,5 | В7,5; В10 |
D1200 | В12,5; В15; В17,5; В20 | В10; В12,5 |
Поризованный бетон при марках по средней плотности: | |
D800, D900, D1000 | В2,5; В3,5; В5 |
D1100, D1200, D1300 | В7,5 |
D1400 | В3,5; В5; В7,5 |
Примечание. В настоящем своде правил термины "легкий бетон" и "поризованный бетон" используются соответственно для обозначения легкого бетона плотной структуры и легкого бетона поризованной структуры (со степенью поризации свыше 6%). |
Таблица 6.2
Классы бетона по прочности на осевое растяжение
Бетон | Класс прочности на осевое растяжение |
Тяжелый, напрягающий, мелкозернистый бетоны | Вt0,8; Вt1,2; Вt1,6; Вt2,0; Вt2,4; Вt2,8; Вt3,2; Вt3,6; Вt4,0 |
Легкий бетон | Вt0,8; Вt1,2; Вt1,6; Вt2,0; Вt2,4; Вt2,8; Вt3,2 |
Таблица 6.3
Марки бетона по морозостойкости
Бетон | Марки по морозостойкости |
Тяжелый, напрягающий и мелкозернистый бетоны | F50; F75; F100; F150; F200; F300; F400; F500; F600; F700; F800; F1000 |
Легкий бетон | F25; F35; F50; F75; F100; F150; F200; F300; F400; F500 |
Ячеистый и поризованный бетоны | F15; F25; F35; F50; F75; F100 |
Таблица 6.4
Марки бетона по водонепроницаемости
Бетон | Марки по водонепроницаемости |
Тяжелый, мелкозернистый бетоны | W2; W4; W6; W8; W10; W12; W14; W16; W18; W20 |
Легкий бетон | W2; W4; W6; W8; W10; W12 |
Примечание. Для напрягающего бетона марка по водонепроницаемости обеспечивается не ниже W12 и в проектах может не указываться. |
Таблица 6.5
Марки бетона по средней плотности
Бетон | Марки по средней плотности |
Легкий бетон | D800; D900; D1000; D1100; D1200; D1300; D1400; D1500; D1600; D1700; D1800; D1900; D2000 |
Ячеистый бетон | D500; D600; D700; D800; D900; D1000; D1100; D1200 |
Поризованный бетон | D800; D900; D1000; D1100; D1200; D1300; D1400 |
Таблица 6.6
Марки бетона по самонапряжению
Бетон | Марки по самонапряжению |
Напрягающий бетон | Sp0,6; Sp0,8; Sp1; Sp1,2; Sp1,5; Sp2; Sp3; Sp4 |
6.1.5. Проектный возраст бетона, т.е. возраст, в котором бетон должен приобрести все нормируемые для него показатели качества, назначают при проектировании, исходя из возможных реальных сроков загружения конструкций проектными нагрузками, с учетом способа возведения конструкций и условий твердения бетона. При отсутствии этих данных класс бетона устанавливают в проектном возрасте 28 сут.
Значение нормируемых отпускной и передаточной прочностей бетона в элементах сборных конструкций следует назначать в соответствии с
ГОСТ 13015 и стандартами на конструкции конкретных видов.
6.1.6. Для железобетонных конструкций следует применять класс бетона по прочности на сжатие не ниже В15.
Для предварительно напряженных железобетонных конструкций класс бетона по прочности на сжатие следует принимать в зависимости от вида и класса напрягаемой арматуры, но не ниже В20.
Передаточную прочность бетона

(прочность бетона к моменту его обжатия, контролируемая аналогично классу бетона по прочности на сжатие) следует назначать не менее 15 МПа и не менее 50% принятого класса бетона по прочности на сжатие.
6.1.7. Мелкозернистый бетон без специального экспериментального обоснования не допускается применять для железобетонных конструкций, подвергающихся воздействию многократно повторяющейся нагрузки, а также для предварительно напряженных конструкций пролетом свыше 12 м при армировании проволочной арматурой классов В,

и К.
Класс мелкозернистого бетона по прочности на сжатие, применяемого для защиты от коррозии и обеспечения сцепления с бетоном напрягаемой арматуры, расположенной в пазах и на поверхности конструкции, должен быть не ниже В20, а для инъекции каналов - не ниже В25.
6.1.8. Марку бетона по морозостойкости следует назначать в зависимости от требований, предъявляемых к конструкциям, режима их эксплуатации и условий окружающей среды согласно
СП 28.13330.
Для надземных конструкций, подвергаемых атмосферным воздействиям окружающей среды при расчетной отрицательной температуре наружного воздуха в холодный период от минус 5 °C до минус 40 °C, принимают марку бетона по морозостойкости не ниже F75. При расчетной температуре наружного воздуха выше минус 5 °C для надземных конструкций марку бетона по морозостойкости не нормируют.
6.1.9. Марку бетона по водонепроницаемости следует назначать в зависимости от требований, предъявляемых к конструкциям, режима их эксплуатации и условий окружающей среды согласно
СП 28.13330.
Для надземных конструкций, подвергаемых атмосферным воздействиям при расчетной отрицательной температуре наружного воздуха выше минус 40 °C, а также для наружных стен отапливаемых зданий марку бетона по водонепроницаемости не нормируют.
6.1.10. Основными прочностными характеристиками бетона являются нормативные значения:
сопротивления бетона осевому сжатию

;
сопротивления бетона осевому растяжению

.
Нормативные значения сопротивления бетона осевому сжатию (призменная прочность) и осевому растяжению (при назначении класса бетона на прочность на сжатие) принимают в зависимости от класса бетона по прочности на сжатие В согласно таблице 6.7.
Вид | Бетон | Нормативные сопротивления бетона Rb,n, Rbt,n, МПа, и расчетные сопротивления бетона для предельных состояний второй группы Rb,ser и Rbt,ser, МПа, при классе бетона по прочности на сжатие |
В1,5 | В2 | В2,5 | В3,5 | В5 | В7,5 | В10 | В12,5 | В15 | В20 | В25 | В30 | В35 | В40 | В45 | В50 | В55 | В60 | В70 | В80 | В90 | В100 |
Сжатие осевое (призменная прочность) Rb,n и Rb,ser | Тяжелый, мелкозернистый и напрягающий | - | - | - | 2,7 | 3,5 | 5,5 | 7,5 | 9,5 | 11 | 15 | 18,5 | 22 | 25,5 | 29 | 32 | 36 | 39,5 | 43 | 50 | 57 | 64 | 71 |
Легкий | - | - | 1,9 | 2,7 | 3,5 | 5,5 | 7,5 | 9,5 | 11 | 15 | 18,5 | 22 | 25,5 | 29 | - | - | - | - | - | - | - | - |
Ячеистый | 1,4 | 1,9 | 2,4 | 3,3 | 4,6 | 6,9 | 9,0 | 10,5 | 11,5 | - | - | - | - | - | - | - | - | - | - | - | - | - |
Растяжение осевое Rbt,n и Rbt,ser | Тяжелый, мелкозернистый и напрягающий | - | - | - | 0,39 | 0,55 | 0,70 | 0,85 | 1,00 | 1,10 | 1,35 | 1,55 | 1,75 | 1,95 | 2,10 | 2,25 | 2,45 | 2,60 | 2,75 | 3,00 | 3,30 | 3,60 | 3,80 |
Легкий | - | - | 0,29 | 0,39 | 0,55 | 0,70 | 0,85 | 1,00 | 1,10 | 1,35 | 1,55 | 1,75 | 1,95 | 2,10 | - | - | - | - | - | - | - | - |
Ячеистый | 0,22 | 0,26 | 0,31 | 0,41 | 0,55 | 0,63 | 0,89 | 1,00 | 1,05 | - | - | - | - | - | - | - | - | - | - | - | - | - |
Примечания. 1. Значения сопротивлений приведены для ячеистого бетона средней влажностью 10%. 2. Для мелкозернистого бетона на песке с модулем крупности 2,0 и менее, а также для легкого бетона на мелком пористом заполнителе значения расчетных сопротивлений Rbt,n, Rbt,ser следует принимать с умножением на коэффициент 0,8. 3. Для поризованного бетона, а также для керамзитоперлитобетона на вспученном перлитовом песке значения расчетных сопротивлений Rbt,n, Rbt,ser следует принимать как для легкого бетона с умножением на коэффициент 0,7. 4. Для напрягающего бетона значения Rbt,n, Rbt,ser следует принимать с умножением на коэффициент 1,2. |
При назначении класса бетона по прочности на осевое растяжение

нормативные значения сопротивления бетона осевому растяжению

принимают равными числовой характеристике класса бетона на осевое растяжение.
6.1.11. Расчетные значения сопротивления бетона осевому сжатию

и осевому растяжению

определяют по формулам:

; (6.1)

. (6.2)
Значения коэффициента надежности по бетону при сжатии

принимают равными:
для расчета по предельным, состояниям первой группы:
1,3 - для тяжелого, мелкозернистого, напрягающего и легкого бетонов;
1,5 - для ячеистого бетона;
для расчета по предельным состояниям второй группы: 1,0.
Значения коэффициента надежности по бетону при растяжении

принимают равными:
для расчета по предельным состояниям первой группы при назначении класса бетона по прочности на сжатие:
1,5 - для тяжелого, мелкозернистого, напрягающего и легкого бетонов;
2,3 - для ячеистого бетона;
для расчета по предельным состояниям первой группы при назначении класса бетона по прочности на растяжение:
1,3 - для тяжелого, мелкозернистого, напрягающего и легкого бетонов;
для расчета по предельным состояниям второй группы: 1,0.
Расчетные значения сопротивления бетона

,

,

,

(с округлением) в зависимости от класса бетона по прочности на сжатие и осевое растяжение приведены: для предельных состояний первой группы - в таблицах 6.8,
6.9, второй группы - в
таблице 6.7.
Вид | Бетон | Расчетные сопротивления бетона Rb, Rbt, МПа, для предельных состояний первой группы при классе бетона по прочности на сжатие |
В1,5 | В2 | В2,5 | В3,5 | В5 | В7,5 | В10 | В12,5 | В15 | В20 | В25 | В30 | В35 | В40 | В45 | В50 | В55 | В60 | В70 | В80 | В90 | В100 |
Сжатие осевое (призменная прочность) Rb | Тяжелый, мелкозернистый и напрягающий | - | - | - | 2,1 | 2,8 | 4,5 | 6,0 | 7,5 | 8,5 | 11,5 | 14,5 | 17,0 | 19,5 | 22,0 | 25,0 | 27,5 | 30,0 | 33,0 | 37,0 | 41,0 | 44,0 | 47,5 |
Легкий | - | - | 1,5 | 2,1 | 2,8 | 4,5 | 6,0 | 7,5 | 8,5 | 11,5 | 14,5 | 17,0 | 19,5 | 22,0 | - | - | - | - | - | - | - | - |
Ячеистый | 0,95 | 1,3 | 1,6 | 2,2 | 3,1 | 4,6 | 6,0 | 7,0 | 7,7 | - | - | - | - | - | - | - | - | - | - | - | - | - |
Растяжение осевое Rbt | Тяжелый, мелкозернистый и напрягающий | - | - | - | 0,26 | 0,37 | 0,48 | 0,56 | 0,66 | 0,75 | 0,90 | 1,05 | 1,15 | 1,30 | 1,40 | 1,50 | 1,60 | 1,70 | 1,80 | 1,90 | 2,10 | 2,15 | 2,20 |
Легкий | - | - | 0,20 | 0,26 | 0,37 | 0,48 | 0,56 | 0,66 | 0,75 | 0,90 | 1,05 | 1,15 | 1,30 | 1,40 | - | - | - | - | - | - | - | - |
Ячеистый | 0,09 | 0,12 | 0,14 | 0,18 | 0,24 | 0,28 | 0,39 | 0,44 | 0,46 | - | - | - | - | - | - | - | - | - | - | - | - | - |
Примечания. 1. Значения сопротивлений приведены для ячеистого бетона средней влажностью 10%. 2. Для мелкозернистого бетона на песке с модулем крупности 2,0 и менее, а также для легкого бетона на мелком пористом заполнителе значения расчетных сопротивлений Rbt следует принимать с умножением на коэффициент 0,8. 3. Для поризованного бетона, а также для керамзитоперлитобетона на вспученном перлитовом песке значения расчетных сопротивлений Rbt следует принимать как для легкого бетона с умножением на коэффициент 0,7. 4. Для напрягающего бетона значения Rbt следует принимать с умножением на коэффициент 1,2. 5. Для тяжелых бетонов классов В70 - В100 расчетные значения сопротивления осевому сжатию Rb и осевому растяжению Rbt приняты с учетом дополнительного понижающего коэффициента  , учитывающего увеличение хрупкости высокопрочных бетонов в связи с уменьшением деформаций ползучести и равного  , где В - класс бетона по прочности на сжатие. |
Вид сопротивления | Бетон | Расчетные значения сопротивления бетона для предельных состояний первой группы Rbt, МПа, при классе бетона по прочности на осевое растяжение |
Вt0,8 | Вt1,2 | Вt1,6 | Вt2,0 | Вt2,4 | Вt2,8 | Вt3,2 |
Растяжение осевое Rbt | Тяжелый, мелкозернистый, напрягающий и легкий | 0,62 | 0,93 | 1,25 | 1,55 | 1,85 | 2,15 | 2,45 |
6.1.12. В необходимых случаях расчетные значения прочностных характеристик бетона умножают на следующие коэффициенты условий работы

, учитывающие особенности работы бетона в конструкции (характер нагрузки, условия окружающей среды и т.д.):
а)

- для бетонных и железобетонных конструкций, вводимый к расчетным значениям сопротивлений

и

и учитывающий влияние длительности действия статической нагрузки:

при непродолжительном (кратковременном) действии нагрузки;

при продолжительном (длительном) действии нагрузки. Для ячеистых и поризованных бетонов

;
б)

- для бетонных конструкций, вводимый к расчетным значениям сопротивления

и учитывающий характер разрушения таких конструкций,

;
в)

- для бетонных и железобетонных конструкций, бетонируемых в вертикальном положении при высоте слоя бетонирования свыше 1,5 м, вводимый к расчетному значению сопротивления бетона

,

;
г)

- для ячеистых бетонов, вводимый к расчетному значению сопротивления бетона

:

- при влажности ячеистого бетона 10% и менее;

- при влажности ячеистого бетона более 25%;
по интерполяции - при влажности ячеистого бетона свыше 10% и менее 25%.
Влияние попеременного замораживания и оттаивания, а также отрицательных температур учитывают коэффициентом условий работы бетона

. Для надземных конструкций, подвергаемых атмосферным воздействиям окружающей среды при расчетной температуре наружного воздуха в холодный период минус 40 °C и выше, принимают коэффициент

. В остальных случаях значения коэффициента принимают в зависимости от назначения конструкции и условий окружающей среды согласно специальным указаниям.
6.1.13. Основными деформационными характеристиками бетона являются значения:
предельных относительных деформаций бетона при осевом сжатии и растяжении (при однородном напряженном состоянии бетона)

и

;
начального модуля упругости

;
модуля сдвига G;
коэффициента (характеристики) ползучести

;
коэффициента поперечной деформации бетона (коэффициента Пуассона)

;
коэффициента линейной температурной деформации бетона

.
6.1.14. Значения предельных относительных деформаций тяжелого, мелкозернистого и напрягающего бетонов принимают равными:
при непродолжительном действии нагрузки:

при осевом сжатии;

при осевом растяжении;
при продолжительном действии нагрузки - по таблице 6.10 в зависимости от относительной влажности воздуха окружающей среды.
Относительная влажность воздуха окружающей среды, % | Относительные деформации тяжелого, мелкозернистого и напрягающего бетонов при продолжительном действии нагрузки |
при сжатии | при растяжении |
| | | | | |
Выше 75 | 3,0 | 4,2 | 2,4 | 0,21 | 0,27 | 0,19 |
40 - 75 | 3,4 | 4,8 | 2,8 | 0,24 | 0,31 | 0,22 |
Ниже 40 | 4,0 | 5,6 | 3,4 | 0,28 | 0,36 | 0,26 |
Примечания. 1. Относительную влажность воздуха окружающей среды принимают по СП 131.13330 как среднюю месячную относительную влажность наиболее теплого месяца для района строительства. 2. Для высокопрочных бетонов значения относительных деформаций следует принимать с умножением на отношение (270 - В)/210. |
Значения предельных относительных деформаций для легких, ячеистых и поризованных бетонов следует принимать по специальным указаниям.
Допускается принимать значения предельных относительных деформаций легких бетонов при продолжительном действии нагрузки по
таблице 6.4 с понижающим коэффициентом

(здесь

- плотность бетона.)
6.1.15. Значения начального модуля упругости бетона при сжатии и растяжении принимают в зависимости от класса бетона по прочности на сжатие В согласно таблице 6.11. Значения модуля сдвига бетона принимают равным

.
Таблица 6.11
Бетон | Значения начального модуля упругости бетона при сжатии и растяжении Eb, МПа·10-3, при классе бетона по прочности на сжатие |
В1,5 | В2 | В2,5 | В3,5 | В5 | В7,5 | В10 | В12,5 | В15 | В20 | В25 | В30 | В35 | В40 | В45 | В50 | В55 | В60 | В70 | В80 | В90 | В100 |
Тяжелый | - | - | - | 9,5 | 13,0 | 16,0 | 19,0 | 21,5 | 24,0 | 27,5 | 30,0 | 32,5 | 34,5 | 36,0 | 37,0 | 38,0 | 39,0 | 39,5 | 41,0 | 42,0 | 42,5 | 43 |
Мелкозернистый групп: | | | | | | | | | | | | | | | | | | | | | | |
А - естественного твердения | - | - | - | 7,0 | 10 | 13,5 | 15,5 | 17,5 | 19,5 | 22,0 | 24,0 | 26,0 | 27,5 | 28,5 | - | - | - | - | - | - | - | - |
Б - автоклавного твердения | - | - | - | - | - | - | - | - | 16,5 | 18,0 | 19,5 | 21,0 | 22,0 | 23,0 | 23,5 | 24,0 | 24,5 | 25,0 | - | - | - | - |
Легкий и поризованный марки по средней плотности: | | | | | | | | | | | | | | | | | | | | | | |
D800 | - | - | 4,0 | 4,5 | 5,0 | 5,5 | - | - | - | - | - | - | - | - | - | - | - | - | - | - | - | - |
D1000 | - | - | 5,0 | 5,5 | 6,3 | 7,2 | 8,0 | 8,4 | - | - | - | - | - | - | - | - | - | - | - | - | - | - |
D1200 | - | - | 6,0 | 6,7 | 7,6 | 8,7 | 9,5 | 10,0 | 10,5 | - | - | - | - | - | - | - | - | - | - | - | - | - |
D1400 | - | - | 7,0 | 7,8 | 8,8 | 10,0 | 11,0 | 11,7 | 12,5 | 13,5 | 14,5 | 15,5 | - | - | - | - | - | - | - | - | - | - |
D1600 | - | - | - | 9,0 | 10,0 | 11,5 | 12,5 | 13,2 | 14,0 | 15,5 | 16,5 | 17,5 | 18,0 | - | - | - | - | - | - | - | - | - |
D1800 | - | - | - | - | 11,2 | 13,0 | 14,0 | 14,7 | 15,5 | 17,0 | 18,5 | 19,5 | 20,5 | 21,0 | - | - | - | - | - | - | - | - |
D2000 | - | - | - | - | - | 14,5 | 16,0 | 17,0 | 18,0 | 19,5 | 21,0 | 22,0 | 23,0 | 23,5 | - | - | - | - | - | - | - | - |
Ячеистый автоклавного твердения марки по средней плотности: | | | | | | | | | | | | | | | | | | | | | | |
D500 | 1,4 | - | - | - | - | - | - | - | - | - | - | - | - | - | - | - | - | - | - | - | - | - |
D600 | 1,7 | 1,8 | 2,1 | - | - | - | - | - | - | - | - | - | - | - | - | - | - | - | - | - | - | - |
D700 | 1,9 | 2,2 | 2,5 | 2,9 | - | - | - | - | - | - | - | - | - | - | - | - | - | - | - | - | - | - |
D800 | - | - | 2,9 | 3,4 | 4,0 | - | - | - | - | - | - | - | - | - | - | - | - | - | - | - | - | - |
D900 | - | - | - | 3,8 | 4,5 | 5,5 | - | - | - | - | - | - | - | - | - | - | - | - | - | - | - | - |
D1000 | - | - | - | - | 5,0 | 6,0 | 7,0 | - | - | - | - | - | - | - | - | - | - | - | - | - | - | - |
D1100 | - | - | - | - | - | 6,8 | 7,9 | 8,3 | 8,6 | - | - | - | - | - | - | - | - | - | - | - | - | - |
D1200 | - | - | - | - | - | - | 8,4 | 8,8 | 9,3 | - | - | - | - | - | - | - | - | - | - | - | - | - |
Примечания. 1. Для мелкозернистого бетона группы А, подвергнутого тепловой обработке или при атмосферном давлении, значения начальных модулей упругости бетона следует принимать с коэффициентом 0,89. 2. Для легкого, ячеистого и поризованного бетонов при промежуточных значениях плотности бетона начальные модули упругости принимают по линейной интерполяции. 3. Для ячеистого бетона неавтоклавного твердения значения Eb принимают как для бетона автоклавного твердения с умножением на коэффициент 0,8. 4. Для напрягающего бетона значения Eb принимают как для тяжелого бетона с умножением на коэффициент  . |
При продолжительном действии нагрузки значения модуля деформаций бетона определяют по формуле

, (6.3)
где

- коэффициент ползучести бетона, принимаемый согласно 6.1.16.
6.1.16. Значения коэффициента ползучести бетона

принимают в зависимости от условий окружающей среды (относительной влажности воздуха) и класса бетона. Значения коэффициентов ползучести тяжелого, мелкозернистого и напрягающего бетонов приведены в таблице 6.12.
Относительная влажность воздуха окружающей среды, % | Значения коэффициента ползучести бетона  при классе тяжелого бетона на сжатие |
В10 | В15 | В20 | В25 | В30 | В35 | В40 | В45 | В50 | В55 | В60 - В100 |
Выше 75 | 2,8 | 2,4 | 2,0 | 1,8 | 1,6 | 1,5 | 1,4 | 1,3 | 1,2 | 1,1 | 1,0 |
40 - 75 | 3,9 | 3,4 | 2,8 | 2,5 | 2,3 | 2,1 | 1,9 | 1,8 | 1,6 | 1,5 | 1,4 |
Ниже 40 | 5,6 | 4,8 | 4,0 | 3,6 | 3,2 | 3,0 | 2,8 | 2,6 | 2,4 | 2,2 | 2,0 |
Примечание. Относительную влажность воздуха окружающей среды принимают по СП 131.13330 как среднюю месячную относительную влажность наиболее теплого месяца для района строительства. |
Значения коэффициента ползучести легких, ячеистых и поризованных бетонов следует принимать по специальным указаниям.
Допускается принимать значения коэффициента ползучести легких бетонов по
таблице 6.12 с понижающим коэффициентом

.
6.1.17. Значение коэффициента поперечной деформации бетона допускается принимать

.
6.1.18. Значение коэффициента линейной температурной деформации бетона при изменении температуры от минус 40 °C до плюс 50 °C принимают:

- для тяжелого, мелкозернистого, напрягающего бетонов и легкого бетона при мелком плотном заполнителе;

- для легкого бетона при мелком пористом заполнителе;

- для ячеистого и поризованного бетонов.
6.1.19. Диаграммы состояния бетона используют при расчете железобетонных элементов по нелинейной деформационной модели.
В качестве расчетных диаграмм состояния бетона, определяющих связь между напряжениями и относительными деформациями, могут быть использованы любые виды диаграмм бетона: криволинейные, в том числе с ниспадающей ветвью
(Приложение Г), кусочно-линейные (двухлинейные и трехлинейные), отвечающие поведению бетона. При этом должны быть обозначены основные параметрические точки диаграмм (максимальные напряжения и соответствующие деформации, граничные значения и т.д.).
(в ред.
Изменения N 2, утв. Приказом Минстроя России от 30.12.2015 N 981/пр)
В качестве рабочих диаграмм состояния тяжелого, мелкозернистого и напрягающего бетонов, определяющих связь между напряжениями и относительными деформациями, принимают упрощенные трехлинейную и двухлинейную диаграммы (
рисунки 6.1, а, б) по типу диаграмм Прандтля.
а - Трехлинейная диаграмма состояния сжатого бетона;
б - Двухлинейная диаграмма состояния сжатого бетона
Рисунок 6.1. Диаграммы состояния сжатого бетона
6.1.20. При трехлинейной диаграмме (рисунок 6.1, а) сжимающие напряжения бетона

в зависимости от относительных деформаций укорочения бетона

определяют по формулам:
При


. (6.4)
При


. (6.5)
При


. (6.6)
Значения напряжений

принимают

,
а значения относительных деформаций

принимают
Значения относительных деформаций

для тяжелого, мелкозернистого и напрягающего бетонов принимают:
при непродолжительном действии нагрузки:
для бетонов класса по прочности на сжатие В60 и ниже

;
для высокопрочных бетонов класса по прочности на сжатие В70 - В100

принимается по линейному закону от 0,0033 при В70 до 0,0028 при В100;
6.1.21. При двухлинейной диаграмме (
рисунок 6.1, б) сжимающие напряжения бетона

в зависимости от относительных деформаций

определяют по формулам:
при

где

,

; (6.7)
при


. (6.8)
Значения приведенного модуля деформации бетона

принимают:

. (6.9)
Значения относительных деформаций

принимают:
для тяжелого бетона при непродолжительном действии нагрузки

;
для легкого бетона при непродолжительном действии нагрузки

;
для тяжелого бетона при продолжительном действии нагрузки по
таблице 6.10.
Значения

,

принимают как в
6.1.20.
6.1.22. Растягивающие напряжения бетона

в зависимости от относительных деформаций

определяют по приведенным в
6.1.20 и
6.1.21 диаграммам. При этом расчетные значения сопротивления бетона сжатию

заменяют на расчетные значения сопротивления бетона растяжению

согласно
6.1.11,
6.1.12, значения начального модуля упругости

определяют согласно
6.1.15, значения относительной деформации

принимают согласно
6.1.12, значения относительной деформации

принимают для тяжелого, мелкозернистого и напрягающего бетонов: при непродолжительном действии нагрузки -

, при продолжительном действии нагрузки - по
таблице 6.10. Для двухлинейной диаграммы принимают

при непродолжительном действии нагрузки, а при продолжительном - по
таблице 6.10; значения

определяют по
формуле (6.9), подставляя в нее

и

.
(в ред.
Изменения N 2, утв. Приказом Минстроя России от 30.12.2015 N 981/пр)
6.1.23. При расчете прочности железобетонных элементов по нелинейной деформационной модели для определения напряженно-деформированного состояния сжатой зоны бетона используют диаграммы состояния сжатого бетона, приведенные в
6.1.20 и
6.1.21 с деформационными характеристиками, отвечающими непродолжительному действию нагрузки. При этом в качестве наиболее простой используют двухлинейную диаграмму состояния бетона.
6.1.24. При расчете образования трещин в железобетонных конструкциях по нелинейной деформационной модели для определения напряженно-деформированного состояния сжатого и растянутого бетона используют трехлинейную диаграмму состояния бетона, приведенную в
6.1.20 и
6.1.22, с деформационными характеристиками, отвечающими непродолжительному действию нагрузки. Двухлинейную диаграмму
(пп. 6.1.21), как наиболее простую, используют для определения напряженно-деформированного состояния растянутого бетона при упругой работе сжатого бетона.
6.1.25. При расчете деформаций железобетонных элементов по нелинейной деформационной модели при отсутствии трещин для оценки напряженно-деформированного состояния в сжатом и растянутом бетоне используют трехлинейную диаграмму состояния бетона с учетом непродолжительного и продолжительного действий нагрузки. При наличии трещин для оценки напряженно-деформированного состояния сжатого бетона помимо указанной выше диаграммы используют, как наиболее простую, двухлинейную диаграмму состояния бетона с учетом непродолжительного и продолжительного действий нагрузки.
6.1.26. При расчете раскрытия нормальных трещин по нелинейной деформационной модели для оценки напряженно-деформированного состояния в сжатом бетоне используют диаграммы состояния, приведенные в
6.1.20 и
6.1.21, с учетом непродолжительного действия нагрузки. При этом в качестве наиболее простой используют двухлинейную диаграмму состояния бетона.
6.1.27. Влияние попеременного замораживания и оттаивания, а также отрицательных температур на деформационные характеристики бетона учитывают коэффициентом условий работы

. Для надземных конструкций, подвергаемых атмосферным воздействиям окружающей среды при расчетной температуре наружного воздуха в холодный период минус 40 °C и выше, принимают коэффициент

. В остальных случаях значения коэффициента

принимают в зависимости от назначения конструкций и условий окружающей среды.
6.1.28. Значения прочностных характеристик бетона при плоском (двухосном) или объемном (трехосном) напряженном состоянии следует определять с учетом вида и класса бетона из критерия, выражающего связь между предельными значениями напряжений, действующих в двух или трех взаимно перпендикулярных направлениях.
Деформации бетона следует определять с учетом плоского или объемного напряженных состояний.
6.1.29. Характеристики бетона-матрицы в дисперсно армированных конструкциях следует принимать как для бетонных и железобетонных конструкций.
Характеристики фибробетона в фибробетонных конструкциях следует устанавливать в зависимости от характеристик бетона, относительного содержания, формы, размеров и расположения фибр в бетоне, ее сцепления с бетоном и физико-механических свойств, а также в зависимости от размеров элемента или конструкции.
6.2.1. При проектировании железобетонных зданий и сооружений в соответствии с требованиями, предъявляемыми к бетонным и железобетонным конструкциям, должны быть установлены вид арматуры, ее нормируемые и контролируемые показатели качества.
6.2.2. Для армирования железобетонных конструкций следует применять отвечающую требованиям соответствующих стандартов или утвержденных в установленном порядке технических условий арматуру следующих видов:
горячекатаную гладкую и периодического профиля с постоянной и переменной высотой выступов (кольцевой и серповидный профили соответственно) диаметром 6 - 50 мм;
термомеханически упрочненную периодического профиля диаметром 6 - 50 мм;
холоднодеформированную периодического профиля диаметром 3 - 16 мм;
арматурные канаты диаметром 6 - 18 мм.
6.2.3. Основным показателем качества арматуры, устанавливаемым при проектировании, является класс арматуры по прочности на растяжение, обозначаемый:
А - для горячекатаной и термомеханически упрочненной арматуры;
В,

- для холоднодеформированной арматуры;
К - для арматурных канатов.
Арматурные канаты подразделяются на:
К7, изготовленные из круглой гладкой проволоки;
К7Т, изготовленные из проволоки периодического профиля;
К7О, пластически обжатые, изготовленные из гладкой проволоки.
Классы арматуры по прочности на растяжение отвечают гарантированному значению предела текучести, физического или условного (равного значению напряжений, соответствующих остаточному относительному удлинению 0,1% или 0,2%), с обеспеченностью не менее 0,95, определяемому по соответствующим стандартам.
Кроме того, в необходимых случаях к арматуре предъявляют требования по дополнительным показателям качества: свариваемость, пластичность, хладостойкость, коррозионную стойкость, характеристики сцепления с бетоном и др.
6.2.4. Для железобетонных конструкций без предварительного напряжения арматуры в качестве устанавливаемой по расчету арматуры следует преимущественно применять арматуру периодического профиля классов А400, А500 и А600, а также арматуру классов В500 и

в сварных сетках и каркасах. При обосновании экономической целесообразности допускается применять арматуру более высоких классов.
Для поперечного и косвенного армирования следует преимущественно применять гладкую арматуру класса А240 из стали марок Ст3сп и Ст3пс (с категориями нормируемых показателей не ниже 2 по
ГОСТ 535), а также арматуру периодического профиля классов А400, А500, В500 и

.
Для предварительно напряженных железобетонных конструкций следует предусматривать:
в качестве напрягаемой арматуры:
горячекатаную и термомеханически упрочненную периодического профиля классов А600, А800 и А1000;
холоднодеформированную периодического профиля классов от

до

;
канатную 7-проволочную (К7) классов К1400, К1500, К1600, К1700;
в качестве ненапрягаемой арматуры:
горячекатаную гладкую класса А240;
горячекатаную, термомеханически упрочненную и холоднодеформированную периодического профиля классов А400, А500, А600, В500 и

.
6.2.5. При выборе вида и марок стали для арматуры, устанавливаемой по расчету, а также прокатных сталей для закладных деталей следует учитывать температурные условия эксплуатации конструкций и характер их нагружения.
В конструкциях, эксплуатируемых при статической (и квазистатической) нагрузке в отапливаемых зданиях, а также на открытом воздухе и в неотапливаемых зданиях при расчетной температуре минус 40 °C и выше может быть применена арматура всех вышеуказанных классов, за исключением арматуры класса А400 из стали марки 35ГС, класса А240 из стали марки Ст3кп, применяемых при расчетной температуре минус 30 °C и выше.
При расчетной температуре ниже минус 55 °C рекомендуется использовать арматуру класса Ас500С по
[1] и А600 из стали марки 20Г2СФБА.
При других условиях эксплуатации класс арматуры и марку стали принимают по специальным указаниям.
При проектировании зоны передачи предварительного напряжения, анкеровки арматуры в бетоне и соединений арматуры внахлестку (без сварки) следует учитывать характер поверхности арматуры (
ГОСТ Р 52544,
[3]).
При проектировании сварных соединений арматуры следует учитывать способ изготовления арматуры (
ГОСТ 14098,
[2]).
6.2.6. Для монтажных (подъемных) петель элементов сборных железобетонных и бетонных конструкций следует применять горячекатаную арматурную сталь класса А240 марок Ст3сп и Ст3пс (с категориями нормируемых показателей не ниже 2 по
ГОСТ 535).
В случае если монтаж конструкций возможен при расчетной зимней температуре ниже минус 40 °C, для монтажных петель не допускается применять сталь марки Ст3пс.
6.2.7. Основной прочностной характеристикой арматуры является нормативное значение сопротивления растяжению

, принимаемое в зависимости от класса арматуры по таблице 6.13.
Класс арматуры | Номинальный диаметр арматуры, мм | Нормативные значения сопротивления растяжению Rs,n и расчетные значения сопротивления растяжению для предельных состояний второй группы Rs,ser, МПа |
А240 | 6 - 40 | 240 |
А400 | 6 - 40 | 400 |
А500 | 10 - 40 | 500 |
А600 | 10 - 40 | 600 |
А800 | 10 - 32 | 800 |
А1000 | 10 - 32 | 1000 |
В500 | 3 - 16 | 500 |
Вр500 | 3 - 5 | 500 |
Вр1200 | 8 | 1200 |
Вр1300 | 7 | 1300 |
Вр1400 | 4; 5; 6 | 1400 |
Вр1500 | 3 | 1500 |
Вр1600 | 3 - 5 | 1600 |
К1400 | 15 | 1400 |
К1500 | 6 - 18 | 1500 |
К1600 | 6; 9; 11; 12; 15 | 1600 |
К1700 | 6 - 9 | 1700 |
6.2.8. Расчетные значения сопротивления арматуры растяжению

определяют по формуле

, (6.10)
где

- коэффициент надежности по арматуре, принимаемый равным 1,15 для предельных состояний первой группы и 1,0 - для предельных состояний второй группы.
Расчетные значения сопротивления арматуры растяжению

приведены (с округлением) для предельных состояний первой группы в таблице 6.14, второй группы - в
таблице 6.13. При этом значения

для предельных состояний первой группы приняты равными наименьшим контролируемым значениям по соответствующим стандартам.
Класс арматуры | Значения расчетного сопротивления арматуры для предельных состояний первой группы, МПа |
растяжению Rs | сжатию Rsc |
А240 | 210 | 210 |
А400 | 350 | 350 |
А500 | 435 | 435 (400) |
А600 | 520 | 470 (400) |
А800 | 695 | 500 (400) |
А1000 | 870 | 500 (400) |
В500 | 435 | 415 (380) |
Вр500 | 415 | 390 (360) |
Вр1200 | 1050 | 500 (400) |
Вр1300 | 1130 | 500 (400) |
Вр1400 | 1215 | 500 (400) |
Вр1500 | 1300 | 500 (400) |
Вр1600 | 1390 | 500 (400) |
К1400 | 1215 | 500 (400) |
К1500 | 1300 | 500 (400) |
К1600 | 1390 | 500 (400) |
К1700 | 1475 | 500 (400) |
Примечание. Значения Rsc в скобках используют только при расчете на кратковременное действие нагрузки. |
Значения расчетного сопротивления арматуры сжатию

принимают равными расчетным значениям сопротивления арматуры растяжению

, но не более значений, отвечающих деформациям укорочения бетона, окружающего сжатую арматуру: при кратковременном действии нагрузки - не более 400 МПа, при длительном действии нагрузки - не более 500 МПа.
Для арматуры классов В500 и А600 граничные значения сопротивления сжатию принимаются с понижающим коэффициентом условий работы. Расчетные значения

приведены в
таблице 6.14.
6.2.9. В необходимых случаях расчетные значения прочностных характеристик арматуры умножают на коэффициенты условий работы

, учитывающие особенности работы арматуры в конструкции.
Расчетные значения

для арматуры классов А240 - А500, В500 приведены в таблице 6.15.
Таблица 6.15
Класс арматуры | Расчетные значения сопротивления поперечной арматуры (хомутов и отогнутых стержней) растяжению для предельных состояний первой группы, МПа |
А240 | 170 |
А400 | 280 |
А500 | 300 |
В500 | 300 |
Для поперечной арматуры всех классов расчетные значения сопротивления

следует принимать не более 300 МПа.
6.2.10. Основными деформационными характеристиками арматуры являются значения:
относительных деформаций удлинения арматуры

при достижении напряжениями расчетного сопротивления

;
модуля упругости арматуры

.
6.2.11. Значения относительных деформаций арматуры

принимают равными:
для арматуры с физическим пределом текучести

; (6.11)
для арматуры с условным пределом текучести

. (6.12)
6.2.12. Значения модуля упругости арматуры

принимают одинаковыми при растяжении и сжатии и равными:

- для арматурных канатов (К);

- для остальной арматуры (А и В).
6.2.13. Диаграммы состояния (деформирования) арматуры используют при расчете железобетонных элементов по нелинейной деформационной модели.
При расчете железобетонных элементов по нелинейной деформационной модели в качестве расчетной диаграммы состояния (деформирования) арматуры, устанавливающей связь между напряжениями

и относительными деформациями

арматуры, принимают упрощенные диаграммы по типу диаграмм Прандтля для арматуры с физическим пределом текучести классов А240 - А500, В500 двухлинейную диаграмму (
рисунок 6.2, а), а для арматуры с условным пределом текучести классов А600 - А1000,

, К1400, К1500 и К1600 - трехлинейную (
рисунок 6.2, б), без учета упрочнения за площадкой текучести.
а - двухлинейная диаграмма; б - трехлинейная диаграмма
Рисунок 6.2. Диаграммы состояния растянутой арматуры
Диаграммы состояния арматуры при растяжении и сжатии принимают одинаковыми, с учетом нормируемых расчетных сопротивлений арматуры растяжению и сжатию.
Допускается в качестве расчетных диаграмм состояния арматуры использовать криволинейные расчетные диаграммы, аппроксимирующие фактические диаграммы деформирования арматуры.
6.2.14. Напряжения в арматуре

согласно двухлинейной диаграмме состояния арматуры определяют в зависимости от относительных деформаций

по формулам:
при


; (6.13)
при


. (6.14)
Значения

,

и

принимают согласно
6.2.11,
6.2.12 и
6.2.8. Значения относительной деформации

принимают равными 0,025.
Допускается при соответствующем обосновании принимать величину относительной деформации

менее или более значения 0,025 в зависимости от марки стали, типа армирования, критерия надежности конструкции и других факторов.
6.2.15. Напряжения в арматуре

согласно трехлинейной диаграмме состояния арматуры определяют в зависимости от относительных деформаций

по формулам:
при


; (6.15)
при


. (6.16)
Значения напряжений

принимают равными

, а напряжений

- равно

.
Значения относительных деформаций

принимают равными

, а деформаций

- равными 0,015.
| | Применение на обязательной основе раздела 7 обеспечивает соблюдение требований Федерального закона от 30.12.2009 N 384-ФЗ "Технический регламент о безопасности зданий и сооружений" (Постановление Правительства РФ от 26.12.2014 N 1521). | |
Конструкции рассматривают как бетонные, если их прочность обеспечена одним только бетоном.
Бетонные элементы применяют:
а) преимущественно на сжатие при расположении продольной сжимающей силы в пределах поперечного сечения элемента;
б) в отдельных случаях в конструкциях, работающих на сжатие при расположении продольной сжимающей силы за пределами поперечного сечения элемента, а также в изгибаемых конструкциях, когда их разрушение не представляет непосредственной опасности для жизни людей и сохранности оборудования.
Конструкции с арматурой, площадь сечения которой меньше минимально допустимой по конструктивным требованиям
10.3, рассматривают как бетонные.
7.1. Расчет бетонных элементов по прочности
7.1.1. Бетонные элементы рассчитывают по прочности на действие продольных сжимающих сил, изгибающих моментов и поперечных сил, а также на местное сжатие.
7.1.2. Расчет по прочности бетонных элементов при действии продольной сжимающей силы (внецентренное сжатие) и изгибающего момента следует производить для сечений, нормальных к их продольной оси.
Расчет бетонных элементов производят на основе нелинейной деформационной модели согласно
8.1.20 -
8.1.30, принимая в расчетных зависимостях площадь арматуры равной нулю. Допускается расчет бетонных элементов прямоугольного и таврового сечений при действии усилий в плоскости симметрии нормального сечения производить по предельным усилиям согласно
7.1.7 -
7.1.12.
7.1.3. Бетонные элементы в зависимости от условий их работы и требований, предъявляемых к ним, рассчитывают по предельным усилиям без учета или с учетом сопротивления бетона растянутой зоны.
Без учета сопротивления бетона растянутой зоны (рисунок 7.1) производят расчет внецентренно сжатых элементов при расположении продольной сжимающей силы в пределах поперечного сечения элемента, принимая, что достижение предельного состояния характеризуется разрушением сжатого бетона. Сопротивление бетона сжатию при расчете по предельным усилиям условно представляют напряжениями, равными

, равномерно распределенными по части сжатой зоны (условной сжатой зоны) с центром тяжести, совпадающим с точкой приложения продольной силы
(7.1.9).
Рисунок 7.1. Схема усилий и эпюра напряжений в сечении,
нормальном к продольной оси внецентренно сжатого
бетонного элемента, рассчитываемого по прочности
без учета сопротивления бетона растянутой зоны
С учетом сопротивления бетона растянутой зоны (рисунок 7.2) производят расчет элементов, работающих на сжатие при расположении продольной сжимающей силы за пределами поперечного сечения элемента, изгибаемых элементов, а также элементов, в которых не допускают трещины по условиям эксплуатации конструкций. При этом при расчете по предельным усилиям принимают, что предельное состояние характеризуется достижением предельных усилий в бетоне растянутой зоны, определяемых в предположении упругой работы бетона (
7.1.9,
7.1.10,
7.1.12).
Рисунок 7.2. Схема усилий и эпюра напряжений в сечении,
нормальном к продольной оси изгибаемого (внецентренно
сжатого) бетонного элемента, рассчитываемого по прочности
с учетом сопротивления бетона растянутой зоны
7.1.4. Расчет по прочности бетонных элементов при действии поперечных сил производят из условия, по которому сумма соотношений главного растягивающего напряжения к расчетному сопротивлению бетона осевому растяжению

и главного сжимающего напряжения к расчетному сопротивлению бетона осевому сжатию

не должна превышать 1,0.
7.1.5. Расчет по прочности бетонных элементов на действие местной нагрузки (местное сжатие) производят согласно указаниям
8.1.43 -
8.1.45.
7.1.6. В бетонных элементах в случаях, указанных в
10.3.7, необходимо предусматривать конструктивную арматуру.
Расчет внецентренно сжатых бетонных элементов
по предельным усилиям
7.1.7. При расчете по прочности внецентренно сжатых бетонных элементов на действие сжимающей продольной силы следует учитывать случайный эксцентриситет

, принимаемый не менее:
1/600 длины элемента или расстояния между его сечениями, закрепленными от смещения;
1/30 высоты сечения;
10 мм.
Для элементов статически неопределимых конструкций значение эксцентриситета продольной силы относительно центра тяжести приведенного сечения

принимают равным значению эксцентриситета, полученного из статического расчета, но не менее

.
Для элементов статически определимых конструкций эксцентриситет

принимают равным сумме эксцентриситетов - из статического расчета конструкций и случайного.
7.1.8. При гибкости элементов

необходимо учитывать влияние на их несущую способность прогибов путем умножения значений

на коэффициент

, определяемый согласно
7.1.11.
7.1.9. Расчет внецентренно сжатых бетонных элементов при расположении продольной сжимающей силы в пределах поперечного сечения элемента производят из условия

, (7.1)
где N - действующая продольная сила;

- площадь сжатой зоны бетона, определяемая из условия, что ее центр тяжести совпадает с точкой приложения продольной силы N (с учетом прогиба).
Для элементов прямоугольного сечения

. (7.2)
Допускается расчет внецентренно сжатых элементов прямоугольного сечения при эксцентриситете продольной силы

и

производить из условия

, (7.3)
где A - площадь поперечного сечения элемента;

- коэффициент, принимаемый при длительном действии нагрузки по таблице 7.1 в зависимости от гибкости

элемента, при кратковременном действии нагрузки значения

определяют по линейному закону, принимая

при

и

при

;

- расчетная длина элемента, определяемая как для железобетонных элементов.
Таблица 7.1
Внецентренно сжатые бетонные элементы, в которых появление трещин не допускается по условиям эксплуатации, независимо от расчета из
условия (7.1) должны быть проверены с учетом сопротивления бетона растянутой зоны из условия

. (7.4)
Для элементов прямоугольного сечения условие (7.4) имеет вид

. (7.5)
В формулах (7.4) и (7.5):
A - площадь поперечного сечения бетонного элемента;
I - момент инерции сечения бетонного элемента относительно его центра тяжести;

- расстояние от центра тяжести сечения элемента до наиболее растянутого волокна;

- коэффициент, определяемый согласно указаниям 7.1.11.
7.1.10. Расчет внецентренно сжатых бетонных элементов при расположении продольной сжимающей силы за пределами поперечного сечения элемента производят из
условий (7.4) и
(7.5).
7.1.11. Значение коэффициента

, учитывающего влияние прогиба на значение эксцентриситета продольной силы

, определяют по формуле

, (7.6)
где

- условная критическая сила, определяемая по формуле

, (7.7)
где D - жесткость элемента в предельной по прочности стадии, определяемая как для железобетонных элементов, но без учета арматуры, согласно
8.1.15.
Расчет изгибаемых бетонных элементов по предельным усилиям
7.1.12. Расчет изгибаемых бетонных элементов следует производить из условия

, (7.8)
где M - изгибающий момент от внешней нагрузки;

- предельный изгибающий момент, который может быть воспринят сечением элемента.
Значение

определяют по формуле

, (7.9)
где W - момент сопротивления сечения элемента для крайнего растянутого волокна.
Для элементов прямоугольного сечения

. (7.10)
| | Применение на обязательной основе раздела 8 обеспечивает соблюдение требований Федерального закона от 30.12.2009 N 384-ФЗ "Технический регламент о безопасности зданий и сооружений" (Постановление Правительства РФ от 26.12.2014 N 1521). | |
8. Железобетонные конструкции без предварительного
напряжения арматуры
8.1. Расчет элементов железобетонных конструкций
по предельным состояниям первой группы
Расчет железобетонных элементов по прочности
Железобетонные элементы рассчитывают по прочности на действие изгибающих моментов, продольных сил, поперечных сил, крутящих моментов и на местное действие нагрузки (местное сжатие, продавливание).
Расчет по прочности железобетонных элементов на действие
изгибающих моментов и продольных сил
Общие положения
8.1.1. Расчет по прочности железобетонных элементов при действии изгибающих моментов и продольных сил (внецентренное сжатие или растяжение) следует производить для сечений, нормальных к их продольной оси.
Расчет по прочности нормальных сечений железобетонных элементов следует производить на основе нелинейной деформационной модели согласно
8.1.20 -
8.1.30.
Допускается производить расчет на основе предельных усилий:
железобетонных элементов прямоугольного, таврового и двутаврового сечений с арматурой, расположенной у перпендикулярных плоскости изгиба граней элемента, при действии усилий в плоскости симметрии нормальных сечений согласно
8.1.4 -
8.1.16;
внецентренно сжатых элементов круглого и кольцевого поперечных сечений - по указаниям
Приложения Д.
(в ред.
Изменения N 2, утв. Приказом Минстроя России от 30.12.2015 N 981/пр)
8.1.2. При расчете внецентренно сжатых элементов следует учитывать влияние прогиба на их несущую способность, как правило, путем расчета конструкций по деформированной схеме.
Допускается производить расчет конструкций по недеформированной схеме, учитывая при гибкости

влияние прогиба элемента на его прочность путем умножения начального эксцентриситета

на коэффициент

, определяемый согласно указаниям
8.1.15.
8.1.3. Для железобетонных элементов, у которых предельное усилие по прочности оказывается меньше предельного усилия по образованию трещин (
пп. 8.2.8 -
8.2.14), площадь сечения продольной растянутой арматуры должна быть увеличена по сравнению с требуемой из расчета по прочности не менее чем на 15%, или определена из расчета по прочности на действие предельного усилия по образованию трещин.
Расчет по прочности нормальных сечений
по предельным усилиям
8.1.4. Предельные усилия в сечении, нормальном к продольной оси элемента, следует определять исходя из следующих предпосылок:
сопротивление бетона растяжению принимают равным нулю;
сопротивление бетона сжатию представляется напряжениями, равными

и равномерно распределенными по сжатой зоне бетона;
деформации (напряжения) в арматуре определяют в зависимости от высоты сжатой зоны бетона;
растягивающие напряжения в арматуре принимают не более расчетного сопротивления растяжению

;
сжимающие напряжения в арматуре принимают не более расчетного сопротивления сжатию

.
8.1.5. Расчет по прочности нормальных сечений следует производить в зависимости от соотношения между значением относительной высоты сжатой зоны бетона

, определяемым из соответствующих условий равновесия, и значением граничной относительной высоты сжатой зоны

, при котором предельное состояние элемента наступает одновременно с достижением в растянутой арматуре напряжения, равного расчетному сопротивлению

.
8.1.6. Значение

определяют по формуле

, (8.1)
где

- относительная деформация растянутой арматуры при напряжениях, равных

,

; (8.2)

- относительная деформация сжатого бетона при напряжениях, равных

, принимаемая в соответствии с указаниями
6.1.20 при непродолжительном действии нагрузки.
(в ред.
Изменения N 2, утв. Приказом Минстроя России от 30.12.2015 N 981/пр)
Для тяжелого бетона классов В70 - В100 и для мелкозернистого бетона в числителе
формулы (8.1) вместо 0,8 следует принимать 0,7.
8.1.7. При расчете внецентренно сжатых железобетонных элементов в начальном эксцентриситете приложения продольной силы

следует учитывать случайный эксцентриситет

, принимаемый не менее:
1/600 длины элемента или расстояния между его сечениями, закрепленными от смещения;
1/30 высоты сечения;
10 мм.
Для элементов статически неопределимых конструкций значение эксцентриситета продольной силы относительно центра тяжести приведенного сечения

принимают равным значению эксцентриситета, полученного из статического расчета, но не менее

.
Для элементов статически определимых конструкций эксцентриситет

принимают равным сумме эксцентриситетов из статического расчета конструкций и случайного.
Расчет изгибаемых элементов
8.1.8. Расчет по прочности сечений изгибаемых элементов производят из условия

, (8.3)
где M - изгибающий момент от внешней нагрузки;

- предельный изгибающий момент, который может быть воспринят сечением элемента.
8.1.9. Значение

для изгибаемых элементов прямоугольного сечения
(рисунок 8.1) при

определяют по формуле

, (8.4)
при этом высоту сжатой зоны x определяют по формуле

. (8.5)
8.1.10. Значение

для изгибаемых элементов, имеющих полку в сжатой зоне (тавровые и двутавровые сечения), при

определяют в зависимости от положения границы сжатой зоны:
а) если граница проходит в полке (
рисунок 8.2, а), т.е. соблюдается условие

, (8.6)
значение

определяют по
8.1.9 как для прямоугольного сечения шириной

;
б) если граница проходит в ребре (
рисунок 8.2, б), т.е. условие (8.6) не соблюдается, значение

определяют по формуле

, (8.7)
при этом высоту сжатой зоны бетона x определяют по формуле

. (8.8)
Рисунок 8.1. Схема усилий и эпюра напряжений в сечении,
нормальном к продольной оси изгибаемого железобетонного
элемента, при его расчете по прочности
Рисунок 8.2. Положение границы сжатой зоны в сечении
изгибаемого железобетонного элемента
8.1.11. Значение

, вводимое в расчет, принимают из условия, что ширина свеса полки в каждую сторону от ребра должна быть не более 1/6 пролета элемента и не более:
а) при наличии поперечных ребер или при

- 1/2 расстояния в свету между продольными ребрами;
б) при отсутствии поперечных ребер (или при расстояниях между ними больших, чем расстояния между продольными ребрами) и

;
в) при консольных свесах полки:
при

..............

;
при

........

;
при

- свесы не учитывают.
8.1.12. При расчете по прочности изгибаемых элементов рекомендуется соблюдать условие

.
В случае, когда по конструктивным соображениям или из расчета по предельным состояниям второй группы площадь растянутой арматуры принята большей, чем это требуется для соблюдения условия

, допускается предельный изгибающий момент

определять по
формулам (8.4) или
(8.7), подставляя в них значения высоты сжатой зоны

.
8.1.13. При симметричном армировании, когда

, значение

определяют по формуле

. (8.9)
Если вычисленная без учета сжатой арматуры

высота сжатой зоны x < 2a', в формулу (8.9) подставляют вместо a' значение

.
Расчет внецентренно сжатых элементов
8.1.14. Расчет по прочности прямоугольных сечений внецентренно сжатых элементов производят из условия

, (8.10)
где N - продольная сила от внешней нагрузки;
e - расстояние от точки приложения продольной силы N до центра тяжести сечения растянутой или наименее сжатой (при полностью сжатом сечении элемента) арматуры, равное

. (8.11)
Здесь

- коэффициент, учитывающий влияние продольного изгиба (прогиба) элемента на его несущую способность и определяемый согласно
8.1.15;
Высоту сжатой зоны x определяют:

; (8.12)
б) при

по формуле

. (8.13)
Рисунок 8.3. Схема усилий и эпюра напряжений в сечении,
нормальном к продольной оси внецентренно сжатого
железобетонного элемента, при расчете
его по прочности
8.1.15. Значение коэффициента

при расчете конструкций по недеформированной схеме определяют по формуле

, (8.14)
где N - продольная сила от внешней нагрузки;

- условная критическая сила, определяемая по формуле

. (8.15)
Здесь D - жесткость железобетонного элемента в предельной по прочности стадии, определяемая согласно указаниям расчета по деформациям;

- расчетная длина элемента, определяемая согласно
8.1.17.
Допускается значение D определять по формуле

,
где

,

- модули упругости бетона и арматуры соответственно;
I,

- моменты инерции площадей сечения бетона и всей продольной арматуры соответственно относительно оси, проходящей через центр тяжести поперечного сечения элемента;

;

;

- коэффициент, учитывающий влияние длительности действия нагрузки

, но не более 2.
Здесь

,

- моменты относительно центра наиболее растянутого или наименее сжатого (при целиком сжатом сечении) стержня соответственно от действия полной нагрузки и от действия постоянных и длительных нагрузок;

- относительное значение эксцентриситета продольной силы

, принимаемое не менее 0,15 и не более 1,5.
Допускается уменьшать значение коэффициента

с учетом распределения изгибающих моментов по длине элемента, характера его деформирования и влияния прогибов на значение изгибающего момента в расчетном сечении путем расчета конструкции как упругой системы.
8.1.16. Расчет по прочности прямоугольных сечений внецентренно сжатых элементов с арматурой, расположенной у противоположных в плоскости изгиба сторон сечения, при эксцентриситете продольной силы

и гибкости

допускается производить из условия

, (8.16)
где

- предельное значение продольной силы, которую может воспринять элемент, определяемое по формуле

. (8.17)
Здесь A - площадь бетонного сечения;

- площадь всей продольной арматуры в сечении элемента;

- коэффициент, принимаемый при длительном действии нагрузки по таблице 8.1 в зависимости от гибкости элемента; при кратковременном действии нагрузки значения

определяют по линейному закону, принимая

при

и

при

.
Таблица 8.1
Класс бетона |  при  , равном |
6 | 10 | 15 | 20 |
В20 - В55 | 0,92 | 0,9 | 0,83 | 0,7 |
В60 | 0,91 | 0,89 | 0,80 | 0,65 |
В80 | 0,90 | 0,88 | 0,79 | 0,64 |
8.1.17. Расчетную длину

внецентренно сжатого элемента определяют как для элементов рамной конструкции с учетом ее деформированного состояния при наиболее невыгодном для данного элемента расположении нагрузки, принимая во внимание неупругие деформации материалов и наличие трещин.
Допускается расчетную длину

элементов постоянного поперечного сечения по длине l при действии продольной силы принимать равной:
а) для элементов с шарнирным опиранием на двух концах - 1,0l;
б) для элементов с жесткой заделкой (исключающей поворот опорного
сечения) на одном конце и незакрепленным другим концом (консоль) - 2,0l;
в) для элементов с шарнирным несмещаемым опиранием на одном конце, а на
другом конце:
с жесткой (без поворота) заделкой - 0,7l;
с податливой (допускающей ограниченный поворот) заделкой - 0,9l;
г) для элементов с податливым шарнирным опиранием (допускающим
ограниченное смещение опоры) на одном конце, а на другом конце:
с жесткой (без поворота) заделкой - 1,5l;
с податливой (с ограниченным поворотом) заделкой - 2,0l;
д) для элементов с несмещаемыми заделками на двух концах:
жесткими (без поворота) - 0,5l;
податливыми (с ограниченным поворотом) - 0,8l;
е) для элементов с ограниченно смещаемыми заделками на двух концах:
жесткими (без поворота) - 0,8l;
податливыми (с ограниченным поворотом) - 1,2l.
Расчет центрально растянутых элементов
8.1.18. Расчет по прочности сечений центрально растянутых элементов следует производить из условия

, (8.18)
где N - продольная растягивающая сила от внешних нагрузок;

- предельное значение продольной силы, которое может быть воспринято элементом.
Значение силы

определяют по формуле

, (8.19)
где

- площадь сечения всей продольной арматуры.
Расчет внецентренно растянутых элементов
8.1.19. Расчет по прочности прямоугольных сечений внецентренно растянутых элементов следует производить в зависимости от положения продольной силы N:
а) если продольная сила N приложена между равнодействующими усилий в арматуре S и S'
(рисунок 8.4, а) - из условий

; (8.20)

, (8.21)
где

и

- усилия от внешних нагрузок;

и

- предельные усилия, которые может воспринять сечение.
Усилия

и

определяют по формулам

; (8.22)

; (8.23)
б) если продольная сила N приложена за пределами расстояния между равнодействующими усилий в арматуре S и S'
(рисунок 8.4, б) - из
условия (8.20), определяя предельный момент

по формуле

, (8.24)
при этом высоту сжатой зоны x определяют по формуле

. (8.25)
а - между равнодействующими усилий в арматуре S и S';
б - за пределами расстояний между равнодействующими
усилий в арматуре S и S'
Рисунок 8.4. Схема усилий и эпюра напряжений в сечении,
нормальном к продольной оси внецентренно растянутого
железобетонного элемента, при расчете его по прочности
при приложении продольной силы N
Расчет по прочности нормальных сечений
на основе нелинейной деформационной модели
8.1.20. При расчете по прочности усилия и деформации в сечении, нормальном к продольной оси элемента, определяют на основе нелинейной деформационной модели, использующей уравнения равновесия внешних сил и внутренних усилий в сечении элемента, а также следующих положений:
распределение относительных деформаций бетона и арматуры по высоте сечения элемента принимают по линейному закону (гипотеза плоских сечений);
связь между осевыми напряжениями и относительными деформациями бетона и арматуры принимают в виде диаграмм состояния (деформирования) бетона и арматуры;
сопротивление бетона растянутой зоны допускается не учитывать, принимая при

напряжения

. В отдельных случаях (например, изгибаемые и внецентренно сжатые бетонные конструкции, в которых не допускают трещины) расчет по прочности производят с учетом работы растянутого бетона.
8.1.21. Переход от эпюры напряжений в бетоне к обобщенным внутренним усилиям определяют с помощью процедуры численного интегрирования напряжений по нормальному сечению. Для этого нормальное сечение условно разделяют на малые участки: при косом внецентренном сжатии (растяжении) и косом изгибе - по высоте и ширине сечения; при внецентренном сжатии (растяжении) и изгибе в плоскости оси симметрии поперечного сечения элемента - только по высоте сечения. Напряжения в пределах малых участков принимают равномерно распределенными (усредненными).
8.1.22. При расчете элементов с использованием деформационной модели принимают:
значения сжимающей продольной силы, а также сжимающих напряжений и деформаций укорочения бетона и арматуры со знаком "минус";
значения растягивающей продольной силы, а также растягивающих напряжений и деформаций удлинения бетона и арматуры со знаком "плюс".
Знаки координат центров тяжести арматурных стержней и выделенных участков бетона, а также точки приложения продольной силы принимают в соответствии с назначенной системой координат XOY. В общем случае начало координат этой системы (точка 0 на рисунке 8.5) располагают в произвольном месте в пределах поперечного сечения элемента.
Рисунок 8.5. Расчетная схема нормального сечения
железобетонного элемента
8.1.23. При расчете нормальных сечений по прочности в общем случае (см. рисунок 8.5) используют:
уравнения равновесия внешних сил и внутренних усилий в нормальном сечении элемента:

; (8.26)

; (8.27)

; (8.28)
уравнения, определяющие распределение деформаций по сечению элемента

; (8.29)

; (8.30)
зависимости, связывающие напряжения и относительные деформации бетона и арматуры

; (8.31)

. (8.32)

,

- изгибающие моменты от внешней нагрузки относительно выбранных и располагаемых в пределах поперечного сечения элемента координатных осей (соответственно действующих в плоскостях XOZ и YOZ или параллельно им), определяемые по формулам:

; (8.33)

; (8.34)
здесь

,

- изгибающие моменты в соответствующих плоскостях от внешней нагрузки, определяемые из статического расчета конструкции;
N - продольная сила от внешней нагрузки;

,

- расстояния от точки приложения продольной силы N до соответствующих выбранных осей;

, Z
bxi,

,

- площадь, координаты центра тяжести i-го участка бетона и напряжение на уровне его центра тяжести;
(в ред.
Изменения N 2, утв. Приказом Минстроя России от 30.12.2015 N 981/пр)

,

,

,

- площадь, координаты центра тяжести j-го стержня арматуры и напряжение в нем;

- относительная деформация волокна, расположенного на пересечении выбранных осей (в точке 0);

,

- кривизна продольной оси в рассматриваемом поперечном сечении элемента в плоскостях действия изгибающих моментов

и

;

- начальный модуль упругости бетона;

- модуль упругости j-го стержня арматуры;

- коэффициент упругости бетона i-го участка;

- коэффициент упругости j-го стержня арматуры.
Коэффициенты

и

принимают по соответствующим диаграммам состояния бетона и арматуры, указанным в
6.1.19,
6.2.13.
Значения коэффициентов

и

определяют как соотношение значений напряжений и деформаций для рассматриваемых точек соответствующих диаграмм состояния бетона и арматуры, принятых в расчете, деленное на модуль упругости бетона

и арматуры

(при двухлинейной диаграмме состояния бетона - на приведенный модуль деформации сжатого бетона

). При этом используют зависимости "напряжение-деформация"
(6.5) -
(6.9),
(6.14) и
(6.15) на рассматриваемых участках диаграмм.

; (8.35)

. (8.36)
8.1.24. Расчет нормальных сечений железобетонных элементов по прочности производят из условий:

; (8.37)

, (8.38)
где

- относительная деформация наиболее сжатого волокна бетона в нормальном сечении элемента от действия внешней нагрузки;

- относительная деформация наиболее растянутого стержня арматуры в нормальном сечении элемента от действия внешней нагрузки;

- предельное значение относительной деформации бетона при сжатии, принимаемое согласно указаниям
8.1.30;

- предельное значение относительной деформации удлинения арматуры, принимаемое согласно указаниям
8.1.30.
8.1.25. Для железобетонных элементов, на которые действуют изгибающие моменты двух направлений и продольная сила
(рисунок 8.5), деформации бетона

и арматуры

в нормальном сечении произвольной формы определяют из решения системы уравнений (8.39) - (8.41) с использованием
уравнений (8.29) и
(8.30)

; (8.39)

; (8.40)

. (8.41)
Жесткостные характеристики

(
i,
j = 1, 2, 3) в системе уравнений (8.39) - (8.41) определяют по формулам
(в ред.
Изменения N 2, утв. Приказом Минстроя России от 30.12.2015 N 981/пр)

; (8.42)

; (8.43)

; (8.44)

; (8.45)

; (8.46)
Минстроя России от 30.12.2015 N 981/пр)

. (8.47)
Обозначения в формулах - см.
8.1.23.
8.1.26. Для железобетонных элементов, на которые действуют только изгибающие моменты двух направлений

и

(косой изгиб), в
уравнении (8.41) принимают N = 0.
8.1.27. Для внецентренно сжатых в плоскости симметрии поперечного сечения железобетонных элементов и расположении оси X в этой плоскости в
уравнениях (8.39) -
(8.41) принимают

и

. В этом случае уравнения равновесия имеют вид:
(в ред.
Изменения N 2, утв. Приказом Минстроя России от 30.12.2015 N 981/пр)

; (8.48)

. (8.49)
8.1.28. Для изгибаемых в плоскости симметрии поперечного сечения железобетонных элементов и расположения оси X в этой плоскости в
уравнениях (8.39) -
(8.41) принимают N = 0,

,

. В этом случае уравнения равновесия имеют вид:
(в ред.
Изменения N 2, утв. Приказом Минстроя России от 30.12.2015 N 981/пр)

; (8.50)

. (8.51)
8.1.29. Расчет по прочности нормальных сечений внецентренно сжатых бетонных элементов при расположении продольной сжимающей силы в пределах поперечного сечения элемента производят из
условия (8.37) согласно указаниям
8.1.24 -
8.1.28, принимая в формулах
8.1.25 для определения

площадь арматуры

.
Для изгибаемых и внецентренно сжатых бетонных элементов, в которых не допускаются трещины, расчет производят с учетом работы растянутого бетона в поперечном сечении элемента из условия

, (8.52)
где

- относительная деформация наиболее растянутого волокна бетона в нормальном сечении элемента от действия внешней нагрузки, определяемая согласно
8.1.25 -
8.1.28;

- предельное значение относительной деформации бетона при растяжении, принимаемое согласно указаниям 8.1.30.
8.1.30. Предельные значения относительных деформаций бетона

принимают при двузначной эпюре деформаций (сжатие и растяжение) в поперечном сечении бетона элемента (изгиб, внецентренное сжатие или растяжение с большими эксцентриситетами) равными

.
При внецентренном сжатии или растяжении элементов и распределении в поперечном сечении бетона элемента деформаций только одного знака предельные значения относительных деформаций бетона

определяют в зависимости от соотношения деформаций бетона на противоположных гранях сечения элемента

и

по формулам:

, (8.53)

, (8.54)
где

,

,

и

- деформационные параметры расчетных диаграмм состояния бетона (
6.1.14,
6.1.20,
6.1.22).
Предельные значения относительной деформации арматуры

принимают равными:
0,025 - для арматуры с физическим пределом текучести;
0,015 - для арматуры с условным пределом текучести.
Расчет по прочности железобетонных элементов
при действии поперечных сил
Общие положения
8.1.31. Расчет по прочности железобетонных элементов при действии поперечных сил производят на основе модели наклонных сечений.
При расчете по модели наклонных сечений должны быть обеспечены прочность элемента по полосе между наклонными сечениями и наклонному сечению на действие поперечных сил, а также прочность по наклонному сечению на действие момента.
Прочность по наклонной полосе характеризуется максимальным значением поперечной силы, которое может быть воспринято наклонной полосой, находящейся под воздействием сжимающих усилий вдоль полосы и растягивающих усилий от поперечной арматуры, пересекающей наклонную полосу. При этом прочность бетона определяют по сопротивлению бетона осевому сжатию с учетом влияния сложного напряженного состояния в наклонной полосе.
Расчет по наклонному сечению на действие поперечных сил производят на основе уравнения равновесия внешних и внутренних поперечных сил, действующих в наклонном сечении с длиной проекции C на продольную ось элемента. Внутренние поперечные силы включают поперечную силу, воспринимаемую бетоном в наклонном сечении, и поперечную силу, воспринимаемую пересекающей наклонное сечение поперечной арматурой. При этом поперечные силы, воспринимаемые бетоном и поперечной арматурой, определяют по сопротивлениям бетона и поперечной арматуры растяжению с учетом длины проекции C наклонного сечения.
Расчет по наклонному сечению на действие момента производят на основе уравнения равновесия моментов от внешних и внутренних сил, действующих в наклонном сечении с длиной проекции C на продольную ось элемента. Моменты от внутренних сил включают момент, воспринимаемый пересекающей наклонное сечение продольной растянутой арматурой, и момент, воспринимаемый пересекающей наклонное сечение поперечной арматурой. При этом моменты, воспринимаемые продольной и поперечной арматурой, определяют по сопротивлениям продольной и поперечной арматуры растяжению с учетом длины проекции C наклонного сечения.
Расчет железобетонных элементов по полосе между
наклонными сечениями
8.1.32. Расчет изгибаемых железобетонных элементов по бетонной полосе между наклонными сечениями производят из условия

, (8.55)
где Q - поперечная сила в нормальном сечении элемента;

- коэффициент, принимаемый равным 0,3.
Расчет железобетонных элементов по наклонным сечениям
на действие поперечных сил
8.1.33. Расчет изгибаемых элементов по наклонному сечению
(рисунок 8.6) производят из условия:

, (8.56)
где Q - поперечная сила в наклонном сечении с длиной проекции C на продольную ось элемента, определяемая от всех внешних сил, расположенных по одну сторону от рассматриваемого наклонного сечения; при этом учитывают наиболее опасное загружение в пределах наклонного сечения;

- поперечная сила, воспринимаемая бетоном в наклонном сечении;

- поперечная сила, воспринимаемая поперечной арматурой в наклонном сечении.
Рисунок 8.6. Схема усилий при расчете железобетонных
элементов по наклонному сечению на действие
поперечных сил
Поперечную силу

определяют по формуле

, (8.57)
но принимают не более

и не менее

;

- коэффициент, принимаемый равным 1,5.
Усилие

для поперечной арматуры, нормальной к продольной оси элемента, определяют по формуле

, (8.58)
где

- коэффициент, принимаемый равным 0,75;

- усилие в поперечной арматуре на единицу длины элемента, равное

. (8.59)
Расчет производят для ряда расположенных по длине элемента наклонных сечений при наиболее опасной длине проекции наклонного сечения C. При этом длину проекции C в
формуле (8.58) принимают не менее

и не более

.
Допускается производить расчет наклонных сечений, не рассматривая наклонные сечения при определении поперечной силы от внешней нагрузки, из условия

, (8.60)
где

- поперечная сила в нормальном сечении от внешней нагрузки;

; (8.61)

. (8.62)
При расположении нормального сечения, в котором учитывают поперечную силу

, вблизи опоры на расстоянии a менее

расчет из
условия (8.60) производят, умножая значения

, определяемые по формуле (8.61), на коэффициент, равный

, но принимают значение

не более

.
При расположении нормального сечения, в котором учитывают поперечную силу

, на расстоянии a менее

расчет из
условия (8.60) производят, умножая значение

, определяемое по формуле (8.62), на коэффициент, равный

.
Поперечную арматуру учитывают в расчете, если соблюдается условие
Можно учитывать поперечную арматуру и при невыполнении этого условия, если в
условии (8.56) принимать
Шаг поперечной арматуры, учитываемой в расчете,

должен быть не больше значения

.
При отсутствии поперечной арматуры или нарушении указанных выше требований, а также приведенных в
10.3 конструктивных требований расчет производят из
условий (8.56) или
(8.60), принимая усилия

или

равными нулю.
Поперечная арматура должна отвечать конструктивным требованиям, приведенным в
10.3.
8.1.34. Влияние сжимающих и растягивающих напряжений при расчете по полосе между наклонными сечениями и по наклонным сечениям следует учитывать с помощью коэффициента

, на который умножают правую часть
условий (8.55),
(8.57) или
(8.61).
(в ред.
Изменения N 2, утв. Приказом Минстроя России от 30.12.2015 N 981/пр)
Значения коэффициента

принимаются равными:

при

1,25 при


при


при

,
Минстроя России от 30.12.2015 N 981/пр)
где

- среднее сжимающее напряжение в бетоне от воздействия продольных сил, принимаемое положительным. Величину

принимают как среднее напряжение в сечении элемента с учетом арматуры;

- среднее растягивающее напряжение в бетоне от воздействия продольных сил, принимаемое положительным.
Величины

и

принимают как средние напряжения в сечениях элементов. Допускается величины

и

определять без учета арматуры при содержании продольной арматуры не более 3%.
Расчет железобетонных элементов по наклонным сечениям
на действие моментов
8.1.35. Расчет железобетонных элементов по наклонным сечениям на действие моментов
(рисунок 8.7) производят из условия

, (8.63)
где M - момент в наклонном сечении с длиной проекции C на продольную ось элемента, определяемый от всех внешних сил, расположенных по одну сторону от рассматриваемого наклонного сечения, относительно конца наклонного сечения (точка 0), противоположного концу, у которого располагается проверяемая продольная арматура, испытывающая растяжение от момента в наклонном сечении; при этом учитывают наиболее опасное загружение в пределах наклонного сечения;

- момент, воспринимаемый продольной арматурой, пересекающей наклонное сечение, относительно противоположного конца наклонного сечения (точка 0);

- момент, воспринимаемый поперечной арматурой, пересекающей наклонное сечение, относительно противоположного конца наклонного сечения (точка 0).
Рисунок 8.7. Схема усилий при расчете железобетонных
элементов по наклонному сечению на действие моментов
Момент

определяют по формуле

, (8.64)
где

- усилие в продольной растянутой арматуре, принимаемое равным

, а в зоне анкеровки определяемое согласно
10.3.21 -
10.3.28;

- плечо внутренней пары сил; допускается принимать

.
Момент

для поперечной арматуры, нормальной к продольной оси элемента, определяют по формуле

, (8.65)
где

- усилие в поперечной арматуре, принимаемое равным

;
Расчет производят для наклонных сечений, расположенных по длине элемента на его концевых участках и в местах обрыва продольной арматуры, при наиболее опасной длине проекции наклонного сечения C, принимаемой в указанных выше пределах.
Допускается производить расчет наклонных сечений, принимая в
условии (8.63) момент M в наклонном сечении при длине проекции C на продольную ось элемента, равной

, а момент

- равным

.
Расчет по прочности железобетонных элементов
при действии крутящих моментов
Общие положения
8.1.36. Расчет по прочности железобетонных элементов прямоугольного поперечного сечения на действие крутящих моментов производят на основе модели пространственных сечений.
При расчете по модели пространственных сечений рассматривают сечения, образованные наклонными отрезками прямых, следующими по трем растянутым граням элемента, и замыкающим отрезком прямой по четвертой сжатой грани элемента.
Расчет железобетонных элементов на действие крутящих моментов производят по прочности элемента между пространственными сечениями и по прочности пространственных сечений.
Прочность по бетону между пространственными сечениями характеризуется максимальным значением крутящего момента, определяемым по сопротивлению бетона осевому сжатию с учетом напряженного состояния в бетоне между пространственными сечениями.
Расчет по пространственным сечениям производят на основе уравнений равновесия всех внутренних и внешних сил относительно оси, расположенной в центре сжатой зоны пространственного сечения элемента. Внутренние моменты включают момент, воспринимаемый арматурой, следующей вдоль оси элемента, и арматурой, следующей поперек оси элемента, пересекающей пространственное сечение и расположенной в растянутой зоне пространственного сечения и у растянутой грани элемента, противоположной сжатой зоне пространственного сечения. При этом усилия, воспринимаемые арматурой, определяют соответствию по расчетным значениям сопротивления растяжению продольной и поперечной арматуры.
При расчете рассматривают все положения пространственного сечения, принимая сжатую зону пространственного сечения у нижней, боковой и верхней граней элемента.
Расчет на совместное действие крутящих и изгибающих моментов, а также крутящих моментов и поперечных сил производят исходя из уравнений взаимодействия между соответствующими силовыми факторами.
Расчет на действие крутящего момента
8.1.37. Расчет по прочности элемента между пространственными сечениями производят из условия

, (8.66)
где T - крутящий момент от внешних нагрузок в нормальном сечении элемента;
b и h - меньший и больший размеры соответственно поперечного сечения элемента.
8.1.38. Расчет по прочности пространственных сечений производят из условия
(рисунок 8.8)

, (8.67)
где T - крутящий момент в пространственном сечении, определяемый от всех внешних сил, расположенных по одну сторону пространственного сечения;

- крутящий момент, воспринимаемый арматурой пространственного сечения, расположенной в поперечном по отношению к оси элемента направлении;

- крутящий момент, воспринимаемый арматурой пространственного сечения, расположенной в продольном направлении.
Рисунок 8.8. Схемы усилий в пространственных сечениях
при расчете на действие крутящего момента
Значение соотношения между усилиями в поперечной и продольной арматуре, учитываемое в
условии (8.67), приведено ниже.
Крутящий момент

определяют по формуле

, (8.68)
а крутящий момент

- по формуле

, (8.69)
где

- усилие в арматуре, расположенной в поперечном направлении; для арматуры, нормальной к продольной оси элемента, усилие

определяют по формуле

, (8.70)

- усилие в этой арматуре на единицу длины элемента,

, (8.71)

- площадь сечения арматуры, расположенной в поперечном направлении;

- шаг этой арматуры;

- длина проекции растянутой стороны пространственного сечения на продольную ось элемента

, (8.72)

- коэффициент, учитывающий соотношение размеров поперечного сечения

; (8.73)
C - длина проекции сжатой стороны пространственного сечения на продольную ось элемента;

- усилие в продольной арматуре, расположенной у рассматриваемой грани элемента

; (8.74)

- площадь сечения продольной арматуры, расположенной у рассматриваемой грани элемента;

и

- длина стороны поперечного сечения у рассматриваемой растянутой грани элемента и длина другой стороны поперечного сечения элемента.
Соотношение

принимают в пределах от 0,5 до 1,5. В том случае, если значение

выходит за указанные пределы, в расчете учитывают такое количество арматуры (продольной или поперечной), при котором значение

оказывается в указанных пределах.
Расчет производят для ряда пространственных сечений, расположенных по длине элемента, при наиболее опасной длине проекции пространственного сечения C на продольную ось элемента. При этом значение C принимают не более

и не более

.
Допускается расчет на действие крутящего момента производить, не рассматривая пространственные сечения при определении крутящего момента от внешней нагрузки, из условия

, (8.75)
где

- крутящий момент в нормальном сечении элемента;

- крутящий момент, воспринимаемый арматурой, расположенной у рассматриваемой грани элемента в поперечном направлении, и определяемый по формуле

; (8.76)

- крутящий момент, воспринимаемый продольной арматурой, расположенной у рассматриваемой грани элемента, и определяемый по формуле

. (8.77)
Соотношение

принимают в указанных выше пределах.
Расчет производят для ряда нормальных сечений, расположенных по длине элемента, для арматуры, расположенной у каждой рассматриваемой грани элемента.
При действии крутящих моментов следует соблюдать конструктивные требования, приведенные в
10.3.
Расчет на совместное действие
крутящего и изгибающего моментов
8.1.39. Расчет по прочности элемента между пространственными сечениями производят согласно
8.1.36.
8.1.40. Расчет по прочности пространственного сечения производят из условия

, (8.78)
где T - крутящий момент от внешней нагрузки в пространственном сечении;

- предельный крутящий момент, воспринимаемый пространственным сечением;
M - изгибающий момент от внешней нагрузки в нормальном сечении;

- предельный изгибающий момент, воспринимаемый нормальным сечением.
При расчете на совместное действие крутящего и изгибающего моментов рассматривают пространственное сечение с растянутой арматурой, расположенной у грани, растянутой от изгибающего момента, т.е. у грани, нормальной к плоскости действия изгибающего момента.
Крутящий момент T от внешней нагрузки определяют в нормальном сечении, расположенном в середине длины проекции C вдоль продольной оси элемента. В этом же нормальном сечении определяют изгибающий момент M от внешней нагрузки.
Предельный крутящий момент

определяют согласно
8.1.37 и принимают равным правой части
условия (8.67) (равным

) для рассматриваемого пространственного сечения.
Предельный изгибающий момент

определяют согласно
8.1.9.
Допускается для определения крутящих моментов использовать
условие (8.75). В этом случае крутящий момент

и изгибающий момент M определяют в нормальных сечениях по длине элемента. В рассматриваемом нормальном сечении предельный крутящий момент принимают равным правой части
условия (8.75) 
.
Предельный изгибающий момент

определяют для того же нормального сечения, как было указано выше.
При совместном действии крутящих и изгибающих моментов следует соблюдать расчетные и конструктивные требования, приведенные в
10.3 и
8.1.38.
Расчет на совместное действие
крутящего момента и поперечной силы
8.1.41. Расчет по прочности элемента между пространственными сечениями производят из условия

, (8.79)
где T - крутящий момент от внешней нагрузки в нормальном сечении;

- предельный крутящий момент, воспринимаемый элементом между пространственными сечениями и принимаемый равным правой части
условия (8.66);
Q - поперечная сила от внешней нагрузки в том же нормальном сечении;

- предельная поперечная сила, воспринимаемая бетоном между наклонными сечениями и принимаемая равной правой части
условия (8.55).
8.1.42. Расчет по прочности пространственного сечения производят из
условия (8.79), в котором принимают следующие величины:
T - крутящий момент от внешней нагрузки в пространственном сечении;

- предельный крутящий момент, воспринимаемый пространственным сечением;
Q - поперечная сила в наклонном сечении;

- предельная поперечная сила, воспринимаемая наклонным сечением.
При расчете на совместное действие крутящего момента и поперечной силы рассматривают пространственное сечение с растянутой арматурой, расположенной у одной из граней, растянутой от поперечной силы, т.е. у грани, параллельной плоскости действия поперечной силы.
Крутящий момент T от внешней нагрузки определяют в нормальном сечении, расположенном в середине длины C вдоль продольной оси элемента. В том же нормальном сечении определяют поперечную силу Q от внешней нагрузки.
Предельный крутящий момент

определяют согласно
8.1.38 и принимают равным правой части
условия (8.67) (равным

) для рассматриваемого пространственного сечения.
Предельную поперечную силу

определяют согласно
8.1.33 и принимают равной правой части
условия (8.56). При этом середину длины проекции наклонного сечения на продольную ось элемента располагают в нормальном сечении, проходящем через середину длины проекции пространственного сечения на продольную ось элемента.
Допускается для определения крутящих моментов использовать
условие (8.75), а для определения поперечных сил -
условие (8.60). В этом случае крутящий момент

и поперечную силу

от внешней нагрузки определяют в нормальных сечениях по длине элемента. В рассматриваемом нормальном сечении предельный крутящий момент

принимают равным правой части
условия (8.75) (равным

), а предельную поперечную силу

в том же нормальном сечении принимают равной правой части
условия (8.60) (равной

).
При совместном действии крутящих моментов и поперечных сил следует соблюдать расчетные и конструктивные требования, приведенные в
10.3.
Расчет железобетонных элементов на местное сжатие
8.1.43. Расчет железобетонных элементов на местное сжатие (смятие) производят при действии сжимающей силы, приложенной на ограниченной площади нормально к поверхности железобетонного элемента. При этом учитывают повышенное сопротивление сжатию бетона в пределах грузовой площади (площади смятия) за счет объемного напряженного состояния бетона под грузовой площадью, зависящее от расположения грузовой площади на поверхности элемента.
При наличии косвенной арматуры в зоне местного сжатия учитывают дополнительное повышение сопротивления сжатию бетона под грузовой площадью за счет сопротивления косвенной арматуры.
Расчет элементов на местное сжатие при отсутствии косвенной арматуры производят согласно 8.1.44, а при наличии косвенной арматуры - согласно
8.1.45.
8.1.44. Расчет элементов на местное сжатие при отсутствии косвенной арматуры
(рисунок 8.9) производят из условия

, (8.80)
где N - местная сжимающая сила от внешней нагрузки;

- площадь приложения сжимающей силы (площадь смятия);

- расчетное сопротивление бетона сжатию при местном действии сжимающей силы;

- коэффициент, принимаемый равным 1,0 при равномерном и 0,75 при неравномерном распределении местной нагрузки по площади смятия.
Значение

определяют по формуле

, (8.81)
где

- коэффициент, определяемый по формуле

, (8.82)
но принимаемый не более 2,5 и не менее 1,0.
В формуле (8.82):

- максимальная расчетная площадь, устанавливаемая по следующим правилам:
центры тяжести площадей

и

совпадают;
границы расчетной площади

отстоят от каждой стороны площади

на расстоянии, равном соответствующему размеру этих сторон
(рисунок 8.9).
а - вдали от краев элемента; б - по всей ширине элемента;
в - у края (торца) элемента по всей его ширине;
г - на углу элемента; д - у одного края элемента;
е - вблизи одного края элемента
1 - элемент, на который действует местная нагрузка;
2 - площадь смятия

; 3 - максимальная расчетная
площадь

; 4 - центр тяжести площадей

и

;
5 - минимальная зона армирования сетками, при которой
косвенное армирование учитывается в расчете
Рисунок 8.9. Схемы для расчета элементов на местное
сжатие при расположении местной нагрузки
8.1.45. Расчет элементов на местное сжатие при наличии косвенной арматуры в виде сварных сеток производят из условия

, (8.83)
где

- приведенное с учетом косвенной арматуры в зоне местного сжатия расчетное сопротивление бетона сжатию, определяемое по формуле

. (8.84)
Здесь

- коэффициент, определяемый по формуле

; (8.85)

- площадь, заключенная внутри контура сеток косвенного армирования, считая по их крайним стержням, и принимаемая в формуле (8.85) не более

;

- расчетное сопротивление растяжению косвенной арматуры;

- коэффициент косвенного армирования, определяемый по формуле

; (8.86)

,

,

- число стержней, площадь сечения и длина стержня сетки, считая в осях крайних стержней, в направлении X;

,

,

- то же, в направлении Y;
s - шаг сеток косвенного армирования.
Значения

,

,

и N принимают согласно
8.1.44.
Значение местной сжимающей силы, воспринимаемое элементом с косвенным армированием (правая часть
условия (8.83)), принимают не более удвоенного значения местной сжимающей силы, воспринимаемого элементом без косвенного армирования (правая часть
условия (8.80)).
Косвенное армирование должно отвечать конструктивным требованиям, приведенным в
10.3.
Расчет железобетонных элементов на продавливание
Общие положения
8.1.46. Расчет на продавливание производят для плоских железобетонных элементов (плит) при действии на них (нормально к плоскости элемента) местных, концентрированно приложенных усилий - сосредоточенных силы и изгибающего момента.
При расчете на продавливание рассматривают расчетное поперечное сечение, расположенное вокруг зоны передачи усилий на элемент на расстоянии

нормально к его продольной оси, по поверхности которого действуют касательные усилия от сосредоточенных силы и изгибающего момента (рисунок 8.10).
Рисунок 8.10. Условная модель для расчета на продавливание
Действующие касательные усилия по площади расчетного поперечного сечения должны быть восприняты бетоном с сопротивлением бетона осевому растяжению

и поперечной арматурой, расположенной от грузовой площадки на расстоянии не более

и не менее

, с сопротивлением растяжению

.
При действии сосредоточенной силы касательные усилия, воспринимаемые бетоном и арматурой, принимают равномерно распределенными по всей площади расчетного поперечного сечения. При действии изгибающего момента касательные усилия, воспринимаемые бетоном и поперечной арматурой, принимают линейно изменяющимися по длине расчетного поперечного сечения в направлении действия момента с максимальными касательными усилиями противоположного знака у краев расчетного поперечного сечения в этом направлении.
Расчет на продавливание при действии сосредоточенной силы и отсутствии поперечной арматуры производят согласно
8.1.47, при действии сосредоточенной силы и наличии поперечной арматуры - согласно
8.1.48, при действии сосредоточенных силы и изгибающего момента и отсутствии поперечной арматуры - согласно
8.1.49 и при действии сосредоточенных силы и изгибающего момента и наличии поперечной арматуры - согласно
8.1.50.
Расчетный контур поперечного сечения принимают: при расположении площадки передачи нагрузки внутри плоского элемента - замкнутым и расположенным вокруг площадки передачи нагрузки (
рисунок 8.11, а, г), при расположении площадки передачи нагрузки у края или угла плоского элемента - в виде двух вариантов: замкнутым и расположенным вокруг площадки передачи нагрузки и незамкнутым, следующим от краев плоского элемента (
рисунок 8.11, б, в), в этом случае учитывают наименьшую несущую способность при двух вариантах расположения расчетного контура поперечного сечения.
а - площадка приложения нагрузки внутри плоского
элемента; б, в - то же, у края плоского элемента;
г - при крестообразном расположении поперечной арматуры
1 - площадь приложения нагрузки; 2 - расчетный контур
поперечного сечения; 2' - второй вариант расположения
расчетного контура; 3 - центр тяжести расчетного контура
(место пересечения осей

и

); 4 - центр тяжести площадки
приложения нагрузки (место пересечения осей X и Y);
5 - поперечная арматура; 6 - контур расчетного поперечного
сечения без учета в расчете поперечной арматуры;
7 - граница (край) плоского элемента
Рисунок 8.11. Схема расчетных контуров поперечного
сечения при продавливании
В случае расположения отверстия в плите на расстоянии менее 6h от угла или края площадки передачи нагрузки до угла или края отверстия часть расчетного контура, расположенная между двумя касательными к отверстию, проведенными из центра тяжести площадки передачи нагрузки, в расчете не учитывается.
При действии момента

в месте приложения сосредоточенной нагрузки половину этого момента учитывают при расчете на продавливание, а другую половину - при расчете по нормальным сечениям по ширине сечения, включающей ширину площадки передачи нагрузки и высоту сечения плоского элемента по обе стороны от площадки передачи нагрузки.
При действии сосредоточенных моментов и силы в условиях прочности соотношение между действующими сосредоточенными моментами M, учитываемыми при продавливании, и предельными

принимают не более половины соотношения между действующим сосредоточенным усилием F и предельным

.
При расположении сосредоточенной силы внецентренно относительно центра тяжести контура расчетного поперечного сечения значения изгибающих сосредоточенных моментов от внешней нагрузки определяют с учетом дополнительного момента от внецентренного приложения сосредоточенной силы относительно центра тяжести контура расчетного поперечного сечения с положительным или обратным знаком по отношению к моментам в колонне.
Расчет элементов на продавливание
при действии сосредоточенной силы
8.1.47. Расчет элементов без поперечной арматуры на продавливание при действии сосредоточенной силы производят из условия

, (8.87)
где F - сосредоточенная сила от внешней нагрузки;

- предельное усилие, воспринимаемое бетоном.
Усилие

определяют по формуле

, (8.88)
где

- площадь расчетного поперечного сечения, расположенного на расстоянии

от границы площади приложения сосредоточенной силы F с рабочей высотой сечения
(рисунок 8.12).
1 - расчетное поперечное сечение;
2 - контур расчетного поперечного сечения;
3 - контур площадки приложения нагрузки
Рисунок 8.12. Схема для расчета железобетонных элементов
без поперечной арматуры на продавливание
Площадь

определяют по формуле

, (8.89)
где u - периметр контура расчетного поперечного сечения;

- приведенная рабочая высота сечения

,
здесь

и

- рабочая высота сечения для продольной арматуры, расположенной в направлении осей X и Y.
8.1.48. Расчет элементов с поперечной арматурой на продавливание при действии сосредоточенной силы
(рисунок 8.13) производят из условия

, (8.90)
где

- предельное усилие, воспринимаемое поперечной арматурой при продавливании;

- предельное усилие, воспринимаемое бетоном, определяемое согласно
8.1.47.
1 - расчетное поперечное сечение; 2 - контур расчетного
поперечного сечения; 3 - границы зоны, в пределах которых
в расчете учитывается поперечная арматура; 4 - контур
расчетного поперечного сечения без учета в расчете
поперечной арматуры; 5 - контур площадки
приложения нагрузки
Рисунок 8.13. Схема для расчета железобетонных плит
с вертикальной равномерно распределенной поперечной
арматурой на продавливание
Усилие

, воспринимаемое поперечной арматурой, нормальной к продольной оси элемента и расположенной равномерно вдоль контура расчетного поперечного сечения, определяют по формуле

, (8.91)
где

- усилие в поперечной арматуре на единицу длины контура расчетного поперечного сечения, расположенной в пределах расстояния

по обе стороны от контура расчетного сечения

; (8.92)

- площадь сечения поперечной арматуры с шагом

, расположенная в пределах расстояния

по обе стороны от контура расчетного поперечного сечения по периметру контура расчетного поперечного сечения;
u - периметр контура расчетного поперечного сечения, определяемый согласно
8.1.47.
При расположении поперечной арматуры неравномерно по контуру расчетного поперечного сечения, а сосредоточенно у осей площадки передачи нагрузки (крестообразное расположение поперечной арматуры) периметр контура u для поперечной арматуры принимают по фактическим длинам участков расположения поперечной арматуры

и

по расчетному контуру продавливания (
рисунок 8.11, г).
Значение

принимают не более

. Поперечную арматуру учитывают в расчете при

не менее

.
За границей расположения поперечной арматуры расчет на продавливание производят согласно
8.1.47, рассматривая контур расчетного поперечного сечения на расстоянии

от границы расположения поперечной арматуры
(рисунок 8.13). При сосредоточенном расположении поперечной арматуры по осям площадки передачи нагрузки, кроме того, расчетный контур поперечного сечения бетона принимают по диагональным линиям, следующим от края расположения поперечной арматуры (
рисунок 8.11, г).
Поперечная арматура должна удовлетворять конструктивным требованиям, приведенным в
10.3. При нарушении указанных в
10.3 конструктивных требований в расчете на продавливание следует учитывать только поперечную арматуру, пересекающую пирамиду продавливания, при обеспечении условий ее анкеровки.
Расчет элементов на продавливание при действии
сосредоточенных силы и изгибающего момента
8.1.49. Расчет элементов без поперечной арматуры на продавливание при совместном действии сосредоточенных силы и изгибающего момента (см.
рисунок 8.12) производят из условия

, (8.93)
где F - сосредоточенная сила от внешней нагрузки;
M - сосредоточенный изгибающий момент от внешней нагрузки, учитываемый при расчете на продавливание
(8.1.46);

и

- предельные сосредоточенные сила и изгибающий момент, которые могут быть восприняты бетоном в расчетном поперечном сечении при их раздельном действии.
В железобетонном каркасе зданий с плоскими перекрытиями сосредоточенный изгибающий момент

равен суммарному изгибающему моменту в сечениях верхней и нижней колонн, примыкающих к перекрытию в рассматриваемом узле.
Предельную силу

определяют согласно
8.1.47.
Предельный изгибающий момент

определяют по формуле

, (8.94)
где

- момент сопротивления расчетного поперечного сечения, определяемый согласно
8.1.51.
При действии изгибающих моментов в двух взаимно перпендикулярных плоскостях расчет производят из условия

, (8.95)
где F,

и

- сосредоточенные сила и изгибающие моменты в направлениях осей X и Y, учитываемые при расчете на продавливание
(8.1.46), от внешней нагрузки;

,

,

- предельные сосредоточенные сила и изгибающие моменты в направлениях осей X и Y, которые могут быть восприняты бетоном в расчетном поперечном сечении при их раздельном действии.
Усилие

определяют согласно
8.1.47.
Усилия

и

определяют согласно указаниям, приведенным выше, при действии момента в плоскости осей X и Y соответственно.
8.1.50. Расчет прочности элементов с поперечной арматурой на продавливание при действии сосредоточенной силы и изгибающих моментов в двух взаимно перпендикулярных плоскостях производят из условия

, (8.96)

,

и

- предельные сосредоточенные сила и изгибающие моменты в направлениях осей X и Y, которые могут быть восприняты бетоном в расчетном поперечном сечении при их раздельном действии;

,

и

- предельные сосредоточенные сила и изгибающие моменты в направлениях осей X и Y, которые могут быть восприняты поперечной арматурой при их раздельном действии.
Усилия

и

воспринимаемые поперечной арматурой, нормальной к продольной оси элемента и расположенной равномерно вдоль контура расчетного сечения, определяют при действии изгибающего момента, соответственно в направлении осей X и Y по формуле

, (8.97)
(в ред.
Изменения N 2, утв. Приказом Минстроя России от 30.12.2015 N 981/пр)
Поперечная арматура должна отвечать конструктивным требованиям, приведенным в
10.3. При нарушении указанных в
разделе 10.3 конструктивных требований в расчете на продавливание следует учитывать только поперечную арматуру, пересекающую пирамиду продавливания, при обеспечении условий ее анкеровки.
8.1.51. В общем случае значения момента сопротивления расчетного контура бетона при продавливании

в направлениях взаимно перпендикулярных осей X и Y определяют по формуле

, (8.98)
где

- момент инерции расчетного контура относительно осей

и

, проходящих через его центр тяжести
(рисунок 8.11);

- максимальное расстояние от расчетного контура до его центра тяжести.
Значение момента инерции

определяют как сумму моментов инерции

отдельных участков расчетного контура поперечного сечения относительно центральных осей, проходящих через центр тяжести расчетного контура, принимая условно ширину каждого участка равной единице.
Положение центра тяжести расчетного контура относительно выбранной оси определяют по формуле

, (8.99)
где

- длина отдельного участка расчетного контура;

- расстояние от центров тяжести отдельных участков расчетного контура до выбранных осей.
При расчетах принимают наименьшие значения моментов сопротивления

и

.
Момент сопротивления расчетного контура бетона для колонн круглого сечения определяют по формуле

,
Минстроя России от 30.12.2015 N 981/пр)
где D - диаметр колонны.
8.1.52. Значения моментов сопротивления поперечной арматуры при продавливании

в том случае, когда поперечная арматура расположена равномерно вдоль расчетного контура продавливания в пределах зоны, границы которой отстоят на расстоянии

- в каждую сторону от контура продавливания бетона (см.
рисунок 8.13), принимают равными соответствующим значениям

и

.
При расположении поперечной арматуры в плоском элементе сосредоточенно по осям грузовой площадки, например по оси колонн (крестообразное расположение поперечной арматуры в перекрытии), моменты сопротивления поперечной арматуры определяют по тем же правилам, что и моменты сопротивления бетона, принимая соответствующую фактическую длину ограниченного участка расположения поперечной арматуры по расчетному контуру продавливания

и

(
рисунок 8.11, г).
Расчет плоскостных железобетонных элементов
плит и стен по прочности
8.1.53. Расчет по прочности плоских плит перекрытий, покрытий и фундаментных плит следует производить как расчет плоских выделенных элементов на совместное действие изгибающих моментов в направлении взаимно перпендикулярных осей и крутящих моментов, приложенных по боковым сторонам плоского выделенного элемента, а также на действие продольных и поперечных сил, приложенных по боковым сторонам плоского элемента (рисунок 8.14).
Рисунок 8.14. Схема усилий, действующих на выделенный
плоский элемент единичной ширины
Кроме того, при опирании плоских плит на колонны следует производить расчет плит на продавливание на действие сосредоточенных нормальных сил и моментов согласно
8.1.46 -
8.1.52.
8.1.54. Расчет по прочности плоских плит в общем случае рекомендуется производить путем разделения плоского элемента на отдельные слои сжатого бетона и растянутой арматуры и расчета каждого слоя отдельно на действие нормальных и сдвигающих сил в этом слое, полученных от действия изгибающих и крутящих моментов и нормальных сил (рисунок 8.15).
Рисунок 8.15. Схема усилий, действующих в бетонном
и арматурном слоях выделенного плоского элемента плиты
(усилия на противоположных сторонах условно не показаны)
Расчет плоских элементов плит может также производиться без разделения на слои бетона и растянутой арматуры на совместное действие изгибающих и крутящих моментов из условий, основанных на обобщенных уравнениях предельного равновесия:

; (8.100)

; (8.101)

; (8.102)

, (8.103)
где

,

,

- изгибающие и крутящие моменты, действующие на выделенный плоский элемент;

,

,

- предельные изгибающие и крутящие моменты, воспринимаемые плоским выделенным элементом.
Значения предельных изгибающих моментов

и

следует определять из расчета нормальных сечений, перпендикулярных осям X и Y, плоского выделенного элемента с продольной арматурой, параллельной осям X и Y, согласно указаниям
8.1.1 -
8.1.13.
Значения предельных крутящих моментов следует определять по бетону

и по растянутой продольной арматуре

по формулам:

, (8.104)
где b и h - меньший и больший размеры соответственно плоского выделенного элемента;

, (8.105)
где

и

- площади сечения продольной арматуры в направлении осей X и Y;

- рабочая высота поперечного сечения плиты.
Допускается применять и другие методы расчета по прочности плоского выделенного элемента, полученные на основе равновесия внешних усилий, действующих по боковым сторонам выделенного элемента и внутренних усилий в диагональном сечении плоского выделенного элемента.
При действии на выделенный плоский элемент плит также продольной силы расчет следует производить как для выделенного плоского элемента стен согласно
8.1.57.
8.1.55. Расчет плоского выделенного элемента на действие поперечных сил следует производить из условия:

, (8.106)
где

и

- поперечные силы, действующие по боковым сторонам плоского выделенного элемента;

и

- предельные поперечные силы, воспринимаемые плоским выделенным элементом.
Значения предельных поперечных сил определяют по формуле:

, (8.107)
где

и

- предельные поперечные силы, воспринимаемые соответственно бетоном и поперечной арматурой и определяемые по формулам:

; (8.108)

, (8.109)
где

- интенсивность поперечного армирования, определяемая по
формуле (8.59).
8.1.56. Расчет по прочности стен в общем случае следует производить как плоских выделенных элементов на совместное действие нормальных сил, изгибающих моментов, крутящих моментов, сдвигающих сил, поперечных сил, приложенных по боковым сторонам плоского выделенного элемента (рисунок 8.16).
Рисунок 8.16. Схема усилий, действующих на выделенный
плоский элемент единичной ширины стены
(усилия на противоположных сторонах условно не показаны)
8.1.57. Расчет стен в общем случае рекомендуется производить путем разделения плоского элемента на отдельные слои сжатого бетона и растянутой арматуры и расчета каждого слоя отдельно на действие нормальных и сдвигающих сил в этом слое, полученных от действия изгибающих и крутящих моментов, общих нормальных и сдвигающих сил.
Допускается производить расчет без разделения на слои бетона и растянутой арматуры отдельно из плоскости стены на совместное действие изгибающих моментов, крутящих моментов и нормальных сил и в плоскости стены на совместное действие нормальных и сдвигающих сил.
Расчет стены в своей плоскости рекомендуется производить из условий, основанных на обобщенных уравнениях предельного равновесия:

; (8.110)

; (8.111)

; (8.112)

, (8.113)
где

,

и

- нормальные и сдвигающие силы, действующие по боковым сторонам плоского выделенного элемента;

,

и

- предельные нормальные и сдвигающие силы, воспринимаемые плоским выделенным элементом.
Значения предельных нормальных сил

и

следует определять из расчета нормальных сечений, перпендикулярных осям X и Y, плоского выделенного элемента с вертикальной и горизонтальной арматурой, параллельной осям X и Y, согласно указаниям
8.1.14 -
8.1.19.
Значения предельных сдвигающих сил следует определять по бетону

и по арматуре

по формулам:

, (8.114)
где

- рабочая площадь поперечного сечения бетона выделенного элемента.

, (8.115)
где

и

- площадь сечения арматуры в направлении осей X и Y в выделенном элементе.
Расчет из плоскости стены производят аналогично расчету плоских плит перекрытий, определяя значения предельных изгибающих моментов с учетом влияния нормальных сил.
Допускается применять и другие методы расчета по прочности плоского выделенного элемента, полученные на основе равновесия внешних усилий, действующих по боковым сторонам выделенного элемента, и внутренних усилий в диагональном сечении выделенного элемента.
8.1.58. Расчет по прочности плоских выделенных элементов стен на действие поперечных сил следует производить аналогично расчету плит, но с учетом влияния продольных сил.
8.1.59. Расчет по трещиностойкости плит (по образованию и раскрытию трещин нормальных к продольной оси элемента), следует производить на действие изгибающих моментов (без учета крутящих моментов) согласно указаниям раздела 8.2.
8.2. Расчет элементов железобетонных конструкций
по предельным состояниям второй группы
Общие положения
8.2.1. Расчеты по предельным состояниям второй группы включают:
расчет по образованию трещин;
расчет по раскрытию трещин;
расчет по деформациям.
8.2.2. Расчет по образованию трещин производят, когда необходимо обеспечить отсутствие трещин (см.
4.3), а также как вспомогательный при расчете по раскрытию трещин и по деформациям.
8.2.3. При расчете по образованию трещин в целях их недопущения коэффициент надежности по нагрузке принимают

(как при расчете по прочности). При расчете по раскрытию трещин и по деформациям (включая вспомогательный расчет по образованию трещин) принимают коэффициент надежности по нагрузке

.
Расчет железобетонных элементов
по образованию и раскрытию трещин
8.2.4. Расчет железобетонных элементов по образованию трещин производят из условия:

; (8.116)
где M - изгибающий момент от внешней нагрузки относительно оси, нормальной к плоскости действия момента и проходящей через центр тяжести приведенного поперечного сечения элемента;

- изгибающий момент, воспринимаемый нормальным сечением элемента при образовании трещин, определяемый по
формуле (8.121).
Для центрально растянутых элементов образование трещин определяют из условия:

, (8.117)
где N - продольное растягивающее усилие от внешней нагрузки;

- продольное растягивающее усилие, воспринимаемое элементом при образовании трещин, определяемое согласно
8.2.13.
8.2.5. В тех случаях, когда выполняются
условия (8.116) или (8.117), выполняют расчет по раскрытию трещин. Расчет железобетонных элементов производят по непродолжительному и продолжительному раскрытию трещин.
Непродолжительное раскрытие трещин определяют от совместного действия постоянных и временных (длительных и кратковременных) нагрузок, продолжительное - только от постоянных и временных длительных нагрузок
(4.6).
8.2.6. Расчет по раскрытию трещин производят из условия:

, (8.118)
где

- ширина раскрытия трещин от действия внешней нагрузки, определяемая согласно
8.2.7,
8.2.15 -
8.2.17;

- предельно допустимая ширина раскрытия трещин.
Значения

принимают равными:
а) из условия обеспечения сохранности арматуры
классов А240 - А600, В500:
0,3 мм - при продолжительном раскрытии трещин;
0,4 мм - при непродолжительном раскрытии трещин;
классов А800, А1000,

, К1400, К1500 (К-19) и К1500 (К-7), К1600 диаметром 12 мм:
0,2 мм - при продолжительном раскрытии трещин;
0,3 мм - при непродолжительном раскрытии трещин;
классов

, К1500 (К-7), К1600 диаметром 6 и 9 мм:
0,1 мм - при продолжительном раскрытии трещин;
0,2 мм - при непродолжительном раскрытии трещин;
б) из условия ограничения проницаемости конструкций
0,2 мм - при продолжительном раскрытии трещин;
0,3 мм - при непродолжительном раскрытии трещин.
8.2.7. Расчет железобетонных элементов следует производить по продолжительному и по непродолжительному раскрытию нормальных и наклонных трещин.
Ширину продолжительного раскрытия трещин определяют по формуле

, (8.119)
а ширину непродолжительного раскрытия трещин - по формуле

, (8.120)
где

- ширина раскрытия трещин от продолжительного действия постоянных и временных длительных нагрузок;

- ширина раскрытия трещин от непродолжительного действия постоянных и временных (длительных и кратковременных) нагрузок;

- ширина раскрытия трещин от непродолжительного действия постоянных и временных длительных нагрузок.
Определение момента образования трещин,
нормальных к продольной оси элемента
8.2.8. Изгибающий момент

при образовании трещин в общем случае определяется по деформационной модели согласно
8.2.14.
Для элементов прямоугольного, таврового или двутаврового сечения с арматурой, расположенной у верхней и нижней граней, момент трещинообразования с учетом неупругих деформаций растянутого бетона допускается определять согласно указаниям 8.2.10 -
8.2.12.
8.2.9. Допускается момент образования трещин определять без учета неупругих деформаций растянутого бетона по указаниям
8.2.11, принимая в
формуле (8.121) 
. Если при этом
условие (8.118) или
условие (8.139) не удовлетворяются, то момент образования трещин следует определять с учетом неупругих деформаций растянутого бетона.
8.2.10. Момент образования трещин с учетом неупругих деформаций растянутого бетона определяют в соответствии со следующими положениями:
сечения после деформирования остаются плоскими;
эпюру напряжений в сжатой зоне бетона принимают треугольной формы, как для упругого тела
(рисунок 8.17);
эпюру напряжений в растянутой зоне бетона принимают трапециевидной формы с напряжениями, не превышающими расчетных значений сопротивления бетона растяжению

;
относительную деформацию крайнего растянутого волокна бетона принимают равной ее предельному значению

при кратковременном действии нагрузки
(8.1.30); при двухзначной эпюре деформаций в сечении элемента

;
напряжения в арматуре принимают в зависимости от относительных деформаций как для упругого тела.
Рисунок 8.17. Схема напряженно-деформированного состояния
сечения элемента при проверке образования трещин
при действии изгибающего момента (а),
изгибающего момента и продольной силы (б)
8.2.11. Момент образования трещин с учетом неупругих деформаций растянутого бетона определяют по формуле

, (8.121)
где

- упругопластический момент сопротивления сечения для крайнего растянутого волокна бетона, определяемый с учетом положений
8.2.10;

- расстояние от точки приложения продольной силы N (расположенной в центре тяжести приведенного сечения элемента) до ядровой точки, наиболее удаленной от растянутой зоны, трещинообразование которой проверяется.
В
формуле (8.121) знак "плюс" принимают при сжимающей продольной силе N, "минус" - при растягивающей силе.
Для прямоугольных сечений и тавровых сечений с полкой, расположенной в сжатой зоне, значение

при действии момента в плоскости оси симметрии допускается принимать равным

, (8.122)
где

- упругий момент сопротивления приведенного сечения по растянутой зоне сечения, определяемый в соответствии с 8.2.12.
8.2.12. Момент сопротивления

и расстояние

определяют по формулам:

; (8.123)

, (8.124)
где

- момент инерции приведенного сечения элемента относительно его центра тяжести

; (8.125)
I,

,

- моменты инерции сечений бетона, растянутой арматуры и сжатой арматуры соответственно;

- площадь приведенного поперечного сечения элемента, определяемая по формуле

; (8.126)

- коэффициент приведения арматуры к бетону

;
A,

,

- площади поперечного сечения бетона, растянутой и сжатой арматуры соответственно;

- расстояние от наиболее растянутого волокна бетона до центра тяжести приведенного поперечного сечения элемента

,
здесь

- статический момент площади приведенного поперечного сечения элемента относительно наиболее растянутого волокна бетона.
Допускается момент сопротивления

определять без учета арматуры.
8.2.13. Усилие

при образовании трещин в центрально растянутых элементах определяют по формуле

. (8.127)
8.2.14. Определение момента образования трещин на основе нелинейной деформационной модели производят исходя из общих положений, приведенных в
6.1.24 и
8.1.20 -
8.1.30, но с учетом работы бетона в растянутой зоне нормального сечения, определяемой диаграммой состояния растянутого бетона согласно
6.1.22. Расчетные характеристики материалов принимают для предельных состояний второй группы.
Значение

определяют из решения системы уравнений, представленных в
8.1.20 -
8.1.30, принимая относительную деформацию бетона

у растянутой грани элемента от действия внешней нагрузки, равной предельному значению относительной деформации бетона при растяжении

, определяемому согласно указаниям
8.1.30.
Расчет ширины раскрытия трещин,
нормальных к продольной оси элемента
8.2.15. Ширину раскрытия нормальных трещин

(i = 1, 2, 3 - см.
8.2.7) определяют по формуле

, (8.128)
где

- напряжение в продольной растянутой арматуре в нормальном сечении с трещиной от соответствующей внешней нагрузки, определяемое согласно
8.2.16;

- базовое (без учета влияния вида поверхности арматуры) расстояние между смежными нормальными трещинами, определяемое согласно
8.2.17;

- коэффициент, учитывающий неравномерное распределение относительных деформаций растянутой арматуры между трещинами; допускается принимать коэффициент

; если при этом
условие (8.118) не удовлетворяется, то значение

следует определять по
формуле (8.138);

- коэффициент, учитывающий продолжительность действия нагрузки, принимаемый равным:
1,0 - при непродолжительном действии нагрузки;
1,4 - при продолжительном действии нагрузки;

- коэффициент, учитывающий профиль продольной арматуры, принимаемый равным:
0,5 - для арматуры периодического профиля и канатной;
0,8 - для гладкой арматуры;

- коэффициент, учитывающий характер нагружения, принимаемый равным:
1,0 - для элементов изгибаемых и внецентренно сжатых;
1,2 - для растянутых элементов.
8.2.16. Значения напряжения

в растянутой арматуре изгибаемых элементов определяют по формуле

, (8.129)
где

,

- момент инерции и высота сжатой зоны приведенного поперечного сечения элемента, определяемые с учетом площади сечения только сжатой зоны бетона, площадей сечения растянутой и сжатой арматуры согласно
8.2.27, принимая в соответствующих формулах значения коэффициента приведения арматуры к бетону

.
Для изгибаемых элементов
(рисунок 8.18), где x - высота сжатой зоны бетона, определяемая согласно
8.2.28 при

.
I - уровень центра тяжести приведенного поперечного сечения
Рисунок 8.18. Схема напряженно-деформированного состояния
элемента с трещинами при действии изгибающего момента
(а, б), изгибающего момента и продольной силы (в)
Значение коэффициента приведения арматуры к бетону

определяют по формуле

, (8.130)
где

- приведенный модуль деформации сжатого бетона, учитывающий неупругие деформации сжатого бетона и определяемый по формуле

. (8.131)
Относительную деформацию бетона

принимают равной 0,0015.
Допускается напряжение

определять по формуле

, (8.132)
где

- расстояние от центра тяжести растянутой арматуры до точки приложения равнодействующей усилий в сжатой зоне элемента.
Для элементов прямоугольного поперечного сечения при отсутствии (или без учета) сжатой арматуры значение

определяют по формуле

. (8.133)
Для элементов прямоугольного, таврового (с полкой в сжатой зоне) и двутаврового поперечного сечения допускается значение

принимать равным

.
При действии изгибающего момента M и продольной силы N напряжение

в растянутой арматуре определяют по формуле

, (8.134)
где

,

- площадь приведенного поперечного сечения элемента и расстояние от наиболее сжатого волокна бетона до центра тяжести приведенного сечения, определяемые по общим правилам расчета геометрических характеристик сечений упругих элементов с учетом площади сечения только сжатой зоны бетона, площадей сечения растянутой и сжатой арматуры согласно
8.2.28, принимая коэффициент приведения арматуры к бетону

.
Допускается напряжение

определять по формуле

, (8.135)
где

- расстояние от центра тяжести растянутой арматуры до точки приложения продольной силы N с учетом эксцентриситета, равного

.
Для элементов прямоугольного сечения при отсутствии (или без учета) сжатой арматуры значение

допускается определять по
формуле (8.133), в которой

- высота сжатой зоны бетона с учетом влияния продольной силы, определяемая согласно
8.2.28, принимая коэффициент приведения арматуры к бетону

.
Для элементов прямоугольного, таврового (с полкой в сжатой зоне) и двутаврового поперечного сечения допускается значение

принимать равным

.
В
формулах (8.134) и
(8.135) знак "плюс" принимают при растягивающей, а знак "минус" при сжимающей продольной силе.
Напряжения

не должны превышать

.
8.2.17. Значения базового расстояния между трещинами

определяют по формуле

(8.136)
и принимают не менее

и 10 см и не более

и 40 см.
Здесь

- площадь сечения растянутого бетона;

- площадь сечения растянутой арматуры;

- номинальный диаметр арматуры.
Значения

определяют по высоте растянутой зоны бетона

, используя правила расчета момента образования трещин согласно указаниям
8.2.8 -
8.2.14.
В любом случае значение

принимают равным площади сечения при ее высоте в пределах не менее 2a и не более 0,5h.
8.2.18. Значения коэффициента

определяют по формуле

, (8.137)
где

- напряжение в продольной растянутой арматуре в сечении с трещиной сразу после образования нормальных трещин, определяемое по указаниям
8.2.16, принимая в соответствующих формулах значения

;

- то же, при действии рассматриваемой нагрузки.
Для изгибаемых элементов значение коэффициента

допускается определять по формуле

, (8.138)
Расчет элементов железобетонных конструкций по деформациям
8.2.19. Расчет элементов железобетонных конструкций по деформациям производят с учетом эксплуатационных требований, предъявляемых к конструкциям.
Расчет по деформациям следует производить на действие:
постоянных, временных длительных и кратковременных нагрузок (см.
4.6) при ограничении деформаций технологическими или конструктивными требованиями;
постоянных и временных длительных нагрузок при ограничении деформаций эстетическими требованиями.
8.2.20. Значения предельно допустимых деформаций элементов принимают согласно
СП 20.13330 и нормативным документам на отдельные виды конструкций.
Расчет железобетонных элементов по прогибам
8.2.21. Расчет железобетонных элементов по прогибам производят из условия:

, (8.139)
где f - прогиб железобетонного элемента от действия внешней нагрузки;

- значение предельно допустимого прогиба железобетонного элемента.
Прогибы железобетонных конструкций определяют по общим правилам строительной механики в зависимости от изгибных, сдвиговых и осевых деформационных характеристик железобетонного элемента в сечениях по его длине (кривизн, углов сдвига и т.д.).
В тех случаях, когда прогибы железобетонных элементов в основном зависят от изгибных деформаций, значения прогибов определяют по жесткостным характеристикам согласно 8.2.22 и
8.2.31.
8.2.22. Для изгибаемых элементов постоянного по длине элемента сечения, не имеющих трещин, прогибы определяют по общим правилам строительной механики с использованием жесткости поперечных сечений, определяемой по
формуле (8.143).
Определение кривизны железобетонных элементов
8.2.23. Кривизну изгибаемых, внецентренно сжатых и внецентренно растянутых элементов для вычисления их прогибов определяют:
а) для элементов или участков элемента, где в растянутой зоне не образуются нормальные к продольной оси трещины, согласно
8.2.24,
8.2.26;
б) для элементов или участков элемента, где в растянутой зоне имеются трещины, согласно
8.2.24,
8.2.25 и
8.2.27.
Элементы или участки элементов рассматривают без трещин, если трещины не образуются [т.е.
условие (8.116) не выполняется] при действии полной нагрузки, включающей постоянную, временную длительную и кратковременную нагрузки.
Кривизну железобетонных элементов с трещинами и без трещин можно также определять на основе деформационной модели согласно
8.2.32.
8.2.24. Полную кривизну изгибаемых, внецентренно сжатых и внецентренно растянутых элементов определяют по формулам:
для участков без трещин в растянутой зоне

; (8.140)
для участков с трещинами в растянутой зоне

. (8.141)
В формуле (8.140):

,

- кривизны соответственно от непродолжительного действия кратковременных нагрузок и от продолжительного действия постоянных и временных длительных нагрузок.
В формуле (8.141):

- кривизна от непродолжительного действия всей нагрузки, на которую производят расчет по деформациям;

- кривизна от непродолжительного действия постоянных и временных длительных нагрузок;

- кривизна от продолжительного действия постоянных и временных длительных нагрузок.
Кривизны

,

и

- определяют согласно указаниям 8.2.25.
8.2.25. Кривизну железобетонных элементов

от действия соответствующих нагрузок
(8.2.24) определяют по формуле

, (8.142)
где M - изгибающий момент от внешней нагрузки (с учетом момента от продольной силы N) относительно оси, нормальной плоскости действия изгибающего момента и проходящей через центр тяжести приведенного поперечного сечения элемента;
D - изгибная жесткость приведенного поперечного сечения элемента, определяемая по формуле

, (8.143)
где

- модуль деформации сжатого бетона, определяемый в зависимости от продолжительности действия нагрузки и с учетом наличия или отсутствия трещин;

- момент инерции приведенного поперечного сечения относительно его центра тяжести, определяемый с учетом наличия или отсутствия трещин.
Значения модуля деформации бетона

и момента инерции приведенного сечения

для элементов без трещин в растянутой зоне и с трещинами определяют по указаниям 8.2.26 и
8.2.27 соответственно.
Жесткость железобетонного элемента
на участке без трещин в растянутой зоне
8.2.26. Жесткость железобетонного элемента D на участке без трещин определяют по
формуле (8.143).
Момент инерции

приведенного поперечного сечения элемента относительно его центра тяжести определяют как для сплошного тела по общим правилам сопротивления упругих элементов с учетом всей площади сечения бетона и площадей сечения арматуры с коэффициентом приведения арматуры к бетону

.

, (8.144)
где I - момент инерции бетонного сечения относительно центра тяжести приведенного поперечного сечения элемента;

,

- моменты инерции площадей сечения соответственно растянутой и сжатой арматуры относительно центра тяжести приведенного поперечного сечения элемента;

- коэффициент приведения арматуры к бетону,

. (8.145)
Значение I определяют по общим правилам расчета геометрических характеристик сечений упругих элементов.
Допускается определять момент инерции

без учета арматуры.
Значения модуля деформации бетона в
формулах (8.143), (8.145) принимают равными:
при непродолжительном действии нагрузки

; (8.146)
при продолжительном действии нагрузки

, (8.147)
Жесткость железобетонного элемента
на участке с трещинами в растянутой зоне
8.2.27. Жесткость железобетонного элемента на участках с трещинами в растянутой зоне определяют с учетом следующих положений:
сечения после деформирования остаются плоскими;
напряжения в бетоне сжатой зоны определяют как для упругого тела;
работу растянутого бетона в сечении с нормальной трещиной не учитывают;
работу растянутого бетона на участке между смежными нормальными трещинами учитывают посредством коэффициента

.
Жесткость железобетонного элемента D на участках с трещинами определяют по
формуле (8.143) и принимают не более жесткости без трещин.
Значения модуля деформации сжатого бетона

принимают равными значениям приведенного модуля деформации

, определяемых по
формуле (6.9) при расчетных сопротивления бетона

для соответствующих нагрузок (непродолжительного и продолжительного действия).
Момент инерции приведенного поперечного сечения элемента

относительно его центра тяжести определяют по общим правилам сопротивления упругих элементов с учетом площади сечения бетона только сжатой зоны, площадей сечения сжатой арматуры с коэффициентом приведения арматуры к бетону

и растянутой арматуры с коэффициентом приведения арматуры к бетону


, (8.148)
где

,

,

- моменты инерции площадей сечения соответственно сжатой зоны бетона, растянутой и сжатой арматуры относительно центра тяжести приведенного без учета бетона растянутой зоны поперечного сечения.
Значения

и

определяют по общим правилам сопротивления материалов, принимая расстояние от наиболее сжатого волокна бетона до центра тяжести приведенного (с коэффициентами приведения

и

) поперечного сечения без учета бетона растянутой зоны
(рисунок 8.19); для изгибаемых элементов

,
где

- средняя высота сжатой зоны бетона, учитывающая влияние работы растянутого бетона между трещинами и определяемая согласно 8.2.28
(рисунок 8.19).
Значения

и

определяют по общим правилам расчета геометрических характеристик сечений упругих элементов.
Значения коэффициентов приведения арматуры к бетону

и

определяют по
8.2.30.
8.2.28. Для изгибаемых элементов положение нейтральной оси (средняя высота сжатой зоны бетона) определяют из уравнения

, (8.149)
где

,

и

- статические моменты соответственно сжатой зоны бетона, растянутой и сжатой арматуры относительно нейтральной оси.
Для прямоугольных сечений только с растянутой арматурой высоту сжатой зоны определяют по формуле

, (8.150)
где

.
Для прямоугольных сечений с растянутой и сжатой арматурой высоту сжатой зоны определяют по формуле

, (8.151)
где

.
Для тавровых (с полкой в сжатой зоне) и двутавровых сечений высоту сжатой зоны определяют по формуле

(8.152)
где

;

- площадь сечения свесов сжатой полки.
I - уровень центра тяжести приведенного без учета
растянутой зоны бетона поперечного сечения
Рисунок 8.19. Приведенное поперечное сечение (а)
и схема напряженно-деформированного состояния элемента
с трещинами (б) для расчета его по деформациям
при действии изгибающего момента
Для внецентренно сжатых и внецентренно растянутых элементов положение нейтральной оси (высоту сжатой зоны) определяют из уравнения

, (8.153)
где

- расстояние от нейтральной оси до точки приложения продольной силы N, отстоящей от центра тяжести полного сечения (без учета трещин) на расстоянии

;

,

,

,

,

,

- моменты инерции и статические моменты соответственно сжатой зоны бетона, растянутой и сжатой арматуры относительно нейтральной оси.
Допускается для элементов прямоугольного сечения высоту сжатой зоны при действии изгибающих моментов M и продольной силы N определять по формуле

, (8.154)

,

- момент инерции и площадь приведенного поперечного сечения, определяемые для полного сечения (без учета трещин).
Значения геометрических характеристик сечения элемента определяют по общим правилам расчета сечения упругих элементов.
В формуле (8.154) знак "плюс" принимают при сжимающей, а знак "минус" при растягивающей продольной силе.
8.2.29. Жесткость изгибаемых железобетонных элементов допускается определять по формуле

, (8.155)
где z - расстояние от центра тяжести растянутой арматуры до точки приложения равнодействующей усилий в сжатой зоне.
Для элементов прямоугольного сечения при отсутствии (или без учета) сжатой арматуры значение z определяют по формуле

. (8.156)
Для элементов прямоугольного, таврового (с полкой в сжатой зоне) и двутаврового поперечных сечений значение z допускается принимать равным

.
8.2.30. Значения коэффициентов приведения арматуры к бетону принимают равными:
для сжатой арматуры

; (8.157)
для растянутой арматуры

, (8.158)
где

- приведенный модуль деформации сжатого бетона, определяемый по
формуле (6.9) при непродолжительном и продолжительном действии нагрузки, заменяя

на

;

- приведенный модуль деформации растянутой арматуры, определяемый с учетом влияния работы растянутого бетона между трещинами по формуле

(8.159)
Допускается принимать

и, следовательно,

. При этом, если
условие (8.139) не удовлетворяется, расчет производят с учетом коэффициента

, определяемого по
формуле (8.138).
8.2.31. Прогибы железобетонных элементов можно определять по общим правилам строительной механики с использованием вместо кривизны

непосредственно изгибных жесткостных характеристик D путем замены упругих изгибных характеристик EI в расчетных зависимостях на указанные характеристики D, вычисляемые по формулам, приведенным в
8.2.25 и
8.2.29.
При совместном действии кратковременной и длительной нагрузок полный прогиб элементов без трещин и с трещинами в растянутой зоне определяют путем суммирования прогибов от соответствующих нагрузок по аналогии с суммированием кривизны по
8.2.24, принимая жесткостные характеристики D в зависимости от указанной в этом пункте принятой продолжительности действия рассматриваемой нагрузки.
Допускается при определении жесткостных характеристик D элементов с трещинами в растянутой зоне принимать коэффициент

. В этом случае при совместном действии кратковременной и длительной нагрузок полный прогиб изгибаемых элементов с трещинами определяют путем суммирования прогибов от непродолжительного действия кратковременной нагрузки и от продолжительного действия длительной нагрузки с учетом соответствующих значений жесткостных характеристик D, т.е. подобно тому, как это принято для элементов без трещин.
Определение кривизны железобетонных элементов
на основе нелинейной деформационной модели
8.2.32. Полную кривизну железобетонных элементов на участках без трещин в растянутой зоне сечения определяют по
формуле (8.140), а на участках с трещинами в растянутой зоне сечения - по
формуле (8.141).
Значения кривизн, входящих в
формулы (8.140) и
(8.141), определяют из решения системы
уравнений (8.26) -
(8.30). При этом для элементов с нормальными трещинами в растянутой зоне напряжение в арматуре, пересекающей трещины, определяют по формуле

, (8.160)
где

. (8.161)
Здесь

- относительная деформация растянутой арматуры в сечении с трещиной сразу после образования нормальных трещин;

- усредненная относительная деформация растянутой арматуры, пересекающей трещины, в рассматриваемой стадии расчета.
При определении кривизн от непродолжительного действия нагрузки в расчете используют диаграммы кратковременного деформирования сжатого и растянутого бетона, а при определении кривизн от продолжительного действия нагрузки - диаграммы длительного деформирования бетона с расчетными характеристиками для предельных состояний второй группы.
Для частных случаев действия внешней нагрузки (изгиб в двух плоскостях, изгиб в плоскости оси симметрии поперечного сечения элемента и т.п.) кривизны, входящие в
формулы (8.140) и
(8.141), определяют из решения систем уравнений, указанных в
8.1.26 -
8.1.28.
| | Применение на обязательной основе раздела 9 обеспечивает соблюдение требований Федерального закона от 30.12.2009 N 384-ФЗ "Технический регламент о безопасности зданий и сооружений" (Постановление Правительства РФ от 26.12.2014 N 1521). | |
9. Предварительно напряженные железобетонные конструкции
9.1. Предварительные напряжения арматуры
9.1.1. Предварительные напряжения арматуры

принимают не более

для горячекатаной и термомеханически упрочненной арматуры и не более

для холоднодеформированной арматуры и арматурных канатов.
9.1.2. При расчете предварительно напряженных конструкций следует учитывать снижение предварительных напряжений вследствие потерь предварительного напряжения - до передачи усилий натяжения на бетон (первые потери) и после передачи усилия натяжения на бетон (вторые потери).
При натяжении арматуры на упоры следует учитывать:
первые потери - от релаксации предварительных напряжений в арматуре, температурного перепада при термической обработке конструкций, деформации анкеров и деформации формы (упоров);
вторые потери - от усадки и ползучести бетона.
При натяжении арматуры на бетон следует учитывать:
первые потери - от деформации анкеров, трения арматуры о стенки каналов или поверхность конструкции;
вторые потери - от релаксации предварительных напряжений в арматуре, усадки и ползучести бетона.
9.1.3. Потери от релаксации напряжений арматуры

определяют по формулам:
для арматуры классов А600 - А1000 при способе натяжения:
механическом -

; (9.1)
электротермическом -

; (9.2)
для арматуры классов

, К1400, К1500, К1600 при способе натяжения:
механическом -

; (9.3)
электротермическом -

. (9.4)
Здесь

принимается без потерь в мегапаскалях.
При отрицательных значениях

принимают

.
При наличии более точных данных о релаксации арматуры допускается принимать иные значения потерь от релаксации.
9.1.4. Потери

от температурного перепада

°C, определяемого как разность температур натянутой арматуры в зоне нагрева и устройства, воспринимающего усилия натяжения при нагреве бетона, принимают равными

. (9.5)
При отсутствии точных данных по температурному перепаду допускается принимать

.
При наличии более точных данных о температурной обработке конструкции допускается принимать иные значения потерь от температурного перепада.
9.1.5. Потери от деформации стальной формы (упоров)

при неодновременном натяжении арматуры на форму определяют по формуле

, (9.6)
где n - число стержней (групп стержней), натягиваемых неодновременно;

- сближение упоров по линии действия усилия натяжения арматуры, определяемое из расчета деформации формы;
l - расстояние между наружными гранями упоров.
При отсутствии данных о конструкции формы и технологии изготовления допускается принимать

.
При электротермическом способе натяжения арматуры потери от деформации формы не учитываются.
9.1.6. Потери от деформации анкеров натяжных устройств

при натяжении арматуры на упоры определяют по формуле

, (9.7)
где

- обжатие анкеров или смещение стержня в зажимах анкеров;
l - расстояние между наружными гранями упоров.
При отсутствии данных допускается принимать

.
При электротермическом способе натяжения арматуры потери от деформации анкеров не учитывают.
9.1.7. При натяжении арматуры на бетон потери от деформации анкеров натяжных устройств

определяют по
формуле (9.7), в которой принимают

, а потери от трения о стенки каналов или поверхность конструкции определяют по формуле

,
где e - основание натуральных логарифмов;

,

- коэффициенты, определяемые по таблице 9.1;
x - длина участка от натяжного устройства до расчетного сечения, м;

- суммарный угол поворота оси арматуры, рад;

- принимается без потерь.
Таблица 9.1
Канал или поверхность | Коэффициенты для определения потерь от трения арматуры |
|  при арматуре в виде |
пучков, канатов | стержней периодического профиля |
1. Канал: | | | |
с металлической поверхностью | 0,0030 | 0,35 | 0,40 |
с бетонной поверхностью, образованный жестким каналообразователем | 0 | 0,55 | 0,65 |
то же, гибким каналообразователем | 0,0015 | 0,55 | 0,65 |
2. Бетонная поверхность | 0 | 0,55 | 0,65 |
9.1.8. Потери от усадки бетона

при натяжении арматуры на упоры определяют по формуле

, (9.8)
где

- деформации усадки бетона, значения которых можно приближенно принимать в зависимости от класса бетона равными:
0,0002 - для бетона классов В35 и ниже;
0,00025 - для бетона класса В40;
0,0003 - для бетона классов В45 и выше.
Для бетона, подвергнутого тепловой обработке при атмосферном давлении, потери от усадки бетона

вычисляют по
формуле (9.8) с умножением полученного результата на коэффициент, равный 0,85.
Потери от усадки бетона

при натяжении арматуры на бетон определяют по
формуле (9.8) с умножением полученного результата независимо от условий твердения бетона на коэффициент, равный 0,75.
Допускается потери от усадки бетона определять более точными методами.
9.1.9. Потери от ползучести бетона

определяют по формуле

, (9.9)
где

- коэффициент ползучести бетона, определяемый согласно
6.1.16;

- напряжения в бетоне на уровне центра тяжести рассматриваемой j-й группы стержней напрягаемой арматуры;

- расстояние между центрами тяжести сечения рассматриваемой группы стержней напрягаемой арматуры и приведенного поперечного сечения элемента;

,

- площадь приведенного сечения элемента и ее момент инерции относительно центра тяжести приведенного сечения;

- коэффициент армирования, равный

, где A и

- площади поперечного сечения элемента и рассматриваемой группы стержней напрягаемой арматуры соответственно.
Для бетона, подвергнутого тепловой обработке, потери вычисляют по
формуле (9.9) с умножением полученного результата на коэффициент, равный 0,85.
Допускается потери от ползучести бетона определять более точными методами.
Напряжения

определяют по правилам расчета упругих материалов, принимая приведенное сечение элемента, включающее площадь сечения бетона и площадь сечения всей продольной арматуры (напрягаемой и ненапрягаемой) с коэффициентом приведения арматуры к бетону

, согласно
9.1.11.
(в ред.
Изменения N 2, утв. Приказом Минстроя России от 30.12.2015 N 981/пр)
9.1.10. Полные значения первых потерь предварительного напряжения арматуры (по
9.1.3 -
9.1.6) определяют по формуле

, (9.10)
где i - номер потерь предварительного напряжения.
Усилие предварительного обжатия бетона с учетом первых потерь равно:

, (9.11)
где

и

- площадь сечения j-й группы стержней напрягаемой арматуры в сечении элемента и предварительное напряжение в группе с учетом первых потерь
Здесь

- начальное предварительное напряжение рассматриваемой группы стержней арматуры.
Полные значения первых и вторых потерь предварительного напряжения арматуры (по
9.1.3 -
9.1.8) определяют по формуле

. (9.12)
Усилие в напрягаемой арматуре с учетом полных потерь равно

, (9.13)
где
При проектировании конструкций полные суммарные потери

для арматуры, расположенной в растянутой при эксплуатации зоне сечения элемента (основной рабочей арматуры), следует принимать не менее 100 МПа.
При определении усилия предварительного обжатия бетона P с учетом полных потерь напряжений следует учитывать сжимающие напряжения в ненапрягаемой арматуре, численно равные сумме потерь от усадки и ползучести бетона на уровне этой арматуры.
При определении усилий обжатия с учетом ненапрягаемой арматуры на уровне ненапрягаемой арматуры, потери от ползучести на этом уровне принимают равными

, где

- потери от ползучести для стержней напрягаемой арматуры, ближайшей к рассматриваемой ненапрягаемой арматуре;

и

- напряжения в бетоне на уровне рассматриваемой ненапрягаемой и напрягаемой арматуры соответственно.
9.1.11. Предварительные напряжения в бетоне

при передаче усилия предварительного обжатия

, определяемого с учетом первых потерь, не должны превышать:
если напряжения уменьшаются или не изменяются при действии внешних нагрузок -

,
если напряжения увеличиваются при действии внешних нагрузок -

.
Напряжения в бетоне

определяют по формуле

, (9.14)
где

- усилие предварительного обжатия с учетом первых потерь;
M - изгибающий момент от внешней нагрузки, действующий в стадии обжатия (собственный вес элемента);
y - расстояние от центра тяжести сечения до рассматриваемого волокна;

- эксцентриситет усилия

относительно центра тяжести приведенного поперечного сечения элемента.
9.1.12. Длину зоны передачи предварительного напряжения на бетон для арматуры без дополнительных анкерующих устройств определяют по формуле

, (9.15)
но не менее

и 200 мм, а для арматурных канатов также не менее 300 мм.
В формуле (9.15):

- предварительное напряжение в напрягаемой арматуре с учетом первых потерь;

- сопротивление сцепления напрягаемой арматуры с бетоном, отвечающее передаточной прочности бетона и определяемое согласно
10.3.24;

,

- площадь и периметр стержня арматуры.
Передачу предварительного напряжения с арматуры на бетон рекомендуется осуществлять плавно.
9.2. Расчет элементов предварительно напряженных
железобетонных конструкций по предельным
состояниям первой группы
Расчет предварительно напряженных железобетонных
элементов по прочности
Общие положения
9.2.1. Расчет предварительно напряженных элементов производят для стадии эксплуатации на действие изгибающих моментов и поперечных сил от внешних нагрузок и для стадии предварительного обжатия на действие усилий от предварительного натяжения арматуры и усилий от внешних нагрузок, действующих в стадии обжатия.
9.2.2. Расчет по прочности предварительно напряженных элементов при действии изгибающих моментов следует производить для сечений, нормальных к их продольной оси.
Расчет по прочности нормальных сечений в общем случае производят на основе нелинейной деформационной модели согласно
9.2.13 -
9.2.15.
Допускается расчет железобетонных элементов прямоугольного, таврового и двутаврового сечений с арматурой, расположенной у перпендикулярных плоскости изгиба граней элемента, при действии усилий в плоскости симметрии нормальных сечений производить на основе предельных усилий согласно
9.2.7 -
9.2.12.
9.2.3. Для железобетонных элементов, у которых предельное усилие по прочности оказывается меньше предельного усилия по образованию трещин, площадь сечения продольной растянутой арматуры должна быть увеличена по сравнению с требуемой из расчета по прочности не менее чем на 15% или должна удовлетворять расчету по прочности на действие момента образования трещин.
9.2.4. Расчет преднапряженных элементов в стадии обжатия производят как при внецентренном сжатии усилием предварительного обжатия в предельном состоянии согласно
9.2.10 -
9.2.12.
9.2.5. Расчет предварительно напряженных элементов по прочности при действии поперечных сил (расчет по наклонным сечениям) и местном действии нагрузки (расчеты на смятие и продавливание) следует производить согласно указаниям
8.1.
9.2.6. При расчете предварительно напряженных элементов по прочности следует учитывать возможные отклонения предварительного напряжения, определяемого согласно
9.1.9, путем умножения значений

(или усилия обжатия

) для рассматриваемого j-го стержня или группы стержней напрягаемой арматуры на коэффициент

.
Значения коэффициента

принимают равными:
0,9 - при благоприятном влиянии предварительного напряжения;
1,1 - при неблагоприятном влиянии предварительного напряжения.
Расчет предварительно напряженных элементов
на действие изгибающих моментов
в стадии эксплуатации по предельным усилиям
9.2.7. Расчет по прочности нормальных сечений следует производить согласно указаниям
раздела 8.1 с учетом дополнительных указаний 9.2.8 -
9.2.9. При этом в
формулах 8.1 обозначения площадей сечения

и

следует относить как к напрягаемой, так и к ненапрягаемой арматуре.
Допускается принимать для растянутой арматуры с условным пределом текучести напряжения выше

, но не более

в зависимости от соотношения

и

(9.2.8).
9.2.8. Значения относительной деформации арматуры растянутой зоны

при вычислении значения граничной высоты сжатой зоны бетона

следует определять по формулам:
для арматуры с условным пределом текучести

; (9.16)
где

- предварительное напряжение в арматуре с учетом всех потерь и

;
400 - в МПа;
для ненапрягаемой арматуры с физическим пределом текучести
9.2.9. Для напрягаемой арматуры, расположенной в сжатой зоне, расчетное сопротивление сжатию

следует заменить напряжением

, равным:

- при учете коэффициента условий работы бетона
(п. 6.1.12);

- при

.
Здесь

- в МПа.
Значения

определяют с коэффициентом

.
Во всех случаях напряжение

принимают не более

.
Расчет предварительно напряженных элементов
в стадии предварительного обжатия
9.2.10. При расчете элемента в стадии предварительного обжатия усилие в напрягаемой арматуре вводится в расчет как внешняя продольная сила, равная

, (9.17)
где

и

- площади сечения напрягаемой арматуры, расположенной соответственно в наиболее обжатой и в растянутой (менее обжатой) зонах сечения;

и

- предварительные напряжения с учетом первых потерь и коэффициента

в арматуре с площадью сечения

и

.
9.2.11. Расчет по прочности элементов прямоугольного сечения в стадии предварительного обжатия производят из условия

, (9.18)
где

- расстояние от точки приложения продольной силы

с учетом влияния изгибающего момента M от внешней нагрузки, действующей в стадии изготовления (собственная масса элемента), до центра тяжести сечения ненапрягаемой арматуры растянутой или наименее сжатой (при полностью сжатом сечении элемента) от этих усилий
(рисунок 9.1), определяемое по формуле

, (9.19)

- расстояние от точки приложения силы

до центра тяжести сечения элемента;

- расчетное сопротивление бетона сжатию, принимаемое по линейной интерполяции
(таблица 6.8) как для класса бетона по прочности на сжатие, численно равного передаточной прочности бетона

;

- расчетное сопротивление ненапрягаемой арматуры сжатию, принимаемое в стадии предварительного обжатия не более 330 МПа;

- площадь сечения ненапрягаемой арматуры, расположенной в наиболее сжатой зоне сечения элемента.
Высоту сжатой зоны бетона определяют в зависимости от величины

, определяемой по
формуле (8.1) с подстановкой в нее значения

, где

- расчетное сопротивление растянутой ненапрягаемой арматуры

, и

:

, (9.20)
б) при

- по формуле
(в ред.
Изменения N 2, утв. Приказом Минстроя России от 30.12.2015 N 981/пр)

. (9.21)
Рисунок 9.1. Схема усилий и эпюра напряжений в сечении,
нормальном к продольной оси изгибаемого предварительно
напряженного элемента при его расчете по прочности
в стадии обжатия
9.2.12. Расчет по прочности элементов таврового и двутаврового сечений в стадии предварительного обжатия производят в зависимости от положения границы сжатой зоны:
а) если граница сжатой зоны проходит в полке (
рисунок 8.2, а), т.е. соблюдается условие

, (9.22)
расчет производят как для прямоугольного сечения шириной

согласно
9.2.11;
б) если граница сжатой зоны проходит в ребре (
рисунок 8.2, б), т.е. условие (9.22) не соблюдается, расчет производят из условия

, (9.23)

- расстояние от центра тяжести сечения элемента до растянутой (наименее сжатой) ненапрягаемой арматуры.
Высоту сжатой зоны определяют по формулам:

; (9.24)
б) при


. (9.25)
Расчет по прочности нормальных сечений
на основе нелинейной деформационной модели
9.2.13. При расчете по прочности на основе нелинейной деформационной модели усилия и деформации в сечении, нормальном к продольной оси элемента, определяют с использованием основных положений, указанных в
8.1.20 -
8.1.22.
9.2.14. При расчете нормальных сечений по прочности
(рисунок 9.2) в общем случае используют:
уравнения равновесия внешних сил и внутренних усилий в нормальном сечении элемента

; (9.26)

; (9.27)

; (9.28)
уравнения, определяющие распределение деформаций от действия внешней нагрузки по сечению элемента

; (9.29)

; (9.30)

; (9.31)
зависимости, связывающие напряжения и относительные деформации бетона и арматуры:
бетона

; (9.32)
ненапрягаемой арматуры

; (9.33)
напрягаемой арматуры

. (9.34)
Рисунок 9.2. Расчетная схема нормального сечения
предварительно напряженного железобетонного элемента

,

,

,

- площадь, координаты центра тяжести i-го стержня напрягаемой арматуры и напряжение в нем;

- относительная деформация i-го стержня напрягаемой арматуры от действия внешней нагрузки;

- относительная деформация предварительного напряжения арматуры, определяемая с учетом потерь предварительного напряжения, отвечающих рассматриваемой расчетной стадии;
(в ред.
Изменения N 2, утв. Приказом Минстроя России от 30.12.2015 N 981/пр)

- модуль упругости i-го стержня напрягаемой арматуры;

- коэффициент упругости i-го стержня ненапрягаемой арматуры, остальные параметры - см.
8.1.23.
Значения коэффициентов

и

определяют по указаниям
8.1.23, а значения коэффициентов

- по формуле

. (9.35)
9.2.15. Расчет нормальных сечений железобетонных элементов по прочности производят из условий, приведенных в
8.1.24.
9.3. Расчет предварительно напряженных элементов
железобетонных конструкций по предельным
состояниям второй группы
Общие положения
9.3.1. Расчеты по предельным состояниям второй группы включают:
расчет по образованию трещин;
расчет по раскрытию трещин;
расчет по деформациям.
9.3.2. Расчет по образованию трещин производят когда необходимо обеспечить отсутствие трещин, а также как вспомогательный при расчете по раскрытию трещин и по деформациям.
Требования по отсутствию трещин предъявляют к предварительно напряженным конструкциям, у которых при полностью растянутом сечении должна быть обеспечена непроницаемость (находящихся под давлением жидкости или газов, испытывающих воздействие радиации и т.п.), к уникальным конструкциям, а также к конструкциям при воздействии сильно агрессивной среды.
9.3.3. При расчете по образованию трещин в целях их недопущения коэффициент надежности по нагрузке принимают

(как при расчете по прочности). При расчете по раскрытию трещин и по деформациям (включая вспомогательный расчет по образованию трещин) принимают коэффициент надежности по нагрузке

.
9.3.4. Расчет изгибаемых предварительно напряженных элементов по предельным состояниям второй группы производят как при внецентренном сжатии на совместное действие усилий от внешней нагрузки M и продольной силы

, равной усилию предварительного обжатия P.
Расчет предварительно напряженных железобетонных элементов
по образованию и раскрытию трещин
9.3.5. Расчет предварительно напряженных изгибаемых элементов по раскрытию трещин производят исходя из общих положений, указанных в
разделе 8.2 и с учетом указаний 9.3.6 -
9.3.10.
Определение момента образования трещин,
нормальных к продольной оси элемента
9.3.6. Изгибающий момент

при образовании трещин в общем случае определяется по деформационной модели согласно
9.3.10. Допускается для простых сечений (прямоугольного и таврового сечений с арматурой, расположенной у верхней и нижней граней сечения, с полкой в сжатой зоне) определять момент трещинообразования согласно 9.3.7.
9.3.7. Определение момента образования трещин производят с учетом неупругих деформаций растянутого бетона согласно 9.3.8.
Допускается момент образования трещин определять без учета неупругих деформаций растянутого бетона, принимая в формуле (9.36)

. Если при этом
условия (8.118) и
(8.139) не удовлетворяются, то момент образования трещин следует определять с учетом неупругих деформаций растянутого бетона.
9.3.8. Момент образования трещин предварительно напряженных изгибаемых элементов с учетом неупругих деформаций растянутого бетона определяют по формуле

, (9.36)
где

- момент сопротивления приведенного сечения для крайнего растянутого волокна с учетом положений
8.2.10;

- расстояние от точки приложения усилия предварительного обжатия P до ядровой точки, наиболее удаленной от растянутой зоны, трещинообразование которой проверяется;

- то же, до центра тяжести приведенного сечения;
r - расстояние от центра тяжести приведенного сечения до ядровой точки,

. (9.37)
В
формуле (9.36) знак "плюс" принимают, когда направления вращения моментов

и внешнего изгибающего момента M противоположны; "минус" - когда направления совпадают.
Значения

и

определяют согласно указаниям
8.2.
Для прямоугольных сечений и тавровых сечений с полкой, расположенной в сжатой зоне, значение

при действии момента в плоскости оси симметрии допускается определять по
формуле (8.122).
9.3.9. Усилие

при образовании трещин в центрально растянутых элементах определяют по
формуле (8.127) 8.2.
(в ред.
Изменения N 2, утв. Приказом Минстроя России от 30.12.2015 N 981/пр)
9.3.10. Определение момента образования трещин на основе нелинейной деформационной модели производят исходя из общих положений, приведенных в
6.1.24,
9.2.13 -
9.2.15, но с учетом работы бетона в растянутой зоне нормального сечения, определяемой диаграммой состояния растянутого бетона согласно
6.1.22. Расчетные характеристики материалов принимают для предельных состояний второй группы.
Значение

определяют из решения системы уравнений, представленных в
9.2.13 -
9.2.15, принимая относительную деформацию бетона

у растянутой грани элемента от действия внешней нагрузки, равной предельному значению относительной деформации бетона при растяжении

, определяемому согласно указаниям
8.1.30.
Расчет ширины раскрытия трещин,
нормальных к продольной оси элемента
9.3.11. Ширину раскрытия нормальных трещин определяют по
формуле (8.128), в которой значение напряжений

в растянутой арматуре изгибаемых предварительно напряженных элементов от внешней нагрузки определяют по формуле

, (9.38)
где

,

,

- момент инерции, площадь приведенного поперечного сечения элемента и расстояние от наиболее сжатого волокна до центра тяжести приведенного сечения, определяемые с учетом площади сечения только сжатой зоны бетона, площадей сечения растянутой и сжатой арматуры согласно
8.2.27, принимая в соответствующих формулах значения коэффициента приведения арматуры к бетону

;

- усилие предварительного обжатия
(9.3.4);

- изгибающий момент от внешней нагрузки и усилия предварительного обжатия, определяемый по формуле

, (9.39)
где

- расстояние от точки приложения усилия предварительного обжатия

до центра тяжести приведенного сечения.
Знак "минус" в формуле (9.39) принимают, когда направления вращений моментов M и

не совпадают, и "плюс" - когда совпадают.
Допускается напряжение

определять по формуле

, (9.40)
где z - расстояние от центра тяжести арматуры, расположенной в растянутой зоне сечения, до точки приложения равнодействующей усилий в сжатой зоне элемента;

- расстояние от центра тяжести той же арматуры до точки приложения усилия

.
Для элементов прямоугольного поперечного сечения при отсутствии (или без учета) сжатой арматуры значение z определяют по формуле

, (9.41)
где

- высота сжатой зоны, определяемая согласно
8.2.28 с учетом действия усилия предварительного обжатия

.
Для элементов прямоугольного, таврового (с полкой в сжатой зоне) и двутаврового поперечного сечения допускается значение z принимать равным

.
Расчет предварительно напряженных
железобетонных элементов по деформациям
9.3.12. Расчет предварительно напряженных элементов по деформациям производят согласно указаний
8.2.19 -
8.2.32 и с учетом дополнительных указаний 9.3.13 -
9.3.15.
9.3.13. Полную кривизну изгибаемых предварительно напряженных элементов для вычисления их прогибов определяют по указаниям
8.2.24, при этом значения кривизн

,

и

в
формулах (8.140),
(8.141) определяют по указаниям 9.3.14 с учетом усилия предварительного обжатия.
Допускается при определении кривизны учитывать влияние деформаций усадки и ползучести бетона в стадии предварительного обжатия.
9.3.14. Кривизну изгибаемых предварительно напряженных элементов

от действия соответствующих нагрузок определяют по формуле

, (9.42)
где M - изгибающий момент от внешней нагрузки;

и

- усилие предварительного обжатия и его эксцентриситет относительно центра тяжести приведенного поперечного сечения элемента;
D - изгибная жесткость приведенного поперечного сечения элемента, определяемая по указаниям
8.2 как для внецентренно сжатого усилием предварительного обжатия элемента с учетом изгибающего момента от внешней нагрузки (рисунок 9.3).
I - уровень центра тяжести приведенного без учета
растянутой зоны бетона поперечного сечения
Рисунок 9.3. Приведенное поперечное сечение (а) и схема
напряженно-деформированного состояния изгибаемого
предварительно напряженного элемента с трещинами (б)
при его расчете по деформациям
9.3.15. Кривизну изгибаемых предварительно напряженных элементов допускается определять по формуле

, (9.43)
где

- расстояние от точки приложения усилия предварительного обжатия до точки приложения равнодействующей усилий в сжатой зоне;
z - расстояние от центра тяжести растянутой арматуры до точки приложения равнодействующей усилий в сжатой зоне;

- высота сжатой зоны с учетом влияния предварительного обжатия.
Высоту сжатой зоны определяют как для изгибаемых элементов без преднапряжения согласно
8.2.28 с умножением значения

на

.
Значения

и z допускается определять, принимая расстояние от точки приложения равнодействующей усилий в сжатой зоне до наиболее сжатого волокна сечения равным

.
Определение кривизны предварительно напряженных элементов
на основе нелинейной деформационной модели
9.3.16. Полную кривизну изгибаемых предварительно напряженных элементов на участках без трещин в растянутой зоне сечения определяют по
формуле (8.140), а на участках с трещинами в растянутой зоне сечения - по
формуле (8.141).
Значения кривизн, входящих в
формулы (8.140) и
(8.141), определяют из решения системы
уравнений (9.26) -
(9.34) с учетом указаний
9.2.13. При этом для элементов с нормальными трещинами в растянутой зоне напряжение в напрягаемой арматуре, пересекающей трещины, определяют по формуле

, (9.44)
а в ненапрягаемой арматуре

, (9.45)
где

. (9.46)
Здесь

- относительная деформация растянутой арматуры в сечении с трещиной от действия внешней нагрузки сразу после образования трещин;

- усредненные относительные деформации растянутой арматуры, пересекающей трещины, в рассматриваемой стадии;

- относительная деформация предварительного напряжения арматуры.
При определении кривизны от непродолжительного действия нагрузки в расчете используют диаграммы кратковременного деформирования сжатого и растянутого бетона, а при определении кривизны от продолжительного действия нагрузки - диаграммы длительного деформирования бетона с расчетными характеристиками для предельных состояний второй группы.
| | Применение на обязательной основе раздела 10 обеспечивает соблюдение требований Федерального закона от 30.12.2009 N 384-ФЗ "Технический регламент о безопасности зданий и сооружений" (Постановление Правительства РФ от 26.12.2014 N 1521). | |
10. Конструктивные требования
10.1.1. Для обеспечения безопасности и эксплуатационной пригодности бетонных и железобетонных конструкций помимо требований к расчету следует также выполнять конструктивные требования к геометрическим размерам и армированию.
Конструктивные требования устанавливают для тех случаев, когда: расчетом не представляется возможным достаточно точно и определенно полностью гарантировать сопротивление конструкции внешним нагрузкам и воздействиям;
конструктивные требования определяют граничные условия, в пределах которых могут быть использованы принятые расчетные положения;
конструктивные требования обеспечивают выполнение технологии изготовления бетонных и железобетонных конструкций.
10.2. Требования к геометрическим размерам
10.2.1. Геометрические размеры бетонных и железобетонных конструкций должны быть не менее величин, обеспечивающих:
возможность размещения арматуры, анкеровки и совместной работы с бетоном, с учетом требований
10.3;
ограничение гибкости сжатых элементов;
требуемые показатели качества бетона в конструкции
(ГОСТ 13015).
10.2.2. Размеры сечений внецентренно сжатых элементов для обеспечения их жесткости рекомендуется принимать такими, чтобы их гибкость

в любом направлении не превышала:
200 - для железобетонных элементов;
120 - для колонн, являющихся элементами зданий;
90 - для бетонных элементов.
10.2.3. В конструкциях зданий и сооружений следует предусматривать их разрезку постоянными и временными температурно-усадочными швами, расстояния между которыми назначают в зависимости от климатических условий, конструктивных особенностей сооружения, последовательности производства работ и т.п.
При неравномерной осадке фундаментов следует предусматривать разделение конструкций осадочными швами.
10.3. Требования к армированию
Защитный слой бетона
10.3.1. Защитный слой бетона должен обеспечивать:
совместную работу арматуры с бетоном;
анкеровку арматуры в бетоне и возможность устройства стыков арматурных элементов;
сохранность арматуры от воздействий окружающей среды (в том числе при наличии агрессивных воздействий);
огнестойкость конструкций.
10.3.2. Толщину защитного слоя бетона следует принимать исходя из требований настоящего раздела с учетом роли арматуры в конструкциях (рабочая или конструктивная), типа конструкций (колонны, плиты, балки, элементы фундаментов, стены и т.п.), диаметра и вида арматуры.
Минимальные значения толщины слоя бетона рабочей арматуры (в том числе арматуры, расположенной у внутренних граней полых элементов кольцевого или коробчатого сечения) следует принимать по
таблице 10.1.
Для сборных элементов минимальные значения толщины защитного слоя бетона рабочей арматуры, указанные в
таблице 10.1, уменьшают на 5 мм.
Для конструктивной арматуры минимальные значения толщины защитного слоя бетона принимают на 5 мм меньше по сравнению с требуемыми для рабочей арматуры.
Во всех случаях толщину защитного слоя бетона следует также принимать не менее диаметра стержня арматуры и не менее 10 мм.
В однослойных конструкциях из легкого и поризованного бетонов классов В7,5 и ниже толщина защитного слоя должна составлять не менее 20 мм, а для наружных стеновых панелей (без фактурного слоя) - не менее 25 мм. В однослойных конструкциях из ячеистого бетона толщина защитного слоя во всех случаях принимается не менее 25 мм.
N п.п. | Условия эксплуатации конструкций зданий | Толщина защитного слоя бетона, мм, не менее |
1 | В закрытых помещениях при нормальной и пониженной влажности | 20 |
2 | В закрытых помещениях при повышенной влажности (при отсутствии дополнительных защитных мероприятий) | 25 |
3 | На открытом воздухе (при отсутствии дополнительных защитных мероприятий) | 30 |
4 | В грунте (при отсутствии дополнительных защитных мероприятий), в фундаментах при наличии бетонной подготовки | 40 |
10.3.3. Толщина защитного слоя бетона у концов предварительно напряженных элементов на длине зоны передачи напряжений (см.
9.1.11) должна составлять не менее 3d и не менее 40 мм - для стержневой арматуры и не менее 20 мм - для арматурных канатов.
Допускается защитный слой бетона сечения у опоры для напрягаемой арматуры с анкерами и без них принимать таким же, как для сечения в пролете для преднапряженных элементов с сосредоточенной передачей опорных усилий при наличии стальной опорной детали и косвенной арматуры (сварных поперечных сеток или охватывающих продольную арматуру хомутов), установленных согласно указаниям
п. 10.3.20.
10.3.4. В элементах с напрягаемой продольной арматурой, натягиваемой на бетон и располагаемой в каналах, расстояние от поверхности элемента до поверхности канала следует принимать не менее 40 мм и не менее ширины (диаметра) канала, а до боковых граней - не менее половины высоты (диаметра) канала. При расположении напрягаемой арматуры в пазах или снаружи сечения элемента толщина защитного слоя бетона, образуемого последующим торкретированием или иным способом, следует принимать не менее 20 мм.
Минимальные расстояния между стержнями арматуры
10.3.5. Минимальные расстояния в свету между стержнями арматуры следует принимать такими, чтобы обеспечить совместную работу арматуры с бетоном и качественное изготовление конструкций, связанное с укладкой и уплотнением бетонной смеси, но не менее наибольшего диаметра стержня, а также не менее:
25 мм - при горизонтальном или наклонном положении стержней при бетонировании - для нижней арматуры, расположенной в один или два ряда;
30 мм - то же, для верхней арматуры;
50 мм - то же, при расположении нижней арматуры более чем в два ряда (кроме стержней двух нижних рядов), а также при вертикальном положении стержней при бетонировании.
При стесненных условиях допускается располагать стержни группами - пучками (без зазора между ними). При этом расстояния в свету между пучками должны быть также не менее приведенного диаметра стержня, эквивалентного по площади сечения пучка арматуры, принимаемого равным

, где

- диаметр одного стержня в пучке, n - число стержней в пучке.
Продольное армирование
10.3.6. В железобетонных элементах площадь сечения продольной растянутой арматуры, а также сжатой, если она требуется по расчету, в процентах от площади сечения бетона, равной произведению ширины прямоугольного сечения либо ширины ребра таврового (двутаврового) сечения на рабочую высоту сечения,

следует принимать не менее:
0,1% - в изгибаемых, внецентренно растянутых элементах и внецентренно сжатых элементах при гибкости -

(для прямоугольных сечений

);
0,25% - во внецентренно сжатых элементах при гибкости

(для прямоугольных сечений

);
для промежуточных значений гибкости элементов значение

определяют по интерполяции.
В элементах с продольной арматурой, расположенной равномерно по контуру сечения, а также в центрально растянутых элементах минимальную площадь сечения всей продольной арматуры следует принимать вдвое большей указанных выше значений и относить ее к полной площади сечения бетона.
10.3.7. В бетонных конструкциях следует предусматривать конструктивное армирование:
в местах резкого изменения размеров сечения элементов;
в бетонных стенах под и над проемами;
во внецентренно сжатых элементах, рассчитываемых по прочности без учета работы растянутого бетона, у граней, где возникают растягивающие напряжения; при этом коэффициент армирования

принимают не менее 0,025%.
10.3.8. В железобетонных линейных конструкциях и плитах наибольшие расстояния между осями стержней продольной арматуры, обеспечивающие эффективное вовлечение в работу бетона, равномерное распределение напряжений и деформаций, а также ограничение ширины раскрытия трещин между стержнями арматуры, должны быть не более:
в железобетонных балках и плитах:
200 мм - при высоте поперечного сечения h <= 150 мм;
1,5h и 400 мм - при высоте поперечного сечения h > 150 мм;
в железобетонных колоннах:
400 мм - в направлении, перпендикулярном плоскости изгиба;
500 мм - в направлении плоскости изгиба.
В железобетонных стенах расстояния между стержнями вертикальной арматуры принимают не более 2t и 400 мм (t - толщина стены), а горизонтальной - не более 400 мм.
10.3.9. В балках и ребрах шириной более 150 мм число продольных рабочих растянутых стержней в поперечном сечении должно быть не менее двух. При ширине элемента 150 мм и менее допускается устанавливать в поперечном сечении один продольный стержень.
10.3.10. В балках до опоры следует доводить стержни продольной рабочей арматуры с площадью сечения не менее 1/2 площади сечения стержней в пролете и не менее двух стержней.
В плитах до опоры следует доводить стержни продольной рабочей арматуры на 1 м ширины плиты с площадью сечения не менее 1/3 площади сечения стержней на 1 м ширины плиты в пролете.
Поперечное армирование
10.3.11. Поперечную арматуру следует устанавливать исходя из расчета на восприятие усилий, а также в целях ограничения развития трещин, удержания продольных стержней в проектном положении и закрепления их от бокового выпучивания в любом направлении.
Поперечную арматуру устанавливают у всех поверхностей железобетонных элементов, вблизи которых ставится продольная арматура.
10.3.12. Диаметр поперечной арматуры (хомутов) в вязаных каркасах внецентренно сжатых элементов принимают не менее 0,25 наибольшего диаметра продольной арматуры и не менее 6 мм.
Диаметр поперечной арматуры в вязаных каркасах изгибаемых элементов принимают не менее 6 мм.
В сварных каркасах диаметр поперечной арматуры принимают не менее диаметра, устанавливаемого из условия сварки с наибольшим диаметром продольной арматуры.
10.3.13. В железобетонных элементах, в которых поперечная сила по расчету не может быть воспринята только бетоном, следует предусматривать установку поперечной арматуры с шагом не более

и не более 300 мм.
В сплошных плитах, а также в часторебристых плитах высотой менее 300 мм и в балках (ребрах) высотой менее 150 мм на участках элемента, где поперечная сила по расчету воспринимается только бетоном, поперечную арматуру можно не устанавливать.
В балках и ребрах высотой 150 мм и более, а также в часторебристых плитах высотой 300 мм и более, на участках элемента, где поперечная сила по расчету воспринимается только бетоном, следует предусматривать установку поперечной арматуры с шагом не более

и не более 500 мм.
10.3.14. Во внецентренно сжатых линейных элементах, а также в изгибаемых элементах при наличии необходимой по расчету сжатой продольной арматуры в целях предотвращения выпучивания продольной арматуры следует устанавливать поперечную арматуру с шагом не более 15d и не более 500 мм (d - диаметр сжатой продольной арматуры).
Если площадь сечения сжатой продольной арматуры, устанавливаемой у одной из граней элемента, более 1,5%, поперечную арматуру следует устанавливать с шагом не более 10d и не более 300 мм.
10.3.15. Конструкция хомутов (поперечных стержней) во внецентренно сжатых линейных элементах должна быть такой, чтобы продольные стержни (по крайней мере через один) располагались в местах перегибов, а эти перегибы - на расстоянии не более 400 мм по ширине грани. При ширине грани не более 400 мм и числе продольных стержней у этой грани не более четырех допускается охват всех продольных стержней одним хомутом.
10.3.16. В элементах, на которые действуют крутящие моменты, поперечная арматура (хомуты) должна образовывать замкнутый контур.
10.3.17. Поперечную арматуру в плитах в зоне продавливания в направлении, перпендикулярном сторонам расчетного контура, устанавливают с шагом не более

и не более 300 мм. Стержни, ближайшие к контуру грузовой площади, располагают не ближе

и не далее

от этого контура. При этом ширина зоны постановки поперечной арматуры (от контура грузовой площади) должна быть не менее

. Допускается увеличение шага поперечной арматуры до

. При этом следует рассматривать наиболее невыгодное расположение пирамиды продавливания и в расчете учитывать только арматурные стержни, пересекающие пирамиду продавливания.
Расстояния между стержнями поперечной арматуры в направлении, параллельном сторонам расчетного контура, принимают не более 1/4 длины соответствующей стороны расчетного контура.
10.3.18. Расчетную поперечную арматуру в виде сеток косвенного армирования при местном сжатии (смятии) располагают в пределах расчетной площади
(8.1.43). При расположении грузовой площади у края элемента сетки косвенного армирования располагают по площади с размерами в каждом направлении не менее суммы двух взаимно перпендикулярных сторон грузовой площади
(рисунок 8.9).
По глубине сетки располагают:
при толщине элемента более удвоенного большего размера грузовой площади - в пределах удвоенного размера грузовой площади;
при толщине элемента менее удвоенного большего размера грузовой площади - в пределах толщины элемента.
10.3.19. Поперечная арматура, предусмотренная для восприятия поперечных сил и крутящих моментов, должна иметь надежную анкеровку по концам путем приварки или охвата продольной арматуры, обеспечивающую равнопрочность соединений и поперечной арматуры.
10.3.20. У концов предварительно напряженных элементов должна быть установлена дополнительная поперечная или косвенная арматура (сварные сетки, охватывающие все продольные стержни арматуры, хомуты и т.п. с шагом 5 - 10 см) на длине участка не менее 0,6 длины зоны передачи предварительного напряжения

, а в элементах из легкого бетона классов В7,5 - В12,5 - с шагом 5 см на длине участка не менее

и не менее 20 см для элементов с арматурой, не имеющей анкеров, а при наличии анкерных устройств - на участке, равном двум длинам этих устройств. Установка анкеров у концов арматуры обязательна для арматуры, натягиваемой на бетон, а также для арматуры, натягиваемой на упоры, при недостаточном ее сцеплении с бетоном (гладкой проволоки, многопрядных канатов), при этом анкерные устройства должны обеспечивать надежную заделку арматуры в бетоне на всех стадиях ее работы.
При применении в качестве напрягаемой рабочей арматуры высокопрочной арматурной проволоки периодического профиля, арматурных канатов однократной свивки, горячекатаной и термически упрочненной стержневой арматуры периодического профиля, натягиваемой на упоры, установка анкеров у концов напрягаемых стержней, как правило, не требуется.
Анкеровка арматуры
10.3.21. Анкеровку арматуры осуществляют одним из следующих способов или их сочетанием:
в виде прямого окончания стержня (прямая анкеровка);
с загибом на конце в виде крюка, отгиба (лапки) или петли (только для ненапрягаемой арматуры);
с приваркой или установкой поперечных стержней (только для ненапрягаемой арматуры);
с применением специальных анкерных устройств на конце стержня.
10.3.22. Прямую анкеровку и анкеровку с лапками допускается применять только для арматуры периодического профиля. Для растянутых гладких стержней следует предусматривать крюки, петли, приваренные поперечные стержни или специальные анкерные устройства.
Лапки, крюки и петли не рекомендуется применять для анкеровки сжатой арматуры, за исключением гладкой арматуры, которая может подвергаться растяжению при некоторых возможных сочетаниях нагрузки.
10.3.23. При расчете длины анкеровки арматуры следует учитывать способ анкеровки, класс арматуры и ее профиль, диаметр арматуры, прочность бетона и его напряженное состояние в зоне анкеровки, конструктивное решение элемента в зоне анкеровки (наличие поперечной арматуры, положение стержней в сечении элемента и др.).
10.3.24. Базовую (основную) длину анкеровки, необходимую для передачи усилия в арматуре с полным расчетным значением сопротивления

на бетон, определяют по формуле

, (10.1)
где

и

- соответственно площадь поперечного сечения анкеруемого стержня арматуры и периметр его сечения, определяемые по номинальному диаметру стержня;

- расчетное сопротивление сцепления арматуры с бетоном, принимаемое равномерно распределенным по длине анкеровки и определяемое по формуле

, (10.2)
здесь

- расчетное сопротивление бетона осевому растяжению;

- коэффициент, учитывающий влияние вида поверхности арматуры, принимаемый равным:
для ненапрягаемой арматуры:
1,5 - для гладкой арматуры;
2,0 - для холоднодеформируемой арматуры периодического профиля;
2,5 - для горячекатаной и термомеханически обработанной арматуры периодического профиля;
для напрягаемой арматуры:
1,7 - для холоднодеформированной арматуры периодического профиля класса

диаметром 3 мм и арматурных канатов класса К1500 диаметром 6 мм;
1,8 - для холоднодеформированной арматуры класса

диаметром 4 мм и более;
2,2 - для арматурных канатов класса К диаметром 9 мм и более;
2,4 - для арматурных канатов класса К7Т диаметром 9 мм и более, изготовленных из проволоки периодического профиля;
2,5 - для горячекатаной и термомеханически обработанной арматуры класса А;

- коэффициент, учитывающий влияние размера диаметра арматуры, принимаемый равным:
для ненапрягаемой арматуры:

- при диаметре арматуры

;

- при диаметре арматуры 36 и 40 мм;
для напрягаемой арматуры:

для всех типов напрягаемой арматуры.
10.3.25. Требуемую расчетную длину анкеровки арматуры с учетом конструктивного решения элемента в зоне анкеровки определяют по формуле

, (10.3)

,

- площади поперечного сечения арматуры, требуемая по расчету и фактически установленная соответственно;

- коэффициент, учитывающий влияние на длину анкеровки напряженного состояния бетона и арматуры и конструктивного решения элемента в зоне анкеровки.
Для ненапрягаемой арматуры при анкеровке стержней периодического профиля с прямыми концами (прямая анкеровка) или гладкой арматуры с крюками или петлями без дополнительных анкерующих устройств для растянутых стержней принимают

, а для сжатых -

; для напрягаемой арматуры

.
Допускается уменьшать длину анкеровки стержней ненапрягаемой арматуры в зависимости от количества и диаметра поперечной арматуры, вида анкерующих устройств (приварка поперечной арматуры, загиб концов стержней периодического профиля) и величины поперечного обжатия бетона в зоне анкеровки (например, от опорной реакции), но не более чем на 30%.
В любом случае фактическую длину анкеровки принимают не менее

и 200 мм, а для ненапрягаемых стержней также не менее

.
Для элементов из мелкозернистого бетона группы A требуемая расчетная величина длины анкеровки должна быть увеличена на

для растянутого бетона и на

- для сжатого.
10.3.26. Усилие, воспринимаемое анкеруемым стержнем арматуры

определяют по формуле

, (10.4)
где

- длина анкеровки, определяемая согласно
10.3.25, принимая соотношение

;

- расстояние от конца анкеруемого стержня до рассматриваемого поперечного сечения элемента.
10.3.27. На крайних свободных опорах элементов длина запуска растянутых стержней ненапрягаемой арматуры за внутреннюю грань свободной опоры при выполнении условия

(см.
8.1.31 -
8.1.35) должна составлять не менее

. Если указанное условие не соблюдается, длину запуска арматуры за грань опоры определяют согласно
10.3.25.
10.3.28. При устройстве на концах стержней специальных анкеров в виде пластин, шайб, гаек, уголков, высаженных головок и т.п. площадь контакта анкера с бетоном должна удовлетворять условию прочности бетона на смятие. Кроме того, при проектировании привариваемых анкерных деталей следует учитывать характеристики металла по свариваемости, а также способы и условия сварки.
Соединения ненапрягаемой арматуры
10.3.29. Для соединения ненапрягаемой арматуры принимают один из следующих типов стыков:
а) стыки внахлестку без сварки:
с прямыми концами стержней периодического профиля;
с прямыми концами стержней с приваркой или установкой на длине нахлестки поперечных стержней;
с загибами на концах (крюки, лапки, петли); при этом для гладких стержней применяют только крюки и петли;
б) сварные и механические стыковые соединения: со сваркой арматуры;
с применением специальных механических устройств (стыки с опрессованными муфтами, резьбовыми муфтами и др.).
10.3.30. Стыки арматуры внахлестку (без сварки) применяют при стыковании стержней с диаметром рабочей арматуры не более 40 мм.
На соединения арматуры внахлестку распространяются указания
10.3.22.
Стыки растянутой или сжатой арматуры должны иметь длину перепуска (нахлестки) не менее значения длины

, определяемого по формуле

, (10.5)

- коэффициент, учитывающий влияние напряженного состояния арматуры, конструктивного решения элемента в зоне соединения стержней, количества стыкуемой арматуры в одном сечении по отношению к общему количеству арматуры в этом сечении, расстояния между стыкуемыми стержнями.
При соединении арматуры периодического профиля с прямыми концами, а также гладких стержней с крюками или петлями без дополнительных анкерующих устройств коэффициент

для растянутой арматуры принимают равным 1,2, а для сжатой арматуры - 0,9. При этом должны быть соблюдены следующие условия:
относительное количество стыкуемой в одном расчетном сечении элемента рабочей растянутой арматуры периодического профиля должно быть не более 50%, гладкой арматуры (с крюками или петлями) - не более 25%;
усилие, воспринимаемое всей поперечной арматурой, поставленной в пределах стыка, должно быть не менее половины усилия, воспринимаемого стыкуемой в одном расчетном сечении элемента растянутой рабочей арматурой;
расстояние между стыкуемыми рабочими стержнями арматуры не должно превышать

;
расстояние между соседними стыками внахлестку (по ширине железобетонного элемента) должно быть не менее

и не менее 30 мм.
В качестве одного расчетного сечения элемента, рассматриваемого для определения относительного количества стыкуемой арматуры в одном сечении, принимают участок элемента вдоль стыкуемой арматуры длиной

. Считается, что стыки арматуры расположены в одном расчетном сечении, если центры этих стыков находятся в пределах длины этого участка.
Допускается увеличивать относительное количество стыкуемой в одном расчетном сечении элемента рабочей растянутой арматуры до 100%, принимая значение коэффициента

равным 2,0. При относительном количестве стыкуемой в одном расчетном сечении арматуры периодического профиля более 50% и гладкой арматуры более 25% значения коэффициента

определяют по линейной интерполяции.
При наличии дополнительных анкерующих устройств на концах стыкуемых стержней (приварка поперечной арматуры, загиба концов стыкуемых стержней периодического профиля и др.) длина перепуска стыкуемых стержней может быть уменьшена, но не более чем на 30%.
В любом случае фактическая длина перепуска должна быть не менее

, не менее

и не менее 250 мм.
10.3.31. При соединении арматуры с использованием сварки выбор типов сварного соединения и способов сварки производят с учетом условий эксплуатации конструкции, свариваемости стали и требований по технологии изготовления в соответствии с
ГОСТ 14098.
10.3.32. При использовании для стыков арматуры механических устройств в виде муфт (муфты на резьбе, опрессованные муфты и т.д.) несущая способность муфтового соединения должна быть такой же, что и стыкуемых стержней (соответственно при растяжении или сжатии). Концы стыкуемых стержней следует заводить на требуемую длину в муфту, определяемую расчетом или опытным путем.
При использовании муфт на резьбе должна быть обеспечена требуемая затяжка муфт для ликвидации люфта в резьбе.
Гнутые стержни
10.3.33. При применении гнутой арматуры (отгибы, загибы концов стержней) минимальный диаметр загиба отдельного стержня должен быть таким, чтобы избежать разрушения или раскалывания бетона внутри загиба арматурного стержня и его разрушения в месте загиба.
Минимальный диаметр оправки

для арматуры принимают в зависимости от диаметра стержня

не менее:
для гладких стержней

при

;

при

;
для стержней периодического профиля

при

;

при

.
Диаметр оправки может быть также установлен в соответствии с техническими условиями на конкретный вид арматуры.
10.4. Конструирование основных несущих
железобетонных конструкций
10.4.1. При конструировании основных несущих элементов конструктивной системы (колонн, стен, плит перекрытий и покрытий, фундаментных плит) следует соблюдать общие требования
10.2 и
10.3 по конструированию железобетонных конструкций, а также указания настоящего подраздела.
10.4.2. Колонны армируют продольной, как правило, симметричной арматурой, расположенной по контуру поперечного сечения и, в необходимых случаях, внутри поперечного сечения, и поперечной арматурой по высоте колонны, охватывающей все продольные стержни и расположенной по контуру и внутри поперечного сечения.
Конструкцию поперечной арматуры в пределах поперечного сечения и максимальные расстояния между хомутами и связями по высоте колонны следует принимать такими, чтобы предотвратить выпучивание сжатых продольных стержней и обеспечить равномерное восприятие поперечных сил по высоте колонны.
10.4.3. Стены рекомендуется армировать, как правило, вертикальной и горизонтальной арматурой, расположенной симметрично у боковых сторон стены, и поперечными связями, соединяющими вертикальную и горизонтальную арматуру, расположенную у противоположных боковых сторон стены.
Максимальное расстояние между вертикальными и горизонтальными стержнями, а также максимальное расстояние между поперечными связями следует принимать такими, чтобы предотвратить выпучивание вертикальных сжатых стержней и обеспечить равномерное восприятие усилий, действующих в стене.
10.4.4. На торцевых участках стены по ее высоте следует устанавливать поперечную арматуру в виде П-образных или замкнутых хомутов, создающих требуемую анкеровку концевых участков горизонтальных стержней и предохраняющих от выпучивания торцевые сжатые вертикальные стержни стен.
10.4.5. Узловые сопряжения стен в местах их пересечения при невозможности сквозного пропуска горизонтальной арматуры стен через этот стык следует армировать по всей высоте стен пересекающимися П-образными хомутами, обеспечивающими восприятие концентрированных горизонтальных усилий в узловых сопряжениях стен, а также предохраняющими вертикальные сжатые стержни в узловых сопряжениях от выпучивания и обеспечивающими анкеровку концевых участков горизонтальных стержней.
а - торцевой участок плиты, б - торцевой участок стены,
в - Т-образный стык, г - угловой стык
Рисунок 10.1. Анкеровка с помощью П-образных деталей
10.4.6. Армирование пилонов, занимающих по своим геометрическим характеристикам промежуточное положение между стенами и колоннами, производят как для колонн или как для стен в зависимости от соотношения длины и ширины поперечного сечения пилонов.
10.4.7. Количество вертикальной и горизонтальной арматуры в стене следует устанавливать в соответствии с действующими в стене усилиями. При этом рекомендуется предусматривать равномерное армирование по площади стены с увеличением армирования у торцов стены и у проемов.
10.4.8. Армирование плоских плит следует осуществлять продольной арматурой в двух направлениях, располагаемой у нижней и верхней граней плиты, а в необходимых случаях (согласно расчету) и поперечной арматурой, располагаемой у колонн, стен и по площади плиты.
10.4.9. На концевых участках плоских плит следует устанавливать поперечную арматуру в виде П-образных хомутов, расположенных по краю плиты, обеспечивающих восприятие крутящих моментов у края плиты и необходимую анкеровку концевых участков продольной арматуры.
10.4.10. Количество верхней и нижней продольной арматуры в плите перекрытий (покрытия) следует устанавливать в соответствии с действующими усилиями. При этом рекомендуется для нерегулярных конструктивных систем с целью упрощения армирования устанавливать: нижнюю арматуру одинаковой по всей площади рассматриваемой конструкции в соответствии с максимальными значениями усилий в пролете плиты; основную верхнюю арматуру принимать такой же, как и нижнюю, а у колонн и стен устанавливать дополнительную верхнюю арматуру, которая в сумме с основной должна воспринимать опорные усилия в плите. Для регулярных конструктивных систем продольную арматуру рекомендуется устанавливать по надколонным и межколонным полосам в двух взаимно перпендикулярных направлениях в соответствии с действующими в этих полосах усилиями.
Допускается установка части арматуры плит в виде сварных непрерывных каркасов в надколонных полосах плит в двух направлениях (скрытые балки), при этом каркасы должны быть пропущены сквозь тело колонн.
Для сокращения расхода арматуры можно также рекомендовать установку по всей площади плиты нижней и верхней арматуры, отвечающей минимальному проценту армирования, а на участках, где действующие усилия превышают усилия, воспринимаемые этой арматурой, установку дополнительной арматуры, в сумме с вышеуказанной арматурой, воспринимающей действующие на этих участках усилия. Такой подход приводит к более сложному армированию перекрытий, требующему более тщательного контроля арматурных работ.
Армирование фундаментных плит следует производить аналогичным образом.
10.4.11. Конструирование узлов сопряжения балок с колоннами следует производить в соответствии с
рисунком 10.2. При этом необходимо предусмотреть поперечную арматуру в виде замкнутых хомутов или П-образных деталей в зоне анкеровки рабочей арматуры балки.
а - при расположении растянутой зоны у верхней грани балки,
б - при расположении растянутой зоны у нижней грани балки
Рисунок 10.2. Узлы сопряжения балок с колоннами
Рисунок 10.3. Размещение опорной арматуры
в зоне пересечения двух балок
10.4.12. В узлах пересечения балок следует устанавливать дополнительную поперечную арматуру для восприятия реакции от второстепенной балки. В главной балке эту арматуру следует устанавливать на ширине b + 2h, где b и h - ширина и высота второстепенной балки, во второстепенной балке - на участке шириной h/3. Арматуру следует устанавливать в виде хомутов, охватывающих продольную арматуру, - дополнительно к арматуре, требуемой по расчету наклонных или пространственных сечений.
11. Требования к изготовлению, возведению и эксплуатации
бетонных и железобетонных конструкций
11.1.1. Утратил силу с 20.06.2019. -
Приказ Минстроя России от 19.12.2018 N 832/пр.
| | Применение на обязательной основе пунктов 11.1.2 - 11.1.5 обеспечивает соблюдение требований Федерального закона от 30.12.2009 N 384-ФЗ "Технический регламент о безопасности зданий и сооружений" (Постановление Правительства РФ от 26.12.2014 N 1521). | |
11.1.2. При приготовлении бетонной смеси должна быть обеспечена необходимая точность дозировки входящих в бетонную смесь материалов и последовательность их загружения
(СП 70.13330).
Перемешивание бетонной смеси следует выполнять так, чтобы обеспечить равномерное распределение компонентов по всему объему смеси. Продолжительность перемешивания принимают в соответствии с инструкциями предприятий-изготовителей бетоно-смесительных установок (заводов) или устанавливают опытным путем.
11.1.3. Транспортирование бетонной смеси следует осуществлять способами и средствами, обеспечивающими сохранность ее свойств и исключающими ее расслоение, а также загрязнение посторонними материалами. Допускается восстановление отдельных показателей качества бетонной смеси на месте укладки за счет введения химических добавок или использования технологических приемов при условии обеспечения всех других требуемых показателей качества.
11.1.4. Укладку и уплотнение бетона следует выполнять таким образом, чтобы можно было гарантировать в конструкциях достаточную однородность и плотность бетона, отвечающих требованиям, предусмотренным для рассматриваемой строительной конструкции
(СП 70.13330).
Применяемые способы и режимы формования должны обеспечивать заданную плотность и однородность и устанавливаются с учетом показателей качества бетонной смеси, вида конструкции и изделия и конкретных инженерно-геологических и производственных условий.
Порядок бетонирования следует устанавливать, предусматривая расположение швов бетонирования с учетом технологии возведения сооружения и его конструктивных особенностей. При этом должна быть обеспечена необходимая прочность контакта поверхностей бетона в шве бетонирования, а также прочность конструкции с учетом наличия швов бетонирования.
При укладке бетонной смеси при пониженных положительных и отрицательных или повышенных положительных температурах должны быть предусмотрены специальные мероприятия, обеспечивающие требуемое качество бетона.
11.1.5. Твердение бетона следует обеспечивать без применения или с применением ускоряющих технологических воздействий (с помощью тепловлажностной обработки при нормальном или повышенном давлении).
В бетоне в процессе твердения следует поддерживать расчетный температурно-влажностный режим. При необходимости для создания условий, обеспечивающих нарастание прочности бетона и снижение усадочных явлений, следует применять специальные защитные мероприятия. В технологическом процессе тепловой обработки изделий должны быть приняты меры по снижению температурных перепадов и взаимных перемещений между опалубочной формой и бетоном.
В массивных монолитных конструкциях следует предусматривать мероприятия по уменьшению влияния температурно-влажностных полей напряжений, связанных с экзотермией при твердении бетона, на работу конструкций.
| | Применение на обязательной основе пунктов 11.2.1 - 11.2.3, 11.2.6 - 11.2.8 обеспечивает соблюдение требований Федерального закона от 30.12.2009 N 384-ФЗ "Технический регламент о безопасности зданий и сооружений" (Постановление Правительства РФ от 26.12.2014 N 1521). | |
11.2.1. Арматура, используемая для армирования конструкций, должна соответствовать проекту и требованиям соответствующих стандартов. Арматура должна иметь маркировку и соответствующие сертификаты, удостоверяющие ее качество.
Условия хранения арматуры и ее перевозки должны исключать загрязнение, коррозионные поражения, механические повреждения или пластические деформации, ухудшающее сцепление с бетоном.
11.2.2. Установку вязаной арматуры в опалубочные формы следует производить в соответствии с проектом. При этом должна быть предусмотрена надежная фиксация положения арматурных стержней с помощью специальных мероприятий, обеспечивающая невозможность смещения арматуры в процессе ее установки и бетонирования конструкции.
11.2.3. Отклонения от проектного положения арматуры при ее установке не должны превышать допустимых значений, установленных
СП 70.13330.
11.2.4, 11.2.5. Утратили силу с 20.06.2019. -
Приказ Минстроя России от 19.12.2018 N 832/пр.
11.2.6. Сварные стыки арматуры выполняют с помощью контактной, дуговой или ванной сварки. Применяемый способ сварки должен обеспечивать необходимую прочность сварного соединения, а также прочность и деформативность примыкающих к сварному соединению участков арматурных стержней.
11.2.7. Механические соединения (стыки) арматуры следует выполнять с помощью опрессованных и резьбовых муфт. Прочность механического соединения растянутой арматуры должна быть такой же, что и стыкуемых стержней.
11.2.8. При натяжении арматуры на упоры или затвердевший бетон должны быть обеспечены установленные в проекте контролируемые значения предварительного напряжения в пределах допускаемых значений отклонений, установленных нормативными документами или специальными требованиями.
При отпуске натяжения арматуры следует обеспечивать плавную передачу предварительного напряжения на бетон.
11.2.9. Утратил силу с 20.06.2019. -
Приказ Минстроя России от 19.12.2018 N 832/пр.
Подраздел 11.3 утратил силу с 20.06.2019. -
Приказ Минстроя России от 19.12.2018 N 832/пр.
11.4. Бетонные и железобетонные конструкции
11.4.1. Утратил силу с 20.06.2019. -
Приказ Минстроя России от 19.12.2018 N 832/пр.
| | Применение на обязательной основе пунктов 11.4.2 - 11.4.6 обеспечивает соблюдение требований Федерального закона от 30.12.2009 N 384-ФЗ "Технический регламент о безопасности зданий и сооружений" (Постановление Правительства РФ от 26.12.2014 N 1521). | |
11.4.2. В бетонных и железобетонных конструкциях к началу их эксплуатации фактическая прочность бетона должна быть не ниже требуемой прочности бетона, установленной в проекте.
В сборных бетонных и железобетонных конструкциях должна быть обеспечена установленная проектом отпускная прочность бетона (прочность бетона при отправке конструкции потребителю), а для преднапряженных конструкций - установленная проектом передаточная прочность (прочность бетона при отпуске натяжения арматуры).
В монолитных конструкциях должна быть обеспечена распалубочная прочность бетона в установленном проектом возрасте (при снятии несущей опалубки).
11.4.3. Подъем конструкций следует осуществлять с помощью специальных устройств (монтажных петель и других приспособлений), предусмотренных проектом. При этом должны быть обеспечены условия подъема, исключающие разрушение, потерю устойчивости, опрокидывание, раскачивание и вращение конструкции.
11.4.4. Условия транспортировки, складирования и хранения конструкций должны отвечать указаниям, приведенным в проекте. При этом должна быть обеспечена сохранность конструкции, поверхностей бетона, выпусков арматуры и монтажных петель от повреждений.
11.4.5. Возведение зданий и сооружений из сборных элементов следует производить в соответствии с проектом производства работ, в котором должны быть предусмотрены последовательность установки конструкций и мероприятия, обеспечивающие требуемую точность установки, пространственную неизменяемость конструкций в процессе их укрупнительной сборки и установки в проектное положение, устойчивость конструкций и частей здания или сооружения в процессе возведения, безопасные условия труда.
При возведении зданий и сооружений из монолитного бетона следует предусматривать последовательности бетонирования конструкций, снятия и перестановки опалубки, обеспечивающие прочность, трещиностойкость и жесткость конструкций в процессе возведения. Кроме этого следует предусматривать мероприятия (конструктивные и технологические, а при необходимости - выполнение расчета), ограничивающие образование и развитие технологических трещин.
Отклонения конструкций от проектного положения не должны превышать допустимых значений, установленных для соответствующих конструкций (колонн, балок, плит) зданий и сооружений
(СП 70.13330).
11.4.6. Конструкции следует содержать таким образом, чтобы они выполняли свое назначение, предусмотренное в проекте, за весь установленный срок службы здания или сооружения. Необходимо соблюдать режим эксплуатации бетонных и железобетонных конструкций зданий и сооружений, исключающий снижение их несущей способности, эксплуатационной пригодности и долговечности вследствие грубых нарушений нормируемых условий эксплуатации (перегрузка конструкций, несоблюдение сроков проведения планово-предупредительных ремонтов, повышение агрессивности среды и т.п.). Если в процессе эксплуатации обнаружены повреждения конструкций, которые могут вызвать снижение ее безопасности и препятствовать ее нормальному функционированию, следует выполнить мероприятия, предусмотренные в
разделе 12.
11.5.1. Утратил силу с 20.06.2019. -
Приказ Минстроя России от 19.12.2018 N 832/пр.
| | Применение на обязательной основе пункта 11.5.2 обеспечивает соблюдение требований Федерального закона от 30.12.2009 N 384-ФЗ "Технический регламент о безопасности зданий и сооружений" (Постановление Правительства РФ от 26.12.2014 N 1521). | |
11.5.2. Для обеспечения требований, предъявляемых к бетонным и железобетонным конструкциям, следует производить контроль качества продукции, включающий в себя входной, операционный, приемочный и эксплуатационный контроль.
11.5.3 - 11.5.7. Утратили силу с 20.06.2019. -
Приказ Минстроя России от 19.12.2018 N 832/пр.
| | Применение на обязательной основе раздела 12 обеспечивает соблюдение требований Федерального закона от 30.12.2009 N 384-ФЗ "Технический регламент о безопасности зданий и сооружений" (Постановление Правительства РФ от 26.12.2014 N 1521). | |
12. Требования к восстановлению и усилению
железобетонных конструкций
Восстановление и усиление железобетонных конструкций следует производить на основе результатов их натурного обследования, поверочного расчета, расчета и конструирования усиливаемых конструкций.
12.2. Натурные обследования конструкций
Путем натурных обследований в зависимости от конкретной задачи должны быть установлены: состояние конструкции, геометрические размеры конструкций, армирование конструкций, прочность бетона, вид и класс арматуры и ее состояние, прогибы конструкций, ширина раскрытия трещин, их длина и расположение, размеры и характер дефектов и повреждений, нагрузки, статическая схема конструкций.
12.3. Поверочные расчеты конструкций
12.3.1. Поверочные расчеты существующих конструкций следует производить при изменении действующих на них нагрузок, условий эксплуатации и объемно-планировочных решений, а также при обнаружении серьезных дефектов и повреждений в конструкциях.
На основе поверочных расчетов устанавливают пригодность конструкций к эксплуатации, необходимость их усиления, необходимость эксплуатационной нагрузки или полную непригодность конструкций.
12.3.2. Поверочные расчеты необходимо производить на основе проектных материалов, данных по изготовлению и возведению конструкций, а также результатов натурных обследований.
Расчетные схемы при проведении поверочных расчетов следует принимать с учетом установленных фактических геометрических размеров, фактического соединения и взаимодействия конструкций и элементов конструкций, выявленных отклонений при монтаже.
12.3.3. Поверочные расчеты следует производить по несущей способности, деформациям и трещиностойкости. Допускается не производить поверочные расчеты по эксплуатационной пригодности, если перемещения и ширина раскрытия трещин в существующих конструкциях при максимальных фактических нагрузках не превосходят допустимых значений, а усилия в сечениях элементов от возможных нагрузок не превышают значений усилий от фактически действующих нагрузок.
12.3.4. Расчетные значения характеристик бетона принимают по
таблице 6.8 в зависимости от класса бетона, указанного в проекте, или условного класса бетона, определяемого с помощью переводных коэффициентов, обеспечивающих эквивалентную прочность по фактической средней прочности бетона, полученной по испытаниям бетона методами неразрушающего контроля или по испытаниям отобранных из конструкции образцов.
12.3.5. Расчетные значения характеристик арматуры принимают по
таблице 6.8 в зависимости от класса арматуры, указанного в проекте, или условного класса арматуры, определяемого с помощью переводных коэффициентов, обеспечивающих эквивалентную прочность по фактическим значениям средней прочности арматуры, полученной по данным испытаний образцов арматуры, отобранных из обследуемых конструкций.
При отсутствии проектных данных и невозможности отбора образцов допускается класс арматуры устанавливать по виду профиля арматуры, а расчетные сопротивления принимать на 20% ниже соответствующих значений действующих нормативных документов, отвечающих данному классу.
12.3.6. При проведении поверочных расчетов должны быть учтены дефекты и повреждения конструкции, выявленные в процессе натурных обследований: снижение прочности, местные повреждения или разрушения бетона; обрыв арматуры, коррозия арматуры, нарушение анкеровки и сцепления арматуры с бетоном; опасное образование и раскрытие трещин; конструктивные отклонения от проекта в отдельных элементах конструкции и их соединениях.
12.3.7. Конструкции, не удовлетворяющие требованиям поверочных расчетов по несущей способности и эксплуатационной пригодности, подлежат усилению либо для них должна быть снижена эксплуатационная нагрузка.
Для конструкций, не удовлетворяющих требованиям поверочных расчетов по эксплуатационной пригодности, допускается не предусматривать усиления либо снижения нагрузки, если фактические прогибы превышают допустимые значения, но не препятствуют нормальной эксплуатации, а также если фактическое раскрытие трещин превышает допустимые значения, но не создает опасности разрушения.
12.4. Усиление железобетонных конструкций
12.4.1. Усиление железобетонных конструкций осуществляют с помощью стальных элементов, бетона и железобетона, арматуры и полимерных материалов.
12.4.2. При усилении железобетонных конструкций следует учитывать несущую способность как элементов усиления, так и усиливаемой конструкции. Для этого должно быть обеспечено включение в работу элементов усиления и совместная их работа с усиливаемой конструкцией. Для сильно поврежденных конструкций (при разрушении 50% и более сечения бетона или 50% и более площади сечения рабочей арматуры) элементы усиления следует рассчитывать на полную действующую нагрузку, при этом несущая способность усиливаемой конструкции в расчете не учитывается.
При заделке трещин с шириной раскрытия более допустимой и других дефектов бетона следует обеспечить равнопрочность участков конструкций, подвергнувшихся восстановлению, с основным бетоном.
12.4.3. Расчетные значения характеристик материалов усиления принимают по действующим нормативным документам.
Расчетные значения характеристик материалов усиливаемой конструкции принимают исходя из проектных данных с учетом результатов обследования согласно правилам, принятым при поверочных расчетах.
12.4.4. Расчет усиливаемой железобетонной конструкции следует производить по общим правилам расчета железобетонных конструкций с учетом напряженно-деформированного состояния конструкции, полученного ею до усиления.
| | Применение на обязательной основе раздела 13 обеспечивает соблюдение требований Федерального закона от 30.12.2009 N 384-ФЗ "Технический регламент о безопасности зданий и сооружений" (Постановление Правительства РФ от 26.12.2014 N 1521). | |
13. Расчет железобетонных конструкций на выносливость
13.1. Расчет железобетонных конструкций на выносливость следует выполнять при действии многократно повторяющейся (регулярной) нагрузки. Проверка сопротивления при расчете на выносливость выполняется отдельно для бетона и арматуры.
Расчет на выносливость выполняют по упругой стадии с трещинами. Работу растянутого бетона и сжатой арматуры не учитывают, и их прочность на выносливость не рассчитывается.
13.2. Расчет на выносливость необходимо производить из условий, при которых максимальные напряжения в сжатом бетоне и растянутой арматуре от повторяющейся нагрузки не превышают расчетных сопротивлений бетона и арматуры на сжатие и растяжение по выносливости соответственно.
13.3. Расчетные сопротивления бетона и арматуры по выносливости в общем случае определяются с учетом асимметрии циклов нагружений, классов бетона и арматуры (по прочности на сжатие и растяжение соответственно) для числа циклов, равного

, с использованием ниспадающей криволинейной зависимости, полученной на основании опытных данных.
При определении расчетных сопротивлений бетона по выносливости следует учитывать вид бетона (тяжелый или легкий), а также состояние бетона по влажности. При определении расчетных сопротивлений арматуры по выносливости следует учитывать наличие сварных соединений.
Асимметрия циклов нагружений характеризуется отношением минимальных и максимальных напряжений в бетоне и арматуре в пределах цикла изменения нагрузки.
(справочное)
ОСНОВНЫЕ БУКВЕННЫЕ ОБОЗНАЧЕНИЯ
Приложение А утратило силу с 20.06.2019. -
Приказ Минстроя России от 19.12.2018 N 832/пр.
(справочное)
РАСЧЕТ ЗАКЛАДНЫХ ДЕТАЛЕЙ
Приложение Б утратило силу с 20.06.2019. -
Приказ Минстроя России от 19.12.2018 N 832/пр.
(справочное)
РАСЧЕТ КОНСТРУКТИВНЫХ СИСТЕМ
Приложение В утратило силу с 20.06.2019. -
Приказ Минстроя России от 19.12.2018 N 832/пр.
(справочное)
ДИАГРАММЫ ДЕФОРМИРОВАНИЯ БЕТОНА
Приложение Г утратило силу с 20.06.2019. -
Приказ Минстроя России от 19.12.2018 N 832/пр.
(справочное)
РАСЧЕТ КОЛОНН КРУГЛОГО И КОЛЬЦЕВОГО СЕЧЕНИЙ
Приложение Д утратило силу с 20.06.2019. -
Приказ Минстроя России от 19.12.2018 N 832/пр.
(справочное)
РАСЧЕТ БЕТОННЫХ ШПОНОК
Приложение Е утратило силу с 20.06.2019. -
Приказ Минстроя России от 19.12.2018 N 832/пр.
(справочное)
РАСЧЕТ КОРОТКИХ КОНСОЛЕЙ
Приложение Ж утратило силу с 20.06.2019. -
Приказ Минстроя России от 19.12.2018 N 832/пр.
(справочное)
РАСЧЕТ СБОРНО-МОНОЛИТНЫХ КОНСТРУКЦИЙ
Приложение И утратило силу с 20.06.2019. -
Приказ Минстроя России от 19.12.2018 N 832/пр.
(справочное)
УЧЕТ КОСВЕННОГО АРМИРОВАНИЯ ПРИ РАСЧЕТЕ
ВНЕЦЕНТРЕННО СЖАТЫХ ЭЛЕМЕНТОВ НА ОСНОВЕ
НЕЛИНЕЙНОЙ ДЕФОРМАЦИОННОЙ МОДЕЛИ
Приложение К утратило силу с 20.06.2019. -
Приказ Минстроя России от 19.12.2018 N 832/пр.
(рекомендуемое)
РАСЧЕТ КОНСТРУКЦИЙ С КОМПОЗИТНОЙ ПОЛИМЕРНОЙ АРМАТУРОЙ
Приказом Минстроя России от 08.07.2015 N 493/пр)
Приложение Л утратило силу с 20.06.2019. -
Приказ Минстроя России от 19.12.2018 N 832/пр.
(рекомендуемое)
ТРЕБОВАНИЯ К ПРАВИЛАМ ПРОЕКТИРОВАНИЯ И КОНСТРУИРОВАНИЯ
ЖЕЛЕЗОБЕТОННЫХ КОНСТРУКЦИЙ С МЕХАНИЧЕСКИМИ
СОЕДИНЕНИЯМИ АРМАТУРЫ
Минстроя России от 19.10.2017 N 1441/пр)
Приложение М утратило силу с 20.06.2019. -
Приказ Минстроя России от 19.12.2018 N 832/пр.
(справочное)
РАСЧЕТ СОЕДИНИТЕЛЬНЫХ МУФТ ОПРЕССОВАННЫХ
МЕХАНИЧЕСКИХ СОЕДИНЕНИЙ
Минстроя России от 19.10.2017 N 1441/пр)
Приложение Н утратило силу с 20.06.2019. -
Приказ Минстроя России от 19.12.2018 N 832/пр.
Раздел утратил силу с 20.06.2019. -
Приказ Минстроя России от 19.12.2018 N 832/пр.