Главная // Актуальные документы // КлассификацияСПРАВКА
Источник публикации
В данном виде документ опубликован не был.
Первоначальный текст документа опубликован в издании
М.: Минрегион России, 2011.
Информацию о публикации документов, создающих данную редакцию, см. в справке к этим документам.
Примечание к документу
Документ утратил силу полностью с 01.08.2020 в связи признанием утратившим силу
Постановления Правительства РФ от 26.12.2014 N 1521.
Документ утратил силу с 14.02.2019, за исключением пунктов, включенных в
Перечень национальных стандартов и сводов правил (частей таких стандартов и сводов правил), в результате применения которых на обязательной основе обеспечивается соблюдение требований Федерального
закона "Технический регламент о безопасности зданий и сооружений", утвержденный
Постановлением Правительства РФ от 26.12.2014 N 1521, до внесения соответствующих изменений в указанный Перечень, в связи с изданием
Приказа Минстроя России от 13.08.2018 N 513/пр, утвердившего новый Свод правил
СП 23.13330.2018.
Документ включен в
Перечень документов в области стандартизации, в результате применения которых на добровольной основе обеспечивается соблюдение требований Федерального
закона от 30.12.2009 N 384-ФЗ "Технический регламент о безопасности зданий и сооружений" (
Приказ Росстандарта от 30.03.2015 N 365).
Отдельные положения данного документа включены в
Перечень национальных стандартов и сводов правил (частей таких стандартов и сводов правил), в результате применения которых на обязательной основе обеспечивается соблюдение требований Федерального
закона от 30.12.2009 N 384-ФЗ "Технический регламент о безопасности зданий и сооружений" (
Постановление Правительства РФ от 26.12.2014 N 1521).
На время переходного периода данный документ не отменяет действие
СНиП 2.02.02-85 (
Письмо Минрегиона России от 15.08.2011 N 18529-08/ИП-ОГ).
Документ включен в
Перечень документов в области стандартизации, в результате применения которых на добровольной основе обеспечивается соблюдение требований Федерального
закона от 30.12.2009 N 384-ФЗ "Технический регламент о безопасности зданий и сооружений" (
Приказ Ростехрегулирования от 01.06.2010 N 2079).
Текст документа приведен с учетом
опечаток, опубликованных в "Информационном бюллетене о нормативной, методической и типовой проектной документации", N 8, 2011.
Название документа
"СП 23.13330.2011. Свод правил. Основания гидротехнических сооружений. Актуализированная редакция СНиП 2.02.02-85"
(утв. Приказом Минрегиона России от 28.12.2010 N 824)
(ред. от 13.08.2018)
"СП 23.13330.2011. Свод правил. Основания гидротехнических сооружений. Актуализированная редакция СНиП 2.02.02-85"
(утв. Приказом Минрегиона России от 28.12.2010 N 824)
(ред. от 13.08.2018)
от 28 декабря 2010 г. N 824
СВОД ПРАВИЛ
ОСНОВАНИЯ ГИДРОТЕХНИЧЕСКИХ СООРУЖЕНИЙ
Foundation of hydraulic structures
СП 23.13330.2011
| | Список изменяющих документов Минстроя России от 21.12.2017 N 1697/пр, Приказа Минстроя России от 13.08.2018 N 513/пр) | |
Дата введения
20 мая 2011 года
Цели и принципы стандартизации в Российской Федерации установлены Федеральным
законом от 27 декабря 2002 г. N 184-ФЗ "О техническом регулировании", а правила разработки -
Постановлением Правительства Российской Федерации от 19 ноября 2008 г. N 858 "О порядке разработки и утверждения сводов правил".
1. Исполнитель - ОАО "ВНИИГ им. Б.Е. Веденеева".
2. Внесен Техническим комитетом по стандартизации ТК 465 "Строительство".
3. Подготовлен к утверждению Департаментом архитектуры, строительства и градостроительной политики.
4. Утвержден
Приказом Министерства регионального развития Российской Федерации (Минрегион России) от 28 декабря 2010 г. N 824 и введен в действие с 20 мая 2011 г.
5. Зарегистрирован Федеральным агентством по техническому регулированию и метрологии (Росстандарт). Пересмотр СП 23.13330.2010.
Информация об изменениях к настоящему своду правил публикуется в ежегодно издаваемом информационном указателе "Национальные стандарты", а текст изменений и поправок - в ежемесячно издаваемых информационных указателях "Национальные стандарты". В случае пересмотра (замены) или отмены настоящего свода правил соответствующее уведомление будет опубликовано в ежемесячно издаваемом информационном указателе "Национальные стандарты". Соответствующая информация, уведомление и тексты размещаются также в информационной системе общего пользования - на официальном сайте разработчика (Минрегион России) в сети Интернет.
| | Применение на обязательной основе раздела 1 обеспечивает соблюдение требований Федерального закона от 30.12.2009 N 384-ФЗ "Технический регламент о безопасности зданий и сооружений" (Постановление Правительства РФ от 26.12.2014 N 1521). | |
Требования настоящего свода правил распространяются на проектирование оснований гидротехнических сооружений всех классов согласно
СП 58.13330, в том числе гравитационных, арочных и контрфорсных плотин, подпорных стенок, шлюзов, шельфовых и портовых сооружений, естественных склонов и искусственных откосов на участках расположения гидротехнических сооружений.
В своде правил даются классификация грунтов и их физико-механические характеристики, инженерно-геологическая и расчетная схематизация оснований, методы расчетов устойчивости оснований, напряженно-деформированного состояния, суффозионной прочности. Также установлены методы контроля качества подготовки оснований, методика наблюдений за поведением оснований в процессе эксплуатации и инженерные мероприятия по повышению надежности оснований.
Свод правил не распространяется на проектирование подземных гидротехнических сооружений.
Приказом Минстроя России от 21.12.2017 N 1697/пр)
Раздел 2 утратил силу с 14.02.2019. -
Приказ Минстроя России от 13.08.2018 N 513/пр.
Раздел 3 утратил силу с 14.02.2019. -
Приказ Минстроя России от 13.08.2018 N 513/пр.
4.1 - 4.6. Утратили силу с 14.02.2019. -
Приказ Минстроя России от 13.08.2018 N 513/пр.
| | Применение на обязательной основе пунктов 4.7 - 4.10 обеспечивает соблюдение требований Федерального закона от 30.12.2009 N 384-ФЗ "Технический регламент о безопасности зданий и сооружений" (Постановление Правительства РФ от 26.12.2014 N 1521). | |
4.7. Наряду с детерминистическими методами расчета прочности оснований и устойчивости гидротехнических сооружений рекомендуется использовать вероятностные методы оценки их надежности и отказов в соответствии с
СП 58.13330.
(п. 4.7 в ред.
Изменения N 1, утв. Приказом Минстроя России от 21.12.2017 N 1697/пр)
Таблица 1 исключена с 22 июня 2018 года. -
Изменение N 1, утв. Приказом Минстроя России от 21.12.2017 N 1697/пр.
4.8. В проектах оснований сооружений должна быть предусмотрена программа мониторинга, главной задачей которого является обеспечение безопасности строительства и эксплуатации сооружений, включая выявление опасных процессов и явлений для разработки предупреждающих и защитных мероприятий. В программе мониторинга должно быть уделено повышенное внимание этапам строительства, вводу в эксплуатацию и периоду эксплуатации до стадии стабилизации процессов взаимодействия ГТС с природным комплексом. При необходимости программа должна уточняться на каждом этапе с учетом изменения реальных условий.
4.9. Состав и объем натурных наблюдений должны назначаться в зависимости от класса сооружений, их конструктивных особенностей и новизны проектных решений, геологических, гидрогеологических, геокриологических, сейсмических условий, способа возведения и требований эксплуатации. Наблюдениями, как правило, следует определять:
осадки, крены и горизонтальные смещения сооружения и его основания;
температуру грунта в основании и грунтовом сооружении (при строительстве в суровых климатических условиях, при среднегодовой температуре воздуха ниже 1 °C);
пьезометрические напоры воды в основании и грунтовом сооружении (положение поверхности депрессии);
расход воды, фильтрующейся через основание сооружения;
химический состав, температуру и мутность профильтровавшейся воды в дренажах, а также в коллекторах;
эффективность работы дренажных и противофильтрационных устройств;
напряжения и деформации в основании сооружения;
поровое давление в основании сооружения;
сейсмические воздействия на основание.
Определение указанных показателей производится с использованием результатов инструментальных измерений. В дополнение к инструментальным наблюдениям следует предусматривать и визуальные для оперативного выявления внешних проявлений развития неблагоприятных процессов в основании и грунтовых сооружениях.
Состав и объем натурных наблюдений в системе мониторинга должны назначаться в соответствии с разработанными сценариями развития потенциальных аварий и инцидентов, а также их последствий с целью предотвращения чрезвычайных ситуаций.
4.10. При проектировании оснований сооружений I - III классов необходимо предусматривать установку контрольно-измерительной аппаратуры (КИА) для проведения натурных наблюдений за состоянием сооружений и их оснований в процессе строительства и в период их эксплуатации (согласно
4.9) как для оперативной оценки надежности отдельных элементов, так и системы "сооружение - основание" в целом, своевременного выявления дефектов и повреждений в системе, предотвращения аварий, улучшения условий эксплуатации, а также для оценки правильности принятых методов расчета, их совершенствования. Для сооружений IV класса и их оснований, как правило, следует предусматривать геодезические и визуальные наблюдения.
Состав и объем установки КИА в сооружение и его основание должны определяться проектом натурных наблюдений и исследований, который составляется для всех стадий проектирования, строительства и эксплуатации и является неотъемлемой частью проекта сооружения.
Примечания. 1. Установка КИА на сооружениях IV класса и в их основаниях рекомендуется при обосновании для сложных инженерно-геологических условий и при использовании новых конструкций сооружений.
2. Для сооружений IV класса инструментальные наблюдения допускается ограничить наблюдениями за фильтрацией в основании, осадками и смещениями сооружения и его основания.
4.11 - 4.13. Утратили силу с 14.02.2019. -
Приказ Минстроя России от 13.08.2018 N 513/пр.
5. Классификация грунтов и их физико-механические
характеристики
Раздел 5 утратил силу с 14.02.2019. -
Приказ Минстроя России от 13.08.2018 N 513/пр.
6. Инженерно-геологическая и расчетная
схематизация оснований
Раздел 6 утратил силу с 14.02.2019. -
Приказ Минстроя России от 13.08.2018 N 513/пр.
| | Применение на обязательной основе раздела 7 обеспечивает соблюдение требований Федерального закона от 30.12.2009 N 384-ФЗ "Технический регламент о безопасности зданий и сооружений" (Постановление Правительства РФ от 26.12.2014 N 1521). | |
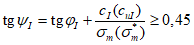
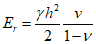
7. Расчеты устойчивости (несущей способности) оснований
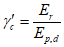
7.1. Расчеты устойчивости (несущей способности) системы "сооружение - основание" следует производить для сооружений всех классов по предельным состояниям первой группы; расчеты устойчивости склонов (массивов) следует производить в зависимости от последствий их разрушения либо по предельным состояниям первой либо второй группы.
7.2. Критерием обеспечения устойчивости (несущей способности) системы "сооружение - основание" и склонов является выполнение
условия (1)

. (5)
Здесь
F и
R - расчетные значения соответственно обобщенных сдвигающих сил и сил предельного сопротивления или моментов сил, стремящихся сдвинуть (повернуть) и удержать систему "сооружение - основание" или склон. При их определении используют коэффициенты надежности по нагрузкам

и по грунту

, определяемые по указаниям
7.3 и
разделу 5, и коэффициенты

,

, определяемые по
4.5.
Коэффициент условий работы

принимается по таблице 6.
Таблица 6
Типы сооружений и оснований | Коэффициент условий работы  |
Гравитационные: | |
бетонные, железобетонные, металлические и другие сооружения на нескальных и полускальных основаниях | 1,0 |
То же, на скальных основаниях (кроме распорных сооружений) для расчетных поверхностей сдвига: | |
приуроченных к трещинам | 1,0 |
не приуроченных к трещинам | 0,95 |
Распорные сооружения: | |
арочные плотины | 0,75 |
другие распорные сооружения на скальных основаниях | 1,0 - E/T, E - распор; T - сдвигающая нагрузка |
Естественные откосы и склоны | 1,0 |
Примечания. 1. При расположении сооружений в северной строительно- климатической зоне (ССКЗ) и прохождении расчетных поверхностей сдвига в зоне промораживания - оттаивания приведенные коэффициенты следует умножать на 0,95. 2. Исключено с 22 июня 2018 года. - Изменение N 1, утв. Приказом Минстроя России от 21.12.2017 N 1697/пр. |
7.3. При определении расчетных нагрузок коэффициенты надежности по нагрузкам следует принимать согласно требованиям
СП 58.13330.
Примечания. 1. В тех случаях, когда в расчетах используется не равнодействующая нагрузок (сил), а ее проекции, коэффициенты надежности по нагрузке должны вводиться либо к равнодействующей, либо одинаковыми (повышающими или понижающими) ко всем проекциям.
2. Все нагрузки от грунта (вертикальное давление от веса грунта, боковое давление грунта) следует, как правило, определять по расчетным значениям характеристик грунта

,

,

, принимая при этом коэффициенты надежности по нагрузкам равными единице. При этом расчетные значения характеристик грунта принимаются больше или меньше их нормативных значений в зависимости от того, какие из них приводят к невыгодным условиям загружения системы "сооружение - основание".
3. Сочетание нагрузок и воздействий должны устанавливаться в соответствии с практической возможностью одновременного их действия на сооружение. При этом любая кратковременная нагрузка не вводится в сочетание, если она увеличивает устойчивость сооружения.
4. Если при определении расчетных величин нагрузок нельзя установить, какое значение

(большее или меньшее) приводит к наиболее невыгодному случаю загружения сооружения, то следует выполнять сопоставительные расчеты при обоих значениях коэффициентов надежности по нагрузке.
7.4. Расчеты устойчивости системы "сооружение - основание" и склонов следует, как правило, производить методами, учитывающими все условия равновесия в предельном состоянии.
Допускается применять и другие методы расчета, результаты которых проверены опытом проектирования, строительства и эксплуатации сооружений.
В расчетах устойчивости следует рассматривать все физически и кинематически возможные схемы потери устойчивости сооружений, систем "сооружение - основание", склонов (массивов).
7.5. Расчеты следует выполнять для условий плоской или пространственной задачи. Условия пространственной задачи принимают, если l < 3b или l < 3h (для шпунтовых сооружений и склонов), или когда поперечное сечение сооружения, нагрузки, геологические условия меняются по длине l < 3b (< 3h), где l и b соответственно длина и ширина сооружения, h - высота сооружения с учетом заглубления сооружений или шпунта в грунт основания.
Допускается использование решений плоской задачи для систем "сооружение - основание" и склонов, работающих в пространственных условиях, путем учета сил трения и сцепления по боковым поверхностям сдвигаемого массива грунта и сооружения. При этом следует, как правило, давление на боковые поверхности принимать равным давлению покоя. Это указание относится к сооружениям с фиксированными боковыми поверхностями, параллельными направлению сдвига, и не распространяется на грунтовые массивы с произвольной боковой поверхностью обрушения.
Расчет устойчивости сооружений на нескальных основаниях
7.6. В расчетах устойчивости гравитационных сооружений на нескальных основаниях следует рассматривать возможность потери устойчивости по схемам плоского, смешанного и глубинного сдвигов. Выбор схемы зависит от вида сооружения, классификационной характеристики основания, схемы загружения и других факторов. Следует иметь в виду, что перечисленные схемы сдвига могут иметь место как при поступательной форме сдвига, так и при сдвиге с поворотом в плане.
Для сооружений, основанием которых являются естественные или искусственные откосы или их гребни, необходимо также рассматривать схему общего обрушения откоса вместе с расположенным на нем сооружением.
Для сооружений I класса, кроме перечисленных расчетов устойчивости, оценка степени их устойчивости может производиться на основе анализа результатов расчетов напряженно-деформированного состояния системы "сооружение - основание".
(в ред.
Изменения N 1, утв. Приказом Минстроя России от 21.12.2017 N 1697/пр)
7.7. Расчеты устойчивости сооружений по схеме плоского сдвига следует производить для всех сооружений, несущих вертикальные и горизонтальные нагрузки.
Для сооружений расчеты устойчивости следует производить только по схеме плоского сдвига в следующих случаях:
1) основания сооружений сложены песчаными, крупнообломочными, твердыми

и полутвердыми

пылевато-глинистыми грунтами при выполнении условий:
а) для случая равномерной нагрузки и эксцентриситета в сторону верховой грани сооружения

; (7)
б) при эксцентриситете

равнодействующей всех сил, приложенных к сооружению в сторону низовой грани сооружения

; (8)
2) основания сооружений сложены туго-

и мягкопластичными

глинистыми грунтами при выполнении
условий (7) или (8) и следующих дополнительных условий:

; (9)
Минстроя России от 21.12.2017 N 1697/пр)

. (10)

- число моделирования;

,

- среднее нормальное напряжение соответственно при ширине
b и
b*;
b - размер стороны (ширина) прямоугольной подошвы сооружения, параллельной сдвигающей силе (без учета длины анкерного понура);

;

- эксцентриситет в сторону низовой грани сооружения нормальной силы
P в плоскости подошвы, равный расстоянию от точки пересечения с подошвой фундамента равнодействующей всех сил до оси сооружения;

- удельный вес грунта основания, принимаемый ниже уровня воды с учетом ее взвешивающего действия;

- безразмерное число, принимаемое для плотных песков

; для остальных грунтов

. Для всех грунтов оснований сооружений I и II классов

, как правило, следует уточнять по результатам экспериментальных исследований методом сдвига штампов в котлованах сооружений;

- показатель текучести;

- расчетное значение коэффициента сдвига;

,

,
cuI - расчетные значения характеристик прочности грунта основания с учетом степени его консолидации под нагрузкой от сооружения к расчетному моменту и возможного их снижения в зоне промораживания - оттаивания (при строительстве в северной строительно-климатической зоне (ССКЗ));
(в ред.
Изменения N 1, утв. Приказом Минстроя России от 21.12.2017 N 1697/пр)

- коэффициент степени консолидации грунта;
k - коэффициент фильтрации грунта;
e - коэффициент пористости грунта в естественном состоянии;

- время возведения сооружения;
a - коэффициент уплотнения; при его определении учитывается изменение
e и

во всем диапазоне изменения нагрузок на основание;

- удельный вес воды;

- расчетная толщина консолидируемого слоя, принимаемая для сооружения с шириной подошвы
b, на части которой

расположен дренаж, равной:
а) для однослойного основания:
при наличии водоупора, залегающего на глубине

; (

- см.
11.6.2)

; (11)
при залегании в основании дренирующего слоя на глубине


; (12)
б) для двухслойного основания с толщинами слоев

и

:
при наличии водоупора и при


; (13)
при наличии дренирующего слоя на глубине


. (14)
Примечания. 1. За верховую грань сооружения следует принимать грань, со стороны которой действует сдвигающая нагрузка; за низовую грань сооружения - грань, в направлении которой проверяется возможность сдвига.
2. Указания настоящего пункта не распространяются на случаи, когда особенности конструкции или сооружения и геологического строения основания, а также распределение нагрузок предопределяют глубинный сдвиг.
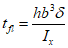
7.8. При расчете устойчивости сооружения по схеме плоского сдвига за расчетную поверхность сдвига следует принимать:
при плоской подошве сооружения - плоскость опирания сооружения на основание с обязательной проверкой устойчивости по горизонтальной поверхности сдвига, проходящей через верховой край подошвы (выбор плоской горизонтальной подошвы сооружения требует специального обоснования);
при наличии в подошве сооружения верхового и низового зубьев:
при глубине заложения верхового зуба, равной или большей низового, - плоскость, проходящую через подошву зубьев, а также горизонтальную плоскость, проходящую по подошве верхового зуба;
при глубине заложения низового зуба более глубины заложения верхового зуба горизонтальную плоскость, проходящую по подошве верхового зуба (при этом все силы следует относить к указанной плоскости, за исключением давления воды и пассивного давления грунта со стороны низовой грани сооружения, которые надлежит относить к плоскости, проходящей по подошве низового зуба);
при наличии в основании сооружения каменной постели - плоскости, проходящие по контакту сооружения с постелью и постели с грунтом; при наличии у каменной постели заглубления в грунт следует рассматривать также наклонные плоскости или ломаные поверхности, проходящие через постель;
при наличии в основании зон, слоев или прослоек слабых грунтов, в том числе в зонах промораживания - оттаивания, следует дополнительно оценить степень устойчивости сооружения применительно к расчетным плоскостям, проходящим в этих зонах или слоях.
7.9. При расчете устойчивости сооружений по схеме плоского сдвига (без поворота) при горизонтальной плоскости сдвига значения

и
F в
условиях (5) следует определять по формулам:

; (15)
Минстроя России от 21.12.2017 N 1697/пр)

, (16)
где

- расчетное значение предельного сопротивления при плоском сдвиге;
P - сумма вертикальных составляющих расчетных нагрузок (включая противодавление);

,

,

- характеристики прочности грунта по расчетной поверхности сдвига, определяемые по указаниям
раздела 5, причем

,
cuI учитываются только на той части площади основания, на которой отсутствуют растягивающие напряжения;
(в ред.
Изменения N 1, утв. Приказом Минстроя России от 21.12.2017 N 1697/пр)

- коэффициент условий работы, учитывающий зависимость реактивного давления грунта с низовой стороны сооружения от горизонтального смещения сооружения при потере им устойчивости, принимаемый по результатам экспериментальных или теоретических исследований; при их отсутствии значение

принимается равным 0,7 (при специальном обосновании допускается принимать

;
(в ред.
Изменения N 1, утв. Приказом Минстроя России от 21.12.2017 N 1697/пр)

,

- соответственно расчетные значения горизонтальных составляющих силы пассивного давления грунта с низовой стороны сооружения и активного давления грунта с верховой стороны;
A - площадь проекции на поверхность сдвига подошвы сооружения, в пределах которой учитывается сцепление;

- горизонтальная составляющая силы сопротивлений свай, анкеров и т.д.;
F - расчетное значение сдвигающей силы;

,

- суммы горизонтальных составляющих расчетных значений активных сил, действующих соответственно со стороны верховой и низовой граней сооружения, за исключением активного давления грунта.
Примечание. Для вертикально- и наклонно-слоистых оснований

и

следует определять по обязательному
Приложению Г как средневзвешенные значения характеристик грунтов всех слоев с учетом перераспределения нормальных контактных напряжений между слоями пропорционально их модулям деформации.
7.10. В случае, если расчетная сдвигающая сила
F приложена с эксцентриситетом в плоскости подошвы

, расчет устойчивости сооружений следует производить по схеме плоского сдвига с поворотом в плане (
l и
b - размеры сторон прямоугольной подошвы сооружения).
Эксцентриситет
eF и силу предельного сопротивления при плоском сдвиге с поворотом в плане

следует определять по указаниям, приведенным в
Приложении Д.
(в ред.
Изменения N 1, утв. Приказом Минстроя России от 21.12.2017 N 1697/пр)
7.11. Расчет устойчивости сооружений по схеме глубинного сдвига следует производить:
для всех типов сооружений, несущих только вертикальную нагрузку;
при несоблюдении условий, приведенных в
7.7 - для сооружений, несущих вертикальную и горизонтальную нагрузки, расположенных на неоднородных основаниях.
(в ред.
Изменения N 1, утв. Приказом Минстроя России от 21.12.2017 N 1697/пр)
7.12. Расчеты устойчивости сооружений по схеме смешанного сдвига следует производить для сооружений, несущих вертикальную и горизонтальную нагрузки и расположенных на однородных основаниях; если не соблюдаются условия, приведенные в
7.7.
(в ред.
Изменения N 1, утв. Приказом Минстроя России от 21.12.2017 N 1697/пр)
7.13. Расчеты устойчивости сооружений на однородных основаниях по схеме глубинного и смешанного сдвига допускается производить методами теории предельного равновесия
(Приложение И), а на неоднородных основаниях - методами, оперирующими расчлененной на элементы призмой обрушения, сдвигаемой по ломаным или круглоцилиндрическим поверхностям сдвига.
(в ред.
Изменения N 1, утв. Приказом Минстроя России от 21.12.2017 N 1697/пр)
7.14. Устойчивость сооружений I класса рекомендуется оценивать также с помощью численного моделирования разрушения основания. Напряженно-деформированное состояние (НДС) системы "сооружение - основание" при таком моделировании следует определять по нелинейным моделям грунта, дающим статически допустимые поля напряжений. Параметры нелинейных моделей грунта назначаются по нормативным значениям деформационных и расчетным значениям прочностных характеристик грунтов основания.
Для численного моделирования разрушения при расчете НДС системы пропорционально увеличивают действующие на сооружение нагрузки или пропорционально уменьшают параметры внутреннего трения грунтов

и
cI. О наступлении разрушения при таких расчетах следует судить по моменту резкого роста расчетных смещений, достижению критических деформаций либо отсутствию сходимости итерационного процесса решения нелинейной задачи. Достигнутый к моменту разрушения коэффициент перегрузки или коэффициент снижения прочности на сдвиг принимается в качестве коэффициента устойчивости.
(в ред.
Изменения N 1, утв. Приказом Минстроя России от 21.12.2017 N 1697/пр)
7.15. При расчете устойчивости сооружений на основаниях, сложенных пылевато-глинистыми грунтами с коэффициентом водонасыщения

и коэффициентом степени консолидации

, следует учитывать нестабилизированное состояние грунта основания одним из двух приведенных ниже способов:
а) принимая характеристики прочности

и

, соответствующие степени консолидации грунта основания к расчетному моменту (т.е. полным напряжениям) или
cuI, и не учитывая при этом в расчетах наличие избыточного порового давления, обусловленного консолидацией грунта;
(в ред.
Изменения N 1, утв. Приказом Минстроя России от 21.12.2017 N 1697/пр)
б) учитывая по поверхности сдвига действие избыточного порового давления, возникающего при консолидации грунта (определяемое экспериментальным или расчетным путем), и принимая характеристики прочности

и

, соответствующие полностью консолидированному состоянию грунта (т.е. эффективным напряжениям).
7.16. При расчетах устойчивости сооружений на водонасыщенных нескальных основаниях, воспринимающих кроме статических также динамические нагрузки, следует учитывать влияние последних на несущую способность грунтов, обуславливающее снижение (против определенного в статических условиях) сопротивления недренированному сдвигу связных грунтов и возникновение избыточного порового давления в несвязных грунтах. Избыточное поровое давление при этом определяют либо расчетным путем, либо по результатам экспериментальных исследований.
Расчет устойчивости сооружений на скальных основаниях
7.17. Расчеты устойчивости сооружений на скальных основаниях, скальных откосов и склонов следует выполнять по схемам сдвига по плоским или ломаным расчетным поверхностям. При этом определяющими являются результаты расчета по той схеме, которая показывает наименьшую надежность сооружения (откоса, склона).
Для бетонных и железобетонных подпорных сооружений на скальных основаниях следует также рассматривать схему предельного поворота (опрокидывания).
При плоской расчетной поверхности сдвига следует учитывать две возможные схемы нарушения устойчивости:
поступательный сдвиг;
сдвиг с поворотом в плане.
При ломаной расчетной поверхности сдвига следует учитывать три возможные расчетные схемы:
сдвиг вдоль ребер ломаной поверхности (продольный);
сдвиг поперек ребер ломаной поверхности (поперечный);
сдвиг под углом к ребрам ломаной поверхности сдвига.
(в ред.
Изменения N 1, утв. Приказом Минстроя России от 21.12.2017 N 1697/пр)
При выборе расчетной схемы следует исходить из статически и кинематически возможных схем потери устойчивости сооружения и нарушения прочности основания и учитывать, что опасными могут являться как поверхности, привязанные к различным контурам ослабления (к контакту сооружения с основанием, к системам трещин или единичным трещинам, разломам, зонам дробления в скальном массиве), так и поверхности, проходящие внутри трещиноватого скального массива в направлениях, не совпадающих с трещинами.
В зависимости от конкретных условий следует рассматривать возможность потери устойчивости сооружения или с частью основания, или без него.
7.18. При расчете устойчивости потенциально опасными могут быть поверхности сдвига, проходящие:
по области контакта сооружения с основанием;
внутри основания;
частично по области контакта и частично внутри основания.
При этом следует учитывать, что первая из указанных видов поверхностей сдвига наиболее вероятна для сооружений на основаниях преимущественно с горизонтальной (или близкой к горизонтальной) поверхностью как в пределах контакта с сооружением, так и вне его (для гравитационных и контрфорсных плотин, подпорных стен и др.). Вторая и третья разновидности поверхностей сдвига наиболее вероятны для сооружений, возводимых в узких ущельях или имеющих заглубленную в основание подошву, в том числе для гравитационных и арочных плотин, для подпорных стен, на крутых склонах и т.д., а также при ступенчатой подошве сооружения.
7.19. Выбор схемы нарушения устойчивости сооружения или откоса (склона) и определение расчетных поверхностей сдвига следует производить, используя данные анализа инженерно-геологических структурных моделей, отражающих основные элементы трещиноватости скального массива (ориентировку, протяженность, мощность, шероховатость трещин, их частоту и т.д.) и наличие ослабленных прослоев и областей.
При оценке устойчивости скальных откосов необходимо иметь в виду, что характер их обрушения в значительной степени определяется геологическим строением (структурой) и геомеханическими характеристиками скального массива, на основании анализа которых и производится выбор расчетной схемы и метода расчета.
Для скальных откосов потенциально опасными являются поверхности ослабления скального массива (трещины, слабые прослои, тектонические зоны и т.п.).
7.20. При оценке устойчивости опорных береговых массивов гидротехнических сооружений (например, арочных плотин) либо любых других скальных массивов при ломаной поверхности сдвига, где смещение массива может быть рассмотрено состоящим из перемещений в двух взаимно пересекающихся направлениях, необходимо рассматривать сдвиг под углом к ребрам ломаной поверхности (продольно-поперечный сдвиг).
Метод оценки устойчивости береговых упорных массивов должен основываться на следующих исходных положениях:
расчетные опорные скальные блоки рассматриваются как неизменяемое твердое тело;
в рассмотрение вводятся силы без учета их моментов;
разложение главного вектора приложенных к блоку активных сил на составляющие производится на направления нормалей к плоскостям сдвига и направление линии их пересечения;
условием, определяющим кинематику смещения массива, состоящего из виртуальных перемещений в двух взаимно пересекающихся направлениях, является направление главного вектора приложенных сил под углом к ребрам ломаной поверхности сдвига (продольно-поперечный сдвиг);
условием для перехода от сдвига по граням двугранного угла вдоль линии их пересечения к сдвигу по одной из плоскостей является равенство нулю или отрицательное значение составляющей главного вектора приложенных сил, нормальной к другой из плоскостей сдвига;
надежность берегового упора определяется результатом расчета наименее устойчивого из выделенных блоков.
7.21. Оценку устойчивости сооружений на скальных основаниях, скальных откосов и склонов допускается, а в сложных случаях - рекомендуется также проводить на основе анализа результатов численного моделирования НДС системы "сооружение-основание". Для оценки устойчивости по НДС системы "сооружение-основание" для скальных оснований рекомендуется методика численного моделирования разрушения, аналогичная изложенной в
7.14.
(в ред.
Изменения N 1, утв. Приказом Минстроя России от 21.12.2017 N 1697/пр)
7.22. При расчете устойчивости сооружений и скальных склонов по схеме сдвига вдоль ребер ломаной поверхности (продольный сдвиг) наиболее часто встречается случай сдвига расчетного блока по двум плоскостям, образующим двугранный угол, в направлении вдоль его ребра. Данная расчетная схема применима для скального массива или сооружения, рассматриваемого как единое твердое тело. Силы, воздействующие на расчетный блок призмы обрушения в какой-либо точке или зоне, принимаются как действующие на весь блок в целом. При оценке по данной схеме устойчивости опорных береговых массивов гидротехнических сооружений (например, арочные плотины) возможное смещение расчетного блока поперек призматической поверхности сдвига (поперек ребер) не учитывается.
Величины, входящие в
условие (5), необходимо определять по формулам:
F = T; (17)

, (18)
T - активная сдвигающая сила (проекция равнодействующей расчетной нагрузки на направление сдвига);

- равнодействующая нормальных напряжений (сил), возникающих на
i-м участке поверхности сдвига от расчетных нагрузок;

- сила сопротивления, ориентированная против направления сдвига, возникающая от анкерных усилий и т.д.;
n - число участков поверхности сдвига, назначаемое с учетом неоднородности основания по прочностным и деформационным свойствам;

и

- расчетные значения характеристик скальных грунтов для
i-го участка расчетной поверхности сдвига, определяемые в соответствии с требованиями
раздела 5;

- площадь
i-го участка расчетной поверхности сдвига;

- расчетная сила сопротивления упорного массива (обратной засыпки), определяемая по 7.23.
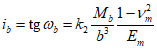
7.23. Расчетное значение силы сопротивления упорного массива или обратных засыпок следует определять по формуле

, (19)
где

- расчетное значение силы пассивного сопротивления.
Для упорного массива, содержащего поверхности ослабления, по которым данный массив может быть сдвинут, значение

следует определять без учета характеристик

и
c по упорной грани по формуле

, (20)
где

- вес призмы выпора;
A - площадь поверхности сдвига призмы выпора;

- угол наклона поверхности сдвига (плоскости ослабления) призмы выпора к горизонту;

,

- расчетные значения характеристик грунтов по поверхности сдвига (выпора);

- коэффициент условий работы, принимаемый в зависимости от соотношения модулей деформации грунта упорного массива (обратной засыпки)

и основания

:
при

;
при

;
при

определяется линейной интерполяцией;

- давление покоя, определяемое по формуле

, (21)
где

- удельный вес грунта упорного массива (обратной засыпки);

- коэффициент поперечной деформации грунта упорного массива;
h - высота упора на контакте с сооружением или откосом.
Примечания. 1. Сопротивление упорного массива следует учитывать только в случае обеспечения плотного контакта сооружения или откоса с упорным массивом.
2. Силу

следует принимать горизонтальной независимо от наклона упорной грани массива.
7.24. При расчете устойчивости сооружений и скальных откосов (склонов) по схеме сдвига с поворотом в плане следует учитывать возможное уменьшение сопротивления сдвигу
R против значений сил, устанавливаемых в предположении поступательного движения (см.
Приложение Д).
7.25. Расчеты устойчивости сооружений и скальных откосов (склонов) по схеме поперечного сдвига следует производить, как правило, расчленяя призму обрушения (сдвига) на взаимодействующие элементы.
Расчленение призмы обрушения (сдвига) на элементы производят в соответствии с характером поверхности сдвига, структурой скального массива призмы и распределением действующих на нее сил. В пределах каждого элемента по поверхности сдвига характеристики прочности скального грунта принимают постоянными.
Выбор направлений расчленения призмы обрушения на элементы и расчетного метода следует производить с учетом геологического строения массива. При наличии пересекающих призму обрушения (сдвига) поверхностей ослабления, по которым возможно достижение предельного равновесия призмы, плоскости раздела между элементами следует располагать по этим поверхностям ослабления.
Расчет устойчивости сооружений и скальных откосов (склонов) по схеме поперечного сдвига в условиях плоской задачи следует, как правило, производить в зависимости от выбранного направления расчленения призмы обрушения (сдвига) на взаимодействующие элементы по любому расчетному методу, удовлетворяющему условиям равновесия в предельном состоянии как для каждого расчетного элемента (группы элементов) призмы, так и для всей призмы обрушения (сдвига) в целом. Допускается использовать для расчетов устойчивости методы, не отвечающие в полной мере вышеприведенным условиям, однако данные методы должны быть апробированы практикой и использоваться в тех пределах, когда результаты расчетов по ним согласуются с результатами расчетов устойчивости по методам, удовлетворяющим всем условиям равновесия в предельном состоянии.
7.26. Для оценки устойчивости сооружений на скальных основаниях и скальных откосов, относимых к I классу, при сложных инженерно-геологических условиях в дополнение к расчету, как правило, следует проводить исследования на моделях.
При экспериментальных исследованиях на моделях оснований сооружений или скальных склонов должны в соответствии с механическими условиями подобия (пород натуры и материала модели) воспроизводиться также наиболее важные особенности натурного массива: структура скального массива, его неоднородность и анизотропия деформационных и прочностных свойств. В первую очередь при этом должны находить отражение потенциально опасные нарушения (трещины, разломы и т.д.) натурного массива.
7.27. Вероятностную оценку надежности системы "сооружение - скальное основание", а также скальных откосов и склонов допускается выполнять в соответствии с положениями
4.7.
| | Применение на обязательной основе раздела 8 обеспечивает соблюдение требований Федерального закона от 30.12.2009 N 384-ФЗ "Технический регламент о безопасности зданий и сооружений" (Постановление Правительства РФ от 26.12.2014 N 1521). | |
8. Фильтрационные расчеты основания
8.1. При проектировании основания гидротехнического сооружения необходимо обеспечивать фильтрационную прочность грунтов, устанавливать допустимые по технико-экономическим показателям фильтрационные расходы и противодавление фильтрующейся воды на подошву сооружения.
В зависимости от конструктивного обустройства подземного контура сооружения и гидрогеологических характеристик оснований надлежит определять:
распределение напора фильтрационного потока вдоль подземного контура сооружения в каждом из выбранных сечений (створов) расчетной области основания;
расходы и градиенты напора фильтрационного потока внутри расчетной области основания, особенно в местах сопряжений расчетных грунтовых элементов (РГЭ) с резко отличающимися фильтрационными свойствами, и на участках разгрузки потока (при высачивании на откосы, в дренажные устройства и т.п.);
силовое воздействие фильтрационного потока на массив грунта основания;
содержание в грунтовых водах в растворенном виде окислов марганца или железа в целях предотвращения разгрузки этих вод в дренажные устройства или выбора специальных дренажных конструкций, устойчивых к хемогенному кольматажу (заилению) нерастворимыми соединениями марганца или железа;
(абзац введен
Изменением N 1, утв. Приказом Минстроя России от 21.12.2017 N 1697/пр)
устойчивость к химической суффозии сцементированных гипсом грунтов и иных содержащихся в грунте водорастворимых структурообразующих минералов;
(абзац введен
Изменением N 1, утв. Приказом Минстроя России от 21.12.2017 N 1697/пр)
общую и местную фильтрационную прочность грунтов в основании, причем общую фильтрационную прочность следует оценивать лишь для нескальных грунтов основания, а местную - для всех классов грунтов;
конструкцию и характеристики дренажного и противофильтрационного обустройства основания сооружения, а также схемы размещения в нем измерительной и регистрирующей аппаратуры, с помощью которой следует контролировать параметры фильтрационных потоков (полей) и суффозионную устойчивость грунтов.
8.2. Формирование фильтрационных полей в выбранных створах основания надлежит определять путем моделирования фильтрационного потока на физических, аналоговых или численных моделях, позволяющих получать картину распределения напора и градиент - скоростные характеристики потока как в области ламинарной фильтрации, так и при необходимости - при квадратичном режиме течения фильтрующейся воды.
По результатам моделирования должна быть установлена "активная зона" основания, за пределами которой возможное изменение характеристик слагающих его грунтов существенно не повлияет на условия формирования фильтрационного поля в расчетном створе. Размеры расчетной области должны быть не меньше зоны, ограниченной радиусом "активной зоны" фильтрации: Ra ~= 2Hmax, где Hmax - максимальный напор на сооружении. В простых, поддающихся несложной схематизации, случаях допускается выполнение фильтрационных расчетов аналитическими методами.
(в ред.
Изменения N 1, утв. Приказом Минстроя России от 21.12.2017 N 1697/пр)
Расчеты и моделирование фильтрационного потока должны осуществляться на базе данных, полученных при инженерных изысканиях и достаточно полно отражающих геологическую структуру грунтового массива основания, с выделением в нем наиболее характерных по своим фильтрационным свойствам участков, попадающих в "активную зону" области фильтрации, учитывая возможное изменение этих свойств во времени (вследствие увеличения или уменьшения напряжений и деформаций в грунтовой толще основания, криогенных и микробиологических процессов, и т.п.).
8.3. При выполнении фильтрационных расчетов для грунтовых плотин необходимо учитывать дополнительное обводнение верхних мелкозернистых слоев грунтовой толщи (выше поверхности депрессии) вследствие образования в них пассивной "капиллярной каймы", непосредственно связанной с зоной полного водонасыщения и участвующей в формировании фильтрационного потока. Для этого следует использовать данные, приведенные в таблице 7.
Таблица 7
Вид грунта в зоне капиллярного водоудержания | Высота пассивного зависания "капиллярной каймы" Hк, м |
Песок среднезернистый | 0,12 - 0,35 |
Песок мелкозернистый | 0,35 - 1,0 |
Супесь | 1 - 3 |
Суглинок | 3 - 6 |
Глина легкая | 6 - 12 |
8.4. Фильтрационную прочность основания следует оценивать, сопоставляя полученные в результате моделирования характеристики фильтрационных полей (градиенты напора, скорости фильтрации) с их критическими значениями.
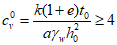
Если в основании сооружения залегают нескальные грунты, необходимо также определять общую фильтрационную прочность исходя из условия
формулы (1). При этом параметр

полагается равным осредненному градиенту напора

вдоль подземного контура сооружения, определяемому для сооружений I и II классов по методу удлиненной контурной линии (в отдельных случаях значения
Iest,m допускается определять другими приближенными методами). За параметр

принимается расчетный критический градиент напора

, численные значения которого приведены в
разделе 5.
(в ред.
Изменения N 1, утв. Приказом Минстроя России от 21.12.2017 N 1697/пр)
Коэффициенты надежности

и

следует принимать по
разделу 4 по первой группе предельных состояний. Коэффициент

в этом случае равен единице.
Абзац исключен с 22 июня 2018 года. -
Изменение N 1, утв. Приказом Минстроя России от 21.12.2017 N 1697/пр.
8.5. Местную фильтрационную прочность нескального основания, которая, в отличие от общей, обусловлена исключительно конкретными проявлениями (видами) нарушения суффозионной устойчивости грунтов, необходимо определять только в следующих областях основания:
в месте выхода (разгрузки) фильтрационного потока из толщи основания в нижний бьеф, дренажное устройство, борта и дно строительного котлована и т.п.;
(в ред.
Изменения N 1, утв. Приказом Минстроя России от 21.12.2017 N 1697/пр)
в прослойках суффозионно-неустойчивых грунтов;
в местах с большим падением напора фильтрационного потока, например при обтекании подземных преград;
на участках контакта грунтов с существенно разными фильтрационными свойствами и структурой.
Местную фильтрационную прочность нескального основания надлежит оценивать, исходя из общего условия по
формуле (1), полагая

и

равными соответственно местному градиенту напора

в рассматриваемой области основания и местному критическому градиенту напора

, определяемым согласно рекомендациям
раздела 5.
Местную фильтрационную прочность скального основания надлежит оценивать аналогичным образом исходя из
условия (1), в котором параметры

и

принимаются равными соответственно средней скорости движения воды в трещинах массива основания

и критической скорости движения воды в трещинах

, определяемыми по указаниям
раздела 5.
Коэффициенты

,

и

при оценках местной прочности принимаются такими же, как при расчетах общей фильтрационной прочности.
8.6. При выборе системы дренажного и противофильтрационного обустройства основания проектируемого сооружения необходимо учитывать инженерно-геологические и гидрологические условия участка сооружения, условия его эксплуатации и требования по охране окружающей среды в части подтопления, заболачивания прилегающей территории, активизации карстово-суффозионных процессов и т.п.
(в ред.
Изменения N 1, утв. Приказом Минстроя России от 21.12.2017 N 1697/пр)
Система дренажных и противофильтрационных мероприятий должна использоваться для предотвращения нарушения устойчивости склонов в нижних бьефах сооружений, бассейнов гидроаккумулирующих электростанций и бассейнов суточного регулирования, а также для предотвращения негативного влияния изменения гидрогеологического режима основания в процессе строительства и эксплуатации проектируемого гидротехнического сооружения (или его строительного котлована) на существующие сооружения, конструкции и инженерные коммуникации.
(в ред.
Изменения N 1, утв. Приказом Минстроя России от 21.12.2017 N 1697/пр)
8.7. Устройство противофильтрационных завес обязательно в тех случаях, когда основание сложено фильтрующими слабоводоустойчивыми и быстрорастворимыми, а также суффозионно-неустойчивыми грунтами (гипс, ангидрит, каменная соль, засоленные и загипсованные, а также сильноразнозернистые грунты и т.д.), а также в случаях необходимости предотвращения нежелательных фильтрационных потерь. При водостойких, несуффозионных грунтах устройство завесы должно быть обосновано.
(в ред.
Изменения N 1, утв. Приказом Минстроя России от 21.12.2017 N 1697/пр)
8.8. Противофильтрационные устройства (завесы, понуры, экраны) должны выполняться из малопроницаемых материалов, коэффициент фильтрации которых как минимум в 20 раз меньше коэффициента фильтрации основания. Толщина противофильтрационной завесы должна обеспечивать непревышение критического градиента, определяющего фильтрационную прочность самой завесы. На участках сопряжения завесы с подошвой сооружения в целях уменьшения градиентов напора фильтрационного потока в этом месте и дополнительного уплотнения грунта для предотвращения его суффозии в проекте следует предусматривать местное усиление завесы.
(в ред.
Изменения N 1, утв. Приказом Минстроя России от 21.12.2017 N 1697/пр)
8.9. При близком залегании слабопроницаемых грунтов противофильтрационную завесу следует, как правило, сопрягать с водоупором; при глубоком залегании водоупора рассматривается висячая завеса.
Параметры противофильтрационной завесы (глубину, длину, толщину и местоположение в основании сооружений) следует обосновывать расчетом или результатами экспериментальных исследований. Для сооружений III и IV классов вместо расчетов допускается использовать аналоги.
8.10. При проектировании скальных оснований высоких бетонных плотин следует учитывать, что под напорной гранью в процессе подъема уровня верхнего бьефа (УВБ) может возникнуть зона разуплотнения значительных размеров с разрывом противофильтрационной завесы, многократным увеличением фильтрационных расходов, а также с заметным увеличением противодавления. В связи с этим в проекте должны быть оценены размеры этих зон и предусмотрены технические и технологические решения, обеспечивающие возможность восстановления требуемой водонепроницаемости завесы - как в процессе строительства и подъема УВБ, так и в процессе эксплуатации сооружения.
8.11. В месте сопряжения противофильтрационных устройств грунтовых плотин со скальными грунтами основания или берегами в проектах следует предусматривать укладку и уплотнение грунта, устойчивого к суффозии и способного кольматировать трещины в скале.
8.12. В проектах оснований водоподпорных сооружений в качестве мероприятия по снижению противодавления следует предусматривать разного вида дренажные устройства. В скальных основаниях дренаж следует располагать главным образом со стороны напорной грани сооружения, а при недостаточной эффективности работы такого дренажа - и в средней части его подошвы.
Местоположение дренажа и его размеры следует определять исходя из требований необходимого снижения фильтрационного противодавления на подошву сооружения и обеспечения допустимых значений выходных градиентов напора, не приводящих к нарушению фильтрационной прочности грунтов основания, а в ССКЗ - с учетом теплового режима системы "сооружение - основание".
Отказ от устройства дренажа основания допускается при наличии в основании грунтов, подверженных химической или механической суффозии, наличии в грунтовых водах в растворенном виде окислов марганца или железа.
(в ред.
Изменения N 1, утв. Приказом Минстроя России от 21.12.2017 N 1697/пр)
8.13. При проектировании противофильтрационной завесы в нескальном основании следует принимать следующие критические градиенты напора:
в инъекционной завесе в гравийных и галечниковых грунтах - 7,5; в песках крупных и средней крупности - 6,0 и в мелких песках - 4,0;
в завесе (диафрагме), сооружаемой способом "стена в грунте", в грунтах с коэффициентами фильтрации до 200 м/сут, в зависимости от материала и длительности ее эксплуатации - по таблице 8, в которой также приведены характеристики материалов, используемые при расчетах механической прочности завесы.
Таблица 8
Материал завесы | Расчетные значения характеристик |
критический градиент напора Icr | предел прочности на одноосное сжатие Rc, МПа | модуль деформации E, МПа | коэффициент поперечной деформации |
Бетон | 180 | 11,5 | 22·103 | 0,20 - 0,22 |
Глиноцементобетон | 150 | 1,0 - 2,0 | 300 - 500 | 0,35 - 0,37 |
Глиноцементный раствор | 125 | 1,0 - 2,0 | 3 - 5 | 0,37 - 0,40 |
Комовая глина | 40 | - | 20 - 25 | 0,32 - 0,38 |
Заглинизированный грунт | 25 | - | 15 - 20 | 0,30 - 0,35 |
Примечание. Для временных завес критические градиенты напора допускается увеличивать на 25%. |
8.14. При проектировании противофильтрационной цементационной завесы в скальном основании следует принимать критический градиент напора

в завесе в зависимости от удельного водопоглощения в пределах завесы

по таблице 9.
Таблица 9
Удельное водопоглощение скального грунта в завесе qc, л/(мин·м2) | Критический градиент напора в завесе |
< 0,02 | 35 |
0,02 - 0,05 | 25 |
> 0,05 | 15 |
В случае, когда завеса (одна или в сочетании с другими противофильтрационными устройствами) также защищает от выщелачивания содержащиеся в основании растворимые грунты, допустимое удельное водопоглощение следует обосновывать либо расчетами, либо экспериментальными исследованиями.
Проницаемость противофильтрационной завесы должна быть меньше проницаемости грунта основания не менее чем в 10 раз.
8.15. Для предотвращения выпора грунта на участках, где фильтрационный поток с градиентами напора, близкими к единице, выходит на поверхность основания, в проекте необходимо предусматривать проницаемую пригрузку или разгрузочный дренаж. Материал пригрузки должен подбираться по принципу обратного фильтра для защиты грунта основания от контактной суффозии.
Необходимая толщина пригрузки определяется исходя из условия недопущения фильтрационного выпора грунта.
| | Применение на обязательной основе раздела 9 обеспечивает соблюдение требований Федерального закона от 30.12.2009 N 384-ФЗ "Технический регламент о безопасности зданий и сооружений" (Постановление Правительства РФ от 26.12.2014 N 1521). | |
9. Расчет местной прочности скальных оснований
9.1. Расчет местной прочности скальных оснований гидротехнических сооружений следует производить:
для установления необходимости разработки мероприятий, предотвращающих возможное нарушение противофильтрационных устройств;
для учета при разработке мероприятий по повышению прочности и устойчивости сооружений;
для учета достижения предела местной прочности при расчетах напряженно-деформированного состояния системы "сооружение - основание".
Расчет местной прочности следует производить для оснований сооружений I и II классов по предельным состояниям второй группы при основном сочетании нагрузок. При этом значения коэффициентов

и

принимают равными единице

. Коэффициент

принимается равным 0,95.
Абзац исключен с 22 июня 2018 года. -
Изменение N 1, утв. Приказом Минстроя России от 21.12.2017 N 1697/пр.
9.2. Проверку местной прочности скальных оснований следует производить по расчетным площадкам:
а) совпадающим с плоскостями, приуроченными к трещинам в массиве;
б) совпадающим с плоскостью, приуроченной к контакту "сооружение - основание" и к контактам скальной породы с укрепительными конструкциями в основании (шпонками, зубьями, решетками и т.д.);
в) не совпадающим с плоскостями, приуроченными к трещинам и к контакту "сооружение - основание".
9.3. Критериями обеспечения местной прочности по площадкам, указанным в
перечислениях а) и
б) 9.2, являются условия:
(в ред.
Изменения N 1, утв. Приказом Минстроя России от 21.12.2017 N 1697/пр)

; (22)

, (23)
где

- отношение предельных касательных напряжений на расчетной площадке к эксплуатационным;

,

- соответственно нормальное и касательное напряжения на расчетной площадке, приуроченной к плоскости трещины (контакта), от нормативных нагрузок в расчетном сочетании;

,

- соответственно максимальное и минимальное главные напряжения от тех же нагрузок;

- острый угол между расчетной площадкой, приуроченной к трещине (контакту), и направлением главного напряжения

;

,

- расчетные характеристики для расчетных площадок, приуроченных к трещинам (контакту);

- расчетное значение предела прочности массива скального грунта на одноосное растяжение, определяемое в соответствии с требованиями
5.35.
9.4. Критериями обеспечения местной прочности по площадкам, указанным в последнем абзаце
9.2 в, являются условия

; (24)

, (25)
где

,

- расчетные характеристики для расчетных площадок, не приуроченных к трещинам и контакту "сооружение - основание".
9.5.
Условия (22) и
(24) при оценках возможности разуплотнения массива следует проверять во всех указанных в
9.1 случаях, а
условия (23) и
(25) при оценках возможности пластических деформаций - в этих же случаях, но только при

.
Условия (23) и
(25) следует проверять лишь для учета нарушений прочности основания при расчетах его напряженно-деформированного состояния и при разработке мероприятий по повышению прочности и устойчивости сооружения.
При оценке надежности противофильтрационных устройств проверка выполнения условия
формулы (22) (если

) при оценке разуплотнения основания для площадок, совпадающих с плоскостью завес, не производится.
При невыполнении приведенных выше критериев местной прочности необходимо определить очертания зон разуплотнения и пластических деформаций.
Зона разуплотнения не должна пересекать цементационную завесу и дренаж. В противном случае должны быть выполнены фильтрационные расчеты в соответствии с указаниями
раздела 8 в нелинейной постановке с учетом измененного фильтрационного режима.
Зона пластических деформаций не должна охватывать более 1/3 подошвы сооружения или потенциально опасной расчетной поверхности сдвига.
9.6. При определении напряжений

,

,

,

в
формулах (22) -
(25) следует применять вычислительные и экспериментальные методы механики сплошной среды и геомеханики.
Допускается рассматривать основание совместно с сооружением как систему линейно-деформируемых тел, на контакте между которыми выполняются условия равновесия и равенства перемещений.
При обосновании допускается схематизация системы "сооружение - основание", позволяющая решать плоскую задачу теории упругости применительно к одному или нескольким плоским сечениям. При этом поверхность основания может быть принята плоской, а тело основания - как однородным, так и состоящим из некоторого числа однородных областей либо имеющим непрерывно изменяющиеся характеристики. При необходимости следует учитывать естественный рельеф поверхности основания, пространственный характер работы системы "сооружение - основание", а также детализировать распределение механических характеристик основания.
При определении напряженного состояния основания следует учитывать выявленные анизотропные свойства грунта.
(в ред.
Изменения N 1, утв. Приказом Минстроя России от 21.12.2017 N 1697/пр)
Если при определении напряжений в некоторых областях основания одно или несколько из условий, определенных по
формулам (22) -
(25), не выполняется, то следует производить уточнение решения задачи. Такое уточнение следует выполнять с использованием нелинейной зависимости между напряжениями и деформациями или путем изменения геометрии сечения за счет исключения из рассмотрения указанных областей.
| | Применение на обязательной основе раздела 10 обеспечивает соблюдение требований Федерального закона от 30.12.2009 N 384-ФЗ "Технический регламент о безопасности зданий и сооружений" (Постановление Правительства РФ от 26.12.2014 N 1521). | |
10. Определение напряжений
10.1. Напряжения в основании сооружения необходимо определять для использования их в расчетах прочности конструкций и сооружений, устойчивости сооружений, а также в расчетах осадок, несущей способности и местной прочности оснований.
При проектировании сооружений на скальных основаниях определение контактных напряжений необходимо для обоснования проектирования противофильтрационных мероприятий и оценки фильтрационной надежности подземного контура сооружений. Расположение цементационной завесы под плотиной в области, где имеют место растягивающие напряжения, резко снижает эффективность завесы, что требует разработки специальных конструктивных решений для обеспечения надежности подземного контура сооружения.
10.1а. В целях уменьшения усилий в конструкциях или элементах сооружения при проектировании следует рассматривать возможность создания оптимального распределения контактных напряжений, предусматривая устройство выступов на подошве сооружений, уплотнения отдельных зон основания и соответствующую последовательность возведения и загружения сооружения.
(п. 10.1а введен
Изменением N 1, утв. Приказом Минстроя России от 21.12.2017 N 1697/пр)
10.1б. При определении напряжений в основаниях следует применять численные методы механики сплошных сред. При этом должны соблюдаться требования
11.4.
Контактные напряжения следует вычислять по специальным программам, реализующим аналитические решения задачи или численные методы расчета (по напряжениям в окрестности контакта), либо используя методы внецентренного сжатия коэффициентов постели, экспериментальных эпюр.
(п. 10.1б введен
Изменением N 1, утв. Приказом Минстроя России от 21.12.2017 N 1697/пр)
10.1в. При использовании численных методов допускается схематизация системы "сооружение-основание", позволяющая решать плоские задачи применительно к одному или нескольким плоским сечениям. Неоднородность расчетных сечений следует учитывать, представляя их состоящими из некоторого числа однородных областей. При необходимости пространственный характер работы системы следует учитывать с помощью экспериментальных или вычислительных методов механики сплошных сред.
Расчетную область сечения основания рекомендуется ограничивать по вертикали на глубине сжимаемого слоя
Hc, определяемой согласно
11.6.2, а по горизонтали - на расстоянии не менее
Hc от сооружения.
(п. 10.1в введен
Изменением N 1, утв. Приказом Минстроя России от 21.12.2017 N 1697/пр)
10.2. В расчетах прочности конструкции контактные напряжения для сооружений I и II классов допускается, а для сооружений III и IV классов рекомендуется определять упрощенными методами.
(в ред.
Изменения N 1, утв. Приказом Минстроя России от 21.12.2017 N 1697/пр)
10.3. В расчетах прочности сооружений при использовании эпюр контактных напряжений, полученных из решения задач теории упругости, следует рассматривать дополнительно и вторую эпюру контактных напряжений, вычисленную одним из рекомендуемых упрощенных методов. Если полученные при этом изгибающие моменты имеют разные знаки, то при расчетах прочности рекомендуется использовать оба значения, уменьшенные на 10% разности этих величин, а если одинаковые - то лишь больший изгибающий момент, также уменьшенный на указанную величину.
10.4. При определении контактных напряжений следует учитывать показатель гибкости сооружения

, определяемый:
а) при расчете сооружения по схеме плоской деформации:
в направлении длины сооружения

; (26)
в направлении ширины сооружения

; (27)
б) при расчете сооружения по схеме пространственной задачи в качестве

принимается больший из двух показателей гибкости, вычисленных по формулам (26) и (27).
В формулах (26), (27)
b, l - соответственно ширина и длина подошвы сооружения;
Ix, Iy - моменты инерции расчетных элементов сооружения;

- ширина расчетного элемента по длине подошвы сооружения, принимаемая равной 1;

- параметр, определяемый по формуле

(28)
где

,

- коэффициенты Пуассона грунта основания и материала сооружения соответственно;
E, E1 - модули деформации грунта основания и упругости материала сооружения соответственно.
(перечисление "б" в ред.
Изменения N 1, утв. Приказом Минстроя России от 21.12.2017 N 1697/пр)
В случаях, когда показатель гибкости

, контактные напряжения следует определять как для абсолютно жестких сооружений. При

контактные напряжения определяются с учетом гибкости сооружений.
10.5. Для сооружений с показателем гибкости

на однородных основаниях контактные напряжения определяют методом внецентренного сжатия, а для песчаных оснований со степенью плотности грунта

- методом экспериментальных эпюр по
Приложению И.
(в ред.
Изменения N 1, утв. Приказом Минстроя России от 21.12.2017 N 1697/пр)
При наличии на части подошвы сооружения растягивающих нормальных контактных напряжений этот участок должен быть исключен из расчетной контактной поверхности, а для оставшейся части контактные напряжения должны быть пересчитаны.
10.6. При определении контактных напряжений с учетом гибкости сооружений допускается применять метод коэффициента постели. Гибкость элементов конструкции следует определять с учетом возможности образования трещин.
10.7. При использовании методов коэффициента постели и внецентренного сжатия касательные контактные напряжения допускается принимать распределенными равномерно, а при использовании метода экспериментальных эпюр - пропорционально нормальным контактным напряжениям.
Касательные напряжения, обусловленные действием вертикальных сил, при расчетах прочности сооружений, как правило, не учитываются. При получении на участке подошвы сооружения касательных напряжений, превышающих предельные, они должны быть приняты равными предельным, а на остальных участках они должны быть соответственно откорректированы на основе расчетов.
10.8. При неоднородных основаниях с вертикальными и крутопадающими слоями в расчетах контактных напряжений допускается использовать приближенные методы, в которых контактные напряжения следует принимать пропорциональными модулям деформации грунта каждого слоя в зависимости от их размеров и эксцентриситета приложения нагрузки. В пределах каждого слоя распределение контактных напряжений принимается линейным.
10.9. При наличии в основании слоев переменной толщины или при наклонном залегании слоев в расчетах контактных напряжений используют приближенные методы, основанные на приведении расчетной схемы основания со слоями переменной толщины или при наклонном залегании слоев к схеме условного основания с вертикально расположенными слоями.
При горизонтальном расположении слоев грунта постоянной толщины неоднородность основания может не учитываться.
10.10. При определении нормальных контактных напряжений методами экспериментальных эпюр и коэффициента постели учет неоднородности основания следует производить путем сложения ординат эпюр, определенных по
10.5 и
10.6 настоящего раздела в предположении однородных оснований с ординатами дополнительной эпюры. Ординаты дополнительной эпюры следует принимать равными разности ординат эпюр, построенных для случаев неоднородного и однородного оснований с использованием метода внецентренного сжатия.
10.11. При определении напряжений необходимо учитывать конструктивные особенности сооружения, последовательность его возведения, вид основания, а при залегании в основании мерзлых грунтов или возможном его промораживании - расположение талых и мерзлых зон, а также последовательность замораживания и оттаивания.
При расчете напряжений на контакте грунта с железобетонными распластанными конструкциями гидротехнических сооружений (плитами водобоев и рисберм плотин, возводимых на нескальных основаниях, плитами доков и т.п.) рекомендуется учитывать:
понижение жесткости железобетонных конструкций с учетом образования трещин ограниченного раскрытия, регламентированного нормами проектирования бетонных и железобетонных конструкций гидротехнических сооружений;
в бетонных и железобетонных конструкциях, возводимых на скальных и нескальных основаниях, последовательность укладки бетона отдельными блоками бетонирования.
10.12 - 10.14. Исключены с 22 июня 2018 года. -
Изменение N 1, утв. Приказом Минстроя России от 21.12.2017 N 1697/пр.
| | Применение на обязательной основе раздела 11 обеспечивает соблюдение требований Федерального закона от 30.12.2009 N 384-ФЗ "Технический регламент о безопасности зданий и сооружений" (Постановление Правительства РФ от 26.12.2014 N 1521). | |
11. Расчет оснований по деформациям
11.1. Расчет оснований и грунтовых сооружений (плотин и др.) по деформациям необходимо производить с целью обоснования конструкции системы "сооружение - основание" или ее элементов, перемещения которых (осадки, горизонтальные перемещения, крены и пр.) не должны превосходить нормируемые значения, гарантирующие по этому фактору нормальные условия их эксплуатации и обеспечивающие техническую надежность и долговечность. При этом прочность и трещиностойкость конструкции должны быть подтверждены расчетом, учитывающим усилия, которые возникают при взаимодействии сооружения с основанием.
Расчет по деформациям должен производиться на основные сочетания нагрузок, с учетом характера их действия в процессе строительства и эксплуатации сооружения (последовательности и скорости возведения сооружения, графика наполнения водохранилища и т.д.). Расчеты перемещений, от которых зависят прочность и устойчивость конструкций, следует выполнять также и на особые сочетания нагрузок.
(в ред.
Изменения N 1, утв. Приказом Минстроя России от 21.12.2017 N 1697/пр)
11.2. Расчеты оснований по деформациям производят по предельным состояниям первой или второй групп (
4.5.1 и
4.5.2). Они должны включать расчетный прогноз деформаций основания и сооружения при совместной их работе и проверку выполнения
условия (1), в котором должно приниматься

и

. Здесь
S - совместная деформация основания и сооружения (осадки, горизонтальные перемещения, крены и др.),

- предельное значение совместной деформации основания и сооружения, устанавливаемые по
11.5 -
11.11.
Коэффициенты

и

принимаются в соответствии с указаниями
4.5; коэффициент

во всех случаях принимается равным единице.
Прогнозные значения деформаций S следует использовать также для анализа поведения систем "сооружение - основание" при оценках их надежности в период эксплуатации.
(в ред.
Изменения N 1, утв. Приказом Минстроя России от 21.12.2017 N 1697/пр)
11.3. Предельные значения совместной деформации основания и сооружения

устанавливают техническими условиями проектирования конкретных типов гидротехнических сооружений исходя из необходимости соблюдения:
технологических требований к деформациям сооружения, включая требования к нормальной эксплуатации оборудования;
требований к прочности, устойчивости и трещиностойкости конструкций, включая общую устойчивость сооружения.
При назначении

необходимо учитывать допускаемую разность осадок между секциями и частями сооружений, не приводящую к нарушению нормальной работы межсекционных швов, возможность перелива воды через гребень плотины, нарушения нормальной эксплуатации связанных с сооружением коммуникаций и т.п.
11.4. Значения совместной деформации

следует определять, используя расчетные методы механики сплошной среды, исходя из условий совместной работы сооружения и основания. При этом должны быть в достаточной степени учтены реальные особенности работы системы "сооружение - основание": пространственный характер деформирования, нелинейная связь между напряжениями и деформациями, последовательность возведения сооружения и приложения нагрузок, процессы консолидации и ползучести.
| | ИС МЕГАНОРМ: примечание. В официальном тексте документа, видимо, допущена опечатка: пункт 11.14 отсутствует. | |
При этом определение деформаций сооружения и основания в зависимости от их класса и этапа проектирования следует производить как упрощенными (инженерными) методами расчета, регламентированными в
11.5 - 11.14, так и вычислительными методами, базирующимися на более детальной схематизации системы "сооружение - основание" и на использовании более совершенных математических моделей грунта (нелинейных, упругопластических, в том числе учитывающих многофазность, реологические свойства грунтов и т.д.).
Значения деформаций сооружений и их оснований в период эксплуатации следует определять с учетом развития процессов консолидации и ползучести грунтов, а в криолитозоне - также процессов промерзания и оттаивания грунтов. При этом надлежит использовать указанные выше вычислительные методы. На предварительных стадиях проектирования и для сооружений III и IV классов определение нестабилизированных значений деформации допускается производить упрощенными (инженерными) методами, например на основе решений одномерных задач консолидации и ползучести.
В тех случаях, когда для определения деформаций обязательным является использование нескольких указанных методов (
11.6.1 и
11.7.1),
условие (1) должно выполняться для всех этих случаев.
11.5. Расчетная схема системы "сооружение - основание" должна разрабатываться с учетом факторов, определяющих напряженное состояние и деформации основания и сооружения (конструктивных особенностей сооружения, технологии его возведения, характера сложения и свойств грунтов основания, возможности их изменения в процессе строительства и эксплуатации сооружения, характера внешних воздействий и т.п.).
Расчетные модели системы "сооружение - основание" должны учитывать визуальное нарушение контакта между ними.
Расчеты деформаций системы "сооружение - основание" в необходимых случаях следует производить для условий пространственной задачи. Для сооружений, длина которых превышает ширину более чем в три раза, расчеты допускается производить для условий плоской деформации. В случае, когда ширина сооружения превышает толщину сжимаемой толщи

, определенную по указаниям
11.6.2 настоящего раздела, в два и более раза, допускается расчет осадок производить для условия одномерной (компрессионной) задачи.
11.6. Определение осадок сооружений
11.6.1. Определение суммарных осадок
s в зависимости от класса и этапа проектирования сооружений, расположенных на нескальных основаниях, следует производить методом послойного суммирования и вычислительными методами в соответствии с
11.4.
На предварительных стадиях проектирования (для сооружений III и IV классов - на всех стадиях проектирования) для определения значений
s допускается ограничиться методом послойного суммирования в пределах сжимаемого слоя

по формуле

, (29)
где

- дополнительное вертикальное напряжение в середине
i-го слоя на глубине

основания от нагрузок и пригрузок (соседние сооружения, обратные засыпки и пр.) по вертикали, проходящей через центр подошвы сооружения, определяемое в соответствии с
Приложением К;
| | ИС МЕГАНОРМ: примечание. Обозначение напряжения дано в соответствии с официальным текстом документа. | |

- напряжение в середине
i-го слоя на глубине
z от бытового давления на отметке подошвы сооружения;

- удельный вес грунта, расположенного выше подошвы сооружения;

- толщина
i-го слоя грунта, принимаемая не более 0,2
b (здесь
b - ширина подошвы сооружения);
Ep,i - модуль деформации
i-го слоя грунта, определяемый по компрессионной кривой на участке первичного нагружения в соответствии с
Приложением В;
(в ред.
Изменения N 1, утв. Приказом Минстроя России от 21.12.2017 N 1697/пр)
Es,i - модуль деформации i-го слоя грунта, определяемый аналогично по ветви повторного нагружения;
(в ред.
Изменения N 1, утв. Приказом Минстроя России от 21.12.2017 N 1697/пр)
n - число слоев, на которое разбита сжимаемая толща основания

;
При среднем давлении под подошвой сооружения
P больше расчетного сопротивления грунта основания
R, определенного по
СП 22.13330, осадку следует определять численными методами, учитывающими упругопластический характер деформирования грунтов, пространственное напряженное состояние, последовательность возведения сооружения. Для приближенных расчетов осадку допускается определять в соответствии с указаниями
Приложения Л.
(в ред.
Изменения N 1, утв. Приказом Минстроя России от 21.12.2017 N 1697/пр)
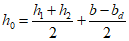
11.6.2. Расчетная глубина сжимаемого слоя основания

принимается из условия

, (30)
где

- вертикальные напряжения от внешней нагрузки на нижней границе сжимаемой толщи грунта (суммарные напряжения от сооружения, соседних зданий и сооружений, от боковых пригрузок и т.д., возникающие после начала возведения сооружений);

- вертикальные напряжения в грунте до строительства сооружения.
(в ред.
Изменения N 1, утв. Приказом Минстроя России от 21.12.2017 N 1697/пр)
При расположении указанной нижней границы слоя в грунте с
E < 5 МПа или при залегании такого грунта непосредственно ниже этой границы он включается в сжимаемую толщу. Нижнюю границу сжимаемого слоя в этом грунте следует определять исходя из условия

.
При залегании грунтов с модулем деформации
E > 200 МПа в пределах

глубина сжимаемой толщи ограничивается кровлей этого грунта.
Значения напряжений должны определяться с учетом фильтрационных сил и взвешивающего действия воды ниже уровня грунтовых вод.
11.6.3. Нестабилизированная осадка

к моменту времени
t определяется по формуле

, (31)
где

,

- соответственно степень первичной и вторичной консолидации грунта;

,

- параметры ползучести грунта, которые, как правило, должны определяться по результатам компрессионных испытаний грунта по дренированной схеме;
s - конечная осадка, определяемая в соответствии с
11.6.1.
Степень первичной консолидации

определяется по решениям одномерной, плоской или пространственной задач консолидации. Для сооружений III и IV классов

допускается определять согласно
Приложению М. В случаях, когда поровое давление можно не учитывать, следует принимать

. Необходимость учета порового давления определяется согласно
7.15.
11.6.4. Степень вторичной консолидации

определяется по решениям одномерной, плоской или пространственной задач с учетом свойств ползучести грунта. Для сооружений III и IV классов допускается определять

по формуле

. (32)
11.7. Расчет крена сооружений на нескальных основаниях
11.7.1. Определение суммарных кренов
i в зависимости от класса и этапа проектирования сооружений, расположенных на нескальных основаниях, должно производиться как упрощенными методами расчета (см.
11.10 и
11.11), так и вычислительными методами. На предварительных стадиях проектирования (для сооружений III и IV классов - на всех стадиях проектирования) для определения значений
i (при достаточно однородных или горизонтально-слоистых основаниях) допускается ограничиться использованием упрощенных методов расчета. При существенно неоднородных основаниях определение суммарного крена должно выполняться только вычислительными методами, с учетом влияния пригрузок и соседних фундаментов.
11.7.2. Крен сооружений с прямоугольной подошвой, вызванный внецентренным приложением вертикальной нагрузки в пределах ширины сооружения, в случае однородного и горизонтально-слоистого основания без учета фильтрационных сил допускается определять:
а) в направлении большей стороны подошвы сооружения по формуле

; (33)
б) в направлении меньшей стороны подошвы сооружения по формуле

, (34)
где

,

- углы крена сооружения;

,

- безразмерные коэффициенты, определяемые по
рисунку 1;

,

- моменты, действующие в вертикальной плоскости, параллельной соответственно большей и меньшей сторонам прямоугольной подошвы;
l, b - соответственно длина и ширина подошвы сооружения;

,

- коэффициент поперечной деформации и модуль деформации грунта, определяемые в соответствии с
Приложением В.
(в ред.
Изменения N 1, утв. Приказом Минстроя России от 21.12.2017 N 1697/пр)
Рисунок 1. Графики для определения коэффициентов

и

Минстроя России от 21.12.2017 N 1697/пр)
11.7.3. Определение крена сооружения от пригрузки основания вне подошвы сооружения следует производить по формуле

, (35)
b - размер подошвы сооружения, вдоль которой происходит крен;
2c - ширина полосы пригрузки.
Рисунок 2. Схема к определению крена
сооружения от пригрузки
Пригрузку допускается аппроксимировать прямоугольной, треугольной или трапецеидальной эпюрой в зависимости от формы засыпаемого котлована.
11.8. Расчет горизонтальных перемещений сооружений на нескальных основаниях и элементов сооружения, воспринимающих горизонтальную нагрузку (например, подпорные стены, здания ГЭС, анкерные устройства), следует производить вычислительными методами, учитывающими развитие областей пластических деформаций, в соответствии с указаниями
11.4.
Для сооружений III и IV классов горизонтальные перемещения допускается определять упрощенными методами по указаниям
Приложения Н (для конечных горизонтальных перемещений).
11.9. Для анкерных устройств и других элементов сооружения, от перемещения которых зависят его прочность и устойчивость, расчеты горизонтальных перемещений выполняются при характеристиках грунта и нагрузках, соответствующих предельным состояниям первой группы.
11.10. Нестабилизированные горизонтальные перемещения сооружений

к моменту времени
t следует определять по формуле

, (36)
u - конечное (стабилизированное) перемещение сооружения, определяемое по
Приложению Н.
11.11. Предельные горизонтальные перемещения сооружения

не должны быть более

, где

- горизонтальное перемещение сооружения, соответствующее достижению предельного равновесия системы "сооружение - основание" по плоскому сдвигу и определяемое по формуле

, (37)
где

- предельное перемещение штампа;

- площадь штампа;
A - площадь фундамента сооружения;
| | Применение на обязательной основе раздела 12 обеспечивает соблюдение требований Федерального закона от 30.12.2009 N 384-ФЗ "Технический регламент о безопасности зданий и сооружений" (Постановление Правительства РФ от 26.12.2014 N 1521). | |
12. Контроль качества подготовки оснований ГТС
12.1. Возведение гидротехнического сооружения разрешается только после подготовки основания (и береговых примыканий), выполненной в соответствии с проектом и принятой комиссией по акту.
(в ред.
Изменения N 1, утв. Приказом Минстроя России от 21.12.2017 N 1697/пр)
12.2. Контроль качества подготовки оснований (контроль) в процессе строительства проводится в рамках строительного контроля, осуществляемого с целью соблюдения соответствия технологии и качества выполняемых работ требованиям проекта производства работ.
12.3. Контроль производства и приемка готовых работ проводятся совместно представителями заказчика, проектной и строительной организаций.
12.4. Проектная организация по договору с заказчиком создает группу авторского надзора и организует ее работу. Авторский надзор должен требовать обеспечения соответствия выполненных на объекте работ рабочей документации. Все отступления от проектных решений и указания об их устранении фиксируются в журнале авторского надзора.
12.5. Строительная организация создает службу геотехнического контроля, в задачи которой входят, в частности, наблюдения за технологическим процессом, опробование подготовленного основания, определение характеристик грунтов и проверка его соответствия требованиям проекта. Все наблюдения и результаты опробования заносятся в соответствующие журналы геотехконтроля.
(в ред.
Изменения N 1, утв. Приказом Минстроя России от 21.12.2017 N 1697/пр)
12.6. Контроль оформляется как контроль скрытых работ и по его итогам составляется документ (акт) об их приемке и пригодности обследованного основания или его участка к выполнению последующих работ. Необходимым приложением к акту приемки является документация по выполненным инженерно-геологическим изысканиям и исполнительным съемкам, в которой указаны фактические отметки поверхности и границы основания (или его участка) в плане.
(в ред.
Изменения N 1, утв. Приказом Минстроя России от 21.12.2017 N 1697/пр)
Контроль качества подготовки оснований,
сложенных нескальными грунтами
12.7. Контроль качества оснований, сложенных нескальными грунтами, должен включать:
наблюдение за соблюдением принятой в проекте технологии подготовки основания;
отбор проб и определение характеристик грунтов;
проверку соответствия показателей физико-механических характеристик грунтов основания их проектным значениям.
12.8. Исключен с 22 июня 2018 года. -
Изменение N 1, утв. Приказом Минстроя России от 21.12.2017 N 1697/пр.
12.9. Частота (количество проб на 100 м2 основания) и глубина опробования назначается проектной организацией. Для всех отобранных проб связных грунтов обязательными являются определения плотности, влажности и гранулометрического состава, а для несвязных грунтов - дополнительно к указанным характеристикам необходимо определять степень плотности. Для всех проб (либо для ограниченного количества проб) может быть назначено определение и других физических и механических характеристик.
Для каждой точки опробования должна выполняться планово-высотная геодезическая привязка.
12.10. Все наблюдения и результаты лабораторных определений, полученные при геотехническом контроле, должны служить для оценки соответствия качества основания требованиям проекта. Необходимым условием приемки основания является соответствие величин определяемых характеристик контрольным значениям.
12.11. Оценка качества подготовки основания производится путем сравнения фактических отметок его поверхности и показателей свойств грунтов с проектными значениями.
12.12. Приемка основания намывного сооружения (или его участка) должна установить степень соответствия качества основания требованиям проекта:
по выполнению вскрышных работ и соответствию фактических отметок, определяемых геодезической съемкой, проектным;
по физико-механическим характеристикам проб грунта, отобранного из основания (включая грунт, уложенный в месте перебора и заменяющий некачественный грунт).
Отбор проб производится по контрольным поперечникам и створам, принятым для контроля намытого грунта, а также в характерных местах между поперечниками при наличии, например, слабых грунтов.
12.13. При производстве работ в зимний период необходимо вести наблюдения (с фиксацией в журнале наблюдений) за состоянием и температурой грунта основания, температурой воздуха, скоростью ветра, атмосферными осадками и толщиной промороженного слоя грунта.
12.14. При контроле качества оснований ГТС, расположенных в северной строительно-климатической зоне, следует обращать внимание на характер и величину льдистости и заторфованности для несвязных грунтов, а для связных грунтов, кроме того, и на величину засоленности.
Контроль качества подготовки оснований,
сложенных скальными грунтами
12.15. При вскрытии котлована в скальных породах следует контролировать состояние пород, в том числе и геофизическими методами, фиксируя наличие в них трещин (с заполнителем и без него), зон дробления, сбросов и сдвигов и т.п.
12.16. Противофильтрационные мероприятия на контакте между суглинистым ядром или экраном плотин и скальным основанием (расчистка и заделка крупных трещин бетоном, применение площадной цементации, набрызг-бетона, устройство специальных локальных преград трещин и др.) должны выполняться согласно рабочему проекту скального основания с учетом детального инженерно-геологического обоснования. Основание под укладку противофильтрационного устройства плотины следует принимать по участкам (по сетке квадратов).
12.17. Контроль качества подготовки скальных оснований бетонных сооружений должен включать проверку состояния поверхности, отсутствия в породе незаделанных трещин, каверн и т.п., зарисовку трещин в скале перед бетонированием.
12.18. При контроле качества скального основания сооружений, расположенных в северной строительно-климатической зоне, следует обращать внимание на степень выветрелости скалы, ширину раскрытия трещин и степень их заполнения мелкозернистыми грунтами, льдом, льдосодержащим материалом (лед в виде цемента, шлиров).
12.19. Контроль и оценка качества подготовки скальных и грунтовых оснований должны выполняться с участием инженера-геолога, входящего в группу авторского надзора.
Контроль строительного водопонижения
12.20. Строительное водопонижение применяется при производстве земляных работ в процессе возведения гидротехнических сооружений, устройства подземных выработок, коммуникаций, а также при других работах в водонасыщенных грунтах.
12.21. Задачей строительного водопонижения является создание и поддержание в течение строительного периода депрессионной воронки в водоносных грунтах, где устраиваются котлованы, а также снятие избыточного напора в подстилающих водоносных грунтах, отделенных от подошвы котлована водоупором.
12.22. На строительное водопонижение должен быть составлен проект производства работ, в который должны быть включены следующие материалы, необходимые для службы контроля:
строительный генеральный план системы строительного водопонижения, где нанесены контуры будущего сооружения и геологические разрезы с указанием фильтрационных свойств грунтов;
программа ведения гидрогеологических и геодезических наблюдений в период строительства.
12.23. В процессе производства работ следует проверять:
соблюдение проектных размеров скважин;
гранулометрический состав обсыпок фильтров водопонижающих скважин в соответствии с принятым в проекте производства работ;
установку фильтровых колонн;
гранулометрический состав и правильность укладки фильтров на откосах котлованов согласно проекту производства работ по водопонижению в неустойчивых (суффозионных) грунтах, а также при открытом водоотливе;
состояние откосов и дна котлована, что должно проводиться путем ежедневного визуального осмотра, а также с учетом анализа гидрогеологических и геодезических наблюдений;
состояние территории и сооружений, находящихся в зоне депрессионной воронки.
Замеченные изменения должны отмечаться в журнале производства работ. О нарушениях следует сообщать проектной организации, заказчику и главному инженеру строительного подразделения для незамедлительного принятия соответствующих мер по их устранению.
12.24. Служба геотехнического контроля должна участвовать в приемке в эксплуатацию строительного водопонижения, а также при его ликвидации.
Служба геотехнического контроля должна проводить наблюдения за расходом откачиваемой воды, снижением уровней (напоров) подземных вод на прилегающей территории, изменением химического состава, температурой откачиваемой воды, количеством выносимых водой твердых частиц.
Полученные данные наблюдений должны фиксироваться в журналах, где также следует отмечать наблюдающиеся во времени тенденции, выполнять сравнение фактических значений с критериальными показателями состояния основания (если данные показатели установлены по замеряемому параметру).
(абзац введен
Изменением N 1, утв. Приказом Минстроя России от 21.12.2017 N 1697/пр)
12.25. Служба геотехнического контроля должна проверять установку контрольно-измерительной аппаратуры, предусмотренную в проекте КИА. В состав КИА должны входить:
пьезометры для определения скорости понижения грунтовых вод и положения депрессионной поверхности в период эксплуатации;
(в ред.
Изменения N 1, утв. Приказом Минстроя России от 21.12.2017 N 1697/пр)
реперы и марки для определения возможных деформаций территории и сооружений, находящихся в зоне влияния водопонижения;
другое измерительное оборудование, необходимое для эксплуатации систем водопонижения (лотки для замера расходов воды, шаблоны для определения изменений контуров откосов и т.п.).
Контроль качества работ по укреплению оснований
12.26. При проведении специальных видов работ по укреплению оснований гидротехнических сооружений с помощью цементации, устройства льдогрунтовых завес и траншейных стенок необходимо проводить контроль качества выполненных работ.
12.27. В процессе цементации необходимо постоянно осуществлять контроль качества закрепления грунта. При этом следует определять степень пропитки грунта раствором, состояние его в порах, а также остаточную пористость, однородность закрепления и коэффициент фильтрации упрочненного (уплотненного) грунта.
Комплекс исследований качества закрепления грунта выполняют либо непосредственно на закрепляемом участке (определяют осадку штампа, изучают структуру закрепленного грунта по шурфам и др.), либо в лаборатории на образцах (монолитность, прочность).
Водопроницаемость закрепленного грунта определяют нагнетанием воды в контрольную скважину.
Если прочность закрепленного грунта окажется менее 90% установленной проектом, а удельное водопоглощение - более 110% проектной величины, качество закрепления грунта следует считать неудовлетворительным и необходимо провести дополнительное укрепление.
12.28. При производстве работ необходимо представить следующую документацию:
журнал по цементации, в который заносят данные по режиму нагнетания, составу смеси, концентрации и расходу раствора;
журнал лабораторных испытаний материалов;
журнал и акты контрольных испытаний зацементированного грунта;
журнал наблюдений за фильтрацией и положением уровней воды в пьезометрах;
исполнительный профиль по осям закрепленного массива;
план расположения скважин.
12.29. При создании льдогрунтовой завесы замораживающая система может быть сдана в эксплуатацию лишь после ее испытаний, во время которых проверяют работу всех узлов замораживающей станции, прочность и водонепроницаемость магистральных трубопроводов и замораживающих колонок, а также работу запорных устройств. По результатам испытаний надлежит составить акт.
12.30. Все наблюдения за режимами и показания измерительных и регистрирующих приборов следует заносить в журнал, который является основным первичным документом по эксплуатации системы.
В журнале необходимо регистрировать:
температуру теплоносителя в магистральных трубопроводах и колонках;
показания водомеров и манометров, установленных на главных магистралях и отдельных колонках.
12.31. При нормальной работе замораживающих колонок разница между температурами теплоносителя в питательной и отводящей трубах в первые 5 - 10 сут замораживания должна составлять 4 - 6 °C, затем постепенно снижаться до 2 - 3 °C, а к концу активного замораживания снижаться до 1 °C. Отклонение от этого режима указывает на засорение системы питания колонок.
12.32. Для контроля над распределением теплоносителя по отдельным участкам замораживания на каждом из параллельно подключенных распределителей устанавливают дифференциальные манометры с диафрагмами.
12.33. Контроль температуры грунта в процессе его замораживания следует осуществлять через контрольные термометрические скважины, которые располагают между рабочими скважинами и по контуру будущей льдогрунтовой стенки в соответствии с проектом, объединенные в группы на типовых и аномальных участках завесы с расстоянием между группами 15 - 20 м.
12.34. Температуру грунта в термометрических скважинах надлежит измерять термометрами сопротивления или терморезисторами, применение которых позволяет быстро и с одной измерительной станции определить температуру грунта в радиусе 200 - 250 м на разных глубинах и произвести автоматически ее запись. Замеры температуры в первые 10 - 15 дней замораживания следует осуществлять 2 раза в сутки, по истечении этого срока - 1 раз в сутки через каждые 5 м по глубине, а при слоистом разнородном строении массива - в каждом слое.
12.35. Контроль качества устройства противофильтрационных и несущих стенок, устроенных траншейным способом, необходимо осуществлять пооперационно, с составлением акта на скрытые работы на каждую операцию.
12.36. В процессе работ требуется:
вести систематический контроль качества бентонитового раствора;
проверять исходный бентонитовый материал при поступлении его на стройку;
подбирать в лаборатории состав бентонитового раствора и контролировать стабильность параметров этого раствора (плотность, вязкость, водоотдача и др.) как при приготовлении и выдаче его на растворном узле, так и в местах его использования.
Для этого на всех участках следует брать пробы раствора и производить их лабораторный анализ.
При разработке траншей следует вести непрерывное наблюдение за уровнем раствора и уровнем грунтовых вод, поскольку снижение первого из них или повышение второго может привести к обрушению откосов.
12.37. Исполнитель работ обязан:
вести подбор материалов для заполнения траншей и скважин;
определять их гранулометрический состав, пределы пластичности, влажность, необходимую вязкость раствора, прочностные и противофильтрационные свойства;
проверять загрязнение раствора, полноту пропитки бентонитом вынутого из траншеи грунта в случае, если он предназначается для использования в виде заполнителя, а также наличие в нем камней, линз проницаемого грунта и др.
Контроль должен вестись непрерывно как при приготовлении смеси, так и при ее укладке под бентонитовый раствор.
| | Применение на обязательной основе раздела 13 обеспечивает соблюдение требований Федерального закона от 30.12.2009 N 384-ФЗ "Технический регламент о безопасности зданий и сооружений" (Постановление Правительства РФ от 26.12.2014 N 1521). | |
13. Наблюдения за поведением оснований
в процессе эксплуатации
Цели и задачи наблюдений за поведением оснований
13.1. Наблюдения за поведением оснований в процессе эксплуатации следует проводить на сооружениях I и II классов, а при сложных инженерно-геологических условиях также на сооружениях III и IV классов, на протяжении всего периода эксплуатации гидротехнических объектов. Эти наблюдения должны обеспечить количественные оценки изменения состава, строения и свойств грунтов отдельных участков, зон основания в пространстве и во времени.
13.2. Главной целью натурных наблюдений является обеспечение безопасной эксплуатации сооружений путем своевременного выявления опасного развития процессов взаимодействия сооружений с природной средой, а также выявления не прогнозированных процессов и явлений для оперативного выполнения предупреждающих и защитных мероприятий. В процессе наблюдений проводятся:
оценка изменений инженерно-геологических условий за период строительства и эксплуатации гидроузла, включая изменения рельефа, геологического строения, гидрогеологических условий, состава, строения и свойств грунтов, активности инженерно-геологических процессов;
установление причин осадок, просадок, смещений, деформаций, трещинообразования, фильтрационных расходов и других непроектных ситуаций;
качественный и количественный прогноз изменения во времени и в пространстве техноприродных процессов с оценкой вероятности аварийных ситуаций и связанных с этим ущербов;
разработка мер по предотвращению дальнейшего развития негативных процессов в основании, восстановлению условий нормальной его работы, обоснованию защитных мероприятий.
13.3. В задачи наблюдений должны входить:
выявление и оконтуривание зон влияния опасных природных процессов;
оценка изменений состояния и свойств грунтов основания (набухания, протаивания, промерзания, разуплотнения, трещинообразования), уровенного, температурного и гидрохимического режима подземных вод;
фиксирование динамики развития опасных инженерно-геологических (техноприродных) процессов, при которых в основании изменяется какая-либо характеристика состояния или свойства грунтов (разуплотнение, трещинообразование, оползни, обвалы, солифлюкция, сели, геодинамические и криогенные процессы, подтопление, переработка берегов, выветривание и др.);
оценка изменений глубин сезонного промерзания и протаивания грунтов;
выявление направлений, периодичности, сезонности изменения наблюдаемой характеристики (например, открытия или смыкания трещин);
(в ред.
Изменения N 1, утв. Приказом Минстроя России от 21.12.2017 N 1697/пр)
оценка изменения активной зоны под сооружением с оценкой ее мощности и послойным (или поблочным) определением изменений характеристик свойств грунтов при вариациях УВБ и т.д.
На гидротехнических сооружениях I класса, расположенных в районах с сейсмичностью 7 баллов и выше, и на сооружениях II класса, расположенных в районах с сейсмичностью 8 баллов и выше, необходимо вести динамический паспорт сооружений и проводить специальные наблюдения и испытания в соответствии с
ГОСТ Р 22.0.01 и
ГОСТ Р 22.1.02.
13.4. Наблюдения за поведением основания должны быть организованы на основе материалов инженерных изысканий с начала их возведения и продолжаться в течение всего времени строительства и эксплуатации.
В процессе строительства контроль осуществляется с помощью закладываемой КИА (датчиков порового давления, температурных терморезисторов, датчиков изменения контактных напряжений и т.п.).
13.5. Наблюдения следует проводить на характерных, специально оборудованных пунктах наблюдательной сети.
Задачи, объем и периодичность наблюдений, состав сети первоначально устанавливаются проектом и в дальнейшем могут быть изменены на основании результатов наблюдений, в зависимости от состояния гидротехнических сооружений. Эти изменения согласовываются с проектной организацией, которая выпускала проект сооружения.
13.6. Для каждого напорного гидротехнического сооружения в местных производственных инструкциях должны быть приведены разработанные проектной организацией предельно допустимые значения диагностических показателей состояния и свойств основания, которые могут уточняться на основе результатов проведенных наблюдений.
13.7. Для повышения оперативности и достоверности наблюдений за поведением основания в процессе эксплуатации рекомендуется использовать автоматизированные системы измерений, включающие современные ЭВМ. Уровень автоматизации определяется объемом КИА и условиями эксплуатации.
13.8. При проведении наблюдений за поведением оснований ГТС необходимо соблюдать следующие требования:
регистрировать уровни бьефов и среднесуточную температуру воздуха в створе гидроузла ежедневно;
обеспечить достаточную частоту снятия отсчетов с приборов КИА в зависимости от интенсивности изменения нагрузок и воздействий. При высокой скорости наполнения и опорожнения водохранилища, резких температурных изменениях частота отсчетов датчиков, откликающихся на эти изменения, должна быть выше, чем в период медленно изменяющихся воздействий;
наблюдения за параметрами, связанными между собой причинно-следственными зависимостями (УВБ - пьезометрические уровни, противодавление - фильтрационный расход и т.д.) должны выполняться в течение как можно более короткого временного интервала;
(абзац введен
Изменением N 1, утв. Приказом Минстроя России от 21.12.2017 N 1697/пр)
обеспечить достоверность показаний КИА и достаточную квалификацию специалистов.
Наблюдения должны проводиться за:
деформациями основания и раскрытием трещин на контакте с сооружениями;
противодавлением под сооружением;
величиной фильтрационных расходов;
состоянием бортовых примыканий.
13.9. Проект натурных наблюдений (мониторинга) гидротехнических сооружений должен разрабатываться специализированной организацией, имеющей соответствующие допуски на проведение данного вида работ.
Состав и объем натурных наблюдений за основаниями ГТС в общем случае следует назначать в зависимости от класса сооружения, его конструктивных особенностей, инженерно-геологических, климатических, сейсмических условий, а также условий возведения и эксплуатации.
Регулярные инструментальные и визуальные натурные наблюдения за основаниями гидротехнических сооружений должны проводиться в режиме мониторинга в сроки и с периодичностью, определяемыми программой наблюдений.
В состав инструментальных натурных наблюдений должны быть включены все наблюдения за основанием конкретного сооружения в соответствии с перечнем диагностических показателей, характеризующих его работу и техническое состояние, контролируемые значения которых могут измеряться стационарной КИА и (или) переносными приборами.
Состав и объем натурных наблюдений за основаниями сооружений и природной средой в зоне взаимодействия с сооружением определяются в проекте мониторинга на основании сценариев возникновения чрезвычайных и аварийных ситуаций с целью своевременного их предотвращения.
13.10. Натурными наблюдениями за основаниями бетонных и железобетонных сооружений необходимо оценивать:
напряженно-деформированное состояние элементов основания;
разуплотнение скального основания в зоне контакта с подошвой плотины;
раскрытие тектонических трещин и трещин отдельностей в скальном основании;
общие и относительные перемещения основания;
фильтрационный режим основания и береговых массивов сопряжений;
температурный режим основания, водохранилища;
вибрационные нагрузки от работы агрегатов и водопропускных устройств.
Натурными наблюдениями за основаниями грунтовых сооружений (плотин и дамб) необходимо оценивать:
фильтрационный режим основания, береговых примыканий;
общие и относительные осадки и перемещения;
поровое давление в глинистых грунтах;
фильтрационную прочность грунтов основания и береговых примыканий;
температурный режим, основания, берегов и водохранилища (в криолитозоне);
напряженно-деформированное состояние;
выявление и оценку выходов фильтрации в основании и берегах;
регистрацию и оценку очагов фильтрационно-суффозионных выносов грунта из основания, береговых и пойменных массивов, примыкающих к сооружениям;
контроль за работой и состоянием дренажей, водоотводящих выпусков, канав и кюветов.
Контрольно-измерительная аппаратура
13.11. Оснащение оснований ГТС на период их эксплуатации контрольно- измерительной аппаратурой должно осуществляться, главным образом, в период их строительства по специальному проекту натурных наблюдений (мониторинга).
В состав КИА должны включаться измерительные приборы (датчики, преобразователи) серийного (промышленного) типа, прошедшие метрологическую аттестацию и сертификацию, удовлетворяющие требованиям по точности и диапазону измерений, долговременной стабильности.
Требуется, по возможности, предусматривать периодическое выполнение вручную контрольных замеров тех параметров, регистрация значений которых проводится автоматически путем опроса приборов КИА.
(абзац введен
Изменением N 1, утв. Приказом Минстроя России от 21.12.2017 N 1697/пр)
В проекте инструментальных натурных наблюдений должны быть предусмотрены меры по защите от повреждений КИА, кабельных линий от установленных в сооружение измерительных приборов и измерительных пультов, а также необходимые меры по обеспечению безопасного производства работ при проведении измерений.
В качестве измерительных устройств, не требующих метрологической аттестации, допускается использовать в системе КИА приборы непромышленного изготовления, прошедшие широкую апробацию на практике (трубные пьезометры, механические щелемеры, геодезические марки и реперы, ленты, рейки и т.п.).
Для обеспечения достоверности показаний КИА, не требующей метрологической аттестации, необходимо проводить периодические проверки ее работоспособности.
(абзац введен
Изменением N 1, утв. Приказом Минстроя России от 21.12.2017 N 1697/пр)
13.12. Контрольно-измерительная аппаратура в основании гидротехнического сооружения должна быть установлена в наиболее "чувствительных", характерных по реакции к нагрузкам и воздействиям зонах, в которых измеренные величины соответствующего контролируемого диагностического показателя являются основой для расчета критериев безопасности основания.
При назначении номенклатуры и количества КИА в основаниях должны быть удовлетворены требования по необходимой представительности, достоверности и сравнимости результатов инструментальных наблюдений.
Приборы и устройства, предназначенные для проведения натурных наблюдений за основанием, размещаются, как правило, в контрольных сечениях по всей длине сооружения с учетом его конструктивных решений, инженерно-геологических и геокриологических особенностей и профиля поверхности основания.
Количество контрольных сечений по длине основания назначаются с таким расчетом, чтобы по показаниям установленной в них КИА можно было с достаточной подробностью характеризовать работу и состояние основания в целом и отдельных наиболее ответственных участков и элементов.
13.13. При сдаче гидротехнического сооружения в промышленную эксплуатацию генподрядчик, осуществляющий строительство и монтаж КИА, передает заказчику по акту приемки-сдачи всю установленную контрольно-измерительную аппаратуру, а также:
комплект рабочих чертежей и исполнительных схем на установку КИА;
паспорта, аттестаты и монтажно-эксплуатационные инструкции средств измерений;
акты предмонтажной и послемонтажной проверок работоспособности приборов, акты на установку приборов в сооружения;
монтажные ведомости приборов;
журналы "нулевых" и последующих измерений по КИА, технические отчеты по выполненным натурным наблюдениям в строительный период.
13.14. Подходы к измерительным пультам и приборам КИА должны отвечать требованиям техники безопасности и охраны труда.
(в ред.
Изменения N 1, утв. Приказом Минстроя России от 21.12.2017 N 1697/пр)
Режим наблюдений за поведением оснований
в процессе эксплуатации ГТС
13.15. Натурные наблюдения за основаниями гидротехнических сооружений должны начинаться на стадии их строительства и продолжаться непрерывно в течение всего периода жизненного цикла сооружений вплоть до их консервации или ликвидации.
Для каждого конкретного основания гидротехнического сооружения периодичность регулярных натурных наблюдений устанавливается индивидуально с учетом инженерно-геологических, гидрогеологических, геокриологических условий, компоновочных и конструктивных особенностей сооружений, характера реакции сооружения и основания на нагрузки и воздействия, наличия (отсутствия) и интенсивности развития неблагоприятных для сооружения процессов или повреждений, условий эксплуатации.
(в ред.
Изменения N 1, утв. Приказом Минстроя России от 21.12.2017 N 1697/пр)
Абзацы третий - пятый исключены с 22 июня 2018 года. -
Изменение N 1, утв. Приказом Минстроя России от 21.12.2017 N 1697/пр.
Объем и периодичность натурных наблюдений и состав КИА, устанавливаемой на ГТС, должны определяться проектной документацией.
(абзац введен
Изменением N 1, утв. Приказом Минстроя России от 21.12.2017 N 1697/пр)
В полном объеме наблюдения по КИА должны продолжаться около 5 лет после наполнения водохранилища, пока деформации основания и характеристики фильтрационного потока не стабилизируются. После этого наблюдения могут проводиться по сокращенному числу точек и с меньшей частотой. Изменения в периодичности циклов измерений после выхода работы сооружения на установившийся режим и в отсутствие аномальных явлений или процессов должны проводиться только при соответствующем обосновании проектной или профильной научно-исследовательской организациями с учетом соответствия работы и технического состояния сооружений требованиям проекта, критериям безопасности, а также степени информативности получаемых данных наблюдений.
(абзац введен
Изменением N 1, утв. Приказом Минстроя России от 21.12.2017 N 1697/пр)
Если в работе гидротехнического сооружения наблюдаются проявление и интенсивное развитие опасных процессов (появление сосредоточенных очагов фильтрации; развитие суффозионного выноса грунта, просадочных и оползневых явлений; образование опасных трещин; резкие повышения фильтрационных напоров, расходов и градиентов напора, интенсификация осадок или горизонтальных смещений, раскрытия швов и трещин), измерения по КИА и визуальные осмотры сооружения должны проводиться по учащенному графику ежедневно или несколько раз в сутки, вплоть до выяснения причин возникновения указанных процессов и реализации оперативных инженерных решений по их ликвидации (при необходимости ежедневно или несколько раз в сутки).
(в ред.
Изменения N 1, утв. Приказом Минстроя России от 21.12.2017 N 1697/пр)
Внеочередные циклы измерений по КИА и визуальных осмотров сооружений должны проводиться: после прохождения катастрофических паводков; землетрясений более 5 баллов; сильных штормов (ураганов); форсировки уровня верхнего бьефа выше проектного; перемерзания дренажных устройств.
Абзац исключен с 22 июня 2018 года. -
Изменение N 1, утв. Приказом Минстроя России от 21.12.2017 N 1697/пр.
13.16. Результаты измерений должны заноситься в журналы наблюдений, оформляемые по утвержденной на стадии проекта форме (которая может корректироваться вместе с составом наблюдений). Следует выполнять фотофиксацию (видеосъемку) нарушений состояния основания и сооружения на проблемных участках. В журнале наблюдений следует документировать и признаки нарушения работоспособности приборов КИА.
(абзац введен
Изменением N 1, утв. Приказом Минстроя России от 21.12.2017 N 1697/пр)
Первичная обработка данных мониторинга должна заключаться в переводе показаний КИА и измерительных устройств в физические величины контролируемых показателей основания (например, напряжения, напор, расход, температура, смещения и др.), в выявлении ошибок измерений и в оперативном занесении полученной обработанной информации в базы данных информационно-диагностической системы (компьютер пользователя).
(в ред.
Изменения N 1, утв. Приказом Минстроя России от 21.12.2017 N 1697/пр)
Информационно-диагностическая система должна создаваться на базе современных компьютерных и информационных технологий и программно-технического обеспечения.
Вторичная обработка введенной в информационно-диагностическую систему мониторинга информации о выполненных измерениях по КИА должна проводиться с использованием программного комплекса.
Результаты вторичной обработки данных мониторинга должны быть представлены в виде таблиц, графиков изменения контролируемых показателей во времени и от действующих нагрузок, эпюр распределения значений показателей (напряжений, прогибов, осадок, смещений, напоров, температуры и др.) в пределах контрольных створов, секций, измерительных сечений.
Методы наблюдений за поведением оснований
13.17. При производстве наблюдений за поведением оснований в процессе эксплуатации следует использовать следующие методы инженерной геофизики:
для наблюдения за изменениями уровня подземных вод - сейсморазведка корреляционным методом преломленных волн (КМПВ), электроразведка методом вертикального электрического зондирования (ВЭЗ), георадиолокация (ГРЛЗ);
для определения направления и скорости движения подземных вод - водорежимные наблюдения методами резистивиметрии (РЗМ), термометрии (ТМ), радиоизотопными методами в одной или нескольких скважинах, а также модификацией метода заряженного тела (МЗТ);
для наблюдений за разгрузкой подземных и техногенных вод, очагов фильтрации - методы естественного электрического поля (ЕП), вертикальное электрическое зондирование (ВЭЗ), метод вызванной поляризации (ВП), резистивиметрии, термометрии;
для наблюдений за изменением глубины сезонного промерзания и протаивания - ВЭЗ, КМПВ, ГРЛЗ, различные виды каротажа;
для наблюдений за изменением напряженного состояния, трещинообразований - КМПВ, сейсмопросвечивание, метод акустической эмиссии (АЭ), ультразвуковой каротаж (УЗК), георадарные исследования;
для выявления, наблюдения и прогноза смещения масс горных пород - методы КМПВ, ВЭЗ и ЭП в модификациях векторных и режимных наблюдений, а также метод АЭ;
для изучения опасных инженерно-геологических процессов (карстовых, термокарстовых провалов, оползней) - методы КМПВ, общей глубинной точки (ОГТ), ВЭЗ, ЭП, ВЭЗ, метод двух составляющих (МДС), ВЭЗ ВП, МЗТ, ГРЛЗ.
Рекомендуется выполнять отдельные зондирования или отрезки профилей с определением скорости продольных (желательно также поперечных) волн, сейсмический или ультразвуковой каротаж, межскважинное просвечивание. Также целесообразно применять радиоизотопный каротаж скважин (гамма-гамма-каротаж для оценки плотности, нейтрон-гамма-каротаж для оценки влажности).
13.18. Геофильтрационные наблюдения должны проводиться с целью характеристики и оценки влияния подземных вод на изменение состояния основания.
Геофильтрационные наблюдения должны включать:
уточнения проектных представлений об условиях фильтрации и ее воздействиях на основание;
выявление и оценку выходов воды через основание и примыкания плотин;
выявление, характеристику и оценку изменений силового давления подземных вод в зоне взаимодействия оснований и сооружений;
выявление, характеристику и оценку изменений режима и состава подземных вод при развитии техноприродных процессов в зоне взаимодействия оснований и сооружений;
контроль эффективности создаваемых противофильтрационных и дренажных устройств, обоснование целесообразных дополнений и изменений их конструкций;
наблюдения за уровнями, расходами, температурой и химическим составом подземных вод, а также гидродинамические исследования в наблюдательных скважинах и дренажных устройствах оснований;
индикаторные и индикационно-диагностические методы определения путей и скоростей движения подземных вод, опознавания различных типов этих вод, выявления зон их питания и разгрузки, в том числе зон активной инфильтрации на дне водохранилища;
гидрохимические методы в зоне взаимодействия природных подземных вод с водами фильтрационного потока из водохранилища, процессов выщелачивания и растворения пород основания, бетонных конструкций и инъекционных завес в подземном контуре сооружений;
специальные термометрические методы для выявления зон активной фильтрации, изучения динамики фильтрационных процессов и др.
13.19. Геотехнические наблюдения за поведением оснований должны проводиться с целью установления и количественной оценки изменений состава и свойств грунтов и влияния этих изменений на динамику развития процессов в зоне взаимодействия оснований и сооружений.
Геотехнические наблюдения должны включать:
описание, зарисовку и фотографирование грунта, извлекаемого из горно-буровых выработок;
отбор проб ненарушенного и нарушенного сложения из горно-буровых выработок
(ГОСТ 12071);
лабораторное и полевое изучение состава и свойств грунтов.
13.20. Геотермические наблюдения должны проводиться с целью:
контролирования температурного режима основания плотин в северной строительно-климатической зоне (ССКЗ), особенно для плотин мерзлого типа для оценки параметров мерзлотных завес (глубины, ширины, сплошности) и границ развивающейся чаши оттаивания под верховой призмой плотины и их изменений во времени;
уточнения скорости и величин развития подруслового талика основания в плотинах талого типа; изменения показателей физико-механических и фильтрационных свойств грунтов в оттаивающей зоне основания.
Геотермические наблюдения должны включать:
режимные измерения температур грунтов основания по сети геотермических скважин, оборудованных комплектами (гирляндами) термодатчиков (терморезисторов, термометров сопротивления);
геофизические исследования комплексом методов для уточнения границ раздела мерзлых и талых зон в основании и физико-механических свойств грунтов в их пределах.
| | Применение на обязательной основе раздела 14 обеспечивает соблюдение требований Федерального закона от 30.12.2009 N 384-ФЗ "Технический регламент о безопасности зданий и сооружений" (Постановление Правительства РФ от 26.12.2014 N 1521). | |
14. Инженерные мероприятия по обеспечению
надежности оснований
Обеспечение сопряжения сооружения с основанием
14.1. При проектировании оснований сооружений следует предусматривать конструктивные и технологические мероприятия по сопряжению сооружения с основанием, обеспечивающие устойчивость сооружения, прочность основания (в том числе фильтрационную), допустимое напряженно-деформированное и термическое состояние сооружения и его основания при всех расчетных сочетаниях нагрузок и воздействий на весь проектный срок их эксплуатации и период строительства.
14.2. При проектировании сопряжений сооружений со скальными и нескальными основаниями следует учитывать, что:
разработка котлована под сооружение ведет к разгрузке и к разуплотнению грунтового массива основания и, как следствие, к увеличению его водопроницаемости и деформируемости и к уменьшению параметров сопротивления сдвигу;
возведение сооружения ведет к пригрузке и к уплотнению массива основания, уменьшению его водопроницаемости и деформируемости и к увеличению параметров сопротивления сдвигу, особенно сильно проявляющихся для скальных оснований.
14.3. В проекте оснований сооружений должны быть разработаны мероприятия, обеспечивающие предотвращение в процессе строительства изменения принятых в расчетах прочностных, деформационных и фильтрационных характеристик грунтов основания за счет промерзания, выветривания, разуплотнения и разжижения грунтов, а также исключающие возможность фильтрации напорных вод через дно котлована и его непроектное затопление.
14.3а. Проект разработки глубокого котлована под сооружение в нескальных и полускальных (размываемых) грунтах должен предусматривать инженерные мероприятия (крепление откосов и дна, создание систем водопонижения и водоотведения и т.д.), предотвращающие повреждение откосной части и дна котлована атмосферными, поверхностными и грунтовыми водами.
Необходимость указанных мероприятий обосновывается по результатам анализа гидрометеорологических, гидрогеологических условий площадки строительства, физико-механических и фильтрационных характеристик грунтов основания, данных фильтрационных расчетов (выполненных с учетом требований
раздела 8) и прогноза изменений гидрогеологического режима площадки на этапе строительства. Прогноз изменения гидрогеологического режима в процессе строительства сооружения следует выполнять путем математического моделирования фильтрационных процессов численными методами. При соответствующем обосновании допускается применение аналитических методов и результатов наблюдений по объектам-аналогам.
Поверхностные воды следует перехватывать системой открытых/закрытых дренажей, расположенных на прилегающей к котловану территории, в глубоких котлованах необходимо дополнительно устраивать системы сбора и транспортирования поверхностных вод с откосов, приуроченные к бермам.
Для определения необходимости применения мероприятий по предотвращению гидроразрыва (выпора) грунтов основания котлована должны быть выполнен расчет местной фильтрационной прочности грунта основания и проведена оценка влияния напорности водоносных горизонтов на условия производства работ. При разработке котлована в целях исключения гидроразрыва грунтов его основания следует предусмотреть устройство разгрузочных скважин, пионерных траншей и т.д. Разработка котлована должна вестись с применением способов и мероприятий, исключающих гидроразрыв грунтов дна котлована. К перечню предотвращающих мероприятий относятся устройство разгрузочных скважин, пионерных траншей и т.д. Конструкция крепления дна котлована выбирается из условия недопущения выпора грунтов основания и обеспечения работы строительной техники. На строительный период также предусматриваются мероприятия (в виде разгрузочных траншей, скважин и т.д.) по предотвращению гидроразрыва.
При необходимости уменьшения приточности к дренажу основания проектируются специальные противофильтрационные экраны из инертных, геосинтетических и иных маловодопроницаемых или водонепроницаемых материалов.
Устойчивость борта котлована будет обеспечена, если действующий градиент напора будет ниже критического градиента по местному фильтрационному выпору и контактному размыву. При оценке устойчивости борта котлована к фильтрационным деформациям следует обращать особое внимание на выклинивание в борт котлована прослоек грунтов, значительно (на несколько порядков) отличающихся от соседних грунтов по коэффициенту фильтрации. В указанных зонах при соответствующих гидродинамических условиях можно ожидать опасных фильтрационных деформаций. Конструкция крепления откосов выбирается из условия недопущения развития негативных суффозионных и эрозионных процессов в бортах котлована.
Инженерные мероприятия должны быть направлены на сохранение проектных габаритов котлована.
Все мероприятия должны назначаться с учетом длительности каждого этапа существования котлована: разработка, открытый котлован, строительство сооружения, засыпка пазух котлована.
(п. 14.3а введен
Изменением N 1, утв. Приказом Минстроя России от 21.12.2017 N 1697/пр)
14.4. В процессе строительства следует осуществлять геотехконтроль с оперативной оценкой физико-механических характеристик грунтов основания. При неблагоприятных отклонениях характеристик грунтов следует произвести корректировку проекта сооружения или производства работ.
14.5. При проектировании сопряжений сооружений с основанием следует, как правило, предусматривать экономически целесообразное удаление или замену слабых (или ослабленных в процессе строительства), а также сильнольдистых, распученных (для высоких плотин при использовании I принципа строительства), резко изменяющих физико-механические и теплофизические свойства при оттаивании (при использовании II принципа строительства) грунтов с поверхности на глубину, ниже которой характеристики грунтов (с учетом возможного их улучшения) удовлетворяют условиям устойчивости сооружения, прочности основания и заданного фильтрационного режима.
Примечания. 1. При гидротехническом строительстве в северной строительно-климатической зоне под термином "принцип строительства" понимается следующее:
принцип строительства I: многолетнемерзлые грунты основания плотины сохраняются в мерзлом состоянии при ее строительстве и эксплуатации, а талые грунты противофильтрационного устройства плотины и ее основания замораживаются до начала заполнения водохранилища и сохраняются в мерзлом состоянии при эксплуатации;
принцип строительства II: допускается оттаивание многолетнемерзлых грунтов основания в ходе строительства и эксплуатации плотины или искусственное их оттаивание на заданную глубину до начала заполнения водохранилища.
2. Принцип строительства (с сохранением или оттаиванием многолетнемерзлых грунтов) следует выбирать с учетом климатических и мерзлотных условий района строительства на основании технико-экономического анализа.
14.6. При проектировании сопряжения бетонных сооружений со скальным основанием в случаях, если удаление грунтов в значительных объемах экономически нецелесообразно, для обеспечения выполнения требований устойчивости сооружения или его береговых упоров, прочности и деформируемости основания, для уменьшения объемов удаления скального грунта необходимо рассматривать следующие мероприятия:
снижение противодавления в основании подпорных сооружений и береговых массивов примыканий;
создание уклона в сторону верхнего бьефа на контакте сооружения с основанием, сложенным скальными и полускальными грунтами, имеющими относительно низкие прочностные характеристики контакта бетон - скала;
создание упора в основании со стороны нижнего бьефа в случае наличия более прочных грунтов под носком плотины или передачи части усилия от плотины на здание ГЭС, на конструкции водобойного колодца и т.д.;
применение конструкций, обеспечивающих наиболее благоприятное направление усилий и воздействий на основание и береговые примыкания сооружения;
анкеровку секций сооружения и береговых примыканий при наличии достаточно прочных грунтов в основании;
инъекционное укрепление грунтов основания при достаточно развитой трещиноватости массива при отсутствии глинистого заполнителя трещин;
заделку горным способом крупных геологических нарушений в основании плотины и их выходов на поверхность и другие конструктивные мероприятия.
При недостаточной технико-экономической эффективности указанных мероприятий должно быть предусмотрено заглубление подошвы сооружения в более сохранную зону скальных грунтов.
14.7. Для обеспечения устойчивости бетонных сооружений на нескальных основаниях, обеспечения прочности и допустимых осадок и смещений при проектировании сопряжения сооружения с основанием в необходимых случаях следует предусматривать:
устройство верхового и низового зубьев, уклон подошвы сооружения в сторону верхнего бьефа;
дренирование малопроницаемых слоев основания;
механическое и инъекционное уплотнение и укрепление грунтов и другие мероприятия.
14.8. В проектах грунтовых плотин, возводимых на нескальном основании, как правило, следует предусматривать специальную подготовку основания на участках сопряжения противофильтрационных элементов с основанием.
При этом должны быть разработаны и обоснованы мероприятия, предотвращающие недопустимые деформации и потерю устойчивости сооружений и недопустимые фильтрационные расходы.
Подготовку оснований, как правило, следует производить в осушенном (дренированном) котловане, не допуская разуплотнения и разжижения верхнего слоя грунта.
14.9. При проектировании сопряжений плотин из грунтовых материалов со скальным основанием следует предусматривать мероприятия, направленные на обеспечение устойчивости плотин, уменьшение неравномерных деформаций основания и сооружения, предотвращение суффозии и недопустимого снижения прочности грунта основания при его разуплотнении, а также водонасыщении и т.д.
14.10. При проектировании сопряжения противофильтрационных элементов грунтовых плотин, возводимых на скальном основании, должны быть предусмотрены: удаление разрушенной скалы, разделка и бетонирование разведочных геологических и строительных выработок, крупных трещин.
Следует также предусматривать следующие мероприятия: устройство бетонной плиты, покрытие скалы торкретом, инъекционное уплотнение части основания, прилегающей к подошве водонепроницаемого элемента.
14.11. На участках сопряжения с основанием частей профиля плотины, выполняемых из более водопроницаемых материалов (упорных призм, банкетов и т.д.), чем противофильтрационные устройства, удаление разборной разрушенной (выветрелой) скалы не обязательно.
При проектировании сооружений с сохранением мерзлых грунтов в основании (принцип I) следует предусматривать в необходимых случаях теплозащитный слой, убираемый непосредственно перед укладкой материала приконтактной зоны сооружения.
14.12. Глубина заложения подошвы сооружения должна определяться исходя из необходимости обеспечения требуемой надежности сооружения по устойчивости, допустимым смещениям и осадкам, по несущей способности, фильтрационной прочности основания.
При этом глубину заложения подошвы сооружений следует принимать минимально возможной с учетом:
особенностей сооружений;
гидрогеологических, геологических, топографических и климатических условий площадки строительства;
размыва грунтов в нижнем бьефе;
судоходных уровней воды и др.
Для мелиоративных гидротехнических сооружений допускается принимать глубину заложения их подошвы независимо от глубины промерзания, при этом необходимо учитывать указания
14.7.
14.13. Размеры, в том числе глубина врезки бетонного гидротехнического сооружения в скальное основание, должны быть во всех случаях обоснованы в проекте сооружения и удовлетворять следующим требованиям:
устойчивости сооружения на сдвиг;
местной прочности основания;
надежности подземного контура.
14.14. При проектировании сопряжений бетонных и железобетонных сооружений со скальным основанием следует предусматривать:
удаление интенсивно выветрелых грунтов (разборного слоя), имеющих низкие прочностные и деформационные характеристики и слабо поддающихся омоноличиванию из-за наличия глинистого заполнителя в трещинах;
для оснований, имеющих крупные нарушения и области глубокого избирательного выветривания, - удаление грунта, объем которого следует принимать на основе результатов расчетов напряженного состояния и устойчивости сооружения.
Закрепление и уплотнение грунтов оснований
14.15. Для повышения несущей способности оснований, уменьшения осадок и смещений, а также для обеспечения требуемой проектом водонепроницаемости и фильтрационной прочности грунтов следует предусматривать, в необходимых случаях, закрепление и уплотнение грунтов.
Для этого могут быть использованы цементация, химические методы закрепления, замораживание грунтов, механическое уплотнение, дренирование массива, устройство набивных свай, армирование геосинтетическими материалами и т.д.
(в ред.
Изменения N 1, утв. Приказом Минстроя России от 21.12.2017 N 1697/пр)
14.16. Необходимость в таких мероприятиях, как правило, должна обусловливаться наличием в основании неблагоприятных геологических и гидрогеологических условий в частности:
залегания в основании грунтов с пониженной прочностью и повышенной деформируемостью;
крупных структурно-тектонических нарушений сплошности скального основания;
неоднородности массива основания, выражающейся в значительной изменчивости механических свойств грунтов в различных его зонах;
залеганием в основании сильно водопроницаемых и суффозионных грунтов;
экологическими требованиями по защите окружающей среды.
14.17. При проектировании сопряжения бетонных подпорных сооружений со скальным основанием при необходимости следует предусматривать закрепление грунтов в области, примыкающей к низовой грани сооружения, а также закрепление и уплотнение выходов в пределах контура сооружения и основания крупных трещин, тектонических зон и других разрывных нарушений и прослоев ослабленных грунтов. Рекомендуется также укрепление контакта бетонного сооружения со скальным основанием. Сплошное усиление основания должно быть обосновано.
(в ред.
Изменения N 1, утв. Приказом Минстроя России от 21.12.2017 N 1697/пр)
14.18. При проектировании подпорных сооружений I и II классов определение способа и объемов работ по укреплению основания должно обосновываться расчетами, а для сооружений I класса при необходимости и экспериментальными исследованиями напряженно-деформированного состояния сооружения и основания. Для сооружений, проектируемых на основании, сложенном мерзлыми грунтами, рекомендуется выполнение опытных экспериментальных исследований и для сооружений II и III классов.
Для сооружений III и IV классов на всех стадиях проектирования, а также для сооружений I и II классов на стадии обоснования инвестиций способы и объемы работ по укреплению основания допускается устанавливать по аналогам.
(рекомендуемое)
КЛАССИФИКАЦИЯ МАССИВОВ ГРУНТОВ
Приложение А утратило силу с 14.02.2019. -
Приказ Минстроя России от 13.08.2018 N 513/пр.
(рекомендуемое)
ОПРЕДЕЛЕНИЕ ПАРАМЕТРОВ ВНУТРЕННЕГО ТРЕНИЯ (

,
c'),
КОЭФФИЦИЕНТА ФИЛЬТРАЦИОННОЙ КОНСОЛИДАЦИИ

И КОЭФФИЦИЕНТА
НАЧАЛЬНОГО ПОРОВОГО ДАВЛЕНИЯ

МЕТОДОМ ТРЕХОСНОГО СЖАТИЯ,
ДАВЛЕНИЯ ПРЕДУПЛОТНЕНИЯ

МЕТОДОМ КОМПРЕССИОННОГО
СЖАТИЯ И КОЭФФИЦИЕНТА ПЕРЕУПЛОТНЕНИЯ OCR
Приложение Б утратило силу с 14.02.2019. -
Приказ Минстроя России от 13.08.2018 N 513/пр.
| | Применение на обязательной основе приложения В обеспечивает соблюдение требований Федерального закона от 30.12.2009 N 384-ФЗ "Технический регламент о безопасности зданий и сооружений" (Постановление Правительства РФ от 26.12.2014 N 1521). | |
ОПРЕДЕЛЕНИЕ МОДУЛЕЙ ДЕФОРМАЦИИ ОСНОВАНИЙ
ДЛЯ РАСЧЕТА ПЕРЕМЕЩЕНИЙ СООРУЖЕНИЙ
Приказом Минстроя России от 21.12.2017 N 1697/пр)
В.1. В зависимости от видов сооружений и схем расчета перемещений принимаются различные значения модулей деформации Ei(Ep,i, Es,i), Em.
| | ИС МЕГАНОРМ: примечание. Единицы измерения даны в соответствии с официальным текстом документа. | |
За исходные принимают значения модулей грунтов, определенные наиболее достоверными методами: полевыми испытаниями статическими нагрузками в шурфах, дудках или котлованах с помощью штампов площадью 2500 - 5000 см, а также в скважинах или массиве с помощью плоского штампа или винтовой лопасти-штампа площадью 600 см или прессиометров
(ГОСТ 20276), лабораторными испытаниями в приборах трехосного сжатия
(ГОСТ 12248).
При определении модулей деформации грунтов методами статического или динамического зондирования
(ГОСТ 19912) и лабораторными испытаниями в компрессионных приборах
(ГОСТ 12248) при назначении исходных значений модулей деформации следует руководствоваться указаниями
пунктов 5.3.5,
5.3.6 СП 22.13330.2011.
В.2. Модуль деформации i-го слоя Ei, следует определять по формулам:

(В.1)
где

- модуль деформации при первичном

или повторном

нагружении (в соответствующем диапазоне давлений от сооружения и веса грунта);

(В.2)
здесь

- коэффициент поперечного расширения грунта
i-го слоя;
mci - коэффициент условий работы, определяемый по формулам:

(В.3)
где A - площадь фундамента, м2, определяемая для фундаментов с соотношением сторон l/b <= 3 как A = lb, а для фундаментов с соотношением l/b > 3 как A = 3b2;
Ao - площадь, равная 1 м2;
ni - параметр, определяемый по результатам испытаний i-го слоя грунта двумя штампами различных площадей A1 и A2 под одной и той же нагрузкой по формуле

(В.4)
здесь

,

- приращения осадок штампов с площадями
A1 и
A2 от дополнительного давления по результатам испытаний
i-го слоя.
При отсутствии данных штамповых испытаний допускается принимать следующие значения параметра ni для грунтов:
- пылевато-глинистых ледниковых ........................... 0,1 - 0,2;
- остальных пылевато-глинистых ............................ 0,15 - 0,3;
- песчаных ................................................ 0,25 - 0,5.
Минимальные или максимальные из указанных значений
ni следует принимать, если сжимаемый слой основания определяется исходя из условий

или

соответственно (см.
11.6.2). При промежуточных значениях глубины сжимаемого слоя значения
ni принимают по линейной интерполяции.
В.3. Средний модуль деформации всего сжимаемого слоя
Em, а также среднее значение

следует определять по формулам

(В.5)

(В.6)
hi - толщина i-го слоя грунта;
Ai - площадь эпюры вертикальных напряжений от давления
p под подошвой сооружения в пределах
i-го слоя грунта, определяемая по
Приложению К для глубины
zi, соответствующей середине
i-го слоя.
| | Применение на обязательной основе приложения Г обеспечивает соблюдение требований Федерального закона от 30.12.2009 N 384-ФЗ "Технический регламент о безопасности зданий и сооружений" (Постановление Правительства РФ от 26.12.2014 N 1521). | |
(обязательное)
РАСЧЕТ УСТОЙЧИВОСТИ СООРУЖЕНИЙ НА СДВИГ
ПО ПОВЕРХНОСТИ НЕОДНОРОДНОГО ОСНОВАНИЯ
В случае неоднородного (слоистого) основания расчетные характеристики прочности грунтов

,

должны быть заменены средневзвешенными значениями этих характеристик

,

.
При этом имеют место следующие случаи:
а) если слои грунтов основания вертикальны или угол падения их более 60°, а простирание слоев ориентировано поперек направления сдвига или угол между ними близок к 90°
(рисунок Г.1), значение осредненной характеристики

определяется из уравнения

, (Г.1)
где P - равнодействующая нормальных сил;
A - площадь подошвы сооружения.
Рисунок Г.1. Схема к расчету устойчивости сооружений
на сдвиг по плоской поверхности основания с неоднородной
поперечной слоистостью грунтов при большом
угле падения слоев
Нормальные контактные напряжения

определяются в этом случае по формуле

, (Г.2)
где эксцентриситет e и абсцисса x отсчитываются от оси, проходящей через точку O, положение которой определяется формулой

. (Г.3)
Значения

и

определяются по формулам:

; (Г.4)

; (Г.5)
б) при однородной слоистости грунтов на протяжении подошвы сооружения, т.е. при одинаковой доле каждого слоя на разных участках ширины подошвы, значение

определяется по формуле

, (Г.6)
в) если простирание вертикальных слоев грунтов основания ориентировано вдоль направления сдвига или угол между ними менее 10°, значения

и

также определяются по
формулам (Г.5) и
(Г.6);
г) если слои грунтов основания пологие с углом падения менее 10°
(рисунок Г.2), то

определяется по
формуле (Г.5),

определяется по формуле

, (Г.7)
где I - момент инерции площади подошвы относительно оси подошвы.
(в ред.
Изменения N 1, утв. Приказом Минстроя России от 21.12.2017 N 1697/пр)
Рисунок Г.2. Схема к расчету устойчивости сооружения
на сдвиг по плоской поверхности основания с неоднородной
поперечной слоистостью грунтов при малом угле падения слоев
(рекомендуемое)
РАСЧЕТ УСТОЙЧИВОСТИ СООРУЖЕНИЙ
ПРИ СДВИГЕ С ПОВОРОТОМ В ПЛАНЕ
Приложение Д утратило силу с 14.02.2019. -
Приказ Минстроя России от 13.08.2018 N 513/пр.
(рекомендуемое)
РАСЧЕТ УСТОЙЧИВОСТИ СООРУЖЕНИЙ НА НЕСКАЛЬНЫХ ОСНОВАНИЯХ
ПО СХЕМАМ ГЛУБИННОГО И СМЕШАННОГО СДВИГОВ
Приложение Е утратило силу с 14.02.2019. -
Приказ Минстроя России от 13.08.2018 N 513/пр.
(рекомендуемое)
ОПРЕДЕЛЕНИЕ КОНТАКТНЫХ НАПРЯЖЕНИЙ МЕТОДОМ
ВНЕЦЕНТРЕННОГО СЖАТИЯ
Приложение Ж утратило силу с 14.02.2019. -
Приказ Минстроя России от 13.08.2018 N 513/пр.
(рекомендуемое)
ОПРЕДЕЛЕНИЕ КОНТАКТНЫХ НАПРЯЖЕНИЙ ДЛЯ СООРУЖЕНИЙ
НА ОДНОРОДНЫХ ПЕСЧАНЫХ ОСНОВАНИЯХ
МЕТОДОМ ЭКСПЕРИМЕНТАЛЬНЫХ ЭПЮР
Приложение И утратило силу с 14.02.2019. -
Приказ Минстроя России от 13.08.2018 N 513/пр.
(обязательное)
ОПРЕДЕЛЕНИЕ ОСАДКИ ОСНОВАНИЯ МЕТОДОМ
ПОСЛОЙНОГО СУММИРОВАНИЯ
Приложение К утратило силу с 14.02.2019. -
Приказ Минстроя России от 13.08.2018 N 513/пр.
(рекомендуемое)
ОПРЕДЕЛЕНИЕ ОСАДКИ ОСНОВАНИЯ ПРИ СРЕДНЕМ ДАВЛЕНИИ
ПОД ПОДОШВОЙ СООРУЖЕНИЯ, ПРЕВЫШАЮЩЕМ
РАСЧЕТНОЕ СОПРОТИВЛЕНИЕ ГРУНТА
Приложение Л утратило силу с 14.02.2019. -
Приказ Минстроя России от 13.08.2018 N 513/пр.
(рекомендуемое)
ОПРЕДЕЛЕНИЕ СТЕПЕНИ ПЕРВИЧНОЙ КОНСОЛИДАЦИИ ГРУНТА
Приложение М утратило силу с 14.02.2019. -
Приказ Минстроя России от 13.08.2018 N 513/пр.
(рекомендуемое)
ОПРЕДЕЛЕНИЕ КОНЕЧНЫХ ГОРИЗОНТАЛЬНЫХ ПЕРЕМЕЩЕНИЙ
ГРАВИТАЦИОННЫХ СООРУЖЕНИЙ С ГОРИЗОНТАЛЬНОЙ ПОДОШВОЙ
НА НЕСКАЛЬНЫХ ОСНОВАНИЯХ
Приложение Н утратило силу с 14.02.2019. -
Приказ Минстроя России от 13.08.2018 N 513/пр.
(справочное)
ОСНОВНЫЕ БУКВЕННЫЕ ОБОЗНАЧЕНИЯ
Приложение П утратило силу с 14.02.2019. -
Приказ Минстроя России от 13.08.2018 N 513/пр.
(рекомендуемое)
ЛАБОРАТОРНЫЕ И ПОЛЕВЫЕ МЕТОДЫ ОПРЕДЕЛЕНИЯ
ХАРАКТЕРИСТИК ГРУНТОВ ШЕЛЬФА
Минстроя России от 21.12.2017 N 1697/пр)
Приложение Р утратило силу с 14.02.2019. -
Приказ Минстроя России от 13.08.2018 N 513/пр.
ДИНАМИЧЕСКИЕ ХАРАКТЕРИСТИКИ ГРУНТОВ
Минстроя России от 21.12.2017 N 1697/пр)
Приложение С утратило силу с 14.02.2019. -
Приказ Минстроя России от 13.08.2018 N 513/пр.
России от 21.12.2017 N 1697/пр)
Раздел утратил силу с 14.02.2019. -
Приказ Минстроя России от 13.08.2018 N 513/пр.