Главная // Актуальные документы // НормыСПРАВКА
Источник публикации
М.: Минстрой России, ГУП ЦПП, 1995
Примечание к документу
По вопросу, касающемуся порядка применения данного документа, см.
Письмо Минрегиона России от 15.08.2011 N 18529-08/ИП-ОГ.
Приказом Минрегиона России от 27.12.2010 N 786 с 20 мая 2011 года введена в действие актуализированная редакция данного документа
СП 24.13330.2011.
Разделы 1, 2 (
пункты 2.2,
2.6 -
2.11),
3 -
5, 6 (
пункты 6.1 -
6.3), 7 (
пункты 7.4 -
7.10), 8 (
пункты 8.2 -
8.15), 9 (
пункты 9.4 -
9.7), 10 (
пункты 10.2,
10.6 -
10.10,
10.14,
10.15), 11 (
пункты 11.2 -
11.12), 12 (
пункты 12.5 -
12.9), 13 (
пункты 13.3 -
13.8) включены в
Перечень национальных стандартов и сводов правил (частей таких стандартов и сводов правил), в результате применения которых на обязательной основе обеспечивается соблюдение требований Федерального
закона от 30.12.2009 N 384-ФЗ "Технический регламент о безопасности зданий и сооружений" (
Распоряжение Правительства РФ от 21.06.2010 N 1047-р).
В соответствии с
пунктом 2 статьи 42 Федерального закона от 30.12.2009 N 384-ФЗ строительные нормы и правила, утвержденные до дня вступления в силу Технического регламента о безопасности зданий и сооружений, признаются сводами правил.
Текст документа приведен с учетом поправки, опубликованной в "БСТ", N 6, 2003; поправки, опубликованной в "БСТ", N 11, 2003.
Документ введен в действие с 1 января 1987 года (
Постановление Госстроя СССР от 20.12.1985 N 243).
Название документа
"СНиП 2.02.03-85. Строительные нормы и правила. Свайные фундаменты"
(утв. Постановлением Госстроя СССР от 20.12.1985 N 243)
"СНиП 2.02.03-85. Строительные нормы и правила. Свайные фундаменты"
(утв. Постановлением Госстроя СССР от 20.12.1985 N 243)
от 20 декабря 1985 г. N 243
СТРОИТЕЛЬНЫЕ НОРМЫ И ПРАВИЛА
СВАЙНЫЕ ФУНДАМЕНТЫ
СНиП 2.02.03-85
Срок введения в действие
1 января 1987 года
Разработаны НИИОСП им. Герсеванова Госстроя СССР (канд. техн. наук Б.В. Бахолдин - руководитель темы; доктора техн. наук В.А. Ильичев и Е.А. Сорочан; кандидаты техн. наук Ю.А. Багдасаров, В.М. Мамонов, Л.Г. Мариупольский, В.Г. Федоровский и Н.Б. Экимян; Х.А. Джантимиров), институтом Фундаментпроект Минмонтажспецстроя СССР (кандидаты техн. наук Ю.Г. Трофименков и В.М. Шаевич; Г.М. Лешин и Р.Е. Ханин) и ЦНИИС Минтрансстроя (кандидаты техн. наук Н.М. Глотов, Е.А. Тюленев и И.Е. Школьников) с участием ДальНИИС, Донецкого Промстройниипроекта и Харьковского Промстройниипроекта Госстроя СССР, Гипрогора Госстроя РСФСР, ВНИМИ Минуглепрома СССР, НИИпромстроя Минпромстроя СССР, ЦНИИЭПсельстроя Госагропрома СССР, института Саратовагропромпроект Агропромстроя РСФСР, СЗО Энергосетьпроект Минэнерго СССР, Саратовского и Пермского политехнического институтов, Ленинградского инженерно-строительного института Минвуза РСФСР, ВНИИГС Минмонтажспецстроя СССР, Киевского и Днепропетровского инженерно-строительных институтов Минвуза УССР.
Внесены НИИОСП им. Герсеванова Госстроя СССР.
Подготовлены к утверждению Главтехнормированием Госстроя СССР (О.Н. Сильницкая).
С введением в действие СНиП 2.02.03-85 "Свайные фундаменты" с 1 января 1987 г. утрачивают силу:
изменения и дополнения главы СНиП II-17-77, утвержденные Постановлением Госстроя СССР от 16 января 1981 г. N 4, от 17 июля 1981 г. N
122, от 25 октября 1982 г. N 264 и от 6 декабря 1983 г. N
313.
Настоящие нормы распространяются на проектирование свайных фундаментов вновь строящихся и реконструируемых зданий и сооружений.
Настоящие нормы не распространяются на проектирование свайных фундаментов зданий и сооружений, возводимых на вечномерзлых грунтах, свайных фундаментов машин с динамическими нагрузками, а также опор морских нефтепромысловых и других сооружений, возводимых на континентальном шельфе при глубине погружения опор более 35 м.
Свайные фундаменты зданий и сооружений, возводимых в районах с наличием или возможностью развития опасных геологических процессов (карстов, оползней и т.п.), следует проектировать с учетом дополнительных требований соответствующих нормативных документов, утвержденных или согласованных Госстроем СССР.
1.1. Выбор конструкции фундамента (свайного, на естественном или искусственном основании), а также вида свай и типа свайного фундамента (например, свайных кустов, лент, полей) следует производить исходя из конкретных условий строительной площадки, характеризуемых материалами инженерных изысканий, расчетных нагрузок, действующих на фундамент, на основе результатов технико-экономического сравнения возможных вариантов проектных решений фундаментов (с оценкой по приведенным затратам), выполненного с учетом требований по экономному расходованию основных строительных материалов и обеспечивающего наиболее полное использование прочностных и деформационных характеристик грунтов и физико-механических свойств материалов фундаментов.
1.2. Свайные фундаменты следует проектировать на основе результатов инженерно-геодезических, инженерно-геологических, инженерно-гидрометеорологических изысканий строительной площадки, а также на основе данных, характеризующих назначение, конструктивные и технологические особенности проектируемых зданий и сооружений и условия их эксплуатации, нагрузки, действующие на фундаменты, с учетом местных условий строительства.
Проектирование свайных фундаментов без соответствующего и достаточного инженерно-геологического обоснования не допускается.
1.3. Результаты инженерных изысканий должны содержать данные, необходимые для выбора типа фундамента, в том числе свайного, для определения вида свай и их габаритов (размеров поперечного сечения и длины сваи, расчетной нагрузки, допускаемой на сваю) с учетом прогноза возможных изменений (в процессе строительства и эксплуатации) инженерно-геологических и гидрогеологических условий площадки строительства, а также вида и объема инженерных мероприятий по ее освоению.
В материалах изысканий должны быть приведены данные полевых и лабораторных исследований грунтов, а в необходимых случаях, устанавливаемых проектной организацией, проектирующей свайные фундаменты, - результаты испытаний натурных свай статической и динамической нагрузками.
Должны быть также приведены геологические разрезы с данными о напластованиях грунтов, расчетных значениях их физико-механических характеристик, используемых в расчетах по двум группам предельных состояний, с указанием положения установленного и прогнозируемого уровней подземных вод, а при наличии результатов зондирования - графики зондирования.
Примечание. Испытания свай, производимые в процессе строительства в соответствии с требованиями СНиП 3.02.01-83, являются только контрольными для установления качества свайных фундаментов и соответствия их проекту.
1.4. В проектах свайных фундаментов должно предусматриваться проведение натурных измерений деформаций оснований и фундаментов в случаях применения новых или недостаточно изученных конструкций зданий и сооружений или их фундаментов, возведения ответственных зданий и сооружений в сложных инженерно-геологических условиях, а также при наличии в задании на проектирование специальных требований по измерению деформаций.
1.5. Свайные фундаменты, предназначенные для эксплуатации в условиях агрессивной среды, следует проектировать с учетом требований
СНиП 2.03.11-85, а деревянные конструкции свайных фундаментов - также с учетом требований по защите их от гниения, разрушения и поражения древоточцами.
2.1. По способу заглубления в грунт надлежит различать следующие виды свай:
а) забивные железобетонные, деревянные и стальные, погружаемые в грунт без его выемки с помощью молотов, вибропогружателей, вибровдавливающих и вдавливающих устройств, а также железобетонные сваи-оболочки, заглубляемые вибропогружателями без выемки или с частичной выемкой грунта и не заполняемые бетонной смесью;
б) сваи-оболочки железобетонные, заглубляемые вибропогружателями с выемкой грунта и заполняемые частично или полностью бетонной смесью;
в) набивные бетонные и железобетонные, устраиваемые в грунте путем укладки бетонной смеси в скважины, образованные в результате принудительного отжатия (вытеснения) грунта;
г) буровые железобетонные, устраиваемые в грунте путем заполнения пробуренных скважин бетонной смесью или установки в них железобетонных элементов;
д) винтовые.
2.2. По условиям взаимодействия с грунтом сваи следует подразделять на сваи-стойки и висячие.
К сваям-стойкам надлежит относить сваи всех видов, опирающиеся на скальные грунты, а забивные сваи, кроме того, на малосжимаемые грунты.
Примечание. К малосжимаемым грунтам относятся крупнообломочные грунты с песчаным заполнителем средней плотности и плотным, а также глины твердой консистенции в водонасыщенном состоянии с модулем деформации Е > 50000 кПа (500 кгс/см2).
Силы сопротивления грунтов, за исключением отрицательных (негативных) сил трения на боковой поверхности свай-стоек, в расчетах их несущей способности по грунту основания на сжимающую нагрузку не должны учитываться.
К висячим сваям следует относить сваи всех видов, опирающиеся на сжимаемые грунты и передающие нагрузку на грунты основания боковой поверхностью и нижним концом.
Примечание. Отрицательными (негативными) силами трения называются силы, возникающие на боковой поверхности сваи при осадке околосвайного грунта и направленные вертикально вниз.
2.3. Забивные железобетонные сваи размером поперечного сечения до 0,8 м включ. и сваи-оболочки диаметром 1 м и более следует подразделять:
а) по способу армирования - на сваи и сваи-оболочки с ненапрягаемой продольной арматурой с поперечным армированием и на предварительно напряженные со стержневой или проволочной продольной арматурой (из высокопрочной проволоки и арматурных канатов) с поперечным армированием и без него;
б) по форме поперечного сечения - на сваи квадратные, прямоугольные, таврового и двутаврового сечений, квадратные с круглой полостью, полые круглого сечения;
в) по форме продольного сечения - на призматические, цилиндрические и с наклонными боковыми гранями (пирамидальные, трапецеидальные, ромбовидные);
г) по конструктивным особенностям - на сваи цельные и составные (из отдельных секций);
д) по конструкции нижнего конца - на сваи с заостренным или плоским нижним концом, с плоским или объемным уширением (булавовидные) и на полые сваи с закрытым или открытым нижним концом или с камуфлетной пятой.
Примечание. Сваи забивные с камуфлетной пятой устраивают путем забивки полых свай круглого сечения в нижней части с закрытым стальным полым наконечником с последующим заполнением полости сваи и наконечника бетонной смесью и устройством с помощью взрыва камуфлетной пяты в пределах наконечника. В проектах свайных фундаментов с применением забивных свай с камуфлетной пятой следует предусматривать указания о соблюдении требований правил производства буровзрывных работ, в том числе при определении допускаемых расстояний от существующих зданий и сооружений до места взрыва.
2.4. Набивные сваи по способу устройства разделяются на:
а) набивные, устраиваемые путем погружения инвентарных труб, нижний конец которых закрыт оставляемым в грунте башмаком или бетонной пробкой, с последующим извлечением этих труб по мере заполнения скважин бетонной смесью;
б) набивные виброштампованные, устраиваемые в пробитых скважинах путем заполнения скважин жесткой бетонной смесью, уплотняемой виброштампом в виде трубы с заостренным нижним концом и закрепленным на ней вибропогружателем;
в) набивные в выштампованном ложе, устраиваемые путем выштамповки в грунте скважин пирамидальной или конусной формы с последующим заполнением их бетонной смесью.
2.5. Буровые сваи по способу устройства разделяются на:
а) буронабивные сплошного сечения с уширениями и без них, бетонируемые в скважинах, пробуренных в пылевато-глинистых грунтах выше уровня подземных вод без крепления стенок скважин, а в любых грунтах ниже уровня подземных вод - с закреплением стенок скважин глинистым раствором или инвентарными извлекаемыми обсадными трубами;
б) буронабивные полые круглого сечения, устраиваемые с применением многосекционного вибросердечника;
в) буронабивные с уплотненным забоем, устраиваемым путем втрамбовывания в забой скважины щебня;
г) буронабивные с камуфлетной пятой, устраиваемые путем бурения скважин с последующим образованием уширения взрывом и заполнением скважин бетонной смесью;
д) буроинъекционные диаметром 0,15 - 0,25 м, устраиваемые путем нагнетания (инъекции) мелкозернистой бетонной смеси или цементно-песчаного раствора в пробуренные скважины;
е) сваи-столбы, устраиваемые путем бурения скважин с уширением или без него, укладки в них омоноличивающего цементно-песчаного раствора и опускания в скважины цилиндрических или призматических элементов сплошного сечения со сторонами или диаметром 0,8 м и более;
ж) буроопускные сваи с камуфлетной пятой, отличающиеся от буронабивных свай с камуфлетной пятой (см.
подп. "г") тем, что после образования камуфлетного уширения в скважину опускают железобетонную сваю.
Примечания. 1. Обсадные трубы допускается оставлять в грунте только в случаях, когда исключена возможность применения других решений конструкции фундаментов (при устройстве буронабивных свай в пластах грунтов со скоростью фильтрационного потока более 200 м/сут, при применении буронабивных свай для закрепления действующих оползневых склонов и в других обоснованных случаях).
2. При устройстве буронабивных свай в пылевато-глинистых грунтах для крепления стенок скважин допускается использовать избыточное давление воды.
2.6. Железобетонные и бетонные сваи следует проектировать из тяжелого бетона.
Для забивных железобетонных свай с ненапрягаемой продольной арматурой, на которые отсутствуют государственные стандарты, а также для набивных и буровых свай необходимо предусматривать бетон класса не ниже В15, для забивных железобетонных свай с напрягаемой арматурой - не ниже В22,5.
Для коротких набивных и буровых свай (длиной менее 3,5 м) в обоснованных случаях допускается предусматривать применение тяжелого бетона класса не ниже В7,5.
2.7. Железобетонные ростверки свайных фундаментов для всех зданий и сооружений, кроме опор, мостов, гидротехнических сооружений и больших переходов воздушных линий электропередачи, следует проектировать из тяжелого бетона класса, не ниже:
для сборных ростверков - В15,
" монолитных " - В12,5.
Для опор больших переходов воздушных линий электропередачи класс бетона сборных и монолитных ростверков следует принимать В22,5 и В15 соответственно.
Для опор мостов класс бетона свай и свайных ростверков следует назначать в соответствии с требованиями
СНиП 2.05.03-84, для гидротехнических сооружений -
СНиП 2.06.06-85.
2.8. Бетон для замоноличивания железобетонных колонн в стаканах свайных ростверков, а также оголовков свай при сборных ленточных ростверках следует предусматривать в соответствии с требованиями
СНиП 2.03.01-84, предъявляемыми к бетону для заделки стыков сборных конструкций, но не ниже класса В12,5.
Примечание. При проектировании мостов и гидротехнических сооружений класс бетона для замоноличивания сборных элементов свайных фундаментов должен быть на ступень выше по сравнению с классом бетона соединяемых сборных элементов.
2.9. Марки бетона по морозостойкости и водонепроницаемости свай и свайных ростверков следует назначать, руководствуясь требованиями
ГОСТ 19804.0-78,
СНиП 2.03.01-84, для мостов и гидротехнических сооружений - соответственно
СНиП 2.05.03-84 и
СНиП 2.06.06-85.
| | ИС МЕГАНОРМ: примечание. Взамен ГОСТ 9463-72 Постановлением Госстандарта СССР от 21.04.1988 N 33 с 1 января 1991 года введен в действие ГОСТ 9463-88. | |
2.10. Деревянные сваи должны быть изготовлены из бревен хвойных пород (сосны, ели, лиственницы, пихты) диаметром 22 - 34 см и длиной 6,5 и 8,5 м, соответствующих требованиям ГОСТ 9463-72.
Бревна для изготовления свай должны быть очищены от коры, наростов и сучьев. Естественная коничность (сбег) бревен сохраняется. Размеры поперечного сечения, длина и конструкция пакетных свай принимаются по результатам расчета и в соответствии с особенностями проектируемого объекта.
Примечание. Возможность применения для деревянных свай бревен длиной более 8,5 м допускается только по согласованию с предприятием - изготовителем свай.
2.11. Стыки бревен или брусьев в стыкованных по длине деревянных сваях и в пакетных сваях осуществляются впритык с перекрытием металлическими накладками или патрубками. Стыки в пакетных сваях должны быть расположены вразбежку на расстоянии один от другого не менее 1,5 м.
3. ОСНОВНЫЕ УКАЗАНИЯ ПО РАСЧЕТУ
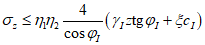
3.1. Расчет свайных фундаментов и их оснований должен быть выполнен по предельным состояниям:
а) первой группы:
по прочности материала свай и свайных ростверков (см.
п. 3.6);
по несущей способности грунта основания свай (см.
п. 3.10);
по несущей способности оснований свайных фундаментов, если на них передаются значительные горизонтальные нагрузки (подпорные стены, фундаменты распорных конструкций и др.) или если основания ограничены откосами или сложены крутопадающими слоями грунта и т.п. (см.
п. 3.13);
б) второй группы:
по осадкам оснований свай и свайных фундаментов от вертикальных нагрузок (см.
п. 3.15,
разд. 6);
по перемещениям свай (горизонтальным

, углам поворота головы свай

) совместно с грунтом оснований от действия горизонтальных нагрузок и моментов (см. рекомендуемое
Приложение 1);
по образованию или раскрытию трещин в элементах железобетонных конструкций свайных фундаментов (см.
п. 3.6).
3.2. Нагрузки и воздействия, учитываемые в расчетах свайных фундаментов, коэффициенты надежности по нагрузке, а также возможные сочетания нагрузок следует принимать в соответствии с требованиями
СНиП 2.01.07-85 с учетом указаний
СНиП 2.02.01-83.
Значения нагрузок необходимо умножать на коэффициенты надежности по назначению, принимаемые согласно "
Правилам учета степени ответственности зданий и сооружений при проектировании конструкций", утвержденным Госстроем СССР.
3.3. Расчет свай, свайных фундаментов и их оснований по несущей способности необходимо выполнять на основные и особые сочетания нагрузок, по деформациям - на основные сочетания.
3.4. Нагрузки, воздействия, их сочетания и коэффициенты надежности по нагрузке при расчете свайных фундаментов мостов и гидротехнических сооружений следует принимать согласно требованиям СНиП 2.03.05-84 и
СНиП 2.06.06-85.
3.5. Все расчеты свай, свайных фундаментов и их оснований следует выполнять с использованием расчетных значений характеристик материалов и грунтов.
Расчетные значения характеристик грунтов следует определять по указаниям
СНиП 2.02.01-83, а расчетные значения коэффициентов постели грунта

, окружающего сваю, следует принимать по указаниям рекомендуемого
Приложения 1.
Расчетные сопротивления грунта под нижним концом сваи R и на боковой поверхности сваи

следует определять по указаниям
разд. 4.
При наличии результатов полевых исследований, проведенных в соответствии с требованиями
разд. 5, несущую способность грунта основания свай следует определять с учетом данных статического зондирования грунтов, испытаний грунтов эталонными сваями или по данным динамических испытаний свай. В случае проведения испытаний свай статической нагрузкой несущую способность грунта основания сваи следует принимать по результатам этих испытаний.
Расчет элементов железобетонных конструкций свайных фундаментов по образованию и раскрытию трещин следует производить в соответствии с требованиями
СНиП 2.03.01-84, для мостов и гидротехнических сооружений - также с учетом требований
СНиП 2.05.03-84 и
СНиП 2.06.06-85 соответственно.
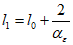
3.7. При расчете свай всех видов по прочности материала сваю следует рассматривать как стержень, жестко защемленный в грунте в сечении, расположенном от подошвы ростверка на расстоянии

, определяемом по формуле

, (1)
где

- длина участка сваи от подошвы высокого ростверка до уровня планировки грунта, м;

- коэффициент деформации, 1/м, определяемый по рекомендуемому
Приложению 1.
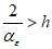
Если для буровых свай и свай-оболочек, заглубленных сквозь толщу нескального грунта и заделанных в скальный грунт, отношение

, то следует принимать

(где h - глубина погружения сваи или сваи-оболочки, отсчитываемая от ее нижнего конца до уровня планировки грунта при высоком ростверке, подошва которого расположена над грунтом, и до подошвы ростверка при низком ростверке, подошва которого опирается или заглублена в нескальные грунты, за исключением сильносжимаемых, м).
При расчете по прочности материала буроинъекционных свай, прорезающих сильносжимаемые грунты с модулем деформации Е = 5000 кПа (50 кгс/см2) и менее, расчетную длину свай на продольный изгиб

, в зависимости от диаметра свай d следует принимать равной:
при Е = 500 - 2000 кПа (5 - 20 кгс/см2)

= 25d;
при Е = 2000 - 5000 кПа (20 - 50 кгс/см2)

= 15d.
В случае, если

превышает толщину слоя сильносжимаемого грунта

, расчетную длину следует принимать равной 2

.
3.8. При расчете набивных и буровых свай (кроме свай-столбов и буроопускных свай) по прочности материала расчетное сопротивление бетона следует принимать с учетом коэффициента условий работы

= 0,85 согласно указаниям
СНиП 2.03.01-84 и коэффициента условий работы, учитывающего влияние способа производства свайных работ:
а) в пылевато-глинистых грунтах, если возможны бурение скважин и бетонирование их насухо без крепления стенок при положении уровня подземных вод в период строительства ниже пяты свай,

= 1,0;
б) в грунтах, бурение скважин и бетонирование в которых производятся насухо с применением извлекаемых обсадных труб,

= 0,9;
в) в грунтах, бурение скважин и бетонирование в которых осуществляются при наличии в них воды с применением извлекаемых обсадных труб,

= 0,8;
г) в грунтах, бурение скважин и бетонирование в которых выполняются под глинистым раствором или под избыточным давлением воды (без обсадных труб),

= 0,7.
Примечание. Бетонирование под водой или под глинистым раствором следует производить только методом вертикально перемещаемой трубы (ВПТ) или с помощью бетононасосов.
3.9. Расчеты конструкций свай всех видов следует производить на воздействие нагрузок, передаваемых на них от здания или сооружения, а забивных свай, кроме того, на усилия, возникающие в них от собственного веса при изготовлении, складировании, транспортировании свай, а также при подъеме их на копер за одну точку, удаленную от головы свай на

(где

- длина сваи).
Усилие в свае (как балке) от воздействия собственного веса следует определять с учетом коэффициента динамичности, равного:
1,5 - при расчете по прочности;
1,25 - при расчете по образованию и раскрытию трещин.
В этих случаях коэффициент надежности по нагрузке к собственному весу сваи принимается равным единице.
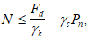
3.10. Одиночную сваю в составе фундамента и вне его по несущей способности грунтов основания следует рассчитывать исходя из условия

, (2)
где N - расчетная нагрузка, передаваемая на сваю (продольное усилие, возникающее в ней от расчетных нагрузок, действующих на фундамент при наиболее невыгодном их сочетании), определяемая в соответствии с указаниями
п. 3.11;

- расчетная несущая способность грунта основания одиночной сваи, называемая в дальнейшем несущей способностью сваи и определяемая в соответствии с указаниями
разд. 4 и
5.
Коэффициент надежности

принимается равным:
1,2 - если несущая способность свай определена по результатам полевых испытаний статической нагрузкой;
1,25 - если несущая способность сваи определена расчетом по результатам статического зондирования грунта, по результатам динамических испытаний сваи, выполненных с учетом упругих деформаций грунта, а также по результатам полевых испытаний грунтов эталонной сваей или сваей-зондом;
1,4 - если несущая способность сваи определена расчетом, в том числе по результатам динамических испытаний свай, выполненных без учета упругих деформаций грунта;
1,4 (1,25) <*> - для фундаментов опор мостов при низком ростверке, висячих сваях и сваях-стойках, при высоком ростверке - только при сваях-стойках, воспринимающих сжимающую нагрузку, независимо от числа свай в фундаменте;
--------------------------------
<*> В скобках даны значения

в случае, когда несущая способность сваи определена по результатам полевых испытаний статической нагрузкой или расчетом по результатам статического зондирования грунтов.
при высоком или низком ростверке, подошва которого опирается на сильносжимаемый грунт, и висячих сваях, воспринимающих сжимающую нагрузку, а также при любом виде ростверка и висячих сваях и сваях-стойках, воспринимающих выдергивающую нагрузку,

принимается в зависимости от числа свай в фундаменте:
при 21 свае и более ................. 1,4 (1,25)
от 11 до 20 свай ................... 1,55 (1,4)
" 6 " 10 " ................... 1,65 (1,5)
" 1 " 5 " ................... 1,75 (1,6)
для фундаментов из одиночной сваи под колонну при нагрузке на забивную сваю квадратного сечения более 600 кН (60 тс) и набивную сваю - более 2500 кН (250 тс) значение коэффициента

следует принимать равным 1,4, если несущая способность сваи определена по результатам испытаний статической нагрузкой, и 1,6, если несущая способность сваи определена другими способами;

= 1 - для сплошных свайных полей жестких сооружений с предельной осадкой 30 см и более (при числе свай более 100), если несущая способность сваи определена по результатам статических испытаний.
Примечания. 1. При расчете свай всех видов как на вдавливающие, так и на выдергивающие нагрузки продольное усилие, возникающее в свае от расчетной нагрузки N, следует определять с учетом собственного веса сваи, принимаемого с коэффициентом надежности по нагрузке, увеличивающим расчетное усилие.
2. Если расчет свайных фундаментов производится с учетом ветровых и крановых нагрузок, то воспринимаемую крайними сваями расчетную нагрузку допускается повышать на 20% (кроме фундаментов опор линий электропередачи).
Если сваи фундамента опоры моста в направлении действия внешних нагрузок образуют один или несколько рядов, то при учете (совместном или раздельном) нагрузок от торможения, давления ветра, льда и навала судов, воспринимаемых наиболее нагруженной сваей, расчетную нагрузку допускается повышать на 10% при четырех сваях в ряду и на 20% при восьми сваях и более. При промежуточном числе свай процент повышения расчетной нагрузки определяется интерполяцией.
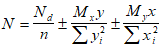
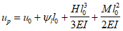
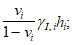
3.11. Расчетную нагрузку на сваю N, кН (тс), следует определять, рассматривая фундамент как рамную конструкцию, воспринимающую вертикальные и горизонтальные нагрузки и изгибающие моменты.
Для фундаментов с вертикальными сваями расчетную нагрузку на сваю допускается определять по формуле

, (3)
где

- расчетная сжимающая сила, кН (тс);

,

- расчетные изгибающие моменты,

, относительно главных центральных осей х и у плана свай в плоскости подошвы ростверка;
n - число свай в фундаменте;

,

- расстояния от главных осей до оси каждой сваи, м;
х, у - расстояния от главных осей до оси каждой сваи, для которой вычисляется расчетная нагрузка, м.
3.12. Горизонтальную нагрузку, действующую на фундамент с вертикальными сваями одинакового поперечного сечения, допускается принимать равномерно распределенной между всеми сваями.
3.13. Проверка устойчивости свайного фундамента и его основания должна производиться в соответствии с требованиями
СНиП 2.02.01-83 с учетом действия дополнительных горизонтальных реакций от свай, приложенных к сдвигаемой части грунта.
3.14. Сваи и свайные фундаменты следует рассчитывать по прочности материала и производить проверку устойчивости фундаментов при действии сил морозного пучения, если основание сложено пучинистыми грунтами.
3.15. Расчет свай и свайных фундаментов по деформациям следует производить исходя из условия

, (4)
где s - совместная деформация сваи, свайного фундамента и сооружения (осадка, перемещение, относительная разность осадок свай, свайных фундаментов и т.п.), определяемая расчетом по указаниям
пп. 3.3,
3.4,
разд. 6 и рекомендуемого
Приложения 1;

- предельное значение совместной деформации основания сваи, свайного фундамента и сооружения, устанавливаемое по указаниям
СНиП 2.02.01-83, а для мостов -
СНиП 2.05.03-84.
4. РАСЧЕТ НЕСУЩЕЙ СПОСОБНОСТИ СВАЙ
4.1. Несущую способность

, кН (тс), забивной сваи, сваи-оболочки, набивной и буровой свай, опирающихся на скальный грунт, а также забивной сваи, опирающейся на малосжимаемый грунт (см.
примечание к п. 2.2), следует определять по формуле

, (5)
где

- коэффициент условий работы сваи в грунте, принимаемый

= 1;
A - площадь опирания на грунт сваи, м2, принимаемая для свай сплошного сечения равной площади поперечного сечения, а для свай полых круглого сечения и свай-оболочек - равной площади поперечного сечения нетто при отсутствии заполнения их полости бетоном и равной площади поперечного сечения брутто при заполнении этой полости бетоном на высоту не менее трех ее диаметров.
Расчетное сопротивление грунта R под нижним концом сваи-стойки, кПа (тс/м2), следует принимать:
а) для всех видов забивных свай, опирающихся на скальные и малосжимаемые грунты, R = 20000 кПа (2000 тс/м2);
б) для набивных и буровых свай и свай-оболочек, заполняемых бетоном и заделанных в невыветрелый скальный грунт (без слабых прослоек) не менее чем на 0,5 м, - по формуле

, (6)
где

- нормативное значение предела прочности на одноосное сжатие скального грунта в водонасыщенном состоянии, кПа (тс/м2).

- коэффициент надежности по грунту, принимаемый

= 1,4;

- расчетная глубина заделки набивной и буровой свай и сваи-оболочки в скальный грунт, м;

- наружный диаметр заделанной в скальный грунт части набивной и буровой свай и сваи-оболочки, м;
в) для свай-оболочек, равномерно опираемых на поверхность невыветрелого скального грунта, прикрытого слоем нескальных неразмываемых грунтов толщиной не менее трех диаметров сваи-оболочки, - по формуле

(7)
Примечание. При наличии в основании набивных, буровых свай и свай-оболочек выветрелых, а также размягчаемых скальных грунтов их предел прочности на одноосное сжатие следует принимать по результатам испытаний штампами или по результатам испытаний свай и свай-оболочек статической нагрузкой.
Висячие забивные сваи всех видов и сваи-оболочки,
погружаемые без выемки грунта
4.2. Несущую способность

, кН (тс), висячей забивной сваи и сваи-оболочки, погружаемой без выемки грунта, работающих на сжимающую нагрузку, следует определять как сумму сил расчетных сопротивлений грунтов основания под нижним концом сваи и на ее боковой поверхности по формуле

(8)
где

- коэффициент условий работы сваи в грунте, принимаемый

= 1;
R - расчетное сопротивление грунта под нижним концом сваи, кПа (тс/м2), принимаемое по
табл. 1;
A - площадь опирания на грунт сваи, м2, принимаемая по площади поперечного сечения сваи брутто или по площади поперечного сечения камуфлетного уширения по его наибольшему диаметру, или по площади сваи-оболочки нетто;
u - наружный периметр поперечного сечения сваи, м;

- расчетное сопротивление i-го слоя грунта основания на боковой поверхности сваи, кПа (тс/м2), принимаемое по
табл. 2;

- толщина i-го слоя грунта, соприкасающегося с боковой поверхностью сваи, м;

,

- коэффициенты условий работы грунта соответственно под нижним концом и на боковой поверхности сваи, учитывающие влияние способа погружения сваи на расчетные сопротивления грунта и принимаемые по
табл. 3.
В
формуле (8) суммировать сопротивления грунта следует по всем слоям грунта, пройденным сваей, за исключением случаев, когда проектом предусматривается планировка территории срезкой или возможен размыв грунта. В этих случаях следует суммировать сопротивления всех слоев грунта, расположенных соответственно ниже уровня планировки (срезки) и дна водоема после его местного размыва при расчетном паводке.
Глубина погружения нижнего конца сваи, м | Расчетные сопротивления под нижним концом забивных свай и свай-оболочек, погружаемых без выемки грунта, R, кПа (тс/м2) |
песчаных грунтов средней плотности |
гравелистых | крупных | - | средней крупности | мелких | пылеватых | - |
пылевато-глинистых грунтов при показателе текучести IL, равном |
0 | 0,1 | 0,2 | 0,3 | 0,4 | 0,5 | 0,6 |
3 | 7500 (750) | 6600 (660) --------- 4000 (400) | 3000 (300) | 3100 (310) --------- 2000 (200) | 2000 (200) --------- 1200 (120) | 1100 (110) | 600 (60) |
4 | 8300 (830) | 6800 (680) --------- 5100 (510) | 3800 (380) | 3200 (320) --------- 2500 (250) | 2100 (210) --------- 1600 (160) | 1250 (125) | 700 (70) |
5 | 8800 (880) | 7000 (700) --------- 6200 (620) | 4000 (400) | 3400 (340) --------- 2800 (280) | 2200 (220) --------- 2000 (200) | 1300 (130) | 800 (80) |
7 | 9700 (970) | 7300 (730) --------- 6900 (690) | 4300 (430) | 3700 (370) --------- 3300 (330) | 2400 (240) --------- 2200 (220) | 1400 (140) | 850 (85) |
10 | 10500 (1050) | 7700 (770) --------- 7300 (730) | 5000 (500) | 4000 (400) --------- 3500 (350) | 2600 (260) --------- 2400 (240) | 1500 (150) | 900 (90) |
15 | 11700 (1170) | 8200 (820) --------- 7500 (750) | 5600 (560) | 4400 (440) --------- 4000 (400) | 2900 (290) | 1650 (165) | 1000 (100) |
20 | 12600 (1260) | 8500 (850) | 6200 (620) | 4800 (480) --------- 4500 (450) | 3200 (320) | 1800 (180) | 1100 (110) |
25 | 13400 (1340) | 9000 (900) | 6800 (680) | 5200 (520) | 3500 (350) | 1950 (195) | 1200 (120) |
30 | 14200 (1420) | 9500 (950) | 7400 (740) | 5600 (560) | 3800 (380) | 2100 (210) | 1300 (130) |
35 | 15000 (1500) | 10000 (1000) | 8000 (800) | 6000 (600) | 4100 (410) | 2250 (225) | 1400 (140) |
Примечания. 1. Над чертой даны значения R для песчаных грунтов, под чертой - для пылевато-глинистых. 2. В табл. 1 и 2 глубину погружения нижнего конца сваи и среднюю глубину расположения слоя грунта при планировке территории срезкой, подсыпкой, намывом до 3 м следует принимать от уровня природного рельефа, а при срезке, подсыпке, намыве от 3 до 10 м - от условной отметки, расположенной соответственно на 3 м выше уровня срезки или на 3 м ниже уровня подсыпки. Глубину погружения нижнего конца сваи и среднюю глубину расположения слоя грунта в водоеме следует принимать от уровня дна после общего размыва расчетным паводком, на болотах - от уровня дна болота. При проектировании путепроводов через выемки глубиной до 6 м для свай, забиваемых молотами без подмыва или устройства лидерных скважин, глубину погружения в грунт нижнего конца сваи в табл. 1 следует принимать от уровня природного рельефа в месте сооружения фундамента. Для выемок глубиной более 6 м глубину погружения свай следует принимать как для выемок глубиной 6 м. 3. Для промежуточных глубин погружения свай и промежуточных значений показателя текучести IL пылевато-глинистых грунтов значения R и fi в табл. 1 и 2 определяются интерполяцией. 4. Для плотных песчаных грунтов, степень плотности которых определена по данным статического зондирования, значения R по табл. 1 для свай, погруженных без использования подмыва или лидерных скважин, следует увеличить на 100%. При определении степени плотности грунта по данным других видов инженерных изысканий и отсутствии данных статического зондирования для плотных песков значения R по табл. 1 следует увеличить на 60%, но не более чем до 20000 кПа (2000 тс/м 2). 5. Значения расчетных сопротивлений R по табл. 1 допускается использовать при условии, если заглубление свай в неразмываемый и несрезаемый грунт составляет не менее, м: 4,0 - для мостов и гидротехнических сооружений; 3,0 - для зданий и прочих сооружений. 6. Значения расчетного сопротивления R под нижним концом забивных свай сечением 0,15 x 0,15 м и менее, используемых в качестве фундаментов под внутренние перегородки одноэтажных производственных зданий, допускается увеличивать на 20%. 7. Для супесей при числе пластичности lp <= 4 и коэффициенте пористости e < 0,8 расчетные сопротивления R и fi следует определять как для пылеватых песков средней плотности. |
Средняя глубина расположения слоя грунта, м | Расчетные сопротивления на боковой поверхности забивных свай и свай-оболочек fi, кПа (тс/м2) |
песчаных грунтов средней плотности |
крупных и средней крупности | мелких | пылеватых | - | - | - | - | - | - |
пылевато-глинистых грунтов при показателе текучести IL, равном |
0,2 | 0,3 | 0,4 | 0,5 | 0,6 | 0,7 | 0,8 | 0,9 | 1,0 |
1 | 35(3,5) | 23(2,3) | 15(1,5) | 12(1,2) | 8(0,8) | 4(0,4) | 4(0,4) | 3(0,3) | 2(0,2) |
2 | 42(4,2) | 30(3,0) | 21(2,1) | 17(1,7) | 12(1,2) | 7(0,7) | 5(0,5) | 4(0,4) | 4(0,4) |
3 | 48(4,8) | 35(3,5) | 25(2,5) | 20(2,0) | 14(1,4) | 8(0,8) | 7(0,7) | 6(0,6) | 5(0,5) |
4 | 53(5,3) | 38(3,8) | 27(2,7) | 22(2,2) | 16(1,6) | 9(0,9) | 8(0,8) | 7(0,7) | 5(0,5) |
5 | 56(5,6) | 40(4,0) | 29(2,9) | 24(2,4) | 17(1,7) | 10(1,0) | 8(0,8) | 7(0,7) | 6(0,6) |
6 | 58(5,8) | 42(4,2) | 31(3,1) | 25(2,5) | 18(1,8) | 10(1,0) | 8(0,8) | 7(0,7) | 6(0,6) |
8 | 62(6,2) | 44(4,4) | 33(3,3) | 26(2,6) | 19(1,9) | 10(1,0) | 8(0,8) | 7(0,7) | 6(0,6) |
10 | 65(6,5) | 46(4,6) | 34(3,4) | 27(2,7) | 19(1,9) | 10(1,0) | 8(0,8) | 7(0,7) | 6(0,6) |
15 | 72(7,2) | 51(5,1) | 38(3,8) | 28(2,8) | 20(2,0) | 11(1,1) | 8(0,8) | 7(0,7) | 6(0,6) |
20 | 79(7,9) | 56(5,6) | 41(4,1) | 30(3,0) | 20(2,0) | 12(1,2) | 8(0,8) | 7(0,7) | 6(0,6) |
25 | 86(8,6) | 61(6,1) | 44(4,4) | 32(3,2) | 20(2,0) | 12(1,2) | 8(0,8) | 7(0,7) | 6(0,6) |
30 | 93(9,3) | 66(6,6) | 47(4,7) | 34(3,4) | 21(2,1) | 12(1,2) | 9(0,9) | 8(0,8) | 7(0,7) |
35 | 100(10,0) | 70(7,0) | 50(5,0) | 36(3,6) | 22(2,2) | 13(1,3) | 9(0,9) | 8(0,8) | 7(0,7) |
Примечания. 1. При определении расчетного сопротивления грунта на боковой поверхности свай fi по табл. 2 следует учитывать требования, изложенные в примеч. 2 и 3 к табл. 1. 2. При определении по табл. 2 расчетных сопротивлений грунтов на боковой поверхности свай fi пласты грунтов следует расчленять на однородные слои толщиной не более 2 м. 3. Значения расчетного сопротивления плотных песчаных грунтов на боковой поверхности свай fi следует увеличивать на 30% по сравнению со значениями, приведенными в табл. 2. 4. Расчетные сопротивления супесей и суглинков с коэффициентом пористости e < 0,5 и глин с коэффициентом пористости e < 0,6 следует увеличивать на 15% по сравнению со значениями, приведенными в табл. 2, при любых значениях показателя текучести. |
Способы погружения забивных свай и свай-оболочек, погружаемых без выемки грунта, и виды грунтов | Коэффициенты условий работы грунта при расчете несущей способности свай |
под нижним концом  | на боковой поверхности  |
1. Погружение сплошных и полых с закрытым нижним концом свай механическими (подвесными), паровоздушными и дизельными молотами | 1,0 | 1,0 |
2. Погружение забивкой и вдавливанием в предварительно пробуренные лидерные скважины с заглублением концов свай не менее 1 м ниже забоя скважины при ее диаметре: | | |
а) равном стороне квадратной сваи | 1,0 | 0,5 |
б) на 0,05 м менее стороны квадратной сваи | 1,0 | 0,6 |
в) на 0,15 м менее стороны квадратной или диаметра сваи круглого сечения (для опор линий электропередачи) | 1,0 | 1,0 |
3. Погружение с подмывом в песчаные грунты при условии добивки свай на последнем этапе погружения без применения подмыва на 1 м и более | 1,0 | 0,9 |
4. Вибропогружение свай-оболочек, вибропогружение и вибровдавливание свай в грунты: | | |
а) песчаные средней плотности: | | |
крупные и средней крупности | 1,2 | 1,0 |
мелкие | 1,1 | 1,0 |
пылеватые | 1,0 | 1,0 |
б) пылевато-глинистые с показателем текучести IL = 0,5: | | |
супеси | 0,9 | 0,9 |
суглинки | 0,8 | 0,9 |
глины | 0,7 | 0,9 |
в) пылевато-глинистые с показателем текучести IL <= 0 | 1,0 | 1,0 |
5. Погружение молотами любой конструкции полых железобетонных свай с открытым нижним концом: | | |
а) при диаметре полости сваи 0,4 м и менее | 1,0 | 1,0 |
б) то же, от 0,4 до 0,8 м | 0,7 | 1,0 |
6. Погружение любым способом полых свай круглого сечения с закрытым нижним концом на глубину 10 м и более с последующим устройством в нижнем конце свай камуфлетного уширения в песчаных грунтах средней плотности и в пылевато-глинистых грунтах с показателем текучести IL <= 0,5 при диаметре уширения, равном: | | |
а) 1,0 м независимо от указанных видов грунта | 0,9 | 1,0 |
б) 1,5 м в песках и супесях | 0,8 | 1,0 |
в) 1,5 м в суглинках и глинах | 0,7 | 1,0 |
7. Погружение вдавливанием свай: | | |
а) в пески средней плотности крупные, средней крупности и мелкие | 1,1 | 1,0 |
б) в пески пылеватые | 1,1 | 0,8 |
в) в пылевато-глинистые грунты с показателем текучести IL < 0,5 | 1,1 | 1,0 |
г) то же, IL >= 0,5 | 1,0 | 1,0 |
Примечание. Коэффициенты  и  по поз. 4 табл. 3 для пылевато-глинистых грунтов с показателем текучести 0,5 > IL > 0 определяются интерполяцией. |
Примечания. 1. Несущую способность забивных булавовидных свай следует определять по
формуле (8), при этом за периметр u на участке ствола следует принимать периметр поперечного сечения ствола сваи, на участке уширения - периметр поперечного сечения уширения.
Расчетное сопротивление

грунта на боковой поверхности таких свай на участке уширения, а в песчаных грунтах - и на участке ствола следует принимать таким же, как для свай без уширения; в пылевато-глинистых грунтах сопротивление

на участке ствола, расположенного в створе уширения, следует принимать равным нулю.
2. Расчетные сопротивления грунтов R и

в
формуле (8) для лессовых пылевато-глинистых грунтов при глубине погружения свай более 5 м следует принимать по значениям, указанным в
табл. 1 и
2 для глубины 5 м.
Кроме того, для этих грунтов в случае возможности их замачивания расчетные сопротивления R и

, указанные в
табл. 1 и
2, следует принимать при показателе текучести, соответствующем полному водонасыщению грунта.
4.3. Для забивных свай, опирающихся нижним концом на рыхлые песчаные грунты или на пылевато-глинистые грунты с показателем текучести

> 0,6, несущую способность следует определять по результатам статических испытаний свай.
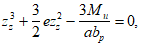
4.4. Несущую способность пирамидальной, трапецеидальной и ромбовидной свай, прорезающих песчаные и пылевато-глинистые грунты,

, кН (тс), с наклоном боковых граней

0,025 следует определять по формуле

, (9)

- наружный периметр i-го сечения сваи, м;

- сумма размеров сторон i-го поперечного сечения сваи, м, которые имеют наклон к оси сваи;

- наклон боковых граней сваи в долях единицы;

- модуль деформации i-го слоя грунта, окружающего боковую поверхность сваи, кПа (тс/м2), определяемый по результатам компрессионных испытаний;

- коэффициент, зависящий от вида грунта и принимаемый по
табл. 4;

- реологический коэффициент, принимаемый

= 0,8.
Примечания. 1. При ромбовидных сваях суммирование сопротивлений грунта на боковой поверхности участков с обратным наклоном в
формуле (9) не производится.
2. Расчет пирамидальных свай с наклоном боковых граней

допускается производить в соответствии с требованиями рекомендуемого
Приложения 2 при наличии результатов прессиометрических испытаний, а при их отсутствии - по
формуле (9), принимая значение

равным 0,025.
Грунты | Коэффициент ki |
Пески и супеси | 0,5 |
Суглинки | 0,6 |
Глины: | |
при Ip = 18 | 0,7 |
при Ip = 25 | 0,9 |
Примечание. Для глин с числом пластичности 18 < Ip < 25 значения коэффициента ki определяются интерполяцией. |
4.5. Несущую способность

, кН (тс), висячей забивной сваи и сваи-оболочки, погружаемой без выемки грунта, работающих на выдергивающую нагрузку, следует определять по формуле

, (10)

- коэффициент условий работы; для свай, погружаемых в грунт на глубину менее 4 м,

= 0,6, на глубину 4 м и более,

= 0,8 - для всех зданий и сооружений, кроме опор воздушных линий электропередачи, для которых коэффициент принимается по указаниям
разд. 12.
Примечание. В фундаментах опор мостов не допускается работа свай на выдергивание при действии одних постоянных нагрузок.
Висячие набивные и буровые сваи и сваи-оболочки,
заполняемые бетоном
4.6. Несущую способность

, кН (тс), набивной и буровой свай с уширением и без уширения, а также сваи-оболочки, погружаемой с выемкой грунта и заполняемой бетоном, работающих на сжимающую нагрузку, следует определять по формуле

, (11)
где

- коэффициент условий работы сваи; в случае опирания ее на пылевато-глинистые грунты со степенью влажности

< 0,9 и на лессовые грунты

= 0,8, в остальных случаях

= 1;

- коэффициент условий работы грунта под нижним концом сваи;

= 1 во всех случаях, за исключением свай с камуфлетными уширениями, для которых этот коэффициент следует принимать

= 1,3, и свай с уширением, бетонируемым подводным способом, для которых

= 0,9, а также опор воздушных линий электропередачи, для которых коэффициент принимается по указаниям
разд. 12;
R - расчетное сопротивление грунта под нижним концом сваи, кПа (тс/м2), принимаемое по указаниям
п. 4.7, а для набивной, изготовляемой по технологии, указанной в п. 2.4,
а,
б, - по
табл. 1;
A - площадь опирания сваи, м2, принимаемая равной: для набивных и буровых свай без уширения - площади поперечного сечения сваи; для набивных и буровых свай с уширением - площади поперечного сечения уширения в месте наибольшего его диаметра; для свай-оболочек, заполняемых бетоном, - площади поперечного сечения оболочки брутто;
u - периметр поперечного сечения ствола сваи, м;

- коэффициент условий работы грунта на боковой поверхности сваи, зависящий от способа образования скважины и условий бетонирования и принимаемый по
табл. 5;

- расчетное сопротивление i-го слоя грунта на боковой поверхности ствола сваи, кПа (тс/м2), принимаемое по
табл. 2;
Примечание. Сопротивление песчаных грунтов на боковой поверхности сваи с уширением следует учитывать на участке от уровня планировки до уровня пересечения ствола сваи с поверхностью воображаемого конуса, имеющего в качестве образующей линию, касающуюся поверхности уширения под углом

к оси сваи, где

- осредненное (по слоям) расчетное значение угла внутреннего трения грунта, залегающего в пределах указанного конуса, определяемое в соответствии с требованиями
п. 3.5. Сопротивление пылевато-глинистых грунтов допускается учитывать по всей длине ствола.
Сваи и способы их устройства | Коэффициент условий работы сваи  |
в песках | в супесях | в суглинках | в глинах |
1. Набивные по п. 2.5, а при забивке инвентарной трубы с наконечником | 0,8 | 0,8 | 0,8 | 0,7 |
2. Набивные виброштампованные | 0,9 | 0,9 | 0,9 | 0,9 |
3. Буровые, в том числе с уширением, бетонируемые: | | | | |
а) при отсутствии воды в скважине (сухим способом), а также при использовании обсадных инвентарных труб | 0,7 | 0,7 | 0,7 | 0,6 |
б) под водой или под глинистым раствором | 0,6 | 0,6 | 0,6 | 0,6 |
в) жесткими бетонными смесями, укладываемыми с помощью глубинной вибрации (сухим способом) | 0,8 | 0,8 | 0,8 | 0,7 |
4. Буронабивные, полые круглые, устраиваемые при отсутствии воды в скважине с помощью вибросердечника | 0,8 | 0,8 | 0,8 | 0,7 |
5. Сваи-оболочки, погружаемые вибрированием с выемкой грунта | 1,0 | 0,9 | 0,7 | 0,6 |
6. Сваи-столбы | 0,7 | 0,7 | 0,7 | 0,6 |
7. Буроинъекционные, изготовляемые под защитой обсадных труб или бентонитового раствора с опрессовкой давлением 200 - 400 кПа (2 - 4 атм) | 0,9 | 0,8 | 0,8 | 0,8 |
4.7. Расчетное сопротивление R, кПа (тс/м2), грунта под нижним концом сваи следует принимать:
а) для крупнообломочных грунтов с песчаным заполнителем и песчаных грунтов в основании набивной и буровой свай с уширением и без уширения, сваи-оболочки, погружаемой с полным удалением грунтового ядра, - по формуле (12), а сваи-оболочки, погружаемой с сохранением грунтового ядра из указанных грунтов на высоту 0,5 м и более, - по формуле (13):

; (12)

; (13)
где

,

,

,

- безразмерные коэффициенты, принимаемые по
табл. 6 в зависимости от расчетного значения угла внутреннего трения грунта основания, определенного в соответствии с указаниями
п. 3.5;

- расчетное значение удельного веса грунта, кН/м3 (тс/м3), в основании сваи (при водонасыщенных грунтах с учетом взвешивающего действия воды);

- осредненное (по слоям) расчетное значение удельного веса грунтов, кН/м3 (тс/м3), расположенных выше нижнего конца сваи (при водонасыщенных грунтах с учетом взвешивающего действия воды);
d - диаметр, м, набивной и буровой свай, диаметр уширения (для сваи с уширением), сваи-оболочки или диаметр скважины для сваи-столба, омоноличенного в грунте цементно-песчаным раствором;
h - глубина заложения, м, нижнего конца сваи или ее уширения, отсчитываемая от природного рельефа или уровня планировки (при планировке срезкой), для опор мостов - от дна водоема после его общего размыва при расчетном паводке;
б) для пылевато-глинистых грунтов в основании - по
табл. 7.
Примечание. Указания
п. 4.7 относятся к случаям, когда обеспечивается заглубление свай в грунт, принятый за основание их нижних концов, не менее чем на диаметр сваи (или уширения для сваи с уширением), но не менее чем на 2 м.
Коэффициенты | Расчетные значения угла внутреннего трения грунта  , град |
23 | 25 | 27 | 29 | 31 | 33 | 35 | 37 | 39 |
| 9,5 | 12,6 | 17,3 | 24,4 | 34,6 | 48,6 | 71,3 | 108,0 | 163,0 |
| 18,6 | 24,8 | 32,8 | 45,5 | 64,0 | 87,6 | 127,0 | 185,0 | 260,0 |
 при h/d, равном, м: | | | | | | | | | |
4,0 | 0,78 | 0,79 | 0,80 | 0,82 | 0,84 | 0,85 | 0,85 | 0,85 | 0,87 |
5,0 | 0,75 | 0,76 | 0,77 | 0,79 | 0,81 | 0,82 | 0,83 | 0,84 | 0,85 |
7,5 | 0,68 | 0,70 | 0,71 | 0,74 | 0,76 | 0,78 | 0,80 | 0,82 | 0,84 |
10,0 | 0,62 | 0,65 | 0,67 | 0,70 | 0,73 | 0,75 | 0,77 | 0,79 | 0,81 |
12,5 | 0,58 | 0,61 | 0,68 | 0,67 | 0,70 | 0,73 | 0,75 | 0,78 | 0,80 |
15,0 | 0,55 | 0,58 | 0,61 | 0,65 | 0,68 | 0,71 | 0,73 | 0,76 | 0,79 |
17,5 | 0,51 | 0,55 | 0,58 | 0,62 | 0,66 | 0,69 | 0,72 | 0,75 | 0,78 |
20,0 | 0,49 | 0,53 | 0,57 | 0,61 | 0,65 | 0,68 | 0,72 | 0,75 | 0,78 |
22,5 | 0,46 | 0,51 | 0,55 | 0,60 | 0,64 | 0,67 | 0,71 | 0,74 | 0,77 |
25,0 и более | 0,44 | 0,49 | 0,54 | 0,59 | 0,63 | 0,67 | 0,70 | 0,74 | 0,77 |
 при d, равном, м: | | | | | | | | | |
0,8 и менее | 0,34 | 0,31 | 0,29 | 0,27 | 0,26 | 0,25 | 0,24 | 0,23 | 0,22 |
4,0 | 0,25 | 0,24 | 0,23 | 0,22 | 0,21 | 0,20 | 0,19 | 0,18 | 0,17 |
Примечание. Для промежуточных значений  , h/d и d значения коэффициентов  ,  ,  и  определяются интерполяцией. |
Глубина заложения нижнего конца сваи, h, м | Расчетное сопротивление R, кПа (тс/м2), под нижним концом набивных и буровых свай с уширением и без уширения и свай-оболочек, погружаемых с выемкой грунта и заполняемых бетоном при пылевато-глинистых грунтах, за исключением лессовых, с показателем текучести IL, равным |
0,0 | 0,1 | 0,2 | 0,3 | 0,4 | 0,5 | 0,6 |
3 | 850(85) | 750(75) | 650(65) | 500(50) | 400(40) | 300(30) | 250(25) |
5 | 1000(100) | 850(85) | 750(75) | 650(65) | 500(50) | 400(40) | 350(35) |
7 | 1150(115) | 1000(100) | 850(85) | 750(75) | 600(60) | 500(50) | 450(45) |
10 | 1350(135) | 1200(120) | 1050(105) | 950(95) | 800(80) | 700(70) | 600(60) |
12 | 1550(155) | 1400(140) | 1250(125) | 1100(110) | 950(95) | 800(80) | 700(70) |
15 | 1800(180) | 1650(165) | 1500(150) | 1300(130) | 1100(110) | 1000(100) | 800(80) |
18 | 2100(210) | 1900(190) | 1700(170) | 1500(150) | 1300(130) | 1150(115) | 950(95) |
20 | 2300(230) | 2100(210) | 1900(190) | 1650(165) | 1450(145) | 1250(125) | 1050(105) |
30 | 3300(330) | 3000(300) | 2600(260) | 2300(230) | 2000(200) | - | - |
40 | 4500(450) | 4000(400) | 3500(350) | 3000(300) | 2500(250) | - | - |
Примечание. Для свайных фундаментов опор мостов значения, приведенные в табл. 7, следует: а) повышать (при расположении опор в водоеме) на величину, равную  , где  - удельный вес воды - 10 кН/м 3 (1 тс/м 3); hw - глубина слоя воды в водоеме от ее уровня при расчетном паводке до уровня дна водоема, а при возможности размыва - до уровня дна после общего размыва; б) понижать при коэффициенте пористости грунта e > 0,6, при этом коэффициент понижения m следует определять интерполяцией между значениями m = 1,0 при e = 0,6 и m = 0,6 при e = 1,1. |
4.8. Расчетное сопротивление R, кПа (тс/м2), грунта под нижним концом сваи-оболочки, погружаемой без удаления грунта или с сохранением грунтового ядра высотой не менее трех диаметров оболочки на последнем этапе ее погружения и не заполняемой бетоном (при условии, что грунтовое ядро образовано из грунта, имеющего те же характеристики, что и грунт, принятый за основание конца сваи-оболочки), следует принимать по
табл. 1 с коэффициентом условий работы, учитывающим способ погружения свай-оболочек в соответствии с
поз. 4 табл. 3, причем расчетное сопротивление в указанном случае относится к площади поперечного сечения сваи-оболочки нетто.
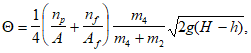
4.9. Несущую способность

, кН (тс), набивной и буровой свай и сваи-оболочки, работающих на выдергивающие нагрузки, следует определять по формуле

(14)
4.10. Несущую способность

, кН (тс), винтовой сваи диаметром лопасти d

1,2 м и длиной l < 10 м, работающей на сжимающую или выдергивающую нагрузку, следует определять по формуле (15), а при диаметре лопасти d > 1,2 м и длине сваи l > 10 м - только по данным испытаний винтовой сваи статической нагрузкой:

, (15)
где

- коэффициент условий работы, зависящий от вида нагрузки, действующей на сваю, и грунтовых условий, и определяемый по
табл. 8;

,

- безразмерные коэффициенты, принимаемые по
табл. 9 в зависимости от расчетного значения угла внутреннего трения грунта в рабочей зоне

(под рабочей зоной понимается прилегающий к лопасти слой грунта толщиной, равной d);

- расчетное значение удельного сцепления пылевато-глинистого или параметр линейности песчаного грунта в рабочей зоне, кПа (тс/м2);

- осредненное расчетное значение удельного веса грунтов, залегающих выше лопасти сваи (при водонасыщенных грунтах с учетом взвешивающего действия воды);

- глубина залегания лопасти сваи от природного рельефа, а при планировке территории срезкой - от уровня планировки м;
A - проекция площади лопасти, м2, считая по наружному диаметру, при работе винтовой сваи на сжимающую нагрузку, и проекция рабочей площади лопасти, т.е. за вычетом площади сечения ствола, при работе винтовой сваи на выдергивающую нагрузку;

- расчетное сопротивление грунта на боковой поверхности ствола винтовой сваи, кПа (тс/м2), принимаемое по
табл. 2 (осредненное значение для всех слоев в пределах глубины погружения сваи);
u - периметр ствола сваи, м;
h - длина ствола сваи, погруженной в грунт, м;
d - диаметр лопасти сваи, м.
Примечания. 1. При определении несущей способности винтовых свай при действии вдавливающих нагрузок характеристики грунтов в
табл. 9 относятся к грунтам, залегающим под лопастью, а при работе на выдергивающие нагрузки - над лопастью сваи.
2. Глубина заложения лопасти от уровня планировки должна быть не менее 5d при пылевато-глинистых грунтах и не менее 6d - при песчаных грунтах (где d - диаметр лопасти).
3. Расчетные значения угла внутреннего трения

и сцепления грунта

основания при расчетах по
формуле (15) должны определяться в соответствии с требованиями
п. 3.5.
Грунты | Коэффициент условий работы винтовых свай  при нагрузках |
сжимающих | выдергивающих | знакопеременных |
1. Глины и суглинки: | | | |
а) твердые, полутвердые и тугопластичные | 0,8 | 0,7 | 0,7 |
б) мягкопластичные | 0,8 | 0,7 | 0,6 |
в) текучепластичные | 0,7 | 0,6 | 0,4 |
2. Пески и супеси: | | | |
а) пески маловлажные и супеси твердые | 0,8 | 0,7 | 0,5 |
б) пески влажные и супеси пластичные | 0,7 | 0,6 | 0,4 |
в) пески водонасыщенные и супеси текучие | 0,6 | 0,5 | 0,3 |
Расчетное значение угла внутреннего трения грунта в рабочей зоне  , град. | Коэффициенты | Расчетное значение угла внутреннего трения грунта в рабочей зоне  , град. | Коэффициенты |
| | | |
13 | 7,8 | 2,8 | 24 | 18,0 | 9,2 |
15 | 8,4 | 3,3 | 26 | 23,1 | 12,3 |
16 | 9,4 | 3,8 | 28 | 29,5 | 16,5 |
18 | 10,1 | 4,5 | 30 | 38,0 | 22,5 |
20 | 12,1 | 5,5 | 32 | 48,4 | 31,0 |
22 | 15,0 | 7,0 | 34 | 64,9 | 44,4 |
Учет отрицательных (негативных) сил трения грунта
на боковой поверхности свай
4.11. Отрицательные (негативные) силы трения, возникающие на боковой поверхности свай при осадке околосвайного грунта и направленные вертикально вниз, следует учитывать в случаях:
планировки территории подсыпкой толщиной более 1,0 м;
загрузки пола складов полезной нагрузкой более 20 кН/м2 (2 тс/м2);
загрузки пола около фундаментов полезной нагрузкой от оборудования более 100 кН/м2 (10 тс/м2);
увеличения эффективных напряжений в грунте за счет снятия взвешивающего действия воды при понижении уровня подземных вод;
незавершенной консолидации грунтов современных и техногенных отложений;
уплотнения несвязных грунтов при динамических воздействиях;
просадки грунтов при замачивании.
Примечание. Учет отрицательных сил трения, возникающих в просадочных грунтах, следует производить в соответствии с требованиями
разд. 8.
4.12. Отрицательные силы трения учитываются до глубины, на которой значение осадки околосвайного грунта после возведения и загрузки свайного фундамента превышает половину предельного значения осадки фундамента. Расчетные сопротивления грунта

принимаются по
табл. 2 со знаком "минус", а для торфа, ила, сапропеля - минус 5 кПа (0,5 тс/м2).
Если в пределах длины погруженной части сваи залегают напластования торфа толщиной более 30 см и возможна планировка территории подсыпкой или иная ее загрузка, эквивалентная подсыпке, то расчетное сопротивление грунта

, расположенного выше подошвы наинизшего (в пределах длины погруженной части сваи) слоя торфа, следует принимать:
а) при подсыпках высотой менее 2 м - для грунтовой подсыпки и слоев торфа - равным нулю, для минеральных ненасыпных грунтов природного сложения - положительным значениям по
табл. 2;
б) при подсыпках высотой от 2 до 5 м - для грунтов, включая подсыпку, - равным 0,4 значений, указанных в
табл. 2, но со знаком "минус", а для торфа - минус 5 кПа (0,5 тс/м2) (отрицательные силы трения);
в) при подсыпках высотой более 5 м - для грунтов, включая подсыпку, - равным значениям, указанным в
табл. 2, но со знаком "минус", а для торфа - минус 5 кПа (0,5 тс/м2).
В пределах нижней части свай, где осадка околосвайного грунта после возведения и загрузки свайного фундамента менее половины предельного значения осадки свайного фундамента, расчетные сопротивления грунта

следует принимать положительными по
табл. 2, а для торфа, ила, сапропеля - равными 5 кПа (0,5 тс/м2).
4.13. В случае, когда консолидация грунта от подсыпки или пригрузки территории к моменту начала возведения надземной части зданий или сооружений (включая свайный ростверк) завершилась или возможное значение осадки грунта, окружающего сваи, после указанного момента в результате остаточной консолидации не будет превышать половины предельного значения осадки для проектируемого здания или сооружения, сопротивление грунта на боковой поверхности сваи допускается принимать положительным вне зависимости от наличия или отсутствия прослоек торфа. Для прослоек торфа значение

следует принимать равным 5 кПа (0,5 тс/м2).
Если известны значения коэффициентов консолидации и модуля деформации торфов, залегающих в пределах длины погруженной части сваи, и возможно определение значения осадки основания от воздействия пригрузки территории для каждого слоя грунта, то при определении несущей способности сваи допускается учитывать силы сопротивления грунта с отрицательным знаком (отрицательные силы трения) не от уровня подошвы нижнего слоя торфа, а начиная от верхнего уровня слоя грунта, значение дополнительной осадки которого от пригрузки территории (определенной начиная с момента передачи на сваю расчетной нагрузки) составляет половину предельного значения осадки для проектируемого здания или сооружения.
5. ОПРЕДЕЛЕНИЕ НЕСУЩЕЙ СПОСОБНОСТИ СВАЙ
ПО РЕЗУЛЬТАТАМ ПОЛЕВЫХ ИССЛЕДОВАНИЙ
| | ИС МЕГАНОРМ: примечание. Взамен ГОСТ 5686-78 Постановлением Минстроя России от 23.02.1995 N 18-20 с 01.01.1996 введен в действие ГОСТ 5686-94. | |
5.1. Испытания свай статической и динамической нагрузками следует производить, соблюдая требования ГОСТ 5686-78, а испытания грунтов статическим зондированием и эталонной сваей -
ГОСТ 20069-81 и
ГОСТ 24942-81.
Примечание. Для забивных висячих свай длиной более 12 м вместо испытаний грунтов эталонной сваей допускается производить испытания статической нагрузкой с помощью металлической сваи-зонда диаметром 127 мм, конструкция которой обеспечивает раздельные измерения сопротивления грунта под нижним концом и на участке боковой поверхности (муфте трения) площадью 0,25 м2. Испытания грунтов сваей-зондом следует производить в соответствии с требованиями ГОСТ 24942-81 применительно к эталонной свае типа II.
5.2. Для определения несущей способности свай по результатам полевых исследований для каждого здания или сооружения должно быть проведено не менее:
статических испытаний свай и свай-штампов ................. 2
динамических испытаний свай ............................... 6
испытаний грунтов эталонной сваей.......................... 6
испытаний свай-зондов ..................................... 6
испытаний статическим зондированием........................ 6
5.3. Несущую способность

, кН (тс), свай по результатам их испытаний вдавливающей, выдергивающей и горизонтальной статическими нагрузками и по результатам их динамических испытаний следует определять по формуле

(16)
где

- коэффициент условий работы; в случае вдавливающих или горизонтальных нагрузок

= 1; в случае выдергивающих нагрузок принимается по указаниям п. 4.5;

- нормативное значение предельного сопротивления сваи, кН (тс), определяемое в соответствии с указаниями
пп. 5.4 -
5.7;

- коэффициент надежности по грунту, принимаемый по указаниям п. 5.4.
Примечание. Результаты статических испытаний свай на горизонтальные нагрузки могут быть использованы для непосредственного определения расчетной нагрузки, допускаемой на сваю, если условия испытаний соответствуют действительным условиям работы сваи в фундаменте здания или сооружения.
5.4. В случае, если число свай, испытанных в одинаковых грунтовых условиях, составляет менее шести, нормативное значение предельного сопротивления сваи в
формуле (16) следует принимать равным наименьшему предельному сопротивлению, полученному из результатов испытаний, т.е.

, а коэффициент надежности по грунту

= 1.
В случае, если число свай, испытанных в одинаковых условиях, составляет шесть и более,

и

следует определять на основании результатов статистической обработки частных значений предельных сопротивлений свай

, полученных по данным испытаний, руководствуясь требованиями
ГОСТ 20522-75 применительно к методике, приведенной в нем для определения временного сопротивления. При этом для определения частных значений предельных сопротивлений следует руководствоваться требованиями п. 5.5 при вдавливающих,
п. 5.6 - при выдергивающих и горизонтальных нагрузках и
п. 5.7 - при динамических испытаниях.
5.5. Если нагрузка при статическом испытании свай на вдавливание доведена до нагрузки, вызывающей непрерывное возрастание их осадки s без увеличения нагрузки (при s

20 мм), то эта нагрузка принимается за частное значение предельного сопротивления

испытываемой сваи.
Во всех остальных случаях для фундаментов зданий и сооружений (кроме мостов и гидротехнических сооружений) за частное значение предельного сопротивления сваи

вдавливающей нагрузке следует принимать нагрузку, под воздействием которой испытываемая свая получит осадку, равную s и определяемую по формуле

, (17)
где

- предельное значение средней осадки фундамента проектируемого здания или сооружения, устанавливаемое по указаниям
СНиП 2.02.01-83;

- коэффициент перехода от предельного значения средней осадки фундамента здания или сооружения

к осадке сваи, полученной при статических испытаниях с условной стабилизацией (затуханием) осадки.
Значение коэффициента

следует принимать равным 0,2 в случаях, когда испытание свай производится при условной стабилизации, равной 0,1 мм за 1 ч, если под их нижними концами залегают песчаные или пылевато-глинистые грунты с консистенцией от твердой до тугопластичной, а также за 2 ч, если под их нижними концами залегают пылевато-глинистые грунты от мягкопластичной до текучей консистенции. Значение коэффициента

допускается уточнять по результатам наблюдений за осадками зданий, построенных на свайных фундаментах в аналогичных грунтовых условиях.
Если осадка, определенная по
формуле (17), окажется более 40 мм, то за частное значение предельного сопротивления сваи

следует принимать нагрузку, соответствующую s = 40 мм.
Для мостов и гидротехнических сооружений за предельное сопротивление сваи

при вдавливающих нагрузках следует принимать нагрузку на одну ступень менее нагрузки, при которой вызываются:
а) приращение осадки за одну ступень загружения (при общем значении осадки более 40 мм), превышающее в 5 раз и более приращение осадки, полученное за предшествующую ступень загружения;
б) осадка, не затухающая в течение суток и более (при общем значении ее более 40 мм).
Если при максимальной достигнутой при испытаниях нагрузке, которая окажется равной или более

[где

- несущая способность сваи, подсчитанная по
формулам (5),
(8),
(9),
(11) и
(15)], осадка сваи s при испытаниях окажется менее значения, определенного по
формуле (17), а для мостов и гидротехнических сооружений - менее 40 мм, то в этом случае за частное значение предельного сопротивления сваи

допускается принимать максимальную нагрузку, полученную при испытаниях.
Примечания. 1. В отдельных случаях при соответствующем обосновании допускается принимать максимальную нагрузку, достигнутую при испытаниях, равной

.
2. Ступени загружения при испытаниях свай статической вдавливающей нагрузкой должны назначаться равными 1/10 - 1/15 предполагаемого предельного сопротивления сваи

.
5.6. При испытании свай статической выдергивающей или горизонтальной нагрузкой за частное значение предельного сопротивления

(см.
п. 5.4) по графикам зависимости перемещений от нагрузок принимается нагрузка на одну ступень менее нагрузки, без увеличения которой перемещения сваи непрерывно возрастают.
Примечание. Результаты статических испытаний свай на горизонтальные нагрузки могут быть использованы для непосредственного определения расчетных параметров системы "свая - грунт", используемых в расчетах по рекомендуемому
Приложению 1.
5.7. При динамических испытаниях забивных свай частное значение предельного сопротивления

, кН (тс), (см.
п. 5.4) по данным их погружения при фактических (измеренных) остаточных отказах

0,002 м следует определять по формуле

. (18)
Если фактический (измеренный) остаточный отказ

< 0,002 м, то в проекте свайного фундамента следует предусмотреть применение для погружения свай молота с большей энергией удара, при которой остаточный отказ будет

0,002 м, а в случае невозможности замены сваебойного оборудования и при наличии отказомеров частное значение предельного сопротивления сваи

, кН (тс), следует определять по формуле

. (19)

- коэффициент, принимаемый по табл. 10 в зависимости от материала сваи, кН/м2 (тс/м2);
A - площадь, ограниченная наружным контуром сплошного или полого поперечного сечения ствола сваи (независимо от наличия или отсутствия у сваи острия), м2;
M - коэффициент, принимаемый при забивке свай молотами ударного действия равным единице, а при вибропогружении свай - по табл. 11 в зависимости от вида грунта под их нижними концами;

- расчетная энергия удара молота, кДж

, принимаемая по
табл. 12, или расчетная энергия вибропогружателей - по табл. 13;

- фактический остаточный отказ, равный значению погружения сваи от одного удара молота, а при применении вибропогружателей - от их работы в течение 1 мин, м;

- упругий отказ сваи (упругие перемещения грунта и сваи), определяемый с помощью отказомера, м;

- масса молота или вибропогружателя, т;

- масса сваи и наголовника, т;

- масса подбабка (при вибропогружении свай

), т;

- масса ударной части молота, т;

- коэффициент восстановления удара; при забивке железобетонных свай молотами ударного действия с применением наголовника с деревянным вкладышем

= 0,2, а при вибропогружателе

= 0;

- коэффициент, 1/кН (1/тс), определяемый по формуле

(20)

,

- коэффициенты перехода от динамического (включающего вязкое сопротивление грунта) к статическому сопротивлению грунта, принимаемые соответственно равными: для грунта под нижним концом сваи

и для грунта на боковой поверхности сваи

;

- площадь боковой поверхности сваи, соприкасающейся с грунтом, м2;
g - ускорение свободного падения, равное 9,81 м/с2;
H - фактическая высота падения ударной части молота, м;
h - высота первого отскока ударной части дизель-молота, принимаемая согласно
табл. 12, для других видов молотов h = 0.
Примечания. 1. При забивке свай в грунт, подлежащий удалению при разработке котлована, или в грунт дна водотока значение расчетного отказа следует определять исходя из несущей способности свай, вычисленной с учетом неудаленного или подверженного возможному размыву грунта, а в местах вероятного проявления отрицательных сил трения - с их учетом.
2. В случае расхождения более чем в 1,4 раза значений несущей способности свай, определенных по
формулам (18) -
(20), с несущей способностью, определенной расчетом в соответствии с требованиями
разд. 4 (по результатам лабораторных определений физико-механических свойств грунтов), необходимо дополнительно проверить несущую способность свай по результатам статического зондирования или статических испытаний свай.
Таблица 10
Случай расчета | Коэффициент  , кН/м 2 (тс/м 2) |
Испытание свай забивкой и добивкой (а также в случае определения отказов) при видах свай: | |
железобетонных с | 1500 (150) |
наголовником | |
деревянных без подбабка | 1000 (100) |
" с подбабком | 800 (80) |
Контроль несущей способности свай по результатам производственной забивки при значении Ed/sa, кН/тс: | |
1000 (100) и менее | 2500 (250) |
2000 (200) | 1500 (150) |
4000 (400) | 950 (95) |
8000 (800) и более | 700 (70) |
Таблица 11
Грунты под нижним концом сваи | Коэффициент M |
1. Крупнообломочные с песчаным заполнителем | 1,3 |
2. Пески средней крупности и крупные средней плотности и супеси твердые | 1,2 |
3. Пески мелкие средней плотности | 1,1 |
4. Пески пылеватые средней плотности | 1,0 |
5. Супеси пластичные, суглинки и глины твердые | 0,9 |
6. Суглинки и глины полутвердые | 0,8 |
7. Суглинки и глины тугопластичные | 0,7 |
Примечание. При плотных песках значения коэффициента M в поз. 2 - 4 табл. 11 следует повышать на 60%, при наличии материалов статического зондирования - на 100%. |
Молот | Расчетная энергия удара молота Ed, кДж (тс·м) |
1. Подвесной или одиночного действия | GH |
2. Трубчатый дизель-молот | 0,9GH |
3. Штанговый дизель-молот | 0,4GH |
4. Дизельный при контрольной добивке одиночными ударами без подачи топлива | G(H - h) |
Примечания. 1. G - вес ударной части молота, кН (тс). 2. В поз. 4 h - высота первого отскока ударной части дизель-молота от воздушной подушки, определяемая по мерной рейке, м. Для предварительных расчетов допускается принимать: для штанговых молотов h = 0,6 м, для трубчатых молотов h = 0,4 м. |
Таблица 13
Возмущающая сила вибропогружателя, кН (тс) | Эквивалентная расчетная энергия удара вибропогружателя, кДж (тс·м) |
100 (10) | 45,0 (4,5) |
200 (20) | 90,0 (9,0) |
300 (30) | 130,0 (13) |
400 (40) | 175,0 (17,5) |
500 (50) | 220,0 (22) |
600 (60) | 265,0 (26,5) |
700 (70) | 310,0 (31) |
800 (80) | 350,0 (35) |
5.8. Несущую способность

, кН (тс), забивной висячей сваи, работающей на сжимающую нагрузку, по результатам испытаний грунтов эталонной сваей, испытаний сваи-зонда или статического зондирования следует определять по формуле

(21)
где

- коэффициент условий работы;

= 1;
n - число испытаний грунтов эталонной сваей, испытаний сваи-зонда или точек зондирования;

- частное значение предельного сопротивления сваи, кН (тс), в месте испытания грунтов эталонной сваей, испытания сваи-зонда или в точке зондирования, определенное в соответствии с требованиями
пп. 5.9,
5.10 или
5.11;

- коэффициент надежности по грунту, устанавливаемый в зависимости от изменчивости полученных частных значений предельного сопротивления сваи

в местах испытаний грунтов эталонной сваей, испытаний сваи-зонда или в точках зондирования и числа этих испытаний или точек при значении доверительной вероятности

= 0,95 в соответствии с требованиями
ГОСТ 20522-75.
5.9. Частное значение предельного сопротивления забивной сваи в месте испытания грунтов эталонной сваей

, кН (тс), следует определять:
а) при испытании грунтов эталонной сваей типа 1 (ГОСТ 24942-81) - по формуле

(22)
где

- коэффициент;

= 1,25 при заглублении сваи в плотные пески независимо от их крупности или крупнообломочные грунты и

= 1 для остальных грунтов;

,

- периметры поперечного сечения сваи и эталонной сваи;

- частное значение предельного сопротивления эталонной сваи, кН (тс), определяемое по результатам испытания статической нагрузкой согласно
п. 5.5;
б) при испытании грунтов эталонной сваей типа II или III (ГОСТ 24942-81) - по формуле

(23)
где

- коэффициент условий работы под нижним концом натурной сваи, принимаемый по
табл. 14 в зависимости от предельного сопротивления грунта под нижним концом эталонной сваи

;

- предельное сопротивление грунта под нижним концом эталонной сваи, кПа (тс/м2);
A - площадь поперечного сечения натурной сваи, м2;

- коэффициент условий работы на боковой поверхности натурной сваи, принимаемый по
табл. 14 в зависимости от среднего значения предельного сопротивления грунта на боковой поверхности эталонной сваи

;

- среднее значение предельного сопротивления грунта на боковой поверхности эталонной сваи, кПа (тс/м2);
h - глубина погружения натурной сваи, м;
u - периметр поперечного сечения ствола сваи, м.
Примечание. При применении эталонной сваи типа II следует проверить соответствие суммы предельных сопротивлений грунта под нижним концом и на боковой поверхности эталонной сваи ее предельному сопротивлению. Если разница между ними превышает +/- 20%, то расчет предельного сопротивления натурной сваи должен выполняться как для эталонной сваи типа I.
5.10. Частное значение предельного сопротивления забивной сваи в месте испытаний сваи-зонда

, кН (тс), следует определять по формуле

, (24)
где

- коэффициент условий работы грунта под нижним концом сваи, принимаемый равным 0,8;

- предельное сопротивление грунта под нижним концом сваи-зонда, кПа (тс/м2);

- коэффициент условий работы i-го слоя грунта на боковой поверхности сваи, принимаемый по табл. 14 в зависимости от среднего значения предельного удельного сопротивления i-го слоя грунта на боковой поверхности сваи-зонда

;

- среднее значение предельного сопротивления i-го слоя грунта на боковой поверхности сваи-зонда, кПа (тс/м2);

- толщина i-го слоя грунта, м.
Rsp, кПа (тс/м2) | Коэффициент  в зависимости от Rsp | fsp, fps,i, кПа (тс/м2) | Коэффициент  в зависимости от fsp для эталонных свай типов II и III | Коэффициент  в зависимости от fps,i для сваи-зонда |
для эталонных свай типа II | для эталонных свай типа III | при песчаных грунтах | при пылевато-глинистых грунтах |
<= 2000 (200) | 1,15 | 1,40 | <= 20 (2) | 2,00 | 1,20 | 0,90 |
3000 (300) | 1,05 | 1,20 | 30 (3) | 1,65 | 0,95 | 0,85 |
4000 (400) | 1,00 | 0,90 | 40 (4) | 1,40 | 0,80 | 0,80 |
5000 (500) | 0,90 | 0,80 | 50 (5) | 1,20 | 0,70 | 0,75 |
6000 (600) | 0,80 | 0,75 | 60 (6) | 1,05 | 0,65 | 0,70 |
7000 (700) | 0,75 | 0,70 | 80 (8) | 0,80 | 0,55 | - |
10000 (1000) | 0,65 | 0,60 | >= 120 (12) | 0,50 | 0,40 | - |
>= 13000 (1300) | 0,60 | 0,55 | - | - | - | - |
Примечания. 1. Для промежуточных значений Rsp и fsp значения  и  определяются интерполяцией. 2. В случае, если по боковой поверхности сваи залегают песчаные и пылевато-глинистые грунты, коэффициент  определяется по формуле где  ,  - суммарные толщины слоев соответственно песчаных и пылевато-глинистых грунтов;  ,  - коэффициенты условий работы эталонных свай и свай-зондов соответственно в песчаных и пылевато-глинистых грунтах. |
5.11. Частное значение предельного сопротивления забивной сваи в точке зондирования

, кН (тс), следует определять по формуле

, (25)
где

- предельное сопротивление грунта под нижним концом сваи по данным зондирования в рассматриваемой точке, кПа (тс/м2);
f - среднее значение предельного сопротивления грунта на боковой поверхности сваи по данным зондирования в рассматриваемой точке, кПа (тс/м2);
h - глубина погружения сваи от поверхности грунта около сваи, м;
u - периметр поперечного сечения ствола сваи, м.
Предельное сопротивление грунта под нижним концом забивной сваи

, кПа (тс/м2), по данным зондирования в рассматриваемой точке следует определять по формуле

, (26)

- среднее значение сопротивления грунта, кПа (тс/м2), под наконечником зонда, полученное из опыта, на участке, расположенном в пределах одного диаметра d выше и четырех диаметров ниже отметки острия проектируемой сваи (где d - диаметр круглого или сторона квадратного, или большая сторона прямоугольного сечения сваи, м).
Среднее значение предельного сопротивления грунта на боковой поверхности забивной сваи f, кПа (тс/м2), по данным зондирования грунта в рассматриваемой точке следует определять:
а) при применении зондов типа I - по формуле

; (27)
б) при применении зондов типа II или III - по формуле

. (28)
где

,

- коэффициенты, принимаемые по
табл. 15;

- среднее значение сопротивления грунта на боковой поверхности зонда, кПа (тс/м2), определяемое как частное от деления измеренного общего сопротивления грунта на боковой поверхности зонда на площадь его боковой поверхности в пределах от поверхности грунта в точке зондирования до уровня расположения нижнего конца сваи в выбранном несущем слое;

- среднее сопротивление i-го слоя грунта на боковой поверхности зонда, кПа (тс/м2);

- толщина i-го слоя грунта, м.
qs, кПа (тс/м2) |  - коэффициент перехода от qs к Rs | fs, fsi, кПа (тс/м2) |  - коэффициент перехода от fs к f для зонда типа I |  - коэффициент перехода от fsi к f для зонда типа II или III |
для забивных свай | для винтовых свай при нагрузке | при песчаных грунтах | при пылевато-глинистых грунтах | при песчаных грунтах | при пылевато-глинистых грунтах |
сжимающей | выдергивающей |
<= 1000 (100) | 0,90 | 0,50 | 0,40 | <= 20 (2) | 2,40 | 1,50 | 0,75 | 1,00 |
2500 (250) | 0,80 | 0,45 | 0,38 | 40 (4) | 1,65 | 1,00 | 0,60 | 0,75 |
5000 (500) | 0,65 | 0,32 | 0,27 | 60 (6) | 1,20 | 0,75 | 0,55 | 0,60 |
7500 (750) | 0,55 | 0,26 | 0,22 | 80 (8) | 1,00 | 0,60 | 0,50 | 0,45 |
10000 (1000) | 0,45 | 0,23 | 0,19 | 100 (10) | 0,85 | 0,50 | 0,45 | 0,40 |
15000 (1500) | 0,35 | - | - | >= 120 (12) | 0,75 | 0,40 | 0,40 | 0,30 |
20000 (2000) | 0,30 | - | - | - | - | - | - | - |
>= 30000 (3000) | 0,20 | - | - | - | - | - | - | - |
Примечание. Для винтовых свай в песчаных грунтах, насыщенных водой, значения коэффициента  должны быть уменьшены в два раза. |
5.12. Несущую способность винтовой сваи, работающей на сжимающую и выдергивающую нагрузки, по результатам статического зондирования следует определять по
формуле (21), а частное значение предельного сопротивления сваи в точке зондирования - по
формуле (25), где глубина принимается уменьшенной на значение диаметра лопасти. Предельное сопротивление грунта под (над) лопастью сваи по данным зондирования грунта в рассматриваемой точке следует определять по
формуле (26). В этом случае

- коэффициент, принимаемый по
табл. 15 в зависимости от среднего значения сопротивления грунта под наконечником зонда в рабочей зоне, принимаемой равной диаметру лопасти. Среднее значение предельного сопротивления грунта на боковой поверхности ствола винтовой сваи по данным зондирования грунта в рассматриваемой точке следует определять по
формуле (27) или
(28).
6. РАСЧЕТ СВАЙНЫХ ФУНДАМЕНТОВ И ИХ ОСНОВАНИЙ ПО ДЕФОРМАЦИЯМ
6.1. Расчет фундамента из висячих свай и его основания по деформациям следует, как правило, производить как для условного фундамента на естественном основании в соответствии с требованиями
СНиП 2.02.01-83. Границы условного фундамента (см. чертеж) определяются следующим образом:
снизу - плоскостью АБ, проходящей через нижние концы свай;
с боков - вертикальными плоскостями АВ и БГ, отстоящими от наружных граней крайних рядов вертикальных свай на расстоянии

(см.
чертеж, а), но не более 2d в случаях, когда под нижними концами свай залегают пылевато-глинистые грунты с показателем текучести

> 0,6 (d - диаметр или сторона поперечного сечения сваи), а при наличии наклонных свай - проходящими через нижние концы этих свай (см.
чертеж, б);
сверху - поверхностью планировки грунта ВГ, здесь

- осредненное расчетное значение угла внутреннего трения грунта, определяемое по формуле

, (29)
где

- расчетные значения углов внутреннего трения для отдельных пройденных сваями слоев грунта толщиной

;
h - глубина погружения свай в грунт.
Определение границ условного фундамента
при расчете осадок свайных фундаментов
При расчете по деформациям в собственный вес условного фундамента включают вес свай и ростверка, а также вес грунта в объеме условного фундамента. Дополнительное вертикальное давление на уровне подошвы условного фундамента определяют всегда за вычетом вертикального напряжения от собственного веса грунта на уровне этой подошвы независимо от ее ширины.
Полученные по расчету значения деформаций (осадок) свайного фундамента и его основания не должны превышать предельных значений в соответствии с условием
(4).
6.2. Если при строительстве предусматриваются планировка территории подсыпкой (намывом) высотой более 2 м и другая постоянная (долговременная) загрузка территории, эквивалентная подсыпке, а в пределах глубины погружения свай залегают слои торфа или ила толщиной более 30 см, то значение осадки свайного фундамента из висячих свай следует определять с учетом уменьшения габаритов условного фундамента, который в этом случае как при вертикальных, так и при наклонных сваях принимается ограниченным с боков вертикальными плоскостями, отстоящими от наружных граней крайних рядов вертикальных свай на расстоянии

, где

- расстояние от нижнего конца сваи до подошвы слоя торфа или ила толщиной более 30 см.
6.3. Свайные фундаменты из свай, работающих как сваи-стойки, висячие одиночные сваи, воспринимающие вне кустов выдергивающие нагрузки, а также свайные кусты, работающие на действие выдергивающих нагрузок, рассчитывать по деформациям не требуется.
6.4. Расчет свай по деформациям на совместное действие вертикальной и горизонтальной сил и момента следует выполнять по указаниям рекомендуемого
Приложения 1, а расчет осадок малонагруженных ленточных свайных фундаментов и одиночных свай допускается выполнять по указаниям рекомендуемых
Приложений 3 и
4.
7. КОНСТРУИРОВАНИЕ СВАЙНЫХ ФУНДАМЕНТОВ
7.1. Свайные фундаменты в зависимости от размещения свай в плане следует проектировать в виде:
а) одиночных свай - под отдельно стоящие опоры;
б) свайных лент - под стены зданий и сооружений при передаче на фундамент распределенных по длине нагрузок с расположением свай в один, два ряда и более;
в) свайных кустов - под колонны с расположением свай в плане на участке квадратной, прямоугольной, трапецеидальной и другой формы;
г) сплошного свайного поля - под тяжелые сооружения со сваями, равномерно расположенными под всем сооружением и объединенными сплошным ростверком, подошва которого опирается на грунт.
7.2. При разработке проекта свайных фундаментов необходимо учитывать следующие данные: конструктивную схему проектируемого здания или сооружения; размеры несущих конструкций и материал, из которого они проектируются; наличие и габариты приближения заглубленных помещений к строительным осям здания или сооружения и их фундаментам; конструкции полов и технологические нагрузки на них; нагрузки на фундамент от строительных конструкций; размещение технологического оборудования, нагрузки, передаваемые от него на строительные конструкции, а также требования к предельным осадкам и кренам строительных конструкций и фундаментов под оборудование.
7.3. Число свай в фундаменте следует назначать из условия максимального использования прочностных свойств их материала при расчетной нагрузке, допускаемой на сваю, с учетом допустимых перегрузок крайних свай в фундаменте в соответствии с требованиями
п. 3.10.
Выбор конструкции и размеров свай должен осуществляться с учетом значений и направления действия нагрузок на фундаменты (в том числе технологических нагрузок), а также технологии строительства здания и сооружения.
7.4. Сопряжение свайного ростверка со сваями допускается предусматривать как свободно опирающимся, так и жестким.
Свободное опирание ростверка на сваи должно учитываться в расчетах условно как шарнирное сопряжение и при монолитных ростверках должно выполняться путем заделки головы сваи в ростверк на глубину 5 - 10 см.
Жесткое сопряжение свайного ростверка со сваями следует предусматривать в случае, когда:
а) стволы свай располагаются в слабых грунтах (рыхлых песках, пылевато-глинистых грунтах текучей консистенции, илах, торфах и т.п.);
б) в месте сопряжения сжимающая нагрузка, передаваемая на сваю, приложена к ней с эксцентриситетом, выходящим за пределы ее ядра сечения;
в) на сваю действуют горизонтальные нагрузки, значения перемещений от которых при свободном опирании (определенные расчетом в соответствии с требованиями рекомендуемого
Приложения 1) оказываются более предельных для проектируемого здания или сооружения;
г) в фундаменте имеются наклонные или составные вертикальные сваи;
д) сваи работают на выдергивающие нагрузки.
7.5. Жесткое сопряжение железобетонных свай с монолитным железобетонным ростверком следует предусматривать с заделкой головы сваи в ростверк на глубину, соответствующую длине анкеровки арматуры, или с заделкой в ростверк выпусков арматуры на длину их анкеровки в соответствии с требованиями
СНиП 2.03.01-84. В последнем случае в голове предварительно напряженных свай должен быть предусмотрен ненапрягаемый арматурный каркас, используемый в дальнейшем в качестве анкерной арматуры.
Допускается также жесткое сопряжение с помощью сварки закладных стальных элементов при условии обеспечения требуемой прочности.
Примечания. 1. Анкеровка в ростверк свай, работающих на выдергивающие нагрузки (см. п. 7.4,
д), должна предусматриваться с заделкой арматуры свай в ростверк на глубину, определяемую расчетом на выдергивание.
2. При усилении оснований существующих фундаментов с помощью буроинъекционных свай длина заделки свай в фундамент должна приниматься по расчету в соответствии с требованиями
СНиП 2.02.01-83 или назначаться конструктивно равной пяти диаметрам сваи; при невозможности выполнения этого условия следует предусматривать создание уширения ствола сваи в месте ее примыкания к ростверку.
7.6. Жесткое соединение свай со сборным ростверком должно обеспечиваться колоколообразными оголовками. При сборном ростверке допускается также замоноличивание свай в специально предусмотренные в ростверке отверстия.
Примечание. При небольших вдавливающих нагрузках [до 400 кН (40 тс)] допускается свободное опирание ростверка на выровненную цементным раствором поверхность головы сваи.
7.7. Сваи в кусте внецентренно нагруженного фундамента следует размещать таким образом, чтобы равнодействующая постоянных нагрузок, действующих на фундамент, проходила возможно ближе к центру тяжести плана свай.
7.8. Для восприятия вертикальных нагрузок и моментов, а также горизонтальных нагрузок (в зависимости от их значения и направления) допускается предусматривать вертикальные, наклонные и козловые сваи.
Наклон свай не должен превышать значений, указанных в табл. 16.
Таблица 16
Наклон забивных свай диаметром менее 1,0 м | Наклон буровых свай и свай-оболочек диаметром, м |
1,0 - 1,2 | 1,6 | 2,0 | 3,0 |
1:1 | 4:1 | 5:1 | 6:1 | 7:1 |
7.9. Расстояние между осями забивных висячих свай без уширений в плоскости их нижних концов должно быть не менее 3d (где d - или диаметр круглого, или сторона квадратного, или большая сторона прямоугольного поперечного сечения ствола сваи), а свай-стоек - не менее 1,5d.
Расстояние в свету между стволами буровых, набивных свай и свай-оболочек, а также скважинами свай-столбов должно быть не менее 1,0 м; расстояние в свету между уширениями при устройстве их в твердых и полутвердых пылевато-глинистых грунтах - 0,5 м, в других нескальных грунтах - 1,0 м.
Расстояние между наклонными или между наклонными и вертикальными сваями в уровне подошвы ростверка следует принимать исходя из конструктивных особенностей фундаментов и обеспечения их надежности заглубления в грунт, армирования и бетонирования ростверка.
7.10. Выбор длины свай должен производиться в зависимости от грунтовых условий строительной площадки, уровня расположения подошвы ростверка с учетом возможностей имеющегося оборудования для устройства свайных фундаментов. Нижний конец свай, как правило, следует заглублять в прочные грунты, прорезая более слабые напластования грунтов, при этом заглубление забивных свай в грунты, принятые за основание, под их нижние концы должно быть: в крупнообломочные, гравелистые, крупные и средней крупности песчаные, пылевато-глинистые грунты с показателем текучести

0,1 - не менее 0,5 м, а в прочие нескальные грунты - не менее 1,0 м.
Примечание. Для фундаментов зданий и сооружений III класса <*> нижние концы свай допускается опирать в песчаных и пылевато-глинистых грунтах с относительным содержанием органического вещества

0,25. В этом случае несущая способность свай должна определяться по результатам их испытаний статической нагрузкой. При наличии слоя погребенного торфа нижний конец свай должен быть заглублен не менее чем на 2 м ниже подошвы этого слоя.
--------------------------------
<*> Здесь и далее класс ответственности зданий и сооружений принят согласно "
Правилам учета степени ответственности зданий и сооружений при проектировании конструкций", утвержденным Госстроем СССР.
7.11. Глубину заложения подошвы свайного ростверка следует назначать в зависимости от конструктивных решений подземной части здания или сооружения (наличия подвала, технического подполья) и проекта планировки территории (срезкой или подсыпкой), а также высоты ростверка, определяемой расчетом. Для фундаментов мостов подошву ростверка следует располагать выше или ниже поверхности акватории, ее дна или поверхности грунта при условии обеспечения расчетной несущей способности и долговечности фундаментов исходя из местных климатических условий, особенностей конструкции фундаментов, обеспечения требований судоходства и лесосплава, надежности подлежащих осуществлению мер по эффективной защите свай от неблагоприятного воздействия знакопеременных температур среды, ледохода, истирающего воздействия перемещающихся донных отложений и других факторов.
При строительстве на пучинистых грунтах необходимо предусматривать меры, предотвращающие или уменьшающие влияние сил морозного пучения грунта на свайный ростверк.
7.12. В районах со средней температурой воздуха наиболее холодной пятидневки ниже минус 40 °С для фундаментов мостов в зоне воздействия знакопеременных температур следует применять сваи и сваи-столбы сплошного сечения с защитным слоем бетона (до поверхности рабочей арматуры) не менее 5 см. В районах с температурой воздуха выше минус 40 °С допускается вне акватории использовать сваи сплошного сечения, полые сваи и сваи-оболочки с защитным слоем бетона не менее 3 см при условии осуществления мер по предотвращению образования в них трещин. В зоне переменного уровня постоянных водотоков не следует, как правило, применять буронабивные сваи и заполненные бетоном сваи-оболочки.
Для буронабивных свай фундаментов мостов защитный слой бетона должен быть не менее 10 см.
В зоне воздействия положительных температур (не менее чем на 0,5 м ниже уровня сезонного промерзания грунта или подошвы ледяного покрова) можно применять сваи любых видов без ограничений по условию морозостойкости бетона.
7.13. При разработке проекта свайных фундаментов необходимо учитывать возможность подъема (выпора) поверхности грунта при забивке свай, который, как правило, может происходить в случаях, когда:
а) площадка строительства сложена пылевато-глинистыми грунтами мягкопластичной и текучепластичной консистенций или водонасыщенными пылеватыми и мелкими песками;
б) погружение свай производится со дна котлована;
в) конструкция свайного фундамента принята в виде свайного поля или свайных кустов при расстоянии между их крайними сваями менее 9 м.
Среднее значение подъема поверхности грунта h, м, следует определять по формуле

(30)
где k - коэффициент, принимаемый равным 0,5 - 0,7 в зависимости от степени влажности грунта, соответственно равной 0,9 - 1,0;

- объем всех свай, погружаемых в грунт, м3;

- площадь забивки свай или площадь дна котлована, м2.
8. ОСОБЕННОСТИ ПРОЕКТИРОВАНИЯ СВАЙНЫХ ФУНДАМЕНТОВ
В ПРОСАДОЧНЫХ ГРУНТАХ
8.1. Применение свайных фундаментов в условиях просадочных грунтов должно быть обосновано технико-экономическим сравнением возможных вариантов проектных решений свайных фундаментов и фундаментов на естественном основании.
Проектирование свайных фундаментов в грунтовых условиях II типа по просадочности должно выполняться специализированными организациями.
8.2. При инженерно-геологических изысканиях на строительных площадках, сложенных просадочными грунтами, следует определять тип грунтовых условий с указанием частных и максимальных возможных значений просадки грунтов от собственного веса (при подсыпках - с учетом веса подсыпки) и выделять слои грунта, в которых могут быть заглублены сваи в соответствии с требованиями
п. 8.4.
Для исследования грунтов должны быть выполнены бурение скважин и проходка шурфов. Расстояние между выработками назначается в зависимости от сложности инженерно-геологических условий площадки и должно быть не более 50 м. В пределах контура отдельно стоящего здания или сооружения должно быть не менее 4 скважин, а для зданий с площадью застройки менее 1300 м2 - 3 скважины.
На застраиваемой территории должен быть тщательно изучен гидрогеологический режим подземных вод и дан прогноз возможного его изменения при эксплуатации проектируемых и существующих зданий и сооружений.
Физико-механические, в том числе прочностные и деформационные характеристики просадочных и других видов грунтов, изменяющих свои свойства при замачивании, должны определяться для состояния природной влажности при полном водонасыщении.
8.3. При проектировании свайных фундаментов в грунтовых условиях II типа по просадочности с возможной просадкой грунтов от собственного веса свыше 30 см следует, как правило, предусматривать мероприятия по переводу грунтовых условий II типа в I путем срезки грунта или уплотнения предварительным замачиванием, замачиванием со взрывом, грунтовыми сваями и другими методами. При соответствующем технико-экономическом обосновании указанные способы должны обеспечивать устранение просадки грунтовой толщи от ее собственного веса в пределах площади, занимаемой зданием или сооружением, и на расстоянии, равном половине просадочной толщи вокруг него.
8.4. Свайные фундаменты на территориях с просадочными грунтами при возможности замачивания грунтов следует применять в случаях, когда возможна прорезка сваями всех слоев просадочных и других видов грунтов, прочностные и деформационные характеристики которых снижаются при замачивании. Нижние концы свай должны быть заглублены, как правило, в скальные грунты, песчаные плотные и средней плотности, пылевато-глинистые грунты с показателем текучести в водонасыщенном состоянии

< 0,6 для всех видов свай в грунтовых условиях I типа,

< 0,4 для забивных свай и

< 0,2 для буронабивных свай при

в грунтовых условиях II типа,

< 0,2 для забивных свай и

0 для буронабивных свай при

в грунтовых условиях II типа (где

- просадка от собственного веса грунта с учетом подсыпки или другой пригрузки его поверхности). Заглубление свай в указанные грунты должно назначаться по расчету как наибольшее из условия, что осадка сваи не превысит предельную осадку

, и из условия обеспечения требуемой несущей способности сваи.
Примечания. 1. Если прорезка указанных грунтов в конкретных случаях экономически нецелесообразна, то в грунтовых условиях I типа по просадочности для зданий и сооружений III класса допускается устройство свай (кроме свай-оболочек) с заглублением нижних концов не менее чем на 1 м в слой грунта с относительной просадочностью

< 0,02 [при давлении не менее 300 кПа (3 кгс/см2) и не менее давления, соответствующего давлению от собственного веса грунта и нагрузки на его поверхности] при условии, что в этом случае обеспечивается несущая способность свай, а суммарные значения возможных просадок и осадок основания не превышают предельных значений для здания и сооружения при неравномерном замачивании грунтов.
2. Сваи-колонны одноэтажных зданий III класса в грунтовых условиях I типа допускается опирать нижними концами на грунты с

0,02, если несущая способность свай подтверждена испытаниями.
8.5. В случае, если по результатам инженерных изысканий установлено, что погружение забивных свай в просадочные грунты может быть затруднено, в проекте должно быть предусмотрено устройство лидерных скважин, диаметр которых в грунтовых условиях I типа следует назначать менее размера сечения сваи (до 50 мм), а в грунтовых условиях II типа - равным ему или менее (до 50 мм). В последнем случае лидерные скважины не должны выходить за пределы проседающей толщи.
8.6. Расчет свай, применяемых в грунтовых условиях I типа, следует производить в соответствии с указаниями
разд. 4,
6 и рекомендуемого
Приложения 1 с учетом того, что сопротивления грунтов под нижними концами R и на боковой поверхности

сваи (см.
табл. 1,
2 и
7), коэффициенты пропорциональности К и а (см. рекомендуемое
Приложение 1), модуль деформации Е, угол внутреннего трения

и удельное сцепление с должны определяться при условиях:
а) если возможно замачивание грунта - то при полном водонасыщении грунта, при этом расчетные табличные характеристики следует принимать при показателе текучести, определяемом по формуле

(31)
где e - коэффициент пористости грунта природной плотности;

- удельный вес воды;

= 10 кН/м3 (1 тс/м3);

- удельный вес твердых частиц, кН/м3 (тс/м3);

,

- влажность грунта на границе раскатывания и на границе текучести в долях единицы;
если по формуле (31)

< 0,4, следует принимать

= 0,4;
б) если замачивание грунта невозможно - то при влажности W и показателе текучести

грунта в природном состоянии (когда W <

, принимается

).
8.7. Несущая способность свай в выштампованном ложе, применяемых в грунтовых условиях I типа, должна назначаться в соответствии с требованиями
п. 4.4, как для забивных свай с наклонными гранями при соблюдении дополнительных требований, изложенных в
п. 8.6.
| | ИС МЕГАНОРМ: примечание. Взамен ГОСТ 5686-78 Постановлением Минстроя России от 23.02.1995 N 18-20 с 01.01.1996 введен в действие ГОСТ 5686-94. | |
8.8. Несущую способность свай, применяемых в грунтовых условиях I типа, по результатам их статических испытаний, проведенных с локальным замачиванием грунта в пределах всей длины сваи согласно ГОСТ 5686-78, следует определять в соответствии с требованиями
разд. 5.
В грунтовых условиях I типа при наличии опыта строительства на застраиваемой территории и результатов ранее выполненных статических испытаний свай в аналогичных условиях испытания свай допускается не производить.
Не допускается определять несущую способность свай и свай-оболочек, устраиваемых в просадочных грунтах, по данным результатов их динамических испытаний, а также определять расчетные сопротивления просадочных грунтов под нижним концом R и на боковой поверхности сваи

по данным результатов полевых испытаний этих грунтов зондированием. Статическое зондирование допускается применять ниже границы просадочной толщи при выборе слоев грунта для опирания свай в соответствии с
п. 8.4.
8.9. В грунтовых условиях I типа помимо свай, указанных в
разд. 2, следует также применять набивные бетонные и железобетонные сваи, устраиваемые в пробуренных скважинах с забоем, уплотненным втрамбовыванием щебня на глубину не менее 3d (где d - диаметр скважины).
В грунтовых условиях II типа рекомендуется применять сваи с антифрикционными покрытиями, нанесенными на часть ствола, находящуюся в пределах проседающей толщи.
8.10. Сваи по несущей способности грунтов основания в грунтовых условиях II типа следует рассчитывать исходя из условия

(32)
где N - расчетная нагрузка, кН (тс), на одну сваю, определяемая при проектировании свайных фундаментов зданий и сооружений;

- несущая способность, кН (тс), определяемая в соответствии с
п. 8.12;

- коэффициент надежности, принимаемый по указаниям
п. 3.10;

- коэффициент условий работы, значение которого зависит от возможного значения просадки грунта

: при

= 5 см

= 0, при

= 0,8, для промежуточных значений

определяется интерполяцией;

- отрицательная сила трения, определяемая в соответствии с
п. 8.11.
Примечания. 1. Значение

следует определять, как правило, для полностью водонасыщенного грунта (при возможном замачивании грунтов сверху). В случае замачивания грунтов снизу (при подъеме уровня подземных вод) отрицательная сила трения

определяется для грунтов природной влажности.
2. По прочности материала сваи должны быть рассчитаны на нагрузку N +

(при замачивании грунтов сверху) или N +

(при замачивании грунтов снизу), действующую на глубине

(см. п. 8.11).
| | ИС МЕГАНОРМ: примечание. Взамен ГОСТ 5686-78 Постановлением Минстроя России от 23.02.1995 N 18-20 с 01.01.1996 введен в действие ГОСТ 5686-94. | |
8.11. Отрицательная сила трения

в водонасыщенных грунтах и

в грунтах природной влажности, действующая на боковой поверхности сваи, кН (тс), принимается равной наибольшему предельному сопротивлению сваи длиной

по испытаниям выдергивающей нагрузкой согласно ГОСТ 5686-78* соответственно в водонасыщенных грунтах и грунтах природной влажности.
До проведения испытаний на выдергивание значение

допускается определять по формуле

(33)
где u - периметр, м, участка ствола сваи;

- расчетная глубина, м, до которой производится суммирование сил бокового трения проседающих слоев грунта, принимаемая равной глубине, где значение просадки грунта от действия собственного веса равно 0,05 м; значение просадки грунта основания должно определяться в соответствии с требованиями
СНиП 2.02.01-83;

- расчетное сопротивление, кПа (тс/м2), определяемое до глубины h = 6 м по формуле

, (34)
здесь

- коэффициент бокового давления, принимаемый равным 0,7;

,

- расчетные значения угла внутреннего трения и удельного сцепления, осредненные по глубине

и определяемые в соответствии с
ГОСТ 12248-78 по методу консолидированного дренированного среза: при глубине

значение

принимается постоянным и равным значению

на глубине 6 м;

- вертикальное напряжение от собственного веса водонасыщенного грунта, кПа (тс/м2);

- толщина, м, i-го слоя просадочного грунта, оседающего при замачивании и соприкасающегося с боковой поверхностью сваи.
8.12. Несущую способность

, кН (тс), свай, работающих на сжимающую нагрузку, следует определять:
а) по результатам статических испытаний свай с локальным замачиванием - как разность между несущей способностью свай длиной l на вдавливающую нагрузку и несущей способностью свай длиной

на выдергивающую нагрузку;
б) расчетом в соответствии с указаниями
п. 8.6 в условиях полного водонасыщения грунтов в пределах слоев грунта ниже глубины

.
8.13. Проведение статических испытаний свай в грунтах II типа по просадочности является обязательным.
8.14. Для особо ответственных сооружений и при массовой застройке в районах с неизученными грунтовыми условиями следует производить испытания с длительным замачиванием основания до полного проявления просадок по программе, разработанной для конкретных условий с привлечением специализированной научно-исследовательской организации.
8.15. Если на боковой поверхности свай возможно появление отрицательных сил трения, то осадку свайного фундамента из висячих свай следует определять как для условного фундамента, который принимается ограниченным с боков вертикальными плоскостями, отстоящими от наружных граней крайних рядов вертикальных свай на расстоянии

, где

- расстояние от нижнего конца сваи до глубины

;

- то же, что в
формуле (29), определяемое в пределах слоев на глубину

.
При подсчете нагрузок к собственному весу условного фундамента должны быть добавлены отрицательные (негативные) силы трения, определенные по формуле (33) при периметре u, м, равном периметру ростверка в пределах его высоты и периметру куста по наружным граням свай.
8.16. Определение неравномерности осадок свайных фундаментов в просадочных грунтах для расчета конструкций зданий и сооружений должно производиться с учетом прогнозируемых изменений гидрогеологических условий площади застройки и возможного наиболее неблагоприятного вида и расположения источника замачивания по отношению к рассчитываемому фундаменту или сооружению в целом.
8.17. В грунтовых условиях II типа в случае, когда возможна просадка грунта от собственного веса, применение свайных фундаментов не исключает необходимости выполнения водозащитных мероприятий. При этом должна быть также предусмотрена разрезка зданий осадочными швами на блоки простой конфигурации. В производственных зданиях промышленных предприятий, оборудованных кранами, кроме того, должны быть предусмотрены конструктивные мероприятия, обеспечивающие возможность рихтовки подкрановых путей на удвоенное значение расчетной осадки свайных фундаментов, но не менее половины просадки грунта от собственного веса.
8.18. При просадках грунта от собственного веса более 30 см следует учитывать возможность горизонтальных перемещений свайных фундаментов, попадающих в пределы криволинейной части просадочной воронки.
8.19. В грунтовых условиях II типа при определении нагрузок, действующих на свайный фундамент, следует учитывать отрицательные силы трения, которые могут появляться на расположенных выше подошвы свайного ростверка боковых поверхностях заглубленных в грунт частей здания или сооружения.
8.20. При применении свайных фундаментов планировочные подсыпки грунтов более 1 м на территориях, сложенных просадочными грунтами, допускаются только при специальном обосновании.
8.21. При проектировании свайных фундаментов, устраиваемых в грунтовых условиях II типа, коэффициент надежности по назначению не учитывается.
9. ОСОБЕННОСТИ ПРОЕКТИРОВАНИЯ СВАЙНЫХ ФУНДАМЕНТОВ
В НАБУХАЮЩИХ ГРУНТАХ
9.1. При проектировании свайных фундаментов в набухающих грунтах допускается предусматривать как полную прорезку сваями всей толщи набухающих грунтов (с опиранием нижних концов на ненабухающие грунты), так и частичную прорезку (с опиранием нижних концов непосредственно в толще набухающих грунтов).
9.2. Расчет свайных фундаментов в набухающих грунтах следует производить по предельным состояниям в соответствии с требованиями, приведенными в
разд. 3 -
6. При расчете свайных фундаментов в набухающих грунтах по деформациям должен также выполняться дополнительный расчет по определению подъема свай при набухании грунта в соответствии с требованиями
пп. 9.4 -
9.6.
9.3. При расчете свайных фундаментов в набухающих грунтах по несущей способности значения расчетных сопротивлений набухающих грунтов под нижним концом R и на боковой поверхности

сваи или сваи-оболочки должны приниматься на основании результатов статических испытаний свай и свай-штампов в набухающих грунтах с замачиванием на строительной площадке или прилегающих к ней территориях, имеющих аналогичные грунты. При отсутствии ко времени проектирования свайных фундаментов результатов указанных статических испытаний расчетное сопротивление набухающих грунтов под нижним концом R и на боковой поверхности

свай и свай-оболочек диаметром менее 1 м допускается принимать по
табл. 1,
2 и
7 как для ненабухающих грунтов с введением дополнительного коэффициента условий работы грунта

= 0,5, учитываемого независимо от других коэффициентов условий работы, приведенных в
табл. 3 и
5.
9.4. Подъем

, м, забивных свай, погруженных в предварительно пробуренные лидерные скважины, набивных свай без уширения, а также свай-оболочек, не прорезающих набухающую зону грунтов, следует определять по формуле

, (35)
где

- подъем поверхности набухающего грунта, м;

- подъем слоя грунта в уровне заложения нижнего конца свай (в случае прорезки набухающего грунта

= 0), м;

,

- коэффициенты, определяемые по
табл. 17, при этом

зависит от показателя

, который характеризует уменьшение деформации по глубине массива при набухании грунта и принимается для набухающих глин: сарматских - 0,31

, аральских - 0,36

и хвалынских - 0,42

;
u - периметр сваи, м;
N - расчетная нагрузка на сваю, кН (тс), определенная с коэффициентом надежности по нагрузке

= 1.
Предельные значения подъема сооружений, а также значение подъема поверхности набухающего грунта

и подъема слоя грунта в уровне расположения нижних концов свай

следует определять в соответствии с требованиями
СНиП 2.02.01-83.
Глубина погружения сваи, м | Коэффициент  при значениях  , м -1 | Коэффициент  , м 2/кН (м 2/тс) |
0,2 | 0,3 | 0,4 | 0,5 | 0,6 |
3 | 0,72 | 0,62 | 0,53 | 0,46 | 0,40 | |
4 | 0,64 | 0,53 | 0,44 | 0,36 | 0,31 | 1,5 (15) |
5 | 0,59 | 0,46 | 0,36 | 0,29 | 0,24 | 1,1 (11) |
6 | 0,53 | 0,40 | 0,31 | 0,24 | 0,19 | 0,7 (7) |
7 | 0,48 | 0,35 | 0,26 | 0,20 | 0,15 | 0,5 (5) |
8 | 0,44 | 0,31 | 0,22 | 0,17 | 0,13 | 0,4 (4) |
9 | 0,40 | 0,27 | 0,19 | 0,14 | 0,11 | 0,3 (3) |
10 | 0,37 | 0,24 | 0,17 | 0,12 | 0,09 | 0,2 (2,5) |
11 | 0,34 | 0,21 | 0,15 | 0,10 | 0,08 | 0,2 (2) |
12 | 0,31 | 0,19 | 0,13 | 0,09 | 0,07 | 0,1 (1,5) |
9.5. При прорезке сваями набухающих слоев грунта и заглублении их в ненабухающие грунты подъем свайного фундамента будет практически исключен при соблюдении условия

(36)
где

- равнодействующая расчетных сил подъема, кН (тс), действующих на боковой поверхности сваи, определяемая по результатам их полевых испытаний в набухающих грунтах или определяемая с использованием данных
табл. 2 с учетом коэффициента надежности по нагрузке для сил набухания грунта

= 1,2;

- несущая способность, кН (тс), участка сваи, расположенного в ненабухающем грунте, при действии выдергивающих нагрузок;
9.6. Подъем свай диаметром более 1 м, не прорезающих набухающие слои грунта, должен определяться как для фундамента на естественном основании в соответствии с требованиями
СНиП 2.02.01-83. При этом подъем сваи с уширением должен определяться при действии нагрузки

, равной:

, (37)

- расчетное значение удельного веса грунта, кН/м3 (тс/м3);

- объем грунта, препятствующий подъему сваи, м3, и принимаемый равным объему грунта в пределах расширяющегося усеченного конуса высотой h с нижним (меньшим) диаметром, равным диаметру уширения d, а верхним диаметром

(здесь h - расстояние от природной поверхности грунта до середины уширения сваи).
9.7. При проектировании свайных фундаментов в набухающих грунтах между поверхностью грунта и нижней плоскостью ростверка должен быть предусмотрен зазор размером, равным или более максимального значения подъема грунта при его набухании.
При толщине слоя набухающего грунта менее 12 м допускается устраивать ростверк, опирающийся непосредственно на грунт, при соблюдении расчетного условия
(36).
10. ОСОБЕННОСТИ ПРОЕКТИРОВАНИЯ СВАЙНЫХ ФУНДАМЕНТОВ
НА ПОДРАБАТЫВАЕМЫХ ТЕРРИТОРИЯХ
10.1. При проектировании свайных фундаментов на подрабатываемых территориях кроме требований настоящих норм должны соблюдаться также требования
СНиП 2.01.09-91; при этом наряду с данными инженерных изысканий для проектирования свайных фундаментов должны также использоваться данные горно-геологических изысканий и сведения об ожидаемых деформациях земной поверхности.
10.2. В задании на проектирование свайных фундаментов на подрабатываемых территориях должны содержаться полученные по результатам маркшейдерского расчета данные об ожидаемых максимальных деформациях земной поверхности на участке строительства, в том числе оседание, наклон, относительные горизонтальные деформации растяжения или сжатия, радиус кривизны земной поверхности, высота уступа.
10.3. Расчет свайных фундаментов зданий и сооружений, возводимых на подрабатываемых территориях, должен производиться по предельным состояниям на особое сочетание нагрузок, назначаемых с учетом воздействий со стороны деформируемого при подработке основания.
10.4. В зависимости от характера сопряжения голов свай с ростверком и взаимодействия фундаментов с грунтом основания в процессе развития в нем горизонтальных деформаций от подработки территории различаются следующие схемы свайных фундаментов:
а) жесткие - при жесткой заделке голов свай в ростверк путем заанкеривания в нем выпусков арматуры свай или непосредственной заделки в нем головы сваи в соответствии с требованиями, изложенными в
п. 7.5;
б) податливые - при условно-шарнирном сопряжении сваи с ростверком, выполненном путем заделки ее головы в ростверк на 5 - 10 см или сопряжения через шов скольжения.
10.5. Расчет свайных фундаментов и их оснований на подрабатываемых территориях должен производиться с учетом:
а) изменений физико-механических свойств грунтов, вызванных подработкой территории, в соответствии с требованиями
п. 10.6;
б) перераспределения вертикальных нагрузок на отдельные сваи, вызванного наклоном, искривлением и уступообразованием земной поверхности, в соответствии с требованиями
п. 10.7;
в) дополнительных нагрузок в горизонтальной плоскости, вызванных относительными горизонтальными деформациями грунтов основания, в соответствии с требованиями
п. 10.8.
10.6. Несущую способность по грунту основания

, кН (тс), свай всех видов, работающих на сжимающую нагрузку, при подработке территории следует определять по формуле

, (38)
где

- коэффициент условий работы, учитывающий изменение физико-механических свойств грунтов и перераспределение вертикальных нагрузок при подработке территории: для свай-стоек в фундаментах любых зданий и сооружений

= 1; для висячих свай в фундаментах податливых зданий и сооружений (например, одноэтажных каркасных с шарнирными опорами)

= 0,9; для висячих свай в фундаментах жестких зданий и сооружений (например, бескаркасных многоэтажных зданий с жесткими узлами, силосных корпусов)

= 1,1;

- несущая способность сваи, кН (тс), определенная расчетом в соответствии с требованиями
разд. 4 или определенная по результатам полевых исследований, испытаний свай динамической и статической нагрузками и зондирования грунта в соответствии с требованиями
разд. 5.
Примечание. В случае крутопадающих пластов, кроме того, следует учитывать зависящий от значения относительной горизонтальной деформации

, мм/м, дополнительный коэффициент

= 1/(1 + 100

).
10.7. Дополнительные вертикальные нагрузки

на сваи или сваи-оболочки зданий и сооружений с жесткой конструктивной схемой следует определять в зависимости от расчетных значений вертикальных перемещений свай, вызванных наклоном, искривлением, уступообразованием земной поверхности, а также горизонтальными деформациями грунтов основания при условиях:
а) свайные фундаменты из висячих свай и их основания заменяются в соответствии с
п. 6.1 условным фундаментом на естественном основании;
б) основание условного фундамента принимается линейно деформируемым с постоянными [по длине здания (сооружения) или выделенного в нем отсека] модулем деформации и коэффициентом постели грунта.
Определение дополнительных вертикальных нагрузок производится относительно продольной и поперечной осей здания.
10.8. В расчетах свайных фундаментов, возводимых на подрабатываемых территориях, следует учитывать дополнительные усилия, возникающие в сваях вследствие их работы на изгиб под влиянием горизонтальных перемещений грунта основания при подработке территории по отношению к проектному положению свай.
10.9. Расчетное горизонтальное перемещение

, мм, грунта при подработке территории следует определять по формуле

, (39)
где

,

- соответственно коэффициенты надежности по нагрузке и условий работы для относительных горизонтальных деформаций, принимаемые согласно
СНиП 2.01.09-91;

- ожидаемое значение относительной горизонтальной деформации, определяемое по результатам маркшейдерского расчета, мм/м;
x - расстояние от оси рассматриваемой сваи до центральной оси здания (сооружения) с ростверком, устраиваемым на всю длину здания (отсека), или до блока жесткости каркасного здания (отсека) с ростверком, устраиваемым под отдельные колонны, м.
10.10. Свайные фундаменты зданий и сооружений, возводимых на подрабатываемых территориях, следует проектировать исходя из условий необходимости передачи на ростверк минимальных усилий от свай, возникающих в результате деформации земной поверхности.
Для выполнения этого требования необходимо в проектах предусматривать:
а) разрезку здания или сооружения на отсеки для уменьшения влияния горизонтальных перемещений грунта основания;
б) преимущественно висячие сваи для зданий и сооружений с жесткой конструктивной схемой для снижения дополнительно возникающих усилий в вертикальной плоскости от искривления основания;
в) сваи возможно меньшей жесткости, например призматические, квадратного или прямоугольного поперечного сечения, причем сваи прямоугольного сечения следует располагать меньшей стороной в продольном направлении отсека здания;
г) преимущественно податливые конструкции сопряжения свай с ростверком, указанные в
п. 10.4;
д) выравнивание зданий с помощью домкратов или других выравнивающих устройств.
При разрезке здания или сооружения на отсеки между ними в ростверке следует предусматривать зазоры (деформационные швы), размеры которых определяются, как для нижних конструкций зданий и сооружений в соответствии с требованиями
СНиП 2.01.09-91.
10.11. Свайные фундаменты следует применять, как правило, на подрабатываемых территориях I - IV групп, в том числе:
а) с висячими сваями - на территориях I - IV групп для любых видов и конструкций зданий и сооружений;
б) со сваями-стойками - на территориях III и IV групп для зданий и сооружений, проектируемых с податливой конструктивной схемой здания при искривлении основания, а для IV группы - также и для зданий и сооружений, проектируемых с жесткой конструктивной схемой.
Примечания. 1. Деление подрабатываемых территорий на группы принято согласно
СНиП 2.01.09-91.
2. Сваи-оболочки, набивные и буровые сваи диаметром более 600 мм и другие виды жестких свай допускается применять, как правило, только в свайных фундаментах с податливой схемой при сопряжении их с ростверком через шов скольжения (см.
п. 10.4).
3. Заглубление в грунт свай на подрабатываемых территориях должно быть не менее 4 м, за исключением случаев опирания свай на скальные грунты.
10.12. На подрабатываемых территориях Iк - IVк групп с возможным образованием уступов, а также на площадках с геологическими нарушениями применение свайных фундаментов допускается только при наличии специального обоснования.
10.13. Конструкция сопряжения свай с ростверком должна назначаться в зависимости от значения ожидаемого горизонтального перемещения грунта основания, причем предельные значения горизонтального перемещения для свай не должны превышать при сопряжении с ростверком (см.
п. 10.4), см:
2 - жестком;
5 - податливом, условно-шарнирном;
8 - то же, через шов скольжения.
Примечание. Для снижения значений усилий, возникающих в сваях и ростверке от воздействия горизонтальных перемещений грунта основания, а также для обеспечения пространственной устойчивости свайных фундаментов здания (сооружения) в целом сваи свайного поля в зоне действия небольших перемещений грунта (до 2 см) следует предусматривать с жестким сопряжением, а остальные - с податливым (шарнирным или сопряжением через шов скольжения).
10.14. Свайные ростверки должны рассчитываться на внецентренное растяжение и сжатие, а также на кручение при воздействии на них горизонтальных опорных реакций от свай (поперечной силы и изгибающего момента), вызванных боковым давлением деформируемого при подработке грунта основания.
10.15. При применении свайных фундаментов с высоким ростверком в бетонных полах или других жестких конструкциях, устраиваемых на поверхности грунта, следует предусматривать зазор по всему периметру свай шириной не менее 8 см на всю толщину жесткой конструкции. Зазор следует заполнять пластичными или упругими материалами, не образующими жесткой опоры для свай при воздействии горизонтальных перемещений грунта основания.
11. ОСОБЕННОСТИ ПРОЕКТИРОВАНИЯ СВАЙНЫХ ФУНДАМЕНТОВ
В СЕЙСМИЧЕСКИХ РАЙОНАХ
11.1. При проектировании свайных фундаментов в сейсмических районах кроме требований настоящих норм следует соблюдать также требования
СНиП II-7-81*; при этом в дополнение к материалам инженерных изысканий для проектирования свайных фундаментов должны быть использованы данные сейсмического микрорайонирования площадки строительства.
11.2. Свайные фундаменты зданий и сооружений с учетом сейсмических воздействий должны рассчитываться на особое сочетание нагрузок по предельным состояниям первой группы. При этом необходимо предусматривать:
а) определение несущей способности сваи на сжимающую и выдергивающую нагрузки в соответствии с требованиями
разд. 4;
б) проверку устойчивости грунта по условию ограничения давления, передаваемого на грунт боковыми поверхностями свай, в соответствии с требованиями рекомендуемого
Приложения 1;
в) расчет свай по прочности материала на совместное действие расчетных усилий (продольной силы, изгибающего момента и поперечной силы), значения которых определяются по указаниям рекомендуемого
Приложения 1 в зависимости от расчетных значений сейсмических нагрузок.
При указанных в
подпунктах "а" - "в" расчетах должны выполняться также требования, приведенные в пп. 11.3 -
11.8.
Примечание. При определении расчетных значений сейсмических нагрузок, действующих на здание или сооружение, высокий свайный ростверк следует рассматривать как каркасный нижний этаж.
11.3. При расчете несущей способности свай на сжимающую или выдергивающую нагрузку

значения R и

следует умножить на понижающие коэффициенты условий работы грунта основания

и

, приведенные в
табл. 18.
Значения R следует также умножить на коэффициент условий работы

, принимаемый:

= 1 при

и

= 0,9 при

, где

- приведенная длина сваи, определяемая по указаниям рекомендуемого
Приложения 1.
Кроме того, сопротивление грунта

на боковой поверхности сваи до расчетной глубины

(см. п. 11.4) следует принимать равным нулю.
11.4. Расчетная глубина

, до которой не учитывается сопротивление грунта на боковой поверхности сваи, определяется по формуле (40), но принимается не более

:

(40)
где

,

,

- безразмерные коэффициенты, равные соответственно 1,5; 0,8 и 0,6 при высоком ростверке и для отдельно стоящей сваи и 1,2; 1,2 и 0 - при жесткой заделке сваи в низкий ростверк;
H, M - расчетные значения соответственно горизонтальной силы, кН (тс), и изгибающего момента,

, приложенных к свае в уровне поверхности грунта при особом сочетании нагрузок с учетом сейсмических воздействий;

- коэффициент деформации, 1/м, определяемый по рекомендуемому
Приложению 1;

- условная ширина сваи, м, определяемая по рекомендуемому
Приложению 1;

- расчетное значение удельного веса грунта, кН/м3 (тс/м3), определяемое в водонасыщенных грунтах с учетом взвешивающего действия воды;

,

- расчетные значения соответственно угла внутреннего трения грунта, град, и удельного сцепления грунта, кН/м2 (тс/м2), принимаемые в соответствии с указаниями
пп. 3.5 и 11.5.
11.5. Определение расчетной глубины

при воздействии сейсмических нагрузок следует производить, принимая значения расчетного угла внутреннего трения

уменьшенными для расчетной сейсмичности 7 баллов - на 2°, 8 баллов - на 4°, 9 баллов - на 7°.
11.6. При расчете свайных фундаментов мостов влияние сейсмического воздействия на условия заделки свай в водонасыщенных пылеватых песках, в пылевато-глинистых грунтах с показателем текучести

> 0,5 следует учитывать путем понижения на 30% значений коэффициентов пропорциональности К, приведенных для этих грунтов в рекомендуемом
Приложении 1.
В расчетах несущей способности свай при действии горизонтальной нагрузки следует учитывать кратковременный характер воздействия сейсмической нагрузки путем повышения коэффициента

в
формуле (24) рекомендуемого Приложения 1. При расчетах однорядных фундаментов на нагрузки, действующие в плоскости, перпендикулярной ряду, значение коэффициента

увеличивается на 10%, в остальных случаях - на 30%.
Расчетная сейсмичность зданий и сооружений, баллы | Коэффициент условий работы  для корректировки значений R при грунтах | Коэффициент условий работы  для корректировки значений fi при грунтах |
песчаных плотных | песчаных средней плотности | пылевато-глинистых при показателе текучести | песчаных плотных и средней плотности | пылевато-глинистых при показателе текучести |
маловлажных и влажных | насыщенных водой | маловлажных и влажных | насыщенных водой | IL < 0 | 0 <= IL <= 0,5 | маловлажных и влажных | насыщенных водой | IL < 0 | 0 <= IL < 0,75 | 0,75 <= IL < 1 |
7 | 1 --- 0,9 | 0,9 --- - | 0,95 ---- 0,85 | 0,8 --- - | 1 -- 1 | 0,95 ---- 0,9 | 0,95 ---- 0,85 | 0,9 --- - | 0,95 ---- - | 0,85 ---- 0,8 | 0,75 ---- 0,7 |
8 | 0,9 --- 0,8 | 0,8 --- - | 0,85 ---- 0,75 | 0,7 --- - | 0,95 ---- 0,95 | 0,9 --- 0,8 | 0,85 ---- 0,75 | 0,8 --- - | 0,9 --- 0,8 | 0,8 --- 0,7 | 0,7 ---- 0,65 |
9 | 0,8 --- 0,7 | 0,7 --- - | 0,75 ---- 0,6 | - | 0,9 ---- 0,85 | 0,85 ---- 0,7 | 0,75 ---- 0,65 | 0,7 --- - | 0,85 ---- 0,65 | 0,7 --- 0,6 | 0,8 --- - |
Примечания. 1. Значения  и  , указанные над чертой, относятся к забивным сваям, под чертой - к набивным. 2. Значения коэффициентов  и  следует умножать на 0,85, 1,0 или 1,15 для зданий и сооружений, возводимых в районах с повторяемостью 1, 2, 3 соответственно (кроме транспортных и гидротехнических). 3. Определение несущей способности свай-стоек, опирающихся на скальные и крупнообломочные грунты, производится без введения дополнительных коэффициентов условий работы  и  . |
11.7. Несущая способность сваи

, кН (тс), работающей на вертикальную сжимающую и выдергивающую нагрузки, по результатам полевых испытаний должна определяться с учетом сейсмических воздействий по формуле

, (41)
где

- коэффициент, учитывающий снижение несущей способности сваи при сейсмических воздействиях, определяемый расчетом как отношение значения несущей способности сваи, вычисленного в соответствии с указаниями
пп. 11.2 -
11.4 с учетом сейсмических воздействий, и значения несущей способности сваи, определенной согласно требованиям
разд. 4, без учета сейсмических воздействий;

- несущая способность сваи, кН (тс), определенная по результатам статических или динамических испытаний либо по данным статического зондирования грунта в соответствии с указаниями
разд. 5 (без учета сейсмических воздействий).
11.8. Расчет свай в просадочных и набухающих грунтах на особое сочетание нагрузок с учетом сейсмических воздействий должен производиться при природной влажности, если замачивание грунта невозможно, и при полностью водонасыщенном грунте, имеющем показатель текучести, определяемый по
формуле (31), если замачивание грунта возможно; при этом определение несущей способности свай в грунтовых условиях II типа по просадочности производится без учета возможности развития отрицательных сил трения грунта.
Примечание. Расчет свай на сейсмические воздействия не исключает необходимости выполнения их расчета в соответствии с
разд. 8 -
10.
11.9. Для свайных фундаментов в сейсмических районах следует применять сваи всех видов, кроме свай без поперечного армирования и булавовидных.
Применение буронабивных свай допускается только в устойчивых грунтах, не требующих закрепления стенок скважин, при этом диаметр свай должен быть не менее 40 см, а отношение длины сваи к ее диаметру - не более 25.
Примечание. Как исключение допускается прорезка водонасыщенных грунтов набивными и буровыми сваями с применением извлекаемых обсадных труб.
11.10. При проектировании свайных фундаментов в сейсмических районах опирание конца свай следует предусматривать на скальные, крупнообломочные, плотные и средней плотности песчаные и пылевато-глинистые грунты с показателем текучести

0,5.
Опирание нижних концов свай на рыхлые водонасыщенные пески, пылевато-глинистые грунты с показателем текучести

> 0,5 не допускается.
11.11. Заглубление в грунт свай в сейсмических районах должно быть не менее 4 м, а при наличии в основании нижних концов свай водонасыщенных песчаных грунтов средней плотности - не менее 8 м. Допускается уменьшение заглубления свай при соответствующем обосновании, полученном в результате полевых испытаний свай имитированными сейсмическими воздействиями.
Для одноэтажных сельскохозяйственных зданий, не содержащих ценного оборудования, и в случае опирания свай на скальные грунты их заглубление в грунт принимается таким же, как в несейсмических районах.
11.12. Ростверк свайного фундамента под несущими стенами здания в пределах отсека должен быть непрерывным и расположенным в одном уровне. Верхние концы свай должны быть заделаны в ростверк на глубину, определяемую расчетом, учитывающим сейсмические нагрузки.
Устройство безростверковых свайных фундаментов зданий и сооружений не допускается.
11.13. При соответствующем технико-экономическом обосновании допускается применять свайные фундаменты с промежуточной подушкой из сыпучих материалов (щебня, гравия, песка крупного и средней крупности). Такие фундаменты не следует применять в биогенных грунтах, просадочных грунтах II типа, на подрабатываемых территориях, геологически неустойчивых площадках (на которых имеются или могут возникать оползни, сели, карсты и т.п.) и на площадках, сложенных нестабилизированными грунтами.
Для свайных фундаментов с промежуточной подушкой следует применять такие же виды свай, как и в несейсмических районах.
11.14. Расчет свай, входящих в состав свайного фундамента с промежуточной подушкой, на горизонтальные нагрузки не производится. Несущую способность таких свай, работающих на сжимающую нагрузку с учетом сейсмических воздействий, следует определять в соответствии с требованиями
п. 11.3; при этом сопротивление грунта необходимо учитывать вдоль всей боковой поверхности сваи, т.е.

= 0, а коэффициент условий работы нижнего конца сваи при сейсмических воздействиях

= 1,2.
11.15. При расчете свайных фундаментов с промежуточной подушкой по деформациям осадку фундамента следует вычислять как сумму осадки условного фундамента, определяемой в соответствии с требованиями
разд. 6, и осадки промежуточной подушки.
12. ОСОБЕННОСТИ ПРОЕКТИРОВАНИЯ СВАЙНЫХ ФУНДАМЕНТОВ ОПОР
ВОЗДУШНЫХ ЛИНИЙ ЭЛЕКТРОПЕРЕДАЧИ
12.1. Свайные фундаменты опор воздушных линий электропередачи (ЛЭП) и открытых распределительных устройств (ОРУ) подстанций допускается применять во всех видах грунтов, в которых обеспечиваются возможность их погружения и экономическая целесообразность.
12.2. Для свайных фундаментов опор воздушных линий электропередачи не допускается применение булавовидных, пирамидальных и ромбовидных свай.
12.3. Глубина погружения свай в грунт, воспринимающих выдергивающие или горизонтальные нагрузки, должна быть не менее 4,0 м, а для фундаментов деревянных опор - не менее 3,0 м.
12.4. Деревянные сваи для фундаментов деревянных опор воздушных линий электропередачи допускается применять независимо от наличия и положения уровня подземных вод. При этом в зоне переменной влажности необходимо предусматривать усиленную защиту древесины от гниения.
12.5. Несущую способность забивных висячих и набивных свай, работающих на сжимающую нагрузку, следует определять соответственно по
формулам (8) и
(11) с учетом указаний, приведенных в
пп. 12.7 и
12.8; при этом коэффициент условий работы

в
формулах (8) и
(11) следует принимать:
для нормальных промежуточных опор ........................ 1,2
в остальных случаях ...................................... 1,0
12.6. Несущую способность забивных и набивных свай, работающих на выдергивание, следует определять по
формулам (10) и
(14) с учетом дополнительных указаний, приведенных в
пп. 12.7 -
12.9; при этом коэффициент условий работы

в
формулах (10) и
(14) следует принимать для опор:
нормальных и промежуточных ............................... 1,2
анкерных и угловых ....................................... 1,0
больших переходов:
если удерживающая сила веса свай и ростверка
равна расчетной выдергивающей нагрузке ................ 1,0
если удерживающая сила составляет 65% и менее
расчетной выдергивающей нагрузки ...................... 0,6
в остальных случаях .......................... по интерполяции
12.7. Расчетные сопротивления грунта под нижним концом забивных свай R и расчетные сопротивления на боковой поверхности забивных свай

в фундаментах опор воздушных линий электропередачи принимаются по
табл. 1 и
2, причем в фундаментах нормальных опор расчетные значения

для пылевато-глинистых грунтов при их показателе текучести

0,3 следует повышать на 25%.
12.8. Расчетные сопротивления грунта на боковой поверхности забивных свай

, вычисленные в соответствии с требованиями
п. 12.7, должны быть умножены на дополнительные коэффициенты условий работы

, приведенные в табл. 19.
Вид фундамента, характеристика грунта и нагрузки | Дополнительные коэффициенты условий работы  при длине сваи |
l >= 25d | l < 25d и отношении |
| | |
1. Фундамент под нормальную промежуточную опору при расчете: | | | | |
а) одиночных свай на выдергивающие нагрузки: | | | | |
в песчаных грунтах и супесях | 0,9 | 0,9 | 0,8 | 0,55 |
в глинах и суглинках при IL < 0,6 | 1,15 | 1,15 | 1,05 | 0,7 |
то же, при IL > 0,6 | 1,5 | 1,5 | 1,35 | 0,9 |
б) одиночных свай на сжимающие нагрузки и свай в составе куста на выдергивающие нагрузки: | | | | |
в песчаных грунтах и супесях | 0,9 | 0,9 | 0,9 | 0,9 |
в глинах и суглинках при IL < 0,6 | 1,15 | 1,15 | 1,15 | 1,15 |
то же, при IL > 0,6 | 1,5 | 1,5 | 1,5 | 1,5 |
2. Фундамент под анкерную, угловую концевую опоры, под опоры больших переходов при расчете: | | | | |
а) одиночных свай на выдергивающие нагрузки: | | | | |
в песчаных грунтах и супесях | 0,8 | 0,8 | 0,7 | 0,6 |
в глинах и суглинках | 1,0 | 1,0 | 0,9 | 0,6 |
б) свай в составе куста на выдергивающие нагрузки: | | | | |
в песчаных грунтах и супесях | 0,8 | 0,8 | 0,8 | 0,8 |
в глинах и суглинках | 1,0 | 1,0 | 1,0 | 1,0 |
в) на сжимающие нагрузки во всех грунтах | 1,0 | 1,0 | 1,0 | 1,0 |
d - диаметр круглого, сторона квадратного или большая сторона прямоугольного сечения сваи; H - горизонтальная составляющая расчетной нагрузки; N - вертикальная составляющая расчетной нагрузки. Примечание. При погружении одиночной сваи с наклоном в сторону действия горизонтальной составляющей нагрузки при угле наклона к вертикали более 10° дополнительный коэффициент условий работы следует принимать как для вертикальной сваи, работающей в составе куста (по поз. 1, б или 2, б). |
12.9. При расчете на выдергивающие нагрузки сваи, работающей в свайном кусте из четырех свай и менее, расчетную несущую способность сваи следует уменьшить на 20%.
12.10. Для свай, воспринимающих выдергивающие нагрузки, допускается предусматривать погружение их в лидерные скважины, при этом разница между поперечным размером сваи и диаметром лидерной скважины должна быть не менее 0,15 м.
13. ОСОБЕННОСТИ ПРОЕКТИРОВАНИЯ СВАЙНЫХ ФУНДАМЕНТОВ
МАЛОЭТАЖНЫХ СЕЛЬСКИХ ЗДАНИЙ
13.1. Особенности проектирования свайных фундаментов распространяются на следующие виды малоэтажных сельских зданий: дома усадебного типа, животноводческие и птицеводческие, склады сельскохозяйственных продуктов и сельскохозяйственной техники, навесы различного назначения и т.п. с расчетной нагрузкой в уровне цоколя стены зданий до 150 кН/м (15 тс/м), а на колонну - до 400 кН (40 тс).
13.2. При проектировании свайных фундаментов малоэтажных сельских зданий следует применять преимущественно сваи-колонны, короткие пирамидальные сваи с предварительно напряженной арматурой без поперечного армирования, буровые сваи длиной до 3 м с уплотненным трамбованием забоем и набивные сваи, устраиваемые в пробивных скважинах, предусмотренных
п. 2.4,б.
В фундаментах сельских зданий распорной конструкции следует применять сваи таврового и двутаврового сечений с консолями.
Примечания. 1. Применение свай-колонн для малоэтажных сельских зданий, возводимых в сейсмических районах, допускается при глубине погружения свай-колонн в грунт не менее 2 м.
2. Уплотнение забоя скважин при устройстве буровых свай длиной до 3 м должно осуществляться путем втрамбовывания в грунт слоя щебня толщиной не менее 10 см.
3. В проектах свайных фундаментов малоэтажных сельских зданий на просадочных грунтах с просадкой от их собственного веса до 15 см допускается не предусматривать полной прорезки сваями просадочной толщи, если надземные конструкции зданий проектируются с применением конструктивных мероприятий, обеспечивающих возможность их нормальной эксплуатации при определенных расчетом неравномерных осадках и просадках фундаментов.
13.3. При расчете несущей способности свай по
формуле (8) расчетные сопротивления грунта R, кПа (тс/м2), под нижним концом забивных свай при глубине погружения от 2 до 3 м следует принимать по
табл. 20, а на боковой поверхности

, кПа (тс/м2), - по
табл. 21.
13.4. Расчетные сопротивления грунта R, кПа (тс/м2), под нижним концом набивных и буровых свай с уплотненным забоем при глубине погружения свай от 2 до 3 м следует принимать по
табл. 22; при этом для плотных песчаных грунтов табличные значения следует увеличить в 1,3 раза. Расчетные сопротивления

, кПа (тс/м2), на боковой поверхности набивных и буровых свай допускается принимать по
табл. 21 с дополнительным коэффициентом условий работы, равным 0,9.
Глубина погружения сваи, м | Коэффициент пористости e | Расчетные сопротивления грунтов под нижним концом забивных свай R, кПа (тс/м2) |
песчаных | пылевато-глинистых при показателе текучести IL, равном |
крупных | средней крупности | мелких | пылеватых | 0,0 | 0,2 | 0,4 | 0,6 | 0,8 | 1,0 |
2 | <= 0,55 | 8300 (830) | 3900 (390) | 2500 (250) | 1500 (150) | 6500 (650) | 3900 (390) | 2000 (200) | 1000 (100) | 600 (60) | 300 (30) |
0,70 | 6400 (640) | 3000 (300) | 1900 (190) | 1200 (120) | 5400 (540) | 3200 (320) | 1700 (170) | 900 (90) | 500 (50) | 250 (25) |
1,00 | - | - | - | - | 3200 (320) | 1900 (190) | 1000 (100) | 600 (60) | 300 (30) | 150 (50) |
3 | <= 0,55 | 8500 (850) | 4100 (410) | 2700 (270) | 1600 (160) | 6600 (660) | 4000 (400) | 2100 (210) | 1100 (110) | 650 (65) | 350 (35) |
0,70 | 6600 (660) | 3200 (320) | 2100 (210) | 1300 (130) | 5500 (550) | 3300 (330) | 1800 (180) | 1000(100) | 550 (55) | 250 (25) |
1,00 | - | - | - | - | 3300 (330) | 2000 (200) | 1100 (110) | 700 (70) | 350 (35) | 200 (20) |
Примечание. Для промежуточных значений IL и e значения R определяются интерполяцией. |
Средняя глубина расположения слоя грунта hi, м | Коэффициент пористости грунта в слое e | Расчетные сопротивления грунта на боковой поверхности забивных свай, в том числе таврового и двутаврового сечений, fi, кПа (тс/м2) |
песчаного | пылевато-глинистого при показателе текучести IL, равном |
крупного и средней крупности | мелкого | пылеватого | 0,0 | 0,2 | 0,4 | 0,6 | 0,8 | 1,0 |
1 | <= 0,55 | 80 (8,0) | 55 (5,5) | 45 (4,5) | 46 (4,6) | 39 (3,9) | 32 (3,2) | 25 (2,5) | 18 (1,8) | 11 (1,1) |
0,7 | 60 (6,0) | 40 (4,0) | 30 (3,0) | 45 (4,5) | 37 (3,7) | 30 (3,0) | 23 (2,3) | 16 (1,6) | 9 (0,9) |
1,00 | - | - | - | - | 32 (3,2) | 23 (2,3) | 15 (1,5) | 10 (1,0) | 6 (0,6) |
2 - 3 | <= 0,55 | 85 (8,5) | 60 (6,0) | 50 (5,0) | 68 (6,8) | 53 (5,3) | 40 (4,0) | 29 (2,9) | 20 (2,0) | 13 (1,3) |
0,7 | 65 (6,5) | 45 (4,5) | 35 (3,5) | 65 (6,5) | 50 (5,0) | 37 (3,7) | 26 (2,6) | 18 (1,8) | 1 (1,1) |
1,0 | - | - | - | 60 (6,0) | 45 (4,5) | 32 (3,2) | 21 (2,1) | 13 (1,3) | 7 (0,7) |
Примечание. Для промежуточных значений hi, e и IL значения fi определяются интерполяцией. |
Грунты | Коэффициент пористости e | Расчетные сопротивления под нижним концом набивных и буровых свай R, кПа (тс/м2), при глубине их погружения 2 - 3 м и расчетные сопротивления под консолями свай-колонн Rcon, кПа (тс/м2) |
песчаных грунтов |
крупных | средней крупности | мелких | пылеватых |
пылевато-глинистых грунтов при показателе текучести IL, равном |
0,0 | 0,2 | 0,4 | 0,6 |
Пески средней плотности | 0,55 - 0,8 | 2000 (200) | 1500 (150) | 800 (80) | 500 (50) |
Супеси и суглинки | 0,5 | 800 (80) | 650 (65) | 550 (55) | 450 (45) |
0,7 | 650 (65) | 550 (55) | 450 (45) | 350 (35) |
1,0 | 550 (55) | 450 (45) | 350 (35) | 250 (25) |
Глины | 0,5 | 1400 (140) | 1100 (110) | 900 (90) | 700 (70) |
0,6 | 1100 (110) | 900 (90) | 750 (75) | 600 (60) |
0,8 | 700 (70) | 600 (60) | 500 (50) | 400 (40) |
13.5. Несущую способность сваи-колонны с погружаемыми в грунт железобетонными консолями, работающей на сжимающую нагрузку, следует определять как сумму сопротивлений грунта под нижним ее концом, под консолями и на боковой поверхности по формуле

, (42)
где

, R, A,

,

- то же, что в формуле (8);

- дополнительный коэффициент условий работы;

= 0,4 для песчаных грунтов и

= 0,8 для пылевато-глинистых грунтов;

- расчетное сопротивление грунта под консолями, кПа (тс/м2), при погружении их в грунт на глубину 0,5 - 1,0 м, принимаемое по
табл. 22;

- площадь проекции консолей на горизонтальную плоскость, м2.
13.6. Несущую способность свай таврового и двутаврового сечений при действии вертикальной составляющей нагрузки следует определять по
формуле (8), принимая в ней значения

на боковой поверхности полки и стенки по
табл. 21.
Примечание. При расчете несущей способности свай таврового и двутаврового сечений, используемых для зданий с каркасом из трехшарнирных рам, допускается учитывать влияние горизонтальной составляющей распора на расчетные сопротивления на боковой поверхности свай.
13.7. Для свайных фундаментов и свай-колонн одноэтажных сельских зданий необходимо производить проверку устойчивости фундаментов при действии сил морозного пучения грунтов.
13.8. Расчетные характеристики грунтов при определении несущей способности свай по
пп. 13.3 -
13.6 следует принимать для наиболее неблагоприятного случая их сезонного изменения в процессе строительства и эксплуатации здания.
Рекомендуемое
РАСЧЕТ СВАЙ НА СОВМЕСТНОЕ ДЕЙСТВИЕ
ВЕРТИКАЛЬНОЙ И ГОРИЗОНТАЛЬНОЙ СИЛ И МОМЕНТА
1. При расчете свай на совместное действие вертикальной и горизонтальной сил и момента в соответствии со схемой, приведенной на чертеже, следует различать две стадии напряженно-деформированного состояния системы "свая - грунт".
В первой стадии грунт, окружающий сваю, рассматривается как упругая линейно-деформируемая среда, характеризуемая коэффициентом постели

, кН/м3 (тс/м3).
Расчетные значения коэффициента постели

грунта на боковой поверхности сваи допускается определять по формуле

, (1)
где К - коэффициент пропорциональности, кН/м4 (тс/м4), принимаемый в зависимости от вида грунта, окружающего сваю, по табл. 1;
z - глубина расположения сечения сваи в грунте, м, для которой определяется коэффициент постели, по отношению к поверхности грунта при высоком ростверке или к подошве ростверка при низком ростверке;

- коэффициент условий работы.
Грунты, окружающие сваи, и их характеристики | Коэффициент пропорциональности K, кН/м4 (тс/м4) | Прочностный коэффициент пропорциональности a, кН/м3 (тс/м3) |
Пески крупные (0,55 <= e <= 0,7); глины и суглинки твердые (IL < 0) | 18000 - 30000 (1800 - 3000) | 71 - 92 (7,1 - 9,2) |
Пески мелкие (0,6 <= e <= 0,75); пески средней крупности (0,55 <= e <= 0,7), супеси твердые (IL < 0); глины и суглинки тугопластичные и полутвердые (0 <= IL <= 0,75) | 12000 - 18000 (1200 - 1800) | 60 - 71 (6,0 - 7,1) |
Пески пылеватые (0,6 <= e <= 0,8); супеси пластичные (0 <= IL <= 0,1); глины и суглинки мягкопластичные (0,5 <= IL <= 0,75) | 7000 - 12000 (700 - 1200) | 44 - 60 (4,4 - 6,0) |
Глины и суглинки текучепластичные (0,75 <= IL <= 1) | 4000 - 7000 (400 - 700) | 26 - 44 (2,6 - 4,4) |
Пески гравелистые (0,55 <= e <= 0,7); крупнообломочные грунты с песчаным заполнителем | 50000 - 100000 (5000 - 10000) | 100 - 120 (10 - 12) |
Примечания. 1. Меньшие значения коэффициента K соответствуют более высоким значениям показателя текучести IL глинистых и коэффициентов пористости e песчаных грунтов, указанным в скобках, а  значения коэффициента K - соответственно более низким значениям IL и e. Для грунтов с промежуточными значениями характеристик IL и e значения коэффициента K определяются интерполяцией. 2. Коэффициент K для плотных песков должен приниматься на 30% выше, чем наибольшие значения указанных в табл. 1 коэффициентов K для заданного вида грунта. |
Во второй стадии в верхней части грунта, окружающего сваю, образуется зона предельного равновесия (пластическая зона), характеризуемая прочностным коэффициентом пропорциональности

.
Расчет свай в случае многорядного их расположения в фундаменте с ростверком, опирающимся на грунт, при отсутствии сейсмических воздействий допускается производить с учетом возможности последовательного развития первой и второй стадий напряженно-деформированного состояния грунта. В этом случае производится двухстадийный расчет свай, а коэффициент условий работы

в
формуле (1) принимается

= 1. Во всех остальных случаях следует производить одностадийный расчет свай применительно к условиям возможного развития только первой стадии напряженно-деформированного состояния системы "свая - грунт", принимая коэффициент условий работы

в
формуле (1) равным 3.
2. Расчет свай на совместное действие вертикальной и горизонтальной сил и момента должен включать:
а) расчет несущей способности свай в случае возможности развития второй стадии напряженно-деформированного состояния грунта в соответствии с условием

, (2)
где Н - расчетное значение поперечной силы, кН (тс), действующей на одну сваю;

- несущая способность сваи, определяемая в соответствии с требованиями
п. 10;

- коэффициент надежности, принимаемый равным 1,4;
б) проверку устойчивости грунта, согласно
п. 13, в случае, когда расчет ведется с допущением развития только первой стадии напряженно-деформированного состояния грунта;
в) расчет свай по деформациям, включающий проверку соблюдения условий допустимости расчетных значений горизонтального перемещения головы сваи

и угла ее поворота

:

; (3)

, (4)
где

,

- расчетные значения соответственно горизонтального перемещения головы сваи, м, и угла ее поворота, рад, определяемые согласно указаниям
п. 5;

,

- предельные значения соответственно горизонтального перемещения головы сваи, м, и угла ее поворота, рад, устанавливаемые в задании на проектирование здания или сооружения;
г) проверку сечений свай по сопротивлению материала по предельным состояниям первой и второй групп (по прочности, по образованию и раскрытию трещин) на совместное действие расчетных усилий - вертикальной силы, изгибающего момента и поперечной силы; указанный расчет выполняется в зависимости от материала сваи согласно требованиям
п. 3.6; расчетные значения изгибающих моментов и поперечных сил, действующих в различных сечениях сваи, должны определяться согласно требованиям
пп. 8 и
9 в случае возможности допущения развития второй стадии напряженно-деформированного состояния грунта, а в остальных случаях - согласно требованиям
пп. 14 и
15.
3. При расчете с допущением развития второй стадии напряженно-деформируемого состояния грунта за предельное состояние системы "свая - грунт" принимается образование на глубине

(в пределах или на границе пластической зоны) пластического шарнира, в котором возникает момент

,

, равный предельному изгибающему моменту, воспринимаемому поперечным сечением сваи. В случае заделки сваи в ростверк последовательно образуются два пластических шарнира: первый - в месте заделки сваи в ростверк, второй - в пределах или на границе пластической зоны. За предельное состояние системы принимается момент образования второго пластического шарнира.
4. Расчет свай по предельным состояниям двух групп выполняется с использованием следующих параметров: приведенной глубины расположения сечения сваи в грунте

, приведенной глубины погружения сваи в грунт

, а в случае учета возможности развития второй стадии напряженно-деформированного состояния грунта, кроме того, приведенной глубины пластической зоны

, приведенных расчетных значений поперечной силы

и изгибающего момента

, действующих со стороны ростверка на голову сваи, приведенного значения граничной поперечной силы

, соответствующего границе упругой работы системы "свая - грунт" при

= 0, приведенных значений граничного горизонтального перемещения

и граничного угла поворота

при низком ростверке в уровне его подошвы при

= 0, приведенных значений перемещений

и угла поворота

сваи, которые определяются по формулам:

; (5)

; (6)

; (7)

; (8)

; (9)

, (10)
где z,

, l - действительная глубина расположения сечения сваи в грунте, действительная глубина пластической зоны и действительная глубина погружения сваи (ее нижнего конца) в грунт, м;

- коэффициент деформации, 1/м, определяемый по формуле

(11)
Е - модуль упругости материала сваи, кПа (тс/м2);
I - момент инерции поперечного сечения сваи, м4;

- условная ширина сваи, м, принимаемая равной: для свай с диаметром стволов 0,8 м и более

, а для остальных размеров сечений свай

, м;

- коэффициент условий работы, принимаемый согласно
п. 1;
d - наружный диаметр круглого или сторона квадратного, или сторона прямоугольного сечения свай в плоскости, перпендикулярной действию нагрузки, м;

- прочностный коэффициент пропорциональности, кН/м3 (тс/м3), определяемый по
табл. 1; значения

и

определяются по
табл. 2 и
3 при

= 0.
5. Расчетные значения горизонтального перемещения сваи в уровне подошвы ростверка

, м, и угол ее поворота

, рад, следует определять по формулам:

; (12)

; (13)
где Н, М - расчетные значения поперечной силы, кН (тс), и изгибающего момента,

, действующие на голову сваи (см.
чертеж);

- длина участка сваи, м, равная расстоянию от подошвы ростверка до поверхности грунта;

,

- горизонтальное перемещение, м, и угол поворота поперечного сечения сваи, рад, в уровне поверхности грунта при высоком ростверке, а при низком ростверке - в уровне его подошвы, определяемые по указаниям
п. 7 при двухстадийном расчете и по указаниям
п. 12 при одностадийном расчете свай.
Примечание. В настоящем приложении считаются положительными:
момент и горизонтальная сила, приложенные к голове сваи, если момент и сила направлены соответственно по часовой стрелке и вправо;
изгибающий момент и поперечная сила в сечении сваи, если момент и сила, передающиеся от верхней условно отсеченной части сваи на нижнюю, направлены соответственно по часовой стрелке и вправо;
горизонтальное смещение сечения сваи и его поворот, если они направлены соответственно вправо и по часовой стрелке.
6. Горизонтальная сила Н, кН (тс), соответствующая границе упругой работы системы "свая - грунт", при двухстадийном расчете определяются по формуле

. (14)
7. Горизонтальное перемещение

, м, и угол поворота

, рад, при двухстадийном расчете следует определять по формулам:
а) при


; (15)

; (16)
б) при


; (17)

, (18)
где Н - расчетное значение поперечной силы, кН (тс), прикладываемой к голове сваи;

- граничное значение поперечной силы, определяемой по
формуле (14), где

определяется по
табл. 2 и
3 в зависимости от значения

при

= 0;

,

- определяются по
табл. 2 и
3 в зависимости от значения силы

, рассчитываемой по
формуле (8).
Примечание. При приведенной длине сваи

< 2,6 следует пользоваться
табл. 2 и
3 для

= 2,6, при этом значение допускаемого перемещения сваи в уровне поверхности грунта не должно превышать 2 см.
8. Расчетный изгибающий момент

,

, поперечную силу

, кН (тс), действующие на глубине z в сечении сваи, следует определять при допущении двух стадий работы системы "свая - грунт" в пределах упругой зоны грунта по формулам:

; (19)

, (20)
где

,

,

,

- приведенные значения фиктивных начальных параметров, определяемые в зависимости от значений Н и l по
табл. 2 и
3;

,

,

,

- коэффициенты, значения которых принимаются по
табл. 4 в зависимости от глубины

.
Приведенная длина участка сваи  | Параметры для расчета свай при шарнирном их сопряжении с ростверком |
| | | | | | | |
2,6 | 0,316 | 0,00 | 1,000 | 0,642 | 1,000 | -0,642 | 0,316 | 0,000 |
0,388 | 0,30 | 1,238 | 0,802 | 1,238 | -0,801 | 0,392 | 0,000 |
0,478 | 0,60 | 1,603 | 1,032 | 1,602 | -1,030 | 0,513 | -0,010 |
0,578 | 0,90 | 2,174 | 1,377 | 2,170 | -1,359 | 0,730 | -0,067 |
0,682 | 1,20 | 3,108 | 1,904 | 3,082 | -1,804 | 1,155 | -0,279 |
0,785 | 1,50 | 4,772 | 2,767 | 4,631 | -2,340 | 2,086 | -0,960 |
2,8 | 0,344 | 0,00 | 1,000 | 0,643 | 1,000 | -0,643 | 0,344 | 0,000 |
0,422 | 0,30 | 1,236 | 0,795 | 1,236 | -0,795 | 0,426 | 0,000 |
0,520 | 0,60 | 1,594 | 1,020 | 1,593 | -1,018 | 0,555 | -0,010 |
0,631 | 0,90 | 2,142 | 1,349 | 2,139 | -1,331 | 0,778 | -0,065 |
0,748 | 1,20 | 2,997 | 1,826 | 2,973 | -1,734 | 1,191 | -0,260 |
0,864 | 1,50 | 4,389 | 2,541 | 4,266 | -2,168 | 2,009 | -0,840 |
3,0 | 0,366 | 0,00 | 1,000 | 0,644 | 1,000 | -0,644 | 0,366 | 0,000 |
0,450 | 0,30 | 1,237 | 0,797 | 1,237 | -0,797 | 0,454 | 0,000 |
0,556 | 0,60 | 1,593 | 1,022 | 1,593 | -1,020 | 0,591 | -0,010 |
0,678 | 0,90 | 2,134 | 1,347 | 2,131 | -1,329 | 0,823 | -0,064 |
0,808 | 1,20 | 2,955 | 1,806 | 2,932 | -1,717 | 1,238 | -0,252 |
0,939 | 1,50 | 4,216 | 2,454 | 4,103 | -2,110 | 2,007 | -0,780 |
3,2 | 0,383 | 0,00 | 1,000 | 0,648 | 1,000 | -0,648 | 0,383 | 0,000 |
0,472 | 0,30 | 1,238 | 0,803 | 1,238 | -0,803 | 0,475 | 0,000 |
0,585 | 0,60 | 1,598 | 1,031 | 1,598 | -1,029 | 0,619 | -0,010 |
0,716 | 0,90 | 2,141 | 1,360 | 2,138 | -1,342 | 0,862 | -0,064 |
0,860 | 1,20 | 2,956 | 1,819 | 2,932 | -1,730 | 1,287 | -0,250 |
1,008 | 1,50 | 4,167 | 2,446 | 4,056 | -2,114 | 2,046 | -0,755 |
3,4 | 0,395 | 0,00 | 1,000 | 0,653 | 1,000 | -0,653 | 0,395 | 0,000 |
0,487 | 0,30 | 1,241 | 0,810 | 1,241 | -0,810 | 0,491 | 0,000 |
0,606 | 0,60 | 1,604 | 1,043 | 1,604 | -1,141 | 0,641 | -0,010 |
0,746 | 0,90 | 2,155 | 1,379 | 2,152 | -1,361 | 0,893 | -0,065 |
0,903 | 1,20 | 2,978 | 1,848 | 2,955 | -1,759 | 1,333 | -0,251 |
1,067 | 1,50 | 4,183 | 2,480 | 4,075 | -2,150 | 2,102 | -0,750 |
3,6 | 0,403 | 0,00 | 1,000 | 0,658 | 1,000 | -0,658 | 0,403 | 0,000 |
0,497 | 0,30 | 1,243 | 0,817 | 1,243 | -0,817 | 0,501 | 0,000 |
0,620 | 0,60 | 1,611 | 1,054 | 1,611 | -1,052 | 0,656 | -0,010 |
0,768 | 0,90 | 2,170 | 1,398 | 2,167 | -1,381 | 0,916 | -0,065 |
0,935 | 1,20 | 3,009 | 1,881 | 2,985 | -1,791 | 1,370 | -0,254 |
1,115 | 1,50 | 4,233 | 2,531 | 4,124 | -2,199 | 2,160 | -0,757 |
3,8 | 0,407 | 0,00 | 1,000 | 0,661 | 1,000 | -0,661 | 0,407 | 0,000 |
0,503 | 0,30 | 1,244 | 0,823 | 1,244 | -0,823 | 0,507 | 0,000 |
0,629 | 0,60 | 1,616 | 1,064 | 1,616 | -1,062 | 0,665 | -0,010 |
0,782 | 0,90 | 2,183 | 1,415 | 2,108 | -1,397 | 0,932 | -0,066 |
0,967 | 1,20 | 3,038 | 1,910 | 3,014 | -1,819 | 1,398 | -0,258 |
1,150 | 1,50 | 4,321 | 2,583 | 4,181 | -2,247 | 2,211 | -0,768 |
4,0 | 0,409 | 0,00 | 1,000 | 0,664 | 1,000 | -0,664 | 0,409 | 0,000 |
0,507 | 0,30 | 1,245 | 0,827 | 1,245 | -0,827 | 0,510 | 0,000 |
0,634 | 0,60 | 1,620 | 1,070 | 1,620 | -1,068 | 0,670 | -0,010 |
0,790 | 0,90 | 2,193 | 1,427 | 2,189 | -1,409 | 0,941 | -0,067 |
0,941 | 1,20 | 3,061 | 1,933 | 3,037 | -1,841 | 1,417 | -0,260 |
1,174 | 1,50 | 4,342 | 2,626 | 4,231 | -2,285 | 2,250 | -0,778 |
Приведенная длина участка сваи  | Параметры для расчета свай при их жесткой заделке в ростверк |
| | | | | | | |
2,6 | 0,927 | 0,00 | 1,000 | -0,943 | 1,000 | 0,000 | 0,927 | -0,943 |
0,963 | 0,30 | 1,039 | -0,980 | 1,039 | 0,000 | 0,964 | -0,981 |
1,061 | 0,60 | 1,158 | -1,089 | 1,158 | 0,000 | 1,074 | -1,094 |
1,210 | 0,90 | 1,374 | -1,275 | 1,372 | 0,009 | 1,281 | -1,308 |
1,407 | 1,20 | 1,733 | -1,552 | 1,718 | 0,054 | 1,644 | -1,700 |
1,656 | 1,50 | 2,337 | -1,960 | 2,258 | 0,234 | 2,314 | -2,471 |
2,8 | 0,947 | 0,00 | 1,000 | -0,938 | 1,000 | 0,000 | 0,947 | -0,938 |
0,984 | 0,30 | 1,039 | -0,975 | 1,039 | 0,000 | 0,985 | -0,975 |
1,083 | 0,60 | 1,156 | -1,081 | 1,156 | 0,000 | 1,096 | -1,086 |
1,232 | 0,90 | 1,365 | -1,260 | 1,363 | 0,008 | 1,301 | -1,292 |
1,425 | 1,20 | 1,709 | -1,522 | 1,692 | 0,052 | 1,652 | -1,663 |
1,660 | 1,50 | 2,256 | -1,890 | 2,183 | 0,217 | 2,273 | -2,365 |
3,0 | 0,972 | 0,00 | 1,000 | -0,940 | 1,000 | 0,000 | 0,972 | -0,940 |
1,010 | 0,30 | 1,039 | -0,977 | 1,039 | 0,000 | 1,011 | -0,977 |
1,111 | 0,60 | 1,155 | -1,083 | 1,155 | 0,000 | 1,124 | -1,087 |
1,263 | 0,90 | 1,361 | -1,259 | 1,359 | 0,008 | 1,331 | -1,291 |
1,457 | 1,20 | 1,690 | -1,512 | 1,676 | 0,050 | 1,678 | -1,649 |
1,687 | 1,50 | 2,202 | -1,856 | 2,133 | 0,204 | 2,268 | -2,304 |
3,2 | 0,998 | 0,00 | 1,000 | -0,947 | 1,000 | 0,000 | 0,998 | -0,947 |
1,036 | 0,30 | 1,039 | -0,984 | 1,039 | 0,000 | 1,037 | -0,984 |
1,141 | 0,60 | 1,156 | -1,092 | 1,156 | 0,000 | 1,154 | -1,096 |
1,298 | 0,90 | 1,361 | -1,269 | 1,359 | 0,008 | 1,365 | -1,300 |
1,496 | 1,20 | 1,684 | -1,519 | 1,670 | 0,049 | 1,714 | -1,655 |
1,729 | 1,50 | 2,174 | -1,852 | 2,108 | 0,197 | 2,291 | -2,286 |
3,4 | 1,021 | 0,00 | 1,000 | -0,957 | 1,000 | 0,000 | 1,021 | -0,957 |
0,061 | 0,30 | 1,040 | -0,995 | 1,040 | 0,000 | 1,062 | -0,995 |
1,169 | 0,60 | 1,157 | -1,105 | 1,574 | 0,000 | 1,182 | -1,109 |
1,331 | 0,90 | 1,363 | -1,285 | 1,361 | 0,008 | 1,398 | -1,316 |
1,537 | 1,20 | 1,685 | -1,538 | 1,672 | 0,049 | 1,755 | -1,673 |
1,177 | 1,50 | 2,168 | -1,870 | 2,102 | 0,194 | 2,333 | -2,298 |
3,6 | 1,040 | 0,00 | 1,000 | -0,968 | 1,000 | 0,000 | 1,040 | -0,968 |
1,081 | 0,30 | 1,040 | -1,007 | 1,040 | 0,000 | 1,082 | -1,007 |
1,192 | 0,60 | 1,159 | -1,118 | 1,159 | 0,000 | 1,206 | -1,123 |
1,360 | 0,90 | 1,367 | -1,303 | 1,365 | 0,008 | 1,428 | -1,334 |
1,574 | 1,20 | 1,692 | -1,562 | 1,678 | 0,049 | 1,794 | -1,698 |
1,825 | 1,50 | 2,174 | -1,900 | 2,109 | 0,194 | 2,382 | -2,328 |
3,8 | 1,054 | 0,00 | 1,000 | -0,977 | 1,000 | 0,000 | 1,054 | -0,977 |
1,096 | 0,30 | 1,040 | -1,017 | 1,040 | 0,000 | 1,097 | -1,017 |
1,210 | 0,60 | 1,160 | -1,131 | 1,160 | 0,000 | 1,224 | -1,136 |
1,383 | 0,90 | 1,371 | -1,320 | 1,369 | 0,008 | 1,452 | -1,352 |
1,606 | 1,20 | 1,700 | -1,586 | 1,686 | 0,050 | 1,827 | -1,723 |
1,867 | 1,50 | 2,188 | -1,933 | 2,122 | 0,195 | 2,429 | -2,364 |
4,0 | 1,064 | 0,00 | 1,000 | -0,982 | 1,000 | 0,000 | 1,064 | -0,985 |
1,107 | 0,30 | 1,041 | -1,026 | 1,041 | 0,000 | 1,108 | -1,026 |
1,223 | 0,60 | 1,162 | -1,142 | 1,162 | 0,000 | 1,237 | -1,146 |
1,400 | 0,90 | 1,375 | -1,334 | 1,373 | 0,009 | 1,470 | -1,366 |
1,629 | 1,20 | 1,708 | -1,606 | 1,694 | 0,050 | 1,853 | -1,775 |
1,901 | 1,50 | 2,203 | -1,964 | 2,137 | 0,197 | 2,469 | -2,399 |
Приведенная глубина расположения сечения сваи в грунте  | Коэффициенты |
A1 | B1 | C1 | D1 | A3 | B3 | C3 | D3 | A4 | B4 | C4 | D4 |
0,0 | 1,000 | 0,000 | 0,000 | 0,000 | 0,000 | 0,000 | 1,000 | 0,000 | 0,000 | 0,000 | 0,000 | 1,000 |
0,1 | 1,000 | 0,100 | 0,005 | 0,000 | 0,000 | 0,000 | 1,000 | 0,100 | -0,005 | 0,000 | 0,000 | 1,000 |
0,2 | 1,000 | 0,200 | 0,020 | 0,001 | -0,001 | 0,000 | 1,000 | 0,200 | -0,020 | -0,003 | 0,000 | 1,000 |
0,3 | 1,000 | 0,300 | 0,045 | 0,005 | -0,005 | -0,001 | 1,000 | 0,300 | -0,045 | -0,009 | -0,001 | 1,000 |
0,4 | 1,000 | 0,400 | 0,080 | 0,011 | -0,011 | -0,002 | 1,000 | 0,400 | -0,080 | -0,021 | -0,003 | 1,000 |
0,5 | 1,000 | 0,500 | 0,125 | 0,021 | -0,021 | -0,005 | 0,999 | 0,500 | -0,125 | -0,042 | -0,008 | 0,999 |
0,6 | 0,999 | 0,600 | 0,180 | 0,036 | -0,036 | -0,011 | 0,998 | 0,600 | -0,180 | -0,072 | -0,016 | 0,997 |
0,7 | 0,999 | 0,700 | 0,245 | 0,057 | -0,057 | -0,020 | 0,996 | 0,699 | -0,245 | -0,114 | -0,030 | 0,994 |
0,8 | 0,997 | 0,799 | 0,320 | 0,085 | -0,085 | -0,034 | 0,992 | 0,799 | -0,320 | -0,171 | -0,051 | 0,989 |
0,9 | 0,995 | 0,899 | 0,405 | 0,121 | -0,121 | -0,055 | 0,985 | 0,897 | -0,404 | -0,243 | -0,082 | 0,980 |
1,0 | 0,992 | 0,997 | 0,499 | 0,167 | -0,167 | -0,083 | 0,975 | 0,994 | -0,499 | -0,333 | -0,125 | 0,967 |
1,1 | 0,987 | 1,095 | 0,604 | 0,222 | -0,222 | -0,122 | 0,960 | 1,090 | -0,603 | -0,443 | -0,183 | 0,946 |
1,2 | 0,979 | 1,192 | 0,718 | 0,288 | -0,287 | -0,173 | 0,938 | 1,183 | -0,716 | -0,575 | -0,259 | 0,917 |
1,3 | 0,969 | 1,287 | 0,841 | 0,365 | -0,365 | -0,238 | 0,907 | 1,273 | -0,838 | -0,730 | -0,356 | 0,876 |
1,4 | 0,955 | 1,379 | 0,974 | 0,456 | -0,455 | -0,319 | 0,866 | 1,358 | -0,967 | -0,910 | -0,479 | 0,821 |
1,5 | 0,937 | 1,468 | 1,115 | 0,560 | -0,559 | -0,420 | 0,811 | 1,437 | -1,105 | -1,116 | -0,630 | 0,747 |
1,6 | 0,913 | 1,553 | 1,264 | 0,678 | -0,676 | -0,543 | 0,739 | 1,507 | -1,248 | -1,350 | -0,815 | 0,652 |
1,7 | 0,882 | 1,633 | 1,421 | 0,812 | -0,808 | -0,691 | 0,646 | 1,566 | -1,396 | -1,613 | -1,036 | 0,529 |
1,8 | 0,843 | 1,706 | 1,584 | 0,961 | -0,956 | -0,867 | 0,530 | 1,612 | -1,547 | -1,906 | -1,299 | 0,374 |
1,9 | 0,795 | 1,770 | 1,752 | 1,126 | -1,118 | -1,074 | 0,385 | 1,640 | -1,699 | -2,227 | -1,608 | 0,181 |
2,0 | 0,735 | 1,823 | 1,924 | 1,308 | -1,295 | -1,314 | 0,207 | 1,646 | -1,848 | -2,578 | -1,966 | -0,057 |
2,2 | 0,575 | 1,887 | 2,272 | 1,720 | -1,693 | -1,906 | -0,271 | 1,575 | -2,125 | -3,360 | -2,849 | -0,692 |
2,4 | 0,347 | 1,874 | 2,609 | 2,195 | -2,141 | -2,663 | -0,949 | 1,352 | -2,339 | -4,228 | -3,973 | -1,592 |
2,6 | 0,033 | 1,755 | 2,907 | 2,724 | -2,621 | -3,600 | -1,877 | 0,917 | -2,437 | -5,140 | -5,355 | -2,821 |
2,8 | -0,385 | 1,490 | 3,128 | 3,288 | -3,103 | -4,718 | -3,108 | 0,197 | -2,346 | -6,023 | -6,990 | -4,445 |
3,0 | -0,928 | 1,037 | 3,225 | 3,858 | -3,540 | -6,000 | -4,688 | -0,891 | -1,969 | -6,765 | -8,840 | -6,520 |
3,5 | -2,928 | -1,272 | 2,463 | 4,980 | -3,919 | -9,544 | -10,340 | -5,854 | 1,074 | -6,789 | -13,692 | -13,826 |
4,0 | -5,853 | -5,941 | -0,927 | 4,548 | -1,614 | -11,731 | -17,919 | -15,076 | 9,244 | -0,358 | -15,611 | -23,140 |
Во второй стадии работы сваи расчетный изгибающий момент

,

, поперечную силу

, кН (тс), действующие на глубине

в пределах пластической зоны грунта, следует определять по формулам:

; (21)

, (22)
где

- глубина расположения сечения сваи в грунте, м, в пределах пластической зоны по отношению к подошве низкого ростверка.
9. В случае жесткой заделки сваи в ростверк, если исключается возможность поворота ее головы (например, в жесткий ростверк с двумя рядами свай или более, установленных в направлении действия горизонтальной силы), в
формуле (21) вместо М следует принимать расчетный момент заделки

, действующий в месте сопряжения сваи с ростверком.
Расчетный момент заделки

,

, определяется по формуле

(23)
где

- приведенный момент, определяемый по
табл. 3 в зависимости от значений

.
10. Несущая способность системы "свая - грунт" при действии горизонтальной силы определяется по формулам:
1) для сваи, не имеющей жесткой заделки в ростверк,

(24)
где

- расстояние, м, от поверхности грунта до местоположения пластического шарнира, которое определяется из уравнения

(25)
здесь e - эксцентриситет приложения внешней нагрузки к свае, м;

- предельный изгибающий момент, воспринимаемый поперечным сечением сваи, с учетом продольной силы,

;

- коэффициент, равный единице, кроме случаев расчета фундаментов распорных сооружений, для которых

= 0,7;

- коэффициент, учитывающий долю постоянной нагрузки в суммарной нагрузке, определяемый по формуле

, (26)
где

- момент от внешних постоянных нагрузок в сечении фундамента на уровне нижних концов свай,

;

- то же, от внешних временных расчетных нагрузок,

;

- коэффициент, принимаемый

= 2,5, за исключением случаев расчета:
а) особо ответственных сооружений, для которых при

2,6 принимается

= 4 и при

5 принимается

= 2,5; при промежуточных значениях

значение

определяется интерполяцией;
б) фундаментов с однорядным расположением свай на внецентренно приложенную вертикальную сжимающую нагрузку, для которых следует принимать

= 4 независимо от значения

;
2) для сваи, имеющей жесткую заделку в низкий ростверк, несущую способность

следует определять по формуле

(27)
11. При статическом расчете свай в составе куста, если допускается возможность развития второй стадии напряженно-деформированного состояния системы "свая - грунт", следует учитывать их взаимодействие. В этом случае расчет производится как для одиночной сваи, но коэффициенты пропорциональности К и

умножаются на понижающий коэффициент

, определяемый по формуле

(28)
где

- коэффициент, учитывающий уплотнение грунта при погружении свай и принимаемый:

= 1,2 для забивных свай сплошного сечения и

= 1 для остальных видов свай;
d - диаметр или сторона поперечного сечения сваи, м;

; (29)

,

- координаты оси i-й сваи в плане, причем горизонтальная нагрузка приложена в направлении оси х;

,

- то же, для j-й сваи.
Произведение

в
формуле (28) распространяется только на сваи куста, непосредственно примыкающие к i-й свае.
12. При одностадийном расчете свай горизонтальное перемещение

, м, и угол поворота

, рад, следует определять по формулам:

; (30)

; (31)
где

,

- расчетные значения соответственно поперечной силы, кН (тс), и изгибающего момента,

, в рассматриваемом сечении сваи, принимаемые равными

и

[здесь H и М - то же, что в
формулах (12) и
(13)];

- горизонтальное перемещение сечения, м/кН (м/тс), от действия силы H = 1, приложенной в уровне поверхности грунта;

- горизонтальное перемещение сечения, 1/кН (1/тс), от момента М = 1, действующего в уровне поверхности грунта;

- угол поворота сечения, 1/кН (1/тс), от силы Н = 1;

- угол поворота сечения, 1/(

) [1/

], от момента М = 1.
Перемещения

,

=

и

вычисляются по формулам:

=

(32)

=

(34)

,

,

- безразмерные коэффициенты, принимаемые по табл. 5 в зависимости от приведенной глубины погружения сваи в грунт, определяемой по
формуле (7).
При значении

, соответствующем промежуточному значению, указанному в табл. 5, его следует округлить до ближайшего табличного значения.
Таблица 5
Приведенная глубина погружения сваи  | При опирании сваи на нескальный грунт | При опирании сваи на скалу | При заделке сваи в скалу |
A0 | B0 | C0 | A0 | B0 | C0 | A0 | B0 | C0 |
0,5 | 72,004 | 192,026 | 576,243 | 48,006 | 96,037 | 192,291 | 0,042 | 0,125 | 0,500 |
0,6 | 50,007 | 111,149 | 278,069 | 33,344 | 55,609 | 92,942 | 0,072 | 0,180 | 0,600 |
0,7 | 36,745 | 70,023 | 150,278 | 24,507 | 35,059 | 50,387 | 0,114 | 0,244 | 0,699 |
0,8 | 28,140 | 46,943 | 88,279 | 18,775 | 23,533 | 29,763 | 0,170 | 0,319 | 0,798 |
0,9 | 22,244 | 33,008 | 55,307 | 14,851 | 16,582 | 18,814 | 0,241 | 0,402 | 0,896 |
1,0 | 18,030 | 24,106 | 36,486 | 12,049 | 12,149 | 12,582 | 0,329 | 0,494 | 0,992 |
1,1 | 14,916 | 18,160 | 25,123 | 9,983 | 9,196 | 8,836 | 0,434 | 0,593 | 1,086 |
1,2 | 12,552 | 14,041 | 17,944 | 8,418 | 7,159 | 6,485 | 0,556 | 0,698 | 1,176 |
1,3 | 10,717 | 11,103 | 13,235 | 7,208 | 5,713 | 4,957 | 0,695 | 0,807 | 1,262 |
1,4 | 9,266 | 8,954 | 10,050 | 6,257 | 4,664 | 3,937 | 0,849 | 0,918 | 1,342 |
1,5 | 8,101 | 7,349 | 7,838 | 5,498 | 3,889 | 3,240 | 1,014 | 1,028 | 1,415 |
1,6 | 7,154 | 6,129 | 6,268 | 4,887 | 3,308 | 2,758 | 1,186 | 1,134 | 1,480 |
1,7 | 6,375 | 5,189 | 5,133 | 4,391 | 2,868 | 2,419 | 1,361 | 1,232 | 1,535 |
1,8 | 5,730 | 4,456 | 4,299 | 3,985 | 2,533 | 2,181 | 1,532 | 1,321 | 1,581 |
1,9 | 5,190 | 3,878 | 3,679 | 3,653 | 2,277 | 2,012 | 1,693 | 1,397 | 1,617 |
2,0 | 4,737 | 3,418 | 3,213 | 3,381 | 2,081 | 1,894 | 1,841 | 1,460 | 1,644 |
2,2 | 4,032 | 2,756 | 2,591 | 2,977 | 1,819 | 1,758 | 2,080 | 1,545 | 1,675 |
2,4 | 3,526 | 2,327 | 2,227 | 2,713 | 1,673 | 1,701 | 2,240 | 1,586 | 1,685 |
2,6 | 3,163 | 2,048 | 2,013 | 2,548 | 1,600 | 2,687 | 2,330 | 1,596 | 1,687 |
2,8 | 2,905 | 1,869 | 1,889 | 2,453 | 1,572 | 1,693 | 2,371 | 1,593 | 1,687 |
3,0 | 2,727 | 1,758 | 1,818 | 2,406 | 1,568 | 1,707 | 2,385 | 1,586 | 1,691 |
3,5 | 2,502 | 1,641 | 1,757 | 2,394 | 1,597 | 1,739 | 2,389 | 1,584 | 1,711 |
>= 4,0 | 2,441 | 1,621 | 1,751 | 2,419 | 1,618 | 1,750 | 2,401 | 1,600 | 1,732 |
13. Расчет устойчивости основания, окружающего сваю, должен производиться по условию (35) ограничения расчетного давления

, оказываемого на грунт боковыми поверхностями свай:

, (35)
где

- расчетное давление на грунт, кПа (тс/м2), боковой поверхности сваи, определяемое по формуле на следующих глубинах z, м, отсчитываемых при высоком ростверке от поверхности грунта, а при низком ростверке - от его подошвы [при z

2,5 - на двух глубинах, соответствующих z = l/3 и z = l; при

> 2,5 - на глубине z = 0,85/

, где

определяется по
формуле (11)];

- расчетный удельный (объемный) вес грунта ненарушенной структуры, кН/м3 (тс/м3), определяемый в водонасыщенных грунтах с учетом взвешивания в воде;

,

- расчетные значения соответственно угла внутреннего трения грунта, град, и удельного сцепления грунта, кПа (тс/м2), принимаемые в соответствии с указаниями
п. 3.5;

- коэффициент, принимаемый для забивных свай и свай-оболочек

= 0,6, а для всех остальных видов свай

= 0,3;
Примечание. Если расчетные горизонтальные давления на грунт

не удовлетворяют
условию (35), но при этом несущая способность свай по материалу недоиспользована и перемещения свай меньше предельно допускаемых значений, то при приведенной глубине свай

> 2,5 расчет следует повторить, приняв уменьшенное значение коэффициента пропорциональности К. При новом значении К необходимо проверить прочность сваи по материалу, ее перемещения, а также соблюдение
условия (35).
14. Расчетное давление

, кПа (тс/м2), на грунт по контакту с боковой поверхностью сваи, возникающее на глубине z, а также расчетный изгибающий момент

,

, поперечную силу

, кН (тс), и продольную силу N, кН (тс), действующие на глубине z в сечении сваи, при одностадийном расчете свай следует определять по формулам:

; (36)

(37)

(38)

(39)
где К - коэффициент пропорциональности, определяемый по
табл. 1;

- приведенная глубина, определяемая по
формуле (5) в зависимости от значения действительной глубины z, для которой определяются значения давления

, момента

и поперечной силы

;

,

,

,

,

- то же, что и в
пп. 5 и
12;

,

,

,

,

,

,

,

,

,

,

,

- коэффициенты, значения которых принимаются по
табл. 4;
N - расчетная осевая нагрузка, кН (тс), передаваемая на голову сваи.

- коэффициент условий работы, принимаемый согласно
п. 1.
15. Расчетный момент заделки

,

, учитываемый при одностадийном расчете свай, имеющих жесткую заделку в ростверк, который обеспечивается невозможностью поворота головы сваи, следует определять по формуле

, (40)
где все буквенные обозначения те же, что и в предыдущих формулах.
При этом знак "минус" означает, что при горизонтальной силе Н, направленной слева направо, на голову сваи со стороны заделки передается момент, направленный против часовой стрелки.
Рекомендуемое
РАСЧЕТ НЕСУЩЕЙ СПОСОБНОСТИ ПИРАМИДАЛЬНЫХ СВАЙ
С НАКЛОНОМ БОКОВЫХ ГРАНЕЙ

Несущую способность

, кН (кгс), пирамидальных свай с наклоном боковых граней

допускается определять как сумму сил расчетных сопротивлений грунта основания на боковой поверхности сваи и под ее нижним концом по формуле

; (1)
где

- площадь боковой поверхности сваи в пределах i-го слоя грунта, м2 (см2);

- угол конусности сваи, град;

,

- расчетные значения угла внутреннего трения, град, и сцепления, кПа (кгс/см2), i-го слоя грунта;
d - сторона сечения нижнего конца сваи, м;

,

- коэффициенты, значения которых приведены в
таблице.
Сопротивления грунта под острием сваи

и на ее боковой поверхности

, кПа (кгс/см2), определяются по формуле

, (2)
где

- модуль деформации грунта i-го слоя, кПа (кгс/см2), определяемый по результатам прессиометрических испытаний;

- коэффициент Пуассона i-го слоя грунта, принимаемый в соответствии с требованиями
СНиП 2.02.01-83;

- коэффициент, значения которого приведены в таблице.
Давления грунта

,

, кПа (кгс/см2), определяются по формулам:

=

(3)

=

(4)
где

- удельный вес грунта i-го слоя, кН/м3 (кгс/см3);.

- средняя глубина расположения i-го слоя грунта, м.
| Угол внутреннего трения грунта  , град |
4 | 8 | 12 | 16 | 20 | 24 | 28 | 32 | 36 | 40 |
n1 | 0,53 | 0,48 | 0,41 | 0,35 | 0,30 | 0,24 | 0,20 | 0,15 | 0,10 | 0,06 |
n2 | 0,94 | 0,88 | 0,83 | 0,78 | 0,73 | 0,69 | 0,65 | 0,62 | 0,58 | 0,54 |
| 0,06 | 0,12 | 0,17 | 0,22 | 0,26 | 0,29 | 0,32 | 0,35 | 0,37 | 0,39 |
Примечание. Для промежуточных значений угла внутреннего трения  значения коэффициентов n1, n2 и  определяются интерполяцией. |
Рекомендуемое
ОПРЕДЕЛЕНИЕ ОСАДКИ ЛЕНТОЧНЫХ СВАЙНЫХ ФУНДАМЕНТОВ
Осадка s, м (см), ленточных свайных фундаментов с одно- и двухрядным расположением свай (при расстоянии между сваями 3 - 4d) определяется по формуле
где n - погонная нагрузка на свайный фундамент, кН/м (кгс/см), с учетом веса фундамента в виде массива грунта со сваями, ограниченного: сверху - поверхностью планировки; с боков - вертикальными плоскостями, проходящими по наружным граням крайних рядов свай; снизу - плоскостью, проходящей через нижние концы свай;
Е, v - значения модуля деформации, кПа (кгс/см2), и коэффициента Пуассона грунта в пределах сжимаемой толщи, определяемые для указанного выше фундамента в соответствии с требованиями
СНиП 2.02.01-83;

- коэффициент, принимаемый по номограмме (см. чертеж) в зависимости от коэффициента Пуассона v, приведенной ширины фундамента

(где b - ширина фундамента, принимаемая по наружным граням крайних рядов свай; h - глубина погружения свай) и приведенной глубины сжимаемой толщи

/h (

- глубина сжимаемой толщи).
Номограмма для определения значений

Значения коэффициента

определяются по номограмме следующим образом. На номограмме через точку, соответствующую вычисленному значению приведенной глубины сжимаемой толщи, проводится прямая, параллельная оси абсцисс, до пересечения с линией приведенной ширины фундамента

и опускается перпендикуляр до линии коэффициента Пуассона грунта v. Из точки пересечения проводится линия, параллельная оси абсцисс, до пересечения с осью ординат, на которой приведены значения коэффициента

.
Рекомендуемое
ОПРЕДЕЛЕНИЕ ОСАДКИ ОДИНОЧНОЙ СВАИ
Расчет осадок одиночных свай, прорезающих слой грунта с модулем сдвига

, МПа (тс/м2), и коэффициентом Пуассона

и опирающихся на грунт, рассматриваемый как линейно-деформируемое полупространство, характеризуемое модулем сдвига

и коэффициентом Пуассона

, допускается производить при

и при условии l/d > 5,

(где l/d > 5 - длина сваи, м, d - диаметр или сторона поперечного сечения сваи, м) по формулам:
а) для одиночной сваи без уширения

; (1)
N - вертикальная нагрузка, передаваемая на сваю, МН (тс);

- коэффициент, определяемый по формуле

,
здесь

=

- коэффициент, соответствующий абсолютно жесткой свае

;

=

- тот же коэффициент для случая однородного основания с характеристиками

и

;

=

- относительная жесткость сваи;
EA - жесткость ствола сваи на сжатие, МН (тс);

- параметр, определяющий увеличение осадки за счет сжатия ствола и определяемый по формуле

;

,

- коэффициенты, определяемые по формуле

= 2,82 - 3,78v + 2,18

соответственно при v = (

+

)/2 и при v =

;
б) для одиночной сваи с уширением

, (2)
где

- диаметр уширения сваи.
Характеристики

и

принимаются осредненными для всех слоев грунта в пределах глубины погружения сваи, а

и

- в пределах 10 диаметров сваи или уширения (для сваи с уширением) при условии, что под нижними концами свай отсутствуют торфы, илы и грунты текучей консистенции.