Главная // Актуальные документы // ГОСТ (Государственный стандарт)СПРАВКА
Источник публикации
М.: Стандартинформ, 2013
Примечание к документу
Документ утратил силу с 01.01.2021 в связи с изданием Приказа Росстандарта от 21.07.2020 N 384-ст. Взамен введен в действие
ГОСТ 25100-2020.
Документ включен в
Перечень документов в области стандартизации, в результате применения которых на добровольной основе обеспечивается соблюдение требований Федерального
закона от 30.12.2009 N 384-ФЗ "Технический регламент о безопасности зданий и сооружений" (
Приказ Росстандарта от 02.04.2020 N 687).
Документ включен в
Перечень документов в области стандартизации, в результате применения которых на добровольной основе обеспечивается соблюдение требований Федерального
закона от 30.12.2009 N 384-ФЗ "Технический регламент о безопасности зданий и сооружений" (
Приказ Росстандарта от 17.04.2019 N 831).
Документ включен в
Перечень документов в области стандартизации, в результате применения которых на добровольной основе обеспечивается соблюдение требований Федерального
закона от 30.12.2009 N 384-ФЗ "Технический регламент о безопасности зданий и сооружений" (
Приказ Росстандарта от 30.03.2015 N 365).
Текст данного документа приведен с учетом
поправки, опубликованной в "ИУС", N 5, 2015.
Документ
введен в действие с 01.01.2013.
Название документа
"ГОСТ 25100-2011. Межгосударственный стандарт. Грунты. Классификация"
(введен в действие Приказом Росстандарта от 12.07.2012 N 190-ст)
"ГОСТ 25100-2011. Межгосударственный стандарт. Грунты. Классификация"
(введен в действие Приказом Росстандарта от 12.07.2012 N 190-ст)
агентства по техническому
регулированию и метрологии
от 12 июля 2012 г. N 190-ст
МЕЖГОСУДАРСТВЕННЫЙ СТАНДАРТ
ГРУНТЫ
КЛАССИФИКАЦИЯ
Soils. Classification
ГОСТ 25100-2011
Дата введения
1 января 2013 года
Цели, основные принципы и основной порядок проведения работ по межгосударственной стандартизации установлены
ГОСТ 1.0-92 "Межгосударственная система стандартизации. Основные положения" и МСН 1.01-01-2009 "Система межгосударственных нормативных документов в строительстве. Основные положения".
1. Разработан Национальным объединением изыскателей (НОИЗ), Научно-исследовательским, проектно-изыскательским и конструкторско-технологическим институтом (НИИОСП) им. Н.М. Герсеванова - институтом ОАО "НИЦ "Строительство", Институтом геоэкологии им. Е.М. Сергеева РАН, Московским государственным университетом (МГУ) им. М.В. Ломоносова при участии ОАО "Росстройизыскания", ОАО "Фундаментпроект", Государственного унитарного предприятия г. Москвы "Мосгоргеотрест", ОАО "ГСПИ", ООО "Мостдоргеотрест", Государственного предприятия Московской области "Мособлгеотрест", Московского геолого-разведочного института (МГРИ-РГГРУ), Московского государственного строительного университета (МГСУ).
2. Внесен Техническим комитетом по стандартизации ТК 465 "Строительство".
3. Принят Межгосударственной научно-технической комиссией по стандартизации, техническому нормированию и оценке соответствия в строительстве (МНТКС) (приложение Д к Протоколу N 39 от 8 декабря 2011 г.).
За принятие проголосовали:
Краткое наименование страны по МК (ИСО 3166) 004-97 | Код страны по МК (ИСО 3166) 004-97 | Сокращенное наименование национального органа государственного управления строительством |
Азербайджанская Республика | AZ | Госстрой |
Республика Армения | AM | Министерство градостроительства |
Казахстан | KZ | Агентство по делам строительства и жилищно-коммунального хозяйства |
Кыргызская Республика | KG | Госстрой |
Республика Молдова | MD | Министерство строительства и регионального развития |
Российская Федерация | RU | Департамент регулирования градостроительной деятельности Министерства регионального развития |
Республика Таджикистан | TJ | Агентство по строительству и архитектуре при Правительстве |
Республика Узбекистан | UZ | Госархитектстрой |
4.
Приказом Федерального агентства по техническому регулированию и метрологии от 12 июля 2012 г. N 190-ст межгосударственный стандарт ГОСТ 25100-2011 введен в действие в качестве национального стандарта Российской Федерации с 1 января 2013 г.
Информация о введении в действие (прекращении действия) настоящего стандарта и изменений к нему публикуется в указателе "Национальные стандарты".
Информация об изменениях к настоящему стандарту публикуется в указателе (каталоге) "Национальные стандарты", а текст изменений - в информационных указателях "Национальные стандарты". В случае пересмотра или отмены настоящего стандарта соответствующая информация будет опубликована в информационном указателе "Национальные стандарты".
В настоящем стандарте приведена классификация скальных грунтов как по результатам испытания образца, отобранного из массива, так и классификация для скального массива в целом.
Настоящий стандарт содержит сопоставление классификации дисперсных грунтов с международными классификациями, изложенными в
[1] и
[2].
Учитывая различия в указанных выше классификациях в наименованиях грунтов, а также в методиках определения отдельных характеристик, в настоящем стандарте приведены:
- соответствие наименований дисперсных грунтов, используемых в настоящем стандарте, и в
[1] и
[2] (см.
Приложение Е);
- методики пересчета результатов определений гранулометрического состава дисперсных грунтов и характеристик пластичности глинистых грунтов (см.
Приложение Е) для перехода из одной классификации в другую.
Приведенное в настоящем стандарте сопоставление классификаций грунтов даст возможность использовать (в случае необходимости) международные классификации.
Настоящий стандарт распространяется на все грунты и устанавливает их классификацию, применяемую при производстве инженерных изысканий, проектировании и строительстве зданий и сооружений.
К наименованиям грунтов и их характеристикам, предусмотренным настоящим стандартом, допускается вводить дополнительные наименования и характеристики, если это необходимо для более детального подразделения грунтов с учетом природных условий района строительства и специфики отдельных видов строительства.
Дополнительные наименования и характеристики грунтов не должны противоречить классификации настоящего стандарта и должны учитывать частные классификации, установленные в отраслевых нормативных документах.
В настоящем стандарте грунт рассматривается как однородная по составу, строению и свойствам часть грунтового массива.
В настоящем стандарте использованы ссылки на следующие стандарты:
ГОСТ 5180-84. Грунты. Методы лабораторного определения физических характеристик
ГОСТ 12248-2010. Грунты. Методы лабораторного определения характеристик прочности и деформируемости
ГОСТ 12536-79. Грунты. Методы лабораторного определения гранулометрического (зернового) и микроагрегатного состава
ГОСТ 23161-78. Грунты. Метод лабораторного определения характеристик просадочности
ГОСТ 23740-79. Грунты. Методы лабораторного определения содержания органических веществ
ГОСТ 25584-90. Грунты. Метод лабораторного определения коэффициента фильтрации
ГОСТ 28622-90. Грунты. Метод лабораторного определения степени пучинистости.
Примечание. При пользовании настоящим стандартом целесообразно проверить действие ссылочных стандартов по указателю "Национальные стандарты", составленному по состоянию на 1 января текущего года, и по соответствующим информационным указателям, опубликованным в текущем году. Если ссылочный стандарт заменен (изменен), то при пользовании настоящим стандартом следует руководствоваться заменяющим (измененным) стандартом. Если ссылочный стандарт отменен без замены, то положение, в котором дана ссылка на него, применяется в части, не затрагивающей эту ссылку.
В настоящем стандарте применены следующие термины с соответствующими определениями:
3.1. Антропогенный грунт (синоним - антропогенно-образованный): образовавшийся естественно-историческим образом (культурные слои) или созданный человеком разными способами грунт, представленный отходами или продуктами его производственной и/или хозяйственной деятельности, являющимися компонентами геологической среды.
3.2. Блок: совокупность скальных грунтов, отделенная от соседних блоков разрывами или трещинами (тектонический блок, оползневой блок, блок отдельности).
3.3. Блок отдельности (отдельность): часть массива скальных грунтов, ограниченная трещинами, свойства которой могут быть охарактеризованы лабораторными исследованиями образца скального грунта.
3.4. Вещественный состав грунта: химико-минеральный состав вещества твердых, жидких, газовых и биотических (живых) компонентов грунта.
3.5. Водопроницаемость: способность грунта фильтровать воду.
3.6. Глинистый грунт: связный грунт, состоящий в основном из пылеватых и глинистых (не менее 3%) частиц, обладающий свойством пластичности

.
3.7. Гранулометрический состав грунта: процентное содержание первичных (не агрегированных) частиц различной крупности по фракциям, выраженное по отношению их массы к общей массе грунта.
3.8. Грунт: любые горные породы, почвы, осадки и техногенные образования, рассматриваемые как многокомпонентные динамичные системы и как часть геологической среды и изучаемые в связи с инженерно-хозяйственной деятельностью человека.
3.9. Дисперсный грунт: грунт, состоящий из совокупности твердых частиц, зерен, обломков и др. элементов, между которыми есть физические, физико-химические или механические структурные связи.
3.10. Засоленность: характеристика, определяемая количеством водорастворимых солей в грунте.
3.11. Заторфованный грунт: песчаный или глинистый грунт, содержащий в своем составе от 3% (для песка) и от 5% (для глинистого грунта) до 50% (по массе) торфа.
3.12. Ил: современный нелитифицированный морской или пресноводный органоминеральный осадок, содержащий более 3% (по массе) органического вещества, как правило, имеющий текучую консистенцию

, коэффициент пористости e

0,9 и содержание частиц размером менее 0,01 мм более 30% по массе.
3.13. Криогенная текстура: совокупность признаков сложения мерзлого грунта, обусловленная ориентацией, относительным расположением и распределением различных по форме и размерам ледяных включений и льда-цемента.
3.14. Криогенные структурные связи грунта: связи, возникающие в дисперсных и трещиноватых скальных грунтах при отрицательной температуре в результате цементирования льдом.
3.15. Крупнообломочный грунт: несвязный минеральный грунт, в котором масса частиц размером более 2 мм составляет более 50%.
3.16. Ледогрунт: грунт, содержащий в своем составе более 90% льда.
3.17. Липкость, прилипаемость (предел адгезионной прочности глинистых грунтов): способность грунта прилипать к различным материалам при соприкосновении.
3.18. Литифицированные глинистые грунты: глинистые грунты дочетвертичного возраста, прошедшие в своем развитии стадию позднего диагенеза и обладающие преимущественно контактами переходного типа.
3.19. Мерзлый грунт: грунт, имеющий отрицательную или нулевую температуру, содержащий в своем составе видимые ледяные включения и (или) лед-цемент и характеризующийся криогенными структурными связями. Многолетнемерзлый грунт - грунт, находящийся в мерзлом состоянии постоянно в течение трех и более лет. Сезонномерзлый грунт - грунт, находящийся в мерзлом состоянии периодически в течение холодного сезона.
3.20. Минеральный грунт: грунт, состоящий из неорганических веществ.
3.21. Морозный грунт: скальный грунт, имеющий отрицательную температуру и не содержащий в своем составе лед и незамерзшую воду.
3.22. Набухающий грунт: грунт, увеличивающий свой объем при замачивании водой и имеющий относительную деформацию набухания

(в условиях свободного набухания) или развивающий давление набухания (в условиях ограниченного набухания).
3.23. Несвязный грунт: дисперсный грунт, обладающий механическими структурными связями и сыпучестью в сухом состоянии.
3.24. Органическое вещество: органические соединения, входящие в состав грунта.
3.25. Органоминеральный грунт: грунт, содержащий от 3% до 50% (по массе) органического вещества.
3.26. Органический грунт: грунт, содержащий 50% (по массе) и более органического вещества.
3.27. Охлажденный грунт: засоленный грунт, отрицательная температура которого выше температуры начала его замерзания.
3.28. Песчаный грунт (песок): несвязный минеральный грунт с массой частиц размером 0,05 - 2 мм более 50% и числом пластичности

.
3.29. Пластичномерзлый грунт: дисперсный грунт, сцементированный льдом, обладающий вязко-пластичными свойствами и сжимаемостью под внешней нагрузкой.
3.30. Потенциал разжижения грунта

: показатель, имеющий смысл коэффициента запаса прочности грунта и представляющий собой отношение критического значения касательного напряжения, вызывающего разжижение грунта при данном уровне сжимающих напряжений и длительности воздействия, к значению максимальных касательных напряжений, возникающих в грунте при прогнозируемом землетрясении. Оценивается по данным полевых и лабораторных испытаний и зависит от свойств грунта и параметров сейсмического воздействия с заданным уровнем повторяемости.
3.31. Почва: поверхностный слой дисперсного грунта, состоящий из неорганического и органического веществ и обладающий плодородием.
3.32. Промороженный грунт: искусственно замороженный грунт.
3.33. Просадочный грунт: грунт, который под действием внешней нагрузки и (или) собственного веса при замачивании водой претерпевает вертикальную деформацию (просадку) и имеет относительную деформацию просадочности

.
3.34. Пучинистый грунт: дисперсный грунт, который при переходе из талого состояния в мерзлое увеличивается в объеме вследствие образования льда.
3.35. Разжижение: переход водонасыщенного дисперсного грунта в текучее (плывунное) состояние под внешним воздействием (статическим, динамическим, фильтрационным). Процесс разжижения включает в себя стадии разрушения структурных связей, течения и последующего уплотнения грунта.
3.36. Сапропель: современный нелитифицированный органоминеральный или органический осадок пресноводных застойных водоемов (или погребенный осадок), содержащий более 10% (по массе) органического вещества, имеющий, как правило, коэффициент пористости e > 3 и текучепластичную или текучую консистенцию.
3.37. Связный грунт: дисперсный грунт с физическими и физико-химическими структурными связями.
3.38. Скальный грунт: грунт, имеющий жесткие структурные связи кристаллизационного и/или цементационного типа.
3.39. Структура грунта: пространственная организация, определяемая размером, формой, характером поверхности, количественным соотношением структурных элементов грунта и характером связи между ними.
3.40. Сыпучемерзлый грунт: крупнообломочный и песчаный грунты, имеющие отрицательную температуру, но не сцементированные льдом.
3.41. Твердомерзлый грунт: дисперсный грунт, прочно сцементированный льдом, характеризуемый относительно хрупким разрушением, практически несжимаемый под внешней нагрузкой.
3.42. Текстура грунта: строение, обусловленное ориентацией и пространственной организацией структурных элементов грунта.
3.43. Температура начала замерзания

: температура, °C, при которой в порах грунта появляется лед.
3.44. Техногенный грунт: грунт, измененный, перемещенный или образованный в результате инженерно-хозяйственной деятельности человека.
3.45. Техногенно измененный в условиях естественного залегания грунт: природный грунт, подвергнутый различному по природе техногенному воздействию (химическому, физическому, физико-химическому, биологическому и т.п.) на месте его залегания.
3.46. Техногенно перемещенный (переотложенный) грунт: природный грунт, перемещенный тем или иным искусственным способом с места его естественного залегания и подвергнутый при этом частичному преобразованию.
3.47. Торфяной грунт (торф): органический грунт, содержащий в своем составе 50% (по массе) и более органического вещества, представленного растительными остатками и гумусом.
3.48. Трещиноватость скального массива: особенность строения скального массива, обусловленная наличием трещин разного происхождения, размера, формы, направления, с различными заполнителями.
4.1. Классификация грунтов включает в себя следующие таксономические единицы, выделяемые по группам признаков:
- класс (подкласс) - по природе структурных связей;
- тип (подтип) - по генезису;
- вид (подвид) - по вещественному, петрографическому или литологическому составу;
- разновидность - по количественным показателям состава, строения, состояния и свойств грунтов.
4.2. Наименования грунтов должны содержать сведения об их геологическом возрасте в соответствии с местными стратиграфическими схемами, принятыми в установленном порядке.
4.3. В характеристики грунтов по разновидностям, предусмотренные настоящим стандартом, допускается вводить дополнения и изменения в случаях появления новых критериев выделения разновидностей грунтов по результатам научно-технических разработок.
5.1. Грунты подразделяют на следующие классы: скальные (см. таблицу 1), дисперсные (см.
таблицу 2) и мерзлые (см.
таблицу 3).
Таблица 1
Класс | Тип (подтип) | Вид | | Разновидности |
Скальные | Магматические (интрузивные) | Силикатные | Ультраосновные | Перидотиты, дуниты, пироксениты и др. | |
Основные | Габбро, нориты, анортозиты, диабазы, долериты и др. |
Средние | Диориты, сиениты и др. |
Кислые | Граниты, гранодиориты, кварцевые, сиениты, порфиры и др. |
Магматические (эффузивные) | Силикатные | Ультраосновные | Пикриты, коматииты и др. |
Основные | Базальты, долериты, порфириты и др. |
Средние | Андезиты, трахиты и др. |
Кислые | Риолиты, дациты и др. |
Метаморфические | Силикатные | Гнейсы, сланцы, кварциты, роговики, скарны, грейзены, березиты, пропилиты, вторичные кварциты, гидротермально измененные грунты и др. |
Карбонатные | Мраморы и др. |
Железистые | Железные руды, джеспилиты и др. |
Органо-минеральные | Горючие сланцы, антрациты и др. |
Осадочные | Силикатные | Песчаники, конгломераты, аргиллиты, алевролиты, сцементированные глины и др. |
Карбонатные | Известняки, доломиты, мел, мергели и др. |
Кремнистые | Опоки, диатомиты и др. |
Сульфатные | Гипсы, ангидриты и др. |
Галоидные | Галиты и др. |
Органо-минеральные | Бурые угли, битуминозные известняки и др. |
Вулканогенно-осадочные | Силикатные | Туфопесчаники, туфоалевролиты, туфоаргиллиты, туффиты, вулканические туфы, кластолавы, лавовые брекчии и др. |
Хемогенно-силикатные | Туфопесчаники, туфоалевролиты, туфоаргиллиты, туффиты, вулканические туфы, кластолавы, лавовые брекчии и др. |
Элювиальные | Минеральные | Скальные грунты трещинных зон коры выветривания |
Техногенные | Все виды техногенно измененных природных и антропогенно образованных скальных грунтов и преобразованных дисперсных грунтов с приобретенными цементационными связями | Все подвиды техногенно измененных природных и антропогенно образованных скальных грунтов и преобразованных дисперсных грунтов с приобретенными цементационными связями |
<*> Приведены наименования наиболее распространенных грунтов. |
Таблица 2
Класс | Подкласс | Тип | Подтип | Вид | Подвид | Разновидности |
Дисперсные | Несвязные | Осадочные | Флювиальные, ледниковые, эоловые, склоновые и др. | Минеральные | Крупнообломочные грунты Пески | |
Органо-минеральные | Заторфованные пески |
Вулканогенно-осадочные | Вулканогенно-осадочные, осадочно-вулканогенные, пиропластические | Минеральные | Вулканогенно-обломочные грунты. Вулканические пески, пеплы |
Элювиальные | Образованные в результате выветривания: физического, физико-химического, химического, биологического | Минеральные и органо-минеральные | Крупнообломочные грунты и пески обломочных и дисперсных зон коры выветривания и почвы |
Техногенные | Техногенно измененные в условиях естественного залегания природные грунты | Все виды техногенно измененных природных несвязных грунтов | Все подвиды техногенно измененных природных несвязных грунтов |
Техногенно перемещенные природные грунты | Все виды техногенно измененных природных несвязных грунтов | Все подвиды техногенно измененных природных несвязных грунтов |
Антропогенно образованные грунты | Различные виды антропогенных грунтов | Различные подвиды антропогенных грунтов |
Связные | Осадочные | Флювиальные, ледниковые, эоловые, склоновые и др. | Минеральные | Глинистые грунты |
Органо-минеральные | Илы. Сапропели. Заторфованные глинистые грунты и др. |
Озерно-болотные, болотные, аллювиально-болотные и др. | Органические | Торфы. Сапропели и др. |
Элювиальные | Образованные в результате выветривания: физического, физико-химического, химического, биологического | Минеральные и органо-минеральные | Глинистые грунты дисперсных зон коры выветривания и почвы |
Техногенные | Техногенно измененные в условиях естественного залегания природные грунты | Все виды техногенно измененных природных связных грунтов | Все подвиды техногенно измененных природных связных грунтов |
Техногенно перемещенные природные грунты | Все виды техногенно измененных природных связных грунтов | Все подвиды техногенно измененных природных связных грунтов |
Антропогенно образованные грунты | Различные виды антропогенных грунтов | Различные подвиды антропогенных грунтов |
Таблица 3
Класс | Подкласс | Тип | Подтип | Вид | Подвид | Разновидности |
Мерзлые | Скальные мерзлые | Природные промерзшие | Интрузивные, эффузивные, метаморфические, осадочные, вулканогенно-осадочные, элювиальные | Все виды скальных грунтов | Все подвиды скальных грунтов | |
Техногенные промороженные и мерзлые | Природные грунты, техногенно измененные в условиях естественного залегания | Все виды техногенно измененных природных скальных грунтов | Все подвиды техногенно измененных природных скальных грунтов |
Дисперсные мерзлые | Природные промерзшие | Осадочные, вулканогенно-осадочные, элювиальные | Все виды дисперсных грунтов | Все подвиды дисперсных грунтов |
Техногенные промороженные и мерзлые | Природные грунты, техногенно измененные в условиях естественного залегания. Техногенно перемещенные природные мерзлые грунты. Антропогенные промороженные и мерзлые грунты | Все виды техногенно измененных природных дисперсных грунтов | Все подвиды техногенно измененных природных дисперсных грунтов |
Ледяные | Льды конституционные: внутригрунтовые, погребенные, пещерно-жильные | Сегрегационные, инъекционные, ледниковые, наледные, речные, озерные, морские, донные, инфильтрационные, жильные, повторно-жильные, пещерные | Льды. | Льды разного состава. |
Ледогрунты | Ледогрунты разного состава |
Техногенные - ледяные искусственные | Антропогенные намороженные льды | Все виды намороженных льдов | Все подвиды искусственных льдов разного состава |
Основные показатели свойств грунтов приведены в
Приложении А.
5.2. К классу скальных грунтов относят грунты, обладающие жесткими структурными связями (кристаллизационными и/или цементационными).
По генезису и вещественному составу в классе скальных грунтов выделяют соответственно: типы (подтипы), виды и подвиды, представленные в
таблице 1. Разновидности скальных грунтов выделяют по количественным показателям их вещественного состава, строения, состояния и свойств (см.
раздел Б.1 Приложения Б и
раздел В.1 Приложения В). Классификация массивов скальных грунтов приведена в
Приложении Г.
5.3. К классу дисперсных грунтов относят грунты, обладающие физическими, физико-химическими или механическими структурными связями.
Грунты с механическими структурными связями выделяют в подкласс несвязных (сыпучих) грунтов, а грунты с физическими и физико-химическими структурными связями - в подкласс связных грунтов.
По генезису и вещественному составу в классе дисперсных грунтов выделяют соответственно типы и подтипы, виды и подвиды, представленные в
таблице 2. Разновидности дисперсных грунтов выделяют по количественным показателям их вещественного состава, строения, состояния и свойств (см.
раздел Б.2 Приложения Б и
раздел В.2 Приложения В).
5.4. К классу мерзлых грунтов относят грунты, обладающие наряду со структурными связями немерзлых грунтов криогенными связями (за счет льда).
Грунты с криогенными, кристаллизационными и цементационными структурными связями выделяют в подкласс скальных мерзлых грунтов; грунты с криогенными, физическими и физико-химическими структурными связями - в подкласс дисперсных мерзлых грунтов; грунты только с криогенными связями - в подкласс ледяных грунтов.
По генезису и вещественному составу в классе мерзлых грунтов выделяют соответственно типы и подтипы, виды и подвиды, представленные в
таблице 3. Разновидности природных мерзлых грунтов выделяют по количественным показателям их вещественного состава, строения, состояния и свойств (см.
раздел Б.3 Приложения Б).
5.5. Сопоставление классификации дисперсных грунтов с международными классификациями, изложенными в
[1] и
[2], приведено в
Приложениях Д и
Е.
6.1. Основные обозначения характеристик грунтов, используемые в настоящем стандарте, приведены в
Приложении Ж.
(обязательное)
ОСНОВНЫЕ ПОКАЗАТЕЛИ СВОЙСТВ ГРУНТОВ
А.1. Высота капиллярного поднятия

, м, - наибольшая (равновесная) высота подъема воды по порам грунта, отсчитываемая от зеркала грунтовых вод (равная мощности капиллярной каймы).
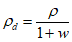
А.2. Коэффициент водонасыщения

, д.е.; определяют по формуле

, (А.1)
где w - природная влажность грунта, д.е. (см.
ГОСТ 5180);
e - коэффициент пористости, д.е.;

- плотность частиц грунта, г/см3 (см.
ГОСТ 5180);

- плотность воды, принимаемая равной 1 г/см3.
А.3. Коэффициент выветрелости

, д.е.; определяют по формуле

, (А.2)
где

- плотность выветрелого грунта, г/см3 (см.
ГОСТ 5180);

- плотность невыветрелого грунта, г/см3 (см.
ГОСТ 5180).
А.4. Коэффициент выветрелости крупнообломочного грунта

, д.е.; определяют по формуле

, (А.3)
где

- отношение массы частиц размером менее 2 мм к массе частиц размером более 2 мм после испытания на истирание в полочном барабане;

- отношение массы частиц размером менее 2 мм к массе частиц размером более 2 мм после испытания на истирание в природном состоянии.
А.5. Коэффициент истираемости крупнообломочных грунтов

, д.е.; определяют по формуле

, (А.4)
где

- масса частиц размером менее 2 мм после испытания крупнообломочных фракций грунта (частицы размером более 2 мм) на истирание в полочном барабане;

- начальная масса пробы крупнообломочных фракций (до испытания на истирание).
А.6. Коэффициент пористости e, д.е.; определяют по формуле

, (А.5)
где

- плотность частиц грунта, г/см3 (см.
ГОСТ 5180);

- плотность сухого грунта, г/см3.
А.7. Коэффициент размягчаемости в воде

, д.е.; определяют по формуле

, (А.6)
где

,

- предел прочности грунта на одноосное сжатие соответственно в водонасыщенном и в воздушно-сухом состоянии (см.
ГОСТ 12248).
А.8. Коэффициент сжимаемости мерзлого грунта

,

, - параметр, характеризующий объемную деформируемость мерзлого грунта под нагрузкой.
А.9. Коэффициент трещинной пустотности КТП, %, - отношение суммарной площади трещин к площади породы.
А.10. Коэффициент фильтрации

, см/с или м/сут, - скорость фильтрации воды через грунт при градиенте напора, равном единице, и линейном законе фильтрации (см.
ГОСТ 25584).
А.11. Липкость (прилипаемость) - адгезионная прочность глинистых грунтов L, кПа, - усилие, необходимое для отрыва плоского штампа из заданного материала от грунта после их контакта в течение заданного времени при заданном давлении.
А.12. Льдистость грунта за счет видимых ледяных включений

, д.е.; определяют по формуле

, (А.7)
где

- суммарная влажность мерзлого грунта, д.е. (см.
ГОСТ 5180);

- влажность мерзлого грунта, расположенного между ледяными включениями, д.е.;

- влажность мерзлого грунта за счет содержащейся в нем при данной отрицательной температуре незамерзшей воды, д.е.;

- плотность частиц грунта, г/см3 (см.
ГОСТ 5180);

- плотность льда, принимаемая равной 0,9 г/см3.
А.13. Относительная деформация набухания без нагрузки

, д.е., - отношение увеличения высоты образца глинистого грунта при замачивании после свободного набухания в условиях невозможности бокового расширения к начальной высоте образца природной влажности (см.
ГОСТ 12248).
А.14. Относительная деформация просадочности

, д.е., - отношение разности высот образца грунта природной влажности и образца после его замачивания при заданном давлении к высоте образца природной влажности (см.
ГОСТ 23161).
А.15. Относительное содержание органического вещества

, д.е., - отношение массы органического вещества к массе абсолютно сухого грунта (см.
ГОСТ 23740 и
ГОСТ 26213).
А.16. Плотность сухого грунта (скелета)

, г/см3; определяют по формуле

, (А.8)
где

- плотность грунта, г/см3 (см.
ГОСТ 5180);
w - естественная влажность грунта, % (см.
ГОСТ 5180).
А.17. Показатель качества породы RQD, %, - отношение суммарной длины сохранных (неразрушившихся) кусков керна длиной более 10 см к длине пробуренного интервала в скважине.
А.18. Показатель текучести

, д.е., - показатель состояния (консистенции) глинистых грунтов; определяют по формуле

, (А.9)
где w - естественная влажность, % (см.
ГОСТ 5180);

- влажность на границе раскатывания, % (см.
ГОСТ 5180);

- число пластичности, % (см.
А.31).
А.19. Показатель чувствительности грунта

, д.е., - отношение сопротивления недренированному сдвигу глинистых грунтов ненарушенного

и нарушенного сложения

или отношение сопротивления грунта вращательному срезу

к его остаточному сопротивлению

, определяют по формуле

или

. (А.10)
А.20. Пористость грунта n, %; определяют по формуле

, (А.11)
где

- плотность частиц грунта, г/см3 (см.
ГОСТ 5180);

- плотность сухого грунта, г/см3.
А.21. Предел прочности грунта на одноосное сжатие

, МПа, - отношение нагрузки, при которой происходит разрушение образца, к площади его первоначального поперечного сечения (см.
ГОСТ 12248).
А.22. Сопротивление недренированному сдвигу

, кПа, - прочность глинистых грунтов, определяемая по результатам недренированных лабораторных или полевых испытаний (трехосные испытания, вращательный срез и др.).
А.23. Степень засоленности грунта

, %, - отношение массы водорастворимых солей в грунте к массе абсолютно сухого грунта.
А.24. Степень заполнения пор льдом и незамерзшей водой

, д.е.; определяют по формуле

, (А.12)
где

- влажность мерзлого грунта, рассчитанная по содержанию порового льда, цементирующего минеральные частицы (лед-цемент), д.е., рассчитывается по формуле

;

- влажность мерзлого грунта, рассчитанная по содержанию незамерзшей воды при отрицательной температуре, д.е.;

- влажность мерзлого грунта, расположенного между ледяными включениями, д.е.;

- плотность частиц грунта, г/см3 (см.
ГОСТ 5180);

- коэффициент пористости мерзлого грунта;

- плотность воды, принимаемая равной 1, г/см3.
А.25. Степень неоднородности гранулометрического состава

, д.е.; определяют по формуле

, (А.13)
где

,

- диаметры частиц, меньше которых в грунте содержится соответственно 60% и 10% (по массе) частиц, мм.
А.26. Степень плотности песков

, д.е.; определяют по формуле

, (А.14)
где e - коэффициент пористости при искусственном сложении, д.е.;

- коэффициент пористости в предельно плотном сложении, д.е.;

- коэффициент пористости в предельно рыхлом сложении, д.е.
А.27. Степень морозной пучинистости

, %; определяют по формуле (см.
ГОСТ 28622)

, (А.15)
где

- высота образца промерзшего грунта, см;

- начальная высота образца грунта, см.
А.28. Степень разложения торфа

, д.е., - отношение массы бесструктурной (полностью разложившейся) части торфа к его общей массе (см.
ГОСТ 10650).
А.29. Степень растворимости в воде

, г/л, - величина, отражающая способность грунта растворяться в воде при нормальных условиях за счет растворения неорганических и органических веществ, определяемая при соотношении грунта и воды 1:5 и равная концентрации образующегося равновесного раствора.
А.30. Суммарная льдистость мерзлого грунта

, д.е.; определяют по формуле

, (А.16)
где

- то же, что и в
А.7;

- льдистость грунта за счет льда-цемента (порового льда), д.е.;

- суммарная влажность мерзлого грунта, д.е. (см.
ГОСТ 5180);

- плотность льда, принимаемая равной 0,9 г/см3;

- плотность мерзлого грунта, г/см3 (см.
ГОСТ 5180);

- влажность мерзлого грунта за счет незамерзшей воды, д.е.
А.31. Число пластичности

, %; определяют по формуле

, (А.17)
где

- влажность на границе текучести, % (см.
ГОСТ 5180);

- влажность на границе раскатывания, % (см.
ГОСТ 5180).
(обязательное)
РАЗНОВИДНОСТИ ГРУНТОВ
(ОБЯЗАТЕЛЬНЫЕ ЧАСТНЫЕ КЛАССИФИКАЦИИ)
Б.1. Разновидности скальных грунтов
Б.1.1. По пределу прочности на одноосное сжатие

в водонасыщенном состоянии (см.
ГОСТ 12248) скальные грунты подразделяют на разновидности в соответствии с таблицей Б.1.
Таблица Б.1
Разновидность грунтов | Предел прочности на одноосное сжатие Rc, МПа |
Скальные: | |
- очень прочные | Rc  120 |
- прочные | 120 > Rc  50 |
- средней прочности | 50 > Rc  15 |
- малопрочные | 15 > Rc  5 |
Полускальные: | |
- пониженной прочности | 5 > Rc  3 |
- низкой прочности | 3 > Rc  1 |
- очень низкой прочности | Rc < 1 |
Б.1.2. По плотности сухого (скелета) грунта

скальные грунты подразделяют на разновидности в соответствии с таблицей Б.2.
Таблица Б.2
Разновидность грунтов | Плотность сухого грунта  , г/см 3 |
Очень плотный | |
Плотный | |
Средней плотности | |
Низкой плотности | |
Б.1.3. По пористости n скальные грунты подразделяют на разновидности в соответствии с таблицей Б.3.
Таблица Б.3
Разновидность грунтов | Пористость n, % |
Непористый | n  3 |
Слабопористый | 3 < n  10 |
Среднепористый | 10 < n  30 |
Сильнопористый | n > 30 |
Б.1.4. По коэффициенту выветрелости

скальные грунты подразделяют на разновидности в соответствии с таблицей Б.4.
Разновидность грунтов | Коэффициент выветрелости скальных грунтов Kwr, д.е. |
Слабовыветрелый | 0,9 Kwr < 1 |
Средневыветрелый | 0,8 Kwr < 0,9 |
Сильновыветрелый | Kwr < 0,80 |
Б.1.5. По коэффициенту размягчаемости в воде

скальные грунты подразделяют на разновидности в соответствии с таблицей Б.5.
Таблица Б.5
Разновидность грунтов | Коэффициент размягчаемости Ksof, д.е. |
Неразмягчаемый | Ksof  0,75 |
Размягчаемый | Ksof < 0,75 |
Б.1.6. По степени растворимости в воде

скальные грунты подразделяют на разновидности в соответствии с таблицей Б.6.
Таблица Б.6
Разновидность грунтов | Степень растворимости qsr, г/л |
Нерастворимый | qsr  0,01 |
Труднорастворимый | 0,01 < qsr  1 |
Среднерастворимый | 1 < qsr  10 |
Легкорастворимый | 10 < qsr  100 |
Сильно растворимый | qsr > 100 |
Б.1.7. По водопроницаемости скальные грунты в зависимости от коэффициента фильтрации подразделяют на разновидности в соответствии с таблицей Б.7
<*>.
Разновидность грунтов | Коэффициент фильтрации Kф, м/сут |
Водонепроницаемый | Kф  0,005 |
Слабоводопроницаемый | 0,005 < Kф  0,3 |
Водопроницаемый | 0,3 < Kф  3 |
Сильноводопроницаемый | 3 < Kф  30 |
Очень сильноводопроницаемый | Kф > 30 |
<*> Применяется также и для класса дисперсных грунтов. |
Б.2. Разновидности дисперсных грунтов
Б.2.1. По размерам слагающие дисперсный грунт элементы и их фракции подразделяют в соответствии с таблицей Б.8.
Таблица Б.8
Элементы грунта | Фракции | Размер фракций, мм |
Валуны (глыбы) | Крупные | > 800 |
Средние | 400 - 800 |
Мелкие | 200 - 400 |
Галька (щебень) | Крупные | 100 - 200 |
Средние | 60 - 100 |
Мелкие | 10 - 60 |
Гравий (дресва) | Крупные | 5 - 10 |
Мелкие | 2 - 5 |
Песчаные частицы | Грубые | 1 - 2 |
Крупные | 0,5 - 1 |
Средние | 0,25 - 0,5 |
Мелкие | 0,10 - 0,25 |
Тонкие | 0,05 - 0,10 |
Пылеватые частицы | Крупные | 0,01 - 0,05 |
Мелкие | 0,002 - 0,01 |
Глинистые частицы | - | < 0,002 |
Б.2.2. По гранулометрическому составу (см.
ГОСТ 12536) крупнообломочные грунты и пески подразделяют на разновидности в соответствии с таблицей Б.9.
Таблица Б.9
Разновидность крупнообломочных грунтов и песков | Размер частиц d, мм | Содержание частиц, % по массе |
Крупнообломочные: | | |
- валунный (при преобладании неокатанных частиц - глыбовый) | > 200 | > 50 |
- галечниковый (при неокатанных гранях - щебенистый) | > 10 | > 50 |
- гравийный (при неокатанных гранях - дресвяный) | > 2 | > 50 |
Пески: | | |
- гравелистый | > 2 | > 25 |
- крупный | > 0,50 | > 50 |
- средней крупности | > 0,25 | > 50 |
- мелкий | > 0,10 |  75 |
- пылеватый | > 0,10 | < 75 |
Примечание - При наличии в крупнообломочных грунтах песчаного заполнителя более 40% или глинистого заполнителя более 30% от общей массы воздушно-сухого грунта в наименование крупнообломочного грунта включают наименование вида заполнителя и указывают характеристики его состояния (влажность, плотность, показатель текучести). Вид заполнителя устанавливают после удаления из крупнообломочного грунта частиц крупнее 2 мм. Если обломочный материал представлен ракушкой в количестве 50% и более, грунт называют ракушечным, если от 25% до 50%, то к наименованию грунта добавляют слова "с ракушкой". |
Б.2.3. По степени неоднородности гранулометрического состава

крупнообломочные грунты и пески подразделяют на разновидности в соответствии с таблицей Б.10.
Таблица Б.10
Разновидность крупнообломочных грунтов и песков | Степень неоднородности гранулометрического состава Cu, д.е. |
Однородные | Cu  3 |
Неоднородные | Cu > 3 |
Б.2.4. По коэффициенту водонасыщения

крупнообломочные грунты и пески подразделяют на разновидности в соответствии с таблицей Б.11.
Таблица Б.11
Разновидность крупнообломочных грунтов и песков | Коэффициент водонасыщения Sr, д.е. |
Малой степени водонасыщения (маловлажные) | 0 < Sr  0,5 |
Средней степени водонасыщения (влажные) | 0,5 < Sr  0,8 |
Водонасыщенные | 0,8 < Sr  1 |
Б.2.5. По коэффициенту пористости e пески подразделяют на разновидности в соответствии с таблицей Б.12.
Таблица Б.12
Разновидность песков | Коэффициент пористости e, д.е. |
Пески гравелистые, крупные и средней крупности | Пески мелкие | Пески пылеватые |
Плотный | e  0,55 | e  0,60 | e  0,60 |
Средней плотности | 0,55 < e  0,70 | 0,60 < e  0,75 | 0,60 < e  0,80 |
Рыхлый | e > 0,70 | e > 0,75 | e > 0,80 |
Б.2.6. По степени плотности

пески искусственного сложения подразделяют на разновидности в соответствии с таблицей Б.13.
Таблица Б.13
Разновидность песков | Степень плотности ID, д.е. |
Слабоуплотненный | 0 < ID  0,33 |
Среднеуплотненный | 0,33 < ID  0,66 |
Сильноуплотненный | 0,66 < ID  1,00 |
Б.2.7. По коэффициенту выветрелости крупных обломков

крупнообломочные грунты подразделяют на разновидности в соответствии с таблицей Б.14.
Таблица Б.14
Разновидность крупнообломочных грунтов | Коэффициент выветрелости Kwrt, д.е. |
Слабовыветрелый | 0 < Kwrt  0,50 |
Средневыветрелый | 0,50 < Kwrt  0,75 |
Сильновыветрелый | 0,75 < Kwrt  1,00 |
Б.2.8. По коэффициенту истираемости крупных обломков

крупнообломочные грунты подразделяют на разновидности в соответствии с таблицей Б.15.
Таблица Б.15
Разновидность крупнообломочных грунтов | Коэффициент истираемости Kfr, д.е. |
Очень прочный | Kfr  0,05 |
Прочный | 0,05 < Kfr  0,20 |
Средней прочности | 0,20 < Kfr  0,30 |
Малопрочный | 0,30 < Kfr  0,40 |
Пониженной прочности | Kfr > 0,40 |
Б.2.9. По числу пластичности

глинистые грунты подразделяют на разновидности в соответствии с таблицей Б.16.
Таблица Б.16
Разновидность глинистых грунтов | Число пластичности Ip, % |
Супесь | 1 Ip < 7 |
Суглинок | 7 Ip < 17 |
Глина | Ip  17 |
Примечание - Илы подразделяются по значениям числа пластичности, указанным в таблице, на супесчаные, суглинистые и глинистые |
Б.2.10. По числу пластичности

и содержанию песчаных частиц глинистые грунты подразделяют на разновидности в соответствии с таблицей Б.17.
Таблица Б.17
Разновидность глинистых грунтов | Число пластичности Ip, % | Содержание песчаных частиц (2 - 0,05 мм), % по массе |
Супесь: | | |
- песчанистая | 1 Ip < 7 |  50 |
- пылеватая | 1 Ip < 7 | < 50 |
Суглинок: | | |
- легкий песчанистый | 7 Ip < 12 |  40 |
- легкий пылеватый | 7 Ip < 12 | < 40 |
- тяжелый песчанистый | 12 Ip < 17 |  40 |
- тяжелый пылеватый | 12 Ip < 17 | < 40 |
Глина: | | |
- легкая песчанистая | 17 Ip < 27 |  40 |
- легкая пылеватая | 17 Ip < 27 | < 40 |
- тяжелая | Ip  27 | Не регламентируется |
Б.2.11. При наличии частиц размером более 2 мм глинистые грунты подразделяют на разновидности в соответствии с таблицей Б.18.
Таблица Б.18
Разновидность глинистых грунтов | Содержание частиц размером более 2 мм, % по массе |
Супесь, суглинок, глина с галькой (щебнем), с гравием (дресвой) или с ракушкой | От 15 до 25 включ. |
Супесь, суглинок, глина галечниковые (щебенистые), гравелистые (дресвяные) или ракушечные | Св. 25 до 50 включ. |
Б.2.12. По показателю текучести

глинистые грунты подразделяют на разновидности в соответствии с таблицей Б.19.
Таблица Б.19
Разновидность глинистых грунтов | Показатель текучести IL, д.е. |
Супесь: | |
- твердая | IL < 0 |
- пластичная | 0 IL  1,00 |
- текучая | IL > 1,00 |
Суглинки и глины: | |
- твердые | IL < 0 |
- полутвердые | 0 IL  0,25 |
- тугопластичные | 0,25 < IL  0,50 |
- мягкопластичные | 0,50 < IL  0,75 |
- текучепластичные | 0,75 < IL  1,00 |
- текучие | IL > 1,00 |
Б.2.13. По относительной деформации набухания без нагрузки

(см.
ГОСТ 12248) глинистые грунты подразделяют на разновидности в соответствии с таблицей Б.20.
Таблица Б.20
Разновидность глинистых грунтов | Относительная деформация набухания без нагрузки  , д.е. |
Ненабухающий | |
Слабонабухающий | |
Средненабухающий | |
Сильнонабухающий | |
Б.2.14. По относительной деформации просадочности

(см.
ГОСТ 23161) глинистые грунты подразделяют на разновидности в соответствии с таблицей Б.21.
Таблица Б.21
Разновидность глинистых грунтов | Относительная деформация просадочности  , д.е. |
Непросадочный | |
Слабопросадочный | |
Среднепросадочный | |
Сильнопросадочный | |
Чрезвычайно просадочный | |
Б.2.15. По относительному содержанию органического вещества

(см.
ГОСТ 23740 и
ГОСТ 26213) грунты подразделяют на разновидности в соответствии с таблицей Б.22.
Таблица Б.22
Разновидность грунтов | Относительное содержание органического вещества Ir, д.е. |
Минеральные | Ir  0,03 |
Органо-минеральные: | |
- с примесью органического вещества | 0,03 < Ir  0,10 |
- с низким содержанием органического вещества | 0,10 < Ir  0,30 |
- с высоким содержанием органического вещества | 0,30 < Ir < 0,50 |
Органические | Ir  0,50 |
Б.2.16. По относительному содержанию органического вещества

(см.
ГОСТ 23740 и
ГОСТ 26213) торфосодержащие грунты подразделяют на разновидности в соответствии с таблицей Б.23.
Таблица Б.23
Разновидность торфосодержащего грунта | Относительное содержание органического вещества Ir, д.е. |
пески | глинистые грунты |
С примесью торфа | 0,03 Ir  0,10 | 0,05 < Ir  0,10 |
Слабозаторфованный | 0,10 < Ir  0,25 |
Среднезаторфованный | 0,25 < Ir  0,40 |
Сильнозаторфованный | 0,40 < Ir < 0,50 |
Торф | Ir  0,50 |
Б.2.17. По степени разложения

(см.
ГОСТ 10650) торфы подразделяют на разновидности в соответствии с таблицей Б.24.
Таблица Б.24
Разновидность торфа | Степень разложения Ddp, % |
Слаборазложившийся | Ddp  20 |
Среднеразложившийся | 20 < Ddp  45 |
Сильноразложившийся | Ddp > 45 |
Б.2.18. По степени засоленности

легкорастворимыми солями грунты подразделяют на разновидности в соответствии с таблицей Б.25, а среднерастворимыми - в соответствии с
таблицей Б.26.
Таблица Б.25
Разновидность грунтов | Степень засоленности грунтов легкорастворимыми солями Dsal, % |
Хлоридное, сульфатно-хлоридное засоление | Сульфатное, хлоридно-сульфатное засоление |
Незасоленный | Dsal < 0,5 | Dsal < 0,5 |
Слабозасоленный | 0,5 Dsal < 2,0 | 0,5 Dsal < 1,0 |
Среднезасоленный | 2,0 Dsal < 5,0 | 1,0 Dsal < 3,0 |
Сильнозасоленный | 5,0 Dsal  10,0 | 3,0 Dsal  8,0 |
Избыточно засоленный | Dsal > 10,0 | Dsal > 8,0 |
Разновидность грунтов | Степень засоленности грунтов среднерастворимыми (гипс, ангидрит) солями Dsal, % |
Суглинок | Супесь | Песок |
Незасоленный | Dsal  5 | Dsal  5 | Dsal  3 |
Слабозасоленный | 5 < Dsal  10 | 5 < Dsal  10 | 3 < Dsal  7 |
Среднезасоленный | 10 < Dsal  20 | 10 < Dsal  20 | 7 < Dsal  10 |
Сильнозасоленный | 20 < Dsal  35 | 20 < Dsal  30 | 10 < Dsal  15 |
Избыточно засоленный | Dsal > 35 | Dsal > 30 | Dsal > 15 |
Б.2.19. По степени морозной пучинистости

(см.
ГОСТ 28622) дисперсные грунты подразделяют в соответствии с таблицей Б.27
<*>.
Таблица Б.27
Разновидность грунтов | Степень пучинистости  , % |
Непучинистый | |
Слабопучинистый | |
Среднепучинистый | |
Сильнопучинистый | |
Чрезмерно пучинистый | |
<*> Применяют также для класса мерзлых грунтов. |
Б.3. Разновидности мерзлых грунтов
Б.3.1. По температуре T грунты подразделяют на разновидности в соответствии с таблицей Б.28.
Таблица Б.28
Разновидность грунтов | Температура грунтов T, °C |
Немерзлый (талый) | T  0 |
Охлажденный | 0 > T Tbf |
Мерзлый | T < Tbf |
Морозный | T < 0 |
Сыпучемерзлый <*> | T < 0 |
<*> Для грунтов с суммарной влажностью wtot  3%. |
Б.3.2. По льдистости скальные, полускальные и дисперсные мерзлые грунты подразделяют на разновидности в соответствии с таблицами Б.29 -
Б.31.
Таблица Б.29
Разновидность скальных и полускальных мерзлых грунтов | Льдистость за счет видимых ледяных включений ii, д.е. |
Слабольдистый | ii  0,01 |
Льдистый | 0,01 < ii  0,05 |
Сильнольдистый | ii > 0,05 |
Таблица Б.30
Разновидность дисперсных мерзлых грунтов | Льдистость за счет видимых ледяных включений ii, д.е. |
Нельдистый | ii  0,03 |
Слабольдистый | 0,03 < ii  0,20 |
Льдистый | 0,20 < ii  0,40 |
Сильнольдистый | 0,40 < ii  0,60 |
Очень сильнольдистый | 0,60 < ii  0,90 |
Разновидность песчаных грунтов | Суммарная льдистость, itot, д.е. |
Слабольдистые | itot  0,40 |
Льдистые | 0,40 < itot  0,60 |
Сильнольдистые | itot > 0,60 |
Б.3.3. По состоянию незасоленные мерзлые грунты подразделяют на разновидности в соответствии с таблицей Б.32.
Таблица Б.32
Грунты | Разновидность грунта |
Твердомерзлый ( mvf  0,01 МПа -1) при T < Th, °C | Пластичномерзлый (mvf > 0,01 МПа-1) при T, °C | Сыпучемерзлый при T < 0 °C |
Скальные и полускальные | Th = 0 | - | - |
Крупнообломочные | Th = 0 | Th < T < Tbf при Sr < 0,8 | При Sr  0,15 |
Пески гравелистые, крупные и средней крупности | Th = -0,1 |
Пески мелкие и пылеватые | Th = -0,3 |
Глинистые грунты: | | Th < T < Tbf | При Sr  0,15 |
- супесь | Th = -0,6 |
- суглинок | Th = -1,0 |
- глина | Th = -1,5 |
Примечание - Th - температурная граница твердомерзлого состояния грунта; T - температура грунта. |
Б.3.4. Мерзлые грунты с континентальным типом засоления (сульфатный тип засоления) относят к засоленным при степени засоленности

, %:
- для песков

0,10%;
- для супесей

0,15%;
- для суглинков

0,20%;
- для глин

0,25%.
Б.3.5. По степени засоленности

, %, мерзлые грунты с морским типом засоления легкорастворимыми солями (хлоридный тип засоления) подразделяют на разновидности в соответствии с таблицей Б.33.
Таблица Б.33
Разновидность грунтов | Степень засоленности легкорастворимыми солями Dsal, % |
Пески | Супеси | Суглинки и глины |
Незасоленные | Dsal < 0,05 | Dsal < 0,15 | Dsal < 0,20 |
Слабозасоленные | 0,05 Dsal < 0,15 | 0,15 Dsal < 0,35 | 0,20 Dsal < 0,40 |
Среднезасоленные | 0,15 Dsal < 0,30 | 0,35 Dsal < 0,60 | 0,40 Dsal < 0,80 |
Сильнозасоленные | Dsal  0,30 | Dsal  0,60 | Dsal  0,80 |
Б.3.6. По типам криогенных текстур мерзлые грунты подразделяют в соответствии с таблицей Б.34.
Таблица Б.34
Грунты | Тип криогенной текстуры |
Скальные и полускальные | Трещинная, пластовая, полостная, жильная, массивная |
Крупнообломочные | Массивная, порфировидная, корковая, базальная |
Песчаные | Массивная, слоистая, порфировидная, сетчатая, базальная |
Глинистые | Массивная, сетчатая, слоистая, атакситовая, порфировидная, линзовидная |
Заторфованные | Порфировидная, слоистая, сетчатая, атакситовая, линзовидная |
(рекомендуемое)
РАЗНОВИДНОСТИ ГРУНТОВ
(РЕКОМЕНДУЕМЫЕ ЧАСТНЫЕ КЛАССИФИКАЦИИ)
В.1. Разновидности скальных грунтов
В.1.1. По минеральному составу скальные известково-доломитовые грунты подразделяют на разновидности в соответствии с таблицей В.1.
Таблица В.1
Разновидность грунтов | Содержание, % |
CaCO3 | CaMg(CO3)2 |
Известняк | 95 - 100 | 0 - 5 |
Известняк доломитистый | 75 - 95 | 5 - 25 |
Известняк доломитовый | 50 - 75 | 25 - 50 |
Доломит известковый | 25 - 50 | 50 - 75 |
| | ИС МЕГАНОРМ: примечание. Значения в графе "CaMg(CO3)2 " даны в соответствии с официальным текстом документа. | |
|
Доломит известковистый | 5 - 25 | 75 - 90 |
Доломит | 0 - 5 | 95 - 100 |
В.1.2. По минеральному составу скальные карбонатно-терригенные грунты подразделяют на разновидности в соответствии с таблицей В.2.
Таблица В.2
Разновидность грунтов | Содержание карбонатов, % | Терригенная составляющая, % |
Известняк (доломит) | 95 - 100 | 0 - 5 |
Алевритистый (песчанистый) известняк (доломит) или известняк (доломит) с гравием (галькой) | 75 - 95 | 5 - 25 |
Алевритовый (песчаный, гравийный, галечный) известняк (доломит) | 50 - 75 | 25 - 50 |
Известковый (доломитовый) алевролит (песчаник, гравелит, конгломерат) | 25 - 50 | 50 - 75 |
Известковистый (доломитистый) алевролит (песчаник, гравелит, конгломерат) | 5 - 25 | 75 - 95 |
Алевролит (песчаник, гравелит, конгломерат) | 0 - 5 | 95 - 100 |
В.1.3. По минеральному составу скальные глинисто-карбонатные и глинистые грунты подразделяют на известковый и доломитовый ряд с учетом содержания глинистых минералов в соответствии с таблицей В.3.
Таблица В.3
Содержание глинистых минералов, % | Известковый ряд | Доломитовый ряд |
Разновидности грунта | Содержание CaCO3, % | Разновидности грунта | Содержание CaMg(CO3)2, % |
0 - 5 | Известняк | 95 - 100 | Доломит | 95 - 100 |
5 - 25 | Известняк глинистый | 75 - 95 | Доломит глинистый | 75 - 95 |
25 - 50 | Мергель известковый | 50 - 75 | Мергель доломитовый | 50 - 75 |
50 - 75 | Мергель глинистый известковый | 25 - 50 | Мергель глинистый доломитовый | 25 - 50 |
75 - 95 | Глина известковая | 5 - 25 | Глина доломитовая | 5 - 25 |
95 - 100 | Глина | 0 - 5 | Глина | 0 - 5 |
В.2. Разновидности дисперсных грунтов
В.2.1. По деформируемости дисперсные грунты подразделяют на разновидности в соответствии с таблицей В.4.
Таблица В.4
Разновидность грунтов | Модуль деформации E, МПа |
Очень сильнодеформируемые | E  5 |
Сильно деформируемые | 5 < E  10 |
Среднедеформируемые | 10 < E  50 |
Слабодеформируемые | E > 50 |
В.2.2. По сопротивлению недренированному сдвигу

глинистые грунты подразделяют на разновидности в соответствии с таблицей В.5.
Таблица В.5
Разновидность глинистых грунтов | Сопротивление недренированному сдвигу cu, кПа |
Чрезвычайно низкой прочности | cu  10 |
Очень низкой прочности | 10 < cu  20 |
Низкой прочности | 20 < cu  40 |
Средней прочности | 40 < cu  75 |
Высокой прочности | 75 < cu  150 |
Очень высокой прочности | 150 < cu  300 |
Чрезвычайно высокой прочности | cu > 300 |
В.2.3. По показателю чувствительности

глинистые грунты подразделяют на разновидности в соответствии с таблицей В.6.
Таблица В.6
Разновидность глинистых грунтов | Показатель чувствительности St, д.е. |
Нечувствительные | St ~ 1 |
Низкочувствительные | 1 < St  2 |
Среднечувствительные | 2 < St  4 |
Очень чувствительные | 4 < St  8 |
Текучие глины | St > 8 |
В.2.4. По липкости (прилипаемости) L глинистые грунты подразделяют на разновидности в соответствии с таблицей В.7.
Таблица В.7
Разновидность глинистых грунтов | Липкость (прилипаемость) L, кПа |
Неприлипаемые | L  5 |
Слабоприлипаемые | 5 < L  10 |
Среднеприлипаемые | 10 < L  25 |
Сильноприлипаемые | L > 25 |
В.2.5. По относительному содержанию органического вещества

илы и сапропели подразделяют на разновидности в соответствии с таблицей В.8.
Таблица В.8
Разновидности илов и сапропелей | Относительное содержание органического вещества Ir, д.е. |
Илы | Сапропели |
Высокоминеральные | 0,03 < Ir  0,07 | 0,10 < Ir  0,30 |
Среднеминеральные | 0,07 < Ir  0,10 | 0,30 < Ir  0,50 |
Низкоминеральные | Ir > 0,10 | Ir > 0,50 |
В.2.6. По потенциалу разжижения

при сейсмических воздействиях водонасыщенные песчаные грунты подразделяют на:
- разжижаемые

;
- неразжижаемые

.
В.2.7. По высоте капиллярного поднятия

дисперсные грунты подразделяют на разновидности в соответствии с таблицей В.9.
Таблица В.9
Разновидность грунтов | Высота капиллярного поднятия hc, м |
С малой высотой | hc  1,0 |
Со средней высотой | 1,0 < hc  2,5 |
С большой высотой | hc > 2,5 |
(рекомендуемое)
МАССИВОВ СКАЛЬНЫХ ГРУНТОВ
Г.1. Массивы скальных грунтов подразделяют в соответствии с критериями сплошности, экзогенного изменения и относительной скорости упругих волн в массиве в соответствии с Г.1.1 -
Г.1.3.
Г.1.1. По степени сплошности массивы скальных грунтов подразделяют в соответствии с таблицей Г.1.
Таблица Г.1
Наименование массива по степени сплошности | Коэффициент трещинной пустотности КТП, % | Отношение l/a | Характеристика массива |
Монолитный | КТП < 0,1 | < 1,0 | Массив не расчленен трещинами на отдельные блоки. Имеются немногочисленные трещины, которые редко пересекаются |
Трещиноватый: | | | Массив не полностью расчленен трещинами на отдельные блоки. Между блоками имеются целики скального грунта |
слаботрещиноватый | 0,1  КТП  0,5 | 1,0 - 1,5 |
среднетрещиноватый | 0,5 < КТП  1,5 | 1,5 - 2,5 |
сильнотрещиноватый | 1,5 < КТП  3 | 2,5 - 4,0 |
Разборный | КТП > 3 | > 4,0 | Массив полностью расчленен трещинами на отдельные блоки. Трещины различных направлений многократно пересекаются |
Примечание - Для подразделения массива скального грунта по степени сплошности следует руководствоваться отношением l/a, где l - средняя длина трещин, a - среднее расстояние между трещинами. Показателем КТП следует пользоваться, если площадь естественного или искусственного обнажения (котлован, штольня и т.п.) не позволяют оценить реальные значения l и a. |
Г.1.2. По степени экзогенного изменения от разгрузки и выветривания массивы скальных грунтов подразделяют на зоны А, Б, В и Г в соответствии с таблицей Г.2.
Таблица Г.2
Наименование зоны массива скального грунта | Характеристика зоны массива |
А - зона сильного изменения | Блоки отдельности массива сложены преимущественно сильновыветрелыми и средневыветрелыми скальными грунтами |
Б - зона средней степени изменения | Блоки отдельности массива сложены преимущественно слабовыветрелыми и невыветрелыми скальными грунтами, в стенках трещин имеются средневыветрелые скальные грунты |
В - зона слабого изменения | Блоки отдельности массива сложены невыветрелыми скальными грунтами, вдоль некоторых трещин имеются слабовыветрелые скальные грунты |
Г - сохранный массив | Невыветрелые скальные грунты в блоках отдельности и стенках трещин |
Примечание - Скальные грунты по степени выветрелости разделяют на слабовыветрелые, средневыветрелые и сильновыветрелые по таблице Б.4 (см. Приложение Б). |
Г.1.3. По относительной скорости распространения упругих продольных волн массивы скальных грунтов подразделяют на разновидности согласно таблице Г.3.
Таблица Г.3
Наименование скального массива | Относительная скорость упругих продольных волн vp.М/vp.Б, д.е. |
Монолитный | Более 0,6 |
Слаботрещиноватый | От 0,6 до 0,3 |
Среднетрещиноватый | От 0,3 до 0,1 |
Сильнотрещиноватый | От 0,1 до 0,03 |
Разборный | Менее 0,03 |
Примечание - vp.М - скорость упругих продольных волн в массиве скального грунта; vp.Б - скорость продольных волн в блоке отдельности. |
Г.2. По показателю качества грунта RQD скальные грунты подразделяют в соответствии с таблицей Г.4.
Таблица Г.4
Качество скального грунта | Показатель качества RQD, % |
Очень хорошее | RQD > 90 |
Хорошее | 90  RQD  75 |
Среднее | 75 > RQD  50 |
Плохое | 50 > RQD  25 |
Очень плохое | RQD < 25 |
Г.3. Блоки отдельности, из которых состоят массивы скальных грунтов, подразделяют на разновидности по размеру и форме в соответствии с Г.3.1 и
Г.3.2.
Г.3.1. По размеру блоков отдельности в массивах скальных грунтов выделяют разновидности отдельностей в соответствии с таблицей Г.5.
Таблица Г.5
Разновидность отдельностей | Средний размер блока отдельности, см |
Крупноглыбовая | Св. 80 |
Мелкоглыбовая | От 80 до 20 включ. |
Щебневая | Менее 20 |
Г.3.2. По форме блоков отдельности в массивах скальных грунтов выделяют следующие разновидности отдельностей:
- параллелепипедальная ("сундучная") - примерно изометрические блоки, ограниченные примерно ортогональными трещинами;
- остроугольная - блоки сложной формы, ограниченные трещинами, пересекающимися под острыми и тупыми углами;
- плитчатая - короткопризматические блоки, ограниченные системой частых и относительно длинных трещин, параллельных основанию призмы, и группой более редких трещин, секущих основание;
- столбчатая - призматические блоки, ограниченные несколькими длинными трещинами, параллельными оси призмы, и системой относительно коротких редких трещин, перпендикулярных к оси призмы;
- шаровая - блоки в виде усеченного шарового сектора ("скорлуповатой" формы), ограниченные трещинами, оконтуривающими по шаровой или эллипсоидальной поверхности некоторый центр, и трещинами радиального направления (встречается редко).
Г.4. Трещины в массиве скальных грунтов подразделяют на разновидности по пространственной ориентации, ширине раскрытия, длине, виду заполнителя и шероховатости стенок в соответствии с Г.4.1 -
Г.4.5.
Г.4.1. По пространственной ориентации трещины в зависимости от угла падения

подразделяют на разновидности в соответствии с таблицей Г.6. При этом необходимо указывать азимут падения плоскости трещины (слоя, разрыва) - азимут перпендикуляра к следу от пересечения плоскости трещины с горизонтальной плоскостью.
Таблица Г.6
Разновидность трещин | Угол падения  |
Субвертикальные | |
Крутые | |
Наклонные | |
Пологие | |
Субгоризонтальные | |
Г.4.2. По расстоянию b между скальными стенками трещины выделяют разновидности трещин в соответствии с таблицей Г.7.
Таблица Г.7
Разновидность трещин | Расстояние между скальными стенками трещины b, см |
Щели | b  10 |
Широкие | 10 > b  1 |
Средней ширины | 1 > b  0,1 |
Узкие | 0,1 > b  0,01 |
Трещины-капилляры | b < 0,01 |
Г.4.3. По длине l трещины скального массива подразделяют на разновидности в соответствии с таблицей Г.8.
Таблица Г.8
Разновидность трещин | Длина трещины l, м |
Разрывы | l  100 |
Длинные | 100 > l  10 |
Средней длины | 10 > l  1 |
Короткие | 1 > l  0,1 |
Микротрещины | l < 0,1 |
Г.4.4. По виду заполнителя трещины подразделяют на разновидности в соответствии с таблицей Г.9.
Таблица Г.9
Разновидность трещин | Вид заполнителя трещины |
Открытые | Наполнены газом или жидкостью |
Заполненные | Полностью или частично заполнены дисперсным грунтом |
Залеченные | Наполнены природным или искусственным скальным грунтом, цементирующим стенки |
Г.4.5. По макрошероховатости стенок трещины подразделяются на разновидности в соответствии с таблицей Г.10.
Таблица Г.10
Разновидность трещин | Макрошероховатость стенок | Механический тип трещины |
Ровные | Выступы с наклоном менее 5° | Зеркала скольжения и притертые трещины скола |
Волнистые | Выступы с наклоном от 5° до 30° | Трещины скола и отрыва, частично притертые |
Волнистоступенчатые | Выступы с наклоном более 30° | Трещины отрыва и скола, не измененные смещением |
Примечание - Кроме макрошероховатости, имеющей сантиметровую (до нескольких сантиметров) амплитуду выступов, на стенке трещины может быть микрошероховатость, которая осложняет поверхность макровыступов, создавая на ней волны высотой до 1,0 мм. Длинные трещины, кроме названных микро- и макрошероховатостей, могут иметь на стенках неровности третьего порядка с высотой выступов до нескольких дециметров. |
Г.5. По взаимной ориентации в массивах скальных грунтов выделяют следующие разновидности сетей трещин в соответствии с таблицей Г.11.
Таблица Г.11
Разновидность сетей трещин | Взаимная ориентация трещин | Анизотропия массива |
Системная | Трещины группируются в системы | Массив анизотропный |
Полигональная | Одна система трещин вдоль слоя осадочной породы (поверхности магматического тела) и перпендикулярные к ней трещины разных азимутов | Массив трансверсально-изотропный |
Хаотическая | Трещины в массиве ориентированы по любым направлениям | Массив изотропный |
Шаровая | Независимые радиально-концентрические сети в округлых геологических телах, слагающих массив |
Примечание - Системой трещин называется множество примерно параллельных трещин в массиве скальных грунтов. |
Г.6. По сжимаемости массивы скальных грунтов подразделяют на разновидности в соответствии с таблицей Г.12.
Таблица Г.12
Разновидность массива по сжимаемости | Модуль деформации массива E, МПа |
Практически несжимаемые | Св. 20000 |
Слабосжимаемые | От 20000 до 10000 включ. |
Среднесжимаемые | Св. 10000 до 5000 включ. |
Сильно сжимаемые | Св. 5000 до 2000 включ. |
Очень сильно сжимаемые | Менее 2000 |
Г.7. По водопроницаемости массивы скальных грунтов подразделяют в соответствии с
таблицей Б.7 (см. Приложение Б).
(справочное)
ИСПОЛЬЗУЕМЫЕ В МЕЖДУНАРОДНЫХ СТАНДАРТАХ
В настоящем приложении приведены термины, используемые в международных стандартах (см.
[1] -
[4]).
Д.1. Very coarse soils (крупнообломочные грунты) - грунты, основная фракция которых имеет размер крупнее 63 мм.
Д.2. Coarse-grained soils (крупнозернистые и песчаные грунты) - грунты, менее 50% частиц которых проходит через сито 0,063 мм по
[1] или 0,075 мм по
[2].
Д.3. Fine-grained soils (тонкодисперсные грунты) - грунты, более 50% частиц которых проходит через сито 0,063 мм по
[1] или 0,075 мм по
[2].
Д.4. Liquid limit (граница текучести); определяют по
[3] методом падающего конуса и обозначают

, по
[4] - методом Казагранде и обозначают LL.
Д.5. Liquid limit oven dried (граница текучести после высушивания);

- определяют методом Казагранде после высушивания грунта в печи при температуре T = 105 °C.
Д.6. Liquid limit non dried (граница текучести до высушивания);

- определяют методом Казагранде в грунте естественной влажности.
Д.7. Plastic limit (граница раскатывания); определяют, как и в
ГОСТ 5180, методом раскатывания и обозначают

по
[3] и PL - по
[4].
Д.8. Plasticity index (число пластичности) - определяют и обозначают по
[3] так же, как в настоящем стандарте (см.
А.31 Приложения А), а по
[4] - по формуле Д.1 и обозначают Pl.
Pl = LL - PL, (Д.1)
Д.9. Liquidity index (показатель текучести);

- определяют по
[1] так же, как в настоящем стандарте (см.
А.18 Приложения А).
Д.10. Consistency index (показатель консистенции);

- определяют в
[1] по формуле

. (Д.2)
Д.11. Plasticity chart (карта пластичности грунтов) - график в координатах PI - LL, применяемый для классификации тонкодисперсных грунтов и тонкой фракции в крупнообломочных, крупнозернистых и песчаных грунтах (см.
рисунок Е.2).
Д.12. Uniformity coefficient (степень фракционированности);

- определяют так же, как в настоящем стандарте (см.
А.25 Приложения А).
С увеличением однородности состава грунта значение

уменьшается.
Д.13. Coefficient of curvature (коэффициент кривизны);

- показатель, характеризующий форму кривой гранулометрического состава (см.
рисунок Е.2) и определяемый по формуле

, (Д.3)
где

,

,

- диаметры частиц, меньше которых в грунте содержится 60%, 30% и 10% (по массе) частиц соответственно.
Д.14. Well graded soil (хорошо фракционированный грунт); W - неоднородный грунт; определяют по степени фракционированности

и коэффициенту кривизны

.
Д.15. Poorly graded soil (плохо фракционированный грунт); P - однородный грунт; определяют по степени фракционированности

и коэффициенту кривизны

.
Д.16. Flow chart (карта классификации грунтов) - блок-схема, применяемая для определения наименования грунта.
(справочное)
СООТВЕТСТВИЕ НАИМЕНОВАНИЙ ДИСПЕРСНЫХ ГРУНТОВ, ИСПОЛЬЗУЕМЫХ
В НАСТОЯЩЕМ СТАНДАРТЕ И В МЕЖДУНАРОДНЫХ СТАНДАРТАХ
Е.1. Общие положения
Е.1.1. Наименования крупнообломочных, крупнозернистых и песчаных грунтов (см.
Д.1 и
Д.2 Приложения Д) в
[1] и
[2] определяют на основании их гранулометрического состава, степени фракционированности и коэффициента кривизны, определяемых по кумулятивной кривой гранулометрического состава (см.
Е.2).
Е.1.2. Соответствие различных фракций грунтов в настоящем стандарте и в
[1] и
[2] показано на
рисунке Е.1.
Размер фракций, мм | 800 | 630 | 400 | 300 | 200 | 100 | 76,2 | 63 | 60 | 40 | 20 | 19 | 10 | 6,3 | 4,75 | 5 | 2 |
|
По ГОСТ 25100 | Валуны, глыбы | Галька, щебень | Гравий, дресва |
крупные | средние | мелкие | крупные | средние | мелкие | крупные | мелкие |
|
| Large boulders | Boulders | Cobbles | Coarse gravel | Medium gravel | Fine gravel |
|
| Boulders | Cobbles | Gravel | Sand |
coarse | fine | coarse |
Окончание блок-схемы
Размер фракций, мм | 0,63 | 0,5 | 0,425 | 0,25 | 0,2 | 0,1 | 0,075 | 0,063 | 0,05 | 0,02 | 0,0063 | 0,005 | 0,002 | < 0,002 |
|
По ГОСТ 25100 | Песок | Пыль | Глина |
крупный | средней крупности | мелкий | пылеватый |
|
| Sand | Silt | Clay |
coarse | medium | fine | coarse | medium | fine |
|
| Sand | Silt | Clay |
medium | fine |
Рисунок Е.1. Блок-схема: сопоставление размеров
гранулометрических фракций, определяемых
по настоящему стандарту и по
[1] и
[2]
Е.1.3. Наименования тонкодисперсных грунтов (см.
Д.3 Приложения Д) в
[1] и
[2] определяют на основании показателей пластичности и содержания органического вещества (см.
Е.3), а также гранулометрического состава крупнозернистой фракции (крупнее 0,063 и 0,075 мм соответственно).
Е.1.4. Для установления соответствия наименований глинистых грунтов по настоящему стандарту и тонкодисперсных грунтов по
[1] и
[2] проводят пересчет результатов определения границы текучести, полученных по
ГОСТ 5180 и по
[3] и
[4], с использованием корреляционных уравнений (см.
Е.3).
Е.1.5. Соответствие наименований органоминеральных тонкозернистых грунтов устанавливают по результатам определения содержания органического вещества (по сжиганию) или границы текучести по методу Казагранде (после высушивания при температуре T = 105 °C).
Е.1.6. Определение частных характеристик свойств грунтов и их разновидностей проводят по результатам их определения по классификациям соответствующих стандартов.
Е.2. Классификация крупнообломочных, крупнозернистых и песчаных грунтов
Е.2.1. Для классификации крупнообломочных, крупнозернистых и песчаных грунтов определяют содержание фракций по граничным размерам частиц: по
[1] - 630; 200; 63; 20; 6,3; 0,63; 0,2 и 0,063 мм; по
[2] - 300; 76,2; 19,0; 4,75; 0,425 и 0,075 мм; по настоящему стандарту - 800; 400; 200; 100; 60; 40; 20; 10; 5; 0,5; 0,25; 0,1 и 0,05 мм.
Для расчета степени фракционированности и коэффициента кривизны определяют параметры

,

и

.
Е.2.2. Для пересчета содержания отдельных фракций, определяемых в различных стандартах, а также определения степени фракционированности и коэффициента кривизны строят кумулятивную кривую гранулометрического состава (см. рисунок Е.2), на основании которой проводят дальнейшие пересчеты по нормам требуемого стандарта.
Рисунок Е.2. Кумулятивная кривая
гранулометрического состава
Е.2.3. Дальнейшую классификацию крупнообломочных, крупнозернистых и песчаных грунтов по
[1] и
[2] проводят в соответствии с требованиями этих стандартов (см. Е.2.4 и
Е.2.5).
Е.2.4. Классификацию грунтов по
[1] проводят на основании определения содержания всех гранулометрических фракций (см.
таблицу Е.1). В наименовании грунта указывают все содержащиеся в нем фракции. Название основной (по содержанию) фракции указывают в виде существительного (символ фракции записывают с заглавной буквы). Второстепенные фракции входят в наименование грунта в виде прилагательных и располагаются перед названием основной фракции в порядке увеличения их содержания. Символы второстепенных фракций записывают прописными буквами. В наименовании грунта могут использоваться различные сочетания терминов. Например, sandy medium gravel (saMGr) - гравий средней крупности песчанистый.
Таблица Е.1
Соответствие наименований крупнообломочных
и крупнозернистых грунтов, определенных
по настоящему стандарту и по
[1]
Наименование грунта | Индекс |
по ГОСТ 25100 | |
Валунный (глыбовый) грунт | Boulders, sandy boulders, silty boulders, clayey boulders | Bo, saBo, siBo, clBo |
Валунный (глыбовый) грунт с песчаным заполнителем | Sandy boulders, silty sandy boulders, clayey sandy boulders | saBo, sisaBo, clsaBo |
Валунный (глыбовый) грунт с глинистым (суглинистым, супесчаным) заполнителем | Silty boulders, clayey boulders, sandy silty boulders, sandy clayey boulders | siBo, clBo, sasiBo, saclBo |
Галечниковый (щебенистый) грунт | Cobbles, sandy cobbles, silty cobbles, clayey cobbles; Coarse (medium) gravel, sandy coarse (medium) gravel, silty coarse (medium) gravel, clayey coarse (medium) gravel | Co, saCo, siCo, clCo; CGr (MGr), saCGr (MGr), siCGr (MGr), clCGr (MGr) |
Галечниковый (щебенистый) грунт с песчаным заполнителем | Sandy cobbles, silty sandy cobbles, clayey sandy cobbles; Sandy coarse (medium) gravel, silty sandy coarse (medium) gravel, clayey sandy coarse (medium) gravel | saCo, sisaCo, clsaCo; saCGr (MGr), sisaCGr (MGr), clsaCGr(MGr) |
Галечниковый (щебенистый) грунт с глинистым (суглинистым, супесчаным) заполнителем | Silty cobbles, clayey cobbles, sandy silty cobbles, sandy clayey cobbles; Silty coarse (medium) gravel, clayey coarse (medium) gravel, sandy silty coarse (medium) gravel, sandy clayey coarse (medium) gravel | siCo, clCo, sasiCo, saclCo; siCGr (MGr), clCGr (MGr), sasiCGr (MGr), saclCGr (MGr) |
Гравийный (дресвяный) грунт | Medium (fine) gravel, sandy medium (fine) gravel, silty medium (fine) gravel, clayey medium (fine) gravel | MGr (FGr), saMGr (FGr), siMGr (FGr), clMGr (FGr) |
Гравийный (дресвяный) грунт с песчаным заполнителем | Sandy medium (fine) gravel, silty sandy medium (fine) gravel, clayey sandy medium (fine) gravel | saMGr (FGr), sisaMGr (FGr), clsaMGr (FGr) |
Гравийный (дресвяный) грунт с глинистым (суглинистым, супесчаным) заполнителем | Silty medium (fine) gravel, clayey medium (fine) gravel, sandy silty medium (fine) gravel, sandy clayey medium (fine) gravel | siMGr (FGr), clMGr (FGr), sasiMGr (FGr), saclMGr (FGr) |
Е.2.5. Классификацию крупнообломочных, крупнозернистых и песчаных грунтов по
[2] проводят на основании классификационных блок-схем (flow charts), приведенных в
[2].
Е.2.6. Сопоставление наименований крупнообломочных и крупнозернистых грунтов, определенных по настоящему стандарту и по
[1] и
[2], приведено в
таблицах Е.1 и Е.2.
Таблица Е.2
Соответствие наименований крупнообломочных
и крупнозернистых грунтов, определенных
по настоящему стандарту и по
[2]
Наименование грунта | Индекс |
по ГОСТ 25100 | |
Валунный (глыбовый) грунт | Boulders (cobbles); boulders (cobbles) with sand | G |
Boulders (cobbles) with silt; boulders (cobbles) with silt and sand | G - GM |
Boulders (cobbles) with clay; boulders (cobbles) with clay and sand | G - GC |
Silty boulders (cobbles); silty boulders (cobbles) with sand | GM |
Clayey boulders (cobbles); clayey boulders (cobbles) with sand | GC |
Валунный (глыбовый) грунт с песчаным заполнителем | Boulders (cobbles) with silt; boulders (cobbles) with silt and sand | G - GM |
Boulders (cobbles) with clay; boulders (cobbles) with clay and sand | G - GC |
Silty boulders (cobbles); silty boulders (cobbles) with sand | GM |
Clayey boulders (cobbles); clayey boulders (cobbles) with sand | GC |
Валунный (глыбовый) грунт с глинистым (суглинистым, супесчаным) заполнителем | Silty boulders (cobbles); silty boulders (cobbles) with sand | GM |
Clayey boulders (cobbles); clayey boulders (cobbles) with sand | GC |
Галечниковый (щебенистый) грунт | Cobbles (coarse, fine gravel); cobbles (coarse, fine gravel) with sand | G |
Cobbles (coarse, fine gravel) with silt; cobbles (coarse, fine gravel) with silt and sand | G - GM |
Cobbles (coarse, fine gravel) with clay; cobbles (coarse, fine gravel) with clay and sand | G - GC |
Silty cobbles (coarse, fine gravel); silty cobbles (coarse, fine gravel) with sand | GM |
Clayey cobbles (coarse, fine gravel); clayey cobbles (coarse, fine gravel) with sand | GC |
Галечниковый (щебенистый) грунт с песчаным заполнителем | Cobbles (coarse, fine gravel) with silt; cobbles (coarse, fine gravel) with silt and sand | G - GM |
Cobbles (coarse, fine gravel) with clay; cobbles (coarse, fine gravel) with clay and sand | G - GC |
Silty cobbles (coarse, fine gravel); silty cobbles (coarse, fine gravel) with sand | GM |
Clayey cobbles (coarse, fine gravel); clayey cobbles (coarse, fine gravel) with sand | GC |
Галечниковый (щебенистый) грунт с глинистым (суглинистым, супесчаным) заполнителем | Silty cobbles (coarse, fine gravel); silty cobbles (coarse, fine gravel) with sand | GM |
Clayey cobbles (coarse, fine gravel); clayey cobbles (coarse, fine gravel) with sand | GC |
Гравийный (дресвяный) грунт | Fine gravel (coarse sand); fine gravel (coarse sand) with sand | G |
Fine gravel (coarse sand) with silt; fine gravel (coarse sand) with silt and sand | G - GM |
Fine gravel (coarse sand) with clay; fine gravel (coarse sand) with clay and sand | G - GC |
Silty fine gravel (coarse sand); silty fine gravel (coarse sand) with sand | GM |
Clayey fine gravel (coarse sand); clayey fine gravel (coarse sand) with sand | GC |
Гравийный (дресвяный) грунт с песчаным заполнителем | Fine gravel (coarse sand) with silt; fine gravel (coarse sand) with silt and sand | G - GM |
Fine gravel (coarse sand) with clay; fine gravel (coarse sand) with clay and sand | G - GC |
Silty fine gravel (coarse sand); silty fine gravel (coarse sand) with sand | GM |
Clayey fine gravel (coarse sand); clayey fine gravel (coarse sand) with sand | GC |
Гравийный (дресвяный) грунт с глинистым (суглинистым, супесчаным) заполнителем | Silty fine gravel (coarse sand); silty fine gravel (coarse sand) with sand | GM |
Clayey fine gravel (coarse sand); clayey fine gravel (coarse sand) with sand | GC |
<*> В зависимости от значений показателей C u и C c к наименованию (индексу) грунта добавляется well graded (хорошо фракционированный) или poorly graded (плохо фракционированный). |
Е.2.7. Классификацию тонкодисперсной составляющей крупнообломочных, крупнозернистых и песчаных грунтов проводят по
Е.3.
Е.2.8. Соответствие наименований песчаных грунтов, определенных по настоящему стандарту и по
[1] и
[2], показано в таблицах Е.3 и
Е.4.
Таблица Е.3
Соответствие наименований песчаных грунтов,
определенных по настоящему стандарту и по
[1]
Наименование грунта | Индекс |
по ГОСТ 25100 | |
Гравелистый песок | Gravel; bouldery, cobble, sandy, silty, clayey gravel | Gr, boGr, coCg, saGr, siGr, clGr |
Крупный песок | Coarse (medium) sand; bouldery, cobble, gravely, silty, clayey coarse (medium) sand | CSa (MSa), boCSa (MSa), coCSa (MSa), grCSa (MSa), siCSa (MSa), clCSa (MSa) |
Песок средней крупности | Medium sand; bouldery, cobble, gravely, silty, clayey medium sand | MSa, boMSa, coMSa, grMSa, siMSa, clMSa |
Мелкий песок | Medium (fine) sand; bouldery, cobble, gravely, silty, clayey medium (fine) sand | MSa (FSa), boMSa (FSa), coMSa (FSa), grMSa (FSa), siMSa (FSa), clMSa (FSa) |
Пылеватый песок | Fine sand; bouldery, cobble, gravely, silty, clayey fine sand; coarse silt | FSa, boFSa, coFSa, grFSa, siFSa, clFSa, CSi |
Таблица Е.4
Соответствие наименований песчаных грунтов,
определенных по настоящему стандарту и по
[2]
Наименование грунта | Индекс |
по ГОСТ 25100 | |
Гравелистый песок | Gravel, gravel with sand | G |
Gravel with silt, gravel with silt and sand | G - GM |
Gravel with clay, gravel with clay and sand | G - GC |
Silty gravel, silty gravel with sand | GM |
Clayey gravel, clayey gravel with sand | GC |
Sand, sand with gravel | S |
Sand with silt, sand with silt and gravel | S - SM |
Sand with clay, sand with clay and gravel | S - SC |
Silty sand, silty sand with gravel | MS |
Clayey sand, clayey sand with gravel | CS |
Крупный песок | Medium sand, medium sand with gravel | S |
Medium sand with silt, medium sand with silt and gravel | S - SM |
Medium sand with clay, medium sand with clay and gravel | S - SC |
Silty medium sand, silty medium sand with gravel | MS |
Clayey medium sand, clayey medium sand with gravel | CS |
Песок средней крупности | Medium (fine) sand, medium (fine) sand with gravel | S |
Medium (fine) sand with silt, medium (fine) sand with silt and gravel | S - SM |
Medium (fine) sand with clay, medium (fine) sand with clay and gravel | S - SC |
Silty medium (fine) sand, silty medium (fine) sand with gravel | MS |
Clayey medium (fine) sand, clayey medium (fine) sand with gravel | CS |
Мелкий песок | Fine sand, fine sand with gravel | S |
Fine sand with silt, fine sand with silt and gravel | S - SM |
Fine sand with clay, fine sand with clay and gravel | S - SC |
Silty fine sand, silty fine sand with gravel | MS |
Clayey fine sand, clayey fine sand with gravel | CS |
Пылеватый песок | Fine sand, fine sand with gravel | S |
Fine sand with silt, fine sand with silt and gravel | S - SM |
Fine sand with clay, fine sand with clay and gravel | S - SC |
Silty fine sand, silty fine sand with gravel | MS |
Clayey fine sand, clayey fine sand with gravel | CS |
Silt | ML |
<*> В зависимости от значений показателей Cu и Cc к наименованию (индексу) грунта добавляется well graded (хорошо фракционированный) или poorly graded (плохо фракционированный). |
Е.3. Классификация тонкодисперсных грунтов
Е.3.1. Классификацию тонкодисперсных грунтов (fine grained soils) (см.
Д.3 Приложения Д) проводят в
[1] и
[2] также, как и глинистых грунтов в настоящем стандарте, с использованием показателей пластичности Pl,

,

,

. Для установления соответствия в наименовании грунтов по указанным стандартам проводят пересчет значений границы текучести

и LL на основе корреляционных зависимостей.
Для пересчета должны использоваться региональные зависимости, полученные при корреляции результатов параллельных опытных определений

и LL. Значения границы раскатывания

и PL принимают равными друг другу.
Е.3.2. При отсутствии региональных данных пересчет значений

и LL в целях сопоставления классификационных наименований грунтов допускается проводить по следующим корреляционным формулам:

; (Е.1)

. (Е.2)
Е.3.3. После пересчета значений

и LL рассчитывают значения Pl,

,

,

(см.
Приложение Д), которые используют далее для классификации грунтов по этим показателям.
Е.3.4. Наименование тонкодисперсных минеральных и органоминеральных грунтов по
[1] и
[2] устанавливают с использованием графика пластичности грунтов (см.
рисунок Е.3). Наименование грунта принимают в зависимости от положения, которое занимает точка, соответствующая свойствам данного грунта, на графике.
Примечание. CH, CL, ML, MH, CL - ML, OH, OL (см.
таблицы Е.5 и
Е.6). Уравнение линии A: Pl = 0,73(LL - 20).
Рисунок Е.3. График пластичности грунтов (plasticity chart)
Таблица Е.5
Соответствие наименований глинистых (настоящий стандарт)
и тонкодисперсных (см.
[1] и
[2]) минеральных грунтов
Наименование грунта по ГОСТ 25100 | |
Наименование грунта | Индекс | Число пластичности PI, % | Показатель текучести LL, % |
Глина тяжелая | Fat clay | CH | > 45 | > 65 |
Глина легкая | 28 - 45 | 45 - 76 |
Суглинок тяжелый | 19 - 28 | 50 - 53 |
Lean clay | CL | 19 - 28 | 36 - 50 |
Суглинок легкий | 11 - 19 | 22 - 45 |
Супесь | 7 - 11 | < 32 |
Silty clay | CL - ML | 4 - 7 | < 30 |
Глина тяжелая литифицированная | Elastic silt | MH | > 53 | > 92 |
Глина легкая литифицированная | 35 - 53 | 68 - 114 |
Суглинок тяжелый литифицированный | 24 - 35 | 52 - 102 |
Суглинок легкий литифицированный | < 24 | 50 - 68 |
Silt | ML | 15 - 24 | 41 - 50 |
Супесь литифицированная | < 15 | < 41 |
Таблица Е.6
Соответствие наименований глинистых (настоящий стандарт)
и тонкодисперсных (см.
[1] и
[2]) органо-минеральных
и органических грунтов
Наименование грунта по ГОСТ 25100 | |
Наименование грунта | Индекс | Число пластичности PI, % | Показатель текучести LL, % |
Глина тяжелая | Organic clay with high plasticity | OH | > 47 | > 68 |
Глина легкая | 29 - 47 | 44 - 98 |
Суглинок тяжелый | 19 - 29 | 50 - 62 |
Суглинок легкий | 13 - 19 | 50 - 51 |
Суглинок тяжелый | Organic clay with low plasticity | OL | 19 - 29 | 36 - 50 |
Суглинок легкий | 13 - 19 | 25 - 50 |
Супесь | < 13 | < 41 |
Торф | Peat | Pt | - | - |
Е.3.5. Отнесение грунтов к органическим или неорганическим проводят по содержанию в них органического вещества, определяемого при сжигании. При содержании органического вещества менее 5% грунт относят к минеральным (inorganic soil) и классифицируют как CH, CL, MH или ML (см.
таблицу Е.5). При содержании органического вещества 5% и более грунт относят к органоминеральным (organic soil) и классифицируют как OH или OL (см.
таблицу Е.6). При содержании неразложившейся органики более 50% грунт относят к торфам (Pt).
Е.3.6. При отсутствии данных о содержании органического вещества, определенных сжиганием, грунты в
[2] подразделяют в зависимости от соотношения

(см.
Д.5 и
Д.6 Приложения Д). Если соотношение

, грунт относят к органическим (organic soil), если более 0,75 - к неорганическим (inorganic soil).
Е.3.7. Классификацию крупнозернистых и песчаных фракций, содержащихся в тонкодисперсных грунтах, проводят в соответствии с требованиями
Е.2.
Е.3.8. Классификацию тонкодисперсных минеральных грунтов с учетом содержания в них крупнозернистых и песчаных фракций по
[2] проводят на основании классификационных блок-схем (flow chart), приведенных в
[2].
Е.3.9. Соответствие наименований глинистых грунтов (см. настоящий стандарт) и тонкодисперсных минеральных, органоминеральных и органических грунтов, определенных по
[1] и
[2], показано в
таблицах Е.5 и
Е.6.
Е.3.10. Соответствие наименований разновидностей минеральных и органоминеральных грунтов по показателю текучести

в настоящем стандарте и по показателю консистенции

в
[1] показано в таблице Е.7.
Таблица Е.7
Соответствие наименований разновидностей минеральных
и органо-минеральных грунтов по показателям текучести

и консистенции

По ГОСТ 25100 | Показатель консистенции Ic по [1] |
Наименование грунта | Показатель текучести IL | Разновидность грунта |
Супесь | IL < 0 | Твердая | very stiff |
0 IL  1,0 | Пластичная | very soft - stiff |
IL > 1,0 | Текучая | very soft |
Суглинок | IL < 0 | Твердый | very stiff |
0 IL  0,25 | Полутвердый | stiff |
0,25 < IL  0,5 | Тугопластичный | firm - stiff |
0,5 < IL  0,75 | Мягкопластичный | soft - firm |
0,75 < IL  1,0 | Текучепластичный | very soft - firm |
IL > 1,0 | Текучий | very soft - soft |
Глина | IL < 0 | Твердая | very stiff |
0 IL  0,25 | Полутвердая | stiff |
0,25 < IL  0,5 | Тугопластичная | firm - stiff |
0,5 < IL  0,75 | Мягкопластичная | firm |
0,75 < IL  1,0 | Текучепластичная | soft - firm |
IL > 1,0 | Текучая | very soft - soft |
(обязательное)
ОСНОВНЫЕ ОБОЗНАЧЕНИЯ ХАРАКТЕРИСТИК ГРУНТОВ
Таблица Ж.1
Обозначение | Наименование характеристики грунта по настоящему стандарту | Международное наименование характеристики грунта |
| Плотность грунта | Soil density |
| Плотность сухого грунта | Dry soil density |
| Плотность частиц грунта | Solid particles density |
| Плотность воды | Water density |
e | Коэффициент пористости | Void ratio |
emax | Коэффициент пористости песка в предельно-рыхлом состоянии | Maximum index void ratio |
emin | Коэффициент пористости песка в предельно-плотном состоянии | Minimum index void ratio |
ID | Степень плотности | Density index |
w | Влажность | Water content |
Sr | Коэффициент водонасыщения | Degree of saturation |
wL | Граница текучести | Liquid limit |
wP | Граница раскатывания | Plastic limit |
Ip | Число пластичности | Plasticity index |
IL | Показатель текучести | Liquidity index |
d | Диаметр частиц | Particle diameter |
Cu | Степень неоднородности гранулометрического состава | Uniformity coefficient |
Kф | Коэффициент фильтрации | Coefficient of permeability |
T | Температура | Temperature |
E | Модуль деформации | Modulus of deformation |
Rc | Предел прочности на одноосное сжатие | Tensile strength in uniaxial compression |
RQD | Показатель качества скального грунта | Rock Quality Designation |
mvf | Коэффициент относительной сжимаемости мерзлого грунта | Coefficient of volume compressibility |
| Плотность льда | Ice density |
| Плотность мерзлого грунта | Frozen soil density |
Srf | Степень заполнения объема пор льдом и незамерзшей водой | Degree of soil pores filling with ice and unfrozen water |
wtot | Суммарная влажность мерзлого грунта | Total water content |
wic | Влажность мерзлого грунта за счет порового льда | Water content at the expense of ice-cement |
ww | Влажность мерзлого грунта за счет незамерзшей воды | Water content at the expense of not frozen water |
wm | Влажность мерзлого грунта, расположенного между ледяными включениями | Water content of frozen soil located between ice prolayers |
itot | Суммарная льдистость мерзлого грунта | Total volume content of ice |
ii | Льдистость за счет видимых включений льда | Volume content of ice at the expense of ice prolayers |
iic | Льдистость за счет льда-цемента | Volume content of ice at the expense of ice-cement |
Tbf | Температура начала замерзания | Ground freezing point |
| Степень морозной пучинистости | Frost heave rate |
Dsal | Степень засоленности грунта | Soil salinity degree |
| ИСО 14688-2:2004 | Геотехнические исследования и испытания - Идентификация и классификация грунтов - Часть 2: Принципы классификации и количественное выражение характеристик |
ISO 14688-2:2004 | Geotechnical investigation and testing - Identification and classification of soil - Part 2: Classification principles and quantification of descriptive characteristics |
| АСТМ Д 2487-2000 | Метод стандартных испытаний для классификации грунтов для инженерных целей |
ASTM D 2487-2000 | Standard Test Method for Classification of Soils for Engineering Purposes |
| ИСО/ТС 17892-12:2004 | Геотехнические исследования и испытания - Лабораторные испытания грунтов - Часть 12: Определение пределов Аттерберга |
ISO/TS 17892-12:2004 | Geotechnical investigation and testing - Laboratory testing of soil - Part 12: Determination of the Atterberg limits |
| АСТМ Д 4318-2000 | Метод стандартных испытаний для определения предела текучести, предела пластичности и индекса пластичности грунтов |
ASTM D 4318-00 | Standard Test Method for Liquid Limit, Plastic Limit, and Plasticity Index of Soil. |