Скачать ГОСТ Р 57903-2017 Системы фотоэлектрические. Автономные насосные системы для подачи воды. Определение выходных характеристик. Выбор и оценка

Дата актуализации: 01.01.2021

ГОСТ Р 57903-2017

Системы фотоэлектрические. Автономные насосные системы для подачи воды. Определение выходных характеристик. Выбор и оценка

Обозначение: ГОСТ Р 57903-2017
Обозначение англ: GOST R 57903-2017
Статус:введен впервые
Название рус.:Системы фотоэлектрические. Автономные насосные системы для подачи воды. Определение выходных характеристик. Выбор и оценка
Название англ.:Photovoltaic systems. Stand-alone pumping systems for water supply. Performance determination. Selection and verification
Дата добавления в базу:01.01.2019
Дата актуализации:01.01.2021
Дата введения:01.07.2018
Область применения:Стандарт распространяется на автономные фотоэлектрические насосные системы для подачи воды. Стандарт устанавливает методы определения выходных характеристик таких фотоэлектрических систем и требования к их выбору и оценке по техническим характеристикам. Стандарт не распространяется на фотоэлектрические насосные системы с аккумулированием электрической энергии, за исключением систем, в которых накопленная энергия используется только для запуска насоса (менее 100 Вт·ч). Требования, установленные в стандарте для выбора и оценки, распространяются как на предварительную оценку, сравнение и выбор систем заказчиком, в тендерах, заявках и т. п., так и на все этапы создания систем. Однако при проектировании, при выборе вариантов, проверке правильности расчетов и соответствия системы заданным или требуемым условиям на разных этапах создания систем может быть необходим более детальный учет возможных условий эксплуатации, особенностей работы систем и особенностей компонентов.
Оглавление:1 Область применения
2 Нормативные ссылки
3 Термины, определения и обозначения
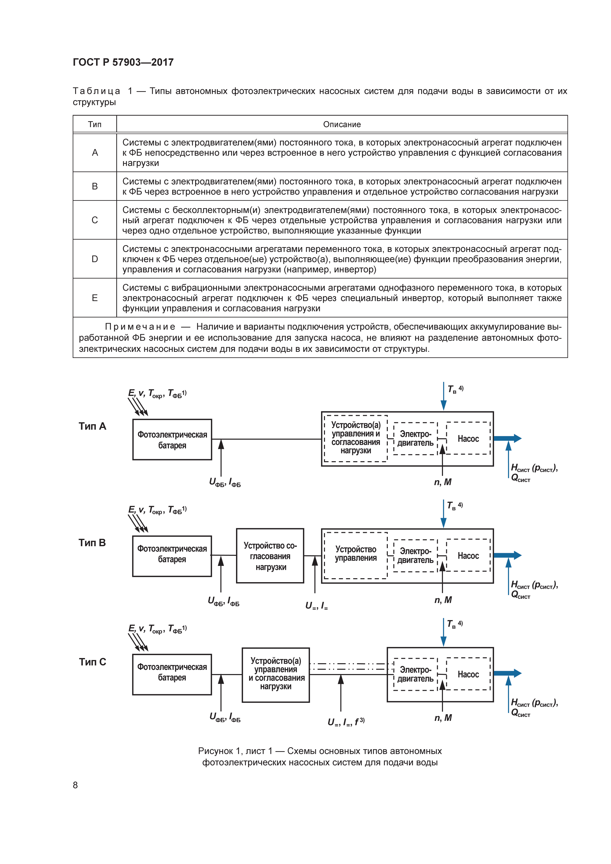
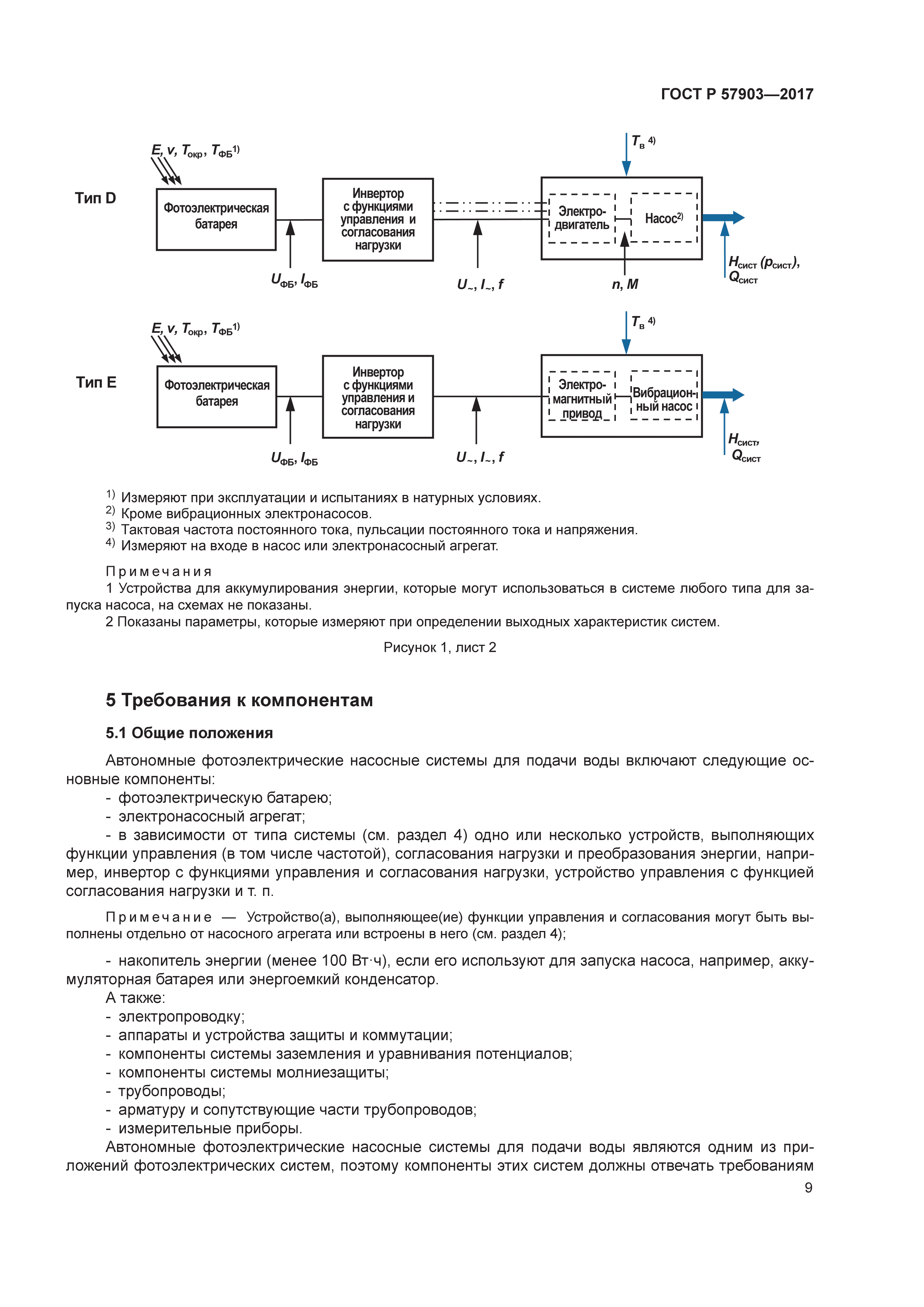
4 Типы автономных фотоэлектрических насосных систем для подачи воды
5 Требования к компонентам
   5.1 Общие положения
   5.2 Требования к отдельным компонентам
   5.3 Предупреждающие знаки и надписи
6 Требования к документации
   6.1 Общие положения
   6.2 Руководство по эксплуатации
   6.3 Технические характеристики системы
7 Методы определения выходных характеристик
   7.1 Общие положения
   7.2 Выбор образцов
   7.3 Условия испытаний
   7.4 Измеряемые параметры
   7.5 Испытательное оборудование
   7.6 Визуальный контроль
   7.7 Подготовка системы к испытаниям
   7.8 Определение зависимостей подачи от мощности фотоэлектрической батареи и энергетической освещенности при постоянных значениях напора/давления
   7.9 Определение зависимости КПД от подачи при постоянных значениях напора/давления
   7.10 Определение зависимости подачи от напора/давления при постоянном значении частоты
   7.11 Определение стартовой мощности
   7.12 Протокол испытаний
8 Выбор и оценка
   8.1 Общие положения
   8.2 Исходные данные
   8.3 Проверка комплектации и соответствия компонентов условиям эксплуатации и требованиям к компонентам
   8.4 Определение характеристик автономной фотоэлектрической насосной системы для подачи воды для заданных условий эксплуатации
   8.5 Проверка автономной фотоэлектрической насосной системы для подачи воды по суточному объему перекачиваемой воды
Приложение А (справочное) Пример формы представления информации о технических характеристиках компонентов
Приложение В (справочное) Примеры знаков
Приложение ДА (справочное) Сведения о соответствии ссылочных межгосударственных и национальных стандартов международным и европейскому стандартам, использованным в качестве ссылочных в примененном международном стандарте
Библиография
Разработан: ООО ВИЭСХ-ВОЗОБНОВЛЯЕМЫЕ ИСТОЧНИКИ ЗНЕРГИИ (ООО ВИЭСХ-ВИЭ )
Утверждён:03.11.2017 Федеральное агентство по техническому регулированию и метрологии (1646-ст)
Издан: Стандартинформ (2017 г. )
Нормативные ссылки:
ГОСТ Р 57903-2017ГОСТ Р 57903-2017ГОСТ Р 57903-2017ГОСТ Р 57903-2017ГОСТ Р 57903-2017ГОСТ Р 57903-2017ГОСТ Р 57903-2017ГОСТ Р 57903-2017ГОСТ Р 57903-2017ГОСТ Р 57903-2017ГОСТ Р 57903-2017ГОСТ Р 57903-2017ГОСТ Р 57903-2017ГОСТ Р 57903-2017ГОСТ Р 57903-2017ГОСТ Р 57903-2017ГОСТ Р 57903-2017ГОСТ Р 57903-2017ГОСТ Р 57903-2017ГОСТ Р 57903-2017ГОСТ Р 57903-2017ГОСТ Р 57903-2017ГОСТ Р 57903-2017ГОСТ Р 57903-2017ГОСТ Р 57903-2017ГОСТ Р 57903-2017ГОСТ Р 57903-2017ГОСТ Р 57903-2017ГОСТ Р 57903-2017ГОСТ Р 57903-2017ГОСТ Р 57903-2017ГОСТ Р 57903-2017ГОСТ Р 57903-2017ГОСТ Р 57903-2017ГОСТ Р 57903-2017ГОСТ Р 57903-2017ГОСТ Р 57903-2017ГОСТ Р 57903-2017ГОСТ Р 57903-2017ГОСТ Р 57903-2017ГОСТ Р 57903-2017ГОСТ Р 57903-2017ГОСТ Р 57903-2017ГОСТ Р 57903-2017ГОСТ Р 57903-2017ГОСТ Р 57903-2017ГОСТ Р 57903-2017ГОСТ Р 57903-2017ГОСТ Р 57903-2017ГОСТ Р 57903-2017ГОСТ Р 57903-2017ГОСТ Р 57903-2017ГОСТ Р 57903-2017ГОСТ Р 57903-2017ГОСТ Р 57903-2017ГОСТ Р 57903-2017ГОСТ Р 57903-2017