Скачать ГОСТ Р 56980-2016 Модули фотоэлектрические из кристаллического кремния наземные. Методы испытанийДата актуализации: 01.01.2021
|
| Обозначение: | ГОСТ Р 56980-2016 |
| Обозначение англ: | GOST R 56980-2016 |
| Статус: | введен впервые |
| Название рус.: | Модули фотоэлектрические из кристаллического кремния наземные. Методы испытаний |
| Название англ.: | Crystalline silicon terrestrial photovoltaic modules. Test methods |
| Дата добавления в базу: | 01.02.2017 |
| Дата актуализации: | 01.01.2021 |
| Дата введения: | 01.03.2017 |
| Дата окончания срока действия: | 01.01.2021 |
| Область применения: | Стандарт распространяется на фотоэлектрические модули из кристаллического кремния и устанавливает методы испытаний наземных фотоэлектрических модулей, предназначенных для длительной работы на открытом воздухе в обычных климатических зонах в соответствии с МЭК 60721-2-1 [1]. Стандарт не распространяется на модули, используемые с концентраторами солнечного излучения, для тонкопленочных модулей применяется ГОСТ Р МЭК 61646. Методы и порядок проведения испытаний, устанавливаемые в настоящем стандарте, предназначены для проверки соответствия фотоэлектрического модуля установленным стандартным требованиям к конструкции и функционированию наземных фотоэлектрических модулей из кристаллического кремния. Соответствие фотоэлектрического модуля требованиям безопасности, установленным в ГОСТ Р МЭК 61730-1, проверяются по ГОСТ Р МЭК 61730-2. Стандарт устанавливает минимально необходимый набор испытаний для определения электрических и тепловых параметров фотоэлектрического модуля и оценки, насколько это возможно при разумных ограничениях по времени и стоимости, способности модуля к длительному функционированию в условиях воздействия внешних климатических факторов, указанных в настоящем стандарте. Фактический срок службы модулей зависит от их конструкции и реальных условий эксплуатации. Программа испытаний, устанавливаемая в стандарте, предназначена для проведения типовых, квалификационных, сертификационных и иных испытаний с аналогичными задачами. В зависимости от предполагаемых условий эксплуатации и особенностей конструкции модуля программа испытаний, устанавливаемая в стандарте, может быть расширена. Например, если модули могут быть установлены в агрессивных условиях внешней среды, таких как воздействие аммиака или солевого тумана, они должны быть испытаны по ГОСТ Р 56979 (МЭК 62716:2013) или ГОСТ Р МЭК 61701 соответственно. |
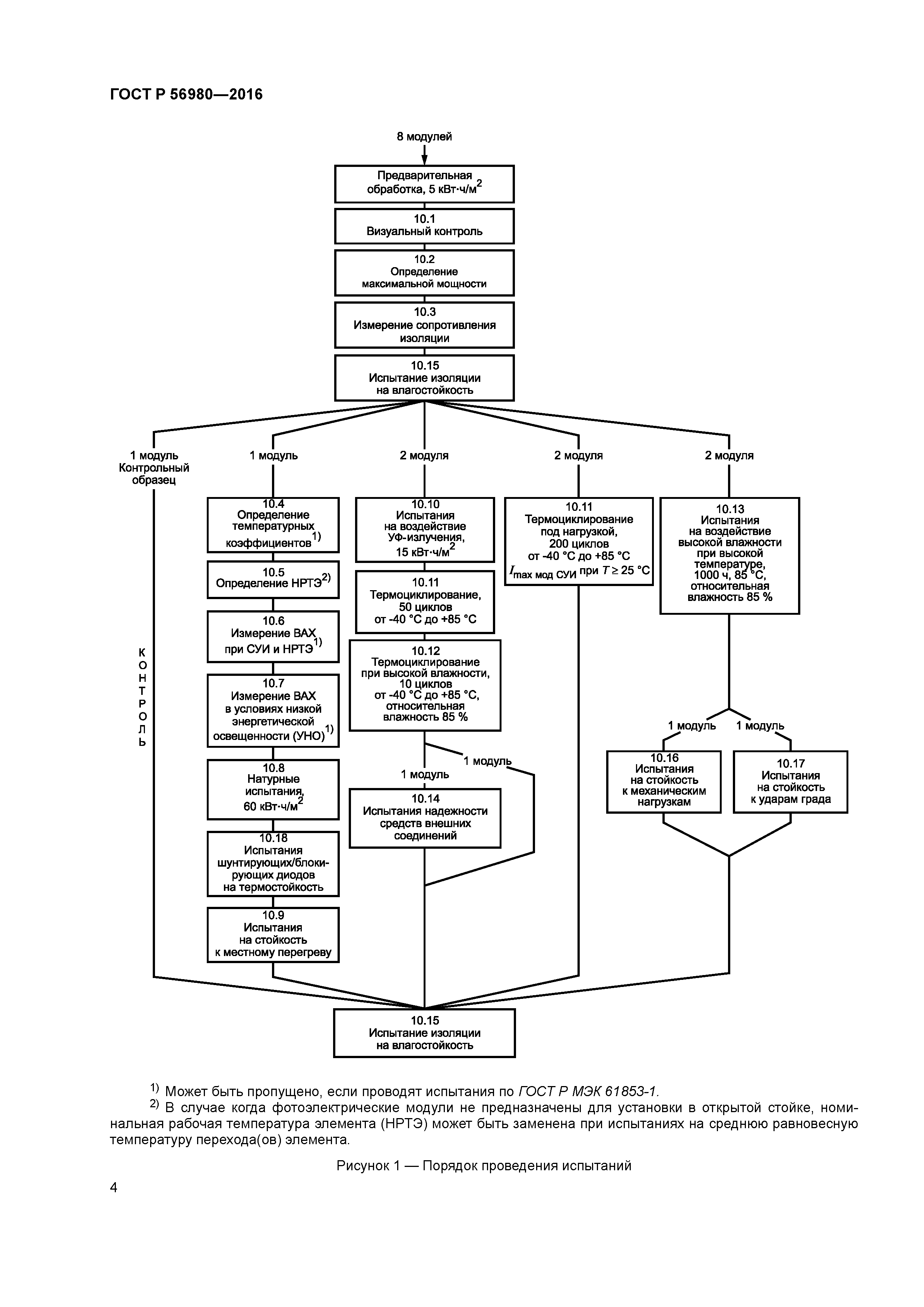
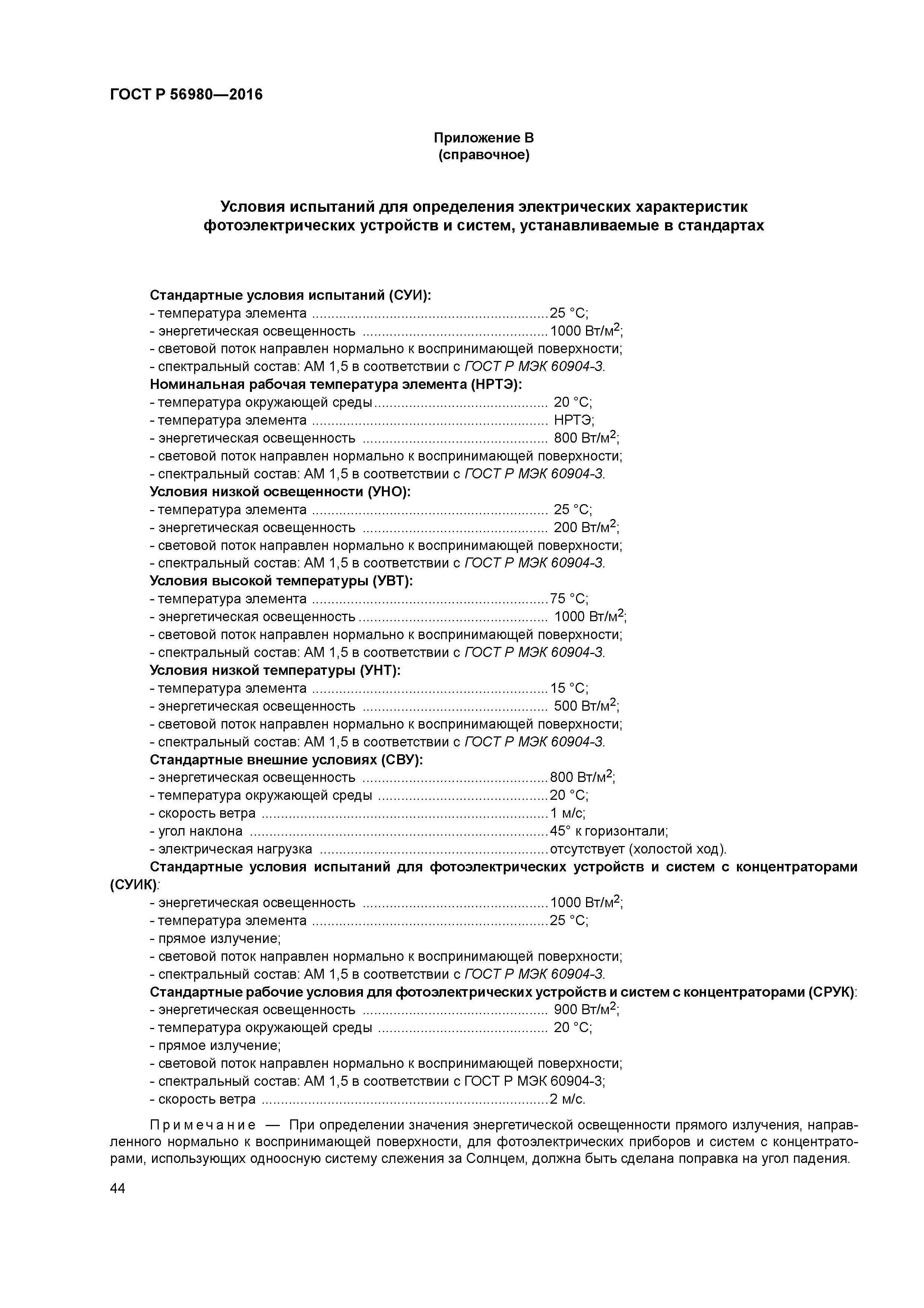
| Оглавление: | 1 Область применения 2 Нормативные ссылки 3 Выбор образцов 4 Маркировка 5 Порядок проведения испытаний 6 Оценка результатов испытаний 7 Видимые функциональные повреждения 8 Модификации 9 Предварительная обработка 10 Проведение испытаний 10.1 Визуальный контроль 10.2 Определение максимальной мощности 10.3 Измерение сопротивления изоляции 10.4 Определение температурных коэффициентов 10.5 Определение номинальной рабочей температуры элемента (НРТЭ) 10.6 Измерение вольт-амперных характеристик при СУИ и НРТЭ 10.7 Измерение вольт-амперных характеристик в условиях низкой энергетической освещенности (УНО) 10.8 Натурные испытания 10.9 Испытания на стойкость к местному перегреву 10.10 Испытания на воздействие ультрафиолетового излучения 10.11 Термоциклирование 10.12 Термоциклирование при высокой влажности 10.13 Испытания на воздействие высокой влажности при высокой температуре 10.14 Испытания надежности средств внешних соединений 10.15 Испытание изоляции на влагостойкость 10.16 Испытания на стойкость к механическим нагрузкам 10.17 Испытания на стойкость к ударам града 10.18 Испытания шунтирующих/блокирующих диодов на термостойкость 11 Протокол испытаний Приложение А (справочное) Классификация фотоэлектрических систем по максимальному значению рабочего напряжения и классы применения фотоэлектрических модулей Приложение В (справочное) Условия испытаний для определения электрических характеристик фотоэлектрических устройств и систем, устанавливаемые в стандартах Приложение ДА (справочное) Сведения о соответствии ссылочных национальных и межгосударственного стандартов международным стандартам, использованным в качестве ссылочных в примененном международном стандарте Библиография |
| Разработан: | ГНУ ВИЭСХ |
| Утверждён: | 27.06.2016 Федеральное агентство по техническому регулированию и метрологии (697-ст) |
| Издан: | Стандартинформ (2016 г. ) |
| Нормативные ссылки: |
|



















































