Скачать ГОСТ Р 56979-2016 Модули фотоэлектрические. Испытания на стойкость к воздействию аммиакаДата актуализации: 01.01.2021
|
| Обозначение: | ГОСТ Р 56979-2016 |
| Обозначение англ: | GOST R 56979-2016 |
| Статус: | введен впервые |
| Название рус.: | Модули фотоэлектрические. Испытания на стойкость к воздействию аммиака |
| Название англ.: | Photovoltaic modules. Ammonia corrosion testing |
| Дата добавления в базу: | 01.02.2017 |
| Дата актуализации: | 01.01.2021 |
| Дата введения: | 01.03.2017 |
| Область применения: | Стандарт распространяется на плоские фотоэлектрические модули и устанавливает процедуры испытаний для определения стойкости указанных модулей к воздействию аммиака (NH3). Стандарт распространяется также на фотоэлектрические модули криволинейной конструкции, если криволинейность конструкции определяется формой внешней конструкции (устройства), в которую встраивается модуль (частью которой является модуль) или функцией, которую модуль выполняет помимо преобразования солнечной энергии, например козырек здания. |
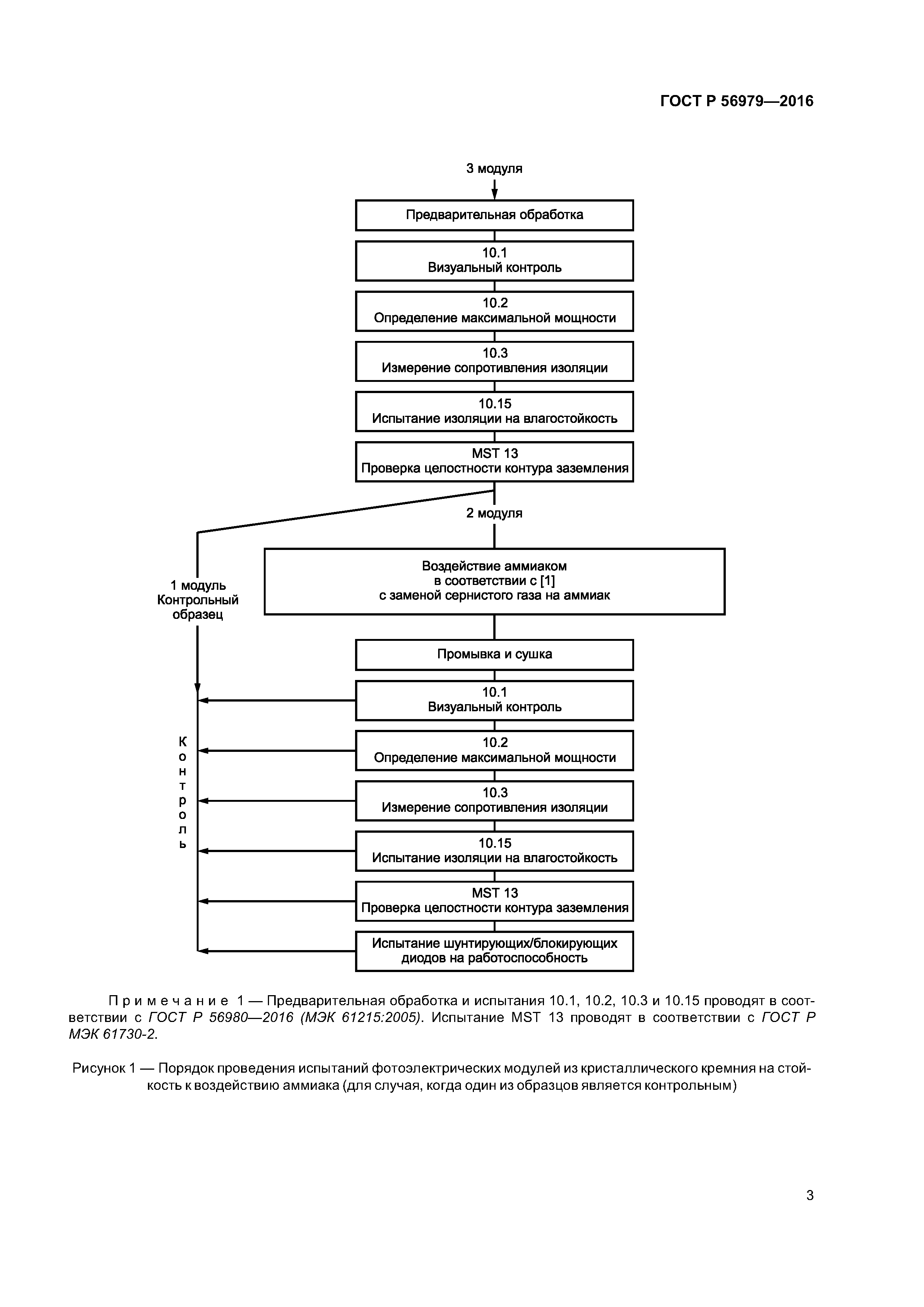
| Оглавление: | 1 Область применения 2 Нормативные ссылки 3 Выбор образцов 4 Порядок проведения испытаний 5 Предварительная обработка 6 Определение исходных характеристик 6.1 Модули из кристаллического кремния 6.2 Тонкопленочные модули 7 Воздействие аммиаком 7.1 Испытательное оборудование и материалы 7.2 Проведение испытания 8 Чистка и возобновление испытаний 9 Определение характеристик после воздействия аммиака 9.1 Модули из кристаллического кремния 9.2 Тонкопленочные модули 9.3 Испытание шунтирующих/блокирующих диодов на работоспособность 10 Оценка результатов испытаний 10.1 Общие положения 10.2 Модули из кристаллического кремния 10.3 Тонкопленочные модули 11 Протокол испытаний Приложение ДА (справочное) Сведения о соответствии ссылочных национальных и межгосударственного стандартов международным стандартам, использованным в качестве ссылочных в примененном международном стандарте Библиография |
| Разработан: | ГНУ ВИЭСХ |
| Утверждён: | 27.06.2016 Федеральное агентство по техническому регулированию и метрологии (696-ст) |
| Издан: | Стандартинформ (2016 г. ) |
| Нормативные ссылки: |
|














