Скачать ГОСТ Р МЭК 62124-2013 Системы фотоэлектрические автономные. Проверка работоспособностиДата актуализации: 01.01.2021
|
| Обозначение: | ГОСТ Р МЭК 62124-2013 |
| Обозначение англ: | GOST R IEC 62124-2013 |
| Статус: | введен впервые |
| Название рус.: | Системы фотоэлектрические автономные. Проверка работоспособности |
| Название англ.: | Photovoltaic stand-alone systems. Operability verification |
| Дата добавления в базу: | 01.10.2014 |
| Дата актуализации: | 01.01.2021 |
| Дата введения: | 01.01.2015 |
| Область применения: | Стандарт распространяется на фотоэлектрические автономные системы и устанавливает требования к комплектации и компонентам, методы и порядок испытаний, применяемые к автономным фотоэлектрическим системам. Стандарт относится к системам, состоящим из одного или более фотоэлектрических модулей, несущей конструкции, аккумуляторной(ых) батареи(й), зарядного устройства и типовых нагрузок постоянного тока таких, как светильники, радиоприемники, телевизоры и холодильники. Нагрузки переменного тока с принадлежащими им преобразователями рассматриваются в качестве нагрузок постоянного тока. С точки зрения проверки работоспособности автономной фотоэлектрической системы и ее аттестации заданные изготовителем нагрузки являются составной частью системы. |
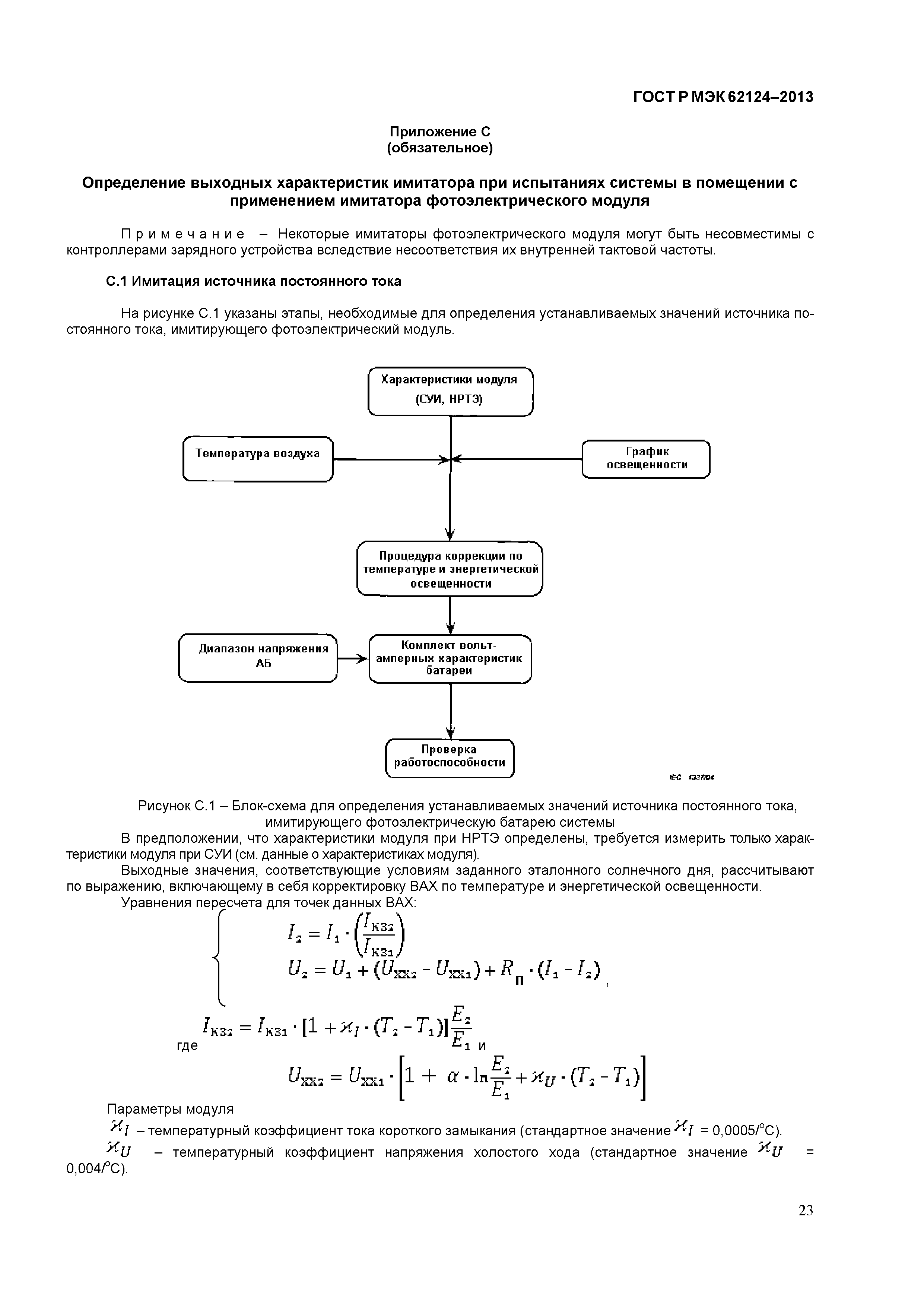
| Оглавление: | 1 Область применения 2 Нормативные ссылки 3 Сокращения 4 Методика испытаний 5 Выбор образцов 6 Маркировка 7 Комплектация 8 Требования к компонентам 9 Руководство по эксплуатации 10 Техническое руководство 11 Основные неисправности 12 Нагрузка 13 Общая последовательность испытаний на работоспособность 14 Испытания в натурных условиях 15 Испытания в помещении с использованием имитатора солнечного излучения 16 Испытания в помещении с использованием имитатора фотоэлектрического модуля 17 Условия успешных испытаний 18 Определение точки энергетического баланса системы 19 Изменения 20 Протокол испытаний Приложение А (обязательное) Классификация прихода солнечной радиации и систем Приложение В (обязательное) Испытательное оборудование Приложение С (обязательное) Определение выходных характеристик имитатора при испытаниях системы в помещении с применением имитатора фотоэлектрического модуля Приложение ДА (справочное) Сведения о соответствии ссылочных международных стандартов ссылочным национальным стандартам Российской Федерации и действующему в этом качестве межгосударственному стандарту Библиография |
| Разработан: | ГНУ ВИЭСХ |
| Утверждён: | 09.12.2013 Федеральное агентство по техническому регулированию и метрологии (2207-ст) |
| Издан: | Стандартинформ (2014 г. ) |
| Нормативные ссылки: |
|
































