Главная // Актуальные документы // Протокол (форма)СПРАВКА
Источник публикации
Документ опубликован не был
Примечание к документу
Название документа
"Технические требования "Сбор ливневых стоков унифицированными системами водоотводных элементов, локальными инженерными сооружениями для очистки, перекачки и отвода поверхностных и сточных вод с доведением их до нормативных показателей на объектах железнодорожного транспорта"
(утв. Распоряжением ОАО "РЖД" от 13.07.2017 N 1360р)
"Технические требования "Сбор ливневых стоков унифицированными системами водоотводных элементов, локальными инженерными сооружениями для очистки, перекачки и отвода поверхностных и сточных вод с доведением их до нормативных показателей на объектах железнодорожного транспорта"
(утв. Распоряжением ОАО "РЖД" от 13.07.2017 N 1360р)
от 13 июля 2017 г. N 1360р
ТЕХНИЧЕСКИЕ ТРЕБОВАНИЯ
"СБОР ЛИВНЕВЫХ СТОКОВ УНИФИЦИРОВАННЫМИ СИСТЕМАМИ
ВОДООТВОДНЫХ ЭЛЕМЕНТОВ, ЛОКАЛЬНЫМИ ИНЖЕНЕРНЫМИ СООРУЖЕНИЯМИ
ДЛЯ ОЧИСТКИ, ПЕРЕКАЧКИ И ОТВОДА ПОВЕРХНОСТНЫХ И СТОЧНЫХ ВОД
С ДОВЕДЕНИЕМ ИХ ДО НОРМАТИВНЫХ ПОКАЗАТЕЛЕЙ НА ОБЪЕКТАХ
ЖЕЛЕЗНОДОРОЖНОГО ТРАНСПОРТА"
Настоящие технические требования предназначены для применения подразделениями аппарата управления ОАО "РЖД", филиалами и иными структурными подразделениями ОАО "РЖД", а также при проектировании нового строительства, реконструкции и капитального ремонта объектов железнодорожного транспорта.
При сооружении железнодорожного полотна либо его реконструкции необходимо предусматривать комплекс мероприятий по охране окружающей воздушной, водной и наземной среды и обеспечению минимального изменения водно-теплового режима почв и горных пород, гравитационного и биохимического равновесия.
При проектировании железных дорог всех категорий и подъездных путей должны быть разработаны технические решения и мероприятия по предупреждению и защите от опасных геологических и техногенных процессов, обеспечению защиты от их проявлений в ходе строительства и ликвидации последствий их воздействий на окружающую среду как до сдачи линии, так и процессе в эксплуатации. Эти мероприятия должны включать программу мониторинга с регламентацией натурных наблюдений на специально установленном оборудовании и контрольно-измерительной аппаратуре, за объектами, проектируемыми в сложных инженерно-геологических условиях на грунтах, свойства которых могут меняться во времени (в частности, на вечномерзлых сильнольдистых грунтах), с прогнозированием изменений уровня надежности, эксплуатационной и экологической безопасности.
В проектах на строительство и реконструкцию железнодорожных линий всех категорий и подъездных путей в разделе охраны окружающей среды должны предусматриваться мероприятия по исключению загрязнений прилегающих территорий, загрязнения почвы, водоемов и воздушного бассейна, с расчетами обеспечения допускаемых уровней содержания вредных веществ после проведения этих мероприятий.
Условия эксплуатации железнодорожных станций всех категорий, перегонов, разъездов должны удовлетворять требованиям законодательства, стандартов (нормам, правил) требований по охране недр и окружающей среды.
Инженерная система водоотвода с территории объектов железнодорожного транспорта должна включать в себя комплексные мероприятия по сбору воды как с верхнего строения пути, так и с земляного полотна, отвода на сооружения для очистки ливневых сточных вод и доведения стоков до предельно допустимых концентраций (уровней), установленных санитарными правилами и дальнейшего сброса очищенной воды в водные объекты, в централизованные ливневые системы водоотведения.
В данном документе рассмотрено устройство локальных инженерных систем (по сбору ливневых стоков и очистки их до нормативного ПДК) длиной один километр применительно к перегонам, разъездам, станциям всех классов.
В настоящих технических требованиях использованы нормы, требования и рекомендации, приведенные в следующих законодательных, нормативно-правовых и локальных нормативных актах.
Федеральный
закон "О железнодорожном транспорте в Российской Федерации" от 10 января 2003 г. N 17-ФЗ;
СНиП 32-01-95 Железные дороги колеи 1520 мм. Приняты и введены в действие постановлением Минстроя России от 18 октября 1995 г. N 18-94;
Федеральный
закон РФ "Об охране окружающей среды" от 10 января 2002 г. N 7-ФЗ;
| | ИС МЕГАНОРМ: примечание. В официальном тексте документа, видимо, допущена опечатка: Федеральный закон N 416-ФЗ "О водоснабжении и водоотведении" имеет дату 07.12.2011, а не 17.12.2011. | |
Федеральный
закон РФ "О водоснабжении и водоотведении" от 17 декабря 2011 г. N 416-ФЗ;
Федеральный
закон РФ "О внесении изменений в Федеральный закон "Об отходах производства и потребления", отдельные законодательные акты Российской Федерации и признании утратившими силу отдельных законодательных актов (положений законодательных актов) Российской Федерации" от 29 декабря 2014 г. N 458-ФЗ;
Постановление Правительства Российской Федерации от 28 июня 2008 г. N 484 "О порядке разработки и утверждения нормативов качества воды водных объектов рыбохозяйственного значения, в том числе нормативов предельно допустимых концентраций вредных веществ в водах водных объектов рыбохозяйственного значения";
Постановление Правительства Российской Федерации "Об утверждении Правил перевозок грузов автомобильным транспортом" от 15 апреля 2011 г. N 272;
СП 131.13330.2012 Строительная климатология. Актуализированная редакция СНиП 23-01-99;
СП 32.13330.2012 "Канализация. Наружные сети и сооружения" (актуализированная редакция СНиП 2.04.03-85);
СП 131.13330.2012 Строительная климатология (актуализированная редакция СНиП 23-01-99* Строительная климатология);
СанПиН 2.2.1/2.1.1.1200-03 (новая редакция). Санитарно-защитные зоны и санитарная классификация предприятий, сооружений и иных объектов. Утв. постановлением государственного санитарного врача РФ от 25.09.2007 N 74;
СП 28.13330.2012 Защита строительных конструкций от коррозии. Актуализированная редакция СНиП 2.03.11-85;
СанПиН 2.1.5.980-00. Водоотведение населенных мест, санитарная охрана водных объектов. Гигиенические требования к охране поверхностных вод;
ГОСТ 4.118-84 СПКП Оборудование насосное. Номенклатура основных показателей;
| | ИС МЕГАНОРМ: примечание. ГОСТ 4670-91 утратил силу с 1 января 2017 года в связи с введением в действие ГОСТ 4670-2015 (Приказ Росстандарта от 20.11.2015 N 1916-ст). | |
ГОСТ 4670-91 Пластмассы. Определение твердости;
ГОСТ 9.032-74 ЕСЗКС Покрытия лакокрасочные. Группы, технические требования и обозначения;
ГОСТ 9.104-79 ЕСЗКС Покрытия лакокрасочные. Группы условий эксплуатации;
ГОСТ 9.302-88 Единая система защиты от коррозии и старения. Покрытия металлические и неметаллические неорганические. Методы контроля;
ГОСТ 9.303-84 ЕСЗКС Покрытия металлические и неметаллические неорганические. Общие требования к выбору;
| | ИС МЕГАНОРМ: примечание. В официальном тексте документа, видимо, допущена опечатка: ГОСТ 9.402-2004 имеет название "Единая система защиты от коррозии и старения. Покрытия лакокрасочные. Подготовка металлических поверхностей к окрашиванию". | |
ГОСТ 9.402-2004 ЕСКЗС Покрытия лакокрасочные. Подготовка поверхностей перед окраской;
ГОСТ 12.1.005-88 ССБТ Общие санитарно-гигиенические требования к воздуху рабочей зоны;
ГОСТ 12.1.007-76 ССБТ Вредные вещества. Классификация и общие требования безопасности;
ГОСТ 12.1.018-93 ССБТ Пожаровзрывобезопасность статического электричества. Общие требования;
| | ИС МЕГАНОРМ: примечание. В официальном тексте документа, видимо, допущена опечатка: имеется в виду ГОСТ Р 12.1.019-2009, а не ГОСТ 12.1.019-2009. | |
ГОСТ 12.1.019-2009 ССБТ Электробезопасность. Общие требования и номенклатура видов защиты;
ГОСТ 12.1.038-82 ССБТ Электробезопасность. Предельно допустимые значения напряжений прикосновения и токов;
ГОСТ 12.1.044-89 ССБТ Пожаровзрывобезопасность вещества и материалов. Номенклатура показателей и методы их определения;
ГОСТ 12.2.003-91 ССБТ Оборудование производственное. Общие требования безопасности;
ГОСТ 12.2.032-78 ССБТ Рабочее место при выполнении работ сидя. Общие эргономические требования;
ГОСТ 12.2.033-78 ССБТ Рабочее место при выполнении работ стоя. Общие эргономические требования;
ГОСТ 12.2.049-80 ССБТ Оборудование производственное. Общие эргономические требования;
ГОСТ 12.2.085-2002 Сосуды, работающие под давлением. Клапаны предохранительные. Требования безопасности;
ГОСТ 12.2.003-91 ССБТ Оборудование производственное. Общие требования безопасности;
ГОСТ 12.3.009-76 ССБТ Работы погрузочно-разгрузочные. Общие требования безопасности;
ГОСТ 12.3.019-80 ССБТ Испытания и измерения электрические. Общие требования безопасности;
ГОСТ 12.4.009-83 ССБТ Пожарная техника для защиты объектов. Основные виды. Размещение и обслуживание;
ГОСТ 12.4.011-89 ССБТ Средства защиты работающих. Общие требования и классификация;
| | ИС МЕГАНОРМ: примечание. Взамен ГОСТ 12.4.026-76 Постановлением Госстандарта России от 19.09.2001 N 387-ст с 1 января 2003 года на территории Российской Федерации введен в действие ГОСТ Р 12.4.026-2001. | |
ГОСТ 12.4.026-76 ССБТ Цвета сигнальные и знаки безопасности;
ГОСТ 15.005-86 Система разработки и постановки продукции на производство. Создание изделий единичного и мелкосерийного производства, собираемых на месте эксплуатации;
ГОСТ Р 27.403-2009 Надежность в технике. Планы испытаний для контроля вероятности безотказной работы;
| | ИС МЕГАНОРМ: примечание. В официальном тексте документа, видимо, допущена опечатка: ГОСТ Р ИСО 3744-2013 имеет название "Акустика. Определение уровней звуковой мощности и звуковой энергии источников шума по звуковому давлению. Технический метод в существенно свободном звуковом поле над звукоотражающей плоскостью". | |
ГОСТ Р ИСО 3744-2013 Шум машин. Определение уровней звуковой мощности источников шума по звуковому давлению. Технический метод в существенно свободном звуковом поле над звукоотражающей плоскостью. Пересмотр ГОСТ Р
(ГОСТ Р 51401-99). Прямое применение МС - IDT (ISO 3744:2010);
| | ИС МЕГАНОРМ: примечание. В официальном тексте документа, видимо, допущена опечатка: ГОСТ Р ИСО 3746-2013 имеет название "Акустика. Определение уровней звуковой мощности и звуковой энергии источников шума по звуковому давлению. Ориентировочный метод с использованием измерительной поверхности над звукоотражающей плоскостью". | |
ГОСТ Р ИСО 3746-2013 Шум машин. Определение уровней звуковой мощности источников шума по звуковому давлению. Ориентировочный метод с использованием измерительной поверхности над звукоотражающей плоскостью. Пересмотр ГОСТ Р
(ГОСТ Р 51402-99). Прямое применение МС - IDT (ISO 3746:2010);
ГОСТ 9378-93 Образцы шероховатости поверхности (сравнения). Общие технические условия;
ГОСТ 14254-96 Степени защиты, обеспечиваемые оболочками (код IP);
ГОСТ 15150-69 Машины, приборы и др. технические изделия. Исполнения для различных климатических районов. Категории, условия эксплуатации, хранения и транспортирования в части воздействия климатических факторов;
ГОСТ 15543.1-89 Изделия электротехнические. Общие требования в части стойкости к климатическим внешним воздействующим факторам;
ГОСТ 15846-79 Продукция, отправляемая в районы Крайнего Севера и труднодоступные районы. Упаковка, маркировка, транспортирование и хранение;
ГОСТ 17.1.1.01-77 Охрана природы. Гидросфера. Использование и охрана вод. Основные термины и определения;
| | ИС МЕГАНОРМ: примечание. В официальном тексте документа, видимо, допущена опечатка: имеется в виду ГОСТ 17.1.1.02-77, а не ГОСТ 17.1.13.13-86. | |
ГОСТ 17168-82 Фильтры электронные октавные и третьоктавные. Общие технические требования и методы испытаний;
ГОСТ 17335-79 Насосы объемные. Правила приемки и методы испытаний;
ГОСТ 17516.1-90 Изделия электротехнические. Общие требования в части стойкости к механическим внешним воздействующим факторам;
ГОСТ 18321-73 Статистический контроль качества. Методы случайного отбора выборок штучной продукции;
ГОСТ 18465-73 Калибры для метрической резьбы от 1 до 68 мм. Исполнительные размеры;
ГОСТ 20791-88 Электронасосы центробежные герметические. Общие технические требования;
ГОСТ 22247-96 Насосы центробежные консольные для воды. Основные параметры и размеры. Требования безопасности. Методы контроля;
ГОСТ 22976-78 Гидроприводы, пневмоприводы и смазочные системы. Правила приемки;
ГОСТ 23170-78 Упаковка для изделий машиностроения. Общие требования;
ГОСТ 24054-80 Изделия машиностроения и приборостроения. Методы испытаний на герметичность. Общие требования;
ГОСТ 25298-82 Установки компактные для очистки бытовых сточных вод. Типы, основные параметры и размеры;
ГОСТ 26433.0-85 Система обеспечения точности геометрических параметров в строительстве. Правила выполнения измерений. Общие положения;
ГОСТ 27854-88 Насосы динамические. Ряды основных параметров;
ГОСТ 29015-91 Гидроприводы объемные. Общие методы испытаний;
ГОСТ 30244-94 Материалы строительные. Методы испытаний на горючесть;
ГОСТ 30852.13-2002 Электрооборудование взрывозащищенное. Часть 14. Электроустановки во взрывоопасных зонах (кроме подземных выработок);
ГОСТ Р 51871-2002 Устройства водоочистные. Общие требования к эффективности и методы ее определения;
ГОСТ Р 52776-2007 Машины электрические вращающиеся. Номинальные данные и характеристики;
| | ИС МЕГАНОРМ: примечание. ГОСТ Р МЭК 60204-1-99 утратил силу с 1 июля 2008 года в связи с введением в действие ГОСТ Р МЭК 60204-1-2007 (Приказ Ростехрегулирования от 27.12.2007 N 499-ст). | |
ГОСТ Р МЭК 60204-1-99 Безопасность машин. Электрооборудование машин и механизмов. Общие требования;
ГОСТ 30244-94: Материалы строительные. Методы испытаний на горючесть;
Рекомендации по расчету систем сбора, отведения и очистки поверхностного стока с селитебных территорий, площадок предприятий и определению условий выпуска его в водные объекты. Дополнения к СП 32.13330.2012 Канализация. Наружные сети и сооружения Актуализированная редакция СНиП 2.04.03-85 Москва 2014;
Водный
кодекс Российской Федерации от 3 июня 2006 г. N 74-ФЗ;
Правила пользования системами коммунального водоснабжения и канализации в Российской Федерации. Утв. постановлением правительства РФ от 12 февраля 1999 г. N 167;
Перечень рыбохозяйственных нормативов: предельно допустимые концентрации (ПДК) и ориентировочно безопасные уровни воздействия (ОБУВ) вредных веществ для воды водных объектов, имеющих рыбохозяйственное назначение;
Приказ N 695 ФА Росрыболовство от 04.08.2009 Методические
указания по разработке нормативов качества воды водных объектов рыбохозяйственного значения, в том числе нормативов предельно допустимых концентраций вредных веществ в водах водных объектов рыбохозяйственного значения;
ГН 2.1.5.1315-03. Предельно допустимые концентрации (ПДК) химических веществ в воде водных объектов хозяйственно-питьевого и культурно-бытового водопользования. Гигиенические нормативы. Утв. и введены в действие Постановлением Главного государственного санитарного врача РФ от 30 апреля 2003 г. N 78;
| | ИС МЕГАНОРМ: примечание. В официальном тексте документа, видимо, допущена опечатка: Постановление Главного государственного санитарного врача РФ от 30.04.2003 "О введении в действие ГН 2.1.5.1316-03" имеет номер 74, а не 79. | |
ГН 2.1.5.1316-03. Ориентировочно допустимые уровни (ОДУ) химических веществ в воде водных объектов хозяйственно-питьевого и культурно-бытового водопользования. Гигиенические нормативы. Утв. и введены в действие постановлением Главного государственного санитарного врача РФ от 30 апреля 2003 г. N 79;
"О порядке утверждения нормативов допустимых сбросов веществ и микроорганизмов в водные объекты для водопользователей".
Постановление Правительства РФ от 23 июля 2007 г. N 469;
"О порядке утверждения нормативов допустимого воздействия на водные объекты".
Постановление Правительства РФ от 30 декабря 2006 г. N 881;
Методические
указания по разработке нормативов допустимого воздействия на водные объекты. Утв. приказом МПР России от 12 декабря 2007 г. N 328;
Методика разработки нормативов допустимых сбросов веществ и микроорганизмов в водные объекты для водопользователей. Утв. приказом МПР России от 17 декабря 2007 г. N 333;
РД 52.08.730-2010. Производство наблюдений над интенсивностью снеготаяния и водоотдачей из снежного покрова. ГУ "ГГИ" Росгидромета, Санкт-Петербург, 2010;
Альбом водоотводных устройств на железных и автомобильных дорогах общей сети Союза ССР, Мосгипротранс, инв. N 819, 1971 г.;
Альбом водоотводных устройств на станциях, Мосгипротранс, инв. N 984, 1975 г.;
Дренажные сооружения железнодорожного земляного полотна, М.: Транспорт, 1976 г. (МПС Главное управление пути);
Методика лабораторных испытаний лотков водоотводных из полимерных материалов, утвержденной Департаментом пути и сооружений ОАО "РЖД" 15 октября 2007 г.;
Примечание - При пользовании настоящим сводом правил целесообразно проверить действие ссылочных стандартов и классификаторов в информационной системе общего пользования - на официальном сайте национального органа Российской Федерации по стандартизации в сети Интернет или по ежегодно издаваемому указателю "Национальные стандарты", который опубликован по состоянию на 1 января текущего года, и по соответствующим ежемесячно издаваемым информационным указателям, опубликованным в текущем году. Если ссылочный документ заменен (изменен), то при пользовании настоящим сводом правил следует руководствоваться замененным (измененным) документом. Если ссылочный документ отменен без замены, то положение, в котором дана ссылка на него, применяется в части, не затрагивающей эту ссылку.
III. Термины и определения
Железнодорожный транспорт общего пользования: производственно-технологический комплекс, включающий в себя инфраструктуры железнодорожного транспорта, железнодорожный подвижной состав, другое имущество и предназначенный для обеспечения потребностей физических лиц, юридических лиц и государства в перевозках железнодорожным транспортом на условиях публичного договора, а также в выполнении иных работ (услуг), связанных с такими перевозками;
Инфраструктура железнодорожного транспорта общего пользования (далее - инфраструктура) - технологический комплекс, включающий в себя железнодорожные пути общего пользования и другие сооружения, железнодорожные станции, устройства электроснабжения, сети связи, системы сигнализации, централизации и блокировки, информационные комплексы и систему управления движением и иные обеспечивающие функционирование этого комплекса здания, строения, сооружения, устройства и оборудование
Верхнее строение пути: Часть конструкции железнодорожного пути, воспринимающая нагрузку от колес железнодорожного подвижного состава и передающая их на земляное полотно и включающая в себя: рельсы, промежуточные рельсовые скрепления, стыковые рельсовые скрепления, подрельсовое основание (шпалы или сплошное железобетонное основание), противоугонные устройства, балластный слой и стрелочные переводы.
Балластный слой: Дренирующий сыпучий материал, укладываемый на основную площадку земляного полотна и предназначенный для: обеспечения устойчивости рельсошпальной решетки в пространстве под действием сил, действующих на нее, с минимальным накоплением остаточных деформаций, для передачи давления от подрельсового основания на основную площадку земляного полотна и упругой переработки ударов колес железнодорожного подвижного состава.
Железнодорожный путь: Подсистема инфраструктуры железнодорожного транспорта, включающая в себя верхнее строение пути, земляное полотно, водоотводные, водопропускные, противодеформационные, защитные и укрепительные сооружения земляного полотна, расположенные в полосе отвода, а также искусственные сооружения.
Модернизация железной дороги: Обновление железной дороги как системы, включая объекты инфраструктуры, в том числе с расширением (развитием) функций основной деятельности и увеличением категорийности.
Обочина земляного полотна: Часть основной площадки, располагающаяся между подошвой откоса балластной призмы и бровкой земляного полотна.
Основная площадка земляного полотна: Верх земляного полотна, включающий в себя границу раздела балластного слоя нормируемой толщины и грунтов земляного полотна, а также обочины.
Откосы земляного полотна: Боковые поверхности, соединяющие элементы земляного полотна (основная площадка насыпи, водоотводы или закюветные полки выемки) с естественной земной поверхностью.
Охранные зоны: Территории, которые прилегают с обеих сторон к полосе отвода и в границах которых устанавливается особый режим использования земельных участков (частей земельных участков) в целях обеспечения сохранности, прочности и устойчивости объектов железнодорожного транспорта в том числе находящихся на территориях с подвижной почвой и на территориях, подверженных снежным, песчаным заносами другим вредным воздействиям.
Перегон: Часть железнодорожной линии, ограниченная смежными железнодорожными станциями, разъездами, обгонными пунктами или путевыми постами.
Полоса отвода: Полоса земли, на которой размещается инфраструктура железнодорожного транспорта.
Реконструкция железной дороги: Усиление пропускной способности железной дороги с сохранением функций основной деятельности без изменения категорийности.
Рельс: Элемент конструкции верхнего строения пути, непосредственно воспринимающий нагрузку от колес железнодорожного подвижного состава и передающий ее на подрельсовое основание.
Стрелочный перевод: Устройство, служащее для соединения железнодорожных путей друг с другом или ответвления путей и состоящее из стрелок, крестовин и соединительных путей между ними.
Поверхностные сточные воды (поверхностный сток): загрязненная дождевая, талая, поливомоечная вода, стекающая с селитебных территорий и площадок предприятий, отводимая системой ливневых сооружений в водные объекты.
Предельно допустимая концентрация вещества в воде (ПДК): концентрация вещества в воде, выше которой вода становится непригодной для одного или нескольких видов водопользования
(ГОСТ 27065-86).
Производственные (промышленные) сточные воды: сточные воды, образующиеся в технологических процессах производств.
Бытовые (хозяйственно-бытовые) сточные воды: сточные воды, образующиеся в результате бытовой жизнедеятельности человека.
Ремонтопригодность: свойство объекта, заключающееся в приспособленности к поддержанию и восстановлению работоспособного состояния путем технического обслуживания и ремонта.
Загрязняющее вещество: вещество или смесь веществ, количество и (или) концентрация которых превышают установленные для химических веществ, в том числе радиоактивных, иных веществ и микроорганизмов нормативы и оказывают негативное воздействие на окружающую среду (Федеральный
закон "Об охране окружающей среды" N 7-ФЗ).
Локальные очистные сооружения (ЛОС): комплекс сооружений и устройств, предназначенных для очистки сточных вод абонента (субабонента) перед их сбросом (приемом).
Корпус ЛОС: емкости, используемые в ЛОС для технологического процесса/части процесса очистки сточных вод. Могут быть однообъемными, многообъемными, сложнообъемными - в зависимости от назначения. Могут быть подземного и наземного расположения, также могут располагаться в модуле/блок-модуле ЛОС.
Канализационная насосная станция (КНС): комплекс оборудования и резервуаров для перекачки сточных вод.
Система водоотводных лотков (СВЛ): комплекс водоотводных лотков для отвода поверхностных и грунтовых вод от земляного полотна.
Водоотводной лоток (ВЛ): секция системы водоотводных лотков.
Предельно допустимая концентрация вещества в воде (ПДК): концентрация вещества в воде, выше которой вода становится непригодной для одного или нескольких видов водопользования
(ГОСТ 27065-86).
Нормативы предельно допустимых сбросов (НДС): Проект нормативов НДС устанавливаются для каждого выпуска сточных вод действующих объектов (предприятий)-водопользователей, исходя из условий недопустимости превышения предельно допустимых концентраций вредных веществ (ПДК) в контрольном створе, с учетом его целевого использования, а при превышении ПДК в контрольном створе - исходя из условия сохранения (не ухудшения) состава и свойств воды в водных объектах, сформировавшихся под влиянием природных факторов. Разрабатываются согласно "Методическими
указаниями по разработке нормативов допустимого воздействия на водные объекты", М., 2007 г. (Утверждено Приказом Минприроды России от 12 декабря 2007 г. N 328)
IV. Структура экологических требований к объектам ОАО "РЖД"
В ходе анализа выявлено, что применение разных подходов при решении проблемы очистки поверхностных (дождевых, талых и поливомоечных) сточных вод с одинаковыми показателями количественного мощности очистных сооружений одного кубического метра воды в час при одинаковых условиях эксплуатации дает различный экономический эффект.
Целью данного документа является унификация и приведения конструкций ЛОС к единому оптимальному ресурсному показателю как энергетического составляющего, так и финансовых затрат.
Отвод поверхностных вод с железнодорожных
станций, перегонов, разъездов
Комплекс отвода поверхностных вод с объектов инфраструктуры ОАО "РЖД" (станции, перегоны разъезды), обеспечивающий устойчивость и сохранность земляного полотна, железных дорог должен осуществляться продольными канавами или резервами от насыпей, нагорными и забанкетными канавами от выемок, кюветами, лотками, а также локальными инженерными системами.
При устройстве водоотводов в обводненных и переувлажненных грунтах, не способных держать откосы, а также в стесненных условиях и населенных пунктах, применяются продольные лотки, обеспечивающие осушение земляного полотна и пропуск расчетного расхода воды.
Лотки как водосборные водоотводные устройства, применяются:
при наличии слабых малоустойчивых оплывающих грунтов, не способных держать откосы;
в стесненных условиях, где по местным условиям затруднительно устройство открытой канавы;
в населенных местах, где открытые канавы создают неудобства для населения и благоустройства территории;
при необходимости понижения уровня грунтовых вод (с устройством дренажных щелей для приема грунтовых вод) или перехвата и отвода их;
Локальные инженерные сооружения для очистки поверхностных (дождевых, талых и поливомоечных) сточных вод следует устанавливать в местах, где содержание загрязняющих веществ в поверхностных сточных водах превышает предельно допустимые концентрации.
Локальные инженерные сооружения для перекачки поверхностных (дождевых, талых и поливомоечных) сточных вод следует предусматривать в местах, где транспортирование сточных вод самотеком невозможно, а также для уменьшения заглубления самотечного коллектора.
Локальные инженерные сооружения для отвода поверхностных и грунтовых вод устанавливаются в местах, где требуется постоянный отвод поверхностных и грунтовых вод, собираемых с основной площадки земляного полотна и откосов.
Настоящие Требования к СВЛ являются дополнением к существующим типовым конструкциям водоотводных устройств из железобетона, содержащихся в следующих документах:
"Альбом водоотводных устройств на железных и автомобильных дорогах общей сети Союза ССР", Мосгипротранс, инв. N 819, 1971 г.;
"Альбом водоотводных устройств на станциях", Мосгипротранс, инв. N 984, 1975 г.;
"Дренажные сооружения железнодорожного земляного полотна", М.: Транспорт, 1976 г. (МПС, Главное управление пути).
| | ИС МЕГАНОРМ: примечание. Нумерация пунктов дана в соответствии с официальным текстом документа. | |
4.2. План-схемы сбора и водоотвода ливневых вод, с приведением их к нормативным показателям по ПДК (уровней) на объектах ОАО "РЖД" (рисунки 1 и
2).
План-схема водоотвода со станции.
Немасштабная схема станции
План-схема водоотвода с перегона, разъезда
V. Определение объема сточных вод и качественных показателей
Таблица 1
Протоколы исследования сточных вод с железнодорожного
полотна в рамках мониторинга РЖД или экологических изысканий
(Московской производственной экологической лаборатории)
N п/п | Определяемый показатель, ед. измерения | Результаты измерений | МВИ | Примечание (ПДК) |
1 | Нефтепродукты | мг/дм3 | 2,073 | ПНДФ 14.1:2:4.128-98 (изд. 2012 г.) | 0,5 |
2 | Взвешенные вещества | мг/дм3 | 75,333 | (изд. 2012 г.) | 300 |
3 | Азот аммония | мг/дм3 | 6,703 | ПНДФ 14.1:2:4.262-10 | 1,2 |
4 | Железо | мг/дм3 | 0,257 | ПНД Ф 14.1:2:4.50-96 | |
5 | Медь | мг/дм3 | 0,130 | ПНД Ф 14.1:2:4.48-96 | |
6 | Нитрит-ион | мг/дм3 | 0,217 | ПНД Ф 14.1:2:4.26-95 (изд. 2010) | |
7 | Нитрат-ион | мг/дм3 | 2,400 | (изд. 2011) | |
8 | Сульфаты | мг/дм3 | 58,667 | | 100 |
9 | Цинк | мг/дм3 | 0,070 | ПНД Ф 14.1:2.60-96 | |
10 | Марганец | мг/дм3 | 0,100 | ПНД Ф 14.1:2.61-96 | |
11 | pH | pH | 6,9 | | 6,5 - 8,5 |
VI. Технические требования
Нормативно-техническая и конструкторская документация на локальные инженерные сооружения должна соответствовать данным Техническим требованиям и утверждаться в Департаменте капитального строительства ОАО "РЖД".
Готовая продукция должна проходить в установленном порядке испытания в аккредитованной лаборатории на соответствие требованиям Технического регламента Таможенного союза и нормативным документам РФ. испытательной лабораторией, внесенной в Единый реестр органов по сертификации и испытательных лабораторий (центров) Таможенного союза
6.1. Классификация инженерных сооружений.
6.1.1. Локальные инженерные сооружения, на которые распространяется действие Технических требований, подразделяются на:
локальные очистные сооружения поверхностных сточных вод (ЛОС);
канализационные насосные станции поверхностных, хозяйственно-бытовых и производственных сточных вод (КНС).
системы водоотводных лотков для отвода поверхностных и грунтовых вод от земляного полотна.
6.1.2. ЛОС, по конструктивным особенностям, бывают 2 типов:
состоящие из одного корпуса;
состоящие из нескольких корпусов.
6.1.3. ЛОС, по исполнению, бывают 2 типов:
наземного исполнения (блочно-модульного типа);
подземного исполнения.
6.1.4. ЛОС, по энергопотреблению, бывают:
энергозависимые;
энергонезависимые.
6.1.5. КНС, по конструктивным особенностям, бывают 2 типов:
горизонтальные;
вертикальные.
6.1.6. СВЛ, по назначению, бывают 2-х типов:
для пропуска и отвода поверхностных и грунтовых вод в любых условиях, в том числе, непосредственно у железнодорожного пути. При этом допускаемое расстояние от оси ближайшего пути до оси лотков не менее 1,95 м;
для пропуска и отвода поверхностных и грунтовых вод за пределами земляного полотна в полосе отвода, когда необходимо пропустить большой расход воды. Расстояние от оси лотка типа 2 до подошвы насыпи должно быть не менее 3 м.
6.1.7. СВЛ, по исполнению, состоят из:
лотков глубиной 0,5 м;
лотков глубиной 0,75 м;
лотков глубиной 1,0 м;
лотков глубиной 1,25 м;
лотков различной глубины, включая переходные и поворотные с углом поворота 30° и 45°.
6.2. Основные технические требования к ЛОС подземного исполнения.
6.2.1. Эффективность очистки сточных вод по нормируемым показателям определяется проектом и должна соответствовать нормам действующего законодательства Российской Федерации.
6.2.2. ЛОС должно представлять собой комплекс очистных технологических камер и оборудования, связанных между собой последовательно и/или параллельно, в совокупности обеспечивающих очистку входящих ливневых (загрязненных) вод, в зависимости от назначения ЛОС, до нормативов, установленных законодательством Российской Федерации или иными нормативно-правовыми актами.
При соответствующем обосновании допускается применение ЛОС, состоящих из одной очистной камеры, но только если очищенные таким образом сточные воды соответствуют НДС или ПДК (в зависимости от принятого на объекте).
6.2.3. Количество очистных камер и оборудования, их назначение, порядок и способ их соединения должны соответствовать принятой технологической схеме очистки.
6.2.4. Принятая технологическая схема очистки должна предусматривать рациональную последовательность расположения очистных камер и оборудования различного назначения. Схема очистных сооружений поверхностных сточных вод должна разрабатываться с учетом качественной и количественной характеристик поступающего стока, фазово-дисперсного состояния примесей, требуемой степени очистки и принятой схемы отведения и регулирования.
6.2.5. Для обеспечения требуемой эффективности очистки необходимо применять многоступенчатые схемы очистки, включающие в себя различные методы их выделения и (или) деструкции.
6.2.6. Технологическую схему следует приводить в паспорте очистного сооружения.
6.2.7. Каждая из очистных камер, в зависимости от назначения, должна иметь конструктивные элементы, фильтрующую загрузку и/или оборудование. Допускается устройство камер предварительной очистки (отстойников) без указанных внутренних элементов, если концентрации загрязняющих веществ в сточных водах на выходе (после очистки) из них не превышают допустимых значений.
6.2.8. Конструктивные решения очистных сооружений должны обеспечивать достаточную степень очистки сточных вод и удобство обслуживания при эксплуатации. Регламент технического обслуживания ЛОС должен приводиться в паспорте очистного сооружения.
6.2.9. Наиболее удобным и рациональным конструктивным решением с точки зрения обслуживания является применение в качестве основных элементов очистных камер, стандартизованных сменных фильтрующих модулей.
6.2.10. Степень очистки и производительность (пропускная способность) по каждой очистной камере должны подтверждаться результатами пусконаладочных работ.
6.2.11. При применении в составе ЛОС нескольких очистных камер и/или в случае применения в составе ЛОС модулей очистки высокой заводской готовности (включающих набор камер и оборудования) определенной (заявленной) производительности необходимо выполнять проверочный расчет их совместной работы.
6.2.12. Периодичность выполнения плановых обслуживаний ЛОС должна определяться расчетом и указываться в паспорте очистного сооружения. Также паспорт должен содержать перечень работ, выполняемых при плановом обслуживании, и список контролируемых параметров очистных сооружений.
6.2.13. Основные показатели очистных сооружений должны приводиться в паспорте.
6.2.14. В составе очистных сооружений рекомендуется предусматривать автоматизированные системы контроля основных показателей и управления основными технологическими процессами (системы диспетчеризации).
6.2.15. Способ обеспечения устойчивости сооружений в грунте и предохранения их от всплытия должен предусматриваться проектом. Прочность крепления сооружений должна подтверждаться расчетом.
6.2.16. Нормативный срок восстановления работоспособности ЛОС (в т.ч. герметичности корпуса) при возникновении аварийной ситуации должен обосновываться проектом исходя из допустимого перерыва в работе ЛОС. Конструктивные решения, принятые в ЛОС должны обеспечивать возможность соблюдения нормативного срока устранения аварийной ситуации и восстановления работоспособности сооружения.
6.2.17. Требования к корпусу ЛОС:
6.2.17.1. Габаритные размеры корпусов ЛОС приведены в обязательном
приложении Б. При соответствующем обосновании допускается изменение габаритных размеров. Снижение качества очистки при этом не допускается.
6.2.17.2. Корпус ЛОС должен обладать достаточной прочностью для восприятия всех нагрузок при его эксплуатации. Прочность корпуса должна подтверждаться расчетом, выполняемым в соответствии с методикой обязательного
приложения В.
6.2.17.3. Корпус ЛОС должен быть герметичным. Испытание корпуса ЛОС на герметичность проводят по методике, изложенной в
п. 9.4.4.
6.2.17.4. Срок службы корпуса ЛОС должен составлять не менее 50 лет.
6.2.17.5. Материал корпуса ЛОС должен быть устойчив к агрессивному воздействию грунтовых и сточных вод. Устойчивость материала корпуса к агрессивному воздействию грунтовых и сточных вод должна подтверждаться протоколом испытаний, выданным аккредитованной организацией.
6.2.17.6. Материал корпуса ЛОС не должен выделять в окружающую среду токсичных веществ и оказывать при непосредственном контакте негативного влияния на организм человека.
6.2.17.7. При выборе материала корпуса ЛОС предпочтение следует отдавать материалам, обладающим меньшей гигроскопичностью.
6.2.17.8. При выборе материала корпуса ЛОС предпочтение следует отдавать материалам, обладающим большей стойкостью к абразивному износу.
6.2.17.9. На поверхности корпуса ЛОС не допускаются пузыри, раковины, трещины и посторонние включения, видимые без применения увеличительных приборов.
6.2.17.10. Основные прочностные показатели корпуса ЛОС должны соответствовать значениям, приведенным в таблице 2.
Таблица 2
Основные прочностные показатели корпуса ЛОС
Наименование показателя | Значение | Метод испытаний |
1 Кольцевая жесткость, кН/м2 | SN | |
2 Кольцевая гибкость при 30% деформации. | Не должно быть: - трещин; - расслоений внутренней и наружной стенок; - остаточных короблений, изломов и углублений | |
3 Ударная прочность при температуре 0 °C <*> | TIR 10% | |
--------------------------------
<*> - в дополнение к требованию по ударной прочности при температуре 0 °C, если требуется определение ударной прочности при более жестких условиях, испытание проводят при температуре минус 10 °C в соответствии с обязательным
приложением А.
6.2.18. Все материалы и оборудование, используемые при производстве ЛОС должны иметь необходимые сопроводительные документы, подтверждающие их качество. Данная документация предоставляется по требованию заказчика.
6.2.19. Проектирование и расчет систем очистки поверхностных сточных вод следует производить по действующим в Российской Федерации нормам и правилам проектирования, а также положениям специальных нормативно-методических документов.
6.2.20. ЛОС данного типа должны содержать в своем составе оборудование по осушению илов, полученных в результате очистки сточных вод, до показателя влажности не более 75% и оборудование/приспособление для выгрузки осушенных илов в контейнеры накопления, минуя контакт с грунтом/площадкой ЛОС для последующего размещения на контейнерной площадке.
6.2.21. Использование в проектах ЛОС для осушения илов, полученных в результате очистки сточных вод, иловых площадок, возможно только в случае если на действующих ЛОС уже имеются площадки, соответствующие требованиям природоохранного законодательства.
6.2.22. Регламент обслуживания и эксплуатации ЛОС должен приводиться в сопроводительной технической документации.
6.2.23. Оборудование и принятые технологические процессы очистки сточных вод должны обеспечивать устойчивость ЛОС к нештатным ситуациям (залповым сбросам, изменению состава сточных вод) так же должны быть выполнены в антивандальном исполнении. Конструкция ЛОС и компоновка оборудования должны предусматривать быстрое восстановление работоспособности и минимизацию последствия действий нештатных ситуаций.
6.3. Основные технические требования к ЛОС наземного исполнения (блочно-модульного типа).
6.3.1. Применять для ЛОС наземного исполнения блочно-модульную схему. Технические требования, изложенные в
п. 6.2.1 -
6.2.19 (за исключением
6.2.17.1),
6.2.23. распространяются на ЛОС блочно-модульного типа. Методика расчета прочностных показателей корпуса, приведенная в обязательном
приложении Е, не распространяется на корпуса ЛОС расположенных внутри блок-модулей.
6.3.2. Поверхность корпуса ЛОС блочно-модульного типа должна быть устойчива к ультрафиолетовому излучению.
6.3.3. Окраска корпуса должна соответствовать требованиям проектной документации. При отсутствии в проектной документации требований к окраске, ее следует выполнять в соответствии с техническим заданием, согласованным с Заказчиком в установленном порядке.
6.3.4. Габаритные размеры ЛОС блочно-модульного типа устанавливаются производителем из условия размещения в них очистных камер и оборудования, в соответствии с принятой технологической схемой, в совокупности обеспечивающей очистку входящих ливневых, промышленных и/или бытовых (загрязненных) вод, в зависимости от назначения ЛОС, до норматива ПДК (
Приказ N 695 ФА Росрыболовство от 4 августа 2009 г.) или НДС (в зависимости от принятого на объекте).
Ливневые стоки с территории структурных подразделений не должны сбрасываться в поверхностные водные объекты, на поверхность почв грунта без их очистки до предельно-допустимых концентраций, установленных
ГН 2.1.5.1315,
ГН 2.1.5.2307, нормативами качества воды водных объектов рыбохозяйственного значения, в том числе нормативами предельно допустимых концентраций вредных веществ в водах водных объектов рыбохозяйственного значения или нормативам, установленным для централизованных ливневых систем водоотведения, в зависимости от условий сброса сточных вод.
6.3.5. Блок-модуль ЛОС должен обладать достаточной прочностью для восприятия всех нагрузок при его эксплуатации. Прочность должна подтверждаться расчетом.
6.3.6. Элементы несущих конструкций блок-модуля ЛОС должны быть выполнены из коррозионностойких материалов или защищены от коррозии в соответствии со
СП 28.13330.2012.
| | ИС МЕГАНОРМ: примечание. Нумерация пунктов дана в соответствии с официальным текстом документа. | |
6.3.5. Корпусы ЛОС расположенные внутри модуля должны быть герметичными (если это не противоречит технологическому процессу). В случае применения негерметичных корпусов ЛОС внутри модуля, модуль должен быть оборудован системой приточно-вытяжной вентиляции с механическим побуждением.
6.3.6. Модуль/модули ЛОС должен быть утеплен и иметь систему отопления/обогрева.
6.3.7. Материал утеплителя должен быть негорючим в соответствии с
ГОСТ 30244 и влагостойким.
6.3.8. Толщина и вид утеплителя, а также конфигурация и показатели системы обогрева ЛОС определяются теплотехническим расчетом в зависимости от климатических условий района, в котором предполагается его дальнейшая эксплуатация, в соответствии с
СП 131.13330.2012.
6.3.9. Нормативный срок восстановления работоспособности ЛОС (в т.ч. герметичности корпуса ЛОС) при возникновении аварийной ситуации должен обосновываться проектом исходя из допустимого перерыва в работе ЛОС. Конструктивные решения, принятые в ЛОС должны обеспечивать возможность соблюдения нормативного срока устранения аварийной ситуации и восстановления работоспособности сооружения.
6.3.10. В составе ЛОС блочно-модульного типа необходимо предусматривать автоматизированные системы контроля основных показателей, рекомендательно, управления основными технологическими процессами (системы диспетчеризации).
6.3.11. Все материалы и оборудование, используемые при производстве ЛОС должны иметь необходимые сопроводительные документы, подтверждающие их качество. Данная документация предоставляется по требованию заказчика.
| | ИС МЕГАНОРМ: примечание. В официальном тексте документа, видимо, допущена опечатка: Постановление Правительства РФ от 15.04.2011 "Об утверждении Правил перевозок грузов автомобильным транспортом" имеет номер 272, а не 27. | |
6.3.12. ЛОС блочно-модульного типа, для обеспечения вариативности выбора площадки размещения, должны быть выполнены из сборных блоков/модулей с габаритными размерами, обеспечивающими беспрепятственную перевозку их к месту монтажа автомобильным транспортом, выгрузку и монтаж с применением кранового оборудования (автокранов, кранов-манипуляторов) грузоподъемностью до 25 т. Габаритные размеры одного модуля в транспортном положении, должны обеспечивать беспрепятственное передвижение по дорогам РФ, согласно действующим
правилам перевозок грузов автомобильным транспортом (Постановлению Правительства Российской Федерации от 15 апреля 2011 года N 27 (с изм.), не должны превышать: по высоте 2,8 м; по длине: 13,0 м (рекомендуется: 6,0 - 7,5 м); по ширине: 2,4 м.
6.3.13. Конструкция фундамента под ЛОС блочно-модульного типа и способ крепления установки к фундаменту определяются проектом.
6.3.14. Конструкция ЛОС блочно-модульного типа должна обеспечивать возможность быстрой сборки на подготовленную площадку в месте возведения ЛОС, а также демонтажа и/или переноса (при необходимости) с площадки расположения на другую площадку.
6.3.15. ЛОС блочно-модульного типа должны содержать в своем составе оборудование по осушению илов, полученных в результате очистки сточных вод, до показателя влажность не более 75%. Оборудование для осушения илов должно иметь возможность выгрузки осушенных илов в контейнеры для накопления минуя контакт с грунтом/площадкой размещения ЛОС для дальнейшего размещения на контейнерной площадке.
6.3.16. Использование в проектах ЛОС для осушения илов, полученных в результате очистки сточных вод, иловых площадок, возможно только в случае если на действующих ЛОС уже имеются площадки, соответствующие требованиям природоохранного законодательства.
6.4. Основные технические требования к КНС
6.4.1 Установку КНС следует предусматривать в местах, где транспортирование сточных вод самотеком невозможно, а также для уменьшения заглубления самотечного коллектора.
6.4.2. Требования к корпусу КНС:
6.4.2.1. Технические требования, изложенные в
п. 6.2.17.2 -
6.2.17.10 распространяются на корпуса КНС.
6.4.2.2. Количество и размер технологических люков КНС должны устанавливаться из условия обеспечения возможности и удобства обслуживания КНС при дальнейшей эксплуатации.
6.4.2.3. Габаритные размеры КНС (диаметр и высота (длина) корпуса) определяются в зависимости от необходимого объема накопительного резервуара, возможности размещения насосных агрегатов (с учетом рекомендаций завода изготовителя) и возможности и удобства обслуживания КНС при дальнейшей эксплуатации.
6.4.2.4. Соотношение диаметра и длины корпуса КНС определяется на основании технико-экономического расчета.
6.4.3. Нормативный срок восстановления работоспособности КНС (в т.ч. герметичности корпуса) при возникновении аварийной ситуации должен обосновываться проектом исходя из допустимого перерыва в работе КНС. Конструктивные решения, принятые в ЛОС должны обеспечивать возможность соблюдения нормативного срока устранения аварийной ситуации и восстановления работоспособности сооружения.
6.4.4. Внутренние трубопроводы и детали трубопроводов КНС должны выполняться из материалов, устойчивых к агрессивному воздействию перекачиваемых сточных вод.
6.4.5. Расстановка запорной арматуры на внутренних трубопроводах КНС определяется конструкторской документацией, согласованной в установленном порядке.
6.4.6. Количество напорных линий определяется проектом.
6.4.7. Количество подводящих патрубков и их направление определяется проектом. При этом необходимо учитывать возможность их размещения в корпусе КНС.
6.4.8. Насосы, оборудование и трубопроводы следует выбирать в зависимости от расчетного притока и физико-химических свойств сточных вод и осадков, высоты подъема и с учетом характеристик насосов и напорных трубопроводов, а также очередности ввода в действие объекта. Число рабочих и резервных насосов надлежит принимать в соответствии со
СП 32.13330.2012.
6.4.9. Компоновка и расположение внутренних трубопроводов, запорной арматуры и оборудования должны обеспечивать возможность проведения планового обслуживания без остановки работы станции.
6.4.10. Для защиты насосов от засорения в приемных резервуарах (либо перед ними) следует предусматривать:
устройства для задержания крупных взвешенных компонентов, транспортируемых сточными водами (решетки различных типов, процеживатели, сетки и т.п.);
оборудование и механизмы для измельчения крупной взвеси в потоке сточных вод (необходимость определяется проектом);
принудительное перемешивание посредством применения погружных мешалок и/или подачи части перекачиваемых сточных вод в приемный резервуар (необходимость устройства определяется проектом);
решетки с ручной очисткой, корзины и т.п.
6.4.11. Способ обслуживания и замены насосных агрегатов, а также подбор грузоподъемных механизмов для их извлечения должен приводиться в проекте.
6.4.12. Способ обеспечения устойчивости сооружений в грунте и предохранения их от всплытия должен предусматриваться проектом. Прочность крепления сооружений должна подтверждаться расчетом.
6.4.13. На дне КНС рекомендуется предусматривать уклон в сторону центра.
6.4.14. Необходимость устройства технологического павильона КНС определяется проектом.
6.4.15. Тип и основные характеристики КНС должны соответствовать проекту, а также конструкторской документации, утвержденной в установленном порядке.
6.4.16. Все материалы и оборудование, используемые при производстве КНС должны иметь необходимые сопроводительные документы, подтверждающие их качество. Данная документация предоставляется по требованию заказчика.
6.4.17. Для удаления канализационных газов из КНС необходимо предусматривать приточно-вытяжные вентиляционные системы. Как правило, в КНС предусматриваются естественные системы вентиляции.
6.4.18. Внутренние конструктивные элементы КНС должны быть надежно закреплены к корпусу.
6.4.19. Управление КНС должно осуществляться, как правило, в автоматическом режиме. В составе канализационных насосных станций рекомендуется предусматривать автоматизированные системы контроля основных показателей и управления основными технологическими процессами (системы диспетчеризации).
6.4.20. Системы автоматического управления КНС должны обеспечивать равномерную наработку моточасов насосных агрегатов.
6.5. Основные технические требования к СВЛ (ВЛ)
6.5.1. Общие требования к ВЛ.
| | ИС МЕГАНОРМ: примечание. В официальном тексте документа, видимо, допущена опечатка: имеется в виду ГОСТ 15150-69, а не ГОСТ 15 150. | |
6.5.1.1 Лотки должны быть устойчивыми к воздействию климатических факторов внешней среды в соответствии с климатическим исполнением УХЛ и категорией размещения 1 по
ГОСТ 15 150.
6.5.1.2. Лотки должны сохранять эксплуатационные свойства при температурных условиях от -60 °C до +45 °C на открытом воздухе при прямом воздействии солнечных лучей и в контакте с грунтовыми водами с PH от 6 до 8.
6.5.1.3. Цвет лотка не регламентируется, если это требование не оговорено в договоре (контракте) на поставку материала.
6.5.1.4. Лотки типа 1 должны комплектоваться бетонными или композитными крышками, обеспечивающими свободное поступление в лоток поверхностных вод. Крышки лотка должны иметь антивандальное исполнение.
6.5.2. Требования к конструкции и размерам лотков
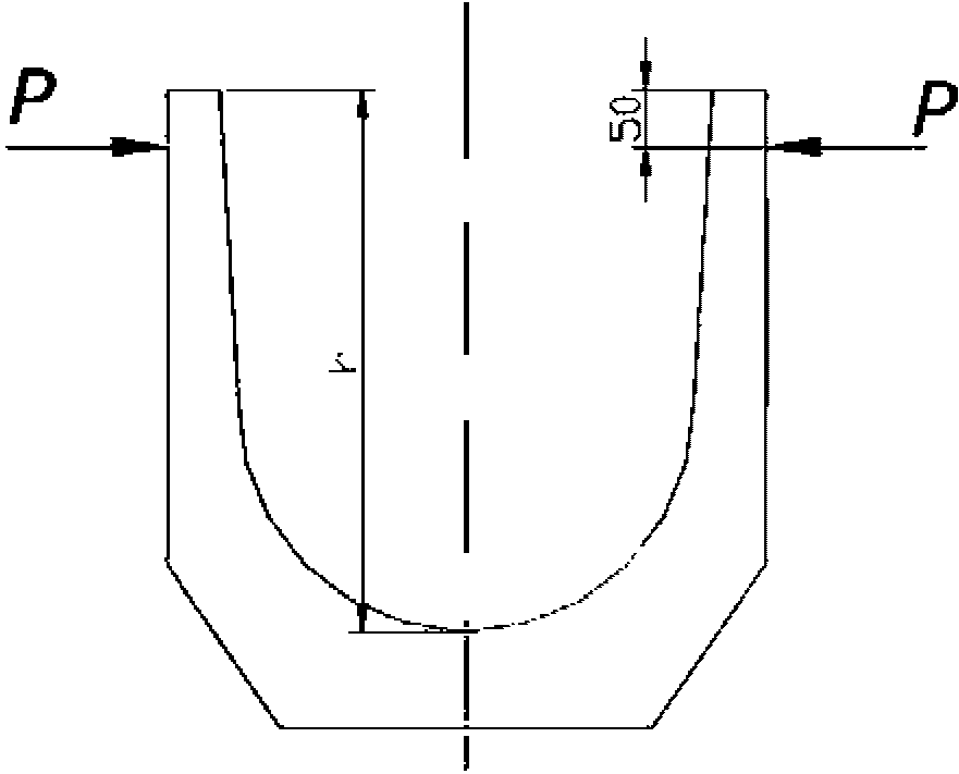
6.5.2.1. Конструкция лотка должна быть рассчитана по прочности и устойчивости на воздействие нагрузок в соответствии с эпюрой, представленной на рисунке 3 (схемы загружения приведены в соответствии с "Альбомом водоотводных устройств на станциях", Мосгипротранс, инв. N 984, 1975 г.).
Расчетные схемы лотков
Расчетные силовые воздействия и усилия
Схемы загружения.
NN | Глубина лотка Hл | Схемы загружения и основные исходные данные, принятые в расчете | Определение расчетного горизонтального давления на стенку лотка | Определение усилий в расчетном сечении (B) |
от постоянной нагрузки (давл. грунта за стенками) | от временной нагрузки передаваемой на засыпку | Суммарное горизонтальное давление | Расчетная схема | Равнодейств. горизонт. давление | Плечо равнодействующей | Максимальный изгибающий момент |
Эпюра распределения горизонтального давления от засыпки | | Эпюра распределения давления от приведенного слоя грунта | | Суммарная эпюра давления на стенки лотка | | | | MB = EZ0 |
в точке | в точке | в точке |
A | B | A | B | A | B |
- | м | - | - | МПа | МПа | - | МПа | МПа | - | МПа | МПа | - | кН/п.м лот. | м | кНм/п.м лот. |
1 | 0.5 | Схема загружения I | | 0 | 3.6 x 10-3 | | 4.3 x 10-3 | 4.3 x 10-3 | | 4.3 x 10-3 | 7.9 x 10-3 | | 3.05 | 0.2254 | 0.6875 |
2 | 0.75 | 0 | 5.39 x 10-3 | 4.3 x 10-3 | 4.3 x 10-3 | 4.3 x 10-3 | 9.69 x 10-3 | 5.25 | 0.327 | 1.72 |
3 | 1.0 | 0 | 7.2 x 10-3 | 4.3 x 10-3 | 4.3 x 10-3 | 4.3 x 10-3 | 11.5 x 10-3 | 7.9 | 0.424 | 3.35 |
Расчетные схемы приняты аналогично Альбому водоотводных устройств N 984.
Для лотков другой глубины величина нагрузок определяется по линейной интерполяции
Схема загружения.
1. Объемный вес грунта

.
2. Угол внутр. трения f = 35° - 5° = 30°
3. K = tg2 (45° - f/2) = 0.333.
4. Равномерно-распределенная нагрузка
на засыпке q = 1.0 т/м2.
5. Толщина приведенного слоя засыпки

.
6. Коэффициент перегрузки

При этом лотки типа 2 рассчитываются только на давление от постоянной нагрузки грунта, а лотки типа 1 - на давление от суммарной нагрузки.
Расчет выполняется без включения в силовую схему крышек или иных устройств, препятствующих очистке лотка.
6.5.2.2. Геометрические параметры сечения лотков должны быть подобраны на основании расчетов водопропускной способности, а также из следующих условий:
минимальный запас по высоте лотка при пропуске расчетного расхода должен составлять не менее 0,2 м;
ширина по днищевой части должна быть не менее 400 мм в целях обеспечения прохода вдоль секций лотков для их очистки;
форма днища лотков - радиусная для уменьшения их заиливания;
6.5.2.3. Конструктивно лотки могут выполняться с цельной или сборной конструкцией, при этом, все элементы лотков должны быть выполнены из композитного материала. Применение металлических элементов в конструкции не разрешается.
6.5.2.4. Типовые высоты для лотков типа 1 принимаются равными 0,5 м, 0,75 м, 1,0 м и 1,25 м; для лотков типа 2 - 0,6 м. При этом допускаются и другие размеры высот лотка. Минимальная глубина лотка внутри сечения (высота лотка) для лотков типа 1 принимается 0,3 м, а лотков типа 2 - 0,6 м.
6.5.2.5. Минимальная конструктивная (в отсутствии нагружения) ширина лотка типа 1 внутри сечения (ширина по верху) составляет:
0,45 м для лотков высотой 0,5 м;
0,48 м - для лотков высотой 0,75 м;
0,62 м - для лотков высотой 1,0 м и 1,25 м.
6.5.2.6. Лотки внутри, в пределах расчетного живого сечения воды (высота лотка минус 0,2 м), не должны содержать перегородки, ребра или другие конструктивные элементы, препятствующие движению воды и создающие условия для заиливания лотков.
6.5.2.7. В стенках лотков должны быть предусмотрены дренажные отверстия диаметром 2,9 см, расположенные горизонтально вдоль лотков, по центру между ребрами в один ряд в лотках высотой 0,5 м и в два ряда в лотках высотой 0,75 м, 1,0 м, 1,25 м.
6.5.2.8. Один из торцов лотка должен иметь уширение (замок) по контуру глубиной

и длиной

под установку в него торца следующего лотка (для сохранения размеров внутреннего сечения водоотвода в местах перекрытия соседних лотков).
6.5.2.9. Для предотвращения выдавливания лотков из влагонасыщенных грунтов гидростатическими силами, на каждой секции лотков должны быть предусмотрены якорные пластины, расположенные горизонтально между ребрами. Количество, форма и площадь якорных пластин определяются расчетами. При этом вес крышек в расчетах не учитывается.
6.5.2.10. Масса водоотводных лотков должна соответствовать конструкторской документации, утвержденной в установленном порядке, и позволять их установку вручную.
6.5.3. Требования к материалам
6.5.3.1. Материал должен соответствовать нормативно-технической документации.
6.5.3.2. Материал лотка должен быть нетоксичным, невзрывоопасным, не выделять вредные вещества при нормальных условиях эксплуатации, не оказывать при непосредственном контакте негативного влияния на организм человека.
6.5.3.3. Материал для производства водоотводных лотков, ребер жесткости, крышек должен иметь следующие эксплуатационные свойства:
водопоглощение (при 24 ч) не более 0,07% по
ГОСТ 4650 (метод 1);
"хорошую" стойкость к химическому воздействию слабых щелочных растворов (PH8) при температуре 40 °C по
ГОСТ 12020;
стойкость к воздействию УФ-излучения по ГОСТ Р 51370;
механические свойства отвержденного композита: плотность, предел прочности на сжатие, растяжение и изгиб, модули упругости, ударная вязкость, твердость, температура теплового искажения, обеспечивающие лоткам характеристики, заявленные в нормативно-технической документации на поставляемую продукцию и соответствующие настоящим Техническим требованиям
6.5.4. Требования по комплектации и маркировке.
6.5.4.1. Отгруженные лотки должны сопровождаться паспортом. В паспорте указывают:
данные о соответствии лотков требованиям нормативно-технической документации, утвержденной в установленном порядке;
наименование предприятия-изготовителя;
номер партии;
количество лотков в партии и номера лотков;
тип лотков;
порядок монтажа и условия эксплуатации лотков;
гарантии изготовителя.
Паспорт должен быть подписан представителем отдела технического контроля предприятия-изготовителя.
6.5.4.2. Лотки должны иметь маркировку, содержащую данные:
товарный знак предприятия - изготовителя;
заводской номер изделия;
обозначение лотка;
партия изготовителя.
Маркировка лотка должна соответствовать конструкторской документации на изделие.
6.5.4.3. Для лотков типа 2 на бирке должна быть дополнительная надпись: "Для установки вне земляного полотна".
6.6. Расчетные производительности, типы применяемых инженерных сооружений, схемы их размещения и подключения к наружным инженерным сетям определяются проектом на основании действующих норм, правил и стандартов РФ.
VII. Требования безопасности
7.1. Требования безопасности к ЛОС.
7.1.2. Для защиты обслуживающего персонала от поражения электрическим током и возникновения пожара должна предусматриваться установка устройства защитного отключения и заземление корпусов электрооборудования в соответствии с
ГОСТ 12.2.007.0.
7.1.3. Все узлы, имеющие электрораспределительные устройства, должны быть выполнены с ограждением токоведущих частей, исключающим случайное попадание на токоведущие части предметов, падающих капель воды, а также прикосновение к ним обслуживающего персонала.
7.1.4. Сопротивление изоляции от корпуса токоведущих частей, работающих при напряжении до 500 В, должно быть не менее 1,0 МОм.
| | ИС МЕГАНОРМ: примечание. В официальном тексте документа, видимо, допущена опечатка: имеется в виду ГОСТ Р МЭК 60204-1-99, а не ГОСТ Р МЭК 60204. | |
| | ИС МЕГАНОРМ: примечание. ГОСТ Р МЭК 60204-1-99 утратил силу с 1 июля 2008 года в связи с введением в действие ГОСТ Р МЭК 60204-1-2007 (Приказ Ростехрегулирования от 27.12.2007 N 499-ст). | |
7.1.5. Изоляция электрических цепей относительно корпуса должна выдерживать в течение не менее 1 сек испытательное напряжение 1000 В по ГОСТ Р МЭК 60204.
7.1.6. Уровень вибрации ЛОС не должен превышать допустимого значения в соответствии с
СН 2.2.4/2.1.8.566-96.
7.1.7. Полное или частичное прекращение энергоснабжения и последующее его восстановление, а также повреждение цепи управления энергоснабжением не должны приводить к возникновению опасных ситуаций.
7.1.8. Все материалы и комплектующие, применяемые при производстве ЛОС должны соответствовать требованиям безопасности и при необходимости иметь санитарно-эпидемиологические заключения.
| | ИС МЕГАНОРМ: примечание. Взамен ГОСТ 12.4.026-76 Постановлением Госстандарта России от 19.09.2001 N 387-ст с 1 января 2003 года на территории Российской Федерации введен в действие ГОСТ Р 12.4.026-2001. | |
7.1.9. Применяемые сигнальные цвета и знаки безопасности должны соответствовать ГОСТ 12.4.026.
7.2. Требования безопасности к КНС.
7.2.1. Конструкция КНС и их оборудования не должна содержать материалов, представляющих опасность для здоровья человека в условиях монтажа и эксплуатации. Конструктивная безопасность должна соответствовать
ГОСТ Р 52543,
ГОСТ Р 52743,
ГОСТ 22247,
ГОСТ 31177 и
ГОСТ 12.2.003. Применяемая при производстве КНС трубопроводная арматура должна соответствовать
ГОСТ Р 53672; предохранительные клапаны -
ГОСТ 12.2.085.
7.2.2. Электрооборудование КНС должно отвечать нормам
ГОСТ 12.1.012, ГОСТ Р МЭК 60204-1 и
ГОСТ 12.2.007.0 (класс защиты не ниже I); в части приводов -
ГОСТ Р 52931, щита управления -
ГОСТ Р 51321.1. Электрическое оборудование, устанавливаемое в КНС должно соответствовать ПУЭ "Правила устройства электроустановок.
Правила технической эксплуатации электроустановок потребителей", а его эксплуатация осуществляться в соответствии с
ПТЭЭП "Правила технической эксплуатации электроустановок потребителей".
7.2.3. Конструкция КНС должна обеспечивать безопасный производственный процесс в соответствии с
ГОСТ 12.3.002.
7.2.4. Уровни звукового давления на рабочих местах в октавных полосах частот не должны превышать значений, устанавливаемых
ГОСТ 30530,
ГОСТ 12.1.003.
Примечание: в случае, если уровень шума превышает максимально допустимые значения, необходимо предусмотреть защитные мероприятия.
7.2.5. Порядок и схема монтажа должны обеспечивать надежное и безопасное функционирование КНС при всех допустимых внешних воздействиях.
7.2.6. Электропроводка должна быть защищена от механических, тепловых повреждений и попадания влаги.
7.2.7. Используемые при производстве КНС покрытия и материалы должны относиться к малоопасным (4 класс опасности по
ГОСТ 12.1.007).
| | ИС МЕГАНОРМ: примечание. В официальном тексте документа, видимо, допущена опечатка: имеется в виду ГОСТ Р 12.3.047-2012, а не ГОСТ 12.3.047. | |
7.3. Требования безопасности к СВЛ.
7.3.1. Все материалы и комплектующие, применяемые при производстве СВЛ должны соответствовать требованиям безопасности и при необходимости иметь санитарно-эпидемиологические заключения.
7.3.2. Для предупреждения повреждения кожи рук при контакте с острыми краями секций лотков работники должны быть обеспечены перчатками
(ГОСТ 20010) или суконными рукавицами
(ГОСТ 12.4.010).
| | ИС МЕГАНОРМ: примечание. В официальном тексте документа, видимо, допущена опечатка: имеется в виду ГОСТ Р 12.4.013-97, а не ГОСТ 12.4.013. | |
7.3.3. При механической обработке композитных водоотводных лотков рабочие должны быть обеспечены защитными очками
(ГОСТ 12.4.013), предохраняющими органы зрения от попадания пыли.
7.4. При выполнении комплекса работ по монтажу инженерных сооружений должны соблюдаться правила и инструкции по охране труда предприятий ОАО "РЖД",
правила технической эксплуатации электроустановок потребителей,
СНиП 12-03-2001,
СНиП 12-04-2002, а также всех действующих в РФ норм и правил.
7.5. Работники должны быть обеспечены спецодеждой и средствами индивидуальной защиты в соответствии с правилами по охране труда ОАО "РЖД", при выполнении работ вблизи железнодорожных путей - сигнальными жилетами.
7.6. К проведению пусконаладочных работ допускается квалифицированный персонал, изучивший заводскую документацию, прошедший специальную теоретическую подготовку, практическое обучение и проверку знаний общих требований охраны труда и промышленной безопасности.
8.1. Правила приемки ЛОС и КНС
8.1.1. Для проверки соответствия локальных инженерных сооружений настоящим Техническим требованиям необходимо проводить входной контроль качества изделий при поступлении их на объект строительства или реконструкции, а также периодические испытания в процессе эксплуатации.
Входной контроль включает в себя:
проверку соответствия геометрических параметров локальных инженерных сооружений утвержденной в установленном порядке конструкторской документации;
проверку комплектности и сроков действия сопроводительной документации, подтверждающей качество поставляемых локальных инженерных сооружений и применяемых при их изготовлении материалов (предоставляется по требованию заказчика).
8.1.2. Периодические испытания проводит предприятие-изготовитель не реже, чем один раз в год.
8.1.3. Периодические испытания проводятся с целью выявления скрытых дефектов установки, проявляющихся в процессе ее эксплуатации.
8.1.4. Периодическим испытаниям подвергают одно из эксплуатируемых сооружений, прошедших приемо-сдаточные испытания.
8.1.5. Для оценки эффективности очистки поверхностных вод, должны привлекаться аккредитованные лаборатории, которые в установленном порядке разрабатывают программу испытаний и график их проведения.
8.1.6. Если при испытаниях обнаруживается несоответствие показателей требованиям настоящих требований, то должны быть приняты меры для устранения данных дефектов. Если устранение обнаруженных дефектов на месте невозможно, следует выполнить замену дефектных изделий.
8.2. Правила приемки ВЛ
8.2.1. При постановке на производство и в процессе производства предприятие-изготовитель проводит приемосдаточные, типовые (сертификационные) и периодические испытания.
8.2.1.1. Приемосдаточные испытания проводятся при постановке лотков на производство согласно Техническим условиям предприятия изготовителя.
8.2.1.2. Типовые (сертификационные) испытания проводятся в лаборатории для подтверждения качества лотков при их поставке на рынок.
8.2.1.3. Периодические испытания лотков проводят не реже одного раза в год. Испытания проводят для лотков, изготовленных на предприятии с сертифицированной системой менеджмента качества в объеме приемосдаточных испытаний, для лотков других предприятий - в объеме типовых испытаний.
8.2.2. Изготовленные лотки принимаются отделом технического контроля предприятия-изготовителя. Объем и методы приемки - согласно Техническим условиям.
8.2.3. Для получения разрешения на поставку лотков на объекты железнодорожного транспорта поставщик обязан предоставить следующие документы:
технические условия на поставляемую продукцию, согласованные с ОАО "РЖД";
протоколы приемосдаточных испытаний;
протоколы типовых (сертификационных) испытаний, проведенных в лабораториях, аккредитованных в ОАО "РЖД", на соответствие Техническим условиям и настоящим Техническим требованиям. Перечень и методы прочностных испытаний, а также показатели характеристик материала лотков, должны соответствовать требованиям методики испытаний
(приложение В) и требованиям, указанным в
п.п. 6.5.3.2;
6.5.3.3.
8.2.4. Лотки поставляются потребителю партиями. За партию принимают лотки, изготовленные из одной партии материалов и по одной технологии, сопровождаемые документом о качестве (паспортом) на данную партию. При этом количество лотков в партии должно быть оговорено в договоре на поставку.
8.2.5. Для проверки соответствия продукции настоящим Требованиям необходимо проводить входной контроль качества каждой партии изделий при поступлении ее на объект строительства или реконструкции. Входной контроль включает в себя:
проверку наличия сопроводительных документов на партию и маркировки в соответствии с
п. 6.5.4 настоящих Требований;
проверку внешнего вида продукции на отсутствие внешних повреждений;
проверку соответствия геометрических параметров продукции утвержденной в установленном порядке конструкторской документации;
проверку комплектности и сроков действия сопроводительной документации, подтверждающей качество поставляемой продукции и применяемых при ее изготовлении материалов (предоставляется по требованию заказчика).
8.2.6. Поставщик по требованию заказчика обязан провести испытания в аккредитованной лаборатории отобранного заказчиком образца из поставленной партии продукции. Минимальный состав испытаний: испытание на стенде сосредоточенной нагрузкой согласно методике
(приложение В).
9.1. Все испытания должны проводиться в нормальных климатических условиях по
ГОСТ 15150 со следующими параметрами:
температура воздуха: от 15 °C до 25 °C;
относительная влажность: от 45% до 80%;
атмосферное давление: от 84 до 106 кПа (от 630 до 800 мм рт. ст.).
9.2. Методы контроля ЛОС:
9.2.1. Для контроля прочности изделия оборудование испытывается на удар при свободном падении.
9.2.2. Контроль соответствия конструкторской документации, проводят как визуально-измерительным методом, так и расчетным путем по производительности установки.
9.2.3. Отклонение толщины деталей от проектируемых размеров, контролируется с помощью металлической линейки по
ГОСТ 427, штангенциркуля по
ГОСТ 166, и глубиномера индикаторного по
ГОСТ 7661.
9.2.4. Производительность установки определяют в процессе приемосдаточных испытаний расчетным путем.
9.2.5. Габаритные размеры локальных инженерных сооружений проверяют металлической измерительной рулеткой по
ГОСТ 7502 и металлической линейкой по
ГОСТ 427. Установка считается выдержавшей контрольную проверку, если размеры испытуемой установки не меньше, указанных в обязательном
приложении Б (или предусмотренных утвержденной конструкторской документацией), значений более чем на 30 мм.
9.2.6. Эффективность очистки поверхностных сточных вод по нормируемым показателям контролируется во время периодических испытаний. Испытания проходят в соответствии со стандартом EN 558-1 (2002 г.). Анализы проб воды проводятся по стандарту EN ISO 9377-2. Концентрация загрязняющих веществ в сточных водах не должна превышать значений, указанных в паспорте очистной установки, а также предусмотренных проектной документацией.
9.2.7. Сопротивление изоляции корпуса от токоведущих частей, работающих при напряжении до 500 В, должно быть не менее 1,0 МОм. Сопротивление изоляции проводников контролируется путем проверки сопротивления изоляции проводников с помощью мегаомметра типа М 4100/3 ТУ 25-04.2131-78 с классом точности 0,1 и диапазоном измерений от 0 до 100 МОм, при этом сопротивление изоляции должно быть не менее 1,0 МОм.
9.2.8. Контролируемые параметры:
9.2.9. Уровень шума от локальных инженерных сооружений контролируется во время периодических испытаний в соответствии с
ГОСТ 12.1.050 шумомерами 1 или 2 класса точности по
ГОСТ 17187.
9.3. Методы контроля КНС:
| | ИС МЕГАНОРМ: примечание. ГОСТ Р МЭК 60204-1-99 утратил силу с 1 июля 2008 года в связи с введением в действие ГОСТ Р МЭК 60204-1-2007 (Приказ Ростехрегулирования от 27.12.2007 N 499-ст). | |
9.3.2. Контроль линейных размеров и отклонений от номинальных значений следует производить по
ГОСТ 26877,
ГОСТ 26433.0 измерительными средствами, обеспечивающими необходимую точность измерения.
9.3.3. Цвет, внешний вид поверхностей, соответствие насосных станций согласованной в установленном порядке конструкторской документации определяют визуально-измерительным способом при дневном рассеянном освещении.
9.3.4. Контроль маркировки, упаковки и комплектности осуществляется визуально.
9.3.5. Контроль качества защитных покрытий следует проводить по
ГОСТ 9.302.
9.3.6. Контроль сварных соединений (при наличии) проверяют по
ГОСТ 3242.
9.3.7. Контроль качества резьбовых соединений производится внешним осмотром и измерением в соответствии с ГОСТ 18465.
9.3.8. Массу насосных станций определяют поузловым взвешиванием на технических весах класса точности 0,5.
При измерении параметров шумовых характеристик следует использовать шумомеры и электрические октавные фильтры по
ГОСТ 17187 и
ГОСТ 17168.
9.3.10. Гидравлические испытания следует проводить в соответствии со
СНиП 3.05.04-85* при приемо-сдаточных испытаниях.
При испытаниях на прочность персонал, проводящий испытания, должен находиться на безопасном расстоянии, исключающем возможность травмирования при разрушении оборудования.
9.3.11. Степень защиты электрооборудования проверяют по
ГОСТ 14254.
9.4. Методы контроля прочностных показателей корпусов и показателей материала корпусов локальных инженерных сооружений.
9.4.1. Определение кольцевой жесткости корпуса проводят на испытательной машине, способной обеспечить деформацию сжатия поперечного сечения образца корпуса, установленного между горизонтальных плит, с постоянной скоростью деформации 0,03di мм/мин, +/- 5%.
Погрешность измерения нагрузки должна составлять +/- 2%. Длина верхней и нижней плит должна быть не менее длины образца корпуса, а ширина - не менее ширины контакта с образцом в процессе деформации плюс 25 мм.
Образцами для испытаний являются три отрезка длиной (300 +/- 10) мм, которые нарезаются от одной заготовки корпуса, промаркированной линией вдоль образующей. Полученные образцы следует пронумеровать.
Определяют длину L каждого образца с точностью до 1 мм как среднее арифметическое значение заданного шести равномерно распределенных измерений.
Торцы каждого образца должны быть перпендикулярны оси корпуса, причем фактическое минимальное значение длины образца должно составлять не менее 90% максимального значения.
Определяют средний внутренний диаметр каждого образца как среднее арифметическое значение четырех равномерно распределенных измерений в поперечном сечении в середине длины отрезка с погрешностью в пределах +/- 0,5%.
Рассчитывают величину di как среднее арифметическое значение средних внутренних диаметров трех образцов.
Образцы перед испытаниями выдерживают при температуре испытаний (23 +/- 2) °C не менее 24 ч. Образец укладывают на плиту так, чтобы его ось была параллельна граням плит, а точка приложения нагрузки соответствовала середине длины образца. Затем устанавливают верхнюю плиту так, чтобы она касалась маркировочной линии образца без деформации.
Прикладывают предварительную нагрузку, величина которой в ньютонах, округленная до ближайшего большего целого числа, составляет 0,00025dn·L, где dn - номинальный наружный диаметр в миллиметрах, L - длина образца в миллиметрах.
Затем деформируют образец в поперечном сечении на величину не менее 0,03d, фиксируя нагрузку сжатия. Деформацию поперечного сечения оценивают по изменению расстояния между плитами. В случае разногласий деформацию поперечного сечения оценивают по изменению внутреннего диаметра образца.
Скорость деформации сжатия должна соответствовать 0,03di мм/мин, +/- 5%, где di - внутренний диаметр образцов di в миллиметрах
Следующие два образца при испытаниях поворачивают маркировочной линией относительно первого на 120° и 240° соответственно.
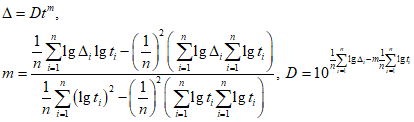
Рассчитывают кольцевую жесткость S, в кН/м2, для каждого из образцов до трех десятичных знаков по формуле:

,
где F - нагрузка в килоньютонах при деформации образца 3%;
L - длина образца в метрах;
y - деформация 3% в метрах (y/di = 0,03).
Кольцевую жесткость корпуса рассчитывают до двух десятичных знаков как среднее арифметическое значений для трех образцов.
9.4.2. Определение кольцевой гибкости корпуса при 30%-ной деформации поперечного сечения проводят на оборудовании в соответствии с
9.4.1.
Допускается проводить определение кольцевой гибкости на образцах в соответствии с
9.4.1, которые прошли определение кольцевой жесткости.
Испытания проводятся при температуре (23 +/- 2) °C.
Образец устанавливается так, чтобы маркировочная линия находилась в контакте с верхней плитой. Осуществляют деформацию поперечного сечения образца корпуса с постоянной скоростью на величину 30% среднего наружного диаметра dem, определенного как среднее арифметическое значение результатов не менее шести равномерно распределенных измерений в одном сечении, а расстоянии от торца не менее 100 мм или путем прямого измерения с помощью л-рулетки.
В процессе деформации не должно быть падения нагрузки и возникновения трещин.
На образце после снятия нагрузки деформации при визуальном осмотре не должно быть трещин, расслоений внутренней и наружной стенок, вмятин и короблений стенки заготовки корпуса.
9.4.3. Испытания корпусов на ударную прочность проводят на стенде с падающим грузом, обеспечивающем точность установки требуемой высоты падения груза от верхней поверхности образца в пределах +/- 10 мм. V-образное основание с углом 120° для установки образцов должно иметь длину не менее 200 мм и располагаться таким образом, чтобы точка удара падающего груза была в пределах 2,5 мм от его оси. Размеры сферического бойка падающего груза типа d90 должны соответствовать рисунку 4, при этом Rs = 50 мм, d = (90 +/- 1) мм.
Рисунок 4
Масса груза, включая массу бойка, должна составлять 3,20 кг (допуск +0,01 кг).
Высота падения груза должна быть 2000 мм.
Отбор образцов должен проводиться от одной партии заготовок для корпусов. Образцами являются отрезки заготовок корпусов длиной (200 +/- 10) мм, торцы которых отрезаны ровно и перпендикулярно оси корпуса, без сколов и трещин. На наружной поверхности образца по всей длине образующей, наносят линии на равных расстояниях друг от друга по периметру окружности, в количестве 24 шт.
Перед испытаниями образцы должны быть выдержаны в жидкой среде 60 мин или воздушной среде 240 мин при температуре (0 +/- 1) °C.
Образец, извлеченный из кондиционирующего устройства, укладывают на V-образное основание так, чтобы удар приходился на середину длины образца, и подвергают ударам падающего груза последовательно по каждой из нанесенных линий.
Время на испытание образца с момента извлечения из кондиционирующего устройства должно составлять не более 60 с.
Если продолжительность испытаний образца превысила допускаемый интервал, его помещают в кондиционирующее устройство на 5 мин. Если продолжительность испытаний превышена более чем на 10 с, образец подвергают повторному кондиционированию.
После каждого удара проверяют состояние образца, фиксируя разрушения. Критериями разрушения являются раскалывание образца и трещины, видимые без применения увеличительных приборов. Вмятины и складки на поверхности образца не являются разрушением.
Испытывают такое количество образцов, чтобы количество ударов составляло не менее двадцати пяти. Результат испытаний TIR < 10% или TIR > 10% устанавливают в соответствии с таблицей 3.
Таблица 3
Результаты испытаний корпусов на ударную прочность
Количество ударов, шт. | Область A (TIR < 10%) | Область B (продолжение испытаний) | Область C (TIR > 10%) |
Количество разрушений |
25 | 0 | 1 - 3 | 4 |
26 - 32 | 0 | 1 - 4 | 5 |
33 - 39 | 0 | 1 - 5 | 6 |
40 - 48 | 1 | 2 - 6 | 7 |
49 - 52 | 1 | 2 - 7 | 8 |
53 - 56 | 2 | 3 - 7 | 8 |
57 - 64 | 2 | 3 - 8 | 9 |
65 - 66 | 2 | 3 - 9 | 10 |
67 - 72 | 3 | 4 - 9 | 10 |
73 - 79 | 3 | 4 - 10 | 11 |
80 | 4 | 5 - 10 | 11 |
9.4.4. Герметичность корпуса проверяют путем заполнения его водой, имеющей температуру 19 +/- 9 °C до верха (без учета технических горловин и шахт).
Испытуемый образец представляет собой корпус локального инженерного сооружения, изготовленный по технологии производителя.
Входные и выходные патрубки сооружений заглушают любым способом, обеспечивающим герметичность.
На образце при заполнении водой до требуемого уровня не должно быть видимых протечек.
Время контроля - не менее 15 мин.
9.5. Методы контроля ВЛ
9.5.1. Контроль соответствия изделия конструкторской документации, внешнего вида и цвета проводят визуально-измерительным способом при дневном рассеянном освещении.
9.5.2. Отклонение толщины деталей от проектных размеров, контролируется с помощью металлической линейки по
ГОСТ 427, штангенциркуля по
ГОСТ 166, и глубиномера индикаторного по
ГОСТ 7661.
9.5.3. Габаритные размеры лотков проверяют металлической измерительной рулеткой по
ГОСТ 7502 и металлической линейкой по
ГОСТ 427.
9.5.4. Приемо-сдаточные испытания сосредоточенной нагрузкой проводятся в соответствии с
разделом В.2 методик (приложение В).
9.5.5. Типовые испытания лотков распределенной нагрузкой на статическую прочность проводятся в соответствии с
разделом В.3 методик (приложение В).
9.5.6. Типовые испытания лотков на ползучесть, определяющие срок службы лотка, проводятся в соответствии с
разделом В.4 методик (приложение В).
9.5.7. Объем периодических испытаний выбирается в соответствии с
п. 8.2.1.3.
9.5.8. Испытания на огнестойкость, водостойкость, химическую стойкость, и стойкость к воздействию уф-излучения проводятся в профильных лабораториях.
X. Хранение и транспортирование
10.1. Группа условий хранения и транспортировки технологического оборудования по
ГОСТ 15150.
10.2. Локальные инженерные сооружения должны иметь проушины или другие приспособления для строповки при монтаже и транспортировке.
10.3. Транспортирование локальных инженерных сооружений допускается производить любым видом транспорта в соответствии с правилами перевозки грузов, действующими на транспорте данного вида, при условии надежного крепления их к транспортному средству.
10.4. При разгрузке вручную водоотводных лотков с транспортного средства не допускается сбрасывать лотки на грунт во избежание их механического повреждения.
10.5. Хранение допускается на открытом воздухе, но обязательно с закрытыми горловинами, для исключения попадания атмосферных осадков внутрь корпуса.
10.6. Температура окружающего воздуха при хранении от -60 до +50 град.
10.7. При транспортировании локальные инженерные сооружения необходимо укладывать на ровную поверхность транспортных средств, предохранять от острых металлических углов и ребер. Сбрасывание локальных инженерных сооружений с транспортных средств не допускается.
10.8. Условия транспортирования при воздействии внешних климатических факторов - согласно группе 3
ГОСТ 15150, механических факторов - согласно группе C
ГОСТ 23170.
XI. Монтаж и эксплуатация
11.1. Монтаж локальных инженерных сооружений для очистки и перекачки сточных вод следует производить в соответствии с проектной документацией с учетом рекомендаций завода-изготовителя.
11.2. Необходимость устройства и конструкция фундаментных плит определяется проектом.
11.3. Конструкция крепления локальных инженерных сооружений к фундаментным плитам определяется проектом.
11.4. Конструкция креплений и фундаментных плит должна обеспечивать сохранность корпуса локальных инженерных сооружений, а также их устойчивость (обеспечение проектного положения) при монтаже и в процессе эксплуатации.
11.5. При монтаже локальных инженерных сооружений следует выполнять требования действующего законодательства РФ, а также указания по монтажу, приведенные в проектной документации.
11.6. Обратную засыпку локальных инженерных сооружений следует выполнять песком для строительных работ
(ГОСТ 8736). Допускается выполнение обратной засыпки локальных инженерных сооружений местным чистым грунтом, не содержащим крупных включений.
11.7. Содержание в грунте обратной засыпки строительного и иного мусора не допускается.
11.8. При выполнении работ по обратной засыпке (в т.ч. по уплотнению грунта) следует предохранять сооружения от повреждения и смещения относительно проектного положения.
11.9. Монтаж локальных инженерных сооружений следует выполнять при помощи грузоподъемного оборудования и/или механизмов. Подбор марки оборудования и/или механизма, применяемого при монтаже, должен производиться в проекте организации строительства и уточняться в проекте производства работ.
11.10. При подаче локальных инженерных сооружений на место монтажа следует применять грузозахватные приспособления, обеспечивающие сохранность их конструктивных элементов и надежность крепления на рабочем органе грузоподъемного оборудования и/или механизма.
11.11. Строповку локальных инженерных сооружений следует выполнять с использованием специальных монтажных петель, предусмотренных конструкцией сооружения. При отсутствии монтажных петель допускается выполнять строповку локальных инженерных сооружений текстильными стропами обхватом (простым или с обвязкой) или удавкой.
11.12. Подбор грузозахватных приспособлений следует выполнять в проекте организации строительства и уточнять в проекте производства работ.
11.13. Давление металлических элементов на корпус локальных инженерных сооружений при их монтаже и эксплуатации не допускается.
11.14. Допустимые отклонения от проектного положения локальных инженерных сооружений определяются действующим законодательством РФ.
11.15. Для предохранения от всплытия локальных инженерных сооружений, обратную засыпку следует производить с одновременным заполнением их водой.
11.16. Выполнение обратной засыпки локальных инженерных сооружений грунтом, содержащим мерзлые комья, не рекомендуется.
11.17. Вес и геометрия секции лотка должны допускать его ручную установку в траншею.
11.18. Лотки цельного поперечного сечения поставляются изготовителем секциями, из которых на объекте собирается единый водоотвод.
11.19. Сборные конструкции лотков собираются на объекте сначала в секции, а затем в единый водоотвод.
11.20. При укладке лотков в траншею не допускаются удары по лоткам молотком или другими предметами, а также механические воздействия, которые могут привести к повреждению лотка.
11.21. Категорически запрещается забивать лотки в грунт с целью получения необходимых высотных отметок.
11.22. Ширина и глубина траншеи должны соответствовать устанавливаемому лотку и проектной документации, обеспечивать свободную их укладку с зазором не менее 50 мм от габаритной ширины лотка. Типовые решения установки лотков представлены на рис. 4 и
рис. 5.
Рисунок 4
Схема установки лотков в междупутье. Поперечный профиль
Глубина лотка H, м | Наименьшее расстояние от оси пути до оси лотка Zmin, м | Расстояние от подошвы рельса до дна лотка h, м |
0,5 | 1.95 | 0,6 |
0,75 | 2.20 | 0,85 |
1,0 | 2.40 | 1,10 |
1,25 | 2.60 | 1,35 |
Типовое решение применения водоотводных лотков вдоль пути.
Поперечный профиль. Установочные размеры. Размеры траншеи
11.23. Установку, монтаж, засыпку лотков следует производить согласно проектной документации и Инструкции по эксплуатации, утвержденной в установленном порядке.
11.24. При необходимости получения требуемой длины водостока, некратной длине лотков, допускается укорачивать лотки по длине путем обрезки лотка ножовкой (с противоположного от уширения торца). Линия обреза должна проходить на расстоянии не менее 90 мм от ближайшего силового ребра для обеспечения стыковки лотков между собой.
11.25. После механической обработки лотков, включая работы, указанные в
п. 11.24, при необходимости, на обработанные поверхности нанести защитное покрытие, указанное в Технических условиях предприятия-изготовителя.
11.26. Для обеспечения нормальной эксплуатации лотков необходимо выполнять следующие работы:
очищать лотки от загрязнений, мусора, иловых осадков, наледей. При очистке использовать деревянную лопату без использования ломов и других металлических предметов. При очистке лотков струей воды давление потока воды должно быть не более 10 атм.;
удары по лоткам не допускаются;
содержать лотки в исправном состоянии, обеспечивающим отвод воды от земляного полотна и исключающим застой воды на пути и в водоотводах;
производить своевременную замену поврежденных лотков на кондиционные.
11.27. Сужение лотков за срок эксплуатации

не должно превышать величин, приведенных в таблице 4.
Таблица 4
Допускаемое сужение лотков

Тип лотка | 1 | 2 |
Глубина лотка, м | До 0,5 | 0,75 | 1,0; 1,25 | 0,6 |
Сужение  , мм | 70 | 80 | 120 | 150 |
Величина реального сужения лотка определяется разницей проектного и фактического (замеренного на объекте) размера внутренней ширины лотка в его верхней части. При сужении лотков на большую величину необходима их замена.
XII. ТРЕБОВАНИЯ ОХРАНЫ ОКРУЖАЮЩЕЙ СРЕДЫ
12.1. Отработанная фильтрующая загрузка ЛОС вывозится на полигон утилизации по договору со специализированными организациями. Определить объект размещения отходов проектом.
12.2. Основным видом возможного опасного воздействия на окружающую среду является загрязнение атмосферного воздуха, почв и вод в результате:
неорганизованного сжигания и захоронения отходов материалов, используемых при изготовлении локальных инженерных сооружений на территории предприятия-изготовителя или вне ее;
произвольной свалки отходов материалов в непредназначенных для этих целей местах.
12.3. Утилизация отходов в конце производственного цикла должна осуществляться в соответствии с требованиями
СанПиН 2.1.7.1322-03.
12.4. Допускается утилизацию отходов материалов осуществлять на договорной основе только с организацией, имеющей соответствующую лицензию.
12.8. При производстве локальных инженерных сооружений, а также оборудования и изделий, являющихся их конструктивными элементами, должны применяться материалы, использование которых возможно в качестве вторичного сырья. Применение материалов, использование которых в качестве вторичного сырья невозможно допускается только в случае, если отсутствует возможность их замены.
12.9. Утилизация изделий и материалов не пригодных для дальнейшего использования должна производиться в соответствии с действующим законодательством РФ.
XIII. Гарантии изготовителя
13.1. Предприятие-изготовитель должно гарантировать соответствие выпускаемых локальных инженерных сооружений требованиям действующих в Российской Федерации норм и правил.
13.2. Гарантия на локальные инженерные сооружения должна составлять не менее 5 лет, при условии соблюдения правил эксплуатации.
13.3. Сохранение эксплуатационных свойств корпусов ЛОС и лотков - не менее 50 лет.
XIV. Расчетные показатели систем очистных сооружений <*>
14.1. Показатели очистки воды:
Наименование показателя | Норматив ПДК очищенной сточной воды, поступающей в водоем рыбохозяйственного назначения | Показатели очищенной воды на выходе ЛОС |
Водородный показатель pH | 6,0 - 9,0 | 6,0 - 9,0 |
Нитраты | 9 мг/дм3 | 9 мг/дм3 |
Железо | 0,1 мг/дм3 | 0,1 мг/дм3 |
Сульфаты | 100 мг/дм3 | 100 мг/дм3 |
Хлориды | 300 мг/дм3 | 300 мг/дм3 |
СПАВ | 0,5 мг/дм3 | 0,5 мг/дм3 |
Нефтепродукты | 0,05 мг/дм3 | 0,05 мг/дм3 |
Аммоний (по азоту) | 0,4 мг/дм3 | 0,4 мг/дм3 |
Аммоний-ион | 0,5 мг/дм3 | 0,5 мг/дм3 |
Нитриты | 0,2 мг/дм3 | 0,2 мг/дм3 |
БПК полн. | 3 мг/дм3 | 3 мг/дм3 |
Фосфат-ион | 0,2 мг/дм3 | 0,2 мг/дм3 |
Фосфаты по (P) | 1 - 2 мг/дм3 | 1 - 2 мг/дм3 |
Щелочность | pH 7 - 9 | pH 7 - 9 |
Взвешенные вещества | 10 мг/дм3 | 10 мг/дм3 |
Алюминий | 0,04 мг/дм3 | 0,04 мг/дм3 |
Барий | 0,74 мг/дм3 | 0,74 мг/дм3 |
Медь | 0,001 мг/дм3 | 0,001 мг/дм3 |
Ртуть | Отсутствие | Отсутствие |
Свинец | 0,1 мг/дм3 | 0,1 мг/дм3 |
Фенол | 0,001 мг/дм3 | 0,001 мг/дм3 |
Фториды | 0,75 мг/дм3 | 0,75 мг/дм3 |
Хром | 0,07 мг/дм3 | 0,07 мг/дм3 |
Цинк | 0,01 мг/дм3 | 0,01 мг/дм3 |
ХПК | 30 мг/дм3 | 30 мг/дм3 |
Примечание: Для некоторых объектов показатели очищенной воды частично или полностью могут быть приняты согласно действующим на объекте НДС (нормам допустимого содержания загрязняющих веществ), если это обосновано целесообразностью.
(обязательное)
УДАРНАЯ ПРОЧНОСТЬ КОРПУСОВ ПРИ ТЕМПЕРАТУРЕ МИНУС 10 °C
Таблица А.1
Наименование показателя | Значение | Метод испытаний |
1 Ударная прочность при температуре минус 10 °C | | |
<1> Без разрушений при высоте падения груза <= 500 мм. |
| | ИС МЕГАНОРМ: примечание. Нумерация пунктов дана в соответствии с официальным текстом документа. | |
А.2. Определение ударной прочности корпусов при температуре минус 10 °C проводят на стенде в соответствии с
п. 9.4.3, обеспечивающем возможность установки высоты падения груза до 2 м с кратностью 100 мм. Высота падения груза устанавливается от верха образца с точностью +/- 10 мм.
Размеры бойка груза типа d90 должны соответствовать
рисунку 2.
Масса груза, включая массу бойка, должна быть 12,50 кг (допуск +0,01 кг)
Образцами являются отрезки заготовок корпусов длиной (200 +/- 10) мм, торцы которых отрезаны ровно и перпендикулярно оси корпуса без сколов и трещин. Перед испытаниями образцы должны быть выдержаны при температуре минус (10 +/- 1) °C в воздушной среде.
Образец в течение 10 с после извлечения из кондиционирующего устройства устанавливают на стенде и подвергают единичному удару. После удара проверяют состояние образца. Критериями разрушения являются раскалывание образца и трещины, видимые без применения увеличительных приборов. Вмятины и складки на поверхности корпуса не являются разрушением.
Проводят предварительные испытания, установив высоту падения груза 0,5 м. Если образец разрушился, испытывают второй образец. В случае разрушения второго образца результат испытаний считают отрицательным. Если разрушения не произошло, образцы испытывают до первого разрушения, для каждого следующего образца увеличивая высоту падения груза на 0,2 м, но до высоты не более 2 м.
Затем переходят к основным испытаниям, устанавливая первоначальную высоту на 0,1 м ниже высоты первого разрушения образца, определенной в предварительных испытаниях.
Если образец разрушился, при испытании следующего образца высоту падения груза уменьшают на 0,1 м, если образец не разрушился, высоту увеличивают на 0,1 м.
Испытывают двадцать образцов, включая первый образец с разрушением, определенным в предварительных испытаниях.
Если в результате испытаний двадцати образцов не менее восьми из них разрушились или не разрушились, рассчитывают значение H50 как среднее арифметическое значение высот, установленных в процессе основных испытаний. В противном случае испытывают еще двадцать образцов, после чего переходят к расчету значения H50.
При регулярных испытаниях заготовок корпусов, для которых H50 >= 1500 мм:
предварительные испытания могут быть опущены, а первая высота падения при основных испытаниях устанавливается равной значению H50, полученному в предыдущих испытаниях и округленному до следующего значения меньшего 0,1 м;
при основных испытаниях значение H50 рассчитывают после испытаний десяти образцов, если зафиксировано пять или менее разрушений.
(обязательное)
Габаритные размеры корпусов локальных очистных сооружений:
Рис. Б.1 - Общий вид корпусов локальных очистных сооружений производительностью до 15 л/с
Рис. Б.2 - Общий вид корпусов локальных очистных сооружений производительностью от 20 до 45 л/с
| | ИС МЕГАНОРМ: примечание. Рисунок дан в соответствии с официальным текстом документа. | |
Рис. Б.3 - Общий вид корпусов локальных очистных сооружений производительностью свыше 45 л/с
| | ИС МЕГАНОРМ: примечание. Рисунок дан в соответствии с официальным текстом документа. | |
Таблица Б.1
Основные габаритные размеры корпусов
локальных очистных сооружений
N | Q, л/с | D1, мм | D2 (в зависимости от SN), мм | L1, мм | L2, мм | dp, мм |  , мм | h1, мм | h2, мм |
SN4 | SN6 | SN8 | SN12 | SN16 |
1 | 1,5 | 1200 | 1324 | 1350 | 1350 | 1374 | 1374 | 3 500 | - | 110 | 180 | 1080 | 900 |
2 | 3 | 1200 | 1324 | 1350 | 1350 | 1374 | 1374 | 4 500 | - | 110 | 180 | 1080 | 900 |
3 | 4 | 1400 | 1550 | 1560 | 1574 | 1620 | 1620 | 5 000 | - | 110 | 230 | 1230 | 1000 |
4 | 5 | 1400 | 1550 | 1560 | 1574 | 1620 | 1620 | 5 500 | - | 110 | 230 | 1230 | 1000 |
5 | 6 | 1400 | 1550 | 1560 | 1574 | 1620 | 1620 | 5 800 | - | 160 | 230 | 1230 | 1000 |
6 | 7 | 1400 | 1550 | 1560 | 1574 | 1620 | 1620 | 6 200 | - | 160 | 230 | 1230 | 1000 |
7 | 8 | 1800 | 1974 | 2020 | 2040 | 2060 | 2100 | 5 000 | - | 160 | 250 | 1620 | 1370 |
8 | 9 | 1800 | 1974 | 2020 | 2040 | 2060 | 2100 | 5 500 | - | 160 | 250 | 1620 | 1370 |
9 | 10 | 1800 | 1974 | 2020 | 2040 | 2060 | 2100 | 6 000 | - | 160 | 250 | 1620 | 1370 |
10 | 15 | 1800 | 1974 | 2020 | 2040 | 2060 | 2100 | 8 000 | - | 200 | 270 | 1580 | 1310 |
11 | 20 | 1800 | 1974 | 2020 | 2040 | 2060 | 2100 | 9 000 | - | 200 | 270 | 1580 | 1310 |
12 | 25 | 2000 | 2220 | 2240 | 2260 | 2300 | 2300 | 10 500 | - | 250 | 350 | 1760 | 1410 |
13 | 30 | 2000 | 2220 | 2240 | 2260 | 2300 | 2300 | 12 000 | - | 250 | 350 | 1760 | 1410 |
14 | 35 | 2200 | 2440 | 2460 | 2500 | - | - | 11 000 | - | 315 | 380 | 1880 | 1500 |
15 | 40 | 2200 | 2440 | 2460 | 2500 | - | - | 12 000 | - | 315 | 380 | 1880 | 1500 |
16 | 45 | 2200 | 2440 | 2460 | 2500 | - | - | 13 500 | - | 315 | 380 | 1880 | 1500 |
17 | 50 | 2200 | 2440 | 2460 | 2500 | - | - | 9 000 | 5 000 | 315 | 400 | 1880 | 1480 |
18 | 55 | 2200 | 2440 | 2460 | 2500 | - | - | 9 000 | 6 000 | 315 | 400 | 1880 | 1480 |
19 | 60 | 2200 | 2440 | 2460 | 2500 | - | - | 11 000 | 6 000 | 315 | 420 | 1880 | 1460 |
20 | 70 | 2400 | 2660 | 2660 | 2700 | - | - | 9 000 | 6 000 | 400 | 450 | 1980 | 1530 |
21 | 80 | 2400 | 2660 | 2660 | 2700 | - | - | 11 000 | 7 000 | 400 | 450 | 1980 | 1530 |
22 | 90 | 2800 | 3100 | 3100 | - | - | - | 10 000 | 6 000 | 400 | 500 | 2350 | 1850 |
23 | 100 | 2800 | 3100 | 3100 | - | - | - | 11 000 | 7 000 | 400 | 500 | 2350 | 1850 |
Примечания:
- габаритные размеры корпусов локальных очистных сооружений производительностью свыше 100 л/с разрабатываются индивидуально;
- горловины показаны условно; допускается установка конус-перехода под стандартный люк с крышкой.
(обязательное)
Лотки водоотводные из композитных материалов.
Методики прочностных лабораторных испытаний.
Методики регламентируют порядок и условия проведения прочностных испытаний водоотводных лотков из композитных материалов сосредоточенной нагрузкой
(раздел В.2) при приемо-сдаточных и периодических испытаниях, а также распределенной нагрузкой
(раздел В.3) и на ползучесть
(раздел В.4) при типовых испытаниях композитных водоотводных лотков.
В связи с тем, что в "Градостроительном
кодексе РФ" объекты инфраструктуры железнодорожного транспорта отнесены к "Особо опасным и технически сложным объектам"
(статья 48.1), прочностные расчеты сооружений (в т.ч. лотков) должны проводится с учетом коэффициента надежности по ответственности

.
В.1. Применяемое оборудование
ГОСТ 166* Штангенциркуль. Технические условия.
ГОСТ 427* Линейка измерительная металлическая. Технические условия.
ГОСТ 7502 Рулетка измерительная металлическая. Технические Условия.
ГОСТ 13837 Динамометры общего назначения. Технические условия.
Часы. Погрешность измерения не более 5 секунд в час.
Термометр. Погрешность измерения не более 2 C.
В.2. Методика приемо-сдаточных испытаний сосредоточенной нагрузкой
В.2.1. Условия проведения испытаний
В.2.1.1. Лотки водоотводные должны быть изготовлены в соответствии с нормативно-технической документацией, утвержденной в установленном порядке. При наличии производственных дефектов должны быть оформлены соответствующие ведомости.
В.2.1.2. Испытаниям подвергают водоотводные лотки, предъявляемые заводом-изготовителем.
В.2.1.3. Испытания проводят на лотках с открытым профилем без установки дополнительных съемных элементов, ограничивающих перемещения по верху лотка.
В.2.1.4. К испытаниям допускаются водоотводные лотки, прошедшие контроль на соответствие внешнего вида и размеров лотка с занесением результатов в протокол испытаний. Форма протокола приведена в Приложении Г
(п. Г.1).
В.2.1.5. На лоток должна быть нанесена маркировка в соответствии с ТУ на лоток.
В.2.1.6. Испытания проводят в лабораторных условиях при температуре окружающего воздуха не ниже плюс 15 °C и произвольной относительной влажности методом непосредственного приложения нагрузок.
В.2.1.7. Контроль величины нагрузки производят с помощью динамометра, входящего в состав стенда.
В.2.2. Последовательность проведения испытаний
В.2.2.1. Лоток устанавливают на стенд, схема которого представлена на рисунке В.1.
Рисунок В.1
В.2.2.2. Выполняют замеры исходной ширины лотка на уровне оси приложения нагрузки на расстоянии 5 - 10 мм от обоих торцов лотка. Результаты замеров заносят в протокол испытаний (Приложение Г,
п. Г.1).
В.2.2.3. Производят плавное нагружение лотка.
Величина погонной прикладываемой нагрузки для водоотводных лотков определяется на основании данных схемы загружения, приведенной на (п. 6.5.2.1 настоящих Требований,
рис. 3) по формуле:
где
MB - максимальный погонный изгибающий момент, определяемый по схеме загружения (п. 6.5.2.1 настоящих Требований,
рис. 3);
h - глубина лотка в метрах,

- коэффициент надежности по ответственности. Контроль величины прикладываемой нагрузки осуществляют визуально по динамометру.
В.2.2.4. Лоток выдерживают под заданной нагрузкой в течение не менее 5 мин. Уменьшение нагрузки в течение этого времени более чем на 3% от заданной величины недопустимо. В противном случае, необходимо увеличить нагрузку до требуемой величины и добиться стабильного ее удержания.
В.2.2.5. Производят замеры ширины лотка при стабильно удерживаемой заданной нагрузке. Замеры ширины лотка производить в зоне полки на расстоянии 5 - 10 см от торцов лотка. Результаты замеров заносят в протокол испытаний (Приложение Г,
п. Г.1).
В.2.2.6. При очевидных разрушениях или деформациях (образование трещин в обшивке более 50 мм, визуально обнаруживаемых трещин в других элементах лотка, следов пластического течения материала лотка или невозможность стабильного удержания нагрузки) процесс нагружения прекратить, зафиксировав при этом величину нагрузки на лоток на момент разрушения. Результаты занести в протокол испытаний (Приложение Г,
п. Г.1).
В.2.3. Обработка результатов испытаний
В.2.3.1. По результатам замеров для лотков цельного поперечного сечения вычисляют среднее значение ширины водоотводного лотка до

и после

нагружения по двум сечениям.
В.2.3.2. Определяют сужение лотка:

;.
В.2.3.3. Сравнивают его со значением комплексного браковочного критерия лотков

, при этом необходимо, чтобы

. (1)
При невыполнении данного условия лоток считают не прошедшим испытания.
В.2.3.4 Величина браковочного критерия

определяется по формуле:

,
где

- коэффициент надежности на разброс, который определяют по формуле:

,
где

- коэффициент вариации сужения лотков по
ГОСТ 14350. При отсутствии статистически достаточного количества испытаний принимают

;

- коэффициент надежности по воздействию внешней среды. Определяют путем водонасыщения образцов материала лотка и последующего определения прочности водонасыщенных образцов на сжатие и растяжение. При отсутствии результатов испытаний принимают

;

- коэффициент надежности по ползучести определяют по методике испытаний на ползучесть
(раздел В.4).
При отсутствии экспериментальных данных по значениям всех коэффициентов надежности

,

и

, вместо них используется обобщенный коэффициент надежности

;

- максимально допустимое сужение лотка в эксплуатации в соответствии с
п. 11.27, табл. 4.
K - коэффициент пересчета с условий нагруженного по нормативной нагрузке, к нагрузке, реализованной при испытаниях в соответствии с чертежом на лоток;

- значение сужения лотка, полученное расчетом с помощью метода конечных элементов (МКЭ) для схемы загружения стенда (п. 6.5.2.1 настоящих Требований,
рис. 3) в соответствии с чертежом на лоток (рекомендации по расчету МКЭ приведены в
Приложении Д);

- значение сужения лотка, полученное расчетом с помощью МКЭ при расчетных силовых воздействиях и схемах загружения (п. 6.5.2.1 настоящих Требований,
рис. 3).
При отсутствии расчетов с помощью МКЭ значение коэффициента пересчета принимают k = 0,7.
В.2.4. Оформление результатов испытаний
В.2.4.2. По положительным результатам испытаний в паспорте партии лотков, подготовленных к отправке заказчику, делают отметку ОТК о соответствии продукции требованиям нормативной документации на изделие.
В.2.4.3. На лотки, не прошедшие испытания, составляют ведомость дефектов.
В.3. Методика типовых и периодических испытаний распределенной нагрузкой
В.3.1. Условия проведения испытаний
В.3.1.1. Образцы для испытаний вырезают из секции лотка, прошедшего полный производственный цикл изготовления в соответствии с технологическим процессом и принятого ОТК предприятия-изготовителя. Вырезку образцов проводят в направлении, перпендикулярном продольной оси секции лотка. Образцы для испытаний представляют собой фрагменты натурной конструкции водоотводных лотков. Длина фрагментов лотков должна быть 1.0 - 1.5 м. Образец лотка должен быть симметричен по отношению к центральному поперечному сечению.
В.3.1.2. Образец лотка должен сопровождаться предъявительской (служебной) запиской предприятия изготовителя, где указывается:
номер технических условий, типоразмер и номер чертежа лотка;
материал, из которого изготовлен лоток;
отметка ОТК о приемке на соответствие чертежу и ТУ на лоток;
номер партии и лотка, а также дата изготовления;
вид испытаний.
В.3.1.3. На образце лотка должна быть нанесена маркировка, содержащая номера партии и лотка, а также номер предъявительской записки и дату изготовления.
В.3.1.4. Нагружение образца проводят распределенной нагрузкой, в соответствии со схемой, изображенной на рисунке В.2.
Схема нагружения и измерений
В.3.1.5. Величину равномерно распределенной нагрузки для испытаний на ползучесть
q следует определять по формуле:
где
MB - максимальный погонный изгибающий момент, определяемый по п. 6.5.2.1 настоящих требований,
рис. 3.
B - расстояние от днища лотка до оси равнодействующей горизонтального давления. Не должно отличаться от плеча равнодействующей (в соответствии с
рисунком 1 более чем на 50%);
A - ширина зоны равномерно распределенной нагрузки. Рекомендуется использовать величину не менее половины глубины лотка;

- коэффициент надежности по ответственности.
В.3.2. Порядок проведения испытаний
В.3.2.1. Испытания проводят в помещении при температуре окружающего воздуха не ниже плюс 25 +/- 5 °C и произвольной относительной влажности.
В.3.2.2. Перед испытаниями образцы выдерживают в условиях испытаний не менее трех часов.
В.3.2.3. Проводят визуальный осмотр лотка на наличие повреждений (трещин, расслоений, вмятин и др. дефектов). Сведения о состоянии лотка вместе с информацией об обнаруженных дефектах заносят в протокол.
В.3.2.4. На образец лотка фломастером наносят метки для измерения сближения боковых стенок лотка и продольную ось приложения равнодействующей горизонтального давления
(рисунок В.2).
В.3.2.5. Фиксируют показания температуры на начало испытаний.
В.3.2.6. Образец укладывают боковой стенкой в короб с песком
(рисунок В.2), установленный на жесткую горизонтальную поверхность (пол). Ребра образца должны быть утоплены в песок. Между полом и лотком (краем ребра по глубине) должна быть прослойка песка не менее 5 см, что обеспечит отсутствие касания лотка с полом при максимальной нагрузке на образец. Это состояние образца является исходным. Разрешается укладывать образец лотка на мешки с песком, расположенные в соответствии с п. В.3.2.7.
В.3.2.7. Укладывают мешки с песком на верхнюю обечайку (при наличии ребер - между ними) и со стороны днища образца лотка. Форма, размер мешков и степень наполнения их песком должны обеспечивать площадь контакта с обечайкой лотка не менее 80% от площади горизонтальной обшивки, ограниченной размером A
(рисунок В.2). Геометрические центры мешков с песком, устанавливаемых на верхнюю обечайку, должны находиться на оси приложения равнодействующей горизонтального давления. Высота мешков с песком должна быть не менее 25 мм, а при наличии у лотка ребер - больше высоты ребер не менее чем на 25 мм. Мешки с песком, устанавливаемые со стороны днища, не должны соприкасаться с мешками, устанавливаемыми на верхнюю стенку образца.
В.3.2.8. К образцу лотка прикладывается нагрузка, которая рассчитывается в соответствии с
п. В.3.1.5 по формуле:

, (2)
где m - коэффициент безопасности, равный 1,5 при испытании на статическую прочность и равный 1,0 при испытании на ползучесть.;

- коэффициент надежности по ответственности.
В.3.2.9. Нагружение лотка производят грузами, центр тяжести которых должен располагаться на оси приложения равнодействующей горизонтального давления. Величина погрешности прикладываемой нагрузки, по отношению к нагрузке, определенной по
формуле (2), не должна превышать 2%. Допускается перпендикулярное смещение грузов относительно оси равнодействующей горизонтального давления на +/- 10 мм. Нагружение образца осуществляют ступенчато с шагом не более 20% от P. На каждой ступени нагружения лоток выдерживают под нагрузкой в течение 3 +/- 1 мин., а затем проводят указанные в пункте В.3.2.10 измерения. По достижению максимальной нагрузки, а также после выдержки под нагрузкой в течение 10 +/- 1 мин. проводят измерения, указанные в пункте В.3.2.10.
В.3.2.10. Измеряют изменение ширины образца лотка под нагрузкой между метками, показанными на
рисунке В.2. Изменение ширины лотка измеряют в трех сечениях. Измерительный инструмент должен опираться на нижнюю обечайку лотка в месте контроля изменения ширины лотка. Стрелу прогиба обечайки лотка определяют по величине зазора между планкой, установленной вдоль оси приложения равнодействующей горизонтального давления, и обечаек лотка по оси ребер жесткости
(рисунок В.2).
Результаты измерений заносят в протокол (Приложение Г,
п. Г.2).
В.3.2.11. Разгружают образец, осматривают на наличие разрушений и проводят измерения по
пункту В.3.2.10. Измерения ширины лотка проводят сразу после снятия нагрузки и после выдержки в течение времени не менее 2 часов.
В.3.3. Обработка результатов испытаний
В.3.3.1. По результатам замеров вычисляют среднее значение сужения как среднее значение замеров по трем сечениям, полученным при каждом измерении.
В.3.3.2. Определяют прогиб обечайки лотка по верхней поверхности.
В.3.3.3. По полученным значениям сужения лотка и прогиба обечайки (
пункты В.3.3.1 и
В.3.3.2) при необходимости проводят корректировку модели расчета МКЭ для исследуемой конструкции и материала с использованием рекомендаций
приложения Д.
В.3.3.4. Оценку соответствия конструкции водоотводных лотков предъявляемым требованиям проводят по результатам замеров ширины лотка при приложении статических нагрузок. При испытаниях на статическую прочность образец лотка считают выдержавшим испытания, если не произошло:
- разрушение при нагрузке меньшей, чем определенная нагрузка по
формуле (2). Под разрушением лотка понимается появление в конструкции лотка сквозных трещин (в обечайке более 50 мм, в ребре - обнаруживаемые визуально), следов пластического течения материала лотка или невозможность стабильного удержания нагрузки;
- увеличение сужения лотка после выдержки 10 +/- 1 мин
(пункт В.3.2.10) более чем на 10% от начальной величины сужения.
В.3.3.5. Результаты измерений и расчетов отражают в протоколе (Приложение Г,
п. Г.2).
В.4. Методика типовых испытаний на ползучесть
В.4.1. Условия проведения испытаний
В.4.1.1. Для проведения испытаний образцов на ползучесть используют образцы, изготовленные в соответствии с
п.п. В.3.1.1;
В.3.1.2 и
В.3.1.3.
В.4.2. Порядок проведения испытаний
В.4.2.1. Испытания образцов проводят в соответствии с
пунктами В.3.2.1 -
В.3.2.9. Нагрузку на образец рассчитывают по
формуле (2) с использованием коэффициента безопасности
m = 1.0.
В.4.2.2. Замеры величины деформации лотка выполняют согласно
п. В.3.2.10 в момент приложения нагрузки, далее в момент времени, указанный в таблице В.1. При измерениях фиксируют значения температуры и влажности.
Таблица В.1
Номера | 1 | 2 | 3 | 4 | 5 | 6 | 7 | 8 |
Время замеров | Через 1+0.5 час | Через 4+1 часа | Через сутки в течение | Через 2 суток в течение | Через  суток | Через  суток | Через  суток | Через  суток |
В.4.2.3. Испытания на ползучесть прекращают при:
выдержке под нагрузкой в течение не менее 1000 часов;
В.4.2.4. Результаты измерений и осмотров отражают в протоколе (Приложение Г,
п. Г.3).
В.4.3. Обработка результатов испытаний
В.4.3.1. Результаты расчета сужения лотка

(среднее значение по трем сечениям) в зависимости от времени выдержки
ti при испытаниях на ползучесть аппроксимируют степенной зависимостью:

(3)
параметры, определяемые по экспериментальным точкам методом наименьших квадратов;
t - время в часах;
n - количество точек измерений.
В.4.3.2. Коэффициент надежности по ползучести

вычисляют по формуле:

, (4)
где t50 - время в часах, эквивалентное 50-ти годам (t50 = 438000);
Y0 - начальное сужение лотка при испытаниях на ползучесть.
В.4.3.3. Определяют величину расчетного сужения лотка за 50 лет по формуле:

,
где:

коэффициент пересчета с условий нагружения по нормативной нагрузке (п. 6.5.2.1 настоящих Требований,
рис. 3), к нагрузке, реализованной при испытаниях
(рис. В.2);
Yстенд - значение сужения лотка, полученное расчетом с помощью метода конечных элементов (МКЭ) для схемы нагружения стенда
(рис. В.2) по модели, скорректированной для исследуемой конструкции и материала);
| | ИС МЕГАНОРМ: примечание. В официальном тексте документа, видимо, допущена опечатка: имеется в виду рисунок 3, а не рисунок 1. | |
Yнор - значение сужения лотка, полученное расчетом с помощью МКЭ при расчетных силовых воздействиях и схемах загружения (п. 6.5.2.1 настоящих Требований,
рис. 1) по модели, скорректированной для исследуемой конструкции и материала.
При отсутствии расчетов с помощью МКЭ значение коэффициента пересчета принимают k = 0.7;

- коэффициент надежности на разброс. При одном образце -

; при испытаниях более одного образца определяют по формуле:

,
где n - количество испытанных лотков;

- коэффициент надежности по воздействию внешней среды (по
п. В.2.3.4.);

- коэффициент надежности по ползучести.
В.4.3.4. При испытаниях на ползучесть образец лотка считают выдержавшим испытания в том случае, если:
для коэффициента надежности по ползучести выполняется условие:

;
выполняется условие:

. (5)
где:

- максимально допустимое сужение лотка в эксплуатации.
В.4.4. Оформление результатов испытаний
В.4.4.1. Результаты осмотров, измерений и расчетов отражают в протоколе (Приложение Г,
п. Г.3).
(рекомендуемое)
ФОРМЫ ПРОТОКОЛОВ ПРОЧНОСТНЫХ ЛАБОРАТОРНЫХ ИСПЫТАНИЙ
Г.1. Форма протокола испытания лотков сосредоточенной нагрузкой по
разделу В.2.
Протокол проведения приемо-сдаточных испытаний
композитных водоотводных лотков
H = ________ м. черт. N. ____________ при нагрузке ______
Величина погонной нагрузки _________________.
Величина расчетной нагрузки при длине лотка __________.
Нормативное сужение ___________.
Партия N ___________.
Материал ______.
N п/п | N лотка | Дата испытания | Соответствие внешнего Вида лотка | Соответствие размеров лотка | Ширина лотка без нагрузки (мм) | Ширина лотка при расчетной нагрузке (мм) | Сужение лотка (мм) | Заключение о соответствии | Подпись ОТК |
| | | | | | | | | |
| | | | | | | | | |
| | | | | | | | | |
| | | | | | | | | |
| | | | | | | | | |
Г.2. Форма протокола испытания лотков распределенной нагрузкой по
разделу В.3.
ПРОТОКОЛ N ____ от "__" ________ 20 г.
лабораторных испытаний водоотводного композитного лотка на
статическую прочность
Основание для проведения испытаний:
Образец испытания:
Исходные материалы, использованные для изготовления образца:
Методика испытания:
Схема нагружения:
Испытательное оборудование и инструменты:
Условия проведения испытаний: Окружающая среда - лабораторный воздух
температурой _____ °C и влажностью ___%.
Условия нагружения:
Результаты испытаний на статическую прочность
Условия нагружения t = ___ °C Влажность = ___%
Таблица Г.2.1
Распределенная масса груза P, кг | Показания приборов изменения ширины лотка Y, мм | Изменение ширины лотка  , мм | Выпучивание стенок лотка F, мм |
Сечение 1 | Сечение 2 | Сечение 3 | Сечение 1 | Сечение 2 | Сечение 3 |
| | | | | | | |
| | | | | | | |
| | | | | | | |
0 (после разгрузки) | | | | | | | |
0 (через 16 часов после разгрузки) | | | | | | | |
При испытаниях образца лотка на _______ видимых разрушений ___________.
Также увеличение сужения образца лотка, после выдержки 10 минут,
не превысило допустимых_, от начальной величины.
Заключение:
Лаборант отдела ______________________________
Подпись ФИО
Руководитель лаборатории испытаний ___________
Подпись ФИО
Г.3. Форма протокола испытания лотков на ползучесть по
разделу В.4.
ПРОТОКОЛ N ____ от "__" ________ 20 г.
лабораторных испытаний водоотводного
композитного лотка статическими нагрузками
Заказчик: | |
Дата испытаний: | |
Основание для проведения испытаний:
Вид испытаний:
Образец испытания:
Исходные материалы, использованные для изготовления образца:
Методика испытания:
Схема нагружения:
Испытательное оборудование и инструменты:
Условия проведения испытаний: Окружающая среда - лабораторный воздух
температурой ____ °C и влажностью ___%.
Условия нагружения:
Результаты испытаний на ползучесть
Таблица Г.3.1
Деформация образца в процессе повторного нагружения
Распределенная масса груза P, кг | Показания приборов изменения ширины лотка Y, мм | Изменение ширины лотка  , мм | Выпучивание стенок лотка, F, мм |
Сечение 1 | Сечение 2 | Сечение 3 | Сечение 1 | Сечение 2 | Сечение 3 | в среднем |
| | | | | | | | |
| | | | | | | | |
Таблица Г.3.2
Изменение деформации в процессе выдержки
при нагрузке _____ на погонный метр
Время выдержки ti, час. | Показания приборов изменения ширины лотка Y, мм | Изменение ширины лотка  , мм | Выпучивание стенки лотка, F, мм | Температура t, °C | Влажность H, % |
Сеч. 1 | Сеч. 2 | Сеч. 3 | Сеч. 1 | Сеч. 2 | Сеч. 3 | в среднем  |
| | | | | | | | | | |
| | | | | | | | | | |
| | | | | | | | | | |
| | | | | | | | | | |
| | | | | | | | | | |
Ползучесть лотка в части изменения его ширины наблюдали в течение ____.
Максимальное сужение по бортам лотка составило (сечение 2) ______, а
максимальное выпучивание стенок _____. График изменения ширины лотка в
процессе выдержки под нагрузкой приведен на рис. ______.
Обработка результатов испытаний (прогноз сужения через 50 лет)
ИС МЕГАНОРМ: примечание.
В официальном тексте документа, видимо, допущена опечатка: имеется в виду
таблица Г.3.3, а не таблица 3.
Результаты обработки данных по методике инв. ________________ приведены
в таблице 3. Обозначения параметров согласно методики испытаний инв. ____
Таблица Г.3.3.
Y0, мм | A | n |  , мм | Y3 |  , мм | |
| | | | | | |
При испытаниях образца лотка на ____________________ видимых разрушений
_________. Также увеличение сужения образца лотка, после выдержки 10 минут,
не превысило допустимых, от начальной величины.
При испытаниях образца лотка на ______ разрушения образца в процессе
проведения испытания не произошло, а условие

= ______ <

= _____
было выполнено.
Заключение:
Лаборант отдела ________________________________ _______________
Подпись ФИО
Руководитель лаборатории испытаний _____________ _______________
Подпись ФИО
РАСЧЕТ ЖЕСТКОСТИ ЛОТКОВ МЕТОДОМ КОНЕЧНЫХ ЭЛЕМЕНТОВ
Д.1. Для расчета лотков методом конечных элементов (МКЭ) следует применять расчетные системы с возможностью определять напряженно-деформированное состояние конструкций в трехмерной постановке и позволяющие выполнять расчеты в соответствии с изложенной ниже процедурой (например, Nastran [http://www.mscsoftware.ru], ANSYS [http://www.ansys.com], ABAQUS [http://www.abaqus.com] и аналогичные).
Д.2. Геометрические параметры модели лотка должны полностью соответствовать исследуемой конструкции.
Д.3. Характерный размер конечного элемента следует выбирать таким, чтобы при уменьшении этого размера вдвое результаты расчета изменялись не более чем на 2%.
Д.4. При моделировании конструкции лотка допускается использовать двухмерные конечные элементы. При этом использовать двухмерную ортотропную модель материала, для которого задать следующие жесткостные характеристики:
Ex - модуль упругости в продольном направлении;
Ey - модуль упругости в поперечном направлении;
Gxy - модуль сдвига в плоскости слоев;
v12 - коэффициент Пуассона.
Д.5. Граничные условия и нагрузки к модели лотка прикладывать в соответствии с расчетной схемой:
- для расчета по схеме нормативного нагружения допускается моделировать регулярную часть лотка с граничными условиями, исключающими влияние краевых эффектов. Нагрузку прикладывать по эпюре горизонтального давления в соответствии с данными приложения Г,
п. Г.1;
- для расчета по схеме испытания распределенной нагрузкой модель строить в соответствии с испытательным стендом (
рисунок В.2, приложение В). При этом нагрузку на мешки с песком моделировать равномерно распределенным давлением на заданной ширине.
Д.6. Расчеты проводить в нелинейной постановке ввиду возникающих больших перемещений (по сравнению с толщиной конструктивных элементов).
Д.7. Конечно-элементную модель следует верифицировать по результатам испытания распределенной нагрузкой по данным измерений, проведенных по
п. В.3.2.10 (приложение В).
(обязательное)
РАСЧЕТА ПРОЧНОСТИ КОРПУСОВ ЛОКАЛЬНЫХ ИНЖЕНЕРНЫХ СООРУЖЕНИЙ
Е.1.1.1. Показатели запаса прочности
Допустимая деформация: | При отсутствии особых требований принимается 6% |
Использование внутреннего давления: | Внутреннее давление в системе не учитывается |
Группа (тип) грунта обратной засыпки: | Плотность по Проктору <**> | |
Плотность по Проктору: | DPr,E3 | | % |
Группа (тип) грунта в зоне сооружения: | Плотность по Проктору <**> | |
Плотность по Проктору: | DPr,E3 | | % |
Группа (тип) естественного грунта: | Плотность по Проктору <**> | |
Плотность по Проктору: | DPr,E3 | | % |
Группа (тип) грунта под сооружением | Плотность по Проктору <**> | |
Плотность по Проктору: | DPr,E3 | | % |
Применить теории Силоса: | Да/Нет | | |
Примечание:
<*> - значение 90% приведено для примера; при расчетах следует учитывать фактическое значение плотности;
<**> - при использовании автоматизированных программных комплексов допускается применять другие параметры определения плотности.
Высота засыпки: | h | m |
Вес грунта: | | kN/m3 |
Ручной ввод удельного веса грунта с учетом всплытия: | Нет | |
Дополнительная поверхностная нагрузка: | p0 | kN/m2 |
Максимальный уровень грунтовых вод над основанием сооружения: | hW,max | m |
Минимальный уровень грунтовых вод над основанием сооружения: | hW,min | m |
Внутреннее кратковременное давление: | PI,K | bar |
Внутреннее долговременное давление: | PI,L | bar |
Наполнение водой: | Да | |
Плотность среды: | | kN/m3 |
Транспортная нагрузка: | | kN/m2 |
Горизонтальная транспортная нагрузка в доказательстве усталости: | | % |
Способ прокладки: | Котлован | |
Ширина котлована: | b | m |
Угол откоса: | | ° |
Условия засыпки: | A1/A2/A3/A4 | |
Условия прокладки: | B1/B2/B3/B4 | |
Учет забивки крепления ниже основания сооружения по отчету рабочей группы: | Да/Нет | |
Тип прокладки (устройства основания): | Жесткое/сыпучий | |
Угол опирания сооружения на основание: | 120° | |
Высота основания: | hs | m |
Е.1.1.5. Сооружение с определенной жесткостью
Наружный диаметр: | da | mm |
Внутренний диаметр: | di | mm |
Местные деформации: | | % |
Номинальная жесткость: | SN | N/m2 |
Номинальное давление: | PN | bar |
Деформация при разрыве: | Да/Нет | |
Коэффициент ползучести: | fKriech | [-] |
Коэффициент уменьшения от температурного воздействия: | A1,Temp | [-] |
Коэффициент уменьшения от агрессивной среды: | A2,Medium | [-] |
Коэффициент уменьшения от динамических нагрузок: | A3,dyn | [-] |
Удельная масса материала корпуса: | | kN/m3 |
Коэффициент Poisson: | v | [-] |
Амплитуда с  тестов, как известно: | Да/Нет | |
Амплитуда с  тестов, как известно: | Да/Нет | |
Е.1.2.1. Промежуточные результаты расчета корпуса
Внутренний диаметр: | di | mm |
Наружный диаметр: | da | mm |
Радиус центральной оси стенки корпуса: | rm | mm |
Толщина стенки: | s | mm |
Отношение радиуса к толщине стены: | rm/s | [-] |
Корректирующий коэффициент внутренней кривизны: | | [-] |
Корректирующий коэффициент наруж. кривизны: | | [-] |
Локальная предвар. деформация: | | % |
Предвар. деформация (реализация перед загрузкой): | | % |
Радиальная поверхность профиля: | Arad | mm2/mm |
Плечо инерции: | e | mm |
Момент инерции: | I | |
Наружный момент сопротивления: | Wa | mm3/mm |
Внутренний момент сопротивления: | Wi | mm3/mm |
Плечо силы внешнего армирования: | кQ | [-] |
Е.1.2.1.1. Свойства материала
| | краткосрочность | долгосрочность | |
Удельный вес материала корпуса | | | | kN/m3 |
Коэффициент Poisson | v | | | [-] |
Рассчитанная величина модуля упругости | ER | | | N/mm2 |
Е.1.2.1.2. Запасы прочности
Требуемый общий коэффициент безопасности, трещины, повреждение посредством разрыва | erf | 2,00 | 2,00 | [-] |
| | | |
Требуемый общий коэффициент безопасности, трещины, повреждения посредством сжатия | erf | 2,00 | 2,00 | [-] |
| | | |
Требуемый общий коэффициент безопасности, потеря устойчивости | erf | 2,00 | 2,00 | [-] |
| | | |
Е.1.2.1.3. Минимальная ширина траншеи
Минимальная ширина в соответствии с таблицей 1: | minb,T1 | m |
Минимальная ширина в соответствии с таблицей 2: | minb,T2 | m |
Минимальная ширина траншеи: | minb | m |
Ширина траншеи: | b | m |
Ширина траншеи более минимального значения | | |
Е.1.2.2. Промежуточные результаты для комбинации нагрузок при минимальных грунтовых водах
Е.1.2.2.1. Теория Силоса
Коэффициент нагрузки грунта для нагрузки траншеи (Теория Силоса): | к | [-] |
Коэффициент нагрузки грунта к0 для поверхностной нагрузки (Теория Силоса): | к0 | [-] |
Е.1.2.2.2. Нагрузка
Уровень грунтовых вод над верхней точкой сооружения: | hW,Scheitel | m |
Удельный вес засыпки под водой: | | kN/m3 |
Вертикальное давление грунта от самого грунта: | PErd | kN/m2 |
Вертикальное напряжение грунта от самого грунта и поверхностной нагрузки: | PE | kN/m2 |
Напряжения от транспортных нагрузок: | PV | kN/m2 |
Включая фактор удара: | | [-] |
Е.1.2.2.3. Модуль деформации грунта
Модуль упругости засыпки под нагрузкой: | | N/mm2 |
Модуль упругости основания под нагрузкой: | | N/mm2 |
Коэффициент уменьшения для ползучести: | f1 | [-] |
Коэффициент уменьшения E20 (грунтовые воды): | f2 | [-] |
Коэффициент уменьшения E20 (узкая траншея): | aB | [-] |
Модуль упругости основания (уменьшен): | | N/mm2 |
|
Модуль деформации: | E3 | N/mm2 |
Модуль упругости естественного грунта: | | N/mm2 |
|
Модуль деформации: | E4 | N/mm2 |
Модуль упругости грунта под сооружением: | | N/mm2 |
Е.1.2.2.4. Значения жесткости грунта
Корректирующий фактор для горизонтальной жесткости основания: | | [-] |
Горизонтальная жесткость полотна | | [-] |
Для наклонных траншей (угол откоса менее 90) устанавливается ширина траншеи в средней точке сооружения вместо ширины траншеи на уровне верхней точки сооружения. |
Горизонтальная жесткость основания: | SBh | N/mm2 |
| | |
Вертикальная жесткость основания: | SBv | N/mm2 |
| | |
Е.1.2.2.5. Угол опирания, эффективная относительная проекция и угол трения
Угол опирания (на основание): | | ° |
|
Высота основания: | tr | m |
Рассчитанная относительная проекция: | a | [-] |
Повышенная относительная проекция в случае разуплотненного грунта: | as | [-] |
Эффективная относительная проекция: | a' | [-] |
|
Угол внутреннего трения: | | ° |
Угол трения стены траншеи: | | ° |
Е.1.2.2.6. Значения характеристик материала корпуса и кольцевая жесткость
| | Все нагрузки | Нагрузка грунта | прочее Нагрузки | |
Жесткость корпуса SR = 8·S0 | SR | | | | N/m2 |
Рассчитанная величина критической деформации волокна при растяжении | | | | | % |
Рассчитанная величина модуля упругости | ER | | | | N/mm2 |
Е.1.2.2.7. Соотношение жесткости
Жесткость системы | VRB | [-] |
Соотношение жесткости | Vs | [-] |
Коэффициент для силы реакции основания | cv* | [-] |
Е.1.2.2.8. Коэффициенты
Соотношение давления грунта (основание) | K2 | [-] |
Коэффициент для давления сопротивления основания | K* | [-] |
Результирующий коэффициент деформации | c'h,qv | [-] |
Результирующий коэффициент деформации | c'h,qh* | [-] |
Коэффициент для силы реакции основания | cv* | [-] |
Е.1.2.2.9. Коэффициент концентрации

и

Максимальный фактор концентрации | | | [-] |
|
Коэффициент для максимального фактора концентрации | K' | | [-] |
Соотношение: | | [-] |
| I/(A·rm2) | |
Соотношение 'I/(A·rm2)·kq': | | [-] |
| I/(A·rm2)·KQ | |
| | qv | qh | qh* | |
Коэффициент деформации для момента изгиба | cv | | | | [-] |
Коэффициент деформации для нормального усилия | cNv | | | | [-] |
Коэффициент деформации для поперечных сил | cQv | | | | [-] |
Результирующий коэффициент деформации | c'v | | | | [-] |
Результирующий коэффициент деформации | C'h,qv | | | | [-] |
Фактор концентрации над сооружением, начальное значение | | | | | [-] |
Фактор концентрации над сооружением, эффект траншеи  . | | | - | | [-] |
Фактор концентрации над сооружением, верхний предел | | | - | | [-] |
Фактор концентрации над сооружением, нижний предел | | | - | | [-] |
Фактор концентрации над сооружением, конечное значение | | | - | | [-] |
Фактор концентрации грунта | | | - | | [-] |
Е.1.2.2.10. Распределение давления по окружности корпуса
| | краткосрочное | долгосрочное | долгосрочное | |
| все нагрузки | нагрузка грунта | прочее нагрузки | |
Суммарная вертикальная нагрузка | qv | | | | kN/m2 |
Боковое давление | qh | | | | kN/m2 |
Давление сопротивления основания (нагрузка грунта) | q*h | | | | kN/m2 |
Давление сопротивления основания (наполнение водой) | q*hw | | | | kN/m2 |
Е.1.2.3. Промежуточные результаты для комбинации нагрузок при максимальном уровне грунтовых вод
Е.1.2.3.1. Теория Силоса
Коэффициент нагрузки грунта для нагрузки к траншеи (Теория Силоса): | [-] |
Коэффициент нагрузки грунта к0 для к0 поверхностной нагрузки (Теория Силоса): | [-] |
Е.1.2.3.2. Нагрузка
Уровень грунтовых вод над верхней точкой сооружения: | hW,Scheitel | m |
Удельный вес засыпки под водой: | y' | kN/m3 |
Вертикальное давление грунта от самого грунта: | PErd | kN/m2 |
Вертикальное напряжение грунта от самого грунта и поверхностной нагрузки: | PE | kN/m2 |
Напряжения от транспортных нагрузок: | Pv | kN/m2 |
Включая фактор удара: | | [-] |
Е.1.2.3.3. Модуль деформации грунта
Модуль упругости засыпки под нагрузкой: | | N/mm2 |
Модуль упругости основания под нагрузкой: | | N/mm2 |
Коэффициент уменьшения для ползучести: | f1 | [-] |
Коэффициент уменьшения E20 (грунтовые воды): | f2 | [-] |
Коэффициент уменьшения E20 (узкая траншея): | | [-] |
Модуль упругости основания (уменьшен.): | | N/mm2 |
Модуль деформации: | E3 | N/mm2 |
Модуль упругости естественного грунта: | | N/mm2 |
Модуль деформации: | E4 | N/mm2 |
Модуль упругости грунта под сооружением: | | N/mm2 |
Е.1.2.3.4. Значения жесткости грунта
Корректирующий фактор для горизонтальной жесткости основания: | | [-] |
Горизонтальная жесткость полотна: | | [-] |
Для наклонных траншей (угол откоса менее 90) устанавливается ширина траншеи в средней точке корпуса вместо ширины траншеи на уровне верхней точки корпуса. |
Горизонтальная жесткость основания: | SBh | N/mm2 |
| | |
Вертикальная жесткость основания: | SBv | N/mm2 |
| | |
| | ИС МЕГАНОРМ: примечание. Нумерация пунктов дана в соответствии с официальным текстом документа. | |
1.2.3.5. Угол опирания, эффективная относительная проекция и угол трения
Угол опирания (на основание): | | ° |
Высота основания: | tr | m |
Рассчитанная относительная проекция: | a | [-] |
Повышенная относительная проекция в случае разуплотненного грунта: | as | [-] |
Эффективная относительная проекция: | a' | [-] |
Угол внутреннего трения: | | ° |
Угол трения стены траншеи: | | ° |
Е.1.2.3.6. Значения характеристик материала корпуса и кольцевая жесткость
| | Краткосрочное | Долгосрочное | Долгосрочное | |
все нагрузки | нагрузка грунта | прочее нагрузки | |
Жесткость корпуса | SR | | | N/m2 |
SR = 8·S0 |
Рассчитанная величина критической деформации волокна при растяжении | | | | % |
Рассчитанная величина модуля упругости | ER | | | N/mm2 |
Е.1.2.3.7. Соотношение жесткости
Жесткость системы | VRB | [-] |
Соотношение жесткости | Vs | [-] |
Коэффициент для силы реакции основания | cv* | [-] |
Е.1.2.3.8. Коэффициенты
Соотношение давления грунта (основание) | K2 | [-] |
Коэффициент для давления сопротивления основания | K* | [-] |
Результирующий коэффициент деформации | C'h,qv | [-] |
Результирующий коэффициент деформации | C'h,qh* | [-] |
Коэффициент для силы реакции основания | Cv* | [-] |
Е.1.2.3.9. Коэффициент концентрации

и

Максимальный фактор концентрации | | [-] |
Коэффициент для максимального фактора концентрации | K' | [-] |
Соотношение: | | | [-] |
| | I/(A·rm2) | |
Соотношение 'I/(A·rm2)kq': | | | [-] |
| | I/(A·rm2)·KQ | |
| | qv | qh | qh* | |
Коэффициент деформации для момента изгиба | cv | | [-] |
Коэффициент деформации для нормального усилия | cNv | | [-] |
Коэффициент деформации для поперечных сил | cQv | | [-] |
Результирующий коэффициент деформации | c'v | | [-] |
Результирующий коэффициент деформации | C'h,qv | | [-] |
Фактор концентрации над сооружением, начальное значение | | | [-] |
Фактор концентрации над сооружением, эффект траншеи | | | [-] |
| | | |
Фактор концентрации над сооружением, верхний предел | | | [-] |
Фактор концентрации над сооружением, нижний предел | | | [-] |
Фактор концентрации над сооружением, конечное значение | | | [-] |
Фактор концентрации грунта | | | [-] |
| | | |
Е.1.2.3.10. Распределение давления по окружности корпуса
| | Краткосрочное | Долгосрочное | Долгосрочное | |
все нагрузки | нагрузка грунта | прочее нагрузки |
Суммарная вертикальная нагрузка | qv | | | | kN/m2 |
| | | | | |
Боковое давление | qh | | | | kN/m2 |
| | | | | |
Давление сопротивления основания (нагрузка грунта) | q*h | | | | kN/m2 |
| | | | | |
Давление сопротивления основания (наполнение водой) | q*hw | | | | kN/m2 |
| | | | | |
Е.1.2.4.1. Силы резания (поперечные) при минимальных грунтовых водах. Краткосрочное
| вершина | ось симметрии | основание | |
| mqv | [-] |
Момент от суммарной вертикальной нагрузки | Mqv | kNm/m |
| mqh | [-] |
Момент бокового давления | Mqh | kNm/m |
| mqh* | [-] |
Момент от горизонтального давления сопротивления основания | M*qh | kNm/m |
Момент от горизонтального давления сопротивления основания (заполн. водой) | M*qw | kNm/m |
| mg | [-] |
Момент от собственного веса | Mg | kNm/m |
| mw | [-] |
Момент от заполнения водой | Mw | kNm/m |
| mpw | [-] |
Момент из-за давления воды | Mpw | kNm/m |
| | |
Сумма моментов | | kNm/m |
| | |
Сумма моментов от грунта и транспортных нагрузок | | kNm/m |
| | |
Сумма моментов от других нагрузок | | kNm/m |
| | |
Сумма моментов без заполн. водой и гидростат. давления | | kNm/m |
| npv | [-] |
Нормальная сила от общей вертик. нагрузки | Nqv | kN/m |
| nqh | [-] |
Нормальная сила бокового давления | Nqh | kN/m |
| nqh* | [-] |
Нормальная сила от горизонтального давления сопротивления основания | N*qh | kN/m |
| nqh* | [-] |
Нормальная сила от горизонтального давления сопротивления основания (заполн. водой) | N*qw | kN/m |
| ng | [-] |
Нормальная сила от собственного веса | Ng | kN/m |
| nw | [-] |
Нормальная сила от заполнения водой | Nw | kN/m |
Нормальная сила от давления воды | Npw | kN/m |
Сумма нормальных сил | | kN/m |
Общая нормальная сила от грунта и транспортных нагрузок | | kN/m |
Общая нормальная сила от других нагрузок | | kN/m |
Сумма без заполнения водой и давления | | kN/m |
Е.1.2.4.2. Силы резания (поперечные) при минимальных грунтовых волах. Долгосрочное
| | вершина | Ось симметрии | основание | |
| mqv | | | | [-] |
Момент от суммарной вертикальной нагрузки | Mqv | | | | kNm/m |
| mqh | | | | [-] |
Момент бокового давления | Mqh | | | | kNm/m |
| mqh* | | | | [-] |
Момент от горизонтального давления сопротивления основания | M*qh | | | | kNm/m |
Момент от горизонтального давления сопротивления основания (заполн. водой) | M*qw | | | | kNm/m |
| mg | | | | [-] |
Момент от собственного веса | Mg | | | | kNm/m |
| mw | | | | Н |
Момент от заполнения водой | Mw | | | | kNm/m |
| mpw | | | | [-] |
Момент из-за давления воды | Mpw | | | | kNm/m |
|
Сумма моментов | | | | | kNm/m |
|
Сумма моментов от грунта и транспортных нагрузок | | | | | kNm/m |
|
Сумма моментов от других нагрузок | | | | | kNm/m |
|
Сумма моментов без заполн. водой и гидростат, давления | | | | | kNm/m |
| npv | | | | [-] |
Нормальная сила от общей вертик. нагрузки | Nqv | | | | kN/m |
| nqh | | | | [-] |
Нормальная сила бокового давления | Nqh | | | | kN/m |
| nqh* | | | | [-] |
Нормальная сила от горизонтального давления сопротивления основания | N*qh | | | | kN/m |
| nqh* | | | | [-] |
Нормальная сила от горизонтального давления сопротивления основания (заполн. водой) | N*qw | | | | kN/m |
| ng | | | | [-] |
Нормальная сила от собственного веса | Ng | | | | kN/m |
| nw | | | | [-] |
Нормальная сила от заполнения водой | Nw | | | | kN/m |
Нормальная сила от давления воды | Npw | | | | kN/m |
Сумма нормальных сил | | | | | kN/m |
Общая нормальная сила от грунта и транспортных нагрузок | | | | | kN/m |
Общая нормальная сила от других нагрузок | | | | | kN/m |
Сумма без заполнения водой и давления | | | | | kN/m |
Е.1.2.4.3. Силы резания (поперечные) при максимальном уровне грунтовых вод. Краткосрочное
| | вершина | Ось симметрии | основание | |
| mqv | | | | [-] |
Момент от суммарной вертикальной нагрузки | Mqv | | | | kNm/m |
| mqh | | | | [-] |
Момент бокового давления | Mqh | | | | kNm/m |
| mqh* | | | | [-] |
Момент от горизонтального давления сопротивления основания | M*qh | | | | kNm/m |
Момент от горизонтального давления сопротивления основания (заполн. водой) | M*qw | | | | kNm/m |
| mg | | | | [-] |
Момент от собственного веса | Mg | | | | kNm/m |
| mw | | | | [-] |
Момент от заполнения водой | Mw | | | | kNm/m |
| mpw | | | | [-] |
Момент из-за давления воды | Mpw | | | | kNm/m |
|
Сумма моментов | | | | | kNm/m |
| | | | | |
Сумма моментов от грунта и транспортных нагрузок | | | | | kNm/m |
|
Сумма моментов от других нагрузок | | | | | kNm/m |
|
Сумма моментов без заполн. водой и гидростат. давления | | | | | kNm/m |
| npv | | | | [-] |
Нормальная сила от общей вертик. нагрузки | Nqv | | | | kN/m |
| nqh | | | | [-] |
Нормальная сила бокового давления | Nqh | | | | kN/m |
| nqh* | | | | [-] |
Нормальная сила от горизонтального давления сопротивления основания | N*qh | | | | kN/m |
| nqh* | | | | [-] |
Нормальная сила от горизонтального давления сопротивления основания (заполн. водой) | N*qw | | | | kN/m |
| ng | | | | [-] |
Нормальная сила от собственного веса | Ng | | | | kN/m |
| nw | | | | [-] |
Нормальная сила от заполнения водой | Nw | | | | kN/m |
Нормальная сила от давления воды | Npw | | | | kN/m |
Сумма нормальных сил | | | | | kN/m |
Общая нормальная сила от грунта и транспортных нагрузок | | | | | kN/m |
Общая нормальная сила от других нагрузок | | | | | kN/m |
Сумма без заполнения водой и давления | | | | | kN/m |
Е.1.2.4.4. Силы резания (поперечный) при максимальном уровне грунтовых вод. Долгосрочное
| | вершина | Ось симметрии | основание | |
| mqv | | | | [-] |
Момент от суммарной вертикальной нагрузки | Mqv | | | | kNm/m |
| mqh | | | | [-] |
Момент бокового давления | Mqh | | | | kNm/m |
| mqh* | | | | [-] |
Момент от горизонтального давления сопротивления основания | M*qh | | | | kNm/m |
Момент от горизонтального давления сопротивления основания (заполн. водой) | M*qw | | | | kNm/m |
| mg | | | | [-] |
Момент от собственного веса | Mg | | | | kNm/m |
| mw | | | | [-] |
Момент от заполнения водой | Mw | | | | kNm/m |
| mpw | | | | [-] |
Момент из-за давления воды | Mpw | | | | kNm/m |
|
Сумма моментов | | | | | kNm/m |
|
Сумма моментов от грунта и транспортных нагрузок | | | | | kNm/m |
|
Сумма моментов от других нагрузок | | | | | kNm/m |
|
Сумма моментов без заполн. водой и гидростат, давления | | | | | kNm/m |
| npv | | | | [-] |
Нормальная сила от общей вертик. нагрузки | Nqv | | | | kN/m |
| nqh | | | | [-] |
Нормальная сила бокового давления | Nqh | | | | kN/m |
| nqh* | | | | [-] |
Нормальная сила от горизонтального давления сопротивления основания | N*qh | | | | kN/m |
| nqh* | | | | [-] |
Нормальная сила от горизонтального давления сопротивления основания (заполн. водой) | N*qw | | | | kN/m |
| ng | | | | [-] |
Нормальная сила от собственного веса | Ng | | | | kN/m |
| nw | | | | [-] |
Нормальная сила от заполнения водой | Nw | | | | kN/m |
Нормальная сила от давления воды | Npw | | | | kN/m |
Сумма нормальных сил | | | | | kN/m |
Общая нормальная сила от грунта и транспортных нагрузок | | | | | kN/m |
Общая нормальная сила от других нагрузок | | | | | kN/m |
Сумма без заполнения водой и давления | EN' | | | | kN/m |
Е.1.2.5. Доказательство краткосрочных нагрузок
Е.1.2.5.1. Доказательство растяжения (при минимальных грунтовых водах)
|
Корректирующий коэффициент внутренней кривизны: | | | [-] |
Внутри: | | Вершина | Ось симметрии | Основание | |
|
Растяжение от нагрузки грунта и транспорта | | | | | % |
|
Растяжение от других нагрузок | | | | | % |
|
Суммарное растяжение | | | | | % |
С учетом предельного растяжения внешних волокон | | | | | % |
Коэффициент надежности на растяжение при изгибе: | | | | | [-] |
Коэффициент надежности на сдавливание при изгибе: | | | | | [-] |
Требуемый общий коэффициент безопасности, трещины, повреждение посредством разрыва: | | | 2,00 | [-] |
Требуемый общий коэффициент безопасности, трещины, повреждения посредством сжатия: | | | 2,00 | [-] |
Корректирующий коэффициент наруж. кривизны: | | | | [-] |
Снаружи: | | Вершина | Ось симметрии | основание |
|
Растяжение от нагрузки грунта транспорта | | | | | % |
|
Растяжение от других нагрузок | | | | | % |
|
Суммарное растяжение | | | | | % |
С учетом предельного растяжения внешних волокон | | | | | % |
Коэффициент надежности на растяжение при изгибе: | | | | | [-] |
Коэффициент надежности на сдавливание при изгибе: | | | | | [-] |
Требуемый общий коэффициент безопасности, трещины, повреждение посредством разрыва: | | | 2,00 | [-] |
Требуемый общий коэффициент безопасности, трещины, повреждения посредством сжатия: | | | 2,00 | [-] |
Все рассчитанные коэффициенты надежности доказательства растяжения достаточны/не достаточны. | | | |
Е.1.2.5.2. Доказательство растяжения (при максимальном уровне грунтовых вод)
|
Корректирующий коэффициент внутренней кривизны: | | | [-] |
Внутри: | | Вершина | Ось симметрии | Основание |
| | ИС МЕГАНОРМ: примечание. Формула дана в соответствии с официальным текстом документа. | |
|
|
Растяжение от нагрузки грунта и транспорта | | | | | % |
|
Растяжение от других нагрузок | | | | | % |
|
Суммарное растяжение | | | | | % |
С учетом предельного растяжения внешних волокон | | | | | % |
Коэффициент надежности на растяжение при изгибе: | | | | | [-] |
Коэффициент надежности на сдавливание при изгибе: | | | | | [-] |
Требуемый общий коэффициент безопасности, трещины, повреждение посредством разрыва: | | 2,00 | [-] |
Требуемый общий коэффициент безопасности, трещины, повреждения посредством сжатия: | | 2,00 | [-] |
Корректирующий коэффициент наруж. кривизны: | | | [-] |
Снаружи: | Вершина | Ось симметрии | основание |
|
Растяжение от нагрузки грунта и транспорта | | | | | % |
|
Растяжение от других нагрузок | | | | | % |
|
Суммарное растяжение | | | | | % |
С учетом предельного растяжения внешних волокон | | | | | % |
Коэффициент надежности на растяжение при изгибе: | | | | | [-] |
Коэффициент надежности на сдавливание при изгибе: | | | | | [-] |
Требуемый общий коэффициент безопасности, трещины, повреждение посредством разрыва: | | 2,00 | [-] |
Требуемый общий коэффициент безопасности, трещины, повреждения посредством сжатия: | | 2,00 | [-] |
Все рассчитанные коэффициенты надежности доказательства растяжения достаточны/не достаточны. |
Е.1.2.5.3. Доказательство деформации (при минимальных грунтовых водах)
Режим расчета: | | линейный | |
Соотношение: | | | | [-] |
| I/(A·rm2) | |
Соотношение *I/(A·rm2)кq': | | | | [-] |
| I/(A·rm2)·KQ | |
| qv | qh | qh* | |
Коэффициент деформации для момента изгиба | cv | | | | [-] |
Коэффициент деформации для нормального усилия | cNv | | | | [-] |
Коэффициент деформации для поперечных сил | cQv | | | | [-] |
|
Результирующий коэффициент деформации | c'v | | | | [-] |
Результирующий коэффициент деформации | c'h,qv | | | | [-] |
|
Вертикальное изменение диаметра: | | | mm |
Горизонтальное изменение диаметра: | | | mm |
|
Относительная вертикальная деформация: | | | % |
Допустимая деформация: | | | % |
Рассчитанная деформация меньше допустимой. | | | |
Е.1.2.5.4. Доказательство деформации (при максимальном уровне грунтовых вод)
Режим расчета: | | линейный | |
Соотношение: | | I/(A·rm2) | [-] |
Соотношение 'I/(A·rm2)·kq': | | I/(A·rm2)·кQ | [-] |
| qv | qh | qh* | |
Коэффициент деформации для момента изгиба | cv | | | [-] |
Коэффициент деформации для нормального усилия | cNv | | | [-] |
Коэффициент деформации для поперечных сил | cQv | | | [-] |
|
Результирующий коэффициент деформации | c'v | | | [-] |
Результирующий коэффициент деформации | c'h,qv | | | [-] |
|
Вертикальное изменение диаметра: | | | mm |
Горизонтальное изменение диаметра: | | | mm |
|
Относительная вертикальная деформация: | | | % |
Допустимая деформация: | | | % |
Рассчитанная деформация меньше допустимой. |
Е.1.2.5.5. Доказательство устойчивости (линейное) (при максимальном уровне грунтовых вод)
Суммарная вертикальная нагрузка: | qv | | kN/m2 |
Коэффициент уменьшения для расчета устойчивости для нагрузки транспорта/грунта |
|
Коэффициент уменьшения для расчета устойчивости для нагрузки транспорта/грунта: | кv2 | [-] |
Критическая вертикальная суммарная нагрузка: | krit qv | kN/m2 |
krit qv = 2·Kv2·(8S0·SBh)0,5 |
Коэффициент надежности (вертикальная суммарная нагрузка): | | [-] |
|
Внешнее давление воды: | pa | kN/m2 |
|
Вкл. пониженное давление (вакуум) в корпусе: | PI- | kN/m2 |
Жесткость системы: | VRB | [-] |
Входная величина  для определения кa2: | | % |
Уменьшающий коэффициент предварительной деформации для пробивных нагрузок при внешнем давлении воды: | кa2 | [-] |
Уменьшающий коэффициент локальной предварительной деформации для "пробивных" нагрузок при внешнем давлении воды: | кa1 | [-] |
Заменительная величина для rm/s: | k* | [-] |
Коэффициент пробоя: | | [-] |
Критическое внешнее давление воды: | krit pa | kN/m2 |
кa = кa2·кa1 |
Коэффициент надежности для устойчивости (внешнее давление воды): | | [-] |
|
Коэффициент надежности для устойчивости: | | [-] |
Требуемый общий коэффициент безопасности, потеря устойчивости: | | [-] |
Е.1.2.5.6. Нелинейное доказательство стабильности
Нелинейное доказательство стабильности не применяется, т.к. VRB > 1,0 (жесткий корпус).
Е.1.2.6. Доказательство долгосрочных нагрузок
Е.1.2.6.1. Доказательство растяжения (при минимальных грунтовых водах)
|
Корректирующий коэффициент внутренней кривизны: | | | [-] |
Внутри: | вершина | Ось симметрии | основание | |
|
Растяжение от нагрузки грунта и транспорта | | | | | % |
|
Растяжение от других нагрузок | | | | | % |
|
Суммарное растяжение | | | | | % |
С учетом предельного растяжения внешних волокон | | | | | % |
Коэффициент надежности на растяжение при изгибе: | | | | | [-] |
Коэффициент надежности на сдавливание при изгибе: | | | | | [-] |
Требуемый общий коэффициент безопасности, трещины, повреждение посредством разрыва: | | 2,00 | [-] |
Требуемый общий коэффициент безопасности, трещины, повреждения посредством сжатия: | | 2,00 | [-] |
Корректирующий коэффициент наруж. кривизны: | | | [-] |
Снаружи: | | вершина | Ось симметрии | основание | |
|
Растяжение от нагрузки грунта и транспорта | | | | | % |
Растяжение от других нагрузок | | | | | % |
|
Суммарное растяжение | | | | | % |
С учетом предельного растяжения внешних волокон | | | | | % |
Коэффициент надежности на растяжение при изгибе: | | | | | [-] |
Коэффициент надежности на сдавливание при изгибе: | | | | | [-] |
Требуемый общий коэффициент безопасности, трещины, повреждение посредством разрыва: | | 2,00 | [-] |
Требуемый общий коэффициент безопасности, трещины, повреждения посредством сжатия: | | 2,00 | [-] |
Все рассчитанные коэффициенты надежности доказательства растяжения достаточны/не достаточны. | | | |
Е.1.2.6.2. Доказательство растяжения (при максимальном уровне грунтовых вод)
|
Корректирующий коэффициент внутренней кривизны: | | | [-] |
Внутри: | | вершина | Ось симметрии | основание | |
| | | | | |
|
Растяжение от нагрузки грунта и транспорта | | | | | % |
|
Растяжение от других нагрузок | | | | | % |
|
Суммарное растяжение | | | | | % |
С учетом предельного растяжения внешних волокон | | | | | % |
Коэффициент надежности на растяжение при изгибе: | | | | | [-] |
Коэффициент надежности на сдавливание при изгибе: | | | | | [-] |
Требуемый общий коэффициент безопасности, трещины, повреждение посредством разрыва: | | 2,00 | [-] |
Требуемый общий коэффициент безопасности, трещины, повреждения посредством сжатия: | | 2,00 | [-] |
Корректирующий коэффициент наруж. кривизны: | | | [-] |
Снаружи: | | вершина | Ось симметрии | Основание | |
|
Растяжение от нагрузки грунта и транспорта | | | | | % |
|
Растяжение от других нагрузок | | | | | % |
|
Суммарное растяжение | | | | | % |
С учетом предельного растяжения внешних волокон | | | | | % |
Коэффициент надежности на растяжение при изгибе: | | | | | [-] |
Коэффициент надежности на сдавливание при изгибе: | | | | | [-] |
Требуемый общий коэффициент безопасности, трещины, повреждение посредством разрыва: | | 2,00 | [-] |
Требуемый общий коэффициент безопасности, трещины, повреждения посредством сжатия: | | 2,00 | [-] |
Все рассчитанные коэффициенты надежности доказательства растяжения достаточны/не достаточны. |
Е.1.2.6.3. Доказательство деформации (при минимальных грунтовых водах)
Режим расчета: | линейный | |
Соотношение: | I/(A·rm2) | [-] |
Соотношение 'I/(A·rm2)·кq': | I/(A·rm2)·KQ | [-] |
| qv | qh | qh* | |
Коэффициент деформации для момента изгиба | cv | | | | [-] |
Коэффициент деформации для нормального усилия | cNv | | | | [-] |
Коэффициент деформации для поперечных сил | cQv | | | | [-] |
|
Результирующий коэффициент деформации | c'v | | | | [-] |
Результирующий коэффициент деформации | c'h,qv | | | | [-] |
|
Вертикальное изменение диаметра: | | | | | mm |
Горизонтальное изменение диаметра: | | | | | mm |
|
Относительная вертикальная деформация: | | | | | % |
Допустимая деформация: | | | | | % |
Рассчитанная деформация меньше допустимой. | | | | | |
Е.1.2.6.4. Доказательство деформации (при максимальном уровне грунтовых вод)
Режим расчета: | линейный | |
Соотношение: | | [-] |
| I/(A·rm2) | |
Соотношение 'I/(A·rm2)·кq': | | [-] |
| I/(A·rm2)·KQ | |
| qv | qh | qh* | |
Коэффициент деформации для момента изгиба | cv | | | | [-] |
Коэффициент деформации для нормального усилия | cNv | | | | [-] |
Коэффициент деформации для поперечных сил | cQv | | | | [-] |
|
Результирующий коэффициент деформации | c'v | | | | [-] |
Результирующий коэффициент деформации | c'h,qv | | | | [-] |
|
Вертикальное изменение диаметра: | | | mm |
Горизонтальное изменение диаметра: | | | mm |
|
Относительная вертикальная деформация: | | % |
Допустимая деформация: | | % |
Рассчитанная деформация меньше допустимой. |
Е.1.2.6.5. Доказательство устойчивости (линейное) (при максимальном уровне грунтовых вод)
Суммарная вертикальная нагрузка: | qv | kN/m2 |
Коэффициент уменьшения для расчета устойчивости для нагрузки транспорта/грунта |
|
Коэффициент уменьшения для расчета устойчивости для нагрузки транспорта/грунта: | Kv2 | [-] |
Критическая вертикальная суммарная нагрузка: | krit qv | kN/m2 |
krit qv = 2·Kv2·(8S0·SBh)0,5 |
Коэффициент надежности (вертикальная суммарная нагрузка): | | [-] |
| | |
Внешнее давление воды: | pa | kN/m2 |
| | |
Вкл. пониженное давление (вакуум) в корпусе: | pI- | kN/m2 |
Жесткость системы: | VRB | [-] |
Входная величина  для определения кa2: | | % |
Уменьшающий коэффициент предварительной деформации для пробивных нагрузок при внешнем давлении воды: | кa2 | [-] |
Уменьшающий коэффициент локальной предварительной деформации для "пробивных" нагрузок при внешнем давлении воды: | кa1 | [-] |
Заменительная величина для rm/s: | k* | [-] |
Коэффициент пробоя: | | [-] |
Критическое внешнее давление воды: | krit pa | kN/m2 |
| |
кa = кa2·кa1 |
Коэффициент надежности для устойчивости (внешнее давление воды): | | [-] |
| | |
Коэффициент надежности для устойчивости: | | [-] |
Требуемый общий коэффициент безопасности, потеря устойчивости: | | [-] |
Рассчитанные коэффициенты надежности доказательства устойчивости достаточны/не достаточны. | | |
Е.1.2.6.6. Нелинейное доказательство стабильности
Нелинейное доказательство стабильности не применяется, т.к. VRB > 1,0 (жесткий корпус). |
Результаты всех необходимых испытаний удовлетворительные/неудовлетворительные. |