Главная // Актуальные документы // ГОСТ (Государственный стандарт)СПРАВКА
Источник публикации
М.: Стандартинформ, 2014
Примечание к документу
Текст данного документа приведен с учетом поправок, опубликованных в "ИУС",
N 7, 2019;
N 12, 2021.
Документ
введен в действие с 01.03.2015.
Название документа
"ГОСТ 4650-2014 (ISO 62:2008). Межгосударственный стандарт. Пластмассы. Методы определения водопоглощения"
(введен в действие Приказом Росстандарта от 29.05.2014 N 466-ст)
"ГОСТ 4650-2014 (ISO 62:2008). Межгосударственный стандарт. Пластмассы. Методы определения водопоглощения"
(введен в действие Приказом Росстандарта от 29.05.2014 N 466-ст)
агентства по техническому
регулированию и метрологии
от 29 мая 2014 г. N 466-ст
МЕЖГОСУДАРСТВЕННЫЙ СТАНДАРТ
ПЛАСТМАССЫ
МЕТОДЫ ОПРЕДЕЛЕНИЯ ВОДОПОГЛОЩЕНИЯ
Plastics. Methods for the determination of water absorption
ГОСТ 4650-2014
(ISO 62:2008)
Дата введения
1 марта 2015 года
Цели, основные принципы и порядок проведения работ по межгосударственной стандартизации установлены
ГОСТ 1.0-92 "Межгосударственная система стандартизации. Основные положения" и
ГОСТ 1.2-2009 "Межгосударственная система стандартизации. Стандарты межгосударственные, правила и рекомендации по межгосударственной стандартизации. Правила разработки, принятия, применения, обновления и отмены".
1. Подготовлен Объединением юридических лиц "Союз производителей композитов" (Союзкомпозит) и Открытым акционерным обществом "Институт пластических масс имени Г.С. Петрова" (ОАО "Институт пластмасс") на основе аутентичного перевода на русский язык указанного в
пункте 5 стандарта, который выполнен ФГУП "СТАНДАРТИНФОРМ".
2. Внесен Техническим комитетом по стандартизации ТК 230 "Пластмассы, полимерные материалы и методы их испытаний".
| | ИС МЕГАНОРМ: примечание. Текст дан в соответствии с официальным текстом документа. | |
3. Принят Межгосударственным советом по стандартизации, метрологии и сертификации (Протокол от 27 февраля N 64-П).
За принятие проголосовали:
Краткое наименование страны по МК (ИСО 3166) 004-97 | Код страны по МК (ИСО 3166) 004-97 | Сокращенное наименование национального органа по стандартизации |
Азербайджан | AZ | Азстандарт |
Армения | AM | Минэкономики Республики Армения |
Беларусь | BY | Госстандарт Республики Беларусь |
Казахстан | KZ | Госстандарт Республики Казахстан |
Киргизия | KG | Кыргызстандарт |
Россия | RU | Росстандарт |
Таджикистан | TJ | Таджикстандарт |
Туркмения | TM | Главгосслужба "Туркменстандартлары" |
4.
Приказом Федерального агентства по техническому регулированию и метрологии от 29 мая 2014 г. N 466-ст межгосударственный стандарт ГОСТ 4650-2014 (ISO 62:2008) введен в действие в качестве национального стандарта Российской Федерации с 1 марта 2015 г.
5. Настоящий стандарт модифицирован по отношению к международному стандарту ISO 62:2008 Plastics - Determination of water absorption (Пластмассы. Определение поглощения воды).
Наименование настоящего стандарта изменено относительно наименования указанного международного стандарта для приведения в соответствие с ГОСТ 1.5-2001
(подраздел 3.6).
Дополнительные положения приведены в
5.7 и заключены в рамки из тонких линий.
Дополнительные фразы, слова, показатели и их значения, включенные в текст настоящего стандарта, выделены курсивом.
Перевод с английского языка (en).
Официальные экземпляры международного стандарта, на основе которого подготовлен настоящий межгосударственный стандарт, имеются в Федеральном фонде технических регламентов и стандартов.
Ссылки на международные стандарты, которые не приняты в качестве межгосударственных стандартов, заменены в
разделе "Нормативные ссылки" и тексте стандарта ссылками на соответствующие межгосударственные стандарты.
Информация о замене ссылок с разъяснением причин их внесения приведена в
Приложении В.
Сравнение структуры международного стандарта со структурой настоящего стандарта приведено в
Приложении Г.
Степень соответствия - модифицированная (MOD).
Информация об изменениях к настоящему стандарту публикуется в ежегодном информационном указателе "Национальные стандарты", а текст изменений и поправок - в ежемесячном информационном указателе "Национальные стандарты". В случае пересмотра (замены) или отмены настоящего стандарта соответствующее уведомление будет опубликовано в ежемесячном информационном указателе "Национальные стандарты". Соответствующая информация, уведомление и тексты размещаются также в информационной системе общего пользования - на официальном сайте Федерального агентства по техническому регулированию и метрологии в сети Интернет.
1.1. Настоящий стандарт устанавливает метод определения водопоглощения (абсорбции воды) пластмасс в виде образцов плоской или искривленной формы в направлении "сквозь толщину". Настоящий стандарт устанавливает также методы определения массы воды, поглощенной образцом пластмассы определенных размеров при погружении в воду или под воздействием влажного воздуха в контролируемых условиях. Коэффициент диффузии воды "сквозь толщину" можно определить для ненаполненного материала, допустив поведение образцов по закону диффузии Фика с постоянными параметрами абсорбции по толщине образца. Такая модель применима для гомогенных пластмасс и наполненных композиций с полимерной матрицей, испытываемых при температуре ниже температуры стеклования. Однако для некоторых двухфазных матриц, таких как отвержденные эпоксидные смолы, могут потребоваться модели многофазной абсорбции, на которые настоящий стандарт не распространяется.
1.2. В идеальном случае наилучшее сопоставление водопоглощения и/или коэффициентов диффузии пластмасс разных видов следует выполнять только при равновесном содержании воды в пластмассах, испытываемых в идентичных условиях. Метод, приведенный в настоящем стандарте, не предусматривает сравнение водопоглощения разных видов пластмасс при равновесном содержании воды и поэтому не ограничивается законом однофазной диффузии Фика.
1.3. Водопоглощение образцов пластмасс определенных размеров, погружаемых в воду или подвергающихся воздействию влажного воздуха в контролируемых условиях, в течение определенного периода времени, можно использовать для сравнения разных партий одной и той же пластмассы, а также для контроля качества пластмасс. Для этого необходимо, чтобы все испытуемые образцы были одинаковых размеров и обладали близкими физическими свойствами, например, такими как шероховатость поверхности, внутренние напряжения и т.д. При таких испытаниях нельзя достигнуть равновесного содержания воды, поэтому их результаты нельзя использовать для сравнения водопоглощения пластмасс разных видов. Для получения более точных результатов рекомендуется проводить испытания одновременно.
1.4. Результаты, полученные по методам настоящего стандарта, применимы к большинству пластмасс, кроме ячеистых пластмасс,
пленочных материалов, гранул и порошков, для которых характерно дополнительное поглощение и капиллярные эффекты. Воздействие воды на пластмассы в контролируемых условиях в течение определенного периода времени дает возможность сравнивать пластмассы между собой. Испытания для определения коэффициента диффузии нельзя применять ко всем пластмассам. Пластмассы, которые меняют форму при погружении в кипящую воду, не следует испытывать по методу 2
(6.4).
В настоящем стандарте использованы нормативные ссылки на следующие межгосударственные стандарты:
ГОСТ 12020-72 Пластмассы. Методы определения стойкости к действию химических сред
ГОСТ 18616-80 Пластмассы. Метод определения усадки
ГОСТ 26277-84 Пластмассы. Общие требования к изготовлению образцов способом механической обработки.
Примечание. При пользовании настоящим стандартом целесообразно проверить действие ссылочных стандартов в информационной системе общего пользования - на официальном сайте Федерального агентства по техническому регулированию и метрологии в сети Интернет или по ежегодному информационному указателю "Национальные стандарты", который опубликован по состоянию на 1 января текущего года, и по выпускам ежемесячного информационного указателя "Национальные стандарты" за текущий год. Если ссылочный стандарт заменен (изменен), то при пользовании настоящим стандартом следует руководствоваться заменяющим (измененным) стандартом. Если ссылочный стандарт отменен без замены, то положение, в котором дана ссылка на него, применяется в части, не затрагивающей эту ссылку.
Испытуемые образцы погружают в дистиллированную воду при температуре (23 +/- 2) °C или кипящую дистиллированную воду или выдерживают в атмосфере относительной влажностью 50% при заданной температуре в течение установленного периода времени. Массу воды, поглощенную каждым испытуемым образцом, определяют или вычисляют по разности между массой образца до и после испытания, выраженной в процентах по отношению к начальной массе. При необходимости можно определить массу воды, потерянной испытуемым образцом после просушивания.
Если по согласованию сторон необходимо провести испытания при относительной влажности 70% - 90% и температуре 70 °C - 90 °C, в протоколе испытания следует указать условия проведения испытания и отклонения при наличии.
4.1. Весы лабораторные, обеспечивающие взвешивание в миллиграммах с точностью до первого десятичного знака.
4.2. Сушильный шкаф с принудительной циркуляцией воздуха или вакуумный сушильный шкаф, обеспечивающие температуру (50,0 +/- 2,0) °C
или при необходимости (110,0 +/- 3,0) °C или другую температуру, согласованную заинтересованными сторонами (см. также
6.1.2).
4.3. Контейнеры (
жидкостные термостаты), содержащие дистиллированную воду или воду эквивалентной чистоты, оснащенные средствами нагревания, обеспечивающими поддержание заданной температуры.
4.4. Эксикатор с осушителем (например, пятиокисью фосфора P
2O
5).
4.5. Средства измерения размеров испытуемых образцов с погрешностью +/- 0,1 мм.
Испытания проводят не менее чем на трех образцах. Образцы для испытаний требуемых размеров изготовляют литьем под давлением, экструзией, прессованием, механической обработкой или другим способом. Режимы и методы изготовления образцов указывают в нормативном документе или технической документации на материал. Методы, используемые для подготовки образцов для испытания, указывают в протоколе испытания.
Примечание. На результаты, полученные методом настоящего стандарта, могут повлиять поверхностные эффекты. Для некоторых материалов разные результаты могут быть получены для формованных образцов и образцов, вырезанных из листа.
Любой загрязнитель поверхности образца для испытания, который может повлиять на поглощение воды, необходимо удалить с помощью очищающего средства, которое не действует на пластмассу, предварительно определив степень стойкости пластмассы к нему в соответствии с
ГОСТ 12020, например, стойкость "0" (без изменений). После очистки перед началом испытания образцам дают высохнуть при температуре 23 °C и относительной влажности 50% в течение не менее 2 ч. Для предотвращения загрязнения образцов следует использовать чистые перчатки.
Очищающее средство не должно влиять на водопоглощение. При определении равновесного содержания воды в соответствии с
6.3 (метод 1) и
6.6 (метод 4) влиянием очищающего средства можно пренебречь.
5.2. Образцы прямоугольной формы для ненаполненных пластмасс
Если в нормативном документе или технической документации на пластмассу нет других указаний или соглашений всех заинтересованных сторон, размеры или допуски на размеры образцов в форме прямоугольника должны соответствовать размерам и допускам по ГОСТ 18616 для пластин D2 толщиной (1,0 +/- 0,1) мм. Они могут быть изготовлены литьем под давлением, согласно режимам, приведенным в нормативных документах или технической документации на испытуемый материал, или рекомендованным поставщиком материала. Для некоторых материалов, таких как полиамиды, поликарбонаты и некоторые наполненные пластмассы, применение образцов толщиной 1 мм не даст достоверных результатов. Кроме того, в некоторых нормативных документах или технической документации на пластмассы для определения водопоглощения указаны образцы большей толщины. В таких случаях можно использовать образцы для испытания толщиной (2,05 +/- 0,05) мм. Если используют образцы толщиной, отличающейся от 1 мм, толщину образца следует указать в протоколе испытания. Требования к радиусам кромок и углов не устанавливают, однако кромки и углы должны быть гладкими и чистыми, чтобы предотвратить потери материала из них в процессе испытания.
При изготовлении образцов из пластмасс литьем под давлением, экструзией, прессованием происходит усадка, поэтому, если образцы изготовляют с использованием формы размерами, соответствующими нижним пределам, установленным в ГОСТ 18616 для пластины D2, конечные размеры образцов могут быть ниже допустимых, приведенных в настоящем стандарте, что следует отметить в протоколе испытания.
5.3. Образцы для испытаний наполненных пластмасс с анизотропной диффузией
Для некоторых упрочненных пластмасс, таких как эпоксидные смолы, упрочненные углеродным волокном, эффекты анизотропной диффузии, вызванные упрочняющим материалом, могут привести к ошибочным результатам при использовании образцов небольших размеров. Поэтому для таких материалов следует использовать образцы для испытания, размеры которых соответствуют указанным ниже, а конкретные размеры и методы подготовки образцов необходимо включить в протокол испытания:
а) плитка квадратной формы или изогнутая пластинка размерами, которые удовлетворяют соотношению
w <= 100d,
где w - номинальная длина одной стороны, мм;
d - номинальная толщина, мм;
б) плитка квадратной формы размером 100 x 100 мм с алюминиевой фольгой или фольгой из нержавеющей стали, приклеенной по краям так, чтобы поглощение воды кромками было сведено к минимуму. При приготовлении такого образца следует взвесить его до того, как к его краям будет приклеена фольга, и после приклеивания, чтобы определить увеличение массы образца за счет фольги и клея. Используют только плохо поглощающий воду клей, который не повлияет на результаты испытания.
Если в нормативных документах или технической документации не указаны специальные размеры, образцы для испытания труб должны иметь следующие размеры:
- из труб внутренним диаметром 76 мм или менее перпендикулярно к продольной оси трубы вырезают образцы длиной (25 +/- 1) мм. Процедуру выполняют на станке пилой или ножницами. Поверхность среза образца должна быть гладкой, без трещин;
- из труб внутренним диаметром более 76 мм вдоль наружной поверхности трубы вырезают прямоугольные образцы длиной (76 +/- 1) мм, шириной (25 +/- 1) мм. Поверхность среза образца должна быть гладкой, без трещин.
Образцы для испытания из прутков должны иметь следующие размеры:
- из прутков диаметром 26 мм или менее перпендикулярно к продольной оси прутка вырезают образцы длиной (25 +/- 1) мм. Диаметр испытуемого образца соответствует диаметру прутка;
- из прутков диаметром более 26 мм перпендикулярно к продольной оси прутка вырезают образец длиной (13 +/- 1) мм. Диаметр испытуемого образца соответствует диаметру прутка.
5.6. Образцы, вырезанные из готовых изделий, экструзионных, листовых или слоистых материалов
Если это не противоречит нормативному документу или технической документации на изделие, вырезают образец, соответствующий образцу прямоугольной формы или имеющий длину и ширину (61 +/- 1) мм и такую же форму (толщина и кривизна), как подлежащий испытанию материал изделия.
Условия механической обработки, используемые для изготовления образцов для испытания, должны быть согласованы между всеми заинтересованными сторонами, должны соответствовать требованиям ГОСТ 26277 и должны быть указаны в протоколе испытания.
Если номинальная толщина изделия или листа превышает 1,1 мм и специальные требования, связанные с их предполагаемым применением, отсутствуют, толщину образцов для испытания необходимо уменьшать до 1,0 - 1,1 мм с помощью механической обработки только одной поверхности.
Образцы слоистого материала следует испытывать при их исходной толщине, т.к. механическая обработка слоистого материала влияет на водопоглощение, и результаты испытания будут недостоверными. Размеры образцов указывают в протоколе испытания.
5.7. Допускаемые размеры образцов 5.7.1. Допускается применять следующие типы образцов, которые должны быть указаны в нормативном документе или технической документации на пластмассу или изделие: 5.7.1.1. Образцы в форме диска диаметром (50 +/- 1) мм и толщиной (3,0 +/- 0,2) мм. 5.7.1.2. Образцы, вырезанные из листового или слоистого материала в форме квадрата со стороной, равной (50 +/- 1) мм, и толщиной, равной толщине листа, поверхность срезов при этом должна быть гладкой. 5.7.1.3. Образцы из стержней, прутков и труб, вырезанные перпендикулярно к продольной оси, длиной (50 +/- 1) мм и диаметром не более 50 мм. 5.7.1.4. Образцы из стержней, прутков диаметром более 50 мм обтачивают так, чтобы их линейные размеры во всех направлениях не превышали 50 мм. 5.7.1.5. Образцы из труб диаметром более 50 мм вырезают из стенки трубы, при этом длина, ширина и толщина образца не должна превышать (50 +/- 1) мм, если толщина стенки трубы превышает 50 мм, ее обтачивают до 50 мм. 5.7.1.6. Форма и размеры образцов должны быть указаны в протоколе испытаний. |
6. Условия испытания и проведение испытания
6.1.1. Для некоторых пластмасс требуется взвешивать испытуемые образцы в специальной емкости для взвешивания.
6.1.2. Процедуры сушки, отличающиеся от описанных в
6.3 -
6.6, можно использовать по согласованию между заинтересованными сторонами.
6.1.3. Если водопоглощение пластмассы более или равно 1%, используют образцы, взвешенные с точностью до +/- 1 мг, масса которых постоянна в пределах +/- 1 мг.
6.2. Общие условия испытания
6.2.1. Перед испытанием образцы необходимо тщательно просушить. При температуре 50 °C, например, время сушки составляет от одного до десяти дней, в зависимости от толщины образцов.
Перед испытанием допускается сушить образцы в вакуумном сушильном шкафу при температуре (50,0 +/- 2,0) °C в течение 24 ч или, если необходимо, при температуре (110,0 +/- 3,0) °C до постоянной массы, затем образцы охлаждают в эксикаторе над пятиокисью фосфора при температуре (23 +/- 2) °C. После охлаждения образцы вынимают из эксикатора и быстро взвешивают.
6.2.2. Для предотвращения в процессе испытания образования избыточной концентрации какого-либо продукта экстракции в воде берут не менее 8 см3 дистиллированной воды на 1 см2 поверхности испытуемого образца, но не менее 300 см3 на образец.
6.2.3. Помещают каждый набор из трех образцов в отдельный контейнер (
жидкостный термостат)
(4.3) и полностью погружают их в дистиллированную или подвергают воздействию относительной влажности 50%
(метод 4).
Если испытывают несколько образцов одной и той же пластмассы, их помещают вместе в один контейнер, содержащий не менее 300 см3 дистиллированной воды на каждый образец. Испытуемые образцы не должны соприкасаться друг с другом и стенками контейнера и должны быть полностью покрыты водой.
Примечание. Для того чтобы обеспечить необходимое расстояние между испытуемыми образцами, можно использовать сетки, изготовленные из нержавеющей стали.
Образцы, плотность которых меньше плотности воды, погружают, поместив их в проволочную корзинку из нержавеющей стали, соединенную с якорем-грузом нержавеющей стальной проволокой. Образцы не должны соприкасаться с якорем-грузом.
6.2.4. Время пребывания образцов в воде указано в
6.3 и
6.4.
По согласованию между заинтересованными сторонами можно использовать большее время, при этом следует:
- при испытаниях в воде температурой (23 +/- 2) °C не реже одного раза в сутки круговыми движениями перемешивать воду в контейнере;
- при испытаниях в кипящей воде необходимо периодически добавлять кипящую воду для сохранения ее первоначального объема.
6.2.5. В процессе взвешивания образцы не должны поглощать или выделять воду. Поэтому их необходимо взвешивать немедленно после извлечения из среды воздействия (рекомендуется перед взвешиванием удалить воду с поверхности образцов, вытирая их чистой сухой тканью или фильтровальной бумагой). Особое внимание необходимо уделить тонким образцам и материалам с высоким коэффициентом диффузии воды.
6.2.6. Для образцов толщиной 1 мм и пластмасс с высоким коэффициентом диффузии воды первые взвешивания следует осуществлять после выдержки в течение 2 и 6 ч.
6.3. Метод 1. Определение водопоглощения при температуре 23 °C
Сушат образцы для испытания в сушильном шкафу
(4.2) при температуре (50 +/- 2) °C в течение не менее 24 ч
(6.2.1), затем охлаждают до температуры окружающей среды в эксикаторе
(4.4) и взвешивают, записывая результат взвешивания в миллиграммах с точностью до первого десятичного знака. Повторяют этот процесс, пока масса образцов не станет постоянной (масса m
1), т.е. результаты двух последовательных взвешиваний будут отличаться не более чем на +/- 0,1 мг.
Затем испытуемые образцы помещают в контейнер
(4.3), заполненный дистиллированной водой при температуре (23,0 +/- 1,0) °C или (23,0 +/- 2,0) °C, в зависимости от требований
нормативного документа или технической документации на пластмассу. При отсутствии
нормативного документа или технической документации поддерживают температуру воды (23,0 +/- 1,0) °C.
После выдержки в воде в течение (24 +/- 1) ч извлекают испытуемые образцы из воды, удаляют воду с поверхности образцов чистой сухой тканью или фильтровальной бумагой и в течение не более 1 мин после извлечения образцов из воды взвешивают их с точностью до 0,1 мг (масса m2).
Содержание воды при насыщении измеряют при повторной выдержке образцов и повторном их взвешивании через установленные промежутки времени. Рекомендуемая временная шкала погружения представляет собой следующий ряд: 24, 48, 96, 192 ч и т.д. Через указанные промежутки времени +/- 1 ч испытуемые образцы извлекают из воды, удаляют воду с поверхности и взвешивают каждый образец с точностью до 0,1 мг в течение 1 мин после извлечения из воды (например, масса - m2/24 ч).
6.4. Метод 2. Определение водопоглощения в кипящей воде
Сушат испытуемые образцы в сушильном шкафу
(4.2) при температуре (50,0 +/- 2,0) °C в течение не менее 24 ч
(6.2.1), дают им остыть до температуры окружающей среды в эксикаторе
(4.4) и взвешивают с точностью до 0,1 мг. Повторяют этот процесс, пока масса образцов не станет постоянной (масса m
1), т.е. результаты двух последовательных взвешиваний будут отличаться не более чем на +/- 0,1 мг.
Затем помещают испытуемые образцы в контейнер
(4.3) с кипящей дистиллированной водой так, чтобы они опирались на один край и были полностью погружены в воду. Через (30 +/- 2) мин извлекают испытуемые образцы из кипящей воды и охлаждают в дистиллированной воде до температуры окружающей среды. После остывания образцов в течение (15 +/- 1) мин извлекают их из воды по одному. Удаляют воду с поверхности образцов сухой тканью и сразу же взвешивают с точностью до 0,1 мг (масса m
2).
Если толщина испытуемых образцов менее 1,5 мм, во время взвешивания может произойти небольшая, но заметная десорбция воды. В этом случае рекомендуется взвешивать образцы в специальной емкости для взвешивания.
Содержание воды при насыщении измеряют путем повторной выдержки испытуемых образцов в воде и последующего взвешивания их через промежутки времени, равные (30 +/- 2) мин. По истечении каждого из этих промежутков времени образцы для испытания необходимо извлечь из воды, охладить в дистиллированной воде, протереть и взвесить, как описано выше.
После повторяющихся погружений и просушиваний на образцах могут образоваться трещины. В этом случае необходимо в протоколе испытания отметить число циклов, после которых впервые наблюдались трещины.
6.5. Метод 3. Определение потери растворимого в воде вещества
Если известно или предполагают, что испытуемый материал содержит заметное количество растворимых в воде веществ, то необходимо ввести поправку на потерю растворимого в воде вещества в результате выдержки в воде. С этой целью после погружения в соответствии с
6.3 или
6.4 повторно кондиционируют испытуемые образцы до постоянной массы (масса m
3) таким же образом, как в первоначальный период сушки, описанный в
6.3 и
6.4. Если масса после повторного кондиционирования m
3 будет меньше массы m
1, то разность масс необходимо учитывать как потери растворимого в воде вещества. Для таких материалов водопоглощение определяют как сумму увеличения массы после выдержки в воде и массы растворимого в воде вещества.
6.6. Метод 4. Определение количества воды, поглощенной после воздействия относительной влажности 50%
Сушат все образцы в сушильном шкафу
(4.2) при температуре (50,0 +/- 2,0) °C в течение не менее 24 ч
(6.2.1), дают им остыть до температуры окружающей среды в эксикаторе
(4.4) и взвешивают с точностью до 0,1 мг. Повторяют этот процесс, пока масса образцов не станет постоянной (масса m
1), т.е. результаты двух последовательных взвешиваний будут отличаться не более чем на +/- 0,1 мг.
Затем помещают образцы для испытания в бокс или помещение, воздух в котором имеет относительную влажность (50 +/- 5)% при температуре (23,0 +/- 1,0) °C или (23,0 +/- 2,0) °C, в зависимости от требований нормативного документа или технической документации на материал. При отсутствии нормативного документа или технической документации испытания проводят при температуре (23,0 +/- 1,0) °C. После выдержки образцов в течение (24 +/- 1) ч снова взвешивают их с точностью до 0,1 мг (масса m2) в течение 1 мин после извлечения из бокса или помещения, воздух в котором имеет относительную влажность (50 +/- 5)%.
Равновесное содержание воды измеряют путем повторной выдержки образцов в атмосфере с относительной влажностью 50% с последующим взвешиванием через промежутки времени, аналогичные описанным в методе 1
(6.3).
7.1. Определение массовой доли воды, поглощенной образцом
Для каждого испытуемого образца рассчитывают массовую долю воды, поглощенной образцом, c, %, по формуле

(1)
или

(2)
где m2 - масса испытуемого образца после выдержки в воде, мг;
m1 - масса испытуемого образца после первоначального просушивания и перед погружением в воду, мг;
m3 - масса испытуемого образца после выдержки и окончательного просушивания, мг.
За результат испытания принимают среднеарифметическое значение трех показателей, полученных при одинаковой продолжительности выдержки в воде.
Примечание. При необходимости определяют массовую долю поглощенной воды c, %, относительно массы испытуемого образца после окончательного просушивания по формуле

(3)
7.2. Определение содержания воды при насыщении и коэффициента диффузии по законам Фика
При температурах значительно более низких, чем температура стеклования влажной пластмассы, водопоглощение большинства пластмасс (определенное
методами 1,
3 и
4) хорошо коррелирует с законами Фика (см.
Приложение А), и коэффициент диффузии воды, независимый от времени и концентрации по
[1], можно рассчитать в соответствии с примером, описанным ниже.
Однако в этом случае содержание воды при насыщении c
s так же, как коэффициент диффузии D (мм
2/с), можно определить путем подгонки экспериментальных данных к закону Фика для листов по
[2] и
[3], не дожидаясь достижения постоянной массы (
раздел А.2, Приложение А).
Содержание воды при насыщении обозначают c
s, если образцы испытывают в соответствии с
методами 1,
2 или
3 и c
s (50%), если образцы испытывают в соответствии с
методом 4 (т.е. выдерживают в воздухе при относительной влажности 50%).
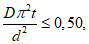
Можно использовать графические методы для подтверждения того, что диффузия происходит по закону Фика, подставив рассчитанное значение D, например, с помощью логарифмического графика, который подбирают к теоретическим данным, или с использованием имеющегося в продаже пакета программ. Чтобы убедиться, что поглощение воды пластмассой происходит по закону диффузии Фика, необходимо взять экспериментальные данные за более длительный период до равновесной концентрации cs.
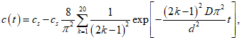
На
рисунке А.1 (Приложение А) показано точное решение закона Фика для листов, наклон 0,5 был рассчитан для c <= 0,51c
s или c/c
s <= 0,51, или
где t - продолжительность выдержки испытуемого образца в воде или во влажном воздухе, с;
d - толщина испытуемого образца, мм.
В случае, когда

, используют значение c = c
s.
Дополнительные значения

приведены в таблице 1.
Таблица 1
Теоретические безразмерные значения из закона Фика
для листов
| c/cs |
0 | 0 |
0,01 | 0,07 |
0,10 | 0,22 |
0,5 | 0,51 |
0,7 | 0,60 |
1,0 | 0,70 |
1,5 | 0,82 |
2,0 | 0,89 |
3,0 | 0,96 |
4,0 | 0,99 |
5,0 | 1,00 |
Пример - для испытания, продолжающегося до достижения постоянной массы образца, после подбора экспериментальных данных к теоретическому графику берут экспериментальную концентрацию c70% из расчета c/cs = 0,7 и вычисляют:
где cs и c70% выражают в миллиграммах на грамм (мг/г) или как процент по массе (% масс.)
Экспериментальный период t70 при c70% позволяет определить коэффициент диффузии D, мм2/с, по формуле
(4)
или
(5)
Если t70 задается в секундах,
приблизительно берут равным 10 и толщину для плоского испытуемого образца берут 1 мм, тогда:
(6)
Примечание. Типичные значения D для пластмасс при температуре 23 °C составляют приблизительно 10-6 мм2/с, что соответствует t70, равному 1·105 с (приблизительно 1 день), для испытуемого образца толщиной 1 мм. При такой толщине время выдержки, необходимое для расчета cs и D, обычно не превышает одной недели.
Протокол испытания должен содержать:
а) ссылку на настоящий стандарт;
б) все детали, необходимые для полной идентификации испытуемого материала или продукции;
в) тип испытуемого образца и метод подготовки с уточнением, были ли образцы вырезаны или нет, их размеры, начальную массу и, если возможно, начальную площадь поверхности образцов и состояние поверхности (например, подвергались они механической обработке или нет);
г) использованный метод (
1,
2,
3 или
4) и время выдержки в воде в секундах;
д) поглощение воды, рассчитанное одним или несколькими способами, приведенными в
разделе 7, с указанием среднего значения и стандартного отклонения результатов (если расчеты, описанные в
7.1 и
7.2, дадут отрицательное значение поглощения воды, следует отразить этот факт в протоколе испытания);
е) поглощение воды при насыщении c
s или c
s (50%) при температуре 23 °C, рассчитанное в соответствии с
7.2;
ж) коэффициент диффузии при температуре 23 °C, рассчитанный в соответствии с
7.2;
и) все дополнительные данные, которые могли повлиять на результаты испытаний;
к) дату проведения испытания.
(справочное)
КОРРЕЛЯЦИЯ МЕЖДУ ВОДОПОГЛОЩЕНИЕМ ИСПЫТУЕМЫХ ОБРАЗЦОВ
И ЗАКОНАМИ ДИФФУЗИИ ФИКА
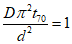
А.1. Общие положения
В тех случаях когда водопоглощение коррелирует с законами Фика, содержание воды в зависимости от времени можно определить как функцию коэффициента диффузии D и поглощения воды при насыщении cs по формуле:

(А.1)
где k = 1, 2, 3, ..., 20;
d - толщина испытуемого образца.
Примечание. Использование 20 слагаемых обычно считают достаточным.
А.2. Определение D и c
s без достижения постоянной массы
Допуская корреляцию с законами Фика, можно принять, что существование линейной зависимости между lg(c(t)/c
s) и lg(Dt) практически верно для малых значений
(рисунок А.1). Используя теоретические значения из
таблицы 1, коэффициент диффузии в линейном диапазоне можно определить по формуле:

(А.2)
где d - толщина испытуемого образца;
c(t) - измеренное поглощение воды за время t;
cs - водопоглощение при насыщении;
t - продолжительность воздействия на образец.
Рисунок А.1. Водопоглощение c/c
s листов в зависимости
от безразмерной функции

(D - коэффициент диффузии;
t - продолжительность выдерживания в воде;
d - толщина образца)
Тогда значение c
s можно рассчитать с помощью
формулы (А.1) в сочетании с графическими и математическими методами.
Примечание. Возможными методами являются: подбор кривой, числовые способы и применение имеющихся в продаже компьютерных программ.
А.3. Проверка корреляции с законами диффузии Фика
"Хорошее согласование" поглощения воды образцом пластмассы с поведением по закону диффузии Фика наблюдается, если после изгиба на графике c = f(t) приблизительно при t
70 (рисунок А.1) значения c
s и D, определенные по формуле подгонки
(А.1) для экспериментальных данных, значительно не изменяются при увеличении продолжительности выдержки в воде до t
max. t
max - максимальное время эксперимента > t
70. Обычно разность между c
s, определенной при t
70, и c
s, определенной при

, меньше 10%. Аналогично, разность между D, определенным при t
70, и D, определенным при

, обычно меньше 20%.
(справочное)
ПОКАЗАТЕЛИ ПРЕЦИЗИОННОСТИ
Б.1. Межлабораторные круговые испытания
Показатели прецизионности основаны на межлабораторных испытаниях 16 лабораторий из 5 стран по
[4]. Были использованы два вида полиметилметакрилата (полиметилметакрилат общего назначения и ударопрочный полиметилметакрилат) и один вид поликарбоната.
Размеры испытуемых образцов - 60 x 60 x 1 мм и 60 x 60 x 2 мм. Все материалы были подготовлены и распределены одной лабораторией.
Б.2. Просушивание образцов для испытания
Для большинства материалов период кондиционирования t90, соответствующий поглощению или выделению приблизительно 90% достигаемого содержания воды, является достаточным приближением к равновесному содержанию влаги. Обычно t90 составляет удвоенное t70. При температуре 50 °C продолжительность просушивания обычно составляет от одного до десяти дней, причем точная продолжительность зависит от коэффициента диффузии и толщины испытуемых образцов.
Для образцов поликарбоната толщиной 1 мм в круговых испытаниях было использовано время просушивания 1 день при температуре 50 °C или три дня при температуре 23 °C. Для образцов полиметилметакрилата толщиной 2 мм было использовано время просушивания 8 дней при температуре 50 °C или 30 дней при температуре 23 °C. В любом случае образцы были просушены до постоянной массы (в пределах +/- 0,1 мг).
Б.3. Определение содержания воды, поглощенной после выдерживания в воде при температуре 23 °C
(метод 1)
После различных периодов воздействия было определено содержание воды. Экспериментальные данные, полученные одной из лабораторий, показаны на рисунке Б.1.
Рисунок Б.1. Экспериментальные значения содержания воды
в ударопрочном полиметилметакрилате (также показаны
значения cs при относительной влажности 70% и 90%)
Примечание. cs - содержание воды (%).
Данные по водопоглощению от 11 лабораторий были обработаны в соответствии с
Приложением А, чтобы определить c
s и D для трех различных материалов. Полученные средние значения и стандартные отклонения показаны в таблицах Б.1 и
Б.2 соответственно. s
R - межлабораторное стандартное отклонение, R - предел воспроизводимости 95%. Данные для определения внутрилабораторного стандартного отклонения (повторяемости) отсутствуют.
Таблица Б.1
Значения cs, обработанные по экспериментальным
данным водопоглощения
Материал | cs, % масс. | sR | R |
Полиметилметакрилат | 1,87 | 0,06 | 0,17 |
Полиметилметакрилат ударопрочный | 1,67 | 0,05 | 0,13 |
Поликарбонат | 0,340 | 0,009 | 0,025 |
Таблица Б.2
Значения D, обработанные по экспериментальным
данным водопоглощения
Материал | D, мм2/с (x 107) | sR | R |
Полиметилметакрилат | 5,2 | 1,0 | 2,7 |
Полиметилметакрилат ударопрочный | 7,7 | 0,6 | 1,6 |
Поликарбонат | 42 | 11 | 31 |
Результаты были получены после 7 дней при допустимых значениях неопределенности 10% для cs и 30% для D. В общем случае испытание можно прекратить после t90, хотя на этом этапе равновесие еще не достигнуто.
Для тонких (1 мм) образцов материалов с высокими значениями D требуется несколько взвешиваний в течение первых 24 ч (например, спустя 2 и 6 ч).
Б.4. Определение содержания воды, поглощенной после воздействия 50%-ной относительной влажности
(метод 4)
Корректное значение cs для полиметилметакрилата при 50%-ной относительной влажности ожидается в диапазоне от 0,5% масс. до 0,6% масс. Это значение, а также периоды воздействия, требуемые для достижения равновесия, не зависят от способа, которым достигается насыщение - из сухого состояния в мокрое или из мокрого состояния в сухое.
Данные для ударопрочного полиметилметакрилата показаны на рисунке Б.2. Все участники круговых испытаний дали значение cs от 0,5% масс. до 0,6% масс., независимо от способа достижения равновесия.
Рисунок Б.2. Поглощение воды образцом ударопрочного
полиметилметакрилата толщиной 1 мм при относительной
влажности 50%, измеренное пятью разными лабораториями
(L2, L4 и т.д.)
Примечание. cs - содержание воды (%).
В случае образца поликарбоната толщиной 1 мм образцы быстро насыщались при 0,15% масс., снова независимо от способа достижения насыщения. t70 составило только от 5 до 8 ч.
(справочное)
СВЕДЕНИЯ О СООТВЕТСТВИИ ССЫЛОЧНЫХ МЕЖДУНАРОДНЫХ СТАНДАРТОВ
МЕЖГОСУДАРСТВЕННЫМ СТАНДАРТАМ, ИСПОЛЬЗОВАННЫМ В НАСТОЯЩЕМ
СТАНДАРТЕ В КАЧЕСТВЕ НОРМАТИВНЫХ ССЫЛОК
Полный перечень изменений нормативных ссылок приведен в таблице В.1.
Таблица В.1
Структурный элемент (раздел, подраздел, пункт, подпункт, таблица, приложение) | Модификация |
| Ссылка на ISO 2818 "Пластмассы. Подготовка образцов для испытания с помощью механической обработки" заменена ссылкой на ГОСТ 26277-84 "Пластмассы. Общие требования к изготовлению образцов способом механической обработки". Ссылка на ISO 175 "Пластмассы. Методы определения влияния погружения в жидкие химикаты" заменена ссылкой на ГОСТ 12020-72 "Пластмассы. Методы определения стойкости к действию химических сред". Ссылка на ISO 294-3 "Пластмассы. Литье под давлением образцов для испытаний термопластичных материалов. Часть 3. Пластины небольших размеров" заменена ссылкой на ГОСТ 18616-80 "Пластмассы. Метод определения усадки" |
(справочное)
СРАВНЕНИЕ СТРУКТУРЫ МЕЖДУНАРОДНОГО СТАНДАРТА СО СТРУКТУРОЙ
МЕЖГОСУДАРСТВЕННОГО СТАНДАРТА
Таблица Г.1
Структура международного стандарта ISO 62:2008 | Структура межгосударственного стандарта |
Раздел | Подраздел | Раздел | Подраздел |
5 | 5.1 | | |
5.2 | |
5.3 | |
5.4 | |
5.5 | |
5.6 | |
- | |
6 | 6.1 | | |
6.2 | |
6.3 | |
6.4 | |
6.5 | |
6.6 | |
7 | 7.1 | | |
7.2 | |
8 | - | | - |
9 | - | | - |
Приложения | A | Приложения | |
B | |
- | |
- | |
Библиография | - | | - |
Примечание. Сравнение структуры стандартов приведено, начиная с раздела 5, т.к. предыдущие разделы стандартов и их иные структурные элементы (за исключением предисловия) идентичны. |
| Crank, J. and Park, G.S., Diffusion in Polymers, 1968, Academic Press, London and New York |
| Klopfer, H., Wassertransport durch Diffusion in Feststoffen, 1974, Bau-Verlag, Wiesbaden and Berlin |
| Tautz, H.,  und Temperaturausgleich, 1971, Akademieverlag, Berlin |
| Lehmann, J., Absorption of Water by PMMA and PC, KU Kunststoffe plast Europe, 91 (2001), 7. |